文档内容
提示与注意事项
写在最前面:虽然下面这个教程可能感觉很幼稚,可能大家都会,但我还是打算
写一下,因为毕竟有些同学可能在高中忙于学习,对这些接触不多,如果大家会
可以不用看,不会的可以看下,或者百度搜下更详细的教程,节省下大家时间。
1、文件做了全文本的文字识别,总体识别率 99%以上,但因识别率问题,可能
部分文字搜索不到,所以请仔细对照原书查看。(内容和原书一样,只是文字识
别率达不到100%)。
示例:比如你直接搜清华大学,这4个字可能找不到,但是你搜清华或者清华大,
可以搜到。
2、电脑上:
电脑上可以使用的软件就比较多了,这里简单列举几个,具体搜索方式用电
脑版WPS 打开或者用360浏览器、谷歌浏览器,Edge浏览器打开,同时按键盘
上的Ctrl+F可以搜索查找。
6110代表院校代码,
1854人代表该学校在下面这几个专业总共招生 1854人
08 经济学 19人(4400元/年)的08代表专业代码,招生19 人,学费4400元1 年电脑版 WPS查找示例
第一步:首先把文件用wps打开,我们可以看到在右上角有一个查找替换点他
第二步:接着就会跳转出来查找和替换界面(如果在键盘上同时按下 Ctrl+F,也可
以跳转出此界面),输入你需要查找的内容即可检索。
微软Edge浏览器查找示例
第一步:可以看到右上角有一个放大镜(或者按 Ctrl+F),点击他,
第二步:然后在图片上2 的位置输入需要查找的信息。手机上 WPS查找示例
推荐使用 WPS 版打开查看并进行搜索,wps 如果手机上没有,可以在应用商店
进行下载。
手机详细教程(可能大家后面看到教程的时候,因为安装的版本不一样,界面和
功能的位置可能会略有改变,如果搞不定,大家可以百度有更详细的教程,这里
给大家打个样,据听说QQ浏览器也能搜索文字,不过我还是喜欢WPS)
第一步:使用WPS打开文件,点击左下角的工具
第二步:点开工具后,点击第一行的查看,可以看到有个查找文档内容。
另外有的PDF是有目录的,大家也可以点击右下角的目录查看目录
第三步:输入相应的学校,即可查找,输入学校时应该注意尽量不要输入完整的大学名,只
输入前几个字。LIIIL 河南雀普通高校招生考试年报系列
2020-2022 年
河南省普通高校招生
报考及录取统计(文科)
河南省教育考试院
6 如Il 肆编委会目录
第一章分数线及分数段.............................................................................. 1
一、 2020—2022 年河南省普通高校招生录取控制分数线…...…………………......…... l
二、 2020—2022 年河南省普通高校招生分数段统计表(文科) ………………………… 2
第二章报考统计....................................................................................... 11
一、 2020—2022 年河南省普通高校招生本科一批院校平行志愿批量投档最低分
(文科) ............................................................................................. 11
二、 2020—2022 年河南省普通高校招生本科二批院校平行志愿批量投档最低分
(文科) ............................................................................................. 32
三、 2020—2022 年河南省普通高校招生高职高专批院校平行志愿批盘投档最低分
(文科) ............................................................................................. 78
第三章录取统计.................................................................................... 140
一、 2020—2022 年河南省普通高校招生本科一批录取情况统计表
(文科) .......................................................................................... 140
二、 2020—2022 年河南省普通高校招生本科二批录取情况统计表
(文科) .......................................................................................... 161
三、 2020—2022 年河南省普通高校招生高职高专批录取情况统计表
(文科) .......................................................................................... 207
四、 2020—2022 年河南省普通高校招生本科一批分专业录取情况统计表
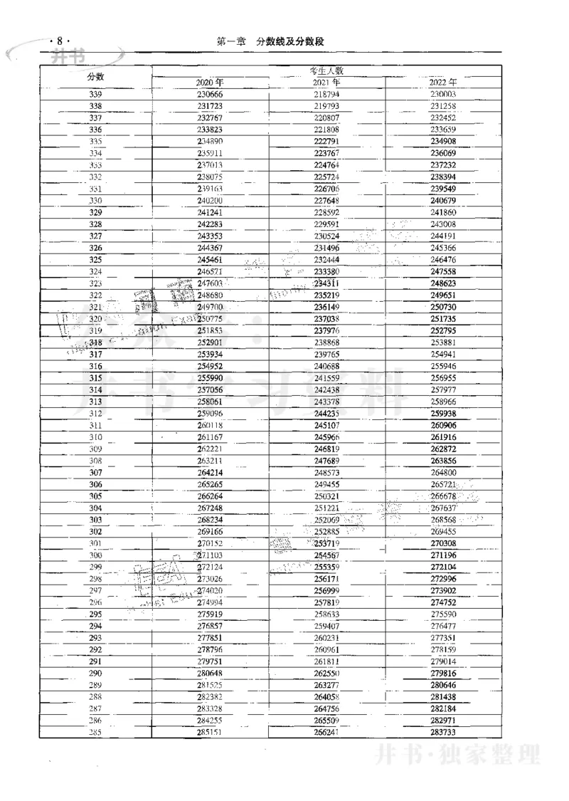
(文科) .......................................................................................... 266第一章 分数线及分数段
一、2020一2022 年河南省普通高校招生录取控制分数线
年份 科类 本科一批 本科二批 高职高专批
文科综合 527 445 190
2022
理科综合 190
文科综合 200
2021
200
465 180
418 180. 2.
第一章 分数线及分数段
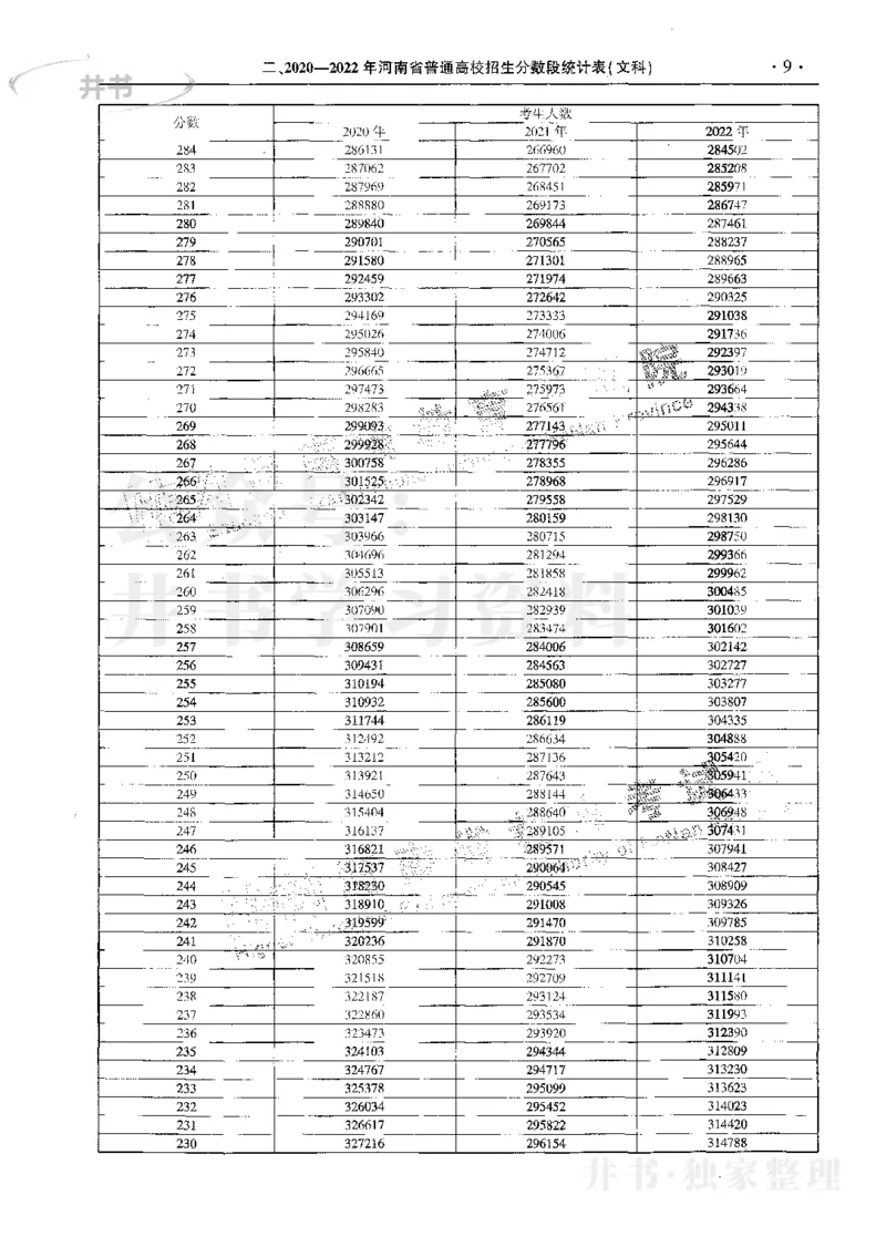
二、2020—2022 年河南省普通高校招生分数段统计表(文科)
I 旁-.I生人数
分数 I尸 2020年 2021 年 2022什
675 10
674 15
673 16
672 22
671 11 26
670 13 38
669 17 52
1
668 18(i3
667 · 23 70 ·"·
666 28 80 · --
665 i 33 90,
664 34 ,亡 96-,夕、口'穸
663 40 < 108
662 46 121
661 54 138
660 59 151
659 65 174
I 658 75 190
\
\ \ -,; _,\ 657 -:仁 83 209
' ·- 656 92 233
1
655 104 251
654 116 275
653 131 300
- --1
652 147 328 11
651 157 354 13
650 175 383 15
649 197 422 17
648 212 454 21
647 235 507 28
646 259 561 30
645 285 617 33
644 316 667 35 ~,,:. - 飞
643 345 720 ·•· 39 ;.
642 370 785 . - 40
641 412 , 884400 --;;尸俨-一'千-~ 占尸 46 `一
-·~ ·L :'
640 449 896'{ 54
'
639 487 966 59
638 528 1031 68
\ -
637 568 ll09 78
636 L\ `\ `I、 \ 一, 625 1195 85
635': 669 1273 93
634 尸- 719 ;i 1351 101
633 786 i 1425 110
632 840 I 1511 118
l631 925 ' i m 1610 129
630 989 I [708 137
629 1077 i 1802 152
628 1146 1917 177
627 1221 2026 187
626 1298 2133 200
625 1401 2250 231
624 1479 2380 245
623 1563 2519 259
622 1657 2650 283. 3.
二、2020-2022年河南省普通高校招生分数段统计表(文科)
考生人数
分数
2020年 2021年 2022年
621 1757 2798 308
620 1856 2955 328
619 1981 3125 345
618 2080 3294 378
617 2213 3477 407
616 2360 3636 434
615 2509 3798 458
614 2635 3948 487
613 2756 4108 521
612 2903 4295 554
611 3072 4474 588
610 3216 4672 628
衾A卧等沿总芷«眨;;$忑三守C恐氧气又冬多炉
609 3375 4834 屯 , ` ;\ 669
608 3546 720
607 3712 759
606 38&O 岔 544JJ ' .心 `气 :一耘六气仁王,' r } 飞飞 :宫,广',它 804
605 ,5岱8巴了: 883
604 . 编,勺忑 $,乡 4 总 口,毛亡J,,15874 946
6. 0~叩3Ci、•.,/,\I ,各`,言§ 4444 -· 气·,忙 §气屯.·· 6107 996
\曰;忙三飞疫讨:~\\ 忒 畟 , C'(\463µ'\ \ V 6319 1051
\ \ ::::1 \\[妞l,广` __, ` f `乒; t f~~,','歹. 4835 6544 1118
\a\ : 一 \2600,'乙言,5\.} ~ 5041 6776 1179
``了5钓- 5253 7011 1260
598 5502 7239 1331
597 5757 7506 1415
596 6006 7782 1493
595 6277 8043 1573
594 6558 8313 1666
593 6823 8604 1750
592 7135 8893 1853
591 7416 9192 1979
590 7699 9516 2097
589 7989 9839 2203
588 8305 10158 2334
..
,`
587 8623 10498
586 8914 10825 i
585 9226 11165 丈
584 9521 ', , 产2,、8凸.3.6.气."'.产 &,.,r .~ 、` ?'. 5
583 9896 3 守\霓;; `\2-9~97、
582 102芷 1 扣;亡?i r心 5“亡 3138
581 ,c 飞 :心 E520飞心\卢 3294
580 - r-,.一 二艺卢i-, ', ;t 产节f;{`飞:; i2890 3451
579 I, r\,多 III'I L-俨,俨_七 :仁/'j}, ,r·.,''-\ ,\ 11327 仁七言王3 13277 3609
578 ;\f U;-> \/」叩g\..一 13628 3783
577 \. _ - 4\ 二闭f g] 心它王',-;飞,巨 - l21l3 14016 3958
576 `心 又砱`t,.',,,,丘去 12523 14388 4149
575 12939 14815 4339
574 13354 15227 4515
573 13776 15646 4713
572 14212 16090 4934
571 14622 16517 5159,
570 15089 17000 5373
569 15522 17492 5617
568 15995 17951 5830
567 16461 18414 6099
566 16955 18908 6352
565 17463 19410 6625. 4.
第一章分数线及分数段
考生人数
分数
2020年 2021 年 2022们
564 17959 19891 6902
~^
563 18448 20389 7157
562 18922 20879 7464
--------
561 19417 21385 7749
560 19958 21943 8055
559 20516 22467 8379
558 21036 22987 8687
557 I 21554 23563 9039
556 22087 24136 9374
555 22667 24689 9721
554 23278 - - 25301 l0083
I
553 23819 25867 10473
552 24442 l 26451 10832
551 25030 27046 11198
550 25620 27622 11606
549 26203 28244 1~ ~ 2~ ~ ~ ~ 022
548 26807 28836 12452
547 ii -- 27436 29417 12892
546 ! 28075 ! 30047 13354
545 28679 30649 13783
544 29350 31286 14280
543 30010 31926 14743
542 30668 32574 15204
541 31333 33219 15679
- - --
540 31965 33915 16182
539 32593 34627 16677
~ ~ 538 33302 l 35289 17210
537 33976 36000 一^17699
536 34661 . 36701 18232
535 35387 37377 18792
534 36096 38026 19375
533 36818 38698 19938
532 37527 39426 20478
531 38285 40157 21061
530 --,一- 39072 40857 21635
529 39782 41562 22242
528 40496 42273 22832
527 41219 43003 一^2-3432 - -
526 41943 43777 24075
525 42716 44512 24695
524 43484 45291 25322
523 _ __ 俨九 俨人--4 -- 4287 46101 25960
522 45097 46841 26589
l”~贮 521 -~ 45874 47608 27264
520 46713 48420 27943
519 47502 49184 28595
518 贮^ 48340 49952 29283
517 49174 50796 30019
l
516 50004 51641 30778
515 50859 52443 31505
514 51662 53242 32268
,S- .i
513 52560 54068 飞2998
512 53447 54859 33818
511 I 54267 55670 34631
510 55140 56491 35431
--
509 55983 i 57325 36213
508 56870 58200 36969. 5.
二、2020—2022 年河南省普通高校招生分数段统计表(文科)
考生人数
分数 - -
2020年 2021年 2022年
507 57786 59025 37767
506 58638 59906 38592
505 59518 60750 394[4
504 60432 , 61580 40236
503 61327 62413 41009
502 62281 63254 41865
501 63123 64100 42740
500 '0,.J^7^7气' U/ 气7L.I 43646
499 64955 65834 44536
498 65884 66708 45402
497 66799 67589 46291
496 67788 68472 47205
495 68747 69370 48113
494 69685 70291 . \` 48998
493 70609 7ll90 匕 49917
492 71597 72125 飞 50820
491 72538 73024 51788
490 73446 73919 52692
489 \ \ 74425 74794 53630
\ ,\ ',, . \ \a. 4· x88x,, ,, \.\, \, \ , 75350 75691 54646
,\ \\ '': , 487 ` \ 76341 76616 55616
\ ` \ i 486 `\尸七 ',"'' 77287 77519 l 56565
v 78230 78405 57598
\\485
484 79205 79316 58561
483 80203 80250 59583
482 81118 81132 60563
481 82115 ! 82022 61568
480 83122 82978 62599
479 84136 83858 63579
478 85132 84787 64636
477 86190 85681 65677
476 87172 86581 66739
475 88087 87514 67740
474 89051 88448 7二18:67恚99403必五~ 气~q爷七—
473 90033 .十 89423
”
472 91034 90400
471 92059 91379 .\.编了、"--· L -,芒长
470 93080 9L这入夕92 L心已,冬aa中-尸4尸”、-.•十,` f, 72970,\矿\二仁
469 94118 究316 '",乒 >上'已3',了1 , 74062
|
468 95112 94296 75194
467 96094 95210 76258
466 \ _.\ - I ,II 97100 96112 77310
:
465 ''~\\' I• .; \ I' ,,,, 98090 97046 78388
464 \ 99115 97930 79496
463 100093 98832 80605
462 101122 99769 ! 81692
-----
461 102138 100660 82819
--
460 103143 101621 83883
459 104203 102514 84968
458 105191 103446 86120
~~
457 106214 104383 87224
456 107245 105269 88323
455 108265 106136 89426
454 109277 107024 90557
453 110292 107929 91756
452 111286 108809 92856
451 112345 109654 93931. 6.
第一章分数线及分数段
考生人数
分数
2020年 2021年 2022年
450 113304 110592 95097
449 114288 111572 96236
448 115258 112491 97409
447 116267 113468 98565
446 117304 114404 99663
445 118360 115305 100731
444 119398 116212 101832
443 120435 117106 103008
442 121493 118040 104144
441 122516 118982 105250
440 123509 119888 106377
439 124531 120864 107491
攻:::~·户~
438 125508 121825 108627
437 126529 122730 ` 109822
,
436 127544 l23710 111016
435 128552 ,、 气.?~?~~夕 . 尸 > 1~ ~ ~ 124587 尸? .编尸~ _ 112168
434 -' l29575 r 125544 113361
433 迈才~飞1, 贮~ `? \ l30604` ~ ~~.- ,~义产"' ~·,. c> 126501 114528
-r i 一 i /夕- 4 4 ` 3 3一 1 2 r 一', / 1 J 1 I i I l 1 3 3 2 1 6 6 6 2 5 4 1 1 2 2 7 8 4 3 5 2 8 5 1 11 1 6 5 8 6 5 6 3 0
'\\\'f子.•'~·~l''., \\ ,亡••·c -·-~4~·3.:,u'0 .v~i~ ,矗'',,.- : ;: ~~-飞i `~" 等?夕~~..、~ { 133668 129277 117990
亡 429 了气 134657 130194 119088
-炉_7` 2-- 2--俨_g“飞~1乙L l- 428 135737 131113 120198
427 136727 132034 121335
426 137768 132982 122482
425 138749 133879 123654
424 139755 134824 124827
423 140776 135755 126057
422 141785 136731 127212
421 142768 137727 128366
420 143812 138600 129540
419 144844 139565 130688
418 145887 140519 131868
417 146967 141441 133019 一六夕_俨
416 148017 142453 134202气~ - ~~.C ~·:一 ~气 = J了~ ~•~ r~ ~二 名~ ~: •. :
415 149065 143362 135408 ~二俨 飞
“一
4
4
1
1
3
4 1
1
5
5
0
1
0
1
9
1
8
2 矗~_~ 1
1
4
4
5
4
2
2
4
9
4
4令心 ~:
------\-
`夕:~ ~ 卜
,~ ~_ ~
1
l
3
3
6
7
6
8
1
0
9
7 ~一,~b 尸气~ ' 、 `
412 152087 i 146199 坏夕~ ~ r 138987
C ~':~“,- :~ .,~.'-
411 15.一3广l34 令~'~~~ ~ : ~ 2 ,i 飞.-.·七·夕.、“;心~~ , 1`4 ;',7 175 ,',. :, , 140180
410 __一 夕产•.一''.~ 二'~~^'~l-` /J俨八~5~ 4W7 \L飞~ 飞勹, .尸r-•夕?4 ` .- 今 l48l0,,-9 141459
409 了\了:: __\咖',~) ` l、八5t芯5••·'1•'9"9 , |,r~ 149040 142616
408 \\ ;\ \心-~>\` \\ ~一-`-夕 了3/ '-•-C l56295- 149994 143782
407 \? ':,_. \,矗~ `~ 歹 产产-又''`.i ,157407 150941 144945
406 厂:,'于 158441 151882 146124
';飞
405 159470 152895 147350
404 160534 153847 148523
403 161586 154810 149776
402 162622 155754 150967
401 163644 156758 152254
400 164715 157726 153482
399 165734 158709 154667
398 166825 159706 155967
397 167851 160697 157219
396 168905 161619 158380
395 169981 162625 159626. 7.
二、2020—2022 年河南省普通高校招生分数段统计表(文科)
咖咖
考生人数
分数
2020年 2021 年 2022年
394 171006 163613 160821
393 172081 164630 162042
392 173096 165608 163301
391 174167 166551 164511
!
390 175268 167526 165716
389 176296 168512 166977
388 177416 169516 168250
387 178550 飞L-I[V\.仁J《O"I 169538
I
386 179603 171586 170772
i
385 180620 172582 171983
384 181734 173558 173213
383 182820 174478 已 174502
382 183875 175456 \ 175731
了~ C产气'
381 184983 --, 176451 )'.f.;i,比'(",''~,'~'b (~占',' 176992
380 186060 I 22子 177476 '178265
379 187124 ;, I 千它~-- 178501 沁: T 179514
378 188254 179481 180776
377 ~ ~ 189307 I 180490 182033
/ / J
尸一3祁IA 19 0385.,了E 181478 183359
刁75主 它;;:- 191483 182464 ~ ~ ~ 184700
\, _一 ~.t; ~ 3,匕7 ` 4- . " ?义\匕~:`己七 192561 183484 一· 1859飞2
\ 373 193652 184547 187202
- 372 194763 185479 188409
371 195875 186460 189738
370 196985 187469 191033
369 198119 188409 .;i 一 192336
368 199197 189476 193690
367 200314 190485 194991
366 201339 191554 196341
365 202429 192572 197614
364 203575 193591 198903
,
363 204711 194637 200249
362 205841 195624 201549
361 206979 196657 202778
360 208082 197624 203916
359 209168 198650 多产 卢 了 2Q5212
7
358 210263 )99644 二~罕 -`二 2J)6-'l,65
357 211372 ,i 令气~于, 会下令~ ~ ~~尸~2 /~ 00657 ~占 $ ,、,.•心• 2 ~ 0 7684
-
356 212486 201669 208977
355 213600 202693 210272
354 •• \:夕: 21470l 203694 211551
353 :;: :三i,\ 215813.,::: 204689 212838
352 了¥•• \.... • -, 216939气 205683 214108
351 -《勹》; 217993 206722 215285
350 219081 207734 216616
349 220158 208753 217891
348 221223 209758 219108
347 222243 210727 220343
I -.
346 223277 211712 221594
345 224343 212721 222771
344 225358 213717 223998
343 226396 214731 225217
342 227482 215802 226413
341 228530 216793 \ 227655 ”“
”- 340 229594 21一7匕789 228855. 8.
第一章分数线及分数段
考生人数
分数
2020年 2021年 2022年
339 230666 218794 230003
338 231723 219793 231258
337 232767 220807 232452
336 233823 221808 233659
335 234890 222791 234908
..
334 235911 223767 236069
333 237013 2:24764 237232
332 238075 225724 238394
331 239163 226706 239549
330 240200 227648 240679
329 241241 228592 241860
328 242283 229591 243008
327 243353 230524 244191
326 244367 231496 245366
325 245461 232444 246476
324 24 65?l ,:,?气; 233380, \ 247558
323 2476O3 \ '' 234311 248623
` `
32-2 t \ - 凡 248680 235219 249651
顷 I I 飞 ~3 2 20 1 , . . , L { L, k '1 , 1\ \ \ \ 2 25 4 0 9 7 7 7 0 5 0 \ i \, 2 2 3 3 7 6 0 1 3 4 8 9 2 25 5 1 0 7 7 3 3 5 0
\ \ \ 3 19}夕\` i,\ 251853 237976 252795
I 318 252901 238868 253881
认L\,\ 3 17 253934 239765 254941
316 254952 240688 255946
315 255990 241559 256955
314 257056 242438 257977
313 258061 243378 258966
312 I 259096 244235 259938
311 260118 245107 260906
310 -,-`` 261167 245966 261916
309 I 262221 246819 262872
308 I 263211 247689 263856
; --.“``
307 264214 248573 264800
306 265265 249455 265721
305 266264 250321 266678
304 267248 251221 267637
303 268234 252069 268568
302 269166 2.52885 269455
301 270-1 ~ 5~ 2 .,`---飞立 ? 夕 -,_T 一. -于- r =~ 2'i3719 270308
300 21之`l,~J士沁3 一,,L1, .~'-.卢,.-.'. 、 -、 254567- 271196
299 r-S 272i彶 俨亡 255359 272104
298 \ \' 273026 :;一.` 256171 272996
297 i-}, •-. ` 274020\ 256999 273902
296 274994 257819 274752
295 275919 258633 275590
294 276857 259407 276477
293 277851 260231 277351
292 278796 260961 278159
291 279751 261811 279014
290 280648 262550 279816
289 281525 263277 280646
288 282382 264058 281438
”“”“ 287 283328 264756 282184
286 284255 265509 282971
. 285 285151 266241 283733. 9.
二、2020—2022年河南省普通高校招生分数段统计表(文科)
考牛人数
分数
2020年 2021 叮 2022年
284 286l3l 266960 284502
283 287062 267702 285208
282 287969 268451 285971
281 288880 269173 286747
280 289840 269844 287461
279 290701 270565 288237
278 291580 271301 288965
277 292459 271974 289663
276 293302 272642 290325
275 294169 273333 291038
274 295026 274006 291736
273 295840 274712 ~子总归飞牛&\扫多沪多产\,:气孕,令莎夕宝扛夕令六岂 292397
·· ;;:
272 296665 275367 293019
271 297473 已 士 6 - 飞 1 ' 、 5 6 - . - ' 1 l I 0 6 - 5 5 o 1 9 7 1 3 7 l . .. , I I . 一 l · l 1 · 2 2 l 5 1 l I I l ! 1 2 3 4 . 8 3 j I I l 1 O 2 1 5 5 61 1 7 0 5 5 7 9 7
二南大学 g产c I 2022 12 I 605 I 119 I 134 I 11 883
20221 12 I 640 I 123 I 139 I 12 896
2020 13 I 630 I 128 I 132 I 14 989
2022 16 I 633 I 120 I 141 I 11 110
0
复旦大学 2021 10 I 663 I 142 I 145 I 11 108
1130
2020 12 I 657 I 12'6 I 131 I O 83
6
复旦大学(单列专业) 2021 6 I 663 I 134 I 147 I 11 108
2-28
1131 复且大j书1矢叶院 2022 2 I 581 I 121 I 128 I 6 3294
2022 28 I 597 I 124 I 104 I 8 1415
1135 湖南人旱 i 2021 I 32 32-35-4 6 3 3 - 4 4 2 I - 4 1 2 4 - 1 5 1 I - 6 1 2 3 - 7 6 5_4 12 1351
//勹
23 1479
9 946
1140 华中科技大学 尸 12 8贮9仄仄仄6仄仄
。 989
12 1331
吉林大学 9 1610
9 1757
1145 4 6
2022 56 2997
吉林大学(单列专业)
23 1 52 4672
',
吉林人学(异地校区) 丿 () 44 5041
I I …~. 尸一己. \夕 -; ? 117 I 15 48-41-55-39 4 - 3 4 3 2 9 _3-63-69-62-99-101-93-84-92-84-65-69
江南大冲 \ , J,编 一-i-i一/-~/了飞` ~ 13 ~ l ' i l2 7011
1150 I I ', \\ 飞 . ( _ :. 一 \ \ .'; - : '尸 : 』 尸 一 } 二 了 飞兄~一'-一 i 2 2 0 0 2 2 2 0 26 3 -3-2-33 2 3 7 -3-1-33- 6 3 1 2 1 -2 5 5 6 - 6 1 2 1 6 7 0 - 0 1 5 6 5 -1 1 3 9 6 5 - 9 3 0 9 6 -4 2 1 7 - 6 4 91 1 80 _ 6 5 12 -5 64 60595614916111161504614405 3 6 0 3 0 9 5 7 62 2 2 61 217 11011
江南大学(较高收费专业) 2021 6 4
一'`','
6776
2020 1 - 20516
2022 1 1 2097
5 1
1155 I 兰州大学 2026
贮 1 0 _ 2080
2 1
200
9 4
1160 i 南众人学 1 3 174
2020 I 16 坪
2
国1 197
2022 I, .一39 1 4 21 588
1165
南月大学 2
2
0
0
2
2
1
0
1I
4
41
l
2
9
1
1
1
1
2
3 4
3
4
8
9
3
三 1 7 01 1853
南什人子(较的收费专业) 2 93
2021 I 5 1 2026
9 19
3
1 31
5
2 93
11
17
11
3-
28
31
91
10
13
26
21
61
61
13
3 56
8
0.
一、2020-2022年河南省普通高校招生本科一批院校平行志愿批量投档最低分(文科) 13.
年份 1 公布 1实际投档1 投?最低了 1 投档最低分 投档最低分
院校代码 院校名称 归I 人数 总分1语 文数学外语听力与分数线差值1 位次
贮 71-78-70-47-47-67-72-64
器
山东大学 归 噩
1170
詈
山东大学(护理专业)
器
18l20l24 18-20-24 11-27_0
2022
归 昙
山东大学威海分校 2021
2020 雷
1173
2022 I 2 · I 2 I 591 I 128 I 129 I 11 I 64
望
山东大学威海分校(较高收费专业) 2021 I 2 I 2 I 62s I 135 I m I 14 I 67
2020 I 2 I 2 I 619 I 116 I 143 I 9... \ 63 詈
I I I I I
2022 11 11 s9s 119 120,J o:;,、.,七';,,"于,71
四川大学 2021 9 9 641 120 133二:七1 8\ '心,飞义斗, 83
1175 2020 I i:i I 13;,~""l 63也归 133沿\,“8\ 76
2022 I ·",4毋飞产 581 芦 ll9 17心3, 54
四川大学(单列专业) 冷皿l翌 ,了,5,归 5,治:1;1, 604 I p9飞'\暖 \又\ l-1 46
,飞气, 心四 叨 92, 6l5\ \立7''J121 I 14 I 88 4
\ 武 '\ 汉 --_大 ,1,' 学 ,,\ \ 中 `了 \ \';爷;\, 卢 't , :王 飞 ,: 一 , ,' 心 气, 、\ 森 \ \ 如 硐 i., i 99; \,\\ \99飞§',,648 134 138 0 90 5
, ;l,9l;' 91639 l26 128 6 83 8
_
心飞 `卢,\ ' ' ; \大\ 一~1'学J,,,1`叩«( S\ 员:,`玩,',, \,,节;贞\ \k`1 2022 2 2 587 113 122 23 60 -
2021 3 3 62O l29 135 14 62 詈3
飞又;
,,\!'1`t\:,~;、,,心,» I 2020 I 4 I 4 I 612 I 133 I 139 I 23 I 56
詈-
§ 20221010 590 131 106 11 63 4
武汉大学(单列专业) 2021 I 8 I s I 607 I m I 138 I 26 I 49 噩
8
2020 I 5 I 5 I 623 I 13S I 12S I 11 I 67
7
2022 I 13 I 13 I 604 I 134 I 114 I 11 I 77 9
1185 西安交通大学 2021 I 12 I 12 I 640 I 141 I 132 I 29 I 82
4
2020 I 2 I 2 I 631 I 121 I 143 I · 14 I 75
1189 西交利物浦大学 二
20221 S 5 O 145 I 2 92 SO 95 21949 I 59 S 28
5
2 92 9 212 1 912 1 E19 2 2g9 2 9191 l 718 9 I
1
2jT1 3 1021 I 63 511130206
2
1 1 1 612 103510226 I 03 112203752120
1
2 2 9 531122539112320195P11l01152呻 6021g 31130110219102 0127121121138124127134131127122
芒 6 1 7 9 1 1 咖 -
9 0 1 2 7
厦门大学 i 5 1 4 3 8 0 58
6 3 0 8 急覃9
1 1 1 1 2 2 1 1 0 0 9 9 5 0 5 0 厦 浙 华 中 门 江 北 南 大 大 电 学 学 力 财经 大 政 异 学 \ ` 、 ` ` , \ 法 校 保 尸 党 地 二 大 了 , , t ! · , 了1 lt 劂 严 厂 厂 ,' f 二 厂 ; X , 入 ` r d ; 1 t 了 曳 它 望 邑 芯 趴 ` 旷 ' 娑 ` , 汽 氐 艺 盂 艺 , 细 芒 忑 g g i g 芒 》 \ 氝 5 芦 了 三 昙 1 7 1 1 2 1 芒 巠 8 6 0 7 6 4 4 6 3 5 5 7 0 2 6 0 7 6 0 切 霆 隔 1 2 1 1 4 2 1 5 1 1 4 1 4 5 1 3 2 9 7 1 4 1 4 7 9 , 5 1 2 5 9 1 8 0 8 1 1 6 1 9 1 1 4 5 尸 产 ` 愍 翌 初 吓 跻1 0 0 9 3 4 6 4 6 7 9 了 袒 、 如 ' , 主 年 了 叭 严 勹 叩 础 砌 扂 需 2 8 3 1 9 0 1 9 7 6 6 7 9 6 - 9 2 5 - i
1210 中南大学 芒 6 7 2 5 6 1 1 9 4 骂
盂 g 0 86 1 1 1 6
g 2 4 5 7
1215 中山大学 二 5 9 0 0 1 4 9 5
艺 7 2 1 4 1 2 7 础 9 7
1220 I 华北电力大学(北京) i 5 3 1 1 0 6 部8
2020 I 10 10 I 6180 I 119 I 12 1 9 I 213 54 32516
3 1 4 6
6 8 1 7
4 6
6 1 8 1 9
2 7
2 2 8
8 1 7
4
6 1 1
8
2 1
3 0
0 0 8
5 1 4
2 7
9 7 9
8 1 4
4
6 6 7
6
3 1
3 2
6 3
6 1
0
2 3
7 1
3
6 1
0
7
6
4
2
6
3
5
5
7
4
6
2
0• 14 • 第二章报考统计
公布 实际投档 投档最低分 投档最低分 投档最低分
院校代码 院校名称 年份
计划 人数 总分 语文 数学 外语听力 与分数线差值 位次
2022 18 16 532 118 84 12 5 20478
1225 北京化工大学 2021 19 19 6l6 131 141 9 58 3636
2020 17 17 606 115 131 29 50 3880
2022 23 15 544 118 116 8 17 14280
1230 北京科技大学 2021 23 23 625 117 148 。 67 2250
2020 23 23 618 131 126 18 62 2080
2022 14 15 588 119 111 。 61 2334
1235 北京邮电大学 2021 14 15 624 130 142 11 66 2380
2020 9 9 605 120 126 9 49 4047
2022 16 16 577 116 126 12 50 3958
1240 长安大学 2021 17 17 612 142 112 。 54 4295
2020 14 14 603 124 125, 4444
三11`泣俨`七
1245 大连理工大学 2022 10 10 请 区亡;_-“ 4 6 7 2 2203
2022 10 l0妇芯 115$ 句 67 1666
1250 电子科技大学 2021 眨二,飞&3尸吵7止:扭丘"上·令尸亡`轰-心妇:的 ,19乏 139 -牛. l4, \; :才六_. 72 1708
心位0· 7./夕`“石 621 12~\ \ l,_3 3\ t, 匕() 65 1757
38., .5卧茫i19 123 26 57 2836
东-/北产三大一二学了 责立夕礼`?,,念、^3'孚 尸气义巳言平芦毋 l立-22位92位Tt女
1255 ,'\ ' v\ 2O;, 37,, c, .心炉j7\.'1625 123 129 。 67 2250
:、初 37 616 120 141 14 60 2360
1芶8,,歹\\东北大学秦皇岛分校 文七夕、亡、菩.,江,} 农t t \ 2022 2 2 574 120 lrrt 14 47 4515
12卢丿- 已L»知`'.\\-'`--夕飞` 克 _~,.心 .. .职,.\·,., , 业 ,? .-大-.午学一.,; \'-k,,- S ', 心r '` :-尸于、勹'言心勺夕、,,飞二 二;~ 2022 15 12 550 118 103 12 23 11606
,/ 2021 15 15 610 139 123 9 52 4672
2020 15 15 601 122 137 11 45 4835
2022 23 23 572 118 114 8 45 4934
1268 合肥工业大学(宜城校区) 2021 23 23 607 137 117 。 49 5241
2020 23 23 597 133 132 11 41 5757
2022 28 28 581 115 111 3 54 3294
1270 河海大学 2021 30 30 617 136 138 26 59 3477
2020 22 22 607 137 127 。 51 37i2
2022 42 40 535 116 105 12 8 18792
1275 华东理工大学 2021 40 40 621 132 140 30 63 2798
2020 40 40 612 127 132 24 56 2903
2022 23 23 592 127 l l· 1 2 65 1853
1280 华南理工大学 2021 23 23 630 118 140 11 句72 霍,勹` 七忠多708
2020 23 23 623 122 132 15
2022 13 13 573 120 111 心。1$ 召,空 .,沁 虚女哆气`-
1285 大连海事大学 2021 13 13 611 129心祖社 夕.9多 ;芒分53屯- ...妇4
酰li59g, 104 3项 o心 一舱、久”-,5: L,' }'“6气00尸6
'129 六 1l`汰飞 1a1'110 78
1290 显'J',' :义i 3七 109 70
65a,\令~1283 139 11 102 75
577 125 106 11 50 3958
1295 610 134 140 18 52 4672
582 124 129 5 26 10223
中国石油大学(`七北吓飞$,心京,了)飞克`拉:足玛切依校'区 2022 25 25 557 116 110 12 30 9039
1296 r” 2021 19 20 591 130 127 12 33 9192
2020 14 15 580 130 133 。 24 10935
2022 14 14 577 124 100 12 50 3958
1300 中国石油大学(华东) 2021 · 25 25 611 126 133 15 53 4474.
2020 26 26 604 124 142 12 48 4240
2022 24 24 603 124 134 6 76 996
1305 天津大学 2021 25 25 638 130 141 9 80 1031
2020 21 21 629 128 133 18 73 1077
2022 15 15 609 126 116 。 82 669
1310 同济大学 2021 15 15 645 126 147 29 87 617
2020 15 15 635 131 135 9 79 669.
一、2020-2022年河南省普通高校招生本科一批院校平行志愿批量投档最低分(文科) 15 •
公布 I飞 砅投档 投档最低分 投节蚊低分 投档最低分
院校代码 阮校名称 年份
计划 人数 总分 语文 数学 外诏听力 号分数线差值 位次
2022 37 38 577 116 125 12 50 3958
武汉理工大学 2021 41 4l 615 130 139 9 57 3798
2020 39 39 608 125 130 11 」 52 3546
1315 ---
2022 3 3 573 121 119 14 46 4713
武汉理工大学(较高收费专业) 2021 3 3 590 120 115 11 32 9516
2020 3 3 611 121 133 11 55 3072
2022 44 46 577 121 132 6 50 3958
1320 西安电子科技大学 2021 47 48 612 129 U/ 18 54 4·-4·y、:~)
2020 50 50 604 128 134 11 48 4240
2022 24 24 579 122 108 12 52 3609
西南交通人学 2021 25 25 619 120 145 11 61 3125
1325
2020 23 23 610 127 l l 6,', 9 54 3216
西南交通大学(异地校区) 2020 5 5 589 125 125三-'- 0 I 33 7989
2022 35 35 57§'~各` 尥2 lO户l;,,七, -旯了 8 51 3783
中国海洋人学 2021 31 32 628' ,1126 135 .,·. l5 ! 70 1917
2020 夕仁心.33- 33 619 1.19 144 r'9 63 1981
1330
2()22 4 4' 584 115 113 17 57 2836
中国海洋大学(较高收费专业) 2021 4 4 619 130 137 11 61 3125
',
2020 4 4 609 126 127 29 53 3375
'
I ` \', 2022 5 5 564 126 99 11 37 6902
1335 中国地质大学(北京) 2021 5 5 622 131 127 12 64 2650
;r : :,(:r 2020 ` 5 613 118 141 9 57 2756
t匕^ 2022 14 14 578 120 121 12 l 51 3783
1340 中国地质大了(武义) 2021 16 I ]6 616 128 148 15 58 3636
2020 16 611 122 136 l 5 55 3072
I_l7
2022 12 11 533 112 113 15 6 19938
1345 中国矿业大学(北斤) 2021 JI 11 618 132 120 9 60 3294
2020 11 11 608 132 128 。 52 3546
2022 22 22 574 120 109 9 47 4515
1350 中同矿业大学 2021 24 24 611 123 132 12 53 4474
2020 26 26 602 129 122 11 46 4631
2022 10 10 599 117 129 。 72 1260
1355 重庆大学 2021 12 12 634 124 146 26 76 1351
2020 I K l 8 627 131 123 8 71 e 221
2022 53 53 575 116 120 3 48 斗339
华中农业大学 2021 53 沪 609 130 125 吃 11 51 '七文 ,;归:`'4,..,8六34
1360
2020 46 46 603 118少 芦 芬。 47 一如
华中农业入平(较高收费女业) 2020 8 8 55 73, 1 17 扛8 23 l 匀 屯\心215.54
2022 _, 34 36 573“女?8J25 i, l03- 6 46 4713
`
1365 南京农业大学 2021 31. 31 6I1 134 135 15 53 4474
2020 31 31 604 128 123 。 48 4240
西北农林科技\:大编心·学 2022 39 , 40 579 123 127 9 52 3609
1370 ,-\ \ 1i _.. \ 2O21 40 41 615 126 131 。 57 3798
2020 38 40 606 127 117 6 50 3880
; 2022 15 16 594 123 125 11 67 1666
中国农业大学 2021 1.5 16 633 1,23 139 29 i 75 1425
2020 14 15 625 128 133 II 69 1401
1375
2022 () 6 574 125 116 14 47 4515
中国农业大叶(较心收帮七业) 2021 6 6 612 132 131 。 54 4295
2020 6 6 611 114 136 18 55 3072
2022 13 13 582 110 127 ]2 ! 55 3138
1380 北京林业大学 2021 13 13 621 124 146 15 63 2798
2020 13 13 613 130 129 。 57 2756
2022 40 40 548 115 ]16 11 21 12452
1385 东北林业大学 2021 41 41 606 119 136 5 48 5444
2020 42 42 598 117 134 8 42 5502• 16 · 第二章报考统计
公布 实际投档 投档最低分 投档最低分 投档最低分
院校代码 院校名称 年份
计划 人数 总分 语文 数学 外语听力 与分数线差值 位次
2022 5 5 593 117 126 8 66 1750
1390 北京中医药大学 2021 5 5 625 135 146 6 67 2250
2020 7 7 612 129 123 11 56 2903
2022 6 6 576 116 119 6 49 4149
1395 中国药科大学 2021 5 10 608 126 142 9 50 5050
2020 5 5 602 125 129 11 46 4631
2022 37 37 613 126 131 11 86 521
北京师范大学
2021 · 39 39 647 133 145 。 89 507
1400
2022 2 2 582 125 101 8 55 3138
北京师范大学(单列专业)
2021 2 2 639 131 128 · 24 81 966
2022 10 10 599 125 129 9 72 1260
1401 北京师范大学(珠海校区) _,,,
2021 8 8 633 121 140 Il` 75 1425
2022 37 37 581 l23 108 1 1:、 '; 54 3294
东北师范大学 2021 36 36 C 614下 13.3 .133 、 11\ 56 3948
2020 50逵-, 50尸` 605 118 128 l.1 `”,”:'49 4047
1405 飞`加22 , 5 `, : 5 566 119 l31; ,、 ,14 39 6352
东北师范大C-1学(较气入高总平`收屯丈费`专业'I)'一·子,亡-·.心1尸 守2O21) 2 2 608 127 144 14 50 5050
}
, 2020 2 飞`, \ \2 594 120 131 18 38 6558
\东北师范大学(单列专业) 心 2O20 i : I“3 3 590 119 132 17 34 7699
飞f\\
` !一.,,,心产大,-,.气\
3;'-'2022 33 33 605 120 132 II 78 883
14\ 2021 36 39 643 l26 147 。 85 720
j` ^ \ 2020 39 44 631 124 139 15 7S 925
,
心`'"i \,:飞,,[ 2022 54 54 590 124 120 5 63 2097
1415 华中师范大学 2021 50 50 626 127 141 11 68 2133
2020 47 47 617 131 139 11 61 2213
2022 52 55 579 125 114 11 52 3609
1420 陕西师范大学 2021 44 48 620 134 132 12 62 2955
2020 41 43 611 135 133 11 55 3072
2022 16 16 586 119 114 15 59 2572
西南大学 2021 17 17 624 128 135 29 66 2380
2020 25 25 614 127 129 15 58 2635
1425
2022 6 6 570 113 121 。 43 5373
西南大学(较高收费专业) 2021 6 6 583 117 133 11 25 11833
2020 5 5 609 120 131 27 . 53 芦玄乙飞~375
2022 9 9 571 115 99 9
谔,.'炉斗--芍、·`·丈牡
1427 西南大学(荣昌校区) 2021 7 7 609 122 144 一`于:9飞、y ·. •1 ··.
"
2020 7 7 600 124心,于J3I 了8)夕令 个 ',5凶l
北京外国语大学 2 20 0 2 2 1 2 -- 1 1_- 9 -6- 荨 t ; 砂 飞六,64`芷 `可 3 '' 贯 ` ,,,, , k切飞卢 ~ 沁 1 1 3 1 5 4 '气 1 1 2 2 : ” 1 6夕 , 了 ' , 2 1 3 5 吁 1 炉 尽 \'娑,,' 的 7i -产1`- 5 c i、`F ` \ `. 1 1“匕7 8 5 0 0 2
.., r `祀, t ... .-.山`,`,七. 切 l22 d编了 飞卫2; : ..飞 :1 i 48 4240
1430 红外晌梵,\';六归,产1勹e了石户之) 平磁.飞\咚2宅 59L上、坛九边 127 8 64 1979
4 ,六 `',4正 气615 122 134 17 57 3798
|,`, r 3 4 618 130 126 29 62 2080
北京外国语大学(单列专亚)了.r\'·:'\ ~2O20 2 2 625 127 133 15 69 1401
北京语言大学 七c节``它飞尸 2022 . 24 24 571 122 118 。 44 5159
“?
1435 2021 22 22 609 120 129 15 51 4834
2020 21 21 588 127 110 9 32 8305
2022 9 9 544 114 103 12 17 14280
1440 上海外国语大学 2021 9 9 635 127 136 9 77 1273
2020 11 11 626 134 136 12 70 1298
2022 14 14 601 130 127 9 74 1118
1445 上海财经大学 2021 14 14 641 122 143 20 83 840
2020 14 15 635 134 137 9 79 669
2022 29. 29 602 127. 114 3 75 1051
1450 对外经济贸易大学 2021 31 33 638 136 149 。 80 1031
2020 27 27 625 127 135 。 69 1401.
一、2020一2022年河南省普通高校招生本科一批院校平行志愿批量投档最低分(文科) 17 •
公布 实际投档 投档最低分 投凸最低分 投档最低分
院校代码 院校名称 年份 i 1划 入数 欣分 语文 数学 夕卜咱听力 与分数线差值 位次
2022 贷 33 590 126 113 12 63 2097
西南财经人学 2021 30 32 627 131 131 9 69 2026
1455 2020 27 27 i 619 129 132 11 63 1981
2022 5 5 578 130 113 9 51 3783
西南财经大学(较高收费专业)
2021 4 4 613 124 124 。 55 4108
2022 30 30 595 123 122 30 68 1573
1460 中央财经大学 2021 32 32 636 128 141 27 78 1195
2020 26 26 632 130 141 。 76 ~尸·· 840
2022 55 55 590 120 131 9 63 '2097
1465 中国政法大羊 2021 55 55 637 127 147 11 79 1109
2020 52 52 633 127 137 11 77 786
2022 21 21 587 121 109 _七 8 60 2452
1470 中国传媒大学 2021 20 20 6归32,[夕,l括 旦8言- 0 74 1511
2020 21 21 ll9 >兮 11 I 66 1657
2022 10 l () 121 lJ I 80 759
1485 北京航空航大大学 2021 L已.10,、人 10飞一 643 136 139 ~ '1-5 几人 —— 85 720
2022 n、:4. - 11 , 5 602 123 121 18 75 1051
1490 北-夕京'.,理_.一工·;',大i/I\学I' ,'i介-夕,,一1'.,,",t;','`,了''飞 2021 10 ,, \l夕0. ' 634 137 139 1 1 76 1351
\ • ,\ \ '',,',f '' ',, , 2020 - -H-l0 10 629 122 135 。 73 1077
1491 深圳北理莫斯科大学 ~''.尸, , 2、,022 3 3 528 119 102 。 1 22832
\ ', I - ___ 1 '.---』勹飞飞忙_'..\ ,- 5夕, 2022 19 19 569 121 118 14 42 5617
1495\ . J - \广 `“哈_仁二\3尔,滨~ 工业大学 2021 18 18 631 143 124 3(2二 ; 73 1610
笠,'令朵s 20.2O 15 15 623 120 137 l . 67 1563
2022 19 19 573 119 108 11 46 4713
1500 哈尔滨工程人学 2021 26 26 609 130 129 30 ! 51 4834
2020 24 24 600 126 118 () 44 5041
卜一
2022 22 22 587 111 119 11 60 2452
1505 南京航空航天大学 2021 26 26 622 131 149 12 64 2650
2020 16 16 612 130 139 11 56 2903
2022 12 12 591 114 116 9 64 1979
1515 西北工业大学 2021 7 7 627 130 140 。 69 2026
2020 7 7 615 I 18 136 11 59 2509
2022 17 18 587 117 122 11 60 2452
1520 暨南大学 2021 21 22 623 140 149
2020 14 15 614 126 138 /乓
2022 5 5 565 117 100
, 1550 北京工商大学
2021 5 5 588 124,函 尥3
2022 18 8 5疫_(120 1供
1565 北京第二外国语学院 2021 13 13 60a尸7`^ '121 芍1沁 23S. . 49 5241
1() 1 :
2020 1()尸, 602 128 135 9 46 4631
2022 8 8 -569 122 110 11 42 5617
,廿丁 又,\飞学` (飞`,了>一'\:了\\'I,,三了'夕了'-,一',:--、气-,{-.'-,,.歹之气'',,,,归',,夕-\
1630 .,,`_ \ ,'\\ \ ,-\, 2021 l0仁;, 10 610 121 140 9 52 4672
L
2020 10 10 603 119 135 15 47 4444
\\ \_ _.
勺匕飞 J一 飞 '2022 22 22 559 123 123 。 32 8379
,
1635 燕山大学 - -"~ I 2021 20 20 593 123 112 9 35 8604
l
2020 20 21 589 123 117 () 33 7989
2022 10 10 543 125 110 。 16 14743
1640 石家庄铁道大¥ 2021 10 10 579 121 121 。 21 13277
2020 10 1() 578 116 120 () 22 11728
2022 27 i 27 1 565 117 120 6 38 6625
1660 山西大学 2021 25 25 592 127 143 12 34 8893
2020 29 29 589 128 111 17 33 7989
2022 14 14 567 116 93 8 40 6099
1680 内蒙占大学 2021 12 12 604 117 149 12 46 5874
2020 11 11 593 122 125 。 37 6823`
· 18 · 第二章报考统计
I····,
;|
件(I 一 三/勹三三权才{最氏}
院校代码 院校名称
I I I
2022 43 1 43 575 119 106 0 48 4339
`
辽宁大学 49, 49 I 610 I 125 I 129 I 8 I 52 I 4672
! , 2020一 I ”49 : 49 I 603 I 125 I 126 I o I 47 I 4444
1690
2022 I 9 I 9 I 559 I 115 I 100 I 9 I 32 I 8379
辽宁大学(较局收费专曲)
2021 I 5 i 5 I 593 I l 13 I 121 I 9 I 35 I 8604
辽丁大子(单列右\II勹 2022 I 2 i 2 I sss I 114 I 104 I o I 28 I 9721
2022 I 17 I 17 531 I ll4 I 108 I 8 I 4 I 21061
1695 辽丁「悍技木大学 1 2021 I 15 j 15 I 567 I 122 I 123 I 20 I 9 I 18414
2020 I 15 I 15 I 564 I 118 I 133 I 26 I 8 I 17959
I 2022 I 10 I 10 I 559 I 123 I JOO ! 0 I 32 I 8379
东北财经大呈 202l l2 12 595 l27 132 二 37 8043
, 2020 I 11 I 11 I 607 I 123 I 12s I ll I s 1 I 3712
1725
I 2022 I 14 I 11 I 529 I 10s ! 1 11 I 6 I 2 I 22242
东北厮经人学(较汕收费存,lk) l 2021 I 10 i 10 I 591 I 123 I 133 I 12 I 33 I 9192
1 2020 i 11 I I I I 580 I 132 I 120 I O I 24 I 10935
1 2022 23 23 558 122 ll2 i l2 31 8687
延边大旱 1 2021 I 21 I 21 I 601 I 133 I 125 I o I 43 I 6544
i 2020 I 19 I 19 I 591 I 118 I 124 I o I 35 I 7416
17,10 _,
:I 2022 I 2 I 2 I 529 I 1 I 8 I I 02 j O I 2 I 22242
延边大学(较的收费专业) 尸1 2021二 I 2 i 22 /I1 5923 OI 1l34 2I 5130 I 14 I 35 8604
0 25 lO573
2022 I 7 I 7 I 527 I l 09 i 87 I 12 I O I 23432
:一长春珅丁大子 ;一一:;: ::: ::; / /: 二
1745
2022 I 19 I 19 I 567 I 118 ! 120 ! 11 I 40 I 6099
:: ::
4北人~:- 二
1760 -+
V叶] ::勹: :: :: ::: :::丿// 8 勹
1765 1 1
一二
~""t' ~ l i
l=-LldEtlil
J__1每理1大 J二 !二
:: :::
I
1795 /J_函j贸 ·一· 二 - :2020 i 二2s I 2/s I s91 I 寸12s I 140 I ~to5 尸I 335 0I 74716 —
---- ------ -— I -- -- --—- - _ _ _ ——, ---
2022 i 36 j
8
-/二二 /4444
l
J 1 2022 1 2s i 2s I sss I w 1 123 1 o ! 61 1 2334
1830 苏 — 州大羊 —一 一I 2021 二I 2s 二l 28 66214 912l249 146 9 1 66 1 ` 2380
I 2020 I 29 128 8 63 ! I 1981
::: ::: ::: (:一·
1835 I i 扬州入学 --— I 2 2 0 0 2 2 O 1 I 1 3 1 6 2 | : 1 : 4 594 129 127 1 0 : 38 ; l 1 6558一、2020-2022年河南省普通高校招生本科一批院校平行志愿批量投档最低分(文科) • 19 •
公布 人'们投们 投档最低分 拉档最低分 投档最低分
院校代码 院仅名称 年份 l `
计划 人数 灼分语文数学外和I/1人力 勹分数线,)T值 位次
2022 10 IO 俨a 535 116 91 14 8 18792
1840 江苏大学 2021 10 10 603 119 126 12 45 6107
2020 30 飞() 597 124 129 12 41 5757
2022 11 11 529 122 78 17 2 22242
1845 南京上业大学 2021 9 9 599 117 143 9 41 7011
2020 16 16 593 122 116 11 37 6823
2022 25 25 584 124 137 。 57 2836
1855 南京师池入学 2021 24 24 624 134 130 11 66 2380
2020 16 16 618 124 131 。 62 2080
2022 32 32 567 114 115 ll 40 6099
1860 南京信息」了程入学 2021 32 :; 32 605 123 133 () 47 5658
2020 19 19 599 118 124 I 。 43 5253
2022 9 9 567 l19 l18 k· 11 40 6099
宁波大学 2021 10 10 608:“ ~、~卜~J~1 ~J ~ ~?”- 2~5 ~ l37 8 50 5050
2020 旦 14 598: 立3 135 12 42 5502
1880
2022 6 6 547 113 83 9 20 12892
宁波大学(较高收费专业) 2021 5 5 584 110 143 11 26 11502
, ` 2020 3' 3 577 129 125 12 21 12113
2022 34 36 577 118 I IO 8 50 3958
1885 安徽大学 2021 34 36 612 129 137 27 54 4295
\
2020 25 28 605 123 136 30 49 4047
;,-~
\`福亡州'尸,大千,<,` .学 2022 10 10 575 115 118 3 48 4339
1895.尸`了飞 ,. 2021 10 10 615 122 140 6 57 3798
2020 10 10 609 123 136 11 53 3375
2022 39 39 577 113 113 。 ,I 50 3958
1910 南昌大学 2021 34 34 612 121 135 12 1' - 54 4295
2020 3 3 34 605 117 133 12 49 4047
2022 25 25 550 118 108 。 23 11606
1915 江西财经大学 2021 30 31 559 115 114 8 1 22467
2020 28 29 601 115 131 8 45 4835
2022 67 67 566 119 127 11 39 6352
1930 湘潭大学 2021 55 57 600 125 L34 。 42 6776
2020 56 57 591 125 134 。 35 7416
2022 37 劝 580 125 106 15 53 -咖咖~ 六~咖 令~ ~ : ~\ 一~3 \ 45 1
1935 湖南师范大r户 2021 20 20 619 134 134 11 61 三:f3125
2020 16 16 611 123 137 艺 8 55 飞':~ ; ·`i编~~咖-_\..?~吟、,上,咖咖3072
1960 广东外语外贸人于 2 20 0 2 2 1 2 1 1 7 9 1 1 7 9 5 59 5 'l 8 ;;e - 11开23]行 之。 30 3 31 4 , \ `\ ~ ' 8 3 ' 6 ,8 c ~ , 9 8 ' 3 7
2020 l6 16 601 130 120 O, 45 4835
2022 22 , 2~~ 2.~~ 580 116 119 12 53 3451
1965 深圳大学 2021 21 21 619 129 140 27 61 3125
2020 18 18 613 132 126 。 57 2756
',,,l飞,','' ',' ,', --,--%, ., \ 2022 16 16 550 118 110 11 23 11606
1966 深圳技术大学 2021 10 10 588 l27 132 29 30 10158
2020 8 I 8 581 124 113 23 25 10573
2021 10 i 10 594 118 138 () 36 8313
1970 华南农业人宁
2020 13 ! 13 589 123 117 I) 33 7989
2022 10 10 565 120 128 9 38 6625
1975 广州中医约入学 2021 II 11 590 131 125 () 32 9516
2020 I~ l~ 11 594 126 121 5 38 6558
2022 23 23 573 127 116 11 46 4713
1985 华南师范大学 2021 15 15 621 138 135 。 63 2798
2020 13 13 610 127 137 11 54 3216
2022 31 31 571 120 113 11 44 5159
2000 广西大学 2021 31 31 608 122 124 14 50 5050
2020 30 30 600 123 123 9 44 5041· 20 · 第二章报考统计
公布 实际投杻 投档最低分 投档最低分 投档最低分
院校代码 院校名称 什份 i I划 人数 总分 语文 数学 外语听力 与分数线差值 位次
2022 44 44 584 131 105 11 57 2836
西南政法人学 2021 54 55 623 136 141 8 65 2519
2030 2020 43 I 呫 617 120 135 21 61 2213
2022 5 I 5 584 126 120 。 57 2836
四南政法大学(较高收费专业) 2021 5 5 624 121 146 12 66 2380
1I
2020 6 6 614 132 128 14 58 2635
2022 2 2 557 121 106 14 30 9039
2035 單仄邮电大学 2021 2 I 2 592 122 139, 12 34 8893
2020 2 2 593 109 I 129 11 37 6823
2022 20 20 570 124 I 121 I 15 43 5373
2080 云南大学 2021 23 i 23 612 129 123 ;I 8 54 4295
2020 20 20 605 120 I l32 1 27 49 4047
2022 21 2l 582 113 ! 128 9 55 3138
2090 四北大学 2021 24 24 620 135 127 11 62 2955
2020 13 13 611 118 I 134 I 。 55 3072
2022 10 IO 549 l l9 98 i 11 22 12022
2095 陕西科技大学 2021 10 10 588 1· 24 I I 131 I II 9 30 10158
2020 10 10 582 112 i 123 i 8 26 10223
2022 6 6 556 123 `I ` ~ 120 8 29 9374
2100 西安建筑和技大学 2021 6 6 589 129 ! 126 21 31 9839
2020 8 8 590 128 120 I 9 34 7699
2022 15 l 15 546 124 ! 105 14 19 13354
2105 西安邮电大学 2021 14 14 587 126 i 142 6 29 10498
2020 12 | l 12 590 117 I 134 21 34 7699
2022 11 | 11 551 108'110 11 24 11198
四安外国诏大学 2021 8 8 604 125 130 II 46 5874
2110 2020 止心户…一 1 - 1 - --- - 12 I 601 127 i 134 11 45 4835
2021 6 4 565 12s i 110 I 24 7 19410
西安外国语大学(较高收费七业)
2020 3 3 586 ,··一1.2.3 _i, 119 11 30 8914
? ?
2022 43 43 577 l27 106 。 50 3958
2115 西北政法人学 2021 42 43 614 122 ! 139 30 56 3948
2020 40 40 605 129',, 141 14 49 4047
2022 6 3 63 561 112 i 111 12 34 7749
2120 新疆入学 2021 72 72 595 116 i 128 11 37 8043
2020 72 72 583 121 132 14 27 一" 9896
2022 18 l 8 557 114 119 9 30 9039
2125 青海入学 2021 20 20 592 123 133 8 34 8893
2020 20 20 585 116 133 11 29 9226
2022 48 48 555 120 95 6 28 9721
2130 石河了大学 2021 60 60 588 126 128 11 30 10158
2020 63 63 578 1 120 126 14 22 11728
2022 21 2l 559 120 121 8 ..一 32 8379
2205 I 青岛大学 202l 19 19 ;II 593 ;!II 117 135 12 35 8604
' 2020 19 19 589 114 130 9 33 7989
2022 30 32 I 565 I 110 104 。 38 6625
2210 湖北大学 2021 32 32 595 126 113 30 37 8043
! 2020 34 吓 I,90 1飞3 128 20 34 7699
2022 8 8 550 123 88 11 23 11606
2215 中国民航人羊 2021 8 8 595 125 119 17 37 8043
2020 13 13 591 112 124 9 35 7416
--
2022 31 32 562 116 102 14 35 7464
I
2220 武汉科技人学 2021 36 39 595 125 137 ]] 37 8043
2020 36 40 589 126 134 14 33 7989
2022 6 6 580 105 123 8 53 3451
2225 首都帅池大羊 2021 6 6 619 126 134 26 61 3125
2020 8 ^}l 8 608 l24 134 -- 9 -- ------- l - 52 3546—、2020—2022 年河南省晋通高校招生本科一批院校平行志愿批量投档最低分(文科) . 21 •
公布 实际投尸 投朸最低分 投档最低分 投档最低分
院校代码 院校名称 年份
计划 人数 总分 语文 数学 外语听力 与分数线差值 位次
,_.
2022 32 --勹 31 527 114 95 。 () 23432
大津财经大学 202 J 32 32 598 120 133 12 40 7239
2020 41 41 596 122 123 6 40 6006
2230
2022 2 2 560 113 Ill 。 33 8055
大津财经大学(较高收费专业) 2021 2 2 595 121 137 14 37 8043
2020 2 2 592 121 127 11 36 7135
2022 52 52 562 132 102 12 35 7464
南京审计大子 2021 52 52 602 126 130 。 44 6319
2020 42 42 592 120 114 11 36 7135
2240
i 2022 2 2 572 121 123 11 45 4934
南京审计入子(较高收费专业) I 2021 2 2 607 132 134 12 49 5241
I 2020 2 2 594 123 133 14 38 6558
i , 2022 40 40 548 121 lO2 8 { 21 12452
大津外国语大学 ! 2021 I 35 35 594 124 124 23 36 8313
i ; 2020 42 42 589 119 128 11 33 7989
I 2022 5 5 548 122 116 。 21 12452
2250 天津外国语大子(较窝收势右业) i , 2021 5 , 5 581 122 119 。 23 12520
I 2020 5 5 576 119 117 9 20 12523
2022 3 3 551 111 98 11 24 11198
大冲外闰语人;-(单列专业)
2021 6 6 577 123 116 30 19 14016
2022 9 9 536 125 90 。 9 18232
2255 浙江理L大学 2021 I 16 16 599 128 136 () 41 7011
一贮尸·2-0-20 I 12 12 593 123 130 。 37 6823
2022 .1 i i 34 35 563 112 l 15 6 36 7157
2265 南京财经大字 2021 33 i 33 596 128 j 142 9 38 7782
2020 28 28 601 125 127 14 45 4835
2022 20 ! 20 553 114 108 。 26 10473
2270 I'l苏籵技入于 2021 2() 20 587 131 126 27 29 10498
2020 27 27 580 11 24 10935
2280 北京建筑大学 2020 4 4 590 l34 116 15 34 7699
2022 2 2 532 111 97 II 5 20478
-------
2285 沈阳建筑大于 2021 2 2 569 129 139 8 ]] I 17492
2020 2 2 568 123 122 11 12 I 15995
.....
2022 3 3 558 116 110 11 31 8687
2290 中国计昂大宁 2021 2 2 598 m i 132 11 40 7239
2020 3 3 598 118 i 135 ll 42 ii 5502
2022 11 11 546 130 i 93 1[ 19 13354
2295 南华大学 2021 11 II 577 127 !} 125 11 19 14016
2020 8 8 576 114 116 9 20 12523
2022 24 24 557 125 I IOI 14 30 9039
2300 长沙埋丁入学 202l 21 21 593 131 115 。 35 8604
卜`` 2020 17 ^ " 17 586 128 i 121 8 30 8914
2022 24 25 570 116 iII 1·一1·2- - l2 43 5373
贵州大学 2021 20 21 608 121 145 9 50 5050
2020 16 17 601 128 12,1 15 45 4835
2305 2022 7 7 544 114 103 8 17 14280
贵州大羊(较的收费专\II勹 2021 7 7 583 120 125 l7 25 l 1833
2020 7 7 570 114 121 。 14 15089
贯川大学(中列专\1\r) 2020 6 6 566 112 127 。 10 16955
2022 22 22 546 117 94 2 19 13354
南方l矢和人节 2021 l 8 18 582 I 13 136 。 24 12151
23IO 卜一 2020 15 15 592 120 119 9 36 7135
南方庄和大于(护珅尽lk) 2020 5 5 578 124 126 8 22 11728
2022 25 25 563 114 108 24 36 7157
2315 南京邮电大学 2021 23 23 590 119 133 II 32 9516
2020 1 20 20 601 122 132 14 45 4835· 22 · 第二章报考统计
公布 实际投档 投档最低分 投档最低分 投档最低分
院校代码 院校名称 年份 ----- ---------- -----,----------
计划 人数 总分泊文数学外诏听力 与分数线}值 位次
2022 9 9 541 l 20 101 15 14 15679
2320 北方丁业大学 2021 9 9 593 133 132 11 35 8604
2020 9 9 592 129 121 9 36 7135
2022 32 32 556 121 107 () 29 9374
2325 华侨人学 2021 30 30 586 125 123 11 28 10825
2020 25 23 557 ]18 105 。 I 21554
2022 4 4 547 120 96 8 i 20 12892
2330 西安工业大学 2021 4 4 583 122 145 9 i 25 11833
2020 14 14 581 120 126 20 25 10573
2022 17 l7 559 123 104 9 I 32 8379
2340 汕头大学 2021 15 15 590 126 133 11 I 32 9516
2020 15 15 577 123 134 5 21 12113
2022 22 22 534 102 99 29 I 7 19375
2345 丁波诺丁汉大学 2021 20 20 572 125 135 。 14 16090
2020 20 12 556 124 108 21 。 22087
2022 8 8 536 112 112 8 9 18232
大迕民族大学 2021 3 ! 3 570 115 112 9 12 17000
2350 2020 2 I 2 563 121 130 。 ! 7 18448
2021 5 4 558 122 lO2 。 。 22987
大连民族大学(仅招少数民朕考牛)
2020 7 7 560 123 112 17 I 4 19958
2022 15 6 527 109 76 29 。 23432
2360 温州肯恩大学 2021 14 14 558 114 117 11 ! 。 22987
2020 11 10 556 105 136 11 ! 。 22087
2022 10 10 572 110 112 l2 I 45 4934
2365 太原理上大乍 2021 10 lO 609 127 120 12 I 51 4834
..
2020 10 10 600 123 128 。 44 5041
2022 27 27 5:14 115 86 。 7 19375
2375 东北仁油大学 2021 25 I 25 565 124 124 15 7 19410
2020 21 21 564 124 1飞2 11 8 17959
2022 6 6 557 103 104 II I 30 9039
2380 化京估启科技人学 2021 6 ,一 6 595 129 135 6 37 - - -- 8043
2020 6 6 588 130 114 II 32 8305
` - ``` ` ~卜` 尸-U
2022 33 33 542 119 107 8 15 15204
2385 安徽财经人沪 2021 33 33 187 120 135 9 29 10498
2020 33 33 581 134 l28 。 25 l0573
2022 113 113 53- 0- 116 106 15 3 -- 21635
l海帅范大学 2021 106 106 604 129 125 9 46 5874
--
2020 99 99 598 122 132 12 42 5502
2390
2022 18 13 535 114 112 17 8 18792
l一向师泣大字(较凶收费专\II') 2021 15 15 593 124 118 l l 35 8604
2020 15 15 589 114 132 II 33 7989
2022 15 15 551 120 101 II 24 11198
-
2395 集义大学 2021 j 14 14 595 125 137 。 37 8043
2020 19 19 593 120 139 5 37 6823
------
2022 12 13 538 125 106 () II 17210
2400 北乐物资学院 2021 I 13 13 579 116 124 29 21 13277
}
2020 I 10 JO 587 l25 i lll 6 31 8623
2022 64 64 560 us I 94 27 33 8055
2405 天小师凇大学 2021 92 92 594 l24 36 8313
2020 46 46 ”“”~ .... 5 .. 9 ... 4 .. . .. 124 ,^ ”“” 1 l“ ” 3 “l ” 3 “9” “”“^+ i ” “^ I 1 I 7 38 6558
2022 5 5 542 118 105 11 15 15204
2410 青岛珅工大学 2021 4 4 570 124 141 。 12 17000
2020 4 4 583 120 114 8 27 9896
2022 14 14 I s3s I 114 107 9 11 17210
2425 湖南科技大学 2021 II 12 I 589 i 115 142 11 31 9839
|' 2020 19 19 ss4 I 117 115 6 28 9521一、2020—2022年河南省普通高校招生本科一批院校平行志愿批量投档最低分(文科) . 23 ·
公九 艾际投祜 投片最低分 投朸枭悦分 投朸最低分
院校代砃 院校名称 年份
计划 人数 I 总分 语文数学 外语听力 与分数线X值 位次
2022 24 24 ] 533 114 ! 103 29 6 19938
2430 南昌航空大学 2021 l 5 15 ! 577 123 ! 121 12 19 14016
I
2020 5 7 s10 119 116 6 14 15089
2022 15 15 538 111 I 110 。 11 17210
2435 辽西珅工大学 2021 13 13 561 128 132 8 3 21385
2020 13 13 573 116 115 6 17 13776
--- ---------------- - - -----—---—--—----t---
2022 36 37 548 i06 i i9 ii 2i i2452
2440 长江入学 2021 40 42 581 125 113 12 23 12520
}
2020 28 28 578 I 18 124 15 i 22 11728
2022 8 8 563 114 127 11 36 7157
成都理丁大学 2021 8 8 598 116 130 。 40 7239
2020 10 JO i, 590 129 122 14 34 7699
2450
2022 9 9 i 557 118 94 。 30 9039
成都理丁大学异地校区) 2021 8 8 I 589 123 119 30 31 9839
2020 8 8 ,I 564 120 123 12 8 17959
2022 9 9 567 l2l 102 3 40 6099
2500 首都经济贸易大学 2021 9 10 609 117 142 II 51 48飞4
2020 8 8 608 137 133 9 52 3546
2022 6 6 561 116 122 。 34 7749
2505 南京林冲大学 2021 6 6 602 132 127 27 44 6319
2020 6 6 596 121 129 11 40 6006
2022 18 18 545 127 106 9 18 13783
2510 西南和技大学 2021 18 19 581 128 130 6 23 12520
.....
2020 18 19 576 131 110 23 20 12523
2022 21 21 564 119 117 9 37 6902
西南石沺大学 2021 32 32 595 122 129 15 | 37 8043
2515
2020 :ol ol 587 126 112 ll 3 l 8623
四南石淜大学(较商收费飞业) 2021 3 。
2022 18 18 546 124 89 。 19 13354
2520 西安l和人? 2021 22 22 579 126 130 6 21 [3277
/ ` ` ` `
2020 27 27 577 114 123 9 21 12113
2022 10 10 565 114 106 。 38 6625
2525 大津丁_\ll1大学 2021 10 10 601 130 119 11 43 6544
2020 30 30 591 125 117 30 35 7416
2530 中北人学 2 20 0 2 2 1 2 5 6 炒炒µ"`炒巫` 5 6 `' ,'…`炒炒` 5 57 4 7 1 1 1 2 2 3 9 1 9 0 5 3 1 11 8 1 ]7 9 .-— I I仁 1144028160
2020 3 2 568 126 124 9 12 15995
2022 6 6 551 115 120 11 24 11198
2535 四安利技大才 202l 6 6 589 123 143 8 31 I 9839
2020 4 4 583 115 119 6 27 9896
---
2022 6 6 553 116 106 。 26 10473
2550 北京联合人学 2021 7 7 589 127 132 () 31 9839
- --
2020 4 4 588 120 127 。 32 8305
2022 36 3 6 557 118 Ill II 30 9039
2565 南通大学 2021 30 30 592 126 117 II 34 8893
2020 44 44 583 124 117 11 27 9896
2022 23 23 567 131 105 。 40 6099
,
2575 浙{I帅范大学 2021 8 8 605 133 120 11 47 i 5658
2020 8 8 597 l 15 133 24 41 I 5757
2022 14 14 556 110 115 11 29 9374
2600 大津巾饮药大学 2021 14 14 588 129 122 17 30 10158
2020 19 19 579 118 109 II 23 t J 1327
2022 15 15 543 113 110 。 16 iI 14743
2610 焦九江中医马大学 2021 12 12 586 127 119 11 28 10825
2020 12 12 584 129 127 9 28 9521· 24 · 第二章报考统计
公布 实际投杆 投柏最低分 投档最低分 投节最低分
院校代码 院校名称 年份
计划 人数 芒分 语文数学外语听力 与分数线差仇 位次
2022 27 上___ 21 528 ](14 104 I 11 I 22832
2615 湖南中医药大学 2021 23 24 584 124 I 124 8 26 11502
2020 23 23 575 123 139 i 9 19 12939
2022 ] () i 10 571 122 i 119 5 44 5159
2620 成都中区药大学 2021 11 11 590 122 127 。 32 9516
2020 10 10 581 126 i 119 。 25 10573
2630 山西医科大于 2022 3 3 529 115 88 () 2 22242
's”“
2022 39 39 535 98 11 8 18792
2655 湖北中医约大学 2021 40 40 572 ]19 133 11 14 16090
2020 29 29 575 117 114 : 。 19 12939
2022 100 110 567 121 119 ; 12 40 6099
向南人学 2021 55 i 57 609 136 126 i 9 51 4834
2020 67 I 73 601 112 121 I 24 45 4835
2750
2022 29 I 26 536 121 92 ! 14 9 18232
府南大学(较高收费七业) 2021 15 19 586 l26 136 8 28 10825
2020 17 18 576 114 130 9 20 12523
2022 16 16 566 120 97 11 39 6352
宁夏人学 2021 20 20 604 118 142 9 46 5874
2020 20 咖` 20 593 126 114 12 37 6823
2755
2022 8 8 554 129 76 JI 27 10083
十夏大平(较高收费片业) 2021 8 8 586 126 121 5 28 10825
2020 8 8 576 120 128 。 20 12523
2022 14 14 546 ]15 102 11 19 13354
山东科技大学 2021 18 l 8 582 126 126 8 24 12151
2020 12 l2 578 1128 120 9 | 22 11728
2780
2022 5 l 531 110 108 。 4 21061
山东抖技大f(较高收费专业) 2021 5 5 568 123 129 18 10 l 795 l
2020 4 4 568 | l 17 109 。 12 15995
------ ------
2022 23 23 563 115 111 11 36 7157
2785 ',可北人学 2021 23 23 595 119 138 8 37 8043
2020 23 23 I 589 122 123 27 33 7989
2022 12 13 539 114 l06 9 12 16677
2795 沈旧上业大学 2021 II 11 571 130 121 II 13 16517
2020 7 9 ,,i 'i74 128 118 II 18 13354
--
2022 41 41 525 121 92 。 -2 24695
2800 中南杜lk科技大学 2021 28 29 s79 I 126 I 14 6 2l 13277
2020 26 26 578 116 138 。 22 11728
2022 II II 533 120 75 8 6 19938
2810 安敞「\W大"j: 2021 II 11 575 l25 1 13 8 29 17 14815
2020 7 7 573 122 127 14 17 13 776
,
2022 2 2 528 105 103 8 I 22832
2815 安纹匡科大学
2021 I I 561 137 105 11 3 21385
'"""一 编一u- l 2022 II ”“~ 11 558 I 07 116 12 31 8687
2850 /、川入宁 2021 11 II 590 132 130 21 32 9516
2020 6 6 599 128 132 11 43 5251
2855 广,州比利-人学 2 20 0 2 2 1 2 6 6 6 6 5 s8 5 1 4 I 1 1 13 1 9 4 1 9 0 3 5 - 2 。 3 - - 2 23 7 1 1 0 2 0 5 8 2 3 0
2020 6 6 577 1 l21 12'i 14 21 12113
2022 18 18 53 1 110 113 。 4 21061
2860 上向呴出大学 2021 l ·· · 2 一 2 22 599 120 ]35 9 41 7011
2020 18 l 8 592 119 114 30 36 7 !35
2022 13 l飞 528 108 112 9 I 22832
2865 矗队义通大字 2021 ]3 13 平)() 126 123 8 12 9516
----
2020 13 13 586 116 133 ll 30 8914
---- - -- - ------------------ ----
2022 33 23 528 112 107 。 1 22832
2870 夭冲押丁人学 2021 33 33 585 130 110 29 27 ll 165
- --
2020 30 30 580 123 ll6 14 24 10935—、2020—2022 年河南省普通高校招生本科一批院校平行志愿批噩投档最低分(文科) . 25 •
院校代砃 院校名称
Ii 年份 公布 实际投尸 投甘最低分 投档最低分值投档最低分
计划 人数 心分语文数学外出听力 1 勹分数线芹 位次
- -- i Ii 2022 25 25 558 j 119 l 20 9 31 8687
I ii订/hI冲人j 2021 26 26 593 I l27 122 。 35 8604
2020 29 30 592 126 127 30 36 I 7135
2875
2022 l O 10 550 114 102 。 23 I 11606
上叮1月洋人学(较臼收载.专业) 2021 10 IO 588 l25 134 18 30 10158
2020 7 7 579 120 128 9 23 11327
2022 16 16 546 122 l07 l4 l9 13354
2880 常州大笞 2021 25 25 581 124 116 () 23 12520
2020 28 28 578 118 125 9 ! 22 11728
2022 24 24 532 128 83 11 ' 5 20478
2885 华东交通人丰 2021 24 24 579 132 128 。 21 13 277
,
2020 26 26 577 124 131 。 21 12! !3
2022 32 32 551 113 102 12 24 11198
2890 重仄丁商大学 2021 29 29 592 120 137 8 34 8893
2020 33 33 586 119 143 21 30 8914
2022 18 18 558 112 113 。 31 8687
2895 武戊「程大字 2021 14 14 593 120 127 14 35 8604
2020 14 14 584 126 114 9 28 9521
2022 34 36 548 106 110 14 21 12452
2905 _峡大学 2021 34 36 579 124 121 9 21 13277
2020 35 35 577 l ltJ 125 11 21 12113
2022 17 17 546 110 107 14 19 13354
四川外口语人卢 2021 21 21 594 126 117 11 36 8313
2910 尸-- 咖.. 2020 13 13 593 129 99 29 37 6823
四川外国出大子(较的收费飞业) 2020 2 2 585 117 126 。 I 29 9226
2022 11 11 551 121 114 11 24 11198
2915 西安石叫大学 2021 II l 1 584 129 114 21 26 ll502
2020 11 11 579 114 118 9 23 11327
2022 l 3 l 3 557 123 105 12 30 9039
2920 山西财穷大学 2021 咖15 ~~ 15 592 l27 142 。 34 8893
2020 13 13 587 120 142 () 31 8623 `` ` `
2022 37 37 544 108 116 9 17 14280
2925 L问立信会1i令砌孚院 2021 40 40 588 118 13 lI l2 30 !0158
2020 14 14 593 118 1飞I 29 37 682飞
2022 10 10 539 l lS l l l 。 12 16677
2930 I上介丁业大子 2021 10 10 593 124 114 l l 飞5 8604
2020 10 11 588 129 122 9 32 8305
2022 12 12 535 130 94 20 8 18792
3015 化方民族人学 2021 9 9 566 128 120 6 8 ! 18908
2020 ! 8 5 556 120 122 9 I) 22087
2022 l J II 559 110 120 27 32 8379
3020 西南民牍大r 2021 14 14 595 122 135 11 37 8043
-----------
2020 16 16 588 114 127 12 32 8305
2022 12 14 548 108 113 9 21 12452
3035 中国分动关系孕阮
2021 7 8 577 131 119 20 19 14016
2022 i 10 7 528 115 90 () 1 22832
3040 」海电力大学 2021 10 . 10 594 132 142 。 飞6 8313
2020 18 i 18 587 108 129 l4 :11 8623
…”^ ^
2022 10 i 10 532 117 105 。 5 20478
3060 中1叶民川伉宁长行f阮 2021 6 ! 6 564 118 127 23 6 19891
i 2020 4 4 566 122 112 23 10 16955
I 2022 17 17 551 120 101 29 24 11198
3175 化;,印刷':院 i 2021 16 16 584 131 l33 14 26 11502
I 2020 16 ' 16 582 118 130 9 26 10223· 26 · 第二章报考统计
公布 II 实忨投档 投档最低分 投杆戴低分 投档最低分
院校代码 院校名称 年份
计划 人妏 总分弄文数学外语听力 与分数线专值 位次
I
2022 62 47 528 113 97 。 1 22832
天津科技大学 2021 54 54 587 119 112 6 29 10498
2020 46 46 :i85 130 124 8 29 9226
3200
2022 6 6 544 117 103 9 17 14280
夭淖科技大学(较高收费专业) 2021 5 5 581 125 124 。 23 12520
2020 5 5 576 119 133 12 20 12523
2022 83 83 544 117 98 15 17 14280
3240 大津商业人学 2021 86 86 582 130 128 11 24 12151
2020 87 87 577 129 125 14 21 12113
2022 11 II 558 114 100 。 i 31 8687
3280 河北师范大学 2021 11 11 592 122 130 11 34 8893
2020 31 31 I 583 125 136 i,七 L 9H I 27 9896
2022 9 9 I s33 107 : 寸l " 1 7~丘 .. ;令 1-L0-._气'户 6 19938
3310 华北理工大学 2021 7 7 I s64 l.27 l23 14 6 19891
2020 4 4 i 569 12O 129 0 13 15522
2022 2 2 560 109 104 9 33 8055
3400 山西中医药大学 2021 2 2 592 129 135 17 34 8893
2020 2 2 588 112 136 2 32 8305
~ / 3
2022 11 11 532 109 104 。 5 20478
钩_尸Io \ 大连工业大学 2021 8 8 569 128 129 12 11 17492
2020 8 8 572 117 118 。 16 14212
';.: • ;. 2022 50 50 i 528 120 82 。 I 22832
大连外国语大学 2021 50 50 589 127 127 9 31 9839
3595 2020 43 43 583 110 131 5 27 9896
2022 1 I 543 I 114 96 12 16 14743
大连外国语大学(较罚收费飞业)
2021 1 l 585 126 133 11 27 11165
2022 8 8 542 113 123 6 15 15204
3665 长春中医药大学 2021 5 5 571 121 128 。 13 16517
2020 5 5 563 129 128 。 7 18448
2022 29 29 543 113 116 9 16 14743
吉林财经大学 2021 35 35 578 124 125 8 20 13628
2020 32 32 578 126 122 。 22 11728
3690
2022 7 7 531 108 99 15 4 21061
吉林财经大学(较高收费专业) 2021 4 4 572 126 131 14 14 l.6090
2020 4 4 566 125 109 。 10 - - ' 1 , 6955
2022 56 56 545 115 114 垃-1 18 13783
3695 黑龙江大学 2021 45 48 587 131 n7 23 29 l0498
2020 46 46 582 115 '”~,夕'1勺,,`.: : ,, 3 ,' 5 '', , 12` -~ 26 t 10223
3705 哈尔滨理工大学 2022 20 7 527 I l14 102 ? 14 。 23432
2022 24 24 537 120 111 12 10 17699
3725 哈尔滨商业人学 2021 24 24 578 121 135 18 20 13628
2020 23 23 573 123 106 8 17 13776
\
2022 8 8 543 117 107 12 16 14743
3780 1海工程技术大学 2021 7 7 576 129 126 9 18 14388
2020 8 8 567 1124 128 17 l l 16461
2022 21 21 531 112 97 11 4 21061
上海应用技术大午 2021 19 20 577 120 122 8 19 14016
2020 17 17 579 128 123 15 23 11327
:l815
2022 7 6 530 J17 106 14 3 21635
上海应用技术大学(较的收翡仁IV) 2021 7 7 569 122 119 23 11 17492
2020 6 6 562 131 107 9 6 18922
2022 20 20 569 118 115 8 42 5617
3835 南京中医药大学 2021 20 20 604 136 139 。 46 5874
2020 16 16 591 125 110 8 35 7416
2022 9 9 540 113 110 12 13 16182
3860 汀苏海洋大学
2021 6 6 566 117 110 17 8 18908一、2020—2022 年河南省普通高校招生本科一批院校平行志愿批量投档最低分(文科) . 27 ·
公布 实际投扫 投杻最低分 投杻最低分 投们最低分
院校代码 院校名称 {1份
计划 人数 i 总分 语文 数羊外语听力 1月分数线羊值 位次
2022 25 25 I 545 114 111 6 18 13783
3880 南京工程学院 2021 24 24 578 122 126 I 12 20 13628
2020 44 44 571 119 I 15 11 15 14622
2022 37 37 554 120 92 8 27 10083
3890 节川科技大'j 2021 37 37 590 128 113 。 32 9516
2020 32 32 I 583 123 129 26 27 9896
3960 浙巳', i一i佐l、时Y,、号J 占I'今6 咖一· 一勹i~1 勹~^勹 9 9 i ' ~< <勹 125 109 11 I 25 1~( 、),'又J飞~-勹
2022 9 9 543 108 101 12 16 14743
4010 浙江科技学院 2021 3 3 577 131 122 12 19 14016
2020 15 l5 565 121 120 。 9 17463
2022 20 20 552 121 l ll 29 25 10832
4025 浙工农林大学 2021 19 19 588 109 134, 12 30 10158
2020 24 24 579 117 136 i, 8 23 l 11327
2022 16 16 545 117 102 !, 8 18 : 13783
4040 湖州帅池学院 2021 14 l4 576 118 121 6 18 14388
2020 12 12 570 119 l24 9 14 15089
2022 44 44 530 102 103 9 3 21635
4055 杭们加范大学 2021 43 43 598 125 129 9 40 7239
2020 19 19 597 121 116 11 41 I 5757
2022 19 19 558 118 121 。 飞) 8687
4060 浙Y] [)立大学 2021 I,l 11 11 601 129 123 12 43 6544
2020 i 13 13 600 120 120 12 44 5041
2022 ; 16 17 560 120 118 11 33 8055
浙/I财经大学 2021 I 7 7 604 133 116 11 46 5874
I 2020 7 I 10 597 121 130 9 41 5757
4065
2022' 5 I 5 553 108 lOJ II 26 10473
浙江财各大学(较高收费专中) 202l ! 4 I 4 575 122 108 12 17 14815
2020 4 4 589 124 129 15 33 7989
2022 12 13 541 118 107 15 14 15679
4090 安教农业大学 2021 8 8 571 125 109 I II 13 16517
2020 3 3 564 118 119 11 8 17959
2022 22 24 557 116 102 6 30 9039
4100 安徽帅范大羊 2021 30 32 S89 124 113 II 31 丛.,_9_83”9- -已
2020 20 21 586 125 122 II I 30 89]4
"" 2022 8 8 540 113 95 26 I 13 16182
4125 安儆建筑大学 2021 8 8 573 117 116 9 15 ` ` 15646
2020 8 8 571 108 137 14 15 14622
2022 2 2 538 125 93 8 l l 17210
4195 幅建农林人学 2021 2 2 573 127 107 11 ! l 5 15646
2020 2 2 554 I i l2l 105 ! 9 -2 23278
2022 8 8 536 109 121 17 9 18232
4200 猫纽[生科大学 2021 13 13 570 118 126 8 12 17000
2020 7 7 56飞 124 118 15 7 18448
~--- 2022 29 29 ss9 I 129 97 18 32 8379
福建师池入学 2021 36 36 594 ! 123 136 17 36 8313
2020 32 32 589 I 125 133 8 33 7989
4205
2022 8 8 531 122 93 II 4 21061
伽杻师池大学(较凸收费炉业) 2021 8 8 569 111 125"" 20 "" II 17492
2020 8 4 558 119 137, 9 2 21036
2022 37 37 555 126 119 。 28 i 9721
4260 江西师范大平 2021 46 52 590 128 124 11 32 95l6
2020 42 49 585 125 125 。 29 9226
2022 10 10 537 121 110 8 10 17699
4275 东华理上大学 2021 13 8 56 l 126 115 18 3 21385
2020 15 15 575 125 ]34 11 19 12939· 28 · 第二章报考统计
公布 实际投抖 投档最低分 投档最低分 投档最低分
院校代码 院校名称 年份
计划 人数 总分 语文 数学 外语听力与分数线并值 位次
2022 2 2 545 125 85 15 18 13783
4300 江西中医药大学 2021 4 4 580 127 139 26 I 22 12890
2020 2 4 561 113 131 11 5 19417
2022 13 13 538 119 81 11 11 17210
4305 赣南师范大学 2021 8 9 572 130 114 9 14 16090
2020 7 7 566 122 134 9 10 16955
2022 10 12 542 120 96 11 15 15204
4310 江四科技师范人学 2021 8 16 571 118 111 9 13 16517
2020 10 16 564 126 109 17 8 17959
2022 10 10 537 119 111 。 10 17699
4345 南昌工程学院 2021 10 10 569 120 127 14 11 17492
2020 10 10 566 112 130_ 亡 1:8卢 10 16955
9
2022 30 30 557 1)2 ?1二. n 汇编.2气~ ` 3 4` -^午{;、- 长 : 、" 30 9039
4350 济南大学 2021 28 28 592 li4 | 6 34 8893
2020 32三, 32 588 l1俨-~乙编7~ 134 '气Jlp 32 8305
2022 18 18 536 108 l03 6 9 18232
4370 山东理1大学 2021 18 18 572 125 119 8 14 16090
2020 18 l8 570 127 122 12 14 15089
2O22 21 21 535 106 110 5 8 18792
43了 '~.. \ ·•5 ; 山东衣业大学 2021 19 19 569 125 132 11 11 17492
2020 8 8 561 121 115 9 5 19417
\
. ..山,.二 东.师·.,'范尸大飞学 2022 28 28 562 118 107 20 ,狂5 7464
4395';;飞 2021 29 29 595 128 139 5 37 8043
2020 29 29 589 119 119 8 33 7989
2022 21 21 553 126 104 。 26 10473
4400 曲阜师范大学 2021 21 21 I 587 l30 126 。 29 10498
2020 18 18 i 580 121 117 。 24 10935
2022 7 5 531 113 96 11 4 21061
4415 山东建筑大学 2021 2 2 587 115 134 12 29 10498
2020 2 2 580 111 121 15 24 10935
2022 12 12 541 110 115 8 14 15679
4420 齐鲁丁业大学 2021 22 22 573 123 123 5 15 15646
2020 15 15 569 121 126 9 13 15522
2022 36 36 s6o I 122 121 17 i 33 飞8055
4485 山东财经大学 2021 45 45 594 129 123 6 36 ;;;8313
2020 42 42 589 7989
二。亡:2:
2022 25 25 550 1谧1为 2 U'606
4525 江汉大学 2021 45 45 580 l [2890
2020 61 . 61 566 30 11 _ 10 16955
2022 14 14 549 120 96 。 22 12022
4550 湖北T业人学 2021 l4 14 588 124 139 9 30 10158
\ \ '\ `夕,`'C,', \ 2020 14 14 585 120 121 11 29 9226
武汉纺织大学 已'\ 2022 25 25 543 118 108 29 16 14743
4575 ' '\ ,\\; '` 2021 24 28 577 117 135 。 19 14016
-~ 2020 29 29 567 123 108 15 11 16461
~;
2022 12 12 541 117 113 9 14 15679
4690 吉首大学 2021 12 12 572 122 114 9 14 16090
2020 12 12 566 128 114 11 ] () 16955
2022 26 26 533 112 104 9 6 19938
4700 湖南农业大学 2021 21 21 580 119 123 12 22 12890
2020 24 24 575 115 134 14 19 12939
2022 24 24 544 117 92 。 17 14280
湖南工业人学 2021 15 15 579 124 137 。 21 13277
4735
2020 19 19 575 119 123 。 19 12939
湖南丁业人学(较高收费专业) 2022 4 4 536 117 103 。 9 18232.
一、2020—2022年河南省普通高校招生本科一批院校平行志愿批量投档最低分(文科) 29 •
公伈 实际投杆 投杻最低分 投粕最低分 投抖最低分
院校代砃 院校名称 年份
计划 人数 总分 语文 数学 外语听力 与分数线差仇 位次
2022 7 7 540 110 106 15 13 16182
4770 湖南理丁学院 2021 2 5 572 122 113 II 14 16090
2020 3 6 560 l l l l25 1 11 4 19958
2022 l4 14 I s39 114 97 9 12 16677
4775 湖南上尚大学 2021 11 11 587 121 125 9 29 10498
2020 11 11 581 119 l l 8 i 。 25 10573
L,、V八L勹勹L 6 6 JcJc歹'r U`勹八V 八歹勹! 1; 陪 勹J-上 O0 J, 7
4880 广东财经大学
2021 10 10 586 127 131 9 28 10825
2022 16 16 i 535 121 91 / 11 8 I 18792
4890 北京师范大学-香港浸会大学联合国 2021 14 14 570 124 105 ! ll 12 ! 17000
际学院
2020 13 13 570 113 103 ! II 14 15089
4925 桂林电子科技大学 2022 37 43 530 114 l09 i 27 I 3 21635
2022 112 112 543 124 95 1 12 ! 16 14743
5010 海南师范大学 2021 110 I JO i 575 125 109 } 9 I 17 14815
2020 110 110 570 121 128 12 14 15089
2022 13 13 i II 541 112 92 8 14 15679
5035 重庆理工大学 2021 10 10 I 589 122 132 20 I 31 I 9839
2020 10 10 583 126 125 14 27 9896
2022 33 33 559 127 90 。 32 ! 8379
5055 觅庆师范大学 2021 32 32 593 133 134 14 | 35 8604
2020 31 31 588 123 134 。 32 8305
2022 29 29 559 109 113 17 32 8379
四川帅范大学 2021 28 28 594 131 126 11 36 8313
5080
2020 26 26 590 122 113 。 34 7699
四川师范大学(较砐收费专业) 2022 1 l 555 109 125 11 28 9721
2022 3 4 550 130 93 15 23 11606
5095 成都信皂上程大学 2021 9 10 580 123 l20 29 22 12890
..
2020 16 16 575 125 127 9 19 12939
2022 18 18 557 114 107 5 30 9039
5100 西华大学 2021 20 20 590 122 123 6 32 9516
2020 24 24 584 119 1()9 14 28 9521
2022 4 4 538 112 99 6 11 17210
----- -- ---------
5105 四川轻化上大羊 2021 4 4 572 128 105 () 14 16090
2020 4 4 562 115 109 2 6 18922
1--
2022 lO 10 534 114 112 。 7 19375
5110 川北饮学院 202- -1- 10 10 565 126 132 12 7 19410
2020 10 10 561 118 113 ll 5 l94l7
~....... 2022 32 32 542 113 98 "尸 17 15 15204
5135 西华帅范大学 202I | 57 57 572 126 119 。 14 16090
l
2020 34 34 568 114 128 。 12 15995
2022 7 7 555 105 115 l 5 28 9721
昆明理丁入学 2021 ! 6 6 589 124 136 14 31 9839
5230
2020 ! 7 7 584 127 113 11 28 9521
昆明理丁大学(较高收费专业) 2020 I 10 5 559 114 125 15 3 20516
5310 西藏民族大学(原西藏民族学院) 2021 I ; 5 I 3 558 127 111 9 。 22987
2022 I 20 i 20 554 115 114 8 27 10083
5390 西安财经大学 2021 I 22 i 22 584 133 124 30 26 11502
2020 ,I 22 I 22 574 130 127 6 18 13354
2022 i 18 18 553 112 115 12 26 10473
5410 西北师范大学 2021 I 21 21 586 127 124 8 28 10825
2020 i 20 20 578 118 117 30 22 11728
2022 4 I 4 538 110 110 12 11 17210
5420 甘肃中仄约大学 2021 2 2 567 130 122 。 9 18414
2020 4 4 559 116 130 9 3 20516
2022 26 26 547 114 107 5 20 12892
I
5455 甘肃政法大学 , 2021 27 32 575, 119 120 。 17 `___ II - 14815
2020 27 27 s62 I 120 120 14 6 18922· 30 · 第二章报考统计
公布 义阮投档 投档最低分 投档最低分 投档最低分
阮校代砃 院校名称 叮份
计划 人数 总分 语文 数学 外市听力 勹分数线差值 位次
2022 17 17 551 126 95 11 24 11198
5590 成都大学 2021 17 17 588 126 120 11 30 10158
2020 7 7 583 123 129 。 27 9896
2022 9 9 538 116 104 i 。 11 17210
上海电机学院 2021 13 13 568 121 113 9 10 17951
5595 2020 14 14 571 13] 121 II 15 14622
2022 2 2 532 106 113 15 5 2- 0- 47-- 8
上悔电机学院(较高收费专业)
2021 2 2 562 122 124 11 4 20879
2022 58 58 540 123 95 14 13 16182
5610 上海政法学院 2021 58 58 601 132 137 II 43 6544
2020 58 59 596 113 117 9 40 6006
5620 西安医学院 2020 4 1 557 119 117 i 。 I 21554
2022 130 130 567 117 123 i 。 40 6099
5995 郑州大学(中外合作办学) 2021 135 135 602 130 134 I, 14 44 6319
2020 150 150 596 116 l28 1I 20 40 6006
2022 400 404 578 126 107 I I 11 51 3783
6000 郑川大学 2021 550 556 613 131 l10 i II 55 4108
2020 485 490 606 125 126 I 11 50 3880
2022 501 511 567 119 101 。 40 6099
河南大学 2021 670 683 598 115 t33 于I 23 40 7239
,”“
2020 714 721 591 135 119 9 35 7416
6005
2022 47 47 540 129 98 12 13 16182
河南大学(护埋专业) 2021 45 45 568 109 124 I 27 10 17951
2020 21 21 560 112 128' 14 4 19958
6008 河南大学(与濮阳市联办濮阳工学院) 2022 45 45 530 117 113 9 3 21635
2022 381 385 534 117 11 7 19375
6009 河南大学(中外合作办学) 2021 28ll 286 573 125 12 15 15616
2020 284 287 566 124 1 18 : l2 10 16955
2022 319 345 538 123 95 14 11 17210
l .~
6010 河南农业大学 2021 448 452 569 ll6 138 9 II 17492
2020 500 505 565 118 117 11 9 1746飞
2022 70 70 519 115 96 。 -8 28595
6012 河南农\ll1大学(中外合作办学) 2021 70 70 554 128 120 27 -4 25301
2020 70 70 545 112 1飞2 () -l l 28679
2022 652 685 531 113 97 lI 14 4 21061
河南中饮药入学 2021 716 737 561 123 112 11 3 21飞85
6015 I
2020 736 765 560 112 126 8 4 19958
河南中匡”“药-人学(异地校l又) 2021 40 31 558 110 125 15 。 22987
2022 238 203 527 98 109 。 。 23432
6020 新乡医学院 2021 238 250 558 105 122 30 。 22987
2020 250 202 556 100 119 I II 。 22087 - --
2022 95 100 528 118 120 i 6 1 22832
6025 河南科技沪院 2021 90 93 5'i9 125 115 14 l 22467
2020 90 95 556 117 105 。 。 22087
2022 1852 1889 546 12 3 l ()飞 17 19 l:l354
6030 河南师范大学 2021 1818 1854 576 l20 125 17 18 14388
2020 1456 1514 勺3 113 129 。 17 11776
2022 100 JOO 535 105 106 。 8 18792
6035 洛阳帅范学院
2021 101 101 562 133 119 II 4 20879
2022 960 970 535 116 100 24 8 18792
6065 II 信阳师他学院 2021 835 852 564 124 121 27 6 19 - 8 --- 9 -- 1 --- --
2020 罚5 342 56今1 11s I 112 8 7 18448
2022 50 51 533 123 i 84 6 6 19938
6070 !南阳师范学院 2021 25 26 564 108 i l26 11 6 19891
2020 35 36 560 126 I 81 () 4 19958.
—、2020-2022 年河南省普通高校招生本科一批院校平行志愿批量投档最低分(文科) 31 •
公布咦际投杆 投档最低分 投片最低分 投档最低分
阮校代码 院校名称 年份
计划 入数 总分语文数学外语听力 与分数线差值 位次
2022 12 I 12 532 117 106 11 5 20478
6075 南阳理工学院 2021 15 I 15 563 108 132 8 5 20389
2020 14 14 559 119 138 ll 3 20516
2022 739 776 550 116 121 。 23 11606
河南财经政法大学 2021 890 917 583 124 126 8 25 11833
2020 970 1009 579 l l5 116 14 23 11327
6080
2022 735 叶A0O仁A J丘"-' 99 "上上U' l l 。 23432
河南财经政法大学(较高收费专业) 2021 415 427 562 124 116 11 4 20879
2020 260 265 561 12:4 12 9 6 5 19417
2022 255 268 543 118 65 14 16 14743
6085 河南科技大学 2021 284 290 572 129 110 12 14 16090
2020 396 416 569 125 133 11 13 15522
2022 516 552 5三30,坛lp、 勹103 压~炉 3 21635
6090 郑州航空工业忤理学院 2021 463 491 9 2 l4 9 3 21385
2020 388 407 l21 a l l 4 19958
2022 58^~入5气', ',' 、 597 ~ ~ 536 116 l l5 。 9 18232
6095 华北水利水\电大学,_,,>“\' 2O21
4夕8~8.
498, 5邸 122 110 8 10 17951
2020 497 522\ 1 563 126 121 。 7 18448
河-南'理l工大,学 飞子\-,、 2022 ,S 491- 511 533 112 113 。 6 19938
凶\ i戎 ` ~', 2021 424 437 565 119 106 11 7 19410
0\'\
1-, \ 2020 429 438 561 118 125 8 5 19417
`气戎畛五:学 2022 474 517 540 110 91 3 13 16182
6 105' 2021 358 365 573 118 114 () 15 15646 咖... -- 2020 378 389 569 118 121 11 ] 3 15522
2022 205 215 534 111 101 9 7 19375
6110 郑州轻工业大学 2021 178 ,..... 190 566 131 117 24 8 18908
2020 250 263 561 123 132 l l 5 19417
2022 132 154 529 125 94 14 2 22242
6115 中原工学院 2021 231 245 561 115 127 9 3 21385
2020 176 188 559 114 118 8 3 20516
2022 26 26 539 115 104 11 12 16677
6603 浙大宁波理工学院 2021 21 21 570 124 136 12 12 17000
2020 10 10 572 125 99 。 16 14212
2022 40 40 547 119 103 14 20 言J;;;;,-~J2892
浙大城市学院 (u;,浙让大学城市
6823 2021 40 40 580 131 112 9 22
学院)
2020 47 47 576 118 137 仑~。 20
2022 2 1 5飞()尸- 曰 泛勹20 3 2还-3-5
6931 北京理工大字珠海羊院 2021 2 2 55659( _ )归 `编、 11 I ·,, ,1飞'''~2气2二4~67
2020 13 }了 3' l 13 129~ l2占 \ ; 4 19958
2022 11 ` 1?1 568 117 109 11 41 5830
9901 中央戏剧学院
2021 10 10 601 l34 132 11 43 6544
~-/- `` --\ \
合',院 飞i3\:』\,歹_,,_一-'---一Y,一\ :_一-_-- '20' 22 4 气飞 4” 552 130 101 11 25 10832
9907 \\\ \ "\i, ''_'-''} \ \ :\' ''' \ ·, '\\ - ;-i ,], 2 '\ \ 2021 4 4 588 128 114 5 30 10158
2020 3 3 577 130 110 14 21 12113
.夕~..
2022 3 3 564 119 112 14 37 6902
9919 上海戏剧学浇
2021 2 2 598 137 103 II 40 7239
9925 中国美术学院 2022 2 2 565 131 98 20 38 6625· 32 · 第二章报考统计
二、2020—2022 年河南省普通高校招生本科二批院校
平行志愿批量投档最低分(文科)
院校代码 阮校名称 什份
II1i
计
公
划
布 实际投朸 投档最低分 投档最低分 投档最低分
人数 总分 语义 数字 外由听力:I 勹分数线差俏 位次
2022 I 5 5 523 122 101 2 I 78 25960
0005 首都体育学院 2021 I 6 I 6 548 115 119 14 82 28836
_ :一· 2 2 0 0 2 2 0 2 I 1 5 6 I I 5 7 5 51 5 7 6 1 1 1 08 0 1 1 1 0 2 4 。 8 7 91 2 2 3 2 0 0 0 8 1 7 9
0006 天津休育学院 2021 1 8 ,i 7 466 107 86 12 。 96112
2020 ! 5 i 5 554 121 121 9 89 23278
2022 ! 14 i 14 492 l08 72 5 47 50820
0012 哈尔滨体育学院 2021 i 18 I 18 516 121 115 17 50 51641
2020 I 8 8 517 110 118 9 52 49174
2022 i 14 I 14 517 106 132 。 72 30019
0019 武汉体育学院 2021 I 10 10 554 123 114 17 88 25301
2020 I 7 ! 7 551 118 ll 1 12 86 25030
2022 18 18 514 106 79 。 69 32268
0023 成都体育学院 2021 18 18 548 124 107 26 82 28836
2020 ! 23 23 546 115 118 12 81 28075
2022 I 17 17 517 110 107 。 I 72 30019
1765 哈尔滨囡科人学 2021 1 15 15 550 119 114 15 84 27622
2020 i 17 17 550 118 127 ll i 85 25620
- -
2022 !, 2 2 529 125 105 6 84 22242
人连民族人学 2021 2 4 558 118 120 。 92 22987
2350 2020 I1I 52 2 560 121 113 9 95 19958
2022 5 521 119 75 。 76 27264
大连民族大学(仅招少数民族考牛) 2021 3 3 546 132 96 II 80 30047
2020 3 4 536 117 115 11 71 34661
2022 4 4 525 I 112, 89 20 80 24695
南昌航立大学
2430 2 20 0 2 2 1 0 4 6 7 4 555569 |I 1 13 2 1 0 I I 1 m 22 I l I l } 9 9 4 0 2 2 0 4 5 1 1 3 6 6
咑昌航空大车(较,均收费专业) 2020 8 8 551 I 120 I 103 9 86 25030
2021 7 7 555 125 119 l l 89 24689
2435 江酉珅工大学
2020 8 8 553 122 95 。 88 23819
2022 4 4 527 132 93 () 82 23432
2545 河北丁程大学 2021 3 3 560 122 132 JI 94 21943
2020 4 4 557 118 124 ll 92 21554
2022 11 11 531 114 90 9 86 21061
2550 北京联合大学 2021 18 18 559 116 137 6 I 93 22467
2020 16 16 566 121 132 6 I 101 16955
2022 8 8 517 114 96 ll 72 30019
/ U -'------- --
大连交通大学 2021 3 3 561 128 114 。 95 21385
2020 3 3 560 111 123 9 95 19958
2555
2022 4 4 519 122 97 9 74 28595
大迕交通大学(较高收费专业) 2021 4 4 545 102 130 12 79 30649
2020 4 4 536 111 119 11 71 34661
1一 2022 2 ..u 2 . ". 510 ` ~ ` 10 ~ 4 卜一一 8 m.m0 - -“ 10 65 35431
黑龙江中世药大学 2021 2 2 520 104 110 14 54 48420
2020 2 2 550 115 119 。 85 25620
2610
2022 30 30 500 101 96 l2 55 43646
黑龙汀中医约大学(异地校区) 2021 16 16 533 116 124 。 67 38698
2020 16 16 535 115 120 8 70 35387
2022 6 6 516 128 94 II 71 30778
山西医科大学 2021 7 7 541 123 Ill 27 75 33219
2630 2020 6 6 552 116 115 17 87 24442
2021 10 10 474 113 82 ! 11 8 88448
山酉医科大学(异地校区) 2020 5 5 547 l l 8 l 15 l 5 82 27436二、2020-2022年河南省普通高校招生本科二批院校平行志愿批量投档最低分(文科) . 33 ·
公布 文向投杻,I 投档最低分 投朸最低分 投档最低分
院校代码 院校名称 年份
计划 人数 !总分 语文 数学 外语听力 I]分数线差值 位次
2022 14 14 511 107 86 21 66 34631
2650 广西医科大学 2021 14 14 549 113 134 12 83 28244
2020 10 10 546 124 106 11 81 28075
2021 7 10 575 131 137 。 109 14815
2750 海南大学
2020 24 24 571 115 117 1 l 106 14622
2022 8 8 525 116 92 11 80 24695
2885 华东交通大学 2021 8 8 JC/U八V 126 112 29 94 21943
2020 8 9 558 120 111 12 93 21036
2022 10 10 533 120 92 11 88 19938
重庆工商大学 2021 10 lO 565 124 109 12 99 19410
2020 5 5 567 110 107 3 102 16461
2890
2022 6 6 526 10f9 121 。 81 24075
重庆工商大学(较,们收费妇业) 2021 6 6 5言56 勺 l~6 H汀 。 90 24136
2020 6 6 l`l6 爷 27 95 19958
2022 ,'18 18 91 ,6 79 25322
2900 太原科技大学 2021 20 20 548 112 134 12 82 28836
/尸~: ~尸~ 2020 l6 16 556 ll2 120 18 91 22087
山西财经大\学\ 夕~ r l.夕,~.-' / , \l 午 , ` ' 、},了'.夕',-, 已''/~ , • 2022 20飞 } \'21: \~ 526 120 78 14 81 24075
2021 21 21 559 102 131 9 93 22467
_\\ ,''-''-,-· :-; ' \_.. 勹 '2020 21 21 559 125 103 。 94 20516
飞"~山'』'I西归财>经_大学 匕' 2022 6 6 515 110 104 11 70 31505
。沪i岳 , L _3~ , , Y-, (较帕收t, \ 费专 `' \ , IV) 2021 6 6 550 130 112 29 84 27622
\
2020 3 3 555 120 128 9 90 22667
2925 上海立信会计金融学院 2020 28 29 571 124 117 11 106 14622
2022 8 8 518 110 76 6 73 29283
2935 辽宁科技大学 2021 8 8 546 116 124 11 80 30047
2020 8 8 556 lll 125 11 91 22087
2022 30 30 519 121 64 9 74 28595
西北民族大学 2021 12 12 548 132 127 14 82 28836
3010 2020 11 11 551 115 118 11 86 25030
2021 24 28 525 98 124 。 59 44512
西北民族大学(仅招少数民族考生)
2020 29 33 518 117 99 11 53 48340
2022 4 8 508 109 90 12 63 36969
北方民族大学 2021 2 2 478 100 99 () 12 言-产 jl4787
2020 10 10 550 122 97 5 85
3015
2022 14 14 503 119 88 1 58
北方民族大汗(仅招少数民朕考生) 2021 20 20 521 [ `-之~念'于() ll 55 47608
汇120
2020 18 19 5 14 比翌心 11 49 '51662
`
2022 52 I,; 52' 52/、6 I 82 l l l 8 1 24075
西南民族大学 2021 8 | 8~ 571 126 127 9 105 16517
3020 \歹一~ -\一飞 2020 8_; 8 569 116 120 26 104 15522
西南民族大学(仅招少数民族考生) 2021 45 - 45 547 123 94 9 81 29417
2020 49 49 542 112 124 。 77 30668
\i\,,. .七 忙'~.\ 2022 40 40 526 115 IOI 17 81 24075
3035 中国劳动关系学院 2021 40 41 559 126 111 14 93 22467
2020 38 39 559 116 126 23 94 20516
I
2022 58 58 516 111 92 9 7l 30778
3080 华北科技学阮 2021 52 52 549 105 129 3 83 28244
2020 40 40 553 121 123 。 88 23819
2022 24 24 525 111 107 () 80 24695
3100 中华女子学院 2021 25 25 556 122 98 。 90 24136
2020 22 22 557 120 108 17 92 21554
2022 112 112 492 107 104 5 47 50820
3110 塔甲木大学 2021 64 64 509 119 103 8 43 57325
2020 86 86 519 119 101 5 54 47502• 34 • 第二章报考统计
公布 实际投档 投杻最低分 投档最低分 投档最低分
院校代码 院校名称 年份
计划 人数 总分 语文 数学 外语听力 与分数线差值 位次
2022 8 9 524 111 90 6 79 25322
3150 北京服装学院 2021 11 12 553 116 126 9 87 25867
2020 12 13 557 119 132 26 92 21554
2022 4 4 522 114 101 14 77 26589
3165 北京石油化工学院 2021 4 4 558 113 113 9 92 22987
2020 3 3 556 126 108 1 1 91 22087
2022 10 10 508 110 114 9 63 36969
3180 北京衣学院 2021 10 10 559 124 106 。 93 22467
2020 10 10 558 120 118 14 93 21036
2022 11 11 522 118 117 29 77 26589
3210 天津城建大学 2021 12 12 550 123 119 8 84 27622
2020 10 10 559 114 128 29 94 20516
2022 29 29 511 ll4 92 12 66 34631
;-
3220 天津农学院 2021 27 27 540~ ~ 1、23 97 II 74 33915
2020 24、 七尸 24 552 立6 128 - ~了。寸 87 24442
吝 OOO-c-1“诅2;2;~m\八·2一0子一夕~ 13 13 520 l 18 ; ',悦88, t3 尸`~亡9 75 27943
3225 天津职业技术师范大学 .222·~~~- ." ; . El2:-- 12 553 13~~0- / 102 14 87 25867
--飞 12 宁~吓 12 554 125 117 。 89 23278
,'\,.-天,子~'沪.~尸'二_,、-\津,-二一-.f商_一心今才已业`七大'\`\学 202,2 ,?n~于~夕1~2占父 32 473 98 85 9 28 69846
3240'>-
'
'
,,' r `. ,.
气i刁 初21 32 32 541 115 117 12 75 33219
,, 2020 25 25 531 122 65 29 66 38285
2022 15 15 515 106 90 12 70 31505
3245 石家庄学院 2021 15 15 545 114 109 。 79 30649
2020 15 15 543 125 127 14 78 30010
2022 8 8 501 119 73 14 56 42740
3250 衡水学院 2021 6 6 528 118 120 11 62 42273
2020 6 6 i 532 114 104 。 67 37527
!
2021 5 5 I 521 I 113 120 。 55 47608
3255 邯郸学院
2020 20 20 1 526 ll5 101 。 61 41943
2022 14 14 491 114 73 。 46 51788
3260 张家口学院 2021 13 13 528 120 119 29 I 62 42273
2020 8 8 I 535 I l21 112 15 ! 70 35387
2022 12 12 528 101 88 9 83 22832
3265 河北中医学院 2021 12 12 554 111 132 11 88 25301
2020 4 5 560 116 124 15 95 19958
2022 6 6 526 108 103 15 81 24075
3275 河北医科大学 2021 6 6 557 113 131 。 91 23563
554
2020 6 6 121 125 。 89 23278
22 529 103 I'< 98 0-;i仁 84 22242
3285 河北经贸大学 " 24 561 llo~~ 乒 124~ 2 )'9' 95 21385
25 56l 11,2 l立 130 18 96 19417
5 496 116 80 。 51 47205
唐山学院.一\-`厂 - - ----
3295 .2O2l 苍,,,J§ 5讫亡 5 533 124 ll5 8 67 38698
;:: 2620 5 5 525 105 104 12 60 42716
2022 5 5 493 109 83 12 48 49917
3300 河北建筑工程学院 2021 8 8 528 116 100 8 62 42273
2020 8 8 519 104 116 17 54 47502
2022 6 6 515 118 114 。 70 31505
3315 北华航天丁业学院 2021 6 6 547 116 120 。 81 29417
2020 11 11 551 120 89 9 86 25030
- -
2022 2 2 , 517 114 102 8 72 30019
3325 承德医学院 2021 2 2 i 550 121 105 。 84 27622
2020 2 2 i 552 l 16 113 14 87 24442
2022 10 10 503 i 111 86 。 58 41009
3340 廊坊师范学院 2021 10 10 537 125 91 12 71 36000
2020 10 10 541 114 140 。 76 31333.
二、2020—2022年河南省普通高校招生本科二批院校平行志愿批量投档最低分(文科) 35 •
公布 实阮投们 投档最低分 投粕最低分 投档最低分
院校代码 院校名称 年份
计划 人数 总分 语文 数学 外语听力 勹分数线差值 位次
2022 10 10 502 120 95 9 57 41865
3345 唐山师范学院 2021 10 10 535 117 106 9 69 37377
2020 10 IO 533 118 114 。 68 36818
2022 16 16 517 124 111 12 72 30019
河北地质大学 2021 14 14 544 115 124 14 78 31286
2020 16 16 558 116 130 12 93 21036
3350
2022 I 3 1 518 117 105 。 73 29283
河北地质大学(较高收费专业) 2021 3 3 551 133 118 。 85 27046
2020 3 3 543 103 129 11 78 30010
2022 12 12 491 110 97 15 46 51788
3360 山西农业大学 2021 l () 10 551 105 139 15 85 27046
2 2 0 0 2 2 2 0 1 1 2 0 1 1 2 0 5 5 5 3 3 0 U 12 6 3 m105 : '` , ? 二 0 ; ,二e 2 1- 4 1- -- 8 8 5 8 2 2 1 3 6 8 3 1 5 9
3370 山西师范)S冲 2021 12 12 56臣饬立2 1刮'I\善 14 95 21385
2020 `-士12 12 559羲, t1-”4;及 卢'·$下 107 14 94 20516
尸尸 丁、
2022. 巧 25~ 498 105 99 l4 53 45402
3380 运城学院 2021 24^ 24 527 116 Ill 11 61 43003
\
'已卢 ^2 ? 2020 24 24 530 105 114 11 65 39072
'
L' ;'', , 2022 4 4 488 98 109 11 43 54646
3395. 长治医学院 -; '2021 4 4 535 121 103 6 69 37377
',\ I II -, 2020 4 4 536 122 96 。 71 34661
它_: 子曲飞,西,,之立.中•沃俨飞医炉妇约人学 2022 17 17 527 111 108 27 82 23432
3400,古 t J 2021 16 16 553 117 123 12 I 87 25867
2020 16 16 557 117 124 12 92 21554
2022 12 12 .一 496 92 116 。 51 47205
3405 忻州师范学院 2021 14 14 524 122 106 1仁 l 58 45291
2020 11 ll 532 106 117 。 67 37527
2022 20 20 523 106 90 9 78 25960
3410 太原师范学院 2021 17 22 549 110 118 11 83 28244
2020 17 17 548 111 110 。 83 26807
2022 30 30 513 107 93 9 68 32998
3415 山匹大同大学 2021 12 12 549 114 125 14 83 28244
2020 10 l0 552 116 125 8 87 24442
2022 7 7 507 110 102 。 62 一上户了,__,~,'7 767
3420 太原工业学院 2021 8 8 541 113 129 。 ! 75 忒:、江-二编 ^ 夺 (:3, 3219
2020 9 9 544 126 113 .之 。 79 ,.李 29350
2022 17 17 501 翠 多 9 56 42740
3430 晋中学院 2021 8 鸳.匕.气 9 I 62 |\ 42273
2020 7夕 78, :\ 55229 i 1 17 a 98 l `l已,c ', l 64 39782
2022 13 L,, ~ ,、r--、-l.-3 , \·: 494 101 90 6 49 48998
3435 长治学院 \\:'勹},\\.-,_飞\ ,2 s0 21 7 7 530 131 99 15 64 40857
\ \ ,'\ \\ \\\
2020 6 \ \,j _6
`
530 120 101 5 65 390?2
碑 . \ : :\\' L\ ,I\:\; .\L 歹c ··二:心'I\I :/: I 2022 15 25 523 116 98 5 78 25960
3450 内蒙古师范 勹飞,一`C' ” 2021 20 20 547 120 100 。 81 29417
2020 31 31 543 120 94 23 78 30010
2022 17 17 508 107 118 。 63 36969
3455 内蒙古民族大学 2021 17 17 t 533 112 99 14 67 38698
2020 27 27 533 112 118 8 68 36818
2022 6 6 i 483 109 81 27 38 59583
3460 内蒙古科技大学 2021 10 10 547 124 115 8 81 29417
2020 19 19 545 109 110 3 80 28679
2022 15 15 495 109 83 11 50 48113
3463 内蒙古科技大学包头师范学院 2021 13 13 520 114 104 14 54 48420
2020 17 17 518 126 106 11 53 48340
2022 8 8 492 116 87 14 47 50820
3470 赤峰学院 2021 8 8 515 120 113 9 49 52443
2020 5 5 517 113 100 11 52 49174· 36 · 第二章 报考统计
公布 实际投档 投档最低分 投档最低分 1投档最低分
院校代码 院校名称 年份 计划 詈
人数 语文数学外语听力 与分数线差值 位次
20-20-20-2105--1147--2205--1157--1177--2155--1377--1375--1356--3177--3157- 36-17-ld
言 111 I 98 I 6 5 41009
3480 内蒙古财经大学 至 4 112 I 87 I 12 8 _ 96112
116 I 113 I 15 0 27436
言
- 112 I 98 I 9 - 24075
大连大学 吾 11211271 8 8 24136
5 2
3490 言 6 4 - 117 I 129 I 26 - 19417
112 I 85 I 6 8 62599
大连大学(较高收费专业) 言 至 郅 120 I 121 I 29 1 - 36000
昙 5 114 I 111 I 26 9 33976
6 113 I 91 I 26 0 26589
3495 沈阳大学 至 6 8 归120 I 143 I 8 - 27622
9
昙 126 6 21036
- - 50820
3515 辽宁科技学院 2 3 79316
1 5
- 39782
0 -
归 7 20478
11_9lo-18-11-11-11_0-9-12-o-0-14-14_8-12-14-11-17
1 21385
1 -
18448
2 』 7
2 49917
10-10-31-30-33_4-54-9-2-153-16-16_8-11-13_4-4-4-12
- - 37377
言 2 7 36818
7
巨 』 - 26589
- 8 25301
吾 - 1 4
4 22087
5 43 -
3525 昙 9 59583
沈阳师范大学(较高收费专业) 3 40857
言 - -
86190
5 4
沈阳师范大学(单列专业) 昙 7 45874
7
言 3 85 - 1 32268
3540 辽宁工业大学 33219
昙 』 8
- 24442
5
昙 5 6 41865
4
3545 沈阳理工大学 - 27622
昙 7 -
8 女23278
3- 观7 二l勹,三.一一 5
-
3550 沈阳航空航天大学 0 0 9 3
5 - 5 2 ` 20, 8 : 7
- 色36213
3555 沈阳化工大学 - 9 82978
-5 8
- 25030
}』
4
79-78-92-4
2
9
5
-
3
7
2
9
2
- 76-63-48-51-66-75-69-90-64-70-65
3565 2 42 8 31286
7-2-4-4-5-525-45-32-42-47-51-10-10-10 -
2-4-4-5-52-45-32-42-47-51-10-10-10 6 21554
』- 9 48998
3570 1
言53
- 30649
6
- 6 1 9- 8 31333
3575 辽宁中医药大学 - 36969
g 7 49917
- 5 7
3585 鞍山师范学院 - - - 50796
竺g 33 8 38285
g
渤海大学 - - - 45 8 - 9 2 3 7 7 9 3 4 7 3 7
3590 严
gg
g 1 1 22667
- 0- - 3 36213
渤海大学(较高收费专业) 8 36701
迦g
4 - 39072
- 5 6
4
g 7 -
1
- -5 2
-
9 5
0
6
-
: 6
9
42
-
4 7
- 5
-
5 8
7
72 -
5
4 7
5 -
8
5 4
-
7- 8
9
9
5
5
-
4
4
5
5
-
0
2
5
9
1
2
5
-
5
3
5
-
6
-
5
5
5
5
3
4
7
0
1
-
-
5
6
..
二、2020-2022 年河南省普通高校招生本科二批院校平行志愿批量投档最低分(文科) 37 •
公布 1实吁投怕 投档最低分 投档最低分 投档最低分
院校代码 阮校名称 年份
计划 人数 总分 语文 数学 外语听力 与分数线差值 位次
|
2022 39 ! 39 493 109 85 II 48 49917
3615 辽东学院 2021 33 33 518 115 117 9 52 49952
2020 26 I 26 525 116 99 5 60 42716
2022 64 64 518 108 109 12 73 29283
3620 北华大学 2021 65 65 549 128 104 8 83 28244
2020 34 40 551 122 94 15 86 25030
2022 31 31 514 107 90 。 69 32268
长春大学 2021 39 39 536 126 103 21 70 36701
2020 31 31 554 125 109 14 89 23278
3625
2022 3 3 495 112 107 9 50 48113
长春大学(较高收费专业) 2021 3 3 499 117 94 8 33 65834
2020 2 2 537 124 127 11 72 33976
2022 20 20 521 105 垃3二:^上尸 8 76 27264
3630 长春工业大字 2021 19 19 551三习l5 飞l: 女.下 . 1 . 飞 ",'' 24 85 27046
2020 18 18 552`式,I:",1-l9 124 。 87 24442
2022 --21 2l 511 ll2 98 ,..'6 66 34631
3635 古林农业大学 2021 10 10 551 1 130 109 11 85 27046
\ \ 2020 13 13 549 123 119 。 84 26203
2022 33 33 525 116 100 5 80 24695
吉林师范大学 , 2021 39 39 554 124 121 。 88 25301
2020 33 33 556 114 105 9 91 22087
\吉.,一」林师.范r,,大.'f(较高收费右业) 2022 3 3 505 110 104 11 60 39414
3640 、''夕了 \ 2021 6 6 1 529 114 103 II 63 41562
' , 2020 8 8 524 120 118 11 59 43484
2022 8 8 500 111 66 8 55 43646
吉林师范大字(单列专归) 2021 8 8 I 524 101 110 20 58 45291
2020 8 8 509 119 130 11 44 55983
2022 6 6 501 113 94 30 56 42740
古林师范大学(异地校区)
2021 3 3 527 120 91 。 61 43003
2022 8 8 454 100 83 12 9 90557
3645 长春工程学院 2021 4 2 529 126 136 11 63 41562
2020 5 5 531 117 119 8 66 38285
3655 吉林化上学院 2022 10 10 491 110 89 6 46 51788
2022 11 II i 509 108 78 。 64 36213
3660 吉林建筑大学 2021 12 12 I 539 113 122 9 73 已'名,夕"上'``·''` '泛,一3,4627
2020 6 6 i 541 121 118 11 76 引333
2022 7 7 510 112 102 _ ,, 14 -I 65 尸烂 35431
3665 长春中医药大界 2021 8 8 534- 120:c: 号 一力5 。 68- - 尸心”38` 0,2 6
2022 48 `` l -4`` 8 4911l;r 109 。 49 $ \,、.义4、-8998
3670 白城师范学院 2021 53 53 521 106 12··3'; · 14K 尸4}L ,\ 55 47608
2020 49 , 49 519 116 91 11 54 47502
2022 59 59 515 111 87 。 70 31505
长春帅范大学 ,一.J飞\' , 2021 55 57 543 110 120 11 77 31926
\ \ -, 1 : 2020 55 55 551 119 112 20 86 25030
2022 11 11 489 126 82 9 44 53630
3675 长春师范大学(较的收费七业) 2021 II 11 515 120 85 。 49 52443
2020 ] () JO 516 117 84 。 51 50004
}
2022 13 13 ] 495 119 101 8 50 48113
长春师范大孚(单列炉IU 2021 l4 l4 521 118 89 JI 55 47608
2020 10 11) I s13 108 86 () 48 52560
··
2022 15 15 496 108 83 9 51 47205
3680 吉林丁程技术师范学院 2021 30 32 520 113 ]12 17 54 48420
2020 35 36 518 112 88 27 53 48340
2022 23 23 496 115 79 15 51 47205
通化师范学院 2021 34 34 522 ]15 96 12 56 46841
3685 2020 26 26 523 113 129 9 58 44287
2022 3 3 487 118 89 8 42 55616
通化师范子阮(中列专IV)
2020 8 8 478 104 104 11 l'3 85132• 38 • 第二章报考统计
院校代码 院校名称
年份 1 公计划布 1实凡际投仗档1总分1语 文投数i最学低外了语听力与1分投数档线最低差分值1投档位最次低分
勹 81-81-95-47-51-77-80-69-77-75
g
3695 I 黑龙江大学
-
勹
3700 I 佳木斯大学 g
3710 I 齐齐哈尔大学 -
m
3715 I 黑龙江八一衣垦大学 -
2022 I 31 I s1 I 505 I 115 I 97 I 11. I 60 m
3720 哈尔滨师范大学 ` 2021 I 44 I 62 I 556 I 12s I 121气, lg三三t 90
l -
2020 63 I 63 I 556 J,.i;5 卫矿 14;贮勹;.:'i 91
2022 I 54 义岭3 4元诅心 过尸 14'$ 32
m
3730 哈尔滨学院 2021 I ~i巨 车: 532辇心迈5 115 lL\ 了. 66
心位0, 成三 5'!!三: 533 I \27,·,l2O l2 68 -
37 3 5 , . 尸 `飞, 3737 飞 赋 , - 沁 t , ' 芦 ` 、 一 ; 、 了 翠 菜 ir}~ - 笠 氢 \ ? 二 尺 , ` 言 ,了 ~"\''I 孚 '2 2 2 ` 丞 0 人 七 O b 辽 ,2 : 2 i t 2 0 r ~ 了 · : 1 I I ,1 ' la 3 1 2 ? 1 3 , 4 , , , 矿 . , , I 1 I I 1 1 飞 2 11 1 女 3 1 71 ` ,. , .• . I I J I ' , A 5 4 4 s 1 ~ 1 6 9 6 8 ~ s 3 · \, 1I I I I 'wi 1 1 1 n 1 0 0 'Il o 9 9 1 9 II I I I 1 m 7 88 3 55 6 2 I I I I 1 o o s 4 I I I I 5 2 4 5 3 3 8 0 - m m - 叩
初 它 2021 I 9 I 9 I 538 I 111 I 128 I O I 72 m
\ 言 16-40-481-667-4-317-5-356-6-470-3-378-3-368-4 0-38-3081 010 69-68-74-8 - 0-46-36-58-52-56
-
哪
4 大学 m
5 一g
11
6 -
- 11-14-14_0
3750 齐齐哈尔医学院 m
g
_
- -
3760 牡丹江师范学院
g g驾
2020 I 25 I 25 I 528 I 110 I 108 I 12 I 63 I 40496
20-22 I 45. I 45 I 494 I 104 I 99. I 14 I 49 I 48998
3765 大庆师范学院 2021 I 59 I 59 I 520 I 109 I 118 I 11 I 54 I 48420
g
2 2 0 0- 2 2 0 2 I I 2 5 1 4 \ I 2 54 1 . I I 5 4 1 9 8 2 I I 1 1 0 13 2 I I 1 9 2 1 7 I I 1 s 5 I 壬/千' 5 ,g 3 , ` 趴 沪 和 女久 · : :、土4之 ' 飞 , 心~3 , 5 4 、 0 8 8 3 2 4 0 0
3770 绥化学院 20g21 I 18 I 18 I 511 I 124 I 96 夏辜叮坟 '气,还\心寸,,叨6
202O 20 20 5l7`- l15:105 勹左昙 轰芍沪 49t74
20 - 22. I 25 I _ ~~ HJ 气101""'吵队 6芯步 41; .S,'夕` 士F'气'50820
,子一鸟令
3775 吉林农业科技学院 20g21 夕 22 名竺巫贮116 $ 97夕 l7:玉 rP'28 I 70291
.了立:¥020飞竺3 咚;;、二心 5沈·1 lQ~..飞公H?W; 14 I 61 I 41943
3850 I 盐城工学院\ .-. £ 一, \ ' `'$- 霓f拉”O20 、畛它^$\二;i3玺 • 3.L§4~i\洹o l 106 I 11 I 82 I 21436
,、 Q §
\r:::_:: :厂::::,I).:\ ii.:动22 8 产气:.8炉上 517 103 108 8 72 30019
3855 常州工学院\ ' ` \i 夕 ` 1 - i • <\\, i 七 飞 \ j ; I L ` '; - '- , _ 叶 气\i_ 仁 / 寸 - ., r \ 夕 二, ~ 今 j \~ '江· 61 I ' ,2 2 q 6 2 2 1 0 , I r- ,:.心 ,i 1 ' 3 3'·1 I 1 n 3 I I 5 5 4 s 3 o I I u 11 s 3 I I 1 m 09 I I 2 o 9 I I 1 85 1 I I 3 2 1 56 9 2 2 0 6
令卢~
~` 亿',,. I 2022 I 10 I 10 I 524 I 124 I 65 I 9 I 79 I 25322
3860 江苏海洋大学
“5人三
2021 I 14 I 14 I 558 I 129 I 114 I o I 92 I 22987
2020 I 22 I 22 I 556 I 112 I 121 I 18 I 91 · I 22087
2022 I 45 I 45 I 527 I 120 I 92 I 18 I 82 I 23432
3865 江苏第二师范学院 2021 I 41 I 41 I 559 I 131 I 123 I 9 I 93 I 22467
汇 92-50_2-79-68-77-78
21554
48113
言
3870 I 淮阴工学院 94296
贮 29350
32998
390s I 淮阴师范学院 31926
30010.
二、2020一2022 年河南省普通高校招生本科二批院校平行志愿批量投档最低分(文科) 39 •
公布 1实际投档 投档最低分 投杻最低分 投档最低分
院校代码 阮校名称 年份
计划 人数 笣分语文数学外语听力 与分数线差值 位次
2022 6 6 523 113 90 9 78 25960
3910 盐城师范学窗 2021 10 10 553 111 110 5 87 25867
2020 20 厂20 549 123 110 I I 84 26203
2022 14 14 528 120 117 。 83 22832
3920 南京晓庄学院 2021 15 15 560 ll2 l l2 。 94 21943
2020 38 38 558 120 108 9 93 21036
2022 20 20 516 111 85 。 71 30778
a”“”
3925 汀苏理丁学院 2021 24 24 555 114 128 。 89 24689
2020 16 16 554 121 127 20 89 23278
2022 32 32 533 118 105 14 88 19938
3930 江苏师范大辛 2021 32 36 566 115 112 。 100 18908
2020 37 37 566 118 117臼怎 6 101 16955
2022 4 4 526 0 1,, l4 n釭-`, 尸 l l I 81 2的75
3945 江苏警官学树c 2021 4 4 55沪lAI4 1t-l8安“\七` 已,} 15 93 22467
2020 2 ! 2 562":; 心l21 103 () I 97 18922
2022 13 l3· 483 10] 107 。 38 59583
3950 常熟理工学院 2021 15 15 552 120 110 27 86 26451
2020 24` 认/ 553 119 123 11 88 23819
\ \
\ 2022 23 23 538 107 106 14 93 17210
浙汀传媒学院 2021 30 30 569 113 134 11 103 17492
3960
\ 2020 37 37 566 116 129 26 101 16955
浙江传媒乒兖(较倘收费专业) 2022 4 i 4 525 108 105 8 80 24695
?' -7,\ §亡 2022 20 20 517 105 99 。 72 30019
3965 宁波工程学况 2021 20 三— 507 113 113 -.一 41 59025
2020 20 卜` 558 112 134 ·—184 93 21036
2022 35 i 35 522 125 94 。 77 26S89
3980 绍兴文理学阮 2021 30 30 559 117 119 14 93 22467
2020 20 20 557 117 113 9 92 21554
2022 14 14 523 117 85 8 78 25960
3985 台州学院 2021 8 8 555 120 134 8 89 24689
2020 10 10 553 114 120 11 88 23819
2022 12 12 532 111 101 。 87 20478
3995 嘉兴学院 2021 10 10 563 116 130 11 97 20389
2020 12 12 』::: 112 121 26 I 95 七乞;寸勺飞_,、1气9958
2022 18 卜-U 18 112 115 () 83 -胃' “' ` ? 勹 p ' 了立,,1~,,气2832
4020 浙江海洋大字 2021 20 28 555 120 125 乍 21 i 89 升芍础89
l”
2020 12 12 560 : 主。 95 l9958
2022 20 20 4霞子 扛l5 1卢09 。 30 ',.,玄气' '',\1. ",6这7~7-40
4035 衢州学院 2021 15 15 542'企/ 1 一-1 1夕· ·. -— _ 76 32574
2020 10 \ ul0 \ 541 131 104 9 76 31333
2022 24 24 516 120 107 6 71 30778
4040 湖州师范学院 \ 2021 22 :22 549 112 117 9 83 28244
I -- 2020 l2 i L 12 554 121 108 9 89 23278
2022 43 43 515 114 81 15 70 31505
\
4045 合肥师范学阮 2021 43 43 551 130 82 9 85 27046
2020 43 厂五 I 550 120 105 14 85 25620
2022 10 10 535 103 102 26 90 18792
4050 温州大学 2021 17 17 564 129 113 8 98 19891
2020 8 8 565 125 135 8 100 17463
2022 2l 21 484 109 94 l 7 39 58561
4070 叩水学院 2021 20 l 20 547 115 113 27 81 29417
2020 20 20 549 109 119 12 84 26203
4090 安徽农业大学 2020 6 6 557 124 106 6 92 21554
2022 15 15 510 103 109 9 65 35431
4110 皖西学院
2021 10 10 527 119 110 17 61 43003• 40 • 第二章报考统计
公布 实际投档 投档最低分 投档最低分 投档最低分
院校代码 院校名称 年份
计划 人数 总分 语文 数学 外语听力 与分数线差值 位次
2022 14 14 525 105 115 14 80 24695
4135 安徽中医药大学 2021 14 14 556 128 94 12 90 24136
2020 9 9 555 118 121 。 90 22667
2022 21 21 523 104 103 。 78 25960
阜阳师范大学 2021 22 22 550 121 137 8 84 27622
4145
·2020 22 22 548 117 120 17 83 26807
阜阳师范大学(较高收费专业) 2O22 2 2 486 111 99 11 41 56565
2022 20 20 521 107 88 24 76 27264
4150 安庆师范大学 2021 14 14 552 126 120 。 86 26451
2020 10 10 550 120 113 11 85 25620
2022 27 27 508 110 107 。 63 36969
4160 巢湖学院 2021 16 16 542 120 134屯';,, l'i\,气乙l产 76 32574
2020 荨9 沁C 75 31965
2022 9 86 21061
4165 淮北师范大学 2021 ` 9 n . , 3 \ ,产_,,e炉;t• 93 22467
` ;拉8 1 4 , 91 22087
\铜夕鞍,r_学-院` r , , ``呼`哼 `-无 旷皿港, 101 6 55 43646
4175 20岱\ \f\i1`,3, ., 467 1l1 98 12 1 95210
L ~,-,$ : t.io 10 550 119 116 17 85 25620
41,8 e 5` `\; $心\ 潼州学院』 心:~;名'`: 1 ~022 4 4 491 104 94 9 46 51788
\\了 '贮 ?一心二 , r)“门 `, 丈 ` 支 一 心 了 ·' '';,飞`,' .B 女又'-'`L '气 它歹 2022 15 15 516 113 103 。 71 30778
2021 15 15 545 118 120 11 79 30649
4195 \'· 了I飞飞门;~\闪己、 2020 20 20 538 114 110 5 73 33302
2022 15 15 508 115 101 。 63 36969
福建农林大学(较高收费专业) 2021 15 15 542 115 117 27 76 32574
2020 15 15 540 114 122 。 75 31965
2022 49 49 514 110 102 12 69 32268
4210 闽江学院 2021 53 53 551 121 135 。 85 27046
2020 55 55 549 114 136 12 84 26203
2022 16 16 514 113 96 。 69 32268
4215 背田学院 2021 31 31 544 113 116 11 78 31286
2020 31 31 541 124 91 17 76 31333
2022 21 21 506 109 88 11 61 38592
4220 福建工程学院 2021 29 29 527 117 106 9 61 L之;心'心,,"4“`-3003
2020 35 43 548 112 113 11 邸'. ?1 ?` ' •遠.=•.•-“ . `..;:,, .,心 a6807
•
2022 13 13 525 118 101 气,函 沪等2拓95
三C了3
4225 福建中医药大学 2021 13 13 ;,飞7'' 25867
翟 8 9i,,'r, \` -,`2一1一554
泉州杯范学院 [[昙` O.c,.:.. •I ·产扛470 31505
4230 T--', 12` 83 28244
~-,\.
S§4祁j谥 126 。 82 27436
闽南师范大革一\ 亡\I\l“1士l,之乙^,.?一_-”'_-.I,长户\,,一\[-勹;.·一,-,尸,/`'江厂J,.飞'气`` 521 103 90 。 76 27264
4235 ',l“\; - 1 .}\ ` ,` _>;, ` ' 553 118 123 。 87 25867
(; .'"匕..'...初...20 65'65 553 113 95 9 88 23819
' 卖俨·-; { 夕 2022 5 5 526 123 82 。 81 24075
江西农业大学 2021 7 7 553 116 128 9 87 25867
4255
2020 13 13 534 118 101 5 . 69 36096
江西农业大学(较高收费专业) 2020 3 3 550 119 130 。 85 25620
2022 33 33 472 102 94 8 27 70900
4265 九江学院 2021 31 31 537 107 121 。 71 36000
2020 31 31 545 124 118 11 80 28679
2022 21 21 493 120 81 。 48 49917
4270 宜春学院 2021 21 . 22 477 108 104 8 11 85681
2020 30 30 543 119 12O 12 78 30010
2022 15 15 509 117 97 6 64 36213
4280 景德镇陶瓷大学 2021 8 9 547 120 107 14 81 29417
2020 9. 9 546 123 115 5 81 28075.
I .
二、2020-2022年河南省普通高校招生本科二批院校平行志愿批量投档最低分(文科) 41 •
年份 1 公布 1实际投档 投档最低分 投档最低分投档最低分
院校代码 院校名称 计划 凡仗 1 总分1语文 1 数学 1 外语听力 1与分数线差值1 位次
27-89-70-o-90-87-76-81-88-72-83
g
-
4300 I 江西中医药大学
呻
m
4305 I 赣南师范大学 西
-
-
4310 I 江西科技师范大学 m 竺
-
4315 I 井冈山大学 m
2O20 7 7 547 l25 94《 24~:了·:, 82
2O22 16 16 5l1 l13 l0? 14尸\,:, 66 -
I I 2-
4320 上饶师范学院 2021 19 22安多 53沪E3 109\' l1七」 73
2020 红江 勾言 535?[四 125 ,21'\ : 70 m
4340 I 南昌师范学院 望: 孕 熙, 位 2砸 ,亡员尸、 \ ?夕 元 袨`巧 少卢 归 今 、 ', 9 婿 泸《 , 5 5 5 17 o 叩 108 ` ' \ I 1 i 1 0 3 小 ¥ l l 2 5 7 8 2 4 -
勹三言多,4,心\孚 气 饶 酝 昙 玺 " 为 '^_ 初 ,“ 10, \屯\\iob \,) 548ll5 118 9 83 g
飞/丁\分?、r;\\ 勹尉\\' 陪)七 劝拉f,.`8 C(七 8 515 111 93 0 70
响门\畔矗矗气泸,言;),`亡加1 巳 l0 549 106 135 10 83 -
\f,归气}, '夕己矿戈``
2O20 60 6 549 132 106 0 84
\ .产 妇名r 匕'.J,,,• I 2022 I 10 I 10 I 530 I 120 I 111 I 14 I s5 m
4355',S气f'\ ` 喻`城这它大;“学 2O21 10 10 558 l29 1l4 21 92 -
-
2020 I 8 I 8 I 558 I 116 I 119 I 8 I 93 詈
20221 6 I 6 1529111511071 9 I 84 g
87-93-84-95
4365 I 烟台大学 罣
贮 -
`
言
g
4375 I 山东政法学院
12111201498.151111~1106112699111299118
g 1 1 5 1 1 9 叩
4 4 4 4 3 3 4 3 8 8 0 9 0 5 5 0 德州 齐 山 山 学 鲁 东 东 院 师 中 农 范 医 业 学 药 大 院 大 学 学 艺 云 二 g g 8 5 5 6 3 2 3 1 0 1 0 1 0 8 5 5 6 3 2 3 1 0 1 0 1 泣 6 0 5 5 2 5 5 1 1 5 1 2 2 1 1 , 2 2 1 0 7 1 2 1 究 . 0 1 5 8 6 8 6 9 0 8 7 9 4 压 ` 了 , ' : 少 了 二 竺 晌 呻 g g g
4 4 4 4 4 4 4 4 : 4 ~ 4 3 ~ 2 4 3 ~ 0 0 1 5 5 ~ ~ 0 :~ ~ ~
淄 山
I
坊 东
青 滨 山
学 女
岛 州 东
院 子
农 学 交 业 院 通 大 学 学 学 院 乙 \ \ 院 \ ` 气 、 尸 u j 会 玺 戏 江 心 : : 邑 归
g
g g g u - g g g g
g 细 >6
飞 头t , 5
- 、勹
, 平 、 5
让
f , g 2 0 3 0 3 0 3 0 6 4 8 1 0 8 8
笘 ' 勹y
贞
且
3 0 1 2 3 0 6 4 8 1 0 8 8 5
0 2
2 0
泣
歪
5 5
5 5 3 2 5 6 0 5 6 0 5 0 6 g 5 4 6 4 8 9 4 6 7
皿
1 2 3 1 2 6 1 1 4 1 1 4 1 1
5 1
1 8 1 1 1 1 1 8 1 1 9 1
平 9 0
9 3 1 0 9 1 0 9 1 0 9 8 5 9
1 1
8 9 9 1 0 9 1 2 4 1 0 1
6 6 ,
6 7 7 0 7 6 8 1 4 4 1 6 5 6 5 8 9 8 67-68-61-6 3 0 8 g g g g g g g g
g
g
响
归 6 -5 98 8
g 5 二5 4 1
4
9
1
8
7
36 g 818
4445 I 菏泽学院 g 3 1 01 3 7 8 8 3 4 g 3 8 7 5 7 9 7 2
g 0 62 9 8 9 44287
5
11
0 3
01 1 5
1 8 2
3 2
0 1 1 6
5 1 1
4 1
5 1 8
5 0 1
7 0
5 1 1
5 0 1
9 1
3
1 6
5 1 1
4 1
2
1 5
3 1 7
5 0 8
1
5 1
4 3
5
5
8
4
9
7· 42 · 第二章报考统计
公布 实际投档 投档最低分 投档最低分 投档最低分
院校代码 院校名称 年份
计划 人数 总分 语文 数学 外语听力 与分数线差值 位次
2022 14 IO 447 107 93 。 2 98565
4450 滩坊医学院 2021 14 14 543 116 117 12 77 31926
2020 14 14 543 112 119 11 78 30010
2022 5 5 515 106 93 9 70 31505
4465 山东第一医科大学 2021 5 5 541 125 133 12 75 33219
2020 5 5 547 108 114 9 82 27436
4470 泰山学院 2020 5 5 531 110 121 15 66 38285
2022 11 11 525 110 107 。 80 24695
4475 临沂大学 2021 12 12 556 125 107 17 90 24136
2020 19 19 554 121 104 8 89 23278
2022 7 7 531 120 92 6 86 21061
4480 鲁东大学· 2021 7 7 562 121 118. ,_ 0之:S.;三~1~, 96 20879
2 2 0 0 2 20 2 2 7 2 7 4 5 7 5 s 8 ; ;,, 口 , 夕 - 占编,_ 占 1 , ~ L L尸 之'` . 2 ~ 的六 1 ` .1.. . ` 戏 3 已7,了'4`. 贮- , 入 1c:,' 1 8 1 气 占” 俨户 3 93 0 6 2 7 1 7 0 4 3 0 6
述22一J一2二年户E一3~/夕已
4495 山东工商学院 2021 了尸站髻" • · 552莎 邸 118 ^-',且: 9~ ' , '寸, 产''86 26451
山了东·,\已,__管产理尸,'.:I学A,'`,院'' 汒己'了`飞`'`'訧~:`-`'总它宁` 令勹于飞,•气"己'·;言/,召二;,,卢咚 泣笃,C皿.L~“ . 俨 户俨尸加.匕俨' , 2 $ 尸飞 i 21 邓 553 i i l .0 l .7 3 c b l 1 2 0 7 9 l忙俨 。 7 8 3 8 2 2 3 9 8 2 1 83 9
4500 C- J` t` L, t ,T. ] 一编夕c 砬 20.“20 i `. 七飞·.: 2 2 0 0 尸 ,,, 飞 2 20 0 5 55 5 2 0 1 12 1 1 7 1 1 2 1 1 5 9 。 8 8 7 4 2 2 7 4 6 4 2 4 2 2
';,,'''`'\` ,4编湖.?夕”·I“,北,i ,理.-,_,-工•,:~ · ; 学.f垒·.尸 飞 亡2022 18 18 511 114 106 9 66 34631
:~飞,名 K丁 一~气一 J忙;'"气心跷飞 2021 7 7 536 129 104 14 70 36701
451~,, ,
2 - 2020 14 14 518 106 112 。 53 48340
七~` 2022 30 30 514 120 101 12 69 32268
4540 湖北科技学院 2021 28 28 546 105 121 12 80 30047
2020 24 24 547 117 121 8 82 27436
2022 24 30 521 110 86 27 76 27264
4545 湖北文理学院 2021 31 31 550 122 109 11 84 27622
2020 30 30 551 114 118 14 86 25030
4555 湖北汽车工业学院 2022 20 20 493 104 104 11 48 49917
2022 10 12 530 111 94 15 85 21635
武汉轻工大学 2021 10 11 559 122 122 12 93 22467
2020 10 10 561 120 119 11 96 19417
4565
2022 20 20 510 116 85 15 65 35431
武汉轻工大学(较高收费专业) 2021 25 25 539 116 107 11 73 -豁`~4627
2020 25 25 524 117 85 。 心 _全锐9女 戎/43484
2022 19 19 469 104 91 14子 勹绍,古· ', ', 户`'`寸7,俨4062
4590 湖北医药学院 2021 15 15 547 ll5产:ll6 ,-ll:- 81 79417
2020 '于应 0" ` 78仁仁\ ':飞3, '' '\'300'1 0
酮函
2022 翡 $ 99 .lL户.夕,刁..,~_• \、名飞 85 21635
4595 湖范大学北师勹,.纷21心 1l3 一 \1 一 ,17 :产 :巳24 96 20879
',5的\卤己1,2C 104 11 95 19958
34, 灯\;:34尸 '521 106 85 11 76 27264
4600 黄冈 夕'夕326飞'26 547 118 118 12 81 29417
30 30 543 130 104 。 78 30010
气,\ 于,r了飞';" .- -\ ,'产.O. , . ,又 , ;少 2O22 19 26 498 109 86 3 53 45402
4610 湖北工程学院 2021 19 18 468 112 94 。 2 94296
2020 12 12 553 117 118 6 88 23S19
2022 30 30 526 118 94 6 81 24075
4615 湖北经济学院 2021 32 32 559 115 108 29 93 22467
2020 29 30 559 123 114 。 94 20516
2022 44 44 518 114 79 11 73 29283
4625 湖北民族大学 2021 44 44 547 128 116 14 81 29417
2020 23 23 547 120 96 9 82 27436二、2020一2022 年河南省普通高校招生本科二批院校平行志愿批呈投档最低分(文科) . 43 ·
—- -——- - -
院校代们 院校名利 年份
冲文技字阮 二/二二//6
4685
阴南人文科技养院(较高收费女业)
515|118 二。 i
20/ 1 10 70 31505
4690 I 古首大学 三lIJ I l2 533 | l22/勹-—了一一 67 -一二
1mm~it三/
4705 湖南城巾学院
2022
__三-全: : ::: I :二1 /:一三
4710 郘阳学院 1:
勹厂 勹5 厂厂-「二
4715 湘南学院
文 -~ 20 ! 20 8 二 ! 二 8 1 54 / 3 _ , _十一一一一一
4725 湖南上程学院
-11
4750 衡P而::~:-----{00勹!二88 l :二
:::ll::二J1
4755 0
:
l 2022 1飞 +___: 1 3 I sos I 113 1 93
4760 I ! [ 员 不 南 化学 女 阰 了三 一—_ } )三 户 2 2_-0 0 2 2 - 0 l _ w u?t -二_- l 勹 IJ - _-卜 三 - 1 - 8 ( ) /- _ " I 1 - / 沪 5 _ 3 - 2 3 II I 1 1_ 三 1 2 s _ 4 1 · _' 8 - 1 _8 13 -
4770 三自阮 一一二吧二 1 1 556 120 严
4780
._ l』0~ 」--·_l [- - - -
三'. -—二:/+ //厂三
::: ::
4785
47901 卜}学院 - 三厂-一:/ I /三 1 仁//:三
厂: t -飞厂
1 114 1 103 1 -2y
4795 广东金硝学院 三/6 |三二竺
2020 I s --丁i 7
4810 广东石油化]学院
I 113
/ / / /
4815 东莞理工学院
22667
24136
4830 广东化科大学
9() 22667
85 21635
4840 广东第二师范学院 三 2021 - 1 6-4 | 了 7 勹 1 56 5 1 9 · ! 一 1 [ 28 五 十E l32 / - 9 巠 95 1 21385
——-』
6 I I 17
2022 i 2 | 2 1 s 10 r 10s 1 101 ; o 1 65
484s I 韶关学院 _2021 _l. 6二 l 二二m二3 l 三尸二二 - 6-3 ^-l- 40157
I 2020 i 17 ] 20) 527 ! 108 ] 112 I l l I 62 i 41219• 44 • 第二章报考统计
公布实际投档 投档最低分 投档最低分投档最低分
院校代码 院校名称 年份 1
计划 人数 总分语文数学外语听力与分数线差值 位次
2022 I · 2 I 2 I 511 I 126 I 92 I ll I 66 I 34631
4850 惠州学院 2021 I 4 I 4 I 521 I 119 I 122 I 14 I 55 I 47608
2020 I 12 I 12 I 546 I 118 I 125 I ll I 81 I 28075
2022 I 2 I 6, 500 I 110 I 89 I 17 __ 55 : 43646
,- -- -上- -」. i|
4855 韩山师范学院 2O21 6 18 二尸亡 l20 109 0 64 40857
2020 I 4 I 4 I s29 I 124 I 1ll I 9 I 64 i 39782
2022 I 7 I 7 I 520 I 116 I 97 I 11 I 75 I 27943
岭南师范学院 2021 I s I 10 I s4s I 126 I 124 I 26 - ! -“s2一 ·一,!j 2ss36
4860
2O20 4 8 548 l22 94 l1 83 1 26807
岭南师范学院(较高收费专业) 2022 I 3 I 3 I 464 I 114 I 70 I o I 19 I 79496
2022 I 18 I 18 I 486 I 107 I JOO I 14 I 41 I 56565
4865 嘉应学院 2021 I 10 I 10 I 534 I 108 I 98 I 12 I 68 I 38026
2020 I 1l I 11 I 531 I 119 I 110 I 9 I 66 I 38285
2022 I 11 I 12 I 523 I l 09 I 106 I 11 I 78 I 25960
4870 广东技术师范大学 2021 I JJ. -•• I 12 · I 556 I 120 I 129 1-. 14_· I ·-_ 90 I 24136
--巳-- ·· __ _ __ __ _._ ___ _
功2O -;c1.0忑- 12 555 124 l30 8 90 22667
---2p2· 2 ·-··) -· 2O:, 26 51l l20 87 8 66 | 34631
4875 I 肇庆学院厂 2O-21 50七 52 540 120 103 15 74 』 33915
4三8 -C` 亡,'; \' 2O20 :」一,-_-C-5 5 539 114 105 9 74 | 32593
l一一II - ; `i 1 1 ,
488Q丿广东财悠大学 2O20 8 8 570 l23 l23 l2 105 | 15089
2022 I 4 I 4 I 532 I 109 I 102 I 11 I 87 I 20478
2021 I 2 I 2 I 562 I 127 I 127 I II I 96 I 20879
2020 I 2 I 2 I 559 I 123 I 124 I 5 I 94 I 20516
2022 I 29 I 29 I 528 I 113 I 11S I 8 I 83 I 22832
4915 广西师范大学 2021 I 30 I 30 I 561 I 126 I 114 I O I 95 I 21385
2020 I 22 I 22 I 560 I 129 I 122 I 15 I 95 I 19958
2022 I 3 I 3 I 480 I 118 I 69 I 12 I 35 I 62599
4920 广西科技大学 2021 I 2 I 2 I 545 I 108 I 121 I 8 I 79 i 30649
I
2020 I 4 I 4 I - 53 - 5 I - 126 I 98 I 5 I - 70 |i 35387
2021 I 18 I 1-9 - - I 556 - I 129 I 113 I 11 I 90 I 24136
4925 桂林电子科技大学 2O2O l9 卫_竺:117 114 11 90 _| 22667
20221 18 I 18 1517110311041 18 I 72 I 30019
”“_ _ _
4930 桂林理工大学 2021 I 18 I 18 I 547 I I 19 I 108 I O I 81 I 29417
2020 t 28 t 28 t 549 t 108 t 119 t 21 I 84 L 26203
4945 桂林医学院 2020 I 2 I 2 I 540 I 105 I 1!2 I 8 I _ 75 · I 31965
2022 I 5 I 5 I 524 I 112 I 106 I 6 I •·, 19 _ I 25322
广西中医药大学 2021 I 4 I 4 I 515 I 126 I 110 I 14 I 49 I 52443
4950 2020 I 4 I 4 I 558 I 115 I 117 I 11 +I 93 --• I - 21036
2021l,l l'l3 1l8 109 ll 47 54068
广西中医药大学(较高收费专tlv) ~ 4202O心 三 ,产 4.立K ,名1 _1 s,o9 .1 m.、已1111--·o m i 一”“44一 "" i 55983
了一笠勹艾加22 望,-红乙一1-1 丿_2-.』?25-
ll3 102 8 80 24695
4955 南宁师范大学 :', 7": I 2021 I 12 12 I 554 I 128 I 104 I 11 一一I 8一8 一-I 25301
翋0 :;,: 1-4 t l4 552 [ll7128 27 87 24442
+ 1
2022 2S [ 25 493 103 89 11 48 49917
4960 玉林师范学院 2021 I 20 I 20 I 518 I 113 I 104 I 14 I 52 I 49952
2020 I 20 I 20 I 520 I 106 I 105 I 12 I 55 I 46713
2022 I 19 I 19 I 519 I 103 I 115 I 8 I 74 I 28595
4965 广西民族大学 2021 I 22 I 22 I 549 I 127 I 113 I 15 I 83 I 28244
2020 I 11 I 12 I 549 I 120 I 107 I O I 84 I 26203
2022 I 3 I 3 I 492 I 112 I 79 I 9 I 47 I S0820
4970 I 梧州学院 2021 I s I s ! 527 I 116 I 114 I 12 61 I 43003
2020 j 9 I 9 [ 522 i 112 j 119 I 6 J_ i _ _—— 57 -—-- j - 45097
广西财经学院 2
2
0
O
2
2
1
2
I 1
8
2
厂
I
- 飞
12
- — --i i _
5
5
4
1
7
8 __ 1
I
1
1
0
1
5
9 I 1
1
1
05
0 I
1
1
2
2
_1
+
-— — — 仅 ^
s1
— — j
1
_ 2
2
9
9
2
4
8
1
3
1
4975 2O2O ll l1 546 117 1l2 9 尺_勹 28075
2022 I 3 i 3 I 505 ! 103 I 104 I 15 I 60 ! 39414
广西财经学院(较高收费专业)
2021 I 3 I 3 I 517 I 119 I 109 I 9 I 51 I 50796二、2020一2022 年河南省普通高校招生本科二批院校平行志愿批量投档最低分(文科) . 45 ·
浣校代码 I——--- 院校 - 名 一 称 —一-·— 句 — 份]「 公布 实际投杻[一 投档最低分_____J 投杻最低分 1投眢最低分
| ; 计划 人数 总分语文数学外卤听力与 I 分 数线并值i 位次
| 执/ 202 / 2 | ; 68 I 68 / i 502 I J IO I 102 / j 15 ; j - a
:
/ -
0 一母-/P立 二: :三::
^-- l
0
I 姆南帅池人学(如高收费专lV) I _ 2 2 0 0 2 2 1 2 _ _ 1 i - 5 5 ^ - 11 - 6 7 - I - 4 s 2 9 3 2 I I w 10 s 5 I 1 9 0 7 3 I o 8 I 4 5 7 7 I 4 5 6 0 1 8 0 2 1 0
! 2020 i 8 8 484 i 110 90 20 1 19 79205 -
1 I 2022 1 14 I 14 I s19 I 116 I 89 I 9 I 14 I 2ss9s
I
5030 I 重庆__峡学阮 2021 1 12 \ 12 I 554 ! - 124 \ - 1 22 I - - 1 2 ^— \ - 88 - -- I -— 25 ^ 3 - 0 — 1 --
55丿 113
2020 17 17 99 12 85 25620
厂勹-—一一 2022 \ 17 j 17 j 530 \ l 15 ] 97 ] 11 [ 85 ] 21635
二理丁大f 一一二勹丿:: 二言I-
二厂 t-石-飞\6-五1 飞 面三
::: :
l
2022 1 24 24'517 112 105 0 72 30019
, Ji仄第二师范学院
504(J
1I ----~:I""飞~- 年收费::Jl.t-l 15 : 552 I 129 I 122 I o I 87 I 24442
—-+--—-——+ -—-—- -- -- - - - - -
s ; 493 I 112 I ss i 9 I 48 I 49917
6 ! 523 I 115 I 90 ! o I 78 I 2s96o
2 ! 553 I 124 I 132 ! 11 I 87 I 25867
-勹- -气-干一
4 ! 551 I 121 I 118 ! 27 I 86 I 25030
6
SOSO 』 I .Ji庆义理冲院 I 2 20 0 2 2 2 1 i 6 6 6 I 1 5 5 2 5 2 7 I i J l 2 l 5 l I 1 1 J 0 1 3 0 0 9 , 7 9-1 7 ---2 2 3 6 5 5 6 8 3 9
I 2020 I 5 5 l 555 l l6 j l 5 ,_ - _ - _ l l _ _,1_ _ 90 1 226 - 6 - 7 - -
97 厂 20389
2021 3 563 12l l36 8
5055 重庆师范大学 1
2020 s i565l11Sll16! 15 I 100 I 17463
2 2.贮0 0 2 2 1 2 53 +- - s 3 -- 4 ! ,i 5 5 … 3 0 一 5 6 I I _ 1 1 _ 2 1 _ 7 9 ^^ I I n 巫 88 一 于 i i “ -- o o - I I 6 6 1 9 I I 3 3 8 7 5 37 9 7 2
2 2 0 0 2 2 2 0 I 1 4 5 I 1 - 4 5 -仁 ! i I 5 5 3 1 7 0 I I 1 1- 1 1 2 0— I 一 I 1- 9 2 7 9- l i i ____ 2 o_ 1 __ I I _ 6 n _ 5 __ I I - 3 3 - 5 3 4 9 3 7 1 6-
厂- 11::三-;:: 2:i/
1:3
s120 I 缩阳师心乍阮 2-021 I - —12 -— I -12- + ! I 5 - 40 - I — 11 — 9 』i 1 — 36 L i - 0 - 74 I 33915
2020 I 12 I 12 I 537 I 123 I 92 I 9 I 72 I 33976
2022 I 12 I 12 I 509 I 120 I 79 ! 2,1 I 64 I 36213
5125 月、甘i帅范千院 ---m二i/二
5130 内汀师范孕阰
5l40 宣宦4阮
I, 2()22
|
5145 西昌学院 2021 //厂/-
2020
三川师心入乍 ! 2022
5170 一... 一··一 ! ! - 20 - 2 - 1 - +-
贵州帅范大学(较高收费11业) I, 2020 34661· 46 • 第二章报考统计
院-咖咖校代仍 - ·- 院校名称 叮份 }1I 计 公 划 布 文际 人 投 数 档 总分 语义 投档最 数孚 低分 外语听力 I 1与 投 分 抖 数 最 线 低 差 分 伯 投杻 位 最 次 低分
2022 6 6 523 110 82 。 78 25960
5185 贵州中忔药大学· 2 2 0 0 2 2 1 0 '-贮4 6 ^ ^一… 4 6 5 5 2 5 9 8 1 1 1 2 5 7 1 12 0 0 4 0 6 厂! 6933 | 4 2 1 1 5 0 6 36 2 -
2022 3 3 517 93 lll 6 72 30019
5190 翘义医科大学 2021 1 3 3 550 124 118 11 84 27622
2020 ! 3 3 542 124 102 9 77 30668
`202勹2
I
5 5 496 115 97 18 51 47205
5200 黔南民族师范学院 8 I 8 520 112 108 0 54 48420
I
2020 : 10 10 5l7 113 103 12 52 49174
2022 14 14 522 116 87 12 77 26589
贵川财经大学 2021 ]5 15 518 120 124 11 52 49952
5205
2020 I, 15 15 514 109 133 5 49 51662
贵州财经大学(较高收费专业) 2022 6 6 500 101 95 。 55 43646
2022 6 6 507 108 114 ]I 62 37767
5215 贯阳学院 2021 5 5 5飞7 122 101 24 71 36000
— 20202 — 200 -~iI -5~ 5 532 117 113 17 67 37527
5230 昆明理丁大字(较高收费专业) I 6 549 128 126 ll 84 26203
2022 :6 6 516 109 95 9 71 30778
互南衣业大学
II 2021 I, 3 3 535 119 106 8 69 37377
2020 \ 6 6 548 124 122 8 83 26807
5235
12《南衣业大学(较商收费专业) 2022 2 2 513 105 89 15 68 32998
2021 I 2 2 539 112 132 15 73 34627
2020 2 2 533 133 113 l l 68 36818
z;南师范大学 2022 20 20 531 l09 101 14 ,8山6 ,`' 21061
I
5240 II i 2021 I 18 l 8 566 123 118 。 100 18908
2020 / 17 17 560 120 108 ]J 95 19958
1-
i 么南帅范 -- 大 , 丫 - ( 较简收费炉llI - . ) 2022 -~ 4 4 523 108 103 27 78 25960
大理大学 2022 18 18 519 105 109 。 74 28595
5245 I,Ii 2021 ! \8 18 552 117 117 。 86 264引
22020 丿 20 ! .-2172 一 - 2 1 2 7 5 55 l 1 7 1 11 2 4 0 心·1 9 0 5 5 1 1 8 1 7 8 2 6 2 3 5 0 0 0 3 1 0 9
5250 I 西酌林业大学 2021 16 16 556 121 112 8 90 24136
2020 15 15 553 129 l 25 9 88 23819
2022 6 6 524 11'.l 89 9 79 25322
』I 云曲南靖卜医药大,:
2021 7 7 558 133 138 14 92 22987
5260 2020 7 7 556 123 123 - : · 。 一尸--心——9-1已 —--—…卜—- -… 22 … 08 -— 7 —
尸~
2022 』I 卫_ 476 111 89 l l 31 66739
177
5265 帅范学院 2021 1 17 529 112 l07 11 63 41562
2020
匕
18 20
- ~--
533 1.. 14
--
118
- -I -
14
- -一·
68 36818
2022 8 8 504 108 98 。 59 40236
5270 上溪帅范学院 2 2 0 0 2 2 1 0 -88 - Ii i - -88- -ti ! ` 5-5—3322- 1 11 1 7 2 1 l2 1 8 9 1 1 1 5 6 6 6 7 3 37 9 5 4 2 2 7 6
___/
5275 楚雄帅范学院 2022 3 炒3了勹1, 492 108 90 () 47 50820
2020 3 1 518 I 104 120 9 53 -" 48340
2022 28 : 28 I s24 12 i- 96 23 卜_,m? 79 25322
5280 玄南财经大学
』「加2三,
一一321
0
84 -+一
i
1 —3产1
4
0
- — }II —s5-s5598—tJ I1| 11 1155 - _1_11 177 _ - 1111 - - 9933 --
22467
126 118 12 93 21036
5285 ^南民肤大学
—-- 一"~
14 F~
~
14
- m.I仁I
- 55~2573 .I,
尸I
-1l 20
一
·
5
9 " -927—1 —~ --o8— · 7918
2
23
5
5
9
6
6
3
0
仁j
2020 14 14 I 555 I 104 1l 21 11 90 22667
_ __ _
2022 33 33 526'109 I 89 +i 1t_i1- -+Ii 98 _ :1J 24075
5300 西藏大学 , 202] 18 rn ss9 I 128 I 99 22467
2020 31 31 552 118 i J IO i 11 87 24442
I 西藏民族大于 2022, 56 56 516 I 12 I 86 i 9 ! 7 I 30778
5310 I 2021 35 35 542 115 -sl I'I 109 -I'. 6 --~!Il i 76 32574
I 2020 35 35 沪4 121 108 17 69 36096.
二、2020-2022年河南省普通高校招生本科二批院校平行志愿批量投档最低分(文科) 47 ·
公布 实际投档 投档最低分 投档最低分 投档最低分
院校代码 院校名称 年份
计划 人数 总分 语文 数学 外语听力 与分数线差值 位次
2022 7 7 487 109 91 11 42 55616
5315 西藏农牧学院 2021 4 4 513 116 102 1 1 47 54068
2020 4 4 511 118 97 14 46 54267
2022 16 21 525 116 107 。 80 24695
5330 延安大学 2021 18 19 556 107 121 12 90 24136
_2 020 18 18 555 122 120 21 90 22667
2022 25 32 506 119 94 12 61 38592
5335 陕西学前师范学院 2021 21 21 540 119 117 24 74 33915
2020 23 23 537 129 89 14 72 33976
2022 16 16 499 109 83 5 54 44536
5340 宝鸡文理学院 2021 16 16 542 121 112 27 76 32574
2020 6 6 543 116 100去', 0享三$ 78 30010
2022 3 3 525 " l加 11矿 ,~ 9\产 \y, 80 24695
5345 陕西理工大学 2021 `I;!5 郊tf`$. 9 -' 90 24136
2020 嘲二 窃 123 尸一斤 ",l“5九`仁' 1£了~ 86 25030
5375 陕西中医药大学 558 l2见\.KBt 店`夕,C " S .l• l \ \ n 93 21036
`
霍匮`
511 飞\ \付6 86 。 66 34631
5380 飞渭^南:尸:::师二-"'、范1\叶学院, 14;},\ 人`乙\l4~\ 3 540 109 120 18 74 33915
, 17占, 17 531 122 102 。 66 38285
n\l\\c'2/---J,\I;:-,飞:'?r /行n嘈`气\}\\ \\ "' 罚沁吁沁边 10 10 517 107 105 14 72 30019
2021 14 14 547 121 110 。 81 29417
53; • L-.了,了,已[、江J巳/V它.O`”义二 2020 11 11 547 116 112 9 82 27436
,丫C已 谓,咸阳师范学院(较高收费专业) 2022 3 3 479 108 64 。 34 63579
2022 2 2 529 120 113 。 84 22242
5390 西安财经大学 2021 2 2 · 560 126 113 。 94 21943
2020 2 2 564 123 119 11 99 17959
2022 6 6 524 113 96 20 79 25322
5395 西安文理学院 2021 8 8 556 128 123 。 90 24136
2020 10 10 552 119 106 12 87 24442
2022 5 5 51l 100 101 14 66 34631
5405 甘肃衣业大学 2021 4 2 466 104 94 。 。 96112
2020 3 3 545 116 110 12 80 28679
2022 18 18 507 113 90 9 62 37767
5410 西北师范大学 2021 16 16 558 122 128 11
笢歹仇: 卢三 t 方如78
2020 19 20 557 112 121 20
2022 9 9 516 110 107 三眨矿
5415 兰州交通大学 2021 7 7 557 1 e” /12了 ',;'''91 23563
2020 21 22 113 忙一 o·c芷 兑飞3,宁豆夕气`' 气"乞l554
2022 ll6 :, 96 r 232编飞飞只弓'A 63 36969
5420 甘肃中医药大学 1 l24 ',99V1 ,`t 矗 坛'9~ 71 36000
- _, r\E'\ 。 4 一下,忱5芯“0e七in,6 107 11 41 , 58638
环-归学凡心i\\口'L"、,夕.仁\.飞C沪"皂公,c".s\'心,;、:,,心- 扩仑迦七严 8 ~` 巩38
\
t
认5-04J
130 85 。 59 40236
5430 已为8斗” 8 528 l25 86 11 62 42273
~, 2
2 2 528 111 91 11 63 40496
\产 `心歹\I飞;:,夕, i 卢三 2022 12 12 493 111 101 11 48 49917
5435 河西学院 2O2l 12 12 521 103 123 11 55 47608
2020 12 12 521 114 83 3 56 45874
2022 36 36 522 106 94 。 77 26589
兰州财经大学 2021 16 16 554 129 125 8 88 25301
2020 18 18 555 122 135 18 90 22667
5450
2022 4 4 518 ll3 101 6 73 29283
兰州财经大学(较高收费专业) 2021 6 6 548 120 114 11 82 28836
20加 4 4 543 117 116 12 78 30010
2022 16 16 524 124 97 。 79 25322
5455 甘肃政法大学 2021 9 9 556 129 134 9 90 24136
2020 7 7 556 106 123 9 91 22087· 48 • 第二章报考统计
公布 实际投档 投档最低分 投档最低分 投档最低分
院校代码 院校名称 年份
计划 人数 总分 语文 数学 外语听力 与分数线差值 位次
2022 JO 10 518 113 93 。 73 29283
5465 青海师范大学 2021 15 15 545 122 130 11 79 30649
2020 10 10 546 117 116 11 81 28075
2022 12 12 511 110 81 。 66 34631
5475 青海民族大学 2021 16 16 531 112 116 9 65 40157
2020 8 8 528 111 97 9 63 尸 40496
2022 35 35 517 105 99 11 72 30019
5490 防灾科技学院 2021 33 37 ~尸,54一8 m” 129 102 15 82 28836
2020 35 35 543 118 119 14 78 30010
2022 8 8 492 110 101 18 47 50820
5495 呼伦贝尔学院 2021 8 8 517 119 99 21 51 50796
2020 8 8 516 112 100 11 51 50004
2022 39 39 499 111 102 11 54 44536
新疆农业大学 2021 63 63 ?夕 521 118 113 11 55 47608
5500 新疆农业大学(较的 ” 收 一 费 俨俨 车 - 业 ) 了 2型2 2 ~. 0 “ ( 2 2 ) 六 0 2 t- 2 · \尸 · - 2 5 2 "` 0 0 2 一; · ,一 亨 驴`飞 1 5 2 20 0 2 4 5 5 8 0 1 5 2 2 2 l n 1 1 0 4 4 8 8 1 9 0 9 1 9 ” 了'\ 1 l 1 - 4 1 l ” 4 4 3 7 0 6 5 5 6 7 3 3 4 5 2 4 9 5 7 8 4
「 202O 6 6 493 107 91 。 28 70609
夕飞\-`新-勹疆:~匕1~师-一《气九·.,i,范七了大,`气·I}一一学 2022< (\8 4 84 509 113 84 17 64 36213
550气\1.一)' ' ' , '2021 75 75 541 120 114 9 75 33219
2020 93 108 534 112 119 11 69 36096
I 2022 219 228 489 111 86 14 44 53630
5510 喀什大学 2021 205 207 516 107 119 11 50 51641
2020 169 170 513 105 101 9 48 52560
2022 105 105 488 113 67 8 43 54646
5515 昌吉学院 2021 llO 110 513 126 109 11 47 54068
2020 105 105 511 110 91 15 46 54267
2022 127 —127 —厂i 491 113 86 14 46 51788
5520 伊犁师范大学 2021 73 73 i 518 112 111 17 52 49952
2020 102 102 119 107 3 49 51662
2022 56 56 、 107 129 12 _俨俨,人61 一 38592
l
5525 新疆财经大学 2021 48 48 537 } 121 126 5 71 36000
2020 54 54 541 115 116 。 76 31333
2022 8 8 494 110 104 17 49 48998
5530 河池学院 2021 10 10 519 124 82 9 53 49184
2020 10 10 517 114 102 。 52 49174
2022 15 15 496 115 75 。 、户 5一1 47205
5535 贺州学院 2021 5 5 519 121 79 12 53 49184
2020 人-,_•4 4 517 117 102 : ll \ ; 52 49174
·玄"r、a】占o22 于 \ ',,,勹., '''名, 己 n7 2 . n 8,., 2~ ll . 3亡, 子 92 11 ! 56 42740
5540 四川文理学院 笃:.? ,~初21 11 53 l l l上8 125 11 65 40157
厂 2020 10 尸一夕勺 IO 528 120 113 15 63 40496
\,I :_ 2O22 :,6 6 478 111 100 8 飞3 64636
5545 安顺学院 ,, ~ • 飞''2021- 4 4 522 llO 115 12 56 46841
2020 5 5 518 108 110 8 53 「一 48340
2022 2 2 524 114 108 。 79 25322
5550 云南警官学院 2021 2 2 553 111 127 11 87 25867
2020 2 2 548 118 102 11 83 26807
2022 14 14 512 117 91 14 67 33818
5560 昆明学院 2021 12 12 543 117 106 。 77 31926
2020 12 [2 , 546 112 108 12 81 28075
2022 16 16 501 99 112 。 56 42740
5565 福建技术师范学院 2021 26 26 526 I 123 98 9 60 43777
2020 10 10 517 117 101 23 52 49174.
二、2020一2022年河南省普通高校招生本科二批院校平行志愿批量投档最低分(文科) 49 •
院校代码 院校名称 年份 公布实际投档 扩又甘寸最低分 投档最低分 1I 投杻辰低分
I
计划 人数 总分点文数旱外语听力与分数线差伯 (古次
2022 23 23 524 l IO 105 8 79 I 25322
厦门理丁学院 2021 23 23 555 116 125 11 89 i 24689
2020 22 22 559 119 127 8 94 20516
2022 10 10 516 116 102 14 71 30778
5570 厦门理工学院(较高收费专业) 2021 10 10 546 123 102 12 80 30047
2020 8 3 534 116 115 0 69 36096
2022 6 6 519 115 101 0 74 28595
厦门理工学院(单列专业) 2021 6 6 551 118 122 11 85 27046
2020 6 6 548 114 112 0 83 26807
2022 24 24 485 114 84 0 40 57598
二明学院 2021 19 19 535 120 117 14 69 I 37377
5575 j 2020 28 28 535 ll 5 l 06 lff;~ ~ ; · " \ 70 1 35387
2022 5 5 488 l20 69 14\i 43 54646
三明学院(较高收费专业) ! 2021 16 16 506 106 l23 9- 40 I 59906
2020 8-》~8二 496 108 104.ll : ~¥ 3 31 67788
2022 29 29 492 107 .99 11 47 50820
5580 龙岩学院 202l 28 28 527 112 113 8 61 43003
.夕/'- 2020 35 35 533 113 104 12 68 36818
.\1 '-
尸了\ 之Y} ,\ 2Q22 '. '' 17 17 481 108 86 0 36 61568
.一I\边\虚\\\.,\?,-.¥产·下』-飞--'部\戈/\学,_蠡\-叮,夕皓牙t飞
55I-8 5\ ; --\< \ l \ 202 1 22 22 52 1 11 7 108 11 55 4760 8
\.\ \I .I < 矿`一心心t ·\ 2020 20 20 519 111 79 11 54 47502
仁,,,I'"'2022 15 15 526 ! 119 I 87 5 81 i 24075
和5 上海商学院 2021 15 15 564 116 I 138 9 98 19s91
2020 16 16 563 124 I 124 23 9&, 18448
2O22 6 6 49l I ll9 i 88 11 46 i 5]788
5615 陇东学院 2021 4 4 s21 110 I 120 9 55 47608
2020 4 4 5]4 [ ]13 I 84 12 49 ! 51662
2022 15 21 511 116 89 11 66 34631
5620 西安医学院 2021 11 20 542 129 112 11 76 32574
2020 4 4 544 129 107 15 79 29350
2022 10 10 500 101 91 9 55 43646
5625 安康学院 2021 8 8 527 115 118 12 61 43003
2020 6 6 527 l 10 114 11 62 41219
2022 i 4 4 494 111 83 9 49'48998
T
I 贵州]程应用技术学院 夕勹六虹;:气\也·:::~7~.夕~5如茫W~笠次氐6人?~笥、~仁`只 函84
5630 [ 勹 20 “ 2 0 1 2 07 [ 4 4 4 4 5 5 1 1 9 6 1 I 20 5 8 0 2 7 尸c~卫 1 : 1 , :: “~” $A ,~ 'l , 50004
2022 21 21 521j ll4 95 -蠡,玉:;o氐:,了气 27264
. .
5635 ! 金陵科技学院 2021 21 21 -5,于气4~~ ~ 5 1 i l29 ](J7 0于泛一 - 7忧飞 1 30649
2020 21
6 C
、 ~21 ',5 56.. 115 123 5 从`/ 91 22087
/户;2O22 35 35 517 117 92 8 72 30019
5640 徐州工程学院 2O21 35 35 547 A ll2 106 15 8] 29417
2020 35 35 547 112 103 17 82 27436
2022.... 17 17 509 126 103 0 64 36213
\ s :
5650 湖南科技学院 2021 17 18 540 121 128 11 74 33915
- ;L嘉;丿吓卢 2020 11 12 542 119 110 5 77 i 30668
s 巳~· 2022 i 17 17 519 113, 107 12 74 I 28595
5655 币庆科技学院 2021 10 10 552 107 122 0 86 •··.·. 26451
2020 10 10 5:i4 119 122 2 89 23278
2022 6 6 495 123 79 14 50 48113
5660 曲洛学院 2021 7 7 517 ]09 l25 0 51 50796
2020 6 6 525 120 117 9 60 42716
商洛学院(单列专业) 2022 2 2 468 105 66 0 23 75194
2022 13 13 496 109 104 0 51 47205
5665 榆林学院 2021 15 15 513 112 98 O 47 54068
2020 12 12 529 124 103 11 64 39782· 50 • 第二章报考统计
公布 实际投档 投档最低分 投档最低分 投档最低分
院校代码 院校名称 年份
计划 人数 总分 语文 数学 外语听力 与分数线差值 位次
2022 3 3 502 116 105 11 57 41865
5670 兰州城市学院 2021 3 3 535 130 106 11 69 37377
2020 3 4 533 112 107 15 68 36818
2022 11 11 502 102 112 9 57 41865
5675 宁夏师范学院 2021 7 7 534 121 102 5 68 38026
2020 7 7 531 117 109 12 66 38285
2022 18 18 493 97 106 5 48 49917
5680 百色学院 2021 20 20 520 117 114 12 54 48420
2020 18 18 518 127 90 12 53 48340
2022 5 5 511 114 91 。 66 34631
5685 北部湾大学 2021 4 4 541 112 136 11 75 33219
2020 4 4 539 118 105 9 74 32593
2022 5 5 521 115 104 5 76 27264
5690 四川笞察学院 2021 2 5 547 125 125 27 81 29417
2020 户入,5 5 540 116 106 。 75 31965
5700 凯里学院 2O22 5节~: 5 495 l08 88 l 。 50 48113
功21-Y 5 5 520 122 116 12 54 48420
`”—|
2O22 16 i ! 6 523 l10 109 9 -”7“8 25960
河",-一-北\金一-夕融t,了t学一`、院 202I心 18 18 554 112 l 13 12 88 25301
570.\' i, '\\ \\ ` Ju- \ / "" `2 020 16 I 16 555 117 117 9 90 22667
\ 河北金融学院(较高收费专业) 叨20 3 i 3 544 116 120 12 79 29350
\ 2022 35 35 468 109 86 9 23 75194
5710 吉林口剧学院 2021 35 35 536 107 123 6 70 36701
2020 35 35 541 118 112 14 76 31333
2022 2 2 492 106 97 11 47 50820
5850 吉林俟药学院 2021 3 2 490 119 87 2 24 73919
2020 3 3 沪2 ]15 95 8 67 37527
2022 27 27 , 474 110 71 9 29 68793
——-—--
5855 山西传媒学院 2021 27 27 539 122 116 23 l 73 l-- 34627
2020 20 20 ! 539 l21 115 。 74 32593
2022 4 4 493 113 103 9 48 49917
5856 山西工程技术学院 2021 4 4 ! 525 Ill . 119 11 59 44512
2020 12 12 525 115 129 14 60 42716
2022 58 58 527 109 109 。 82 23432
浙江外国语学院 2021 35 35 560 123 128 6 94 21943
2020 32 32 564 120 105 。 99 17959
S8S8
2022 2 2 514 117 89 29 69 32268
浙江外国语学院(较高收费专业) 2021 I 1 558 121 102 14 92 22987
2020 l l 554 118 l17 29,了 89 23278
勹\`-
a2022 5 j8, 28 489 l 13 _
, L
89` ` 卜 飞 12 44 53630
5859 山东农业工程学院 又一。加21 , 28? 28 525 115 115 。 59 44512
`
-I - 2位o 28..,. 28 531 121 105 8 66 38285
滇西应用技术I\'大',,学 2022 5 5 489 103 93 9 44 53630
5862 J- &召`2人O·2下1 2 2 525 119 115 24 59 44512
2020 4 4 521 116 81 11 56 45874
2022 307 307 448 107 64 9 3 97409
5994 郑州西亚斯学院(中外合作办学) 2021 262 262 468 107 105 。 2 94296
2020 302 239 465 93 76 14 。 98090
2022 1709 1709 470 101 97 5 25 72970
6003 郑州西亚斯学院 2021 2008 2028 491 119 92 14 25 73024
2020 1973 1913 :!| 44 87 I 106 104 20 22 76341
2022 195 195 91 I 106 112 8 46 51788
6004 郑州大学体育学院 2021 195 19 6 520 i 122 111 。 54 48420
2020 195 195 产』^117 102 17 51 50004
2022 llO 116 5\1 105 87 。 66 34631
6013 河南农业大学(办学就读地行许昌) 2021 220 222 532 122 115 12 66 39426
2020 125 125 531 113 127 14 66 38285.
二、2020一2022年河南省普通高校招生本科二批院校平行志愿批量投档最低分(文科) 51 •
公布 文际投叮 投档最低分 投才最低分 投档最低分
院校代码 院校名称 年份
计划 人数 伈分 语文 数学 外语听力 勹分数线差值 位次
2022 50 50 502 112 80 57 41865
勹。
河南中医药大学 2021 50 51 527 100 130 61 43003
0 i
601:5 2020 40 40 505 107 115 40 59518
河南中医药大学(较高收费专业) 2022 20 30 493 109 77 11 48 49917
河南中医药大学(护理专业) 2020 50 50 521 116 99 17 56 45874
2022 80 93 490 102 100 9 45 52692
河南中医药大学(与嵩山少林武术职
石`n`'」17. 2021 120 124 513 126 91 9 47 54068
业学院联合办学)
2020 120 127 506 lll 115 9 41 58638
2022 20 20 506 112 95 8 61 38592
6022 新乡医学院(中外课桯合竹) 2021 50 5lI 529 126 96 21 63 41562
2020 50 50 527 107 117 ]] 62 41219
2022 587 599 507 107 73 9 62 37767
河南科技字院 2021 632 657 529, l23 98, , ,' 17 63 41562
6025 2020 552 558 537-、 l01 10& I 6 72 33976
河南科技学院(牧高收费&业) 2020 100 , 100 507 1t6 100 15 42 57786
2022 50 50 520 109 102 。 75 27943
6031 河南师范大学(中外合作办学) 2021 50 50 550 1 18 101 。 84 27622
\ 2020 100 121 543 113 118 5 78 30010
2022 958 977 523 116 79 11 78 25960
6035 洛阳帅范学院 2021 1041 :1062t ;550 114 118 11 84 27622
I 2020 1058 1090 548 121 113 3 83 26807
\,, -
6037\上,飞'
洛-
t,
阳 }
?
_ 师_
\
范,学\.c. .院(中外合作办学) 2
20
0
2
2
1
2
I1°70° 1 1,0?'0, 1 459187
1
1
1
1
3
8 1
9
0
7
4
1
l5
7
II
5
5
2
2
4
4
6
9
2
9
9
5
1
2
2020 270' 119 131 。 49 51662
洛阳师范学院(乃来西亚城巾大学河
6039 2020 80 124 86 9 6 92059
洛学院)
` `'
2022 844 861 503 113 78 12 58 41009
6040 许昌学院 2021 734 741 527 122 124 11 61 43003
2020 692 700 53] 112 134 。 66 38285
2022 110 110 488 102 96 。 43 54646
6042 许吕学院(中外合作办学) 202) 203 205 507 122 82 15 41 59025
2020 138 149 500 114 80 12 35 63994
6043 河南牧业经济学阮十洛埋[国际学院 2022 80 } 80 445 105 69 。 。 100731
2022 1363 1377 497 119 92 () 52 丁,',,,,L,4, 6291
河南牧业经济孛院 2021 1397 1411 气22 112 107 。 56 气~、凸虚-}『·飞L,拓841
6045
2020 1570 1617 524 105 101 。 59 ~? ~. `,'兄、“2俨 43484
河南牧业经济学院(较高收伪片业) 2020 27 28 520 l16; r~俨 `? ”~ r`9;一 合、•~ 2,· '""11 节 467)3
2O22 364 ] 364 480广'/l03 '』\ 迈 15 .. 35 予''',,6`2俨599
6047 河南牧业经济学院(中外合作办学) 2021 372 I 372 501 120
84,仁午
26 35 64100
2020 372 376 492 115 96 11 27 71597
\
2022 1401 1443 512 110 99 。 67 33818
6050 安阳师范学院 2021 1209 1233 537 116 103 29 71 36000
'
2020 1041 1072 536 116 128 8 71 34661
' ','一
'\ \: \ 2022 70 70 492 103 95 。 47 50820
6052 安阳师范学阮(中外合作办幻 2021 70 70 516 124 100 29 50 51641
2020 70 I 70 509 117 101 9 44 55983
2022 884 ! 89i卢 507 105 97 。 62 37767
6055 商丘师范学院 2021 1048 1079 53 I 123 l18 ll 65 40157
2020 852 ! 861 530 112 99 1.5 65 39072
2022 110 llO 483 123 94 。 38 59583
6057 商丘师范学院(中外合作办学) 2021 110 110 506 113 102 。 40 59906
2020 345 359 496 113 96 11 31 67788
2022 20 20 491 115 85 21 46 51788
商丘师范学院(与商丘职业技术学院
6058 2021 20 20 517 121 118 15 51 50796
联办,就读在商丘职业技术学院)
2020 20 20 512 118 104 14 47 53447· 52 · 第二章报考统计
公布 实际投档 投档最低分 投档最低分 投档最低分
院校代码 院校名称 年份
计划 人数 总分 语文 数学 外语听力 与分数线差值 位次
2022 511 526 505 113 90 26 60 39414
周II师范学院 2021 730 737 529 112 120 8 63 41562
6060 2020 787 803 525 108 104 11 60 42716
周口师范学院(较丙收费专,II') 2022 150 尸7:-+489 121 76 。 44 53630
周口师范学院(单列女业) 2021 70 512 109 123 11 46 54859
2022 厂 121 99 5 79 25322
信阳师范学院 2021 364314 i 36 — 9453014 — - li!l --55525-5 42 123 102 6 86 26451
2020 891 2 !11 118 。 87 24442
6065
2022 30 i 30 I 508 116 86 。 63 36969
信阳帅范学院(护理专业) 2021 IO 10 538 122 117 12 72 35289
2020 10 10 524 117 107 23 59 43484
2022 91 91 498 110 107 。 I 53 45402
6069 信阳师范学院(中外合作办学) 2021 78 79 524 125 109 14 58 45291
2020 120 121 518 119 116 9 53 48340
? /
2022 578 584 518 1乒 111 ,,,11, . ~七3 73 29283
南阳师范学院 ,202L 59_俨7`. J. 609 ' 543 1l7 12,'2 - L ii 77 31926
''2`0一;2O飞 6_6 -4 2' ', _,, 677 536 I 12i' 95 11 71 34661
6070
--勹 2夕0~22 70吝` 10 `勹I i_ _4 5 93 112 88 14 48 49917
I 甘,I:·'占'.伲/>飞师L尸_;一_范,夕'学`俨"一院\(异地校区) 2021 • 1, 70 70 18 112 113 12 52 49952
!a ~\'' I1 \ 古 2020 70 70 512 116 98 12 47 53447
\f 南阳师范学院(中外合作办学) 2020 100 104 497 123 92 17 32 66799
6072 收南阳师范学院(中外合作办学,较高
2020 15 15 479 121 91 14 14 84136
费专业)
2022 479 489 496 124 77 9 51 47205
6075 南阳理工学院 2021 299 308 522 121 103 30 56 46841
2020 309 312 533 111 129 。 68 36818
2021 120 120 512 108 111 12 46 54859
6078 南阳理工学院(中外合作办学)
2020 159 161 506 104 112 。 41 58638
南阳理工学院(勹南阳见兮高笘专科 2022 25 25 516 122 92 26 ` 71 ` 30778
6079 学校联办,就读在南旧区学颅等片抖 2021 25 25 547 114 119 14 81 29417
学校) 2020 20 20 547 125 112 11 82 27436
2022 110 110 519 107 104 。 74 28595
河南财经政法大学(与俄罗斯人民友
6082 2021 56 56 557 124 104 11 91 23563
谊大学合办)
2020 55 55 554 119 120 9 89 23278
2022 75 79 526 114 99 3 81 24075
6083 河南财经政法大学(与河南省人民检 2021 98 98 556 129 127 11 - 90 24136
察院联办,就读在河南检察职业学院)
2020 98 98 552 107 124 12 87 24442
2022 60 60 515 , 109 93 。 70.- --了• 31505
6087 华北水利水电大学(与河南经贸职业学 2021 60 60 546 124 竺110 ,12,,', ' =80尸 30047
院联办,就读在沺南经贸职\II,学阮) _ 三2020 60 65 542 U5 ll3 ,凡' ' } , 8, ',\. , 77 30668
,2022 --一_---_、··4 80 480 469 108 `:石 105 17 24 74062
应河用南科工技程大学院学\(,就与读三门地峡市政府联办产
6088 \ 2021 40 ,, 七夕 40 540 122 125 。 74 33915
仆门缺)
202O --.. 40 40 勺5 113 111 11 70 35387
郑州航空工1』管理学院 .• 、20--21 75 76 550 115 114 11 84 27622
6090
2020 68 71 547 120 87 29 82 27436
华北水利水电大学(与嵩山少林武术 2022 205 223 482 103 101 11 37 60563
职业学院联办,就读地详见专业说
明) 2020 2lO 231 505 112 95 11 40 59518
6098
华北水利水屯人学(与嵩山少林武术
职业学院联办,就读地详见专业说明, 2021 210 215 515 100 121 12 49 52443
较高收费专业) I
I
2022 123 123 1~12 104 100 。 67 33818
6107 河南工业大学(中外合仵办学) 2021 134 135 545 110 100 9 79 30649
2020 149 158 539 119 126 11 74 32593
6\08 河南工业大学(与骨诃市政府合办溫 2021 72 72 520 102 93 9 - + iI -5”“4 __"- 48420
河工学院,就读地在界河) 2020 40 40 517 115 73 17 52 49174
6113 郑州轻工业大学(中外合作办才) 2020 120 120 531 125 87 。 I 66 38285.
二、2020一2022年河南省普通高校招生本科二批院校平行志愿批量投档最低分(文科) 53 •
公布 实际投档 投档最低分 投档最低分 投档最低分
阮校代码 院校名称 年份
计划 人数 i 总分 语文 数学 外语听力 与分数线差值 位次
2022 52 55 526 125 91 11 81 24075
6115 中原工学院 2021 60 100 554 122 121 11 88 25301
2020 53 54 555 127 114 5 90 22667
2021 21 21 528 111 104 23 62 42273
中原工学院(中外合作办学)
6119 2020 22 22 526 116 121 11 61 41943
中原工学院(中外合作办学,异地校区) 2020 33 21 469 108 96 8 4 94118
2022 112 116 498 122 70 14 53 45402
6120 河南城建学院 2021 284 290 523 117 125 6 57 46101
2020 302 308 523 109 119 12 58 44287
2022 933 952 497 111 90 17 52 46291
平顶山学院 2021 939 948 521 125 108 6 55 47608
2020 867 884 520 112 55 46713
6125 2022 83 83 气494 L哥J}6 言107夺之 l(9: 49 48998
平顶山学院(护理专业) 2021 77 77 53 49184
2020 护 59 113 ,一尸:` , ' 0 50 50859
6127 平顶山学院(中外合作办学) 2020 -140一-,' 14o 496 108 95 l l 31 67788
2022 865, 874., 474 117 70 。 29 68793
6130 黄河科技学院 户? 2021 731"'' \气,:\738, f 1'502 117 93 9 36 63254
夕.'\\ \\\ 、\^t'l, t,勹 s 202O 842” 850 501 118 79 。 36 63123
2021 170 170 472 100 95 。 6 90400
613,2 `, 气, ' 黄河科技学院(中外合作办学). 2020 160 160 468 115 84 。 3 95112
\-了 飞t!黄业t河办~科学'r技地\,点巨学“'(院+济(_源凡1用)技术学院,各专 2022 80 80 455 104 78 。 10 89426
61331{ ? 2021 60 60 473 120 76 14 7 89423
.- l
2020 80 80 470 100 110 II 5 93080
2022 326 326 495 113 92 12 50 48113
l
6135 安阳工学院 2021 375 379 520 109 95 6 54 48420
2020 355 359 521 117 120 。 56 45874
2022 53 53 479 103 78 。 34 63579
6137 安阳工学院(中外合作办学) 2021 43 43 500 117 74 。 34 64927
2020 30 30 487 106 92 12 22 76341
6140 河南警察学院 2020 50 50 550 117 121 12 85 25620
2022 893 902 493 107 84 8 48 49917
6145 信阳农林学院 2021 676 703 518 121 106 11 52 49952
2020 801 809 517 115 105 17 52 曰3:,杂49174
2022 473 473 500 105 81 14 55
6150 黄淮学院 2021 497 507 524 116 123 三11 58
2020 602 614 | 520 ,118'哦罩12f 三了15 55 4.6刀3
2022 15 15 4 9 3硒笭济 11 48 ,奇\,只\虚,心'9~17
6153 黄淮学院(中外合作办学) 2021 38 1 3 -8 - 5 l5药 § 9 `广\ \ 49 52443
2020 49 “: 50 509 109 1.09 。 44 55983
南工程学\院\ I\I』-夕-飞-_飞\I,夕Y编\一- 卜\ 飞 2022 '369 380 508. 105 92 。 63 36969
6155 r, U1; _\ \, \ '1,\ \ _ - - -` • \) , · L: + · ', \\ \ 1 \ , I',1 \ 2021 331`',r .{,r ' \,-' 33.8' l \-'l 537 120 123 11 71 36000
2020 396 L' 408 542 124 116 9 77 30668
\\ \ '\ -\ \ : ` i 2022 680 687 508 113 90 15 63 · 36969
6160 洛阳理工学院 2021 593 593 536 119 125 20 70 36701
w.
2020 604 628 539 124 110 15 74 32593
2022 750 773 499 112 87 6 54 44536
6165 新乡学院 2021 735 750 525 111 109 12 59 44512
2020 761 784 525 123 107 12 60 42716
洛阳理工学院(与河南机电职业学院
6169 2020 20 20 508 121 85 15 43 56870
联办,就读在河南机电职业学院)
2022 1011 1031 517 116 93 11 72 30019
6170 郑州师范学院 2021 1162 1174 545 123 122 21 79 30649
2020 945 964 544 121 112 9 79 29350
2022 1201 1224 458 111 77 II 13 86120
6175 郑州工业应用技术学院 2021 1098 1100 479 119 121 。 13 83858
2020 1077 1077 478 1 13 99 11 13 85132• 54 · 第二章报考统计
院校代码 院校名称 年份 公布实际投档 投档最低分 投档最低分投档最低分
计划 人数 总分语文数学外语听力与分数线差值 位次
6178 河南科技学院苏梅国际学院 2022 30 30 475 104 72 8 30 67740
2022 1310 1330 461 114 90 11 16 82819
郑州科技学院 2021 1049 1059 488 105 126 11 22 75691
6180
2020 1118 1129 484 102 98 12 19 79205
郑州科技学院(较高收费专业) 2020 45 34 465 93 100 14 0 98090
2022 1679 1679 465 119 66 2 20 78388
6185 郑川财经学院 2021 1359 1386 491 101 119 0 25 73024
2020 1415 1415 488 l 10 85 11 23 75350
2022 1599 1647 469 114 75 0 24 74062
6195 郑州升达经贸管理学院 2021 1576 1623 496 108 94 0 30 68472
2020 1674 1707 491 115 94 11 26 72538
2O22 650 690 462 117 76 10 17 81692
6200 商丘学院 2O21 526 566 481 107 ll0 9 15 82O22
2O20 508 520 475 105 91 1 20, 10 88087
2O22 551 53-父: 459 98 82 21 14 84968
62O2 开 商 封 丘 ) 学院(应用科技学院办学地点在 202t 860 ,; o O u 丘 1 n 3 芯竺c , , ,• 477 108 101 11 11 85681 一…
i ~二`` 2020 926 _-•~· • 926 ·-,47从2, +\ 1109 89 0 7 91034
过.了八夺三::世: i勹.三;. 22002222 1l223399 .'\t1言 1239.. ' 1 454 125 70 0 9 90557
商丘「学院 氐,$仁_'吵勺 ,,-声飞上了 - 202-1 810 852 474 127 86 23 8 88448
62p5 --、:I 2020 1140 1144 471 99 88 0 6 92059
\, 商丘工乒f阮沁(护理专业)'(( 妇 2021 100 100 472 120 86 24 6 90400
,..
2022 360 371 493 113 98 9 48 49917
6214 河南工学院 2021 300 306 519 112 94 9 53 49184
2020 150 158 520 115 114 11 55 46713
2022 1287 1287 502 113 105 9 57 41865
6215 河南财政金融学院 2021 1153 1153 532 125 117 9 66 39426
I 2020 1045 1045 533 [2) j J03 ]4 68 36818
6立2 诃萨财经政法大学(中外合作办学) \ 2020 275 278 544 121 123 9 79 29350
2022 1207 1207 453 105 103 9 8 91756
6226 黄河交通立f俨兀 I 2021 940 940 473 106 i I 110 14 1 89423
2020 867 867 469 107 ! ; 94 17 44 94118
I' 2022 545 550 493 108 !l 96 - 14 48 49-9 17
6250 郑州工程技术学院 2021 353 357 520 132 85 9 54 48420
2020 278 278 521 118 88 9 56 44气5874
2022 600 600 453 94 101 0 8 91756
_
6304 河南科技职业大学 2021 470 470 472 112 99 .:14·: .. 6 90400
2020 560 560 467 115 103 > 9 :,: 2 96094
523.. n·.,..
6398 ; 郑 早曰 州 死心) 航空工业管理学院(南乌拉尔 2021 25 亏穴~、 ` ;芬 汜 匕- 妇 112 ··.:.?.. 、? o 3 1 46101
I 2022 1073 485 106 85 11 40 57598
间南开封fl技传媒.II. 学.一了·勹院'仁I_;(一原L,'..i河1-`,\.南,大 学 5'元09心,心,,1,11
6501 民生学院) .!. { . .\ _r f. ...\ •.` :\ 2
2
0
0
2
2
1
0
9
97
4
7
4
,3,.
寸
l.
八
.U
门石
;,
气
;,
,
,·
, 已~气
5
”
11 12
;
0
-
1
1
0
0
3
6
1
1
2
5 4
4
3
6
5
5
7
4
3
2
2
6
5
7
,_歹芦_,I\泗\之舌_,'I,I而\''-女夕r,-士-淫-'江产 2022 I563 1563 461 106 72 8 16 82819
6502 学中原院科)技学院卫兀1\”J田珅泡八"尸于入于~两,产仁I环 202l l l24 1124 508 11 0 101 9 42 58200一 -
2020 1735 1752 506 113 87 17 41 58638
2022 940 587 445 101 72 9 O 100731
6503 新乡工程学院(原河南科技学院新科 2021 830 855 498 116 107 27 32 66708
学院)
2020 630 643 506 103 106 11 41 58638
2022 1340 1380 467 107 91 0 22 76258
6504 郑州经贸学院(原中原丁学院信息商 2021 1162 1197 496 115 103 9 30 68472
务学院)
2020 1158 1193 494 114 95 6 29 69685
! 2022 762 777 455 101 聂] 15 10 89426
l
6505 新乡队于院三个学院 2021 I GOO 606 494 I 13 83 l 6 28 70291
2020 645 651 494 104 101 9 29 69685
— 2022 193s 1911 461 101 90 I 6 16 82819
6506 邧川丁商学院 2021 1406 1420 486 105 86 12 20 77519
2020 1229 1229 482 114 79 0 17 81118.
二、2020一2022年河南省普通高校招生本科二批院校平行志愿批量投档最低分(文科) 55 •
投
投档最低分 投档最低分投档最低分
阮校代码 院校名称 年份
语文数学外语听力!与分数线差值 位次
2022 107 I 62 I 14 I 16 I 82819
安阳学院
2020 117 I 95 I 11 · I 9 I 89051
6507
2022 103 I 91 I O 9 I 90557
安阳学院(异地校区)
2021 122 I 89 I 11 I 11 I 85681
/
` 101 I 91 I O I 30 I 67740
6508 I 信阳学院 103 I 87 I 9 I 23 I 74794
111 I'i8 I O I 16 · I 82115
2022 94 I 105 I 12 I 19 I 79496
6510 I 郑州商学院 2021 111 I 105 I 12 I 16 I 81132
2020 1191991 9 i 11 I 87172
6591 南开大学滨海学院 2020 二 116 I 108 I 14 i 56 I 45874
6594 青岛电影学院(原北京电影学院现代 2022 2 2 玉 I 8 91756
创意媒体学院)
2022 I 13 I 13 23 75194
6595 四川文化艺术学院 2021 1,~ 1 9 i 11 85681
2020 I 4-: - I 4 巨 归 31 67788
2O22 10 10 20 78388
沧州交通学院(原北京交通大学海滨
6596 I \ 2021、 15 二\'L, 10仑 6 90400
学院)
- ' , \ 一气\ 202O l5 15 归 44 55983
:
2022 I 7 I 3 1 99663
659尸尸北京第二二外国语学院中端酒店管理 ;;心 4 92392
1: 1 97100
一
飞;·!,\北京第二外国冶学院中瑞泗店管理学 20221 1 I o
院(较高收费飞业) 2021 I 1 I O 三
三
2022 I 14 I 13 I 485 I 97 I 80 8
6598 I 上海财经大学浙江学院 2021 I 14 I 14 I 522 I 112 I 103 -
1 4
2020 I 14 I 14 I 520 I 110 I 130 1
2022 I 34 I 7 I 448 I 97 I 59 -
6601 I 天津仁爱学院(原天津大学仁爱学院) 2021 I 43 I 43 I sos I 12s I 112 9
-
2020 I 50 I 50 I 508 I 111 I 92 6
2022 I 54 I/ 35 I 446 I 100 I 99 - - 响
6602 电子科技大学中山学院 2021 I 49 I 51 I 500 I I 16 I 91 8 6-
-
2020 I 27 I 29 I soo I 110 I 108 8
2022 I 31 I `”“”31“ ! 483 I 116 I 15 -
6604 I 重庆人文科技学阮 2021 I 28 I 32 I 509 I 125 I 115 1
飞4
2020 I 24 I 24, 504 I 103 I 82 言 - 3
20立 14 ]4 45l 9l~ 1项0 1 -8
6605 I 大连理工大'f城育学院 _ 2 2 2O 0 0 2 2 2 1 0 2 I I 4 1 lQ 4 3 I 4 8 l 4 3 - I 4 4 44 9 7 6 7 5 翌 5 ~ 了1 9 9 l 3 9 4 t三 1 1 士 8 0 1 , _ I 9 4 , ' 一 , o 1 4 - 1 1 _1 2 , _ 言
6 6 6 6 0 0 6 7 东 厦 南 门大 大 学 学 嘉 成 庚 贤 i I 学 \ I 学 , \ \ 院 了 院 I ` ' \ . \ ~ ! \ . ; \ _ 一 , -.一 - 一 ' --- 气 \ 一 [ \\ ' 夕 , 尸 . \ , -\ 七 勹 一 一 , 了 , 了 \ ] , 飞 ( \ ' \ \ \ 2 2 2 2 0 0 0 0 2 2 2 2 1 1 2 0 I I I I 4 4 1 1 o o 5 _ 5 _ ' J 'I I I :4 4 1 1 0 1 6 0 I I I I . 5 5 4 s 1 3 8 4 8 5 9 0 I I I I 1 1 1 1 2 2 1 0 3 7 9 2 I I I I 1 1 9 8 1 0 2 6 2 4 1 - 1 5 _ 6 _ 8 - 2 0 4 4 7
2020 I 10 I 10 I 517 I 114 I 109 - 』
1
2022 I 23 I 23 I 495 I 119 I 77
5 『
山东石油化工兮阮(原中国石)由大学
6608 I 胜利学院) 2 2 0 0 2 21 0 I I 2 2 8 3 I I 2 2 8 3 I I 5 5 0 1 9 8 I I 1 1 1 1 5 9 I I 1 13 1 6 6 _ 0 0 4
-
2022 I 26 I 26 I 476 I 113 I 86 9
6609 I 文华学院(原华[I科技大学文华学院) 2021 I 26 I 30 I 410 I m I 39 _
2020 I 21 I 21 I 515 I 115 I 87 1
8
-5
2022 I 13 I 8 I 452 I 94 I 95 _
6610 北京丁业大学耿丹学院 2021 I 10 I 16 I 475 I 117 I 81 5 』94
-
2020 I 10 I 10 I 484 I 115 I 76 1 -
2022 I 18 I 17 I 458 I 108 I 76 7 一
_
6612 天津理T大学中环信息学院 2021 I 15 I 15 I 502 I 122 I 87 0
2020 I 20 20 I 502 I 108 I 119 -
2 l
9 -
- 3 1
2
0 三
-
1
2
_
4
9
- ~~
8
-
o
-
8
- 2
1
1 1
I
-
~
5
4
1
-0
:
/
1
4
9
0-
9
-
5
2
-
4
9
-
4
8
-· 56 · 第二章报考统计
公布 实际投档 投档最低分 投档最低分 投档最低分
院校代码 院校名称 年份
计划 人数 总分 语文 数学 外语听力 与分数线差值 位次
2022 8 8 469 93 92 6 24 74062
6613 北京中医药大学东方学院 2021 9 9 534 116 125 。 68 38026
2020 9 9 535 108 95 。 70 35387
I 2022 ! 30 30 450 117 72 11 5 95097
6614 辽宁财贸学院 三02]~ 』, __2300 40 468 119 99 6 2 94296
2020 20 465 101 i l10 。 。 98()90
2022 62 62 454 107'88 9 9 90557
上海师范大学大华学院 2021 74 74 475 113 80 。 9 87514
6615 2020 64 64 476 118 74 9 11 87172
上海师范大学天华学院(较高收费 2021 6 3 467 107 100 12 l 95210
专业) 2020 16 4 465 105 92 8 。 98090
2022 10 10 486 109 90,, 。 41 56565
6616 南京工业大学浦汀学院 2021 10 10 515 ll2 1 8// 2 6 4 // 。 49 52443
2020 10 10 512 116 ··•. 17 47 53447
2022 39., 39 492 l08 83 9 47 50820
6617 南京师范大学中北学院 2021 36 36;p 521 114 117 11 55 47608
I”“~`~
I 2020 41 , 41. 52O§仁 夕;119 105 。 55 46713
弩了 2022 12 芞"'12}', '482 112 85 6 37 60563
6618 南京囡科大学康哆达 2021 12 12 509 113 102 。 43 57325
\\ 立,-.七喜,已一心; ; c 2020 14 13 465 102 105 11 。 98090
\ \ 无学锡院学)院(原南京信心息云气工飞程烈大乏=学滨江 2022 12 12 523 123 87 11 78 25960
6620 2021 8 8 549 125 97 14 83 28244
飞 2020 7 7 524 112 104 12 59 43484
2022 78 78 523 116 109 5 78 25960
苏州城市学院(原苏州大学文正
6621 2021 78 78 550 113 103 9 84 27622
学院)
2020 70 74 535 121 97 6 70 35387
2022 34 34 488 96 97 。 43 54646
6622 苏川大字应用技术学院 2021 34 34 513 110 99 。 47 54068
2020 34 34 512 105 121 9 47 53447
2022 10 10 488 97 97 15 43 54646
6623 苏州科技大学天平学院 2021 18 20 513 110 93 。 47 54068
2020 20 20 510 105 119 。 45 55140
2022 21 21 484 100 78 9 39 58561
6624 江苏大学京江学院 2021 21 21 516 112 98 6 50 5.1641
入2020 25 25 513 115 84 6 48 52560
2022 42 42 491 110 85 15 产 46 51788
6625 扬州大学广陵学院 2021 42 42 518 116 'l1~~ 9 12 52 49952
2020 48 48 515 110 132 11 50, 50859
6626 II 汀苏师范大学科文学院 2 20 0 2 2 1 2 5 6 8 6 穸翌' ;$ 5 ~ 部 心58多 1 4 ,5口 9 3咚12 0 ,. 六5骂、. 1 J 2 0 8 4 1 9 0 8 8 1 0 1 C 飞'4 4 5 6 5 5 4 2 8 6 5 9 9 2
c--. -\勹 古 2020 51 51n五勹,'1`,:')[) 69 I 14 45 55140
妇.邮.电.大学通E誓了亟\\\~厂三勹-亡1I1旷^亡\ 广1 歹~ 苍\\;一; 2022 12 12尸 485 108 87 9 40 57598
6621 II I_ _\ \fL 2021 10 10 519 122 121 14 53 49184
2020 10 10 518 122 107 5 53 48340
2022 64 64 489 110 53 14 44 53630
6628 南京财经大学红山学院 2021 64 64 515 107 107 9 49 52443
2020 64 64 513 112 75 14 48 52560
2022 6 6 488 102 82 26 43 54646
6629 江苏科技大学苏州理工学院 2021 12 12 514 111 109 。 48 53242
2020 12 12 510 117 102 14 45 55140
2022 22 22 482 111 95 。 37 60563
6630 常州大学怀德学院 2021 22 23 505 124 104 11 39 60750
2020 i 15 15 505 1 13 1 88 II 40 59518
15 3 445 lO2 1 76 i 。 。 100731
6631 I 华北理T大学轻工学院 2021 15 15 487 99 i 98 。 21 76616
2020 15 15 499 ll4 107 i 14 34 64955二、2020-2022年河南省普通高校招生本科二批院校平行志愿批量投档最低分(文科) . 57 ·
公布 文向投档 投档最低分 投臼最低分 投档最低分
阮校代码 阮校名称 年份
计划 人数 记分 语文 数学 外诘听力!与分数线先值 位次
2022 5 5 490 113 72 8 45 52692
6632 河北工程大学科信学院 2021 5 5 514 116 107 17 48 53242
2020 8 8 515 126 86 8 50 '50859
6633 华北电力大学科技学院 2020 8 8 515 Ill 105 9 50 50859
6634 河北科技大学理工学院 2020 5 5 514 119 107 11 49 51662
2022 29 29 493 119 95 14 48 49917
6636 河北师范大学汇华学院 ?0?1 29 29 519 113 112 21 53 49184
2020 29 29 516 117 105 12 51 50004
2022 9 9 511 121 96 8 66 34631
6639 南京审计大了令审丰院 2021 9 9 542 119 128 6 I 76 32574
2020 9 9 543 124 105 14 78 30010
2022 43 43 449 106 65 5心 18 4 96236
6640 温州商学院 2021 42 42 469, l夕2心0 耍7`; 夕· 12 3 93316
2020 42 42 465;y: 的2 郊乍艾 11 。 98090
6641 山西大学商务学阮 2020 x7 7 512亭1” 94 。 47 53447
夕,'
2022 1 1 494 110 90 。 49 48998
山西工学院(原太原理工大学现代科
6642 技学院) '...... 2021 6 6 519 117 116 11 53 49184
2020 7 ,', 7 497 112 100 12 32 66799
2022 27 27 469 115 75 。 24 74062
晋中信息学院(原山西农业大学信息
6643. 2021 27 27 490 113 97 24 24 73919
学院) ,'
2020 23 23 488 111 101 14 23 75350
\一',
-夕 \商山务西晋学飞3中院'理,)工宇院(原中北入学信息 2022 2 2 + 463 123 48 9 l 8 80605
6645丘气 2021 5 5 48l 114 105 9 15 82022
2020 5 5 476 108 108 9 11 87172
2022 38 38 457 91 85 3 12 87224
6646 青岛工学院 2021 43 43 474 120 75 () 8 88448
2020 43 43 ! 470 112 102 11 5 93080
2022 12 12 469 l05 80 3 24 74062
6647 宵岛农业大学海都学院 2021 10 10 484 117 108 12 18 79316
2020 15 7 473 120 73 14 8 90033
2022 37 37 453 104 77 8 8 91756
卉鲁理工学院(原曲阜师范大学杏坛
6648 2021 33 33 473 115 96 15 7 89423
学院)
2020 31 31 472 105 109 9 7 91034
i
2022 17 17 479 113 74 6 34 言,L3,,.{i3579
6649 山东财经大学力贞方学院 2021 31 i 31 503 124 109 9 37
2020 31 31 498 112 112 .一」。 33
6650 淮坊理工学院(庐山东师范大子历山
2
20
0
2
2
1
2 3
3
I 。
3 510`
13叶这子石"/ 了.
12 丑 ,'t1 • ,' - · ` ' = 5今 .-一·己- 1 . ,5` ,,一 夕4 一二士 9 ''- 1
学院)
2020 3 3 507~ 100 '10,7-' I 1”, '42 57786
2022 30 - 夕.30.夕尸 447 105 89 21 2 98565
沈阳城市学院(原沈阳大学科技」程
6652 2021 42 42 472 103 116 8 6 90400
学院) i -., , \ 2020 42 42, 465 119 71 。 。 98090
6653 聊城大学东昌学院 2020 28 \ 28 503 116 97 11 38 61327
\ 2022 36 36 448 108 84 16 3 97409
6654 辽宁理工学阮 2021 32 32 468 105 75 12 2 94296
2020 14 14 465 111 130 。 。 98090
2022 66 66 451 104 90 17 6 93931
6655 大连财经学阮 2021 68 68 474 118 77 。 8 88448
2020 63 56 465 101 93 8 。 98090
2022 22 22 448 107 67 15 3 97409
6656 大连工业人学艺术与信息工程学院 2021 16 16 469 102 87 11 3 93316
2020 20 20 465 106 77 14 。 98090
2022 32 12 446 109 75 。 l 99663
烟台科技学院(原济南大学泉城
6660 2021 19 19 502 104 89 9 36 63254
学院)
2020 29 29 492 117 92 l5 27 71597· 58 • 第二章报考统计
公布 实际投档 投档最低分 投档最低分 投档最低分
院校代码 院校名称 年份
计划 人数 总分 语文 数学 外语听力 与分数线差值 位次
2022 119 119 446 103 62 。 1 99663
6661 天津财经大学珠江学院 2021 96 96 507 114 107 。 41 59025
2020 82 82 506 109 107 。 41 58638
2022 54 60 457 113 83 11 l2 87224
广州新华学院(臣中山大学新华
6662 2021 56 44 467 109 108 12 l 95210
学院)
2020 23 26 502 107 93 。 | 37 62281
2022 26 26 447 105 95 9 l 2 98565
重庆城市科技学阮(原币庄人学城市
6663 2021 13 14 511 128 85 9 45 55670
科技学院)
2020 12 12 508 125 92 14 4飞 56870
2022 36 36 489 I lO 82 8 44 53630
成都锦城学院(原四川大学锦城
6664 2021 36 40 513 !12 109 15 47 54068
学院)
2020 23 24 516 111 109 11 51 50004
2022 20 20 453 97 79 12 8 91756
西安明德理丁学院(原西北工业大学
6665 2021 20 18 466 102 79 。 。 96112
明德学院)
2020 9 5 488 100 107 9. 23 75350
6666 山东财经大学燕山学院 2020 33 33 492 113 129 ?/ 。 27 71597
2022~
34 34 485 107 76 。 40 57598
6667 南通大学杏林学院 2O21 27 27 508 106 111 12 42 58200
\ ' ~J尸~卢一~ \;_~ ,---- - ~.-_ · .', 产 ,`'\ \ , 尸 2020 30 30 504 120 96 9 39 60432
\l'!福二',夕卢州I大.-~-学至诚学院 '2022 14 12 480 115 75 9 35 62599
6669 i~ .一; 2021 15 15 512 107 113 11 46 54859
2020 15 15 509 117 105 14 44 55983
2022 60 60 454 107 84 17 9 90557
6670 辽宁师范大学海华学院 2021 57 57 473 117 105 10 7 89423
2020 72 72 469 102 75 。 4 94ll8
2022 19 19 448 104 68 15 3 97409
沈阳城市建设学院(原沈阳建筑大学
6671 2021 20 20 468 110 82 11 2 94296
城市建设学院) 2020 14 9 ?如 465 r--l05 120 8 () 98090
2022 9 5 446 89 77 。 I 99663
6672 武汉晴川学院()启武汉大学硌珈 2021 6 ~ ~ ~` 6 507 121 109 8 41 59025
学院)
2020 14 14 504 118 111 8 39 60432
2022 8 6 凸5 101 89 。 () 100731
6673 武汉设计工程学院
2020 8 8 487 118 64 23 22 76341
2022 14 12 445 94 76 11 。 100731
广州城巾理丁学院(原华南理工大学
6674 2021 14 10 495 105 108 11 29 69370
广州学院)
2020 8 8 513 115 92 8 48 52560
2022 25 11 445 105 86 11 。 100731
广州南方学院(原中山大学南方 202l 29 30 494 102 115 6 28 70291
学院)
6675 2020 34 38 499 127 94 9_ 34 64955
广 院, 州 单 南 列 方 专业 学 ) 院(原中山大孚南方学: ,`飞; '~ 2 i 022 士 3 ~~ ` 午` ~ ~^-~? 4,心 : ~ ~”' 俨 。 }
2022 6. 4 i 4勺 108 67 12 7 92856
6676 广东外语外了陂' \ 太羊南匡曲学阮 2021 6 6 498 l22 93 。 32 66708
.·`• : 2O20 8 8 495 120 88 12 30 68747
2022 23 23 482 116 100 9 37 60563
6677 西南财经大学天府学院 2021 7 10 513 120 108 11 47 54068
2020 22 22 510 101 112 11 45 55140
2022 5 13 477 115 79 6 32 65677
6678 四川大学锦江学院 2021 2 2 498 119 129 8 32 66708
2020 2 2 515 119 101 14 50 50859
2022 10 JO 461 108 88 8 16 82819
6679 绵阳城市学院(原西南科技大{项城市 2021 10 I 10 479 97 119 9 13 83858
学院) I
2020 7 9 497 116 89 11 32 66799二、2020—2022 年河南省普通高校招生本科二批院校平行志愿批量投档最低分(文科) . 59 ·
年份, 公布 实际投档 投杻最任分 投甘最低分 投朸辰低分
院校代码 院校名称
卜__ _ 计划 入数 总分 语文 数学 1 外语听力 气分数线差值 位次
2022 35 34 445 100 83 II 12 () 100731
阳光\i院(原福州大名阳光学院) 2021 30 30 472 120 72 I 11 I 6 90400
6681 2020 25 25 473 117 83 。 8 90033
旧光-f·院(原福州大学11日光学院,较
哥收费专业) 2022 3 三二 I~;
2022 25 I l l 36 61568
福建师范大学为和学院 2021 24 I 8 40 59906
2020 24 24 499 127 95 ll 34 64955
6682
2022 4 4 457 103 90 5 12 87224
福建师范大学协和学院(较的收费
2021 4 4 477 110 106 。 I 11 , 8568l
女业)
2020 4 4 483 111 130 5 18 80203
2022 12 12 450 108 79,, 。 5 ! 95097
6683 I 福月厂商羊院 2021 12 12 472 112 98 I 9 6 90400
2020 12 9 465 100 80 ! 6 。 98090
I 2022 14 12 445 116 71 8 。 l0073l
6684 I 国南科技、;院(原福建帅范入卢闽南 2021 14 14 483 111 114 8 17 80250
科技孚院)
2020 16 16 473 120 72 15 8 I 90033
2022 4 4 466 105 96 14 21 77310
6685 1 西安理丁大学品科学院 1 2021 4 4 487 123 81 () 21 76616
2020 5 5 486 119 84 12 21 77287
2022 2 2 460 105 88 。 15 83883
四安科技人学的新学院 2021 i 2 2 501 109 134 ! 9 35 64100
6686 I 2020 ! 4 4 491 lll 123 9 26 72538
西安科技大督泗新学院(较茼收费 2022 I I l 452 109 85 9 7 92856
专业) 2020, 4 3 471 101 94 。 6 92059
! 2022 12 3 446 lO l 58 17 1 99663
6687 I 广学州院华)商学阮(原广东财给大学华商 i 2021 10 6 473 91 132 14 7 89423
广州理上字阮(厅广东技术师范学院 I JO 10 490 111 107 。 25 73446
6688 I I1i 22002220 I 12 7 I 445 111 72 11 。 100731
天河学阮)
2022 11 11 I 464 I 103 I 62 I 14 I 19 I 79496
幅建衣林入字金』学院 2021 10 lO I 492 I 104 I 106 I 9 I 26 I 72125
2020 10 10 I 484 I 112 I 77 I 11 I 19 I 79205
6689 2022 4 4 I 450 I 95 I 70 I 8 I 5 I ”“9-”5“ 097
福建农林大学金山学院(较高收费 2021 4 4 I 466 I 109 I 73 I 14 I O I 96112
专业) 2020 4 1 ,I, . 47 . 0 . .I. 1 . 1 . 5 ..I . 8 8 气”I 炒”“1?5? ”..I. 5 I 93080
I
2022 5 6 I 465 I 120 I 96 I O I 20 I 78388
6690 I 皖1_丁学院(原河,每大学文入学院) 2021 5 s I 4ss I 9s i m I 11 I 19 I 784os
2020 5 5 I 479 I 11 l I 112 I 11 I 14 I 84136
--------------- ----- ”“---勺丛 2022 8 2 I 481 I 103 I 95 I 11 1 36 I 61568
6691 I 南吕入学科学技木学院 2021 7 7 I sos I 104 I 106 I 11 : 42 I ss200 ”“”“
2020 7 7 I 509 I 124 I 103 I 11 • 44 I 55983
2022 15 15 I 480 I 105 I 86 -- I ·一·• • O·-- , 35 I 6-2 -- 599
6692 I 江西农炒大学南吕曲学院 I 2021 15 15 ! 507 I 109 I 113 I 15 41 I 59025
2020 13 1 _ `6 I 504 I 112` .· I 98- I O - `身• U` - 3 ` ` 9 `- • I`` ` `` 60432
2022 18 18 488 l2O lO3 0 i 43 I 54646
6693 I 江西师池入学科学技术学院 2021 18 1s I s11 I 121 I 101 I o I 45 I 55670
2020 18 1s I so6 I 116 I 96 I t 4 ! 41 I , 58638
俨 - ---- - -- -----人一一 一丛 2022 16 ! 16 I 460 I 111 I 83 I s I 1s , 83883
6694 I 南昌交通午浣(原华东交通大学理丁 2021 16 16 I 478 I 116 I 112 I 14 I 12 I 84787
字院)
2020 16 16 I 495 I 113 I 91 ! 21 I 3o I 68747
2022 10 10 — 498 105 90 l 14 53 I 45402
6695 I 赣南利技学院(原il西理丁人学)萄甘] 2021 10 10 I 525 I 101 I 100 : 12 I 59 : 44512
科学学院)
I ~ t 2 2 0 0 2 2 0 2 1 1 0 0 1 1 0 0 I I 5 49 0 9 5 I I 1 1 1 1 5 l I I 1 9 0 1 6 I i 1 9 2 I I 5 40 4 I i - 4 — 5 4 9 5 5 3 1 6 8
6696 I ?炉入乍院(评东华埋I入学长i.L丰院) 2021 7 11 15201114[117:~ 10 I s4 ^ -气`I , 48420
2020 5 13 I 501 I 116 I 98 i 12 I 36
i,
63123· 60 · 第二章报考统计
公布 实际投柏 投档最低分 投档最低分 投档最低分
院校代砃 院校名称 年份
计划 人数 芯分语文 数学 外语听力 与分数线差值 位次
2022 7 7 482 I 10s 77 。 37 60563
6697 南昌航空大学科技学阮
2021 2 2 505 1 10 8 107 17 39 60750
2022 10 lO 515 1 116 90 。 70 31505
南昌医学院(原江西中1”,J大学科技
6698 2021 8 8 549 117 132 。 83 28244
学院)
2020 12 13 528 110 127 。 63 40496
2022 7 7 479 116 83 。 34 63579
6699 汀西财经大学现代经济管理学院 2021 10 10 488 107 100 6 22 75691
2020 13 13 512 107 91 27 47 53447
2022 4 4 492 113 93 12 47 50820
6700 赣南师范大学科技学院 2021 4 4 516 109 104 14 50 51641
2020 4 4 509 119 82 l5 44 55983
2022 2 2 446 113 69 n } ·一: l 99663
景德镇艺术职业大羊(原昂德镇向笐
6701 2021 3 。
大学科技艺术学说)
2020 2 2 499 104 92 ) 3 34 64955
2022 ll飞 II 460 109 68 8 15 83883
南吕应用技术师范学院(原江西科技
6702 2021 12 1 466 115 93 20 。 96112
师范大学理工学院)
2020 15 15 505 111 95 3 40 59518
2022 3 3 486 115 81 。 41 56565
6703 南昌大学共青学院 2021 6 11 506 104 103 9 40 59906
\ 2020 6 16 496 111 110 。 31 67788
2022 12 12 479 114 103 9 34 63579
6705 .-,内,蒙.古大一学,一创业学院 2021 12 12 498 126 102 11 32 66708
飞 2020 13 13 488 llO 96 5 23 75350
i
2022 22 22 I 458 112 66 15 13 86120
6706 内蒙古鸿德文理学院(加内蒙古师范 2021 20 20 ,i 473 118 89 。 7 89423
大学鸿德学院) 2020 23 23 I 474 118 103 3 ... 9 89051
2022 52 52 451 102 89 17 6 93931
银川科技学院(原中国矿业大学银川
6707 2021 43 44 470 106 111 12 4 92392
学院)
2020 37 37 466 106 100 11 1 97100
2022 47 47 453 107 72 。 8 91756
單庆外语外事学院(原四川外国语大
6711 2021 29 29 512 114 101 8 46 54859
学重庆南方翻译学院)
2020 29 30 512 106 134 11 47 53447
2022 49 49 483 106 68 。 38 59583
67[2 重庆对外经贸学阮(原重队师池大炉 2021 36 36 508 111 96 _23 42 5,8200
涉外商贸学院)
2020 34 34 504 125 98 14 39 60432
2022 23 23 487 107 92 42 55616
~ 芦虚心已
重庆财经学院(原重队丁倘大羊酰钾
6713
学院)
2021 21 lO 511 ! 104 1
子可匕
1
;
只
心
r-`? 199/l 45 55.670
2020 20 20 506 | 110 习应 41 58638
2022 14 14 480'104 82 4 35 62599
6714 歌庆上商大学派斯学院 2021 12 12 505 121 95 6 39 60750
2020 12 12 493 125 88 8 28 70609
\ \ 2022 4 4 478 80 92 17 33 64636
6721 宁夏大学新华学院 \ 2021 7 7 488 117 113 JI 22 75691
, 2020 7 7 482 109 77 17 17 81118
2022 25 24 460 i 110 80 。 15 83883
6752 天津商业大学宝在产阮 2021 32 32 501 • 117 121 11 35 64100
2020 39 39 499 116 112 15 34 64955
2022 25 22 445 87 96 。 。 100731
6754 天津外国语大学滨海外事与阮 2021 7 7 --5-1-4- \i, 112 106 。 48 53242
2020 43 43 509 102 108 。 44 55983
2022 25 25 490 110 74 8 45 52692
6763 华北理工大学觉唐学院 2021 25 25 517 114 111 11 51 50796
2020 27 27 516 118 112 11 51 50004
2022 24 9 472 110 92 。 27 70900
6764 河北地质大学华信学院 2021 20 20 498 109 116 。 32 66708
2020 27 27 495 116 101 20 30 68747.
二、2020-2022年河南省普通高校招生本科二批院校平行志愿批量投档最低分(文科) 61 •
公布 实际投档 投档最低分 投档最低分 投档最低分
院校代码 院校名称 年份
计划 人数 总分 语文 数学 外语听力 与分数线差值 位次
2022 10 10 488 98 103 9 43 54646
6765 石家庄铁道大学四方学院 2021 10 20 511 109 112 11 45 55670
2020 10 IO 512 117 114 。 ! 47 53447
2021 4 4 520 121 94 14 54 48420
6766 燕山大学里仁学院
2020 4 4 525 115 103 11 60 42716
2022 27 27 449 97 99 。 4 96236
6781 大连医科大学中山学院 2021 26 26 489 123 99 9 23 74794
2020 26 26 482 108 64 。 17 81118
2022 46 46 472 111 66 11 27 70900
6784 辽宁中医药大学杏林学院 2021 48 48 501 115 103 11 35 64100
:
2020 52 52 493 108 112 9 28 70609
2022 22 22 I 4so 10s 气69, i 5 95097
6786 沈阳工学院 2021 24 1著 9 I 3 93316
2020 9 2 9 4 i 2 96094
2022 A 19 ! 73,.o 3 97409
6787 沈阳科技学院 2021 勿 27 469 106 110011 1,- \ 11 3 93316
歹~ -- 2020 16 I 16 465 '1~ 21 ; 97 。 。 98090
\长春,'l光华`学''I院 '.\~,'飞尸\"飞·\ : 2022 10 ` S; $ r\ I O\ \ 450 103 87 18 5 95097
6791 }\ 1,, \ 't'\-\' \\ '~ 'I,,\\ ;, ”'i ~,,1 2' 2021 8 6 472 114 98 12 6 90400
I'2020 11 11 500 102 102 12 35 63994
6792~、 飞e,飞了\,春\;:;;大,,学旅游学院 _-,'t,\ r ; 俨 1, t . 、i', 2 2 0 0 2 2 1 2 6 6 5 4 6 l 5 9 i 4 4 6 4 6 7 1 12 1 3 0 1 8 0 1 1 9 。 2 。 9 9 6 85 1 6 1 5 2
2020 51 51 472 113 82 。 7 91034
`¥ -
2022 48 48 447 98 76 15 2 98565
6793 长春工业大学人文信息学院 2021 48 17 467 110 111 12 l 95210
2020 45 45 476 114 93 。 11 87172
2022 18 l 8 450 104 60 。 5 95097
长春电子科技学院(原长春理工大学
6794 2021 18 4 469 118 85 21 3 93316
光电信息学院)
2020 18 18 474 112 87 8 9 89051
2022 29 29 451 104 92 9 6 93931
6795 长春财经学院 2021 25 13 466 109 82 9 。 96112
2020 26 26 503 111 107 。 38 61327
2022 31 30 445 92 88 。 。 100731
长春人文学院(原东北帅范人学人文
6796 学院) 2021 34 6 485 100 95 l l 19 芦扫兹18405
2020 18 18 507 123 90 。 42
2022 16 16 `1 7 3
6797 吉林建筑科技学院 2021 18 4 益|心£6 1 952l0
2020 19 19 11 9 气`~1订 ~\'t'8 r 9051
2022 2] 18 6 ~,I 。 100731
6798 长春建筑学院 2021 2l ?3 474 117 1.07 12 8 88448
了~\ A飞' 2020 '1$ 18. 481; 吵 80 9 16 82115
2022 89.尸, L%尺 >: ,.一8::9 3出,“,- \,\ 448 101 96 11 3 97409
,/口一技学簸\\,'·飞;I ,,\`~气.-'- ;又勹.飞
6799 1._, \\ _'_ I\! ~_ -, I \I,'I 202l` 85'」`1' 23 466 108 89 12 。 96112
L~ 2020 90 95 473 113 96 18 8 90033
\
`亨,知 2022 25 25 451 106 96 。 6 93931
6800 吉林师范大学博达学院 2021 26 8 467 112 91 8 1 95210
2020 19 19 503 116 103 5 38 61327
2022 22 22 45() 110 73 9 5 95097
6802 哈尔滨石油学院 2021 32 32 469 107 97 11 3 93316
2020 29 29 467 104 111 9 2 96094
2022 60 60 448 111 87 8 3 97409
6803 黑龙江工商学院 2021 45 35 466 103 108 9 。 96112
2020 45 45 466 105 91 12 1 97100
2022 21 21 450 112 56 5 5 95097
6805 哈尔滨远东理工学院 2021 21 21 468 118 108 12 2 94296
2020 15 15 467 95 95 5 2 96094· 62 · 第二章报考统计
公1,』 .i、怀投挡 投臼最低分 投朸最低分 投们最低分
皖校代码 院校名称 年份
计划 人数 芒分 Ii勹义 数学 外正听力-l_勹分妏线弄伯 位次
2022 21 21 452 92 ]Q] I ().. 7 92856
6806 黑龙兀财经学院 2021 21 I 35 472 I 114 92 |i 。 6 90400
2020 38 38 468 108 105 li l 8 3 95112
2022 2 I 2 448 110 65 () 飞 97409
6807 哈尔滨广厦学院 202I 11 11 469 I I 19 I 87 9 3 93316
2020 35 24 46s I 96 i 10 14 。 98090
j
2022 85 85 448 101 66 17 3 97409
l --
6808 黑龙4外国语学院 2021 95 95 467 117 78 14 I 95210
2020 50 50 46s I 1m 113 8 3 95112
2021 2 2 470 113 I 18 17 4 92392
6809 哈尔滨剑桥学院
2020 4 2 466 112 76 9 I 97100
2022 253 253 446 113 72 9 I 99663
6810 黑龙江工挥学院昆仑旅游学院 2021 JOO 112 467 117 92 ! 。 l 95210
2020 21 21 465 122 103 i 14 () 98090
2022 102 102 472 119 80 。 27 70900
尤锡太湖学院 2021 l14 114 496 103 I 13 23 30 68472
6811
2020 98 98 488 128 91 6 23 75350
九切I、M叨于院(较高收费专\II') 2020 5 ()
2022 24 24 489 107 88 12 44 沪630
6812 中国矿II,人学拴海牛院 2021 29 29 s13 I 109 95 9 47 54068
2020 32 32 so9 I 121 97 12 44 55983
2022 8 8 472 I 120 102 () ----- 27 70900
蚌埠上商学院(原安1救财经人学曲
6813 2021 10 10 488 107 111 15 22 75691
学院)
2020 7 I 2 466 99 72 9 I 97100
2022 5 5 464 96 107 16 19 79496
马鞍山学院(原安佽丁业大学上商
6816 2021 5 5 125 110 23 19 78405
学院)
2020 4 4 482 107 96 5 17 81118
2022 6 6 445 108 70 8 () 100731
6817 合肥城市学院(厮安徽建筑大学城巾 --- 2 --- 0 -- 2 -- 1 --- 4 2 505 108 97 24 39 .一 '-- 6 - 0750
建设学院)
2020 ,1 4 501 124 I 91 14 36 63123
早阳师范大于[11,」 叩学院(原早阳 2021 12 12 517 110 I 114 ]4 11 50796
6821 圳厅心勹引沁f,,t」 I f'广 ,() 2020 7 7 511 116 I 121 15 46 54267
----"
淮北埋丁于阮(BfllL北帅i也欠学亿U i'()勹, I ! iJ 10 445 103 ,i 65 , 9 () 100731
6822
,}货) 2020 20 20 气Ii 109 10飞' 9 46 54267
2022 79 46 447 92 75 8 2 98565
,
6825 厦门L学院 202] 43 43 486 95 122 l2 20 77519
2020 38 38 485 jIi 1u17, . 94 23 20 78230
` ? ?
2022 8 8 451 120 7 8 6 6 93931
6832 东山科技学院(加山东科技大学泰山 2021 6 I 6 468 ! 12] 92 30 2 94296
和技学院) -, ----, 尸--”“一”---匕-”-
2020 6 6 481 110 93 0 16 82115
2022 II 9 I 445 113 49 I 。 () 100731
6833 烟台狸1字院(原烟台人学义纤学院) 2021 8 5 494 117 99 ! 14 28 70291
2020 10 10 504 I 12 116 9 39 60432
2022 47 39 446 99 74 5 1 99663
6836 武汉东湖学院 2021 i 26 29 504 114 100 21 38 61580
丿20为 41 46 I 501 114 87 8 36 63l23
17 17 I 477 110 97 12 32 65677
6837 汉II羊院 17 18 I 500 127 76 () 34 64927
20 32 131 94 12-』- 34 64955
_.-
2022 5 5 4 IOI 96 9 33 64636
武昌即上学院 2021 lO 10 501 t- 111 '"""" 99 """" 。 飞5 64100
6838 2020 lI 14 目 i 498 112 92 [) 33 65884
2022 9 9 i 4:i2 112 78 8 7 92856
武昌理丁学院(较高收费飞业)
2021 4 2 467 119 fJ9 。 I ()、210
I 2022 24 26 482 112 飞7 (,1)56飞
6839 武昌首义学院(胁华中籵技大学武昌 I 202l 22 29 504 l l2 1 8 0 6 7 -[— 0 9 3 8 61580
分校)
I 2020 22 22 516 12 3 98 27 51 50()()4.
二、2020-2022年河南省普通高校招生本科二批院校平行志愿批量投档最低分(文科) 63 •
公伈 义向投档II 投档最低分 投档蚊低分 投档最低分
院校代码 院校名称 年份
计划 人数 芭分 语文 数学 外话听力 勹分数线苀值 位次
~..
2022 60 60 453 98 74 8 8 91756
6841 荆州学院(原长江大学丁捍技木学院) 2021 63 31 i 466 104 97 。 。 96112
2020 49 49 ! 484 105 106 。 19 79205
2022 24 24 482 105 102 9 37 60563
6842 长汀大学文理学院 2021 22 22 506 118 112 8 40 59906
2020 21 21 504 106 118 24 39 60432
2022 18 18 478 109 92 。 33 64636
6843 湖北入学知行学院 2021 12 12 516 112 100 。 50 51641
2020 10 10 512 112 109 11 47 53447
2022 20 12 1 451 103 76 9 6 93931
6844 湖北工业大学工程技本学阮 2021 18 18 ! 507 111 113 14 41 59025
2020 18 I 18 ! 505 119 87 。 40 59518
2022 20 19 445 11.., 1 _,69尸 8 。 100731
6845 湖北商贸学览 2021 30 30 490二l屯IOO 90 5 24 73919
2020 ,l0 17 490乓卫0 109 9 25 73446
2022
匕6^`3
54 446 97 93 ' 。 l 99663
6846 湖北经济学院法商学院 2021 60 60 491 111 110 6 25 73024
\ 心~ ~ :';,?编 ~ 2020 60 ; 60 488 114 120 8 23 75350
2022 16 16 468 108 90 12 23 75194
:学湖北院恩)施学'院(原湖北民族大学科技
68叮\ \ 2021 26 26 479 111 107 15 13 83858
2020 15 16 495 121 75 12 30 68747
长 雷'l'f&\~汽卢车匕工业学院和技学院 2022 9 9 464 102 73 29 19 79496
6848'丫向 2021 9 9 486 118 106 27 20 77519
2020 10 10 479 96 103 。 14 84136
2022 15 15 ~ ~ ~~. 489 105 89 15 44 53630
6849 湖北师范大学文理学院 2021 15 15 513 123 117 9 47 54068
2020 16 16 511 114 98 。 46 54267
2022 26 26 481 115 86 12 36 61568
6850 武汉文理学院(原江汉大学文理学院) 2021 27 27 506 121 97 14 40 59906
2020 28 28 505 106 105 12 40 59518
2022 23 23 482 105 97 12 37 60563
6851 =峡大学科技学院 2021 19 19 507 113 Ill 11 41 59025
2020 21 21 504 114 111 。 39 60432
2022 33 35 455 106 69 。 2l4 O 二J ;I;,~.9426
6852 武昌工学院 2021 20 25 490 111 112 11
2020 30 30 490 116 99 ;l4 25
2022 35 16 449 气:9 4 .. 96巧6
6854 武汉城市学院(加武汉和技大学城市 2021 20 20 496 罕111 上107 `于29 30 1\ K68472
学院)
2020 2Q 20 500飞 。 35 63994
2022 17 1 17 458 100 75 8 13 86120
6855 武汉纺织大学已外,经夕\i-~~夕了\~~、贸.一~~~ 夕学_院-\', / J 2021 16 16 478 108 125 。 12 84787
\ ' ;_ ,t
2020 17 :l7 494 123 90 。 29 69685
武汉华夏理工I
1
学 -,院I\(-,原夕'武\\ 汉_理工大学 2022 9 9 447 104 97 14 2 98565
6856 ,, 2021 12 12 499 114 105 。 33 65834
华夏学院)
气 2020 14 14 498 99 l20 2 33 65884
2022 3 3 473 106 79 。 28 69846
6857 武汉体育学院体育科技';院 2021 3 3 ?? 505 124 106 。 39 60750
2020 3 3 487 119 99 9 22 76341
2022 5 5 473 108 92 23 28 69846
6858 湖北文理学院埋」学院 2021 6 9 493 111 115 14 27 71190
2020 6 6 493 102 106 12 28 70609
2022 14 14 486 113 109 12 41 56565
6859 湖北丁程学院新技术学院 2021 18 18 509 95 108 17 43 57325
2020 18 18 504 115 108 。 39 60432
2022 25 25 447 101 69 6 2 98565
6860 湖北医药学院药护学院
2020 l9 19 500 112 124 15 35 63994· 64 · 第二章报考统计
公布 实际投杆 投档最低分 投档最低分 投档最低分
院校代码 院校名称 年份 II 计划
人数 总分 语文数学 补语听力 与分数线差值 位次
2022 I 4 4 447 111 i 65 17 2 ^ ^仄仄 '-, 98565
武汉工程科技学院(原中国地质人学
6861 江城学院) 2 20 0 2 2 1 0 i !' 2 20 0 2 2 0 0 4 49 9 3 0 I 1 I 0 l 7 l 1 l 8 2 6 5 1 11 2 2 28 4 7 7 3 0 9 6 1 0 9 9
2022 35 35 486 I 10s 101 9 41 56565
6862 武汉学院 2021 50 53 512 1 108 105 12 46 54859
2020 41 41 512 115 104 11 47 53447
2022 ! 12 12 470 103 i 94 。 25 72970
6863 武汉工商学院 2021 4 6 499 111 i 118 ^ ^ 9 33 65834
2020 i 13 13 497 120 90 。 32 66799
!长沙理工大学城南学院 2022 !,, 16 16 486 104 92 : 。 41 56565
6864 I 2021 I 16 16 518 112 110 !' 5 52 49952
2020 16 16 516 110 134 !,' 12 51 50004
i 2022 6 6 485 110 93 1 10 40 57598
6867 湖南科技大学謹相学皖 2021 6 6 516 129 94 。 50 51641
2020 6 6 I 514 109 105 20 49 51662
2022 2 2 489 119 97 9 44 53630
6868 湖南珅工字院南湖学皖 2021 2 2 515 125 108 8 49 52443
!l 2020 2 2 51 I 119 91 。 46 54267
2022 3 3 484 98 81 “` 17 39 58561 咖.一
6869 湖南农业大学东方科技学院 2020 2 2 Ii 497 112 101 I 9 32 66799
2022 2 。 ii
6870 湘谭理一1学院(原湖南丁商大学北津
iI 羊院) ~` 2021 2 4 1 49s 106 107 12 32 66708
2020 2 l 501 111 116 II 36 63123
2022 4 4 I 447 112 87 : 。 2 98565
6872 1 湖南文理学院关蓉学院 2021 4 4 I ;i 508 121 113 。 42 58200
2020 4 4 504 102 105 6 39 60432
i 2022 6 6 I 486 118 101 8 41 56565
6874 :古首入学张家界学院 2021 6 6 508 132 99 ll 42 58200
i 2020 7 7 496 122 88 8 31 67788
2022 2 勹乙 492 113 95 12 47 50820
6875 南华大才船山庐院 2021 4 4 515 114 121 8 49 52443
2020 | 4 4 509 109 123 20 44 55983
”“ 2022 4 4 492 107 85 。 47 50820
6876 I 湘谭人学兴湘学院 2021 4 6 517 105 102 。 51 50796
2020 4 4 515 115 112 21 50 50859
I 2022 5 5 481 109 85 9 36 61568
6877 中南林壮科技人学涉外学院 2021 7 7 I 505 115 85 15 39 60750
!
' 2020 10 11 1 502 109 104 9 37 62281
2022 5 8 I 445 95 72 18 (J 100731
丿,州的学院 2021 6 6 494 113 lOl 17 28 70291
-~------
2020 6 6 498 118 121 12 33 65884
6879 2022 2 l I 445 97 82 0 。 100731
广州商学院(如岩卅收费专'lk) 2021 12 6 468 107 79 。 2 94296
2020 8 5 475 91 105 11 I l(J 88087
丿'州商学院(单列专业) 2022 11 9 446 98 88 。 1 99663
6881 /`西大学行健文理学院 2020 ` 3-5- -“”“ 35 492 "1 15 - " 104 。 编一 27 ` -”“” ` - 71597
2022 30 30 458 93 76 9 13 86120
柳州工学院(原r'西科技大学鹿山
6882 2021 30 30 478 106 1 JO 9 12 84787
学院)
2020 25 25 476 l08 77 11 II 87172
------+-
.丛一 丛 已J丛丛丛一丛一 人 一 丛 2022 35 ! 35 476 114 86 8 31 66739
6883 广西民族入学相思湖学院 202] 6 l I 61 492 Ill ]22 。 26 72125
2020 24 24 483 115 111 11 18 80203
2022 II 3 476 l09 89 5 31 66739
6884 桂林学阮(原J`西师范大学湍江学阮) 2021 22 22 506 119 ! 111 9 40 59906
2020, 18 18 503 101 I 121 。 38 61327.
二、2020一2022年河南省普通高校招生本科二批院校平行志愿批量投档最低分(文科) 65 •
公布 文1行投杆 投档最低分 投自最低分 投档最低分
院校代码 院校名称 年份
计划 人数 总分 语文 数学 外语盺力 与分数线士们 位次
2022 19 l9 476 106 85 。 31 , 66739
南宁师菹大学)酌归院(原/,四师范
6885 2021 22 22 506 108 116 3 40 59906
学院师园学院)
2020 24 24 498 100 125 9 33 65884
2022 34 34 486 113 86 14 41 56565
6886 广西中医药大学赛恩斯新医药学院 2021 49 49 508 105 101 。 42 58200
2020 40 40 504 122 91 9 39 60432
2022 20 5 447 106 74 9 2 98565
桂林信息科技学院(原桂林电子科技
6887 2021 18 18 490 116 93 12 24 73919
大学信息科技学院)
2020 15 15 484 103 117 14 19 79205
2022 40 33 445 107 70 11 () 100731
南宁理工学院(原杜林理工大学博文
6888 2021 32 5 472 114 94 9 6 90400
管理学院)
2020 28 28 478 113 7 9r-, 8 13 85132
2022 28 28 469 13 量三 24 74062
重 学院 庆 ) 移通学院(肝正庆邮电大学移通 2021 10 10 i 506 13 40 匕- l 59906
6889 2020 兮2、 L 21 505 环~D 103 - 己了8 40 , 59518
重庆移通学院(原重庆邮电大学移通 俨^
2022 3 1 454 105 95 。 9 90557
学院,较高收费专业)
2022 7 7; I 477 109 74 11 32 65677
6891 成都理工人学工程技术学院 2021 7 7 468 107 81 12 2 94296
',','-' 2020 7 7 512 118 106 。 47 53447
\ ','- 2021 8 8 515 109 116 12 49 52443
6892.,-, 四川了传.`媒心学~工.夕院
2020 14 14 '514 118 101 12 49 51662
\~
览 卢}t 2022 6 6 479 106 67 9 34 63579
6894 电子科技大学成都学院 2021 8 8 515 111 104 11 49 52443
2020 6 6 512 120 97 6 47 53447
2022 8 8 I 468 106 64 9 23 , 75194
6895 四川工商学院 2021 3 2 468 121 85 。 2 94296
2020 3 3 509 122 99 12 44 55983
2022 25 26 450 105 83 12 5 95097
6897 四川外国语大学成都学院 2021 24 26 519 114 116 9 53 49184
2020 25 26 525 114 105 8 60 42716
2022 4 3 447 111 71 11 2 98565
贵州黔南经济学院(原贵州财经大学
6899 2021 4 4 494 93 108 14 28 70291
商务学院)
2020 4 4 507 112 124 14 42 ! 七-俨 5 7 7 86
6903 贵州师范大学求是学院 2020 2 2 505 124 90 5 40 'I,,i! i.节二-•-~,t勹 尸l5节 fi,9l351180
2022 5 5 466 罣 2l
\ L'.
95 91
6905 昆明医科大学海陈学院 2021 5 5 489 23 ·~ 7~, 4,7 9:“ 4
2020 5 5 485 20 `' '`" 亡'7七8230
2022 37 I~ 3/~ : 7 457 12 87224
6906 云南大学滇池学院 2021 36 1<38 466 99 103 15 。 96112
c----- -- A飞-\ \ 2020 36 36 4~/ 9 9 117 85 17 34 64955
丽江文化旅)游学院(原云南大学旅游 2022 56 1 '· ~ 5J 6t 勺\ 450 100 87 9 5 95097
6907 2021 53」,, 57 471 114 107 9 5 91379
文化学院
2020 61 61 470 104 102 14 5 93080
2022 9 9 464 111 85 17 19 79496
昆明城市学院(原玄南师范大学商
6908 2021 8 8 487 124 108 11 21 76616
学院)
2020 10 IO 486 102 87 。 21 i 77287
2022 5 5 `.` 4 54 102 70 。 9 i 90557
6909 云南艺术学院文华学院 2021 7 7 475 117 76 15 9 87514
2020 9 10 471 111 81 12 I 6 92059
2022 9 9 452 112 61 9 7 92856
兰州博文科技学院(原兰州交通大学
6910 2021 9 4 470 l04 83 11 4 92392
博文学院)
2020 6 6 496 119 95 。 31 67788
6912 兰州财经大学长青学院 2020 30 30 490 111 82 6 25 73446
2022 12 11 445 IOI 60 12 。 100731
兰州工商学院(原兰州财经大学陇桥
6913 2021 10 10 490 113 105 12 24 73919
学院)
2020 7 7 488 112 114 14 23 75350· 66 · 第二章报考统计
公布 实际投档 投档最低分 投档最低分 投档最低分
院校代码 院校名称 年份
计划 入数 总分 语文 数学 外语听力 与分数线差值 位次
6914 西北师范大学知行学院 2020 12 12 505 121 91 5 40 59518
2022 10 10 448 105 74 9 3 97409
6915 青海大学昆仑学院 2021 10 10 506 103 115 10 40 59906
2020 10 10 502 112 94 11 37 62281
2022 29 30 491 115 106 。 46 51788
6921 新疆政法学院
2021 16 16 512 120 113 。 46 54859
2022 90 90 ! 489 106 100 。 44 53630
新疆科技学院(胪新疆财经大孚商务
6922 2021 49 49 514 108 118 8 48 53242
学院)
2020 81 81 504 120 94 6 39 60432
2022 15 15 489 96 89 9 44 53630
6923 新疆理丁学院 2021 28 28 514 109 96 24 48 53242
2020 30 30 508 114 123 11 43 56870
6924 新疆农业大学科学技术学院 2020 20 20 468 109 ll7 9 3 95112
6925 新
博学
疆
院
第
)
二医学院(原新疆医科大学厚 2022 1 l. 491 108 96 9;
~ ~ ~
46 51788
保定理工学院(原中曰地质入学长城 2022 8 8 452 104;亡 83”, ~ ~~勹。 7 92856
的26 学院) ;~尸2·O2~ ? ·1"、 ~ 士 8 8 468 98 94 11 2 94296
--
2O22 36 37 474 116 60 11 29 68793
\
-\ 北京!,理工大学蛛海学院 r 2021, s.'036 36 519 116 87 3 53 49184
69扎
\-
毛,,}
2O20 24 24 524 116 111 17 59 43484
r\ , --
,,北_仁一京',理工大学珠海学院(较高收费 2022 14 15 475 94 99 23 30 67740
2021 14 14 503 122 103 。 37 62413
专业)
2020 17 23 496 112 107 12 31 67788
2022 26 26 465 115 88 。 20 78388
珠海科技学院(原吉林大学珠海
6932 2021 24 26 509 122 123 9 43 57325
学院)
2020 21 22 527 107 106 11 62 41219
2022 4 7 445 96 85 18 。 100731
6933 首都师范大学科德学院 2021 3 2 468 I 100 80 11 2 94296
2020 4 ! 。 !
2022 9 3 448 i 104 93 。 3 97409
6934 北京工商大学际华羊院 2021 10 4 469 1109 87 18 3 93316
2020 16 4 469 I 102 82 15 4 94118
l - ,
2022 37 37 449 104 76 8 4 96236
6939 大连科技学院 2021 27 27 471 109 86 6 5 91379
2020 33 33 465 119 62 9 。 ~~ , \ ~ ~ ~ ~ 98090
2022 35 35 448 96 99 12. 3 97409
6943 大连东软信息学院 2021 44 44 468 113 82 24 2 / 94296
2020 34 34 465 120 84 17 。 ~; \ • 98090
19 445 90 - 97 户 14,i 。 100731
叩目酝学二勹:祖 32 i 466 92 , 1l2§ 艾't,\'12' 。 96112
28 465 \97 1 106 6 。 98090
6946
6 445 102 84 11 。 100731
上(较海高外收国费心语,--广 j二
202O l4 5 466 112 60 8 。 96112
7 465 107 89 12 ! 。 98090
2022 13 13 501 112 85 8 56 42740
6948 南京理工大学紫金学院 2021 13 13 537 113 118 23 71 36000
2020 15 15 529 108 112 20 64 39782
2022 5 3 482 105 90 。 37 60563
6949 南京航空航天大学金城学院 2021 19 19 513 100 111 11 47 54068
2020 10 10 511 115 118 9 46 54267
2022 19 20 502 i 124 88 。 57 41865
6950 南京传媒学院(厅中国传媒大学南广 2021 32 32 528 ! 119 129 9 62 42273
学院)
2020 80 81 519 123 87 11 54 I 47502
2022 2 2 463 96 109 11 l 8 i 80605
6951 南京理工大学东州和技沪院 2021 2 () I
2020 4 4 i 5 l 2 113 101 。 47 53447二、2020—2022 年河南省普通高校招生本科二批院校平行志愿批量投档最低分(文科) . 67 •
年份 1 飞 实际投档 投枯最低分 投档最低分 投杆最低分
院校代码 院校名称
人数 总分 语义 数学 外语听力 与分数线差值 位次
2022 48 48 491 ]18 79 。 46 51788
6952 南京帅范入学泰州学院 2021 55 55 516 122 118 。 50 51641
2020 60 60 513 112 118 11 48 52560
I
2022 18 18 485 99 101 。 40 57598
6953 浙江工业大学之江学院 2021 18 18 507 114 112 9 41 59025
2020 13 13 505 114 103 23 40 59518
2022 24 24 472 107 77 。 27 70900
6954 浙江师范大学行知学院 2021 18 18 507 102 107 11 41 59025
2020 18 18 505 117 99 14 40 59518
2022 11 9 473 122 75 12 28 69846
6955 卢皮大牛科学技术学院 2021 10 10 508 109 121 14 42 58200
2020 10 10 503 120 83 15.\. 了 38 61飞27
i折仁「衣林大学暨阳学院 2022 ~ ~ ~ ~ 13 13 466 102 68 14 耘 21 77310
6959 II 2021 15 勹::; 106 98 l2户' 35 64100
2020 17恩咽 123 76 6 t \ \ :产: 29 69685
6962 杭州师范大学钱江学院 2O2O 22 22 513 120 96 l l 48 52560
2022 8~ 8 512 、、I20 99 3 67 33818
湖州学院(原湖州师范学院求真
6963 202l 20 20 531 116 125 14 65 40157
··凸,~ 学 --- 院 --,I \ ) -.-_i- r飞'\ \. ,' 已令2,0\2、0 -- 12 12 493 106 117 。 28 70609
; 2022 20 20 477 110 88 17 32 65677
2021 20 20 499 100 92 。 33 65834
2020 33 33 484 113 77 15 19 79205
2022 22 22 510 I 107 1 89 。 65 35431
2020 10 10 496 116 100 26 31 67788
2022 28 28 476 106 94 5 31 66739
2021 29 29 510 117 101 () 44 56491
2020 21 21 512'107 95 9 47 53447
嘉兴南湖学院(原嘉兴学院南湖 2021 6 6 540 122 106 18 74 33915
6967
学院) 2020 9 9 501 117 92 6 36 63123
6968 中国计量大学现代科技学院 2020 5 5 516 124 92 8 51 50004
2022 20 21 446 120 78 20 1 99663
6969 北京邮电大学世纪学院 2021 21 23 477 107 109 。 11 85681
2020 29 31 467 116 117 II z 96094
2022 33 33 467 I 102 96 11 22 76258
6970 浙让财经大学东方学院 2021 27 27 508 114 116 9 之食 -,4',飞2 卢,' 58200
, 2020 38 38 504 i 117 101 9聂 主,39 60432
i 2022 , 5 5 453 j 114 85 9 3 8 91756
6971 华南农\II[人学珠江学院 2 2 0 0 2 2 1 0 2 4 I寸': 9 4 ;, 卢466立\ 丿 100 2 I ° 9 9 9 2 2 9 3 ' "' '·又L:: 9 1 ; ~ 9 8 7 7 1 5 0 l 0 4
2022 20 20 498 108 98 11 53 45402
6972 集美大学诚毅学院 ''f, 021 I7 17 529 ',ll2 109 11 63 41562
2020 17 17 528 117 102 11 63 40496
',
2022, .l9 9 445 108 91 11 。 100731
青岛城市学院(原青岛理T大学琴岛
6974 2021 19 10 497 115 90 11 31 67589
学院)
,\c,\'\";; 2 2 0 0 2 2 0 2 i, 1 1 6 7 4 1 1 6 7 4 4 4 9 4 7 8 1 11 0 8 2 __ 6 96 4 ~ 1 I 8 。 3 3 2 I I 6 9 6 7 7 4 9 0 9 9
二业学院 ! 2021 144 144 474 119 113 。 8 88448
2020 113 113 474 99 100 6 9 I 89051
6975 2022 2 2 446 102 82 () 1 99663
_亚学院(较高收费专业) 2021 5 4 466 115 99 18 。 96112
....
2020 5 2 467 103 85 。 2 96094
三亚学院(单列专业) 2022 5 4 446 112 64 27 1 99663
2022 41 38 461 106 113 11 16 82819
6976 北京科技大学天津学院 2021 35 35 509 125 120 11 43 57325
2020 42 59 505 107 126 8 40 59518· 68 · 第二章报考统计
公布 实际投档 投档最低分 投档岐低分 投档最低分
窟权代码 院校名称 年份 /i }划 人数 仅分 语文 数学 外语听力 与分数线苀值 位次
2022 5 5 472 118 80 6 27 70900
6977 燕京理工学院 2021 5 9 495 Ill 92 9 29 69370
2020 4 4 497 113 98 。 32 66799
2022 7 11 468 109 79 。 23 75194
6978 武汉上程大午邮电与信息丁程学院 2021 7 7 498 IOI 113 5 32 66708
2020 8 8 502 119 101 11 37 62281
2022 4 4 487 112 83 。 42 55616
6979 武汉传媒学院 2021 2 2 509 133 79 14 43 57325
2020 6 6 507 119 105 6 42 57786
2022 I, 6 4 451 106 75 ! 11 6 93931
广州软件学院(原广州大学华软软件
2021 12 12 I 478 112 105 20 12 84787
学院)
6980 2020 12 12 I 484 112 89 14 人 19 79205
广州软件学院(原广州大学华软软件 ,'
2022 2 。
学院,较高收费专业)
2022 12 l2 450 又 no 60 11 5 95097
6981
广
学院
外
)
华立学院(原广东工寸V大学华立
:, 2O勾 10 :霆
l-O]多,于~`
468 l的-o-- 90 18 2 94296
2位~ l 1 r 9 470 n己"` 于 67 15 5 93080
,~ 9
-三-一: 2022 9 476 115 82 。 31 66739
6983 西南交通大学希望学院 2021 5 5 502 110 111 11 36 63254
,
' 2020 5 5 502 128 78 6 37 62281
\ 2022 24 11 448 96 90 。 3 97409
东莞城市学院(原东莞理上学院城市
6984 2021 16 16 476 113 88 8 10 86581
1学`院)
,沪 2020 l4 14 473 114 72 11 8 90033
2022 6 5 446 104 71 8 I 99663
成都银杏酒店符理学院(原成都信息
6985 2021 21 21 484 107 120 6 18 79316
T程大学银杏酒儿管理学院)
2020 6 6 487 120 92 9 22 76341
6986 贯州大学明德学院 2020 2 2 508 103 95 11 43 56870
6987 贵州怢科大学神奇民族医芍学阮 2020 I 1 500 120 102 9 35 63994
2022 13 13 448 112 81 () 3 97409
6988 西安交曲大子城市学院 2021 8 8 515 110 115 。 49 52443
2020 8 8 512 125 90 。 47 53447
2022 9 9 474 112 70 。 29 68793
6990 四安建筑科技大学华清学院 2021 JO 10 498 114 83 6 32 66708
2020 ]3 13 488 106 107 II 23 35350
2022 25 25 465 101 77 8 _/? \20 勹勺8388
6991 西安财经大字行知学院 2021 25 25 491 I 11 106 8 . 25 73b24
2020 25 25 485 118 77 -l2 20 78230
2022 30 30 452 106 89 9 7户- 92856
6992 陕西抖技大学镐京学院 2021 32 笃编~~ 85 8 5 91379
尸亡~又 2O20 1I 32 .:''~:f.- 33a~-25 -4~ i 447619 i `1l0l77, 亡 ,l00 14 4 94118
西安.L商学阮院(原西安工亚大学化方 .\.~ ~`.: 0“2 2 45 , 455 i户ol9 105 15 JO 89426
6993
f~ .,20尔.21
55
5..35 ; ·
472 114 85 11 6 90400
信息工程学 )
,\ 2020 31 31 467 I l4 114 8 2 96094
2022 10 10 445 102 85 。 。 100731
6994 延安大;西安创新学院 2021 12 12 478 107 97 27 12 84787
2020 22 7 470 108 122 。 5 93080
2022 3 3 492 110 72 11 47 50820
6996 」海视觉艺术学院 2021 3 2 492 99 96 9 26 72125
2020 3 3 543 111 126 8 78 30010
2022 10 8 445 100 78 9 。 100731
6997 昆明文开学院(原云南师范入学文理 2021 i 12 12 487 I 12s 91 27 21 76616
学院)
2020 14 14 494 109 94 14 29 69685
2022 10 6 454 96 84 () 9 90557
6998 昆明理工大学津桥学院 2021 10 10 486 118 95 5 20 77519
2020 10 II 491 102 116 14 26 72538
7008 河北科技工程职\Iv技术大学 2022 12 12 490 125 92 5 45 52692
7009 兰州们化职\W技术大学 2022 2 2 4 86 106 100 。 41 56565二、2020-2022 年河南省普通高校招生本科二批院校平行志愿批量投档最低分(文科) . 69 ·
公布 实际投节 投档最低分 投档最低分 投档最低分
院校代码 院校名称 年份
引划 人数 总分 语文 数学 外语听力 与分数线差值 位次
7010 兰州资源环境职业技术人学 2022 5 5 488 106 91 9 43 54646
~ - --
7011 山西工程科技职业大学 2022 2 2 491 119 80 8 46 51788
7012 河北石油职业技本人学 2022 13 13 489 lll 81 11 44 53630
7013 广西农业职业技术大学 2022 5 5 488 100 89 11 43 54646
7014 贵阳康养职业大学 2022 2 2 485 95 96 14 40 57598
2022 14 14 508 119 98 8 63 36969
户/U八,J勹/ i吓口人占心于上?吟匕 2021 14 15 542 118 119 8 76 32574
2020 8 8 543 123 107 11 78 30010
2022 18 18 496 113 94 18 51 47205
7039 河北民族师范学院 2021 10 9 466 109 106 8 。 96112
2020 ll 11 526 120 84 12 61 41943
2022 12 12 501 118 8 8 1干,:一八'_~ 6 56 42740
7041 沧州师范学院 2021 lO 10
5三4390~亏,
,-105:: -乏 9 64 40857
2020 8 8 t1°Ol233 血,'一.,Y心,
'
\夕 .` ; 14 64 39782
2022 8 8 9i 8 50 48113
7051 吕梁学院 2021 8' 8 521 110 , 111 : \2 尸 4 55 47608
2020 15 15 519 107 117 9 54 47502
\ \ \\ 2022 16 \:',i6 ` 1'494 114 73 11 49 48998
7063 集宁师范'`学\院 ' \ 2021 17 17 519 121 92 8 53 49184
\ ', ', ',.', \ 2020 17 17 516 120 109 12 51 50004
I \I ,'''\ l ' \一入 2022 14 14 492 115 70 12 47 50820
706\\心
\\'(呼_ ) \\ '和c浩`__特民族学院 2021 9 i 9 519 112 115 9 53 49184
\' ' 2020 9 9 517 118 113 6 52 49174
2022 16 16 504 107 100 11 59 40236
7098 吉林警察学院 2021 ]6 16 504 104 124 。 38 61580
2020 4 4 544 113 109 11 79 29350
2022 63 63 457 102 79 15 12 87224
7106 哈尔滨金融学院 2021 66 66 532 124 104 20 66 39426
2020 66 66 536 112 ll7 8 71 34661
2022 51 51 511 107 92 8 66 34631
7126 泰州学院 2021 36 36 541 117 105 12 75 33219
2020 39 39 535 108 105 11 70 35387
2022 19".气一.``一一19口…一 522 115 106 11 77 26589
7132 浙江水利水电学院 2021 15 15 553 126 124 6 87 三~L乏凸5867
2020 ]9 19 552 121 120 ll 87
2022 13 13 466 106 95 , 。 21
7147 池州学院 2021 7 7 i刁, 14 59 牡5l2
卢
2020 13 13 9 59 户 又, 1',43484
2022 22 22 494 106 96 1,1于\C、•」," \\ \ 49 48998
7148 亳州学院 2021 6 6 \ 526 125 101 21 60 43777
'2020 , 53 3 520 1 19 115 12 55 46713
\已\,\ ,\ \ 2022 18 , \ \, _18,\ \ ,\尸 495 109 83 6 50 48113
武夷学院\ \\ \一 \, , ' 2021 26 26 529 105 116 11 63 41562
\: - I
7152 \, 2020 27 27 529 118 124 。 64 39782
2021 2 2 514 119 87 11 48 53242
武夷学院(较高收费飞业) 2020 6 - 6 - 495 115 104 14 30 68747
2022 30 30 502 117 92 () 57 41865
`
7153 宁德师范立芷 2021 30 -u u m 仁一--JlI ~ 531 110 129 11 _ _6 5 40157
~
2020 32 32 527 116 117 0 62 41219
2022 37 37 SlO 124 90 11 , 65 35431
7155 福建商学院 2021 33 33 539 122 115 6 73 34627
2020 17 17 545 117 130 。 80 28679
2022 8 8 521 113 118 8 76 27264
7156 福建警察学院 2021 7 7 546 125 107 4 80 30047
2020 8 8 541 123 107 9 76 31333· 70 · 第二章报考统计
公仆 实际拉档厂5总0分 投档录低分 投档最低分 投档最低分
院校代码 院校名称 年份 计划 人数 /, 语文数亡千外语听力尸 勹分数线并值 位次
^^ 2022 I·- 4 ·-··一I-”“人4— --一--114 - F一·一·5一8 · 41009
7161 蚁径钉言院 2021 4 4 532 119 66 39426
2020 6 6 i 528 129 104 27 63 40496
2022 5 5 489 114 79 () 44 53630
7163 什乡学院 2021 5 5 i 523 ll5 126 。 57 46101
2020 3 3 520 115 112 。 55 46713
2022 5 5 501 I 13 86 12 56 42740
7164 新余学院 2021 5 5 530 l20 111 8 64 40857
5 525 118 121 11 60 42716
济_勹_学-院—-一i .三
,一 22002210 1I - 1IOs0 JO 497 101 108 17 52 46291
7176 10 523 120 103 l 14 咖.. 57 46101
__勹~22O0严 22 JO 10 527 125 115 ,-- 12 62 ', 4 _ 121 _ 9
22 22 5 l l 107 98 15 66 34631
7195 汉y_J帅范宁院 三』 24 24 537 132 103 15 71 36000
2020 26 28 532 t26 109 i 6 67 37527
I 2022 5 5 530 119 106 6 85 2163~ ~ ~5 ~
7205 湖南第一师范学院 I 2021 5 561 122 131 24 95 21385
一二
,_ __ -—_ __ _Ji_ _20_20I22 _0 2 5 1 7 558 126 124 ]J 93 21036
4 4 513 124 73 。 68 32998
7206 长沙帅范学院 I 2021 4 6 543 117 l l3 。 77 31926
2020 4 4 535 115 111 5 70 35387
咖! ~I 湖南财政经济学院 I ,咖 一 17 17 524 114 110 11 人-7 --- 9 25322
'
7208 22?00O22,2l2 17 557 114 136 丁! 102 - 91 23563
:: 14 14 558 115 115 93 21036
I 桂林/饥夭r,11,学院 10 IO 501 l 14 88 l 。 56 42740
7221 I 2020 1 1 1 0 1 l 0 l 5 5 2 3 8 7 l11l 9 5 勹 I 1立41t ; - i正 10厂 “”“~ 7 6 2 2 ^ 3 42 3 2 9 7 7 3 6
I 「西fI技师范打贤 2022 20 497 l五lO 1i . 9950 li : -飞I1 ·一 52 46291
7228 2021 18 18 522 56 46841
2020 23 23 5 l8 124 \ 109 。 53 48340
i 2022 9 9 493 !02 91 () 48 49917
I)jT -f寸少E 2021 11 502 I 17 \ l(JJ 23 36 63254
10 10
2020 10 520 l2 55 46713
7229 106 III 13682
2022 6 6 448 108 。 3 97409
桂林旅游学阮(较悯收费-《业) 6 477 105 106 () 11 85681
2020 6 ()
2022 7 ! 7 503 109 88 9 58 4!009
7233 广西哼容羊阮 2021 I 4 8 532 113 j 103 干·14 66 39426
16 516 51 50004
四川旅游学院 2
2
0
0
2
2
2
0 1r ----;;2i1 ;26
15 450
卫l121
3
m
8
4 』Ii1立111
6
2 上
iI
,
- 15o1 _ 5 95097
7254 I 2021 I 2s 25 541 75 33219
2 2 0 0 2 2 0 2 I i I 1 6 7 1 6 7 5 49 4 5 2 _1 1 0 1 ~ 9+ i四 8 8 尸- 2 。 9 5 77 0 4 3 8 0 1 6 1 6 3 8
7259 阿坝师他学院 2021 I 6 6 523 115 103 20 57 46101
2020 6 6 519 \ 117 120 12 54 47502
2022 I 106 8 51 47205
l 496  I I 2 20 0 2 2 0 0 3 2 2 3 , 4 5 7 3 5 3 1 ll 1 2 7 1 8 2 7 5 1121~ 「i : 6l~O8 ~ ~ 8 3 8 6 0 8 8 1 7 8二、2020—2022 年河南省普通高校招生本科二批院校平行志愿批量投档最低分(文科) . 71 •
公布 实际投甘 投档最低分 投朸最低分 投档最低分
院校代码 院校名构 年份
ii划 人数 饮分 语文 数学 外出听力 勹分数线美值 位次
2022 3 3 495 103 90 9 50 48113
7283 昭通学院 2021 3 3 521 115 96 18 55 47608
2020 3 3 518 116 102 ll 53 48340
7285 保山学院 2022 2 2 502 107 76 11 57 41865
2022 5 5 493 106 86 9 48 49917
7287 文山学院 2021 5 5 518 110 102 11 52 49952
2020 5 5 516 121 113 12 51 50004
2022 6 6 520 104 111 12 75 27943
7292 西安航空学院 2021 6 6 550 117 96 。 84 27622
2020 8 8 549 123 132 。 84 26203
2022 2 2 493 106 88 8 48 49917
7293 滇西科技帅池乍院
2021 8 8 518 108 106,少 9 52 49952
7301 兰州工业置 2 2 0 0 2 2 0 2 1 千一: - 5 49 15 年 1 尸1; 0 七0 6 0 ,• •尸n 1 七 砬 t 车 . 夕 ,-.•- `、 1 l 2 l 、 贮 5 5 0 l 5 4 0 72 8 0 5 5 9
,lll
7304 甘肃民族帅池学19L 2021 4 4 520了心 108 12 54 48420
2020 4 4,J 517 103 132 11 52 49174
2022 6 6 491 109 90 9 46 51788
7331 新疆丁程学院 2021 6 6 515 108 83 。 49 52443
2020 6 6 508 109 132 12 43 56870
7335 新邯耆察学院 2022 3 3 495 103 95 12 50 48113
2022 39 39 500 119 98 18 55 43646
734,8\ 1 , ,•琼 !台·师.范学院 2021 42 ~-l -42 529 119 97 11 63 41562
气 2020 32 33 526 118 111 11 61 41943
2022 l 8 18 490 108 90 11 45 52692
7400 河套学院 2021 13 13 516 121 107 8 50 51641
2020 l 3 13 516 110 117 12 51 50004
2022 12 l 2 497 107 89 24 52 46291
7401 兰州义理学院 2021 10 10 528 121 120 11 62 42273
2020 8 8 532 125 103 。 67 37527
2022 29 29 508 109 93 9 63 36969
7460 南京特殊教育师范学院 2021 43 43 532 125 111 18 66 39426
2020 43 43 528 120 111 。 63 40496
2022 47 47 513 113 91 9 68 32998
7461 福建江夏勹伉 2021 53 53 546 117 117 ll 80 _ 尸矗户一,心..3虚,0047
2020 52 52 547 117 115 12 82 \ .夕,4、: '尸;-b、2',' 7436
-- 人 一一 2022 28 28 526 105 104 。 81 i仁`二尸F式五俨.-千r, 讥.0` 75
7501 上海第二_1\IV丿` 2021 28 28 559 l17: - 1D 亡 29 93 22467
2020 28 28 5的了; 115 U3 11 95 o"o \ \` ,-l'9- 958
2022 8 8 455 91 98 。 10 89426
7502 荆楚理丁学院 2021 3 3 535 111 118 。 69 37377
2020 i7 17 538 133 105 。 73 33302
2022 19 19 527 111 106 30 82 23432
7563 湖北第二师范学院 2021 22 22 557 126 112 17 91 23563
2020 18 21 554 119 120 11 89 23278
2022 46 46 496 109 86 。 51 47205
7600 浙江万里千院 2021 50 50 520 116 107 11 54 48420
2020 40 40 514 116 118 15 49 51662
2022 15 15 456 109 63 15 JI 88323
7601 仰恩大学
2021 12 12 472 124 100 ll 6 90400
2022 50 50 478 106 98 。 33 64636
7602 西安培华学院 2021 46 46 504 123 109 12 38 61580
2020 30 30 498 121 116 9 33 65884·72· 第二章报考统计
.院校代码 院校名称 年份 公布 实际投档 投档最低分 与投分档数最线低差分值 投档最低分
计划 人数 总分语文数学外语听力 位次
2022 76 76 462 90 72 。 17 81692
吉林外国语大学 2021 79 70 469 113 129 8 3 93316
2020 74 75 514 112 109 。 49 51662
7603
2022 9 6 463 l07 88 。 18 80605
吉林外国语大学(较高收费专业) 2021 5 5 483 116 85 14 17 80250
2020 2 2 503 125 81 12 38 61327
2022 19 23 455 106 70 11 10 89426
7605 北京城市学院 2021 20 35 493 124 94 11 27 71190
2020 21 27 509 106 103 。 44 55983
2022 43 43 449 95 83 。 4 96236
7606 辽宁对外经贸学院 2021 42 42 466 115 96112
2020 40 40 467 106 扫: 96094
2022 92856
7607 黑龙江东方学院 2021 羞 93316
2020 92059
\i'1;今6..飞 ,产·' '1i22 3 97409
芦蝠-,
上海杉达学院 99 0 13 83858
r 80孔·飞门对',.,469 117 78 14 4 94118
-压~1编\一L\忱-飞己\-之油忒匕一-,刁产俨召血夕心;'i\/謹,飞巳'-,,\\、 已 }~2位扣 {士,,8;3' 3 466 96 86 5 21 77310
勹 `- ~ ( t~飞 \2O21 3 3 476 112 75 。 10 86581
户名六义5 e 2020 4 4 473 101 105 15 8 90033
丑土海杉达'学c,`,院'尹,(少单列专业) 2022 7 。
\· 杆 · 2021 2 2 474 108 102 12 8 88448
2022 119 126 445 89 97 15 。 100731
7609 上海建桥学院 2021 136 136 466 122 88 6 。 96112
2020 119 116 465 101 100 6 。 98090
2O22 52 52 486 106 83 。 41 56565
7610 三江学院 2021 54 54 512 116 100 9 46 54859
2020 55 55 510 110 113 15 45 55140
2022 44 44 463 102 76 。 18 80605
7611 浙江树人学院 2021 44 44 482 110 110 9 16 81132
2020 44 44 475 104 105 6 10 88087
2022 20 20 458 109 83 2 13 86120
7612 安徽新华学院 2021 30 22 467 118 78 23
2020 11 11 471 109 121 9 霆
2022 6 6 452 108 83
7613 江西科技学院 2021 6 6 476
2020 6 4 118 15哎主 4 汾 只 4;_,-,心;:' 戊,,', ` 9~41 18
2022 ,, 9 产也,`\心·'1 99663
7614 烟台南山学院 1 S?,宁七\眨3;! 口'li 36 63254
尸一k .l _ , \ 。 64 §叩心1i16 88 。 35 63994
7615 青岛滨海学;\I , I9 ' ,二\气\\1,曰,\:\::i二c'--_\,C_仁f,,尸//乙j\广'. ': f ,: \ \/' 1 心\J`总义°c.,2 2 W, 2 1, -乙尸气>$ 5 5C0 0 -, ' 午 勺 户 ` , 二 飞 0 · 令\ \ 冯工` 5 习5 0 , \飞女,·'\ 4 4 4 7 5 6 1 “ 01 1 8 1 1 6 1 3 1 1 。 0 1 8 0 6 0 5 7 8 3 1 1
乙加20 53 53 478 110 76 8 13 85132
武汉生物工程学泛令l院'',- ;了,哀心名飞入', 炉二 2022 13 13 477 109 73 9 32 65677
`,-
7616 2021 13 13 498 108 110 。 32 66708
2020 9 9 487 109 88 6 22 76341
2022 8 8 497 110 87 14 52 46291
7617 长沙医学院 2021 8 10 524 120 105 11 58 45291
2020 8 8 524 115 105 9 59 43484
2022 32 15 445 108 68 9 。 100731
7618 湖南涉外经济学院 2021 36 36 481 115 75 29 15 82022
2020 36 36 479 110 86 9 14 84136
2022 16 10 445 101 63 12 。 100731
7620 广东培正学院 2021 10 10 480 109 97 18 14 82978
2020 10 10 481 113 93 3 16 82115.
二、2020-2022年河南省普通高校招生本科二批院校平行志愿批量投档最低分(文科) 73 •
公布 实际投档 投档最低分 投档最低分 投档最低分
院校代码 院校名称 年份
计划 人数 总分 语文 数学 外语听力 与分数线差值 位次
2022 93 93 457 100 57 14 12 87224
7621 西安翻译学院 2021 76 88 485 118 106 。 19 78405
2020 53 53 487 125 104 9 22 76341
2022 53 53 456 l09 69 。 11 88323
7622 西安欧亚学院 2021 49 51 481 l04 102 14 15 82022
2020 44 44 480 l l8 87 5 15 83122
2022 48 48 464 100 95 8 19 79496
7623 西安外事学院 2021 50 50 492 103 97 18 26 72125
2020 43 43 490 112 90 。 25 73446
2022 25 25 465 93 99 12 20 78388
7624 西京学院 2021 24 24 494 121 85 。 28 70291
2020 18 18 489 108 101 `夕 Q `、~? 24 74425
2022 202 211 446. 93 '.'88了 0,'\ \ 4 心 1 99663
7625 宁夏理工学院 2021 邱\沁`t 9" 7 89423
2020 霆赍 94 、 9c义\匕\-,勹飞俨 6 92059
0
芦初元`、 \ -72t 、,', 12 87224
7626 南昌理工学院 ,· 98 24 15 82022
r-\ 卖、 26,1'.,六凶 '-'483 102 89 6 18 80203
气尸勺l\,厂\,一尸\,气,畦f-归\r/)仁f喊,、1,-I3-;',",$卢 气::亡-\飞420立: `346~ 46 465 107 83 。 20 78388
\ ; 12021 44 44 490 119 97 11 24 73919
2020 39 41 486 110 91 6 21 77287
\-E ¥ t窑\,“点l际飞L商三呼,产'贸、学心上院 2022 22 22 450 101 92 9 5 95097
7628 飞贮t 2021 20 20 481 109 108 11 15 82022
2020 15 15 478 109 91 。 13 85132
2022 16 16 463 117 76 12 18 80605
7629 齐鲁医药学院 2021 14 14 532 113 120 15 66 39426
2020 14 14 517 109 89 。 52 49174
2022 20 20 451 103 70 。 6 93931
7630 闽南理工学院 2021 23 23 472 113 83 。 6 90400
2020 25 25 468 110 83 9 3 95112
2022 22 22 464 113 74 14 19 79496
7634 谁坊科技学院 2021 22 22 485 102 101 14 19 78405
2020 22 22 483 115 97 17 18 80203
2022 32 11 445 95 76 12 。 夕-”+“尸§.~l`00731
7635 天津天狮学院 2021 21 21 494 115 98 17 .` `'编:\?8: 识I芯',3k'衾二穸戎“飞汛 1 ?)291
2020 30 32 494 115 116 \~ 20 气一_、`\功、 §气`干: `,·、心达卜;'69伈6`85
2022 66 44 445 95,_ ~夕r一咖八劝-尸、}`` - e8 春产o心 ` 100731
7636 海口经济学院 2021 49 27 归奴芯't101 4芯、-0士9` ` °。 O_- L 961l2
99 -勹 _2 ”`\、七 l 97100
天津中一气?玄` `己及饲~-l甘召勹/ :
,65.汴 。 64 36213
7701 54宏I已11:f6' 116 11 76 32574
541 120 91 18 76 31333
8015 吉利学院 \~ I ,\\_;` 多 ?;-~'?\1”,\寸_}曰,1,I:\;':.,;:I`'::.'.“;-飞-'飞I令.-\--尸---:-:少巨` ·\ 5 了 ` r ,t }:3 - 归` - 心 沁 2 初 ~ 2 2 1 2 :,今:, 4 5' 卢 4 5 4 47 5 1 2 1 1 1 0 0 7 8 7 5 9 1 9 4 5 7 9 9 2 1 8 3 5 7 6 9
2020 7 3 469 123 80 12 4 94118
、 心少 2022 18 18 452 116 70 12 7 92856
8043 辽宁传媒学院 2021 27 27 470 116 109 17 4 92392
2020 17 17 465 112 106 8 。 98090
2022 9 9 464 103 75 。 19 79496
8121 河北东方学院 2021 19 19 492 111 111 11 26 72125
2020 10 10 489 111 79 8 24 74425
2022 3 3 453 115 72 14 8 91756
8127 河北工程技术学院 2021 3 3 492 126 110 15 26 72125
2020 2 2 494 111 85 9 29 69685
2022 11 11 458 101 95 14 13 86120
8139 河北环境工程学院 2021 9 9 528 127 104 9 62 42273
2020 9 9 525 124 102 14 60 42716· 74 · 第二章报考统计
I 年份 1 公布 1 I 实际投枯 投扫最低分 投杻岐低分投片最低分
院校代码 院校名称
J 计划 人数 U分语义妏羊外语听力与分牧线矿H i订次
卜 - - -- - - -——-—一—-—二- -
2O22 8 8 507 ] [5 96 8 1 62 37767
8176 I 太脱学院 2021 I 9 I 9 [ 537 [ 121 i l JO [ 14 I 71 I ,"l60IJO
2020 I 17 I 17 I 533 I 116 I 103 I 15 ! 68 I 36818
: 2022 I 1s I 1s I 454 I 101 I 18 I o —巫-9- 一—I —-905 - _57_ --“
l
8177 1 山西卢用杜技学院 2021 I 37 I 37 I 473 I 104 I 87 I 9 勹 !. - -- 7 , _ --,_ I _ - 8942 - 3 ---
i i
2020 37 I 34 465 I 105 I n I 15 o I 9so90
8181 二三尸 —竺堕j_:-』_2^ _1三罔l__I_13_ _I_12- - 15 -[ :5_4 47502 —
2022 I 4 4 489 106 97 1 18 44 53630
8212 鄂尔多斯防用忮木"f院 2021 I 4 I 4 I s 15 I 106 I 1m ! 14 I 49 I 52443
2020 I 4 I 4 I 512 I IO 1 I 107 I 11 47 I 53447
-----,--—- ___
[/言木大寸(甲山才臼2文022 二i 飞3 i 3 I 451 I 121 I 67 I 9 I 6- ^ 939飞]
8216 3 472 108 103 5 1 6 90'100
- +一——-—-—『三 44 467 104 97 ___l/三 96094
山东外国悟职业技术大学(原11凶外 一202一2 _I _1_7 I 17 I _45_2 』I —86 1 105 I o 7 I 92856
___ -- - - - - 1- - - - - -—
8218 i , 国语职业学院) 2021 ! ! 20 I 20 I 471 I 114 I 78 I 17 —7 I ! 5 I 91379
--—- - 2 02O- 厂-2-0 -+_ __ 9 _ 465 _ l-102 - - 89 - - -8 -—-厂——0 98090
2022 I 1s i 1s I 450 I 100 I 100 I 17 ! s I 95097
s226 I 广西城巾职业人学 +
?O21 上丿:0: --+ __lo— 46! -l--109 93 11 I l 95210
8258 I 西 职业 安 旱 信 院 巳 ) 职业大千(原陕西屯了科技 2 2 0 0 2 2 2 0 1 i - - 1 1 5 6 I 4 46 5 7 4 l i 9 1 2 04 I 1 -8 0 0 3 I 2 o 0 ! I ! 1 _ 2 9 _ _ I I _ 9 9 _ 6 o 0 ss 9_ 7 4“ 一
2022 \ 42 \ 42 I 491 i 112 \ 87 \ 9 ! 46 I 5 I 788
8386 嗅龙江1_鼎学院 2021
il
57 I 57 [ 516 \ 117 [ 116 I 1
—
4 [
- -_
5 0
_ _ _
[
_ _
5
^
1 M
___
I
__
41 516二 l0611 ! 51 50004
i
11 I l l I 449 \ 113 I 75 I 6 4 I 96236
-尸__
8389 齐齐哈尔工程炉阮 10 I IO I 468 i ll:1 I 94 I 15 ! 2 I 94296
I - 2 02 - 0 i 一 22 - 一— 22 -— 465 - { L 11 — 2 — 9 - 9 —- 23 丁。 98090
- 26 I 「 26 匕 ! 448 - i I 106 - 9 3 I 2 ! 3 - 97409
/8390 哈尔滨信叮1程学院二/-
r+ _ _ _ L_ _ _ _ -—一4—一尸—————
I 南西埋丁学阮 22002212三 了48 丁勹48厂 勹459二 1I0O34 61 0 厂 一飞 14 —" `8S496了8 一
8542 111 0
2020 | 5270_ ___ 二52 二472 1二09 85勹 l27 - 一飞7 一二9103三4
20221
| {叭T越秀外曰南旱阮 2021 I 30 I 21 : 466 i 111 I so I o I o I 96112
__
8596 I1 2020 29 29 _J__ 4 — 87 103 - 9 — 9 12 - 22 76341
2022 2 1 J__4竺1 99 73 15 1 99663,
浙汀越秀外国语学院(较齿收费— 20 — 21 I — 2 — - 1“ o —-~ I _ |
专业)
-一— 口2002220 I 勹2厂 I I I 488 I 119 I 84 0 I 23 I 75350
f- ---- - + 42 1 458 95 74, 12
联厂
m -.
二、2020-2022年河南省普通高校招生本科二批院校平行志愿批量投档最低分(文科) 75 •
公布 实际投档 投档最低分 投档最低分 投档最低分
院校代码 院校名称 年份
计划 人数 总分 语文 数学 外语听力 与分数线差值 位次
2022 l0 10 501 110 111 12 56 42740
8691 山东青年政治学院 2021 15 15 528 116 89 。 62 42273
2020 10 10 515 107 127 6 50 50859
2022 8 8 449 105 80 。` 4 96236
8720 江西应用科技学院 2021 4 8 471 99 91 9 5 91379
2020 2 4 467 111 102 6 2 96094
2022 11 11 510 111 79 20 65 35431
8730 宿迁学院 2021 8 8 536 128 106 26 70 36701
2020 8 8 523 121 107 。 58 44287
2022 13 13 446 101 85 。 1 99663
8778 山东英才学院 2021 · 12 12 470 99 99 。 4 92392
20加 19 19 467 108 104 。了 2 96094
2022 18 18 514. "`J广”12 94 li尸 翠 69 32268
8857 武汉商学院 2021 12 12氐三 55冗乞E112 114:下1 6', 91 23563
2020 尸编.`:飞虚l丿”9气-C~ 、气勹:`·-$飞5尸户俨,已`尸、 印;~“- 554令 11、9 121 ...14. ;· \ ;. ; i`,它; 89 23278
立022, ` 0J~ ·`. ' 9,亡'-占 466 \06 飞口93L \` ll 21 77310
9061 南宁学院 三千产 `, 孕`;峡琴了皂飞`孚穸士汃沁 沁2I、 l0 上"炉 490 \ Il9 94 。 24 73919
\一气 , $ 3 双辽o 4, 勹\户飞4 } > 486 117 106 14 21 77287
『\“学院畔)航业'`大':学卢('畔,飞归南科,矿,技环职,一业 2O22\ 63 63 448 107 87 18 3 97409
90`飞-,`~\ '2021 40 40 467 129 101 12 1 95210
2020 82 82 466 116 87 5 l 97100
\ } 甘匹t四..v~川,.,,...,飞电~'影汒电视学亡;.院 2022 1 。
9133 \t飞 .- •• ,% 2021 2 2 510 110 108 。 44 56491
2020 2 2 508 120 94 。 43 56870
2022 3 3 517 113 112 17 72 30019
9199 贵州警察学院 2021 3 3 543 124 115 8 77 31926
2020 3 3 536 111 110 14 71 34661
2022 27 28 450 109 65 。 5 95097
9259 陕西服装工程学院 2021 27 27 471 93 129 12 5 91379
2020 20 20 466 111 111 8 1 97100
2022 11 10 450 107 82 12 5 95097
9378 厦门华厦学院 2021 9 9 498 103 106 。 32 66708
2020 8 8 498 116 97 15 33 65884
2022 10 10 451 101 69 。 气:6 三-',-乌,,,~3931
9381 泉州职业技术大学 2021 10 10 471 105 91 14
2020 20 9 465 101 93 名8t-,J`
2022 9 9 452 102:'一 85 -n亡, '`7 `心. , -92貊6
9432 河北科技学院
2021 7 7 三.磁“俨等沁佟、97 93 9心 3::, ,i,飞 \;93316
2022 `一`l0 li\1() '57 5 己 尸\;了 3 97409
23r
9436 河北外国语学院 2021~ 才忑去去i I编}, 473 11, 8- 70 12 7 89423
,-- \ \ ',,, 归 : \, 立...020 飞13牙 ~己13 500、归1'I6 94 。 35 63994
9493
浙广江厦广建设厦建职业设技职术血技学院术)大勹学(原`浙江汽 2芍O22
:: l8 六
'.\,'七L,'-.虚1;8江令'`户
448 100 92 15 3 97409
\ : ,` _ i
' \俨己a\ -- i ,''✓心 2022 10 10 456 102 62 27 11 88323
\'··"
9538 南昌工学院 2021 6 6 470 115 86 18 4 92392
2020 8 2 465 115 77 。 。 98090
2022 5 5 452 106 105 。 7 92856
9539 南昌职业大学
2021 5 7 467 114 93 11 1 95210
2022 8 8 446 110 82 12 1 99663
9540 江西服装学院
'` 2021 7 7 470 102 86 8 4 92392
2022 24 24 450 95 71 。 5 95097
9551 青岛恒星科技学院 2021 25 25 471 110 113 。 5 91379
2020 25 27 466 113 97 17 1 97100
2022 60 60 451 111 45 9 6 93931
9553 山东现代学院 2021 57 57 473 106 106 8 7 89423
2020 32 32 474 110 73 。 9 89051• 76 • 第二章报考统计
公布 实际投档 投档最低分 投档最低分 投档最低分
院校代码 院校名称 年份
计划 人数 总分 语文 数学 外语听力 与分数线差值 位次
2022 31 31 452 110 72 9 7 92856
9554 青岛黄海学院 2021 21 21 473 109 81 12 7 89423
2020 16 16 469 109 90 9 4 94118
2022 9 9 446 105 65 14 1 99663
9592 广东东软学院 2021 8 8 470 121 75 14 4 92392
2020 9 7 465 l09 63 11 。 98090
2022 11 11 459 120 84 8 14 84968
9601 北海艺术设计学院 2021 10 16 476 105 93 14 10 86581
2020 13 13 468 120 74 12 3 95112
2022 22 22 457 109 77 23 12 87224
重庆机电职业技术大学(原重庆机电
9677 2021 13 13 476 114 106 11 10 86581
职业技术学院)
2020 13 13 470 104 77 9 5 93080
2022 10 10 484 9 1 94 l2 , 39 58561
9679 重庆工程学院 2021 10 12古-,二 498厂八o7 132 11 32 66708
2020 尸ll怎 I.1' 489 l ll 115 1 9 1, '- - 24 74425
202 乙3'.32梦沼 2矿氐,艾 446 104 66 8 1 99663
9700 成都东软学院 云} - 心2编邸O~~ 下 诏石i 34. 5O2 111 117 9 36 63254
( 气::/夕舌歹`'.,沿`言
20:3;;
18气' ,吓亏:"七'{_`_二 `\1_8 1, ' 497 110 104 14 32 66799
-·
\西-”-/-占2仁安交\"亡”--\通-J气工}"七,程C,'、亡学,"了丸,夭院妇;了,)江r窗卢t亡 _20立 '30 30 458 116 61 。 13 86120
97c霄 ,\ \ \ r \ `\` -,`2- } /I" a” ," 卜f``,,'烂'咖~•t 飞办21 45 45 478 115 106 12 12 84787
2020 36 36 475 108 92 。 l0 88087
\~ ·· L, 产泉次州今七-信"二,沪息心工沁#`程己六'学`-院 2022 20 20 451 102 80 11 6 93931
9727 $了 ,L 2021 18 18 473 112 98 6 7 89423
2020 15 15 470 119 94 5 5 93080
2022 43 12 445 106 86 6 。 100731
9728 福州外语外贸学院 2021 34 34 480 114 117 30 14 82978
2020 32 32 474 111 87 9 9 89051
9730 福州理工学院 2022 15 12 445 108 81 6 。 100731
2022 15 15 465 97 79 8 20 78388
9828 山西工商学院 2021 21 21 487 117 82 11 21 76616
2020 21 21 483 104 131 11 18 80203
辽宁理工职业大学(原辽宁理工职业
9830 2022 l 1 450 101 75 11 5 95097
学院)
2022 10 9 445 105 64 。 。 l00731
9835 上海立达学院 2021 30 3 466 109 71 11 €0: 烙 苍;`、961 l2
2020 7 1 477 119 101 i,1Cl 12 于吓86190
2021 6 6 482 1 19 1` .87 9 16' 81l32
9840 江西工程学院
2020 8 8 475,"' H02 83 11 10己;,全, r 88087
80
2022 寸编 4沁\人、5心1“· ` }1 01 80 11 ` S 6 93931
-产俨L了-二,口4·:匕:8;编8的,“左心俨全
山东协和学院 矿令”加" .-, ,? 0 800§ 473 110 113 11 7 89423
9844 ,.--,,:.、 -, 勹 ,,?.` ,0 2201 82 47ff ,l,0 7 91 。 5 93080
山东协和学院_I(一较I气高11收r心一;费,`-,-专亚、)__ 以2b22 2 穴;2 S 4, 508 lll 103 11 63 36969
` ,2位l 乏土 1俨 1 527 123 114 11 61 43003
七: 飞 `一一 , 亡俨 _ _, 芞,§ '2位2 30 30 451 99 76 。 6 93931
984S 山东华宇工学\-脱-S ` t ,', 节; 2021 50 16 466 102 103 9 。 96112
2020 10 7 486 106 97 。 21 77287
2022 4 4 450 102 66 12 5 95097
9848 湖南应用技术学院 2021 4 4 494 106 92 8 28 70291
2020 4 4 492 117 111 9 27 71597
2022 28 21 445 102 98 14 。 100731
9851 广东理工学院 2021 26 26 470 108 78 11 4 92392
2020 31 31 467 117 79 5 2 96094
2022 30 30 451 102 87 。 6 93931
9852 广东科技学院 2021 30 30 469 123 115 11 3 93316
2020 30 23 466 108 77 5 1 97100二、2020-2022 年河南省普通高校招生本科二批院校平行志愿批量投档最低分(文科) . 77.
公布 实际投档 投档最低分 投启最低分 投档最低分
院校代码 院校名称 年份
ii划 人数 氐分 语文 数学 外语听力 与分数线差值 位次
2022 5 3 447 123 88 8 2 98565
9853 广州工商学阮 2021 7 2 470 97 109 。 4 92392
2020 4 I 474 118 80 29 9 89051
2022 43 43 449 114 77 6 4 96236
9858 广西外国语学院 2021 46 35 466 106 90 。 。 96112
2020 30 21 483 109 101 8 18 80203
2022 10 10 462 99 81 11 17 81692
9860 四川工业科技学院 2021 8 8 481 115 109 11 15 82022
2020 10 10 478 105 71 12 13 85132
2022 21 21 452 121 60 5 7 92856
9862 云南经济管理学院 2021 17 17 475 101 109 8 9 87514
2020 3 3 473 108 110 11 8 90033
2022 25 25 4辜49.L.即 14;了\ 9 4 96236
9866 西安汽车职业大学(原西安汽车科技 2021 5 5 99\ 爷::>;; 15 '" 5 91379
职业学院)
2020 34 24 78 。 。 98090
2022 15 15. • 452 110 88 “一。 7 92856
9868 银川能源学院
2021 l7 17,, 470 111 95 12 4 92392
t
2022 35 i \ \\.35 '. \ \ 452 107 74 12 7 92856
职新疆业天术山职学业院技术大学(原新疆天山
9870 ,技) 2021 17 17 477 109 90 。 11 85681
', ,\飞lI'', .'\''- \ 2020 16 16 466 114 60 。 l 97100
了\',上 2022 6 6 526 118 79 9 81 24075
992;\`:\ 如,南汽-京\'`艺,,飞术学院 2021 8 8 556 118 102 11 90 24136
飞\飞' \ \' ,\C, \
2020 6 6 553 121 110 8 88 23819
口口- 丛,%一 2022 16 16 492 110 94 21 47 50820
9938 广西艺术学院 2021 14 14 516 119 93 。 50 51641
2020 7 7 512 116 86 24 47 53447
2022 3 3 519 117 81 9 74 28595
9940 四川美术学院 2021 3 3 492 98 94 9 26 72125
2020 3 3 560 133 107 8 95 19958
2022 3 3 504 111 92 5 59 40236
云南艺术学院
9945 2021 1 1 538 121 102 11 72 35289
乙南艺术学院(单列专业) 2022 5 5 , 473 108 73 11 28 69846
2021 6 6 526 121 121 14 60 43777
9948 西安美术学院
2020 6 6 528 113 102 24
_ -63 昙
2022 5 5 485 118 85 9 40
9951 新疆艺术学院 2021 6 6 513 114 120 。 47
2020 5 5 霆 • 9 46, 5,426冒7
2022 9 9 l2 40 订“\\IS77,598
9956 内蒙古艺术学院 2021 10 I 10 0'-,',' '俨,, \ !,'46 54859
2020 6 \俨 6 509 119 \ ll9 \ 8 44 55983
2022 3 3 499 122 65 。 54 44536
9958 安徽艺术学院 I
\\',. , .- .片\;. \ 2021 3 t 3 517 121 117 。 51 50796
,\i\ :, \, ,, 编 ' ` i\ \ '\
\· 78 • 第二章报考统计
三、2020—2022 年河南省普通高校招生高职高专批院校
平行志愿批量投档最低分(文科)
公布 !实际投档1~ 投档最低分 _ 投档最低分 投档最低分
阮校代码 院校名称 年份
计划 人数 匕m 订语文数学外语听力 勹分数线差伯 位次
2021 20 } 20 472 102 103 9 272 90400
1740 延边大学 2020 22 1--22 470 108 108 。 290 93080
1765 哈尔滨医科大学 4020 11 二 472 111 94 12 ,_^ ^ 292 91034
2021 4 4 510 122 108 6 310 56491
22j5 中国民航大学
2020 4 4 507 113 118 12 327 57786
2021 20 20 476 116 97 2 276 86581
2310 南方医科大学
2020 20 20 483 103 92 9 303 80203
2022 7 7 455 100 104 12 265 89426
2375 东北右油大学 2021 11 11 466 106 100 。 266 96112
2020 11 11 462 125 81 14 282 lOll22
2O22 -l7 17 94 95 I'> 18 275 78388
2405 天津师范大学 2,02.1心 -.`.己.l ." 0.气”`? 亡今 尸 10 ^^ ~ 472 1:16 91 8 272 90400
-2020 13 13 479 仁i,i -1 11 2 71 12 299 84136
2021 ---27: 27 466 23 122 。 266 96112
2800 、叩一-一咖1``酰飞.吐.一咖`咖\~、 关_~ `~系..编~ 五 , 2O己编2O 20 20 464 I 122 63 14 284 99115
i \
;1, 2022 11 11 443 I 99 65 18 253 103008
5\ \\\ . -
303 中国 学院 2021 II 11 468 92 118 。 268 94296
2020 6 6 466 110 82 。 286 97100
2022 15 15 452 96 83 12 262 92856
3140 北京宵什政治学院 2021 12 12 473 110 83 6 273 89423
2020 7 7 483 122 72 12 303 80203
2022 4 4 463 l 13 90 8 273 80605
3260 张家口学院 2021 4 4 477 103 110 18 277 85681
2020 4 4 47.l 125 80 12 293 90033
2022 38 38 110 70 1 1 一十:|- 259 96236
3310 华北理工大学 2021 35 35 一^ 102 96 8 267 95210
2020 26 26 466 112 107 6 ' 286 97100
2022 4 4 410 105 67 11 220 141459
3585 鞍山师范学院 2021 4 4 446 120 89 9 246 114404
2020 4 4 419 103 83 17 239 144844
2022 12 12 432 96 73 6 242 115660
3615 辽东学院 2021 25 25 433 109 98 11 233 126501
2020 21 21 412 115 87 8 232 152087
2022 2 2 437 108 84 12 247 109822
3620 北华大学 2021 ~ 3 I 3 412 110 68 ,一一。 212 146199
,,, ,·-24 022 114 80 6 259 96236
尸`气『1 三183厂!切飞
长春大学 2021 i, 1387 429 117 93 11 I 263 98832
3625 厂 s' s i ' 2020 ~ 112 77 11 249 134657
长春大学(较高收货 俨 专业 m ) m俨 `已夕 -2022 3 3 437 106 89 。 247 109822
2021 13 ] 3 432 110 107 12 232 127458
2021 39 39 465 Ill 91 。 265 97046
3630 长春工业大学
2020 34 34 461 114 112 8 281 102138
2021 ]] 11 452 101 92 12 252 108809
3645 长春上程学院
2020 8 8 451 113 97 。 271 112345
2021 10 10 466 115 94 () 266 96112
3665 长春中医药大学
2 2 0 0 2 2 0 2 1 5 6 156 I1I 444790 千 I I 1 - 910 4 8 83 0 1 8 1 t- - 2 2 — 9 5 0 9 - - 9 9 3 6 0 2 8 3 0 6
3670 白城师范学院 2021 20 20 461 100 105 8 261 100660
2020 14 14 459 I 106 59 12 il 279 104203
3675 长春师范大学 2 2 0 0 2 2 1 0 2 1 4 4 ,- 2 ·1 4 4 一 一 4 46 6 8 8 1 1 0 0 4 7 1 10 0 1 8 1 8 4 I 2 2 6 8 8 8 9 9 4 5 2 1 9 1 6 2三、2(以仁-加22年河南省普通高校招生高职高专批院校平行志愿批量投档录低分(文科) . 79 ·
院校代/i吵I 公f-jd”J
院校名称 句份 计戈
-
2021 E
3680 古林丁程技木师范学院 _
2020 8
-
3775 I 古林农业和技学院 曰 石 3 1
2020
t
2022
9
4325 I il西肛冲高穷片科学校 2021 -
2020 8
-
2022
7
4445 I 菏泽学院 2021 -
2020 2
0
4920 厂西科技大学 2020 -
4925 杜林电子科技大乍 2020 342 l7
2022 106 8
4 _
4930 I 桂枯理丁大学 202\ 208 。
4965 广西民族大学 2 2 0 0 2 2 0 0 3 1 - 1 9 0 3 3 1 0 3 , , I \ 4 4 4 5 5 3 I \ 1 1 0 0 8 飞 I 6 9 1 9 I I I — 9 l — | - 仁 2 27 6 `J 3 5 \, | I! i 1 J 1 1 8 0 3 2 6 9 0 2
I (每南热带海洋学院 2022 45 45 J / 415 1103 I 66 I ll I 225 ! 135408
sooo I 2021 46 46 422 l 99 』 89 9; -I -- :2:2~2- -勹 13673l
2020 51 ~ 5 ` l ” 1 ` 42O ` 丁 l13 1 ` ` 37 “' i 8 + 240_ __ I ! . 一,., 1:"4.:3.'8.~1;2
2022 3 :453 / l IO:O .87:5 8 263 ! ; 9l 一 756
三/二/ ://-勹二三/
5005 向南匡学院
5105 四川轻化工入于(肝四,II理二等笳) I 20211 I 6 I 6 I 462 [ 89 I 106 I l l | 282 I lOl l22
2022 9 9 气/竖 I so I o i 251 i 98565
5235 工;南农业大学 言 19O19()三+``
~;{::r---- :/-尸
5415
5595
tt.ltJt~-t~(J~AJ~
5705 /_勹H-.=-fLt)
5710
5999 ,郑小II亚欧交通职业f'院
6003 郑州四业斯学院
}II昌于阮(较高收货专业)
202
6042 许昌了阮(中外产作办}:) 『三网 _一"- - .-
I 1
2020 『 85 8
归如1,经济因;L// 二/:
6045
河南牧业经济学阮(异地校区)
. -. - - -
6047 叫南牧"II'纾济}阮(中外合仵办学)
,1, i -
2· 80 • 第二章报考统计
院校代码 院校名称 年份 1 公计布划 1实际人投数档1 总分1语 文投数档1 最学低外:语听力与1分投数档线最低差分值1投档位最次低分
2022 I 590 12 1 188409
6048 I 河南牧业经济学院(软件类) 2021 I 430 勹
0-6-6-8-6 -8
207734
2020 I 450 闾 12 211372
2021 I 40
-27-
98832
6oso I 安阳师范学院
2020 I 50
『67
112345
2022 I 70 23 128366
6os2 I 安阳师范学院(中外合作办学) 2021 I 150 1
41238912075992138
5
481780067492901481329714901214140263791944g6 231210458315004406181143269
1
03
4
9
6
14
1
171
9
11
9
194 610170044311005318198164915008041151470481401114 220041254-14112
2020 I 150 5 2 11 I 176296
2022 I 360 0 8 2 -寸— 288237 l
6053 I 安阳师范学院(软件类) 2021 I 360 1 2 2 294717
2020 I 360 5 5 0 347337
6 9
2022 I 300 0 129540
1 8
6057 I 商丘师范学院(中外合作办学) 2021 I 220 3 8 9 122730
2020 I 220 150098
6 1 3
阁 95210
6060 周口师范学院 震 01 T r;1 皿 5;; 玉4 101122
6065
尸 \ -心 \ 一 1 , 匕
信
正三 一
阳
沪 厂 如·
师
己厂一一 , ~ 了
范
' 孕 , . 仁 ~ ' ,/ r
学
\ ,人 I ~ \ 腕 \ '
院\
\` 归
3 6
0 3
8
0
1
7 6
7
6 9 7
7 7
1
0 7
~ 0 2
3
0 2
2
4
5 -
1
1
9
9
1
0 1
4
2
3 3
2
1
1
7
9
4
6
9
6
3
8
607/J; \ 28 81 32 , 146967
南阳师范学院(较高收费专业) 2021 30 20 70 76 129277
6075 南阳理工学院 2022 50 3 - 9 1 4 28 168250
6103
河解放南中理路工)大学(办学就读地在焦作市 尸20而21 1
12
4
5
0 0
01
8
5
1
0
3
4
2
8
1
1
0
0
3
6
4
2
4
1
6
4
22 82 20 118982
河南工业大学 归 20 4 6 6- 143812
6105 1-------—- 芒0 二 5 72 133879
河南工业大学(较商收费专业) 2 | 7 厂 7
22 152087
6 1
6106 河南工业大学(与河南辅读中等职业 I 2020 250 269 77 I 4 8 9 9 922 296665
学校联办) 0 05 3 6 3 --·-1~
2022 I 55 - i 55 4 I 421 I 9s I 6 9 5 I 12 I 2371
6125
平顶山学院 2
2
0
0
2
2
1
0
I
I
5
5
5
8
I
I
5
5
5
8 4
I
I
4
45
1
1
7 I
I
1
1
0
15
4 I
I 1
68
30
2
3
I
I
o
8 I
I 2
27
12
31
7 I
I ---1
1
1
4
2
1
3
4
4
41
5
平顶山学院(护理专业) 2020 I 120 I 1200 I 414 I 100 I 6
9
1 4 I 6 I _-. _2034
.._ ·L
150098
2022 820 8235 308 88 476 0 1118 263856
6130 黄河科技学院 2021 610 610 314 89 347 12 1194 242438
0
2020 815 842 305 78 63 9 1825 266264
2O22 520 3757 190 70 38 1.l; 20 326041
6132 黄河科技学院(中外合作办学) 竺l\.一--泛I4LO的~~ I 3"0' 0 "5 _` I 2"0"0"气 一 1 I "3~". I屯,,·..., ,I, I ; ., 一\ 0 一 L ” 05 304110
乒 卞一 罕 '-f-t 之 令1i, ` 加- 2O 勹灼气 \; ->-·4 -矗- 3于-_- 0卞、-i 349 180 52 3014 80 347337
--飞; 3
,口,一-翋士、 2 I 218..,. I 21s I 437 I 101 I 45 I 15 I 2427 I 109822
6135 安阳工学院勹 社2.021. 云:.运 320s I 438 I 96 I 45 I o I 2378 I 12182s
; \ 1 ,_ 七忑"心r1'·2020 I 431 I 4351 I 422 I 99 I 78 I o I 2472 I 141785
6145 信阳农林学院 2020 I 20 I 20 I 418 I 106 I 59 I 11 I 2328 I 145887
0
2022 I 115 I 115 I 427 I 99 I 58 I o I 2347 I 121335
6150 黄淮学院 2021 I 130 I 1310 I 417 I 123 I 84 I s I 2111 I 141441
2020 I 200 I 2040 I 397 I 103 I 71 I 8 I 21 2 7 I 167851
2022 I 90 I 90 I 333 I 88 I 45 I 5 I 14 4 3 I 237232
6153 黄准学院(中外合作办学) 2021 I 90 I 90 0 I 319 I 101 I 67 I 6 I 11 0 9 I 237976
2
20
0
2
2
1
0 I
I 6
1
6
0
5
0 ` I
I
` ``
6
JO
6
1
2
O
5
` I
I 4
3
4
1
1
5
I
I 8
9
8
5 I
I
1
6
0
8
6
I
I
1
6
4 -l
;
- ---
2
1
4
2 2 3
3
5 Ii i 2
1
5
1
5
7
9
1
9
06
0
6155 河南工程学院 5
2 2O 02 2 2 0 I 8 8 8 0 5 i 1 —8 s 竺 o 5 尸 l 习 386 一 I 1 8 0 5 7 I 1 83 0 I · 1 3 4 -l I -- 2 — 1 7 2 9 1 - 6 —一- I ! I 1 l 1 2 0 3 1 4 1 5 2 l
6157 河南工程学院(中外合仵办学) 2O21 7700,厂 而70 1 一五3769 - 106 80 0 厂飞1 3 2 76厂 丁 1 飞181芯478
2O20 5 l05 81 1I
0
6
2
0.
三、2020-2022年河南省普通高校招生高职高专批院校平行志愿批量投档最低分(文科) 81 ·
三
v 最 4- 低分 早竺氏夕 f二 投 分
院校代砃 院校名称 一 数 学 外 晌 力 芩值 ',',',',',,',',',',
7596
1 2
6158 河南工程学院(软件类) 尸 1 3
芒 80 80 17 2566
河南工程学院(软件类,单列专业) g 100-200-3259-66-3200-04-9352-54-7603-02-7409-56-1407-02-52 70 1 1 4 。2
6160 洛阳理工学院 - 15 9 5 3 6 279-257-260-276-251-264
1414_8-14
6165 新乡学院 g 尸
-
6170 郑州师范学院 g
- 610 I 465 I 1o o I 99 I 9 I 285
6172 郑州师范学院(中外合作办学) g 30
- 242 6175 郑J11_「业应用技术学院 79责
g
-
a
-
g
~_~
I 127544
304110
104203
98565
101621
107245
105250
97930
三 98090
25 I 465 I I 05 I 79
~ ~飞·上
8
`飞 ?
心J`”
~
芦~一 占 六-眨
_ ~
,
_ _
265 97046
30 I 457 I 110 I 82 :~_ l5` 277 106214
霆 2 7 必 矿 /、~+: / ~ 2 35 9 ( 4 ) I I咖 s 94 s ~ I I 3 35 o I 丿 < r 俨 l 9 2 贷 '- , ?) 气 , ~ -飞矗- 总 ~- 沁I~ 芷 ~.~ ;了 1 1 0 50 4 2 2 0 7 7 64 7 7 3 7 4
12 3 4 ' 14-12-o_17 沁 1330 ·I 20 卢 4 I 20.I 25: 2 1 4 89-200-153 3 - 3 1 9 2 9 3 2 - 5 6 8-52-79-169-134-143-169-150-122-106
217 2 179514
6180 I 郑州科技学院 2021 173 1 157726
一'\- ·`-~ , ` 一\ 2言020,I· 1055 _ 7 237013
叩I' 、\|\ I 1河 \ \ L - 了, ' 南 - \ -\ \ \ 轻\ , 丁 - 、 , `职 ' 业 ` 学院` 2022 1444 卿- 。 258966
17-14_0l9-11-14
2021 1334 _ 1 勹 277796
仁归六\夕i'归仁~ 202 `“ 0 1660 7 326034
6185. I 郑,川财经学院 2020 i 1542
詈3
307090
2022 1200 詈 205212
6186 河南信息统计职业学院 2 2 0 0 2 2 1 0 1 1 1 3 9 8 4 0 詈 』 _ `` I- - 2 24 2 - 7 3 6 7 — 0 6 3 7
詈 8
2022 387 205212
6188 河南林业职业学院 2021 274 2 14 207734
:2 2 0 0 2 2 0 2 1 I 7 8 4 0 4 0 I 1 7 80 4 7 4 0 4 I 1 2 3 9 0 6 2 I 1 9 7 3 4 I 1 2 6 7 4 1 9 4 2 2 6 7 9 4 1 7 6 5 6 2
6191 I 河南工业和信息化职业学院 903 50 287643
勹
习南水利与环境职业学院 991 26 339081
1275 164 211551
1122 334 I 85 I 59 I O I 134 I 223767
/厂/ 9 立L \皿 270152
1472
6192 I 河南水利与环境职业学院(较的收费 ~=20~222~』」旦 114 255 74 40 亡`,14 ` -t 65 3()3277
霆) 1 2 w () 2 2 0 l I 1 8 1 8 8 2 73 7 2 2 0 1 0 0 』 I I 0 7( 1 ) I 1 3 25 4 I '•, ? 广 l 、 9 2 口 ' ' " 、 " I. O 30 ) I 3 30 3 4 7 1 3 7 l( 4 )
河南水利勺环境职寸门学院(单列专三业) 2022 171 午片八1` 36“~ 1,9尸1 .I .61 I 25 I 8 · "I ''·• 1 I 325829
878 192 I 68 I 21i. I 1s I 2 I 325611
郑州升达经贸管理学院 761 314 I 79 I 42 I 18 I 114 I 242438
`
6195 一 1 1 0 9 8 7 1 :272 1 86 1 33 14 9 2 2 -6-51-21 2 3 6 9 2 - 6 5 2 6 6 1 6 1 3 5 1 - 123-50
郑州升达 昙
专业) 170 206 I 75 8 302908
50 二 326617
IITI
80 146124
厂 商斤飞 勹 80 1 ” 4 - 52U 44-
-丘 勹:/弓
倘开 , i, 1336 268234
在 60 二 310704
g
5 应用科技学脱办 2, t-'j 地 占
\ 29 48 288640
H
芒三
831 306197157 [ 126 265265
二 165 。 326041
l 归
6205 I 商丘工学院 150 303931
一 码 6
650 29 337792· 82 · 第二章报考统计
公布 实际投档 投档最低分 投档最低分 投档最低分
院校代码 院校名称 年份
计划 人数 总分 语文 数学 外语听力 与分数线差值 位次
2022 191 191 414 104 70 8 224 136619
郑州电力高等专科学校 2021 200 200 402 100 91 5 202 155754
2020 135 135 403 109 90 11 223 161586
6213
2022 93 93 387 110 51 14 197 169538
郑州电力高等专科学校(较高收费
2021 66 66 I 403 92 107 11 203 154810
专业)
2020 50 50 i 416 1 103 62 15 236 148017
2021 300 300 丁''450 [i' 108 100 29 250 110592
6214 河南工学院
2020 360 360 100 81 14 I 265 \18360
6215 河南财政金融学院 2020 839 839 459 109 90 17 279 104203
2022 375 375 376 84 70 。 186 183359
6216 河南财政金融学院(中外合作办学) 2021 480 480 361 110 60 11 161 196657
2020 946 946 341 90 44 14 161 228530
2022 80 80 421 97 97 12 231 128366
6218 河南财政金融学院(软件类)
2021 230 230 395 98 74 ]I 195 162625
2022 150 150 431 ll7 71 20 241 116853
6221 河南财经政法大学(CJ爱尔兰合办) 2O2l, 400 400 441 111 9 5 ~:七。: 241 118982
2O~ 2~O ~~二: 275 275 446 115 111 9 266 117304
2O22 .1 6 ` l 6 301 78 30 8 Ill 270308
了\比\,黄已'-卢一河心\/_交一-,一通;学厂夕~飞院
6226
: .'\ '\\ ·_- • '\
, 22'0Q俨-
.
2 210 、 2
4
2
5 2
2
9
2 2
1
7
8
1
0 7
8
3
7 4
8
1
1
8
1
7
。
l
3
2
4
7
7
5
3
9
3
7
7
3
.'l.,,.·•..
2022 825 825 431 100 86 12 241 116853
郑州幼儿师范高等专科学校 2021 818 818 442 111 68 5 242 118040
2020 1180 1180 431 120 97 15 251 132665
6231
2022 245 245 390 100 71 8 200 165716
郑州幼儿师范高等专科学校(较高收
2021 190 190 403 111 83 。 203 154810
费专业)
2020 190 190 373 108 71 12 193 193652
2022 1029 1029 345 95 37 。 155 222771
6232 驻马店幼儿师范高等专科学校 2021 1242 1260 305 85 50 6 105 250321
2020 955 955 296 89 26 。 116 274994
2022 1234 1234 410 105 77 14 220 141459
安阳幼儿师范高等专利沪校 2021 875 875 425 103 81 11 225 133879
6233
2020 977 993 410 101 90 14 230 154177
安阳幼儿师范高等专科许校(单列专业) 2022 140 140 336 93 40 11 146 233659
2022 352 352 442 103 81 。 252 104144
焦作师范高等专科学校 2021 522 522 454 118 94 9 254 107024
2020 882 894 445 105 64 3 265 118360
6235
2022 50 50 365 94 56 。 175 197614
焦作师范高等专科学校(单列专业) 2021 60 60 339 97 54 9 139 218794
2020 50 50 34飞 95 , 35 0,' 163 226396
6236 淉 办学 河 ) 医学高等专什广校(中外合作 2 2 0 位 21 0 ~' ~,贮~~ 俨~亡~~ \. ~,尸` ,” ~,' -~~~ ~ 1~ 5 ~ 9 ( 0 ) 1 5 9 0 0 一·,:I 2 4 9 0 3 6 “一 1 9 0 9 7 -` 3 67 5 , 1 1 2 4 2 9 2 3 6 2 1 6 5 0 8 2 4 3 4 1 1
2022 1161~~ ~ 七 !l6! 4()() 97 66 8 210 153482
6237 淉河医学高等专和与校 2021 1 1870 1870 丿I 36614 102 80 12 尸_厂193591
• ··2020 2050 2050 81 54 11 181 206979
2022 1660 1660 383 90 75 II 193 174502
6238 商斤医学高等专科学校 2021 1716 1716 348 99 44 8 148 209758
2020 1445 1445 337 109 40 。 157 232767
2022 438 438 414 98 53 。 224 136619
南阳医学高等专科学校 2021 1087 1087 393 99 61 26 193 164630
6239
2020 1133 1135 389 109 79 II 209 176296
南阳医学高等专科子校(中列专业) 2022 100 100 40s I 110 89 8 147350
2022 1149 I 149 i59 ! 92 48 9 卜”“~ 205212
6243 濮阳医学高等专和孚校 2021 590 590 335 i 114 52 14 135 222791
2020 800 800 319 95 47 9 139 251853
尸~
2022 120 120 367 85 63 9 177 194991
6249 郑州工程技术学院(软件主) 2021 120 五o 勹 356 105 37 9 156 201669
2020 120 120 340 99 64 11 160 229594.
三、2020-2022年河南省普通高校招生高职高专批院校平行志愿批量投档最低分(文科) 83 ·
厂
黜名称 I, (刀 'i l 公 .十 布 划 实 1 际 人 投 数 档 I 总分 1 五义 投片 1 最 数 低 f二 分 1 外语听力 1与 投 分 档 数 最 线 低 差 分 仇 投杆 伈 最 次 低分
I
一_ 硉 产 7 3 222 l 38987
州 0-11-11-11-14
一程, r ;;~ 技术 勾 234 12节44
264 119398
一 立三0
76 296917
6251 I 郑州工程技本学院(中外合作办学) 一 ` 106 249455
气 - 85 302342
勹
。 234 124827
6252 开封大学 玉 g 42944113190513096711-03017878Il2o2815909 2 29588566448215299-5043111-06333196200215499724289 6 6172 05 1 1 3 9 0 7 19 1 4 9 799106222210210239
1 3
气 6 8 122516
云` 8 _0 159626
1
6253 什封大学(软件类) 芦 1 9 2 巧 i 1 1 8 6 9 0 3 6 0 97 7
4
囥 8 , 280646
6255 开且入学(中外合作办学) `2 0 , l 284255
霆 1
3 7 1.l8987
6256 焦作大学 沁 1 0 1 148109
卿 勹 直 3 4 . 175268
6 1 119088
6258 黄河水利职业技术学院 2 二 021 · I. -1850 18 0 750 勹 417-11-23-23_260-00--292 7-135 1 -1 5 2 7 4 7 - 2 7 6 3 -229-209-241-137-117-221-165
9 1尸 :Kf职业妇钰(中 1、气厂二 1175 11 15 75 1 2 157407
90 9 4 0 0 246476
6 1 55 505 2飞飞380
,
~ -2-0-2()厂150
1150 311744
2022 11289 12189 13^0 ^ 6^^ 88
河南职业技术学院 2021 1462 14 0 62 409 ~ 149040
6261 2020 1307 1307 421 ! l08 7 J 11 142768
5 7 口 46-45
2022 80 80 。 244191
河南职业技术学院(较高收费专业) 8117-212-818g-34-80-175-757-719-790
2021 117 12 239765
6
2022 212 9 140180
监
河南工业职业技术学院 2021 818 12 192572
2020 1865 325 I 100 I 55 I 17 I 145 245461
6262
2022 34 326 I 88 I 53 I 15 I 136 245366
I 河 飞业 南 ) 工业职业技术学院(较高收费 ! 2 2 0 0 2 2 1 0 i 1 1 8 7 0 5 2 3 5 0 8 6 ! 8 9 7 1 I ! 4 l8 2 I 9 o I 1 7 0 8 6 叶 3 2 0 4 7 9 9 4 0 5 1 5
二 757
;河南司法警官职业学院 卫气三 396 I 85 I s3 I o I I JQ,§ 158380
6263 37s ! 96 I 77 心豆\
`
飞
-}c,
4?5 182464
/____ -三 790 355 9 . 9 , , · - 40 ~ · 1 云 卢 气 :丫、 m l 二 ~ 中 宝 ·、: 阎叮75 213600
:`厂技术学院(软件类,较配收 1 2020 厂;; 1 ta:46 ' ' ' ,. .,父心s, 4乙\
6264 忑~} 1 97 82 1 . 5 r, \、\ f 223277
昙 1113 42O lQ4 84 i 8 I 230 129540
6265 郑州铁路职业技术学院 1078 425、 ,\94 I 98 I 11 I 22s 133879
、
9 942 425 I 105 I 61 I 12 I 245 138749
\ \ \\\ 181-155-176-5
芦4 2329 371 I 96 I 59 21 189738
/
河南应用技术职业学院 2 1783 355 I 95 I 71 12 202693
6266 飞1.Y,i尸,,1心/,`飞 `'·-J I 2020 1785 面厂 98 ! 73 12 212486
冈声呴厅技术 \ 职 , ,己C 业 八·.' 学 ,. 院(较心收费 i 2022 160 106 _195丁_五 1l 30 324979
9 16_9-9-0-o 3
专业) 2021 72 203 ! 88 I -1-8 303545
2022 1222 l222 1 420 i 101 61 230 129540
6267 河南怜察职业学院 2021 708 708 409 i 115 ! 65 209 149040
尸二 2181056635163132121
三
艺
勹
6268 I 河南质量工程职业学院 16
二 0-8-8-12
艺
6269 I 河南建筑职业技术学院 一· 84 • 第二章报考统计
公布 实际投档 投档最低分 投档最低分 投档最低分
院校代码 院校名称 年份
计划 人数 总分 语文 数学 外语听力 与分数线差值 位次
2022 1055 1060 379 94 80 17 189 179514
郑州信息科技职业学院 2021 1139 1139 365 106 59 11 165 192572
2020 1165 1178 352 82 75 。 172 216939
6270
2022 16 16 251 84 25 。 61 305420
郑州信息科技职业丰院(较高收费
2021 6 6 303 91 39 。 103 252069
专业)
2020 15 15 288 89 40 。 108 282382
2022 1282 1282 323 94 37 9 133 248623
平顶山工业职业技木学阮 2021 1015 1040 277 91 26 17 77 271974
2020 1336 1952 230 79 30 6 50 327216
6271
2022 30 36 214 75 10 5 24 320163
平顶山下业职业技术学院(较高收费
2021 15 6 219 73 29 15 19 299586
专业)
2020 15 9 187 80 15 14 7 345483
2022 760 791 332 88 37 。 142 238394
濮阳职业技术学院 2021 1301 1333 286 1 99 47 9 86 265509
6272
2020 1615 2154 244 84 30 11 ,心 64 318230
濮阳职业技术学阮(较的收贷专业) 2920 30” 8 196 80.; , 26 产产 r i~俨4~ 16 342748
2O22_ 320 320 99 44 14 175 197614
飞鹤_.一壁!一i_.职_..-业.技,`\术.学院 2021 356 391 337 96 19 24 137 220807
2O20土 1230 1329 292 81 59 17 112 278796
6273 0: 憤, \,I.`\ }鹤 一·__.壁.:I\职.三.业一.一'_,·技.一,.术,学院(较·舌回J收费,女二业、) 2O22 65 65 I 21s 83 20 12 28 318986
2021 70 70 203 81 13 11. 3 303545
2020 50 1 213 72 20 8 33 336011
鹤壁职业技术学院(单列专业) 2020 480 480 211 68 30 14 31 336931
2022 884 898 337 101 44 9 147 232452
6275 三门峡职业技术学院 2021 1473 1490 295 99 28 8 95 258633
2020 1865 2050 247 83 30 8 67 316137
2022 1100 llOO 389 99 85 14 199 166977
6276 许昌职业技术学院 2021 1685 1689 罚6 I 95 54 17 136 221808
2020 2200 2347 299 83 45 。 119 272124
2022 1649 1649 321 99 58 18 131 250730
6277 漂河职业技术学阮 2021 1820 1886 282 92 48 6 82 268451
2020 1620 1983 239 75 36 12 59 321518
2022 1051 1055 369 82 52 6 179 192336
商丘职业技术学院 2021 800 800 379 Ill 66 12 179 .夕~178501
6278 2020 1500 1500 352 90 70 9 17~2 ~ , `' : < ~俨~ 216939
2022 60 60 246 85 15 14 5、勺6 307941
商斤职业技术学院(较高收费专业) 2021 60 55 202 77 20 12 2 303749
2020 70 21 181 ,. 68 20 8 1, § 347059
2022 1,1~-9汰5 c 1195 349 100 63 ',12,.它 -` _勺L 、、159二 217891
周口职业技术学院 2021 866 872 332 88 \ 45 .1'17 132 225724
6279 2O20 12to l446 276 88 53 14 96 293302
周归口肌虹也占壑汪亡(叩忱业) ',: ~~ 2"~ 022 ,“5-00 尸夕 I< 114 I 190 75 20 8 。 326041
°
2022 79 51 9 130 251735
6835-50 -Ii 3262 80
6280 2O21 825 88 38 18 68 277796
2020 1195 1525 180 44 26 8 。 347337
~ ~ 2022 2278 2278 430 108 84 。 240 117990
河南纾贸职业学院 2021 2027 2027 432 103 76 5 232 127458
6281
2020 2707 2707 414 115 75 15 234 150098
河南经贸职业学院(单列专业) 2022 100 100 271 65 54 。 81 293664
2022 809 809 392 98 72 。 202 163301
河南农业职业学院 2021 589 589 377 105 81 12 I 177 180490
6282 2020 1168 1192 338 85 47 6 158 231723
河南农业职业学阮(单列女业) 2022 50 50 179 71 35 9 -II 327981
河南农业职业学阮(异地校IX) 2021 100 47 180 72 15 18 -20 307062.
三、2020-2022年河南省普通高校招生高职高专批院校平行志愿批量投档最低分(文科) 85 ·
I
院校代码 院校名称 釬f八JJ 公布实际投档 投档最低分 投档最低分 投档最低分
计划 人数 总分语文数学外语听力与分数线差值 位次
— - - -
“F 2022 1322 1322 387 101 54 9 197 169538
6283 河南交通职业技术学院 2021 1365 1365 353 99 68 14 153 204689
2020 1270 1270 337 98 47 9 157 232767
河南交通职业技术学院(单列专业) 2022 90 83 190 49 39 9 0 326041
2022 1264 1264 338 99 61 0 148 231258
6284 郑州旅游职业学院 2021 978 978 327 103 48 17 127 230524
2020 1872 1920 286 88 32 6 106 2842S5
2022 1066 1066 402 106 73 0 212 150967
6285 郑州职业技术学院 2021 1229 1229 386 100 77 0 186 171586
2020 2102 2102 357 97 81 12 177 211372
郑州职业技术学院(较高收费专曲) 2022 20 20 221 64 49 慧6 31 317995
2022 430 430 337 93 44 147 I 2324s2
6286 郑州]\Iv.安全职业学院 2021 s28 528 305 s7 48 105 I 2sm21
2020 500 28~ 100 i 49 109 281525
2022 58靠 29071 53 l7卢?产 100 279816
永城职业学院 2O21 682 781 231 57 48 6 31 295822
Sf
2020,' 495 418 181', 30 12 I 347059
6287 飞,.\ . 2022, 9 4 ·.. 210 82 10 14 20 321356
永城职业学院(较高收费专业) 2021 • 9 2 224 92 31 8 24 298146
I 1,尸; \ i \ f\: :了 ,.~- .飞\ \ 、 ,,- i: . · .- 飞: - }/-,'I广i ` _\ 争, _ t, 心 \2' 020 10 8 220 90 32 II 40 332687
,
\,` /J俨'\ \ 2022 2203 2203 381 105 53 9 191 176992
6288 信阳职业技束学院0 i 2021 2128 2128 380 109 67 i 17 180 』I 177476
2020 2004 2017 350 l07 75 14 170 I 219081
2022 1718 1124 337 ii4 29 9 147 I 232452
刚南丁\lk贸易职业学院 I 2021 2199 2199 2':n 106 49 ! 14 97 256999
L_
6289 Ii 2020 2313 2421 216 ss 26 \ 11 96 293302
河南工业贸易职业学院(较高收费专业) 2022 14 19 192 62 20 I 9 2 , 325611
河南工业贸易职业学院(单列专业) 2022 126 80 190 75 15 12 0 326041
2022 1149 1163 348 83 60 15 158 219108
河南艺术职业学院 2021 734 744 322 98 57 12 122 235219
6290 2020 1046 1056 298 86 55 12 118 273026
2022 256 82 192 67 40 14 2 325611
河南艺术职业学院(较高收费专业) 2021 119 48 206 75 17 14 6 302908
一--一-- __ I 22002200 I ! 200 so 1s1 42 31 s 1 l 347059
勹022丁飞-52 二总?扁f气,T'、,止心眨况心
952 342 98 53 14 2 226413
新乡职业技术学院 2021 ! L ....6 1s 61s 333 90 s2 I 龙二 224764
2020 ! 795 864 304 86 34 1 5三 267248
6291
新乡职业技术学院(较高收费专业) 2 2 O 02 21 2 j 3 5 3 5 、 !忠\2 5 2寸 5 匕 孕 夕2 夕 ` 、 ` 貊 位-4., s 5 6 2 0 2 2 5 s , , 。 9 多' ua, 2 i ~ ) 10 3 30 1 3 9 7 6 4 l7 9
2O20, 汒~35 24 180 62,22'
\~
0 0 347337
' ; \ 2 ` , 0 " 22 ,众~'~,' 立,俨 53 1253 330' , ·' 86 '' . 66 15 140 240679
6292 安阳职业技术学院 , 2021 1931 I. 1931 •• 277 93 21 0 77 271974
\ , \ '\ -.、 ,\ •. `\' 2020 ,i一• 1942 1978 247 63 41 15 6677 3311661313 7
•• \• . ....·.. 一· •• •• 2022 465 465 339 79 48 11 149 230003
6293 驻马店职业技术了学\\院勺:,飞`气;飞 2021 550 550 295 89 36 8 95 258633
2020 740 1232 180 40 35 6 0 347337
2022 1159 1214 224 77 22 12 34 316954
6295 郑州城巾职业学院 2021 1310 1129 200 r 52 16 9 0 304110
2020 2 l 10 1400 180 41 20 14 0 347337
2022 121 121 278 74 21 12 88 288965
6296 淉河食品职业学院 2021 332 342 200 73 20 9 0 304110
2020 834 260 180 44 20 12 0 34 7337
2022 1501 1512 198 67 20 14 8 324323
6297 郑州理工职业学院 2021 664 667 242 94 28 8 42 291470
2020 1660 1525 180 34 40 I I O 347337
郑州理工职业学院(较高收费专业) 2021 20 5 214 70 59 8 14 301008· 86 · 第二章报考统计
公布 实际投档 投档最低分 投档最低分 投档最低分
院校代码 院校名称 年份
计划 人数 总分 语文 数学 外语听力 与分数线差值 位次
2022 1241 1340 222 73 34 14 32 317649
郑州信息丁程职业学院 2021 704 778 205 81 28 15 5 303126
2020 1341 1130 180 45 30 9 。 347337
6298
2022 30 22 191 69 16 8 1 325829
郑州信息工程职\II,学院(较凸收费
2021 66 21 202 82 24 15 2 303749
专业)
2020 17 11 184 49 21 9 4 346324
2022 720 770 245 90 25 9 55 308427
6299 焦作工贸职业学院 2021 85 91 2,19 92 24 12 49 288144
2020 545 804 216 77 25 14 36 334629
2022 956 432 190 57 50 12 。 326041
6300 长垣烹釭职IIV技术学院 2021 391 101 200 75 25 14 。 304110
2020 725 100 180 76 。 14 。 347337
2022 520 572 222 70 17 15 32 317649
6301 许昌陶瓷职业学院 2021 400 254 200 54 20 8 。 304110
2020 700 117 180 35 16 3 工 一。 347337
2O22仁 900 940 227 77 ` 440 ',. 乒. ; 9 37 315901
6303
郑州电力职_ 业技术学奾 202l 1 53· C 164 250 88 44 。 50 287643
202O 450° 519 244 57 35 12 64 318230
,郑州电力职业技本学院(单列妇11,) 2022 1000 58 191 64 10 11 1 325829
6 30 4\\I1;. '
已'
-
"
'
,,户七
}
\河, 南`俨科·`编-
-
一-
.-
技 职业大斗 '2
2
0
0
2
21
2
5
1
7
1
0
9
4
I
9
1
4
9 3
20
1
0
6
7
9
7
0 4
1
0
6
1
8
5 1
。
26
3
2
0
5
4
59
1
4
1
6
0
2020 1140 541 181 57 15 3 1 347059
2022 198 208 322 92 51 8 132 249651
郑州泭有医学高等专科学校 2021 573 573 273 96 41 12 73 274712
2020 720 796 262 95 32 9 82 304696
6305
2022 60 60 294 79 35 。 104 276477
郑州泭古医学高等专科学校(较高收
2021 80 80 244 77 20 6 44 290545
费专业) 2020 80 l 80 I 241 4 i 83 32 11 61 320236
2022 450 485 ! 248 i 74 36 6 58 306948
6309 郑州电子信息职业技本江阮 2021 951 ----8-2--2- ---1: 200 54 30 11 ! 。 304110
2020 1286 1 I ]82 I ]80 53 34 6 。 347337
··
2022 156 106 ii _21_09S心61 69 17 11 I 325829
6310 嵩山少林武术职II学阮 2021 84 28 76 20 15 6 302908
2020 410 34 180 67 15 8 。 347337
2022 932 948 325 79 45 15 135 246476
6313 平顶山职业技术学院 2021 1085 1179 287 97 40 5 ...87 264756
2020 1415 1747 242 76 34 12 62 319599
2022 619 624 331 89 51 6 141 239549
6316 升封文化艺术职业学碗 2021 701 701 314 101 41 立 114 242438
__, 才认20 '. 、l·2六7一编L7 13 06 253 79 c a60. s "_c'0 73 311744
;一:气`\'、2`022 二俨13如 1340 418 9、2- - 81 14 228 131868
-
河南医学高\等专利学咬 2O21 1393 1393 415 98 78 。 215 143362
2020 1326 1326 421 113 66 12 241 142768
6317
2022 100 100 342 100 45 11 152 226413
河南医学高等专科学校(较高收费
2021 100 100 325 87 64 15 125 232444
专业)
2020 100 100 309 89 46 17 129 262221
2022 807 809 307 97 31 。 117 264800
河南测绘职业学院 2021 925 925 270 88 37 。 70 276561
6320 2020 533 533 281 84 35 15 101 288880
2022 40 30 197 77 20 12 7 324543
河南测绘职业学院(较高收费专业)
2021 70 --·11-18 --,i! 202 ! 73 12 15 2 , 303749
2022 18 314 93 53 8 124 l 22567099勹
i 61
6322 许昌职业技术学阮(软件类) 2021 10 10 292 83 54 6 92
—+
2020 60 190 56 35 5
10- 344703
2022 426 426 333 95 57 15 143 237232
南阳医学高等专f1卢 j!校(中外合作
6323 2021 429 I 429 308 92 28 12 108 247689
办学)
2020 429 429 323 92 37 23 143 247603三、2020-2022年河南省普通高校招生高职高专批院校平行志愿批量投档最低分(文科) . 87 ·
公布 实际投档 投档最低分 投杜敬低分 投档最低分
阮校代码 院校名称 年份
计划 人数 凶分 语文 数学 外语听力 与分数线尤值 位次
2022 120 120 280 93 25 9 90 287461
6328 河南经贸职,II,学阮(中外合作办学) 2021 16 24 383 103 77 11 183 174478
2020 89 89 339 95 43 ll I59 230666
2022 52 52 403 108 46 9 213 149776
6330 河南经贸职业学院(软件类) 2021 6 6 419 104 60 。 219 139565
2020 72 72 378 94 89 6 198 188254
2022 20 20 273 74 40 12 83 292397
=门峡职业技术学院(中外合作
6335 2021 35 35 225 78 35 14 25 297842
办学)
2020 95 60 180 78 23 8 。 347337
2022 597 597 3:i7 96 59 6 . ··..,.1,6 7 _. 207684
郑州铁路职IIIr技木勺院(中外合作
6336 2021 579 579 341 95 34 14 141 216793
办学)
2020 530 530 360 71 68 I 。 180 208082
2022 100 100 317 ~尸81 36 8 i l27 254941
6338 商 办学 丘 ) 医学高笠专和字校(中外合作 2021 120 ; 120 270;了 8,1 邓 I 、s () I 70 276561
2020 .60 I 60 283 P 飞; 31 9 103 287062
2022 108 108 361 91 61 8 171 202778
6346 郑州铁路职业技术学院(软件类) 2021 120 120 337 90 46 9 137 220807
,
\' ', ',,-0 ' ', 2020 120 ~ ~ l20 340 99 36 18 160 229594
,飞\ 2022 !IO 110 275 92 39 15 85 291038
6347 商丘职业技术学院(软件类) 2021 80 80 252 70 29 12 52 286634
, 2020 120 120 198 65 30 8 18 342040
\~守 三-」\门\峡}夕七占职L扣业泛-技~本学阮(软件类) 2022 25 25 269 81 30 11 79 295011
6349ta ` 2021 37 37 200 48 22 14 。 304110
2020 50 15 184 30 25 17 4 346324
2022 180 192 324 108 43 () 134 247558
河南女子职业子1忱 2021 540 540 254 79 46 9 54 285600
6353
2020 490 66 181 74 20 15 I 347059
河南女子职业学院(较高收费专业) 2022 20 20 276 80 38 11 86 290325
2022 424 424 285 86 10 14 95 283733
6354 河南对外经济贸易职业学院 2021 524 524 200 82 16 11 。 `304 110
2020 390 336 180 29 46 9 。 347337
2022 173 173 256 78 25 9 66 302727
濮阳石油化工职业技术学院 2021 202 78 200 72 20 9 。 3041 ID
6355
2020 160 32 184 62 21 9 4
濮阳石油化工职业技木沪阮(单列专业) 2022 250 124 191 74 30 12 I
-~~346324
2022 542 544 i 293 80 50 ,了咚l2 103
6356 南阳科技职Ii1,学院 2021 357 357 200 66.< 2子28 皂勹12 。 ".. 3ll4..1 10
2020 240 112 、180 73飞 多5~ 9 。 占 347337
2022 606 I 610 260 90 2l l5,' '.,尸~ , 70 300485
6357 兰考=农职业学院 2021 414 2~ ~ 6~~ ~~ /6 200 56 25 6 。 304110
2020 32O 320 238 65 29 2 58 322187
':,--''~-'-`\~ ,
L
,,\ ~ ' ,
',
2022 422 , 423 272 89 38 15 82 293019
6358 汝州职\LIT技术学院 2021 217 76 200 60 18 11 。 304110
\ 2020 250 19 188 52 27 14 8 345210
't- 2022 602 542 190 65 29 9 () 326041
6359 林州建筑职Iv技木户院 2021 381 33 201 70 25 15 l 303931
. 2020 270 22 I 186 42 6 6 6 345764
2022 770 770 193 74 25 11 3 325398
6360 郑州电子商务){灼lt学院 2021 495 197 200 69 20 15 ()~` ~ 304110
气 2020 400 28 [ l80 57 11 8 。 347337
2022 160 160 249 80 29 l5 59 306433
6361 郑州轨道1程职业学院 2021 55 70 206 80 20 14 6 302908
2020 750 182 181 58 16 。 1 347059
2022 351 275 190 54 24 9 。 3260廿
6362 郑州休育职业学院 2021 164 72 202 69 23 15 2 303749
2020 360 16 188 60 JO 3 8 345210• 88 • 第二章报考统计
公布 实际投档 投档最低分 投档最低分 投档最低分
院校代码 院校名称 年份
}卜划 人数 总分!语文 数学 外语听力 与分数线差值 位次
2022 732 732 262 74 69 11 72 299366
6363 洛阳文化旅游职业学院
2021 598 18 201 81 25 。 1 303931
2022 490 511 258 93 28 12 68 301602
6364 周口文理职业学院
2021 610 88 200 70 25 8 。 304110
2022 945 945 296 77 22 6 106 274752
6365 信阳艺术职业学院
2021 770 374 200 74 23 i 8 。 304110
2022 792 826 232 69 27 18 42 314023
6366 郑州城建职业学院
2021 600 215 200 62 34 II 。 304110
2022 682 686 244 65 15 15 54 308909
6367 郑州医药健康职业学院
2021 500 146 201 75 15 8 I 303931
2022 817 817 366 95 59 。 176 196341
郑州财税金触照业学院 2021 727 132 I 33s 94 27 15 { 135 222791
2020 1129 1139 326 102 54 14 146 244367
6379
2022 70 56 227 '75 35 _ 14 37 315901
郑州财税金融职业学院(较高收费
2021 45 45 尸` 293 77 59 11 93 260231
专业)
嘈 28 2甜~ 26l 1 67 J 1 41 12 81 305513
939 943 307 1 88 46 。 117 264800
南阳农业职业学侠三` 810 尸'-85'4'\'' 262 I 96 60 9 62 281294
_:
尸--------卢_-_-..-,\% .'内,.,, -\I \·-\ ' 2020 1001 1001 228 51 42 18 48 328414
63\ ;\\ : , 南阳农业职业学院(较高收费专业) 2022 49 49 179 71 13 14 -11 327981
-', \ _ : 2021 65 7 180 73 20 6 -20 307062
] ~-
6381 歹 坛 / ~ ;' \河南推拿职业学 ; 院 2 20 0 2 2 1 2 1 1 3 6 9 4 1 13 6 9 4 3 29 3 9 2 1 9 0 7 2 4 1 1 8 8 9 1 9 4 9 2 2 25 3 5 8 3 3 5 9 9 4
2020 200 200 264 81 34 12 84 303147
2022 1085 1085 310 91 64 15 120 261916
河南机电职业学院 2021 1879 1880 262 97 29 11 62 281294
6382 2020 1267 1291 290 81 31 9 110 280648
河南机电职业学院(单列专业) 2022 810 393 191 64 20 14 1 325829
河南机电职业学院(异地校区) 2022 40 40 296 89 64 II 106 274752
2022 1547 1550 336 92 50 II 146 233659
河南护理职业学院 2021 1140 1140 314 88 66 17 114 242438
2020 1145 1145 306 93 41 11 126 265265
6383
2022, 80 80 284 86 39 。 94 284502
河南护理职·,l门学院(较高收费专业) 2021 ! 75 71 203 ; 76 24 11 3 ,队303545
2020 80 50 18 0 1 78 13 5 气心0 ,,,?''a、,,,i ' , 49,7i303337
2022 1069 1069 370 1 99 82 14 e't;1 80 - -
洛阳职业技术学院 2021 674 678 340 101 34 。 140 217789
2020 1576 1606 304 85 36 8 124 267248
6384
2022 93 93 193 69 35 l l 3 325398
\·-~_ \
洛阳职业技本学院(较了高~收:,i:费iJ't·妇'z,[Vn) ;_,k归2,02.1卢 35 35: 218 飞 35 14 18 299856
20 20 207 75飞 30 9 27 338657
院\,\> \,一 勹}二一: '; 加22 1080 1088~ \ 286 76 40 9 96 282971
6385 许昌电气职\卢 I\ I \ \ 夕.,, ,•_'! , I、一六'\·\一 2021 865 940 230 72 35 11 30 296154
,/入 2020 1095 1142 180 57 25 8 。 347337
郑州商贸旅游职'\\业'\可学S今芍\院已$', 2022 1800 546 190 37 25 15 。 326041
6386 2021 780 226 200 62 10 11 。 304110
2020 ,i 1440 336 180, 49 20 6 。 347337
2022 500 291 190 57 36 11 。 326041
6387 鹤壁汽车工程职业学院 2021 720 36 200 65 34 8 。 304110
2020 1050 190 180 84 14 11 。 347337
2022 280 246 190 75 10 9 。 326041
6388 信阳涉外职业技术学院 2021 422 78 200 70 34 14 () 304110
2020 364 88 181 61 25 17 I 347059
2022 795 732 190 47 l 7 II 。 326041
6389 南阳职业学院 2021 172 175 274 90 15 6 74 274006
2020 1000 620 180 34 29 15 。 347337三、2020-2022年河南省普通高校招生高职高专批院校平行志愿批量投档最低分(文科) . 89 ·
投档最低分 —投档最低分 投档最低分
院校代码 阮校名乌 年份 I 令: 人数
1 语文 1 数学 1 外语厮力与分数线差值 位次
12 42 314023
归
6390 郑州黄河护理职,II,于院 O 了I 。 304110
二 0-70-64_0-9-27
14 347337
2022 I 480 。 300485
洛阳科技职业学院 2021 I 100 15 280159
6391 8-9
2020 I 1112 347337
洛阳科技职业学院(较高收费专业) 2020 I 10 344966
:/三
319306
3
6392 303545
厂 347059
77 296286
6393 44 290545
30 337374
6 324775
6502 200 157726
2020
`I
430 258 125508
6503 新 学院 乡 ) l程学院(原河南 - 科技学院新科 I 2022 415 I 53 I 192 I 69 `I 15 14 2 325611
948-L -2-1
2022 1240 1240 284 I 94 29 9 284502
6504 1 :5詈学院(原中原工学院信息商二
930 984 218 1 94 1 24
1石
299856
7 2-0-552
430 1 『 82 三 I 63 25 - 6 346844
4 I 一 新 入~~俨r, 乡 ·: ;~-医-; i :~ ; ? 学-院二i 三全卢 131 11 6 326041
6505 30 1 6 2 i3l 303126
114 130604
新乡医学院三八炉院(护理专们 40 17 270152
184 。 84 291736
110-321-115-565-298-181-565-75-101-130-52-385-365 129-138-114-74-148-184-142-116-101-17
6506 I 郑州工商学院 兰 126 12 228592
9
呈 331 252901
115 15 1 267637
6507 安阳学院
g 883
勹
254 I 88 34 1
2五
310932
- 298 338 I 91 I 54 4 - 231258
郑州商学院 荨 181 52 1 173558
勹 1
6510 郑州商学院(较快收帮专仲) 蠲 一 g - 5 1 [ 6 0 I 1 5 5 如 3 3 0 2 6 2 I I 巨 7 93 7 廿 I 6 47 5 f _ 0 - 6 二 歹茹 24 5 8 7 6 2 8 1 0
13 0 -
郑州商学院([列专业) g 4l ` ` -勹8 8 3为23
- 385 161
`\H' 一
2
.i1{.
5 2
"
85
- 十
郑州卫生健康职业学阮 385 l l J, 127 230524
6538 g 如 I勹勹堕 1 9 夕坛 ` 141 249700
390 57
郑州卫生健康职业学院(较高收费 I 20 - 一22 80 80 - 241 83 | 20 6 51 310258
专业) g ,| _ 8-15_0
20霹22 567 567 112 269455
I
6539 河南物流职业学院 20-21 4ll 411 三 58 283474
2020 568 568 68 315404
g 6 |
2022 660 700 99 280646
6540 I 河南地矿职业羊阮 l: 33 295099
芷长 1 五亡 艾8 1 壬 I 王 I
24 339925
29:
1 。 326041
勹言 11-12_9-14-11-14-15_6
6541 信阳航空职业`rI饥 2021 303931
2020 。 347337
110-66-112-220-211-223
2022 271196
6595 四川文化艺术学院 2021 278968
诃
2020 278796
141459
言院(原华中科技大学文华三
6609 147175
161586· 90 · 第二章报考统计
公布 实际投杜 投档最低分 投档最低分 投档最低分
院校代码 院校名称 年份
计划 人数 U分 语文 数孕 外语听力 与分数线差值 位次
2022 18 7 212 81 20 8 22 320744
6631 华北理上大学轻丁学院 2021 22 14 226 72 26 11 26 297532
2020 22 15 218 73 18 17 38 333708
2022 7 8 300 79 25 18 110 271196
6640 温扑甘旮]字阮 2021 18 12 246 64 23 21 46 289571
2020 43 7 267 85 23 II 87 300758
2022 26 8 212 72 20 8 22 320744
6646 青岛工学院 2021 28 6 273 81 66 12 73 274712
2020 30 l 251 76 32 14 71 313212
2022 28 28 ! 237 60 54 9 47 311993
6647 青岛农It大学海都学院 2021 33 13 2s1 ! 82 33 18 81 269173
2020 I 70 7 248 i 88 14 17 \ I 68 315404
2022 51 50 195 59 20 12 5 324979
齐鲁理工学院(原曲阜师范大学杏坛
6648 2021 54 16 200 68 23 17 。 304110
学院)
2020 57 19 188 67 30 8 8 345210
6649 山东财纾大学东方学院 2920 10 e 6 259 59 ,28 18 79 307090
2',' 0~~ 2 ~,2 23 9 346 88 54 | 6 156 221594
6650 滩坊理 I学院(原山"虚,东~?;' 师泣大学历山, 2O21 9 9 413 115 88 8 213 1452牡
学院)
2020 9 9 417 128 66 。 237 146967
_,
\ 2022 4 4 241 78 45 11 51 310258
66\4 辽宁理工学院 2021 12 。
_,
2020 15 。
产| + 2022 75 75 193 69 35 8 3 325398
I
6655 大连财经学院 2021 75 43 215 87 21 12 15 300735
2020 76 58 190 74 20 12 10 344703
烟台科技学院(原济南大学泉城 2022 5 4 220 83 6 9 30 318301
6660
学院) 2021 5 1 229 90 43 12 29 296508
成都锦城学院(原四川大学'锦城 2021 30 30 324 94 58 6 124 233380
6664
学院) 2020 58 58 280 86 63 9 100 289840
2022 25 25 274 75 40 6 84 291736
西安明德理工学院(原西北工业大学
6665 2021 25 9 211 68 25 6 11 301758
明德学院)
2020 28 11 192 74 14 15 12 344073
2022 21 l 347 96 39 17 157 220343
沈阳城市建设学院(原沈阳建筑大学
6671 2021 I 17 1 327 89 49 17 l27 230524
城市建设学院)
2020 I 12 3 341 102 41 6 r228530
2022 ! 62 48 22] 73 39 l8 . 卒 -、 咖"二~ ' ~ }虚 31、 ,'3、:心 1·七7\995
武汉晴川学院(原武汉大学硌珈
6672 2021 54 54 276 88 41 。 76 272642
学院)
2020 55 55 242 I 77 35 17 62. 319599
2022 29 口三21~~~ 分~~ 332 91 66 9 匕:.:,,·, 怒口 \ 142 238394
6677 西南财经人学天府学院 夕2021 13 119 , 317 99 邸 14 117 239765
为202O 11 310 195'^ 45 12 130 261167
6678 四川大学锦江学院 ,I 了 尸 俨 - 飞 2022 1 ;~ `i $”, 421 114 63 9 231 128366
西安科技大学\i高新'学院 勹~ ` ` 2022 9 9 420 109 43 15 230 129540
6686 2021 4 4 444 112 79 14 244 116212
',; 1~ 2020 8 8 牡0 lll 87 9 260 123509
南昌交通学院(原华东交通人学理工
6694 2022 10 1 305 84 54 II 115 266678
学院)
景德镇艺术职业大学(原景德镇陶瓷
6701 2021 14 。
大学科技艺术学院)
6703 南昌大学共青学院 2022 32 8 233 76 20 6 43 313623
2022 16 4 222 82 29 20 32 317649
银川科技学院(原中国矿业大宁银川
6707 2021 33 。
学院)
2020 40 13 185 75 14 。 5 346050
2021 15 6 204 73 25 11 4 303340
6782 大连艺术学院
2020 14 3 264 92 24 14 84 303147.
三、2020-2022年河南省普通高校招生高职高专批院校平行志愿批量投档最低分(文科) 91 ·
年份 1 公布 *际投枑1 投i最低了 1 投档鼓低分 投档最低分
院校代码 院校名称 1
计划 人数 总分语文数学外语盺力勹分数线养值 位次
2022 l9 l l l 12 22 320744
6786 沈阳工学院 2021 13 i 3 ` 12 13 301249
| |
2020 6 I 3 。 192 194763
2022 二 11 62 304888
6789 辽宁何氏医学院 2021
7
2020 。
勹
二 。
6791 I 长春光华学院
二 。
6792 I 长在大学旅游学院 芒 。 1::
言 :』: }: 130 261167
盂 : I 1 :} I 152 226413
6797 1 吉林建筑科技于院
芒
6799 长春科技学院 9 324109
三 - 188409
6800 I 吉林师范大学博达学院 i 1 197624
/
8 225358
g
68IO 黑龙江工程学院昆仑旅游学院 2021 2 240688
一
2022 3- 325398
泰山科技学院(原山东科技大学泰山 二
6832 _1 252885
科技学院) - 10-15-16-17 9
2020 1 1365193171 16 202429
t 人
2022 00 298750
6833 1烟台理工驹完(压烟台大'千,文经学院) 2021 2- 231496
炉户飞`J\\ 飞忒
勹
2020 1
二/
-1 244367
16 179514
6836 I 武汉东湖学院 8 4 146199
- 157407
5
呈 5 - 1 212838
6837 I 汉门学院 1 180490
7
6 188254
3
276477
- 9-8 -
6838 武昌理丁学院 48 1 288 1 92 1 42 8 1 8 264058
28 1277189150 97 292459
3-50 2
武昌理丁学院(较高收费专业) 3 I 291 I s3 I 32 I 14 117 274020
50 I 276 I 91 I 36 I 8 6
6839
武昌首义学院(原华中科技大f武昌 1 一1 :量
分校) 三 20···-~
加20 I 45 45 1 315 1 97 I 42 I e;!~\J 4 厂
3071532776811383
2022 68 [ 4,8 . 193 66了叨飞 6
6841 荆州学院(原长工人'.{」程技本学院) 2021 0 75 i ll 200 72 尸翋 12 -
2 2 0 0 2 2 2 0 5 1 7 2 I 1 /1 1 2 8 I 1 3, , 了 8 43 7 · 1 9 6 尸 0 2 I. 6 2 , 3 8 ' 1 6 5 1 8
6842 长江大学义理学院 2021 13. I. 12 ,一 I 2211I 91 I 18 I 14 9
. . , \ 亡 · 尸, \ . ,.. , L. \ ', , 尸 , ~ ' _ . \ \ .:-',勹. ; t \ l · , ...' 2 2 0 0 2 2 0 2 - 1 7 00'. ; ' ` I F 65 I I 2 1 5 9 6 s I I 1 74 0 I I 2 44 s I I 1 1 4 2 - 2 二
6845 湖北商贸学阮 占\夕 2021 70 I 70 I 313 I 97 I 29 I 21 1
2020
1
43 i 45 I 263 I 91 · I 51 I 9 22
2022 86 6 325611
- -
6847 湖 学院 北 ) 恩施学院(丿京,胡北民族人孕科技 芦 2020 1 6 0 5 5 0 - 9 2. 1 一 2 2 3 3 3 0 4 1 0 2 6 4 6 9 8
6849 湖北师范大学文理汇皖 2022 0 46 8 - 9 一 1 9 2 7 ! 1 13 7 9 0 5 7 6 7 5 2
皿 1
2020.I 42 11 6 153134
6
2022 16 。 - 176992
6850 武汉文理学院(原江汉大学文理学院) 3
2021 15 20 2 214731
14 1 - 142616
6851 二峡大学科技学院 三 9 至 9 1 149040
12 - 71 266264
72
2
-5
3
1
1
9
-
8
1
-
9
1
1
0
-
4
1
4
3
-
2
1
9·92· 第二章报考统计
公布 实际投档 投档最低分 投档最低分 投档最低分
院校代码 院校名称 年份
计划 人数 总分 语文 数学 外语听力 与分数线差值 位次
2022 20 20 318 92 46 11 128 253881
6852 武昌工学院 2021 20 20 301 88 32 14 101 253719
2020 20 15 212 70 31 9 32 336464
2022 29 29 301 82 51 6 111 270308
6855 武汉纺织大学外经贸羊院 2021 21 21 353 91 44 12 153 204689
2020 27 31 291 94 38 9 111 279751
2022 99 99 262 85 19 14 72 299366
6858 湖北文理学院理L学阮 2021 150 119 202 81 21 15 2 303749
2020 108 108 215 82 39 11 35 335100
2022 38 36 197 58 20 15 7 324543
6859 湖北工程学院新技术学院 2021 38 22 204 78 12 5 4 303340
2020 25 20 198 79 29 l4
~? -
、-l 18 342040
2022 90 90 297 89 37 '9' I 了 107 273902
武汉上程科技学院(原中国地质大学
6861 2021 65 79 300 85 41 8 100 254567
江城学院)
2020 67 67 301 '81 54 咖.?一11·~ ' | 121 270152
. 6 .. 8 . 6 2 武汉学院 ~ ~叨 八2、~咖~尸c 02 碑 42 ~ , -~~J -~O-- c 八 ~2 ~ 3`3 3 饮 5 i于 歹 3 飞 5 O 4 4 2 5 0 0 i, 9 o> 6 i '7 8 ..占3 4 4飞 \ 1 。 1 2 2 3 7 0 0 1 1 1 2 3 9 3 5 0 40 4
26 /... 26 378 98 71 8 188 180776
气,[2俨` 1武-"编,_~-汉,!,\工\>匕一气?夕商勹,·;}学_院 ..2二0一~'2`1~,尸 t俨七23 23 355 81 77 11 155 202693
6863 , i 'I i\ ••? ,.,\'- § 2020 18 18 348 98 43 12 168 221223
687隍 炉州商学院 2022 2 2 252 79 29 12 i 62 304888
重庆移通学院(原重庆邮电大学移通 2021 6 6 419 108 61 9 219 139565
6889
学院) 2020 6 6 423 102 75 15 243 140776
2022 3 3 379 91 74 8 189 179514
6891 成都理工大学工程技术学院 2021 3 3 387 103 63 11 187 170581
2020 3 3 350 93 44 20 170 219081
6894 屯了科技人学成都学院 2022 8 5 320 83 53 。 130 251735
2022 19 19 , 324 90 69 9 134 247558
6896 成都文理学院 I
2021 21 18 22s 83 33 17 25 297842
2022 20 20 420 1 107 72 14 230 129540
6897 四川外国语大学成都学院 2021 20 20 433 96 76 9 233 126501
2020 15 15 444 107 37 24 264 119398
丽江文化旅游学院(原云南人学旅游
6907 2022 5 。
文化学院)
2022 34 34 398 94 80 。 208 155967
6921 新疆政法学院
2021 41 41 354 110 54 8 154 \ 203694
6922 新 学院 疆 ) 科技学院(原新疆财经大学商务 2022 4 4 32.1~ 88 57 8 ', 1 - 3二一_-1一- , -- -,: - 一- 一-___- ' 250730
6926 保定理工学院(肿中国地质大学长城
已2022 - ]5 1 6
4
.-2
2
O
3
3
9
6
.7-
5
,4- -, `亡3
1
0
0
~ 5 ,;,。
I
飞
少 I 心
3
1
9
3 3
2
2
9
3
2
1
7
5
0
1
9
学院) 3 201 74飞-·' 30 8 21 340997
2022 28 $- 9 217 76 20 8 27 319306
6939 大连科技学--\霞 \ 2()2\ |: VI4 6 203 49 5 11 3 303545
.~ ~ ~ 2'~ 020 10 l 9 202 77 26 11 22 340668
6943 大连东软信息学院 2022 3 。
行岛城市学院(原青岛理工大学琴岛 2021 12 6 227 83 19 12 27 297223
6974
学院) 2020 19 19 290 55 56 15 110 280648
2022 11 7 214 69 20 15 24 320163
6977 燕京理工学院 2021 21 7 214 81 30 9 14 301008
2020 34 15 185 71 15 12 5 346050
2022 20 20 361 105 66 8 171 202778
6979 武汉传媒学院 2021 25 25 I 332 102 49 。 ! 132 225724
2020 25 25 I 3so II 101 56 15 l 170 219081
6983 西南交通大学希甲子院 2020 10 10 266 85 21 17 86 301525
2022 22 3 298 80 41 9 108 272996
6985
成都银杏酒店管理学阮(原成都信息
2021 11 2 232
lI
s2 25 9 32 295452
工程大学银杏酒/古管理学院)
2020 11 I 303 85 62 9 123 268234.
三、2020-2022年河南省普通高校招生高职高专批院校平行志愿批量投档最低分(文科) 93 ·
院校代码 院校名称 年份 I 公布 实际投档 投档最低分 投档最低分 投扫最低分
计划 人数 总分 语义 数字 外出听力 与分数线差值 伈次
~-----
四安丁商学院(原西安工业大学,t方 2022 55 12 209 73 20 17 19 321611
6993
耟包工程学院) 2021 18 1 349 92 64 12 149 208753
7005 新振兵团斡官高等专科学校 2020 飞O 30 287 90 ! 45 20 107 283328
2022 4 4 366 108 59 12 176 196341
7007 河北工业职业技术大学
2021 8 8 328 113 41 21 128 229591
2022 22 22 266 76 15 14 76 296917
7008 河北科技工程职业技术大学
2021 18 10 218 76 24 15 18 299856
2022 7 7 271 78 50 12 81 293664
7009 兰州石化职业技术大学
2021 3 3 356 99 63 9 156 201669
2022 10 10 377 102 83 11 187 182033
7010 兰州资原环境职业技术大学
2021 2 2 392 107 51 9 ~.已 192 165608
7011 山西工程科技职业大学 2022 6 6 389 107 51 勹11"l 166977
! 2021 60 21 211 59 40 s.. 11919 i 301758
2022 12 342 99 63 152 226413
7012 河北石闸职业技术大学
2021 9讼夕丑-竺譬,_ 306 92 46 2 I··-~· 106 249455
7014 贵阳康养职业大学 2022 2 2 367 96 58 20 177 194991
2\ /、·022 8l 81 436 108 65 9 246 111016
7021 天津医,'己,学}高,\等专科学校 2021 76 76 453 112 98 。 253 107929
L 202,0 ', 71 71 446 100 84 14 266 117304
7032 \\承德石油高等专科学校 \ 2020 10 4 299 93 44 12 119 272124
~ \ \~\ L ', \\ ' \ 尸 ,',(. ', 2022 18 18 430 97 103 。 240 117990
7036 邢台医学高等冷科学校 2021 19 19 440 115 87 。 240 119888
i 2020 18 18 433 99 91 11 253 130604
2022 17 17 421 99 77 8 231 128366
7038 湖北幼儿师范高等专科学校 2021 13 13 423 106 76 20 223 135755
2020 10 10 416 109 97 14 236 148017
2022 70 70 389 95 80 15 199 166977
7056 阳泉师范高等专科学校 2021 50 50 406 118 76 8 206 151882
2020 37 37 378 107 67 8 198 188254
2022 28 28 329 91 36 2 139 241860
山西省财政税务专科学校(原山西财
7057 2021 30 30 324 96 46 。 124 233380
政税务专科学校)
2020 28 28 266 104 16 8 86 301525
2022 25 25 361 96 52 11 171 202778
7059 运城幼儿师范高等专科学校 2021 25 25 318 95 44 14 118 238868
2020 25 25 192 59 10 17 蔼`1 3440万
2022 11 11 385 103 74 许1句o:2尸生女竺嘘母竺穸泸 \ !1 171983
7063 集宁师范学院 2021 11 105 57 i 194637
191 嘈
2020 11 92 58 夕了1边门I' 259096
2022 ~夕 3~、2 哿翘25; ~气;c74 己· 30 15\ t ',,.. \,A 1 2E 325611
7073 阜新高等专科学校 2021' 3l l2 237 68 47 飞'\ 2l 37 293534
,\73
\ 心020 心 5 278 41 8 98 291580
辽宁民族师范高等专科学校 ' 2022 23 .. 23 264 89 40 11 74 298130
7077 \ ',: : : 20勾 23 11 228 93 14 11 28 296895
\/ \\ \',2 ~.O斗2~0 15 13 181 47 20 9 1 347059
等飞样L呤f学f校飞忙.I 2022 48 48 359 87 75 14 169 205212
c..
, 7078 朝阳师范高 2021 48 48 377 104 65 。 177 180490
2020 48 48 340 82 61 6 160 229594
2022 15 15 376 98 60 8 186. [83359
I 抚顺帅范高等专科学校
7079 I 2021 i 15 15 371 110 39 i I 14 171 186460
2020 16 16 321 92 54 !l 12 141 249700
2022 65 65 327 95 54 。 137 244191
7080 锦州师范高等专科学校 2021 45 45 308 97 67 12 108 247689
2020 30 6 249 81 43 18 69 314650
2022 26 26 292 93 42 11 102 278159
7081 铁岭师范高等专科学校 2021 26 18 221 91 15 14 21 299047
2020 26 23 247 84 29 15 67 316137· 94 • 第二章报考统计
公布 实际投档 投档最低分 投档最低分 投档最低分
院校代码 院校名称 年份
计划 人数 总分 语文 数学 外语听力 与分数线差值 位次
2022 25 25 251 85 39 。 61 305420
7091 长春汽车工业高等专科学校 2021 42 26 218 74 35 12 18 299856
2020 49 13 193 43 25 8 13 343756
2022 48 53 302 89 48 17 112 269455
7092 哈尔滨幼儿师范高等专科学校 2021 45 42 203 73 30 8 3 303545
2020 33 12 220 75 15 6 40 332687
2022 6 6 410 103 63 。 220 141459
7094 长春医学高等专科学校 2O21 35 35 335 92 86 。 135 222791
2020 31 31 368 I 109 65 5 188 199197
2022 37 39 252 95 20 12 62 304888
7095 黑龙江幼儿师范高等专科学校 2021 39 17 230 79 34 11 30 296154
2020 37 14 220 92 6 l 2 尸l 40 332687
2022 40 40 282 95 17 16 92 285971
7096 长春金融高等专科学校 2021 40 49 了 272 ?/ 82 69 21 72 275367
“/ 3 ~~~~ / 0// : ~ ? \ / 269 87 35 9 ; ; 89 299093
归14,于 10 446 97, .62 1· \fl 256 99663
10_9 _ a
7098 吉林警察学院 19 449 96 。 249 111572
三 14 444 107 103 。 264 119398
7099 ,> \ \ ' 摘 _ ', \,:气'~·咖~_{呻一贮,_;\~尸\.咖匐,.,'气咖~,蔼-'.一`专,科呤 ;岱飞 a 宁 ~” : ' 2 2_ " • 0 0 二 c a 沁2 2丫 1 2~ c之于仓=~ -\气初 6 ~ 1 _ 只 4 61 0 4 4 2 3 8 8 1 10 0 7 2 1 5 0 9 5 1 。 1 2 23 3 8 8 1 12 2 1 0 8 1 2 9 5 8
令 2020 46 46 420 113 68 6 240 143812
' 2022 19 19 351 85 53 14 161 215285
7100 盐城幼儿师范高等专科学校 2021 17 20 309 102 35 12 109 246819
2020 40 41 230 94 20 9 50 327216
2022 45 45 293 72 60 6 103 277351
7103 齐齐哈尔高等师范专科学校 2021 48 48 205 74 25 12 5 303126
2020 41 41 281 67 67 12 101 288880
2022 83 76 192 74 10 11 2 325611
7104 鹤岗师范高等专科学校 2021 95 34 201 61 16 9 I 303931
2020 90 58 204 65 30 11 24 339925
2022 23 23 i'i 306 85 34 。 l l 6 265721
7105 大庆医学高等专科学校 2021 25 25 244 83 36 6 I 44 290545
2020 18 9 203 65 16 9 23 340306
2022 48 48 319 97 42 11 129 252795
7107 黑龙江护理高等专科学校 2021 50 50 282 100 26 12 82 268451
2020 45 15 218 68 20 。 38 333708
2022 17 22 391 96 53 。 201 164511
上海出版印刷高等专科学校 2021 18 33 387 I 103 55 14 187 170581
7112 尽严则高节专抖学校·,较点`巳t卿坟匠 2 3 0 - / 4 3 3 94 8 I 9 l 4 l 4 8 8 9 l 5 2 产 尸 2 25 0 8 4 1 16 2 0 5 8 5 2 0 1 8
6 319 10" 1 飞 ·丫 40 。 119 237976
- 1. 4 406 117 56 5 226 158441
上海健康
医\五\环
0;1,2 2O022l0
-斗~七
,
_土
1
1_夕5
4 - ]5 464 98 92 。 264 97930
14 463 104 89 9 283 100093
7113
2021 3 3 456 116 75 11 256 105269
`卜海健康医学院(护理专业)
2020 2 2 437 102 58 8 257 126529
2022 48 48 374 82 61 14 184 185932
上海旅游高等专科学校 2021 48 78 347 80 44 14 147 210727
2020 53 53 450 100 98 5 270 113304
7117
2022 8 8 313 101 41 。 123 258966
上海旅游高等专科学校(较高收费
2021 5 6 320 91 23 8 120 237038
专业)
2020 3 3 434 Ill 90 15 254 129575
2022 21 21 336 106 32 14 I 146 233659
7122 镇江市高等专科学校 2021 69 69 267 87 35 。 67 278355
2020 69 69 186 36 32 15 6 345764.
三、2020-2022年河南省普通高校招生高职高专批院校平行志愿批量投档最低分(文科) 95 •
公们 实际投档 投档最低分 投档最低分 投档最低分
院校代码 院校名称 年份
计划 人数 总分 语文 数学 外语听力 与分数线差值 位次
2022 5 5 409 94 62 6 219 142616
7123 江苏城市职业学院 2021 6 6 426 114 94 6 226 132982
2020 27 27 417 99 96 11 237 146967
2022 19 19 439 104 66 。 249 107491
连云港师范高等专科学校 2021 62 62 442 121 66 8 242 118040
7125 2020 76 76 438 110 109 14 258 125508
连云港师范高等专科学校(较高收费 2021 2 2 292 105 22 11 92 260961
专业) 2020 2 l 358 99 73 15 178 210263
7134 浙江医药高等专科学校 2020 26 26 363 111 50 18 183 204711
2022 17 ; 17 361 105 41 9 171 202778
7138 安庆医药高等专科学校 2021 17 17 337 98 60 ll 137 220807
2020 20 20 328 97 33 9 148 242283
,
2022 10 I 10 罩4]邸节泣 针 1°4 238 120198
7140 合肥幼儿师范高等专科学校 2021 10 10 225 133879
2020 尸驴 10 83 一,、11 238 145887
n
7142 安徽医学高等专科学校 2022 1("' 415 90 81. 。 225 135408
2022 立 22 430 l ll 78 12 240 117990
7143 安徽中医药\高\等专科\飞学飞'\校 2021 18 >" ,I飞18 '435 124 81 9 235 124587
2020 '18' 18 441 112 78 6 261 122516
2022 20 20 431 112 74 11 241 116853
7145\\今 ,-,乏 桐巨城`:r师A范I~高炉-等专科学校 2021 15 15 435 111 76 6 235 124587
- 2020 8 8 413 101 79 11 233 151112
尸勹 2022 30 30 384 99 67 8 l 94 173213
7146 徐州幼儿师范高等片科学校 2021 80 80 213 88 32 17 13 301249
2020 170 31 281 97 47 15 101 288880
7157 厦门医学阮 2020 10 10 440 105 73 12 260 123509
2022 10 10 443 108 72 29 253 103008
7161 景德镇学院 2021 IO 10 459 120 104 11 259 102514
2020 l7 17 441 111 109 。 261 122516
7163 萍乡学院 2020 5 5 383 108 56 11 203 182820
2022 30 30 420 98 86 9 230 129540
7171 济南幼儿师范高等专科学校 2021 30 30 425 109 99 12 225 133879
2020 30 30 392 108 47 11 212 173096
2022 46 ~一·• ^ ^ 46 352 90 62 6 1声62 夕二214108
7174 菏泽医学专和学校 2021 48 48 353 94 60 。 15
2020 54 54 292 107 39 g2l2 11
7176 济宁学院 2 2 0 0 2 2 1 0 5 5 5 5 4 3 1 8初 8 罩二 8 2 2 1 0 8 7 t , 占 'i 、么 夕` A 1亡 1 4户 7 0 ., ' 8 t c 5 5 , 5 1 0 9
2022 5l 51 435客L 94', 83- 8 245 112168
7193 湖北中医药高等专科学校 2021 51 51 452 104 116 6 252 108809
__ -- _.、\\} 2020 51 51 443 109 103 15 263 120435
汉江师范学\院 \一勹一\ 夕了-- 2022 30. · :30'{, ·, C4, 51 100 10] 。 261 93931
7195 \\\ \ .. \, \'`·\ : --- - -- / \ \ ` } \\ , i:~\ ,\\ - \ 2021 30 ,, 30 464 117 89 11 264 97930
2020 35 35 462 116 81 6 282 101122
2022 18 18 430 107 78 18 240 117990
7202 湖南幼儿师范高等专科学校 2021 18 18 437 118 97 18 237 122730
2020 9 9 431 109 87 。 251 132665
2022 12 12 420 lITT 53 14 230 l29540
7207 益阳医学高等专科学校 2021 12 12 432 111 90 l4 232 127458
2020 12 12 441 ll5 90 8 26l 122516
2022 26 26 320 99 44 9 130 251735
7212 广东茂名幼儿师范专科学校 2021 21 25 316 98 42 。 116 240688
2020 27 17 225 72 43 8 45 330044
2022 4 4 406 97 78 。 ·216 146124
7221 桂林航天工业学院 2021 4 4 361 110 68 17 161 196657
2020 4 4 331 100 43 12 151 239163• 96 · 第二章报考统计
公布 实际投档 投档最低分 投档最低分 投档最低分
院校代码 阮校名称 年份
ii划 人数 芭分语文 数学 外语听力 与分数线养仇 位次
2022 23 24 358 93 43 17 168 206465
7223 广四幼儿师范高等专科学校 2021 20 20 311 105 43 。 111 245107
2020 20 20 256 88 21 12 76 309431
2022 35 35 416 98 89 i 15 226 134202
7225 闽江师范的等方科学校 2021 35 35 411 102 57 9 211 147175
2020 45 45 350 105 53 11 170 219081
2022 5 5 440 113 83 8 250 106377
7227 桂林师范高等专科学校 2021 5 5 438 105 45 14 238 121825
2020 7 7 404 111 72 14 224 160534
2021 16 16 452 110 88 23 252 108809
7228 广西科技师范学院
2020 9 9 442 105 99 3 262 121493
2022 16 16 392 97 66 12 c · `·二 202 163301
7229 桂林旅游学院 2021 7 7 369 109 51 。 169 188409
2020 10 10 387 77 70 11 207 178550
2022 5 4 220 69 15 。 30 318301
7232 广西体育高等专科学校 2O21 7 4今 229 96,、 3l 15 29 296508
于牡2~~."/编0“~- 了~\`八`20~飞/~ 7 5 卜」 200 65才 25 9 20 341345
7233
广西警察学院 礼',-1`'( 八广飞 2O2i 8 t,8令 376 92 47 17 176 181478
2020 45 36 213 72 36 8 33 336011
动 '`; '`, ` ,'\ \ 2022 20 20 405 99 73 6 215 147350
重.衣仄电力高等专科-又学...校 2021 20 20 391 102 63 11 191 166551
- \~ ` C-尸1 2020 20 20 353 101 72 14 173 215813
叶; 2022 22 22 430 102 70 12 240 117990
7242 重庆三峓医药高等专科学校 2021 25 25 434 115 83 。 234 125544
2020 25 25 418 101 83 。 238 145887
2022 18 18 445 102 85 。 255 100731
霪庆医药高等专科学校 2021 24 24 462 103 103 。 262 99769
7243 2020 21 21 459 112 86 9 279 104203
重庆医药高等专科学校(较高收费
2020 2 1 443 103 70 。 263 120435
专业)
2022 7 7 415 94 80 8 225 135408
7253 成都纺织高等专科学校 2021 6 6 433 102 114 11 233 126501
2020 11 11 415 104 76 12 235 149065
2022 5 5 370 84 51 12 180 19l033
7257 川南幼儿师范商等专科学校 I 2 2 0 0 2 2 1 0 3 3 3 3 3 38 4 2 2 '11 97 1 8 37 2 . 1 . 2 2 0 - ·.1邦.6 2 2 .. \ 2 1」 沁 .,`7 2 , 5 7心 4 48 5 2 6
2022 13 13 321 85 59 17 131 250730
7276 铜仁幼儿师范高等专科学校 2021 13 13 2:/9 `0 、/、编 A I•• 89 52 。 90 \. 262550
2020 3 产',郔心眨记、~心:1人:3、心盆心心p二心O已J 2气”3~~1 亡 65 '34 12 \ |勹\了",5 1 326617
7281 昆明冶令高等专科-,学校\一”`-一?尸,已 卢 } 一无勹20~2厂2孩 比 - l -1 O 0 l. ~10 . j,~ 3 2 4 8 3 8 l 9 O 6 3 , \ 矿i ', 2 2`~5 6 \ i 2 。 0 1 9 4 8 3 2 21 8 4 1 7 4 3 3 1 8
\_,俨, I\\'\ 、,/, i I I \ S-2`·0 ·· 20 10 1 七 0 , s 289 91 31 5 109 281525
2022 4 4 375 105 28 12 185 184700
`斗灰;学'.校
7282 曲靖医学高 “ 2021 5 3 243 74 30 9 43 291008
\ ; i 2020 3 I 3 321 101 45 5 141 249700
勹-? 2022 4 ! 4 369 94 49 9 179 192336
7286 楚雄医药裔等专科学校 2021 4 4 334 106 46 14 134 223767
2020 4 4 319 96 41 18 139 251853
2021 3 3 465 108 83 14 265 97046
7292 西安航空学院
2020 4 4 460 123 109 6 280 103143
2022 32 29 192 75 30 3 2 325611
73罚 和田师池专科学校 2021 22 13 232 73 25 11 32 295452
2020 22 11 213 90 29 9 33 336011
2022 11 11 424 109 57 。 234 124827
7337 白城医学高等专科学校 2021 32 32 371 92 90 15 171 186460
2020 61 61 251 94 35 17 71 313212三、2020-2022年河南省普通高校招生高职高专批院校平行志 i 愿批 量投档最低分(文科) . 97 ·
院校代码 院校名称 年份 1 公 计戈 在 ; 1 实 :;1 际 )产 投 』 桴 总分 1语文 投档 1 最 数学 低分 1 外诺_听 力 1与 投 分 片 数 最 线 低 门 分 值 1投档 位 最 次 低分
t3 0-11_0-6-8-12029 124-219-253-261-277-186-131-189-259-262
2022 154667
7340 泉州医学高哼专科学校 2021 2
2
5
5j -6
? 一、 ~ 233380
2020 2 165734
飞5
2022 103008
20-16-50
7341 I 豫章师范学院 2021 20 100660
2020 16 106214
5
2022 50 183359
7342 I 江西中医药高等专科学校 2021 I 50 I 50 I 331 I 82 I 68 11 226706
20201 30 I 30 13691105140 。 198119
2022 I 10 l: 10 I 449 I 104 I 79 20 96236
7344 I 山东中医约倘等专科学校 2021 lO 10 462 114 119 9^ ^ ^ 99769
言 17612 2862言56263251249
2020 I 10, lO I 466 I 106
十
2O21 7 7 456 ll3
7348 I 琼台师范学阮 2020 I 12 ^, ^小12^ ^巫I 44扛女飞`[tii
; [: 1:
2022 否7 :1:芦I : 1: :
7352 I 赣州师范高等专科学校 2021 编-` 8;己,
2020 8 11 264 119398
2022 25 12 216 146124
7353 宜春幼儿师粒高等专科学校 202l 20 14 197 160697
汇
73-王声声归 2020 I 10 10 14 177 211372
2020 I 10 。
15-12-9-6
2022 I 15 249 107491
7357\j\\,江西师范高气专村学校 2021 I 16 勹归 253 107929
2020 I 25 266 117304
2022 I 85 232 127212
7402 I 石家庄邮电职业技本于院 2021 I 56 229 I 130194
2020 I 48 229 I 155199
2022 I 6 三 227 I 133019
7403 I 石家庄幼儿师范高等专科学校 2021 I 6 222 I 136731
2020 I 6 219 I 165734
2022 I 11 217 I 144945
长春师范高等专科学校 2021 I 37 113 I 243378
7404 2020 I 41 131 I 260118
长春师范晕等存科学校(较乌收费 I 2022 356 I 94 I 65 12 166 f';,'. 了:,'' 21) 8977
专业) 2022 72 72 3l2 91 58 `, 5 122 ` 沁 寸 ' 序r 气 \ , 30 3尸 归 七 :-己 2 -、 己< 函已 一:欢-夕 938
7406 泉州幼儿师范罚等七科学校 2021 52 I 52 I 280- - 96歹?喽~了。 80 269844
2020 81 -s_1 -2吐一Li; 54 厂 8 ^ 24 ^ 、§ `33'9 925
寸 \
2022 29 29 376俨 '104 35 0 186 183359
7407 新骈师范高等专科学校 2021 9~-. I I ,9c.,9 ~ __ • , I II 33 -. 99 66 - I II 11 - 00 - 22 . II I 66 - 77 - I I o -. ·. 196 161619
2020 3 8 340 97 63 12 160 229594
7415 湖北孝感美珈职业学院`尸、 2022 22 1 216 80 37 14 26 319617
7431 上海南湖职业 \ \ 一 技术 , 哱 ' 院 \一 2022 26 ; 26 I 311 I 94 I 58 I 12 121 4 268-三2682 2 7 6 2 09 06
2021 19 I 11 I 242 I 80 I 25 I 8
2484589437120446118114314017314764901840652801330164091439138081240400699245327166146116915411239717 0 6
7451 邢台职业技术学院夕、上, 一, 2020 12 l5
25-24-25-4-87-10_8-4-2-5-4
2022 25 。
巨
7452 I 深圳职业技本平院 9
『
厂
7453 成都航空职业技木学院
2022 10
8-4-2-5-4
7454 四川丁程职业技术学院 2021
2020
016-0
2022 236 122482
7455 四川交通职业技术学院 2021 219 139565
2020 247 136727· 98 • 第二章报考统计
公布 实际投档 投档最低分 投档最低分 投档最低分
院校代码 院校名称 年份
计划 人数 总分 语文 数学 外语听力 与分数线差值 位次
2022 67 67 395 105 52 11 205 159626
7456 石家庄铁路职业技术学院 2021 50 50 404 92 91 17 204 153847
2020 55 55 371 97 58 。 191 195875
7458 河北工业职业技术学院 2020 14 14 1 313 95 37 18 133 258061
2022 12 12 I 428, 97 59 。 238 120198
7459 常州信息职业技术学院 2021 8 8 428 ! 107 115 8 228 131113
2020 20 20 408 ! 96 52 6 228 156295
2022 32 32 313 91 59 11 123 258966
青岛港湾职业技术学院 2021 27 27 284 97 22 15 84 266960
2020 37 37 251 84 30 17 71 313212
7462
青岛港湾职业技术学院(较高收费
2021 2 。
专业)
~· ~
青岛港湾职业技术学院(单列专业) 2021 4 4 265, 夕一:8人7 29 17 65 279558
2022 50 50飞·一夕 389 ;{ 1-~ 俨`”~O了~~l~ 37 。 199 166977
1lOO
7463 江苏建筑职业技术学院 2021 玉乞积泾产令 68三 360 71 夕二:尸 - ~勹6 ~\ ; \ 160 197624
96 320 113迅\,;j,1- - 9 140 250775
着
7501 上海第二工业大学 9 462 11一6` 103 12 282 101122
21狂; 21 414 107 61 15 224 136619
7502 I :荆~;;_楚\理产\编卢矗工J\!气学i ,,_ " '\\j 院 己`~?- 2 ”:2 Q 0,- 一 L2 4 " “ 1 0 , 5玄 ~. `\ -3316 3 31 6 4 46 5 1 9 1 1 1 1 1 5 8 95 6 1 11 2 2 28 5 1 9 1 1 0 02 2 1 5 3 1 8 4
l. 756 ~ 3 产~ 湖北第二师范学院 2020 24 24 463 122 91 9 283 100093
2021 37 37 373 100 92 8 173 184547
7602 西安培华学院
2020 43 43 357 100 44 。 177 211372
2022 3 3 319 84 40 11 129 252795
7608 卜海杉达学院 2021 JO 9 207 79 20 12 7 302698
2020 15 9 261 91 47 12 81 305513
2022 17 17 279 84 28 14 89 288237
7609 上海建桥学院 2021 23 23 294 80 45 11 94 259407
2020 8 8 445 105 73 。 26.5 118360
2021 53 21 236 71 25 12 36 293920
7611 浙江树人学院
2020 53 23 ; 267 77 51 14 87 300758
2022 37 37 233 69 20 17 43 313623
7614 烟台南山学院 2021 15 15 i 367 91 84 11 167 190485
2020 25 25 213 84 13 15 33 336011
2021 12 10 234 94 21 11 34 294717
7615 青岛滨海学院
2020 12 12 251 91 33 5 71 313212
2022 40 40 417 104 · 69 。 227 133019
7616 武汉生物T程学院 2021 29 , 29 ·, 4l8 101 81 11 218 140519
~/
, ; /、S3俨~5~、 422 97 t 106 5, - 242 141785
麟 18 338 IOQ夺 已54; '12 148 231258
60 t ~~
7621 西安翻译学院 151 207 21 12 7 302698
了t-~` ir- 飞 168 193 44 16 2 13 343756
7622 西安欧亚学\ 贞 i1 '-'· , 飞 I 飞'S 2 t2” 位 O~;2 1 2 -.女,-二一泛一1了 1 "3 3 飞9 4 ` 七 1 1 0 39 4 2 2 0 1 5 2 7 71 0 2 1 5 5 1 9 1 2 5 2 3 3 2 0 0 3 7 l2 4 6 4
2020 150 135 184 45 16 12 4 346324
2022 124 124 350 92 49 。 160 216616
7623 西安外事学院 2021 120 120 322 94 45 。 122 235219
2020 108 108 325 86 68 8 145 245461
2022 15 10 214 77 30 18 24 320163
7625 宁夏理工学院 2021 22 6 219 79 47 14 19 299586
2020 33 14 237 80 38 8 57 322860
2022 46 46 1 306 73 63 15 116 265721
7626 南昌理工学院 2021 47 47 I 324 84 59 11 I 124 233380
2020 52 52 308 I 97 37 6 128 t,i 263211
2022 96 96 286 79 27 6 96 ,,i 282971
7627 西安思源学院 2021 104 107 I 249 I 81 47 6 ! 49 288144
2020 104 104 241 35 20 8 61 320236.
三、2020-2022年河南省普通高校招生高职高专批院校平行志愿批量投档最低分(文科) 99 •
公布 实际投档 投档最低分 投档最低分 投档最低分
院校代码 院校名称 年份
计划 人数 总分 语文 数学 外语听力 与分数线差值 位次
2022 50 48 砌 80 10 18 17 322146
7628 陕西国际商贸学院 2021 23 18 210 85 19 17 10 301992
2020 25 9 231 62 30 15 51 326617
2022 48 48 316 96 35 6 126 255946
7629 齐鲁医药学院 2021 50 50 276 102 25 。 76 272642
2020 54 46 191 55 16 12 11 344399
2022 85 28 199 63 35 11 9 324109
7634 谁坊科技学院 2021 85 14 216 62 58 。 16 300441
2020 85 13 215 67 26 9 35 335100
2022 2 2 397 96 59 9 207 157219
7635 天津天狮学院 2021 6 6 35392 204689
2020 4 4 372 106 袒 f 194763
2022 324775
7636 海口经济学院 2021 304110
2020 346324
闷~\ $r''f5 236 122482
7701 `
二 92 14 276 107245
50良\官改尸 I及414 86 86 12 224 136619
77夕t `O , I2 气`\丘 h玄 I ` 了古 3 B 2 ' • 4 3 3 2 4 4 2 0 4 4 1 9 0 4 8 5 5 5 7 0 0 2 2认 24 1 1 3 6 4 0 8 5 2 3 4 4
\飞 汇气..>,.;三,.伎..,, -_-`酗了·\·"呻"·•. 1\('.歹立"' 飞\户\ '己 2022 7 7 432 100 80 11 242 115660
77: 2021 12 12 447 106 86 。 247 113468
尸s 上. 2020 11 11 440 113 99 17 260 123509
2022 3 3 336 97 58 。 146 233659
7704 河北化工医药职业技术学院 2021 4 1 224 80 26 6 24 298146
2020 4 2 239 82 36 17 59 321518
2022 35 35 419 101 69 14 229 130688
7705 南京科技职业学院 2021 35 35 432 105 122 11 232 127458
2020 33 33 433 111 102 21 253 130604
2022 6 6 442 92 83 14 252 104144
7706 南京信息职业技术学院 2021 12 12 447 105 66 11 247 113468
20加 23 23 · 445 114 86 11 265 118360
2022 25 25 429 111 60 17 239 119088
7707 广州番禺职业技术学院 2021 24 24 436 112 92 23
2020 24 24 442 104 61 `。 裔
2022 136 136 362 91 44 三,_,、1均1$,'一令气
7709 江苏商贸职业学院 2021 116 116 321 11 I ~
2020 103 1 84 r氐咒卢;\|\心92459
2022 2 ,如丛沪:1'-'130 251735
7710 江苏财会职业学院 1 9l乙` 戊切咕 豆'17 90 262550
.,/\,\. 飞\ 。 - ,2;,;1-,宏 \jbl 24 9 32 336464
. 江苏城乡建匼一飞\'贮\E也忙2-?噬`t.三上义抖已贮t己\`\\`:为旷8顷皿 27 ~ L} 讫292 78 35 16 102 278159
7711 \-i i20 己沁3, 25 229 90 20 21 29 296508
25 14 199 23 40 11 19 341698
职业会扒术q学\飞院ei 它` 2022 58 58 326 98 57 。 136 245366
7712 江苏航空 2021 61 61 268 75 45 18 68 277796
2020 53 53 283 82 53 6 l03 287062
2022 60 60 279 79 54 9 89 288237
7713 江苏安全技术职业学院 2位1 40 40 251 100 20 8 51 287136
2020 48 42 186 68 10 2 6 345764
2022 15 15. 350 98 35 11 160 216616
7715 皖西卫生职业学院 2021 15. 15 324 101 36 6 124 233380
2020 10 10 303 93 32 8 123 268234
2022 . 30 30 304 100 43 。 114 267637
7717 皖北卫生职业学院
2021 20 20 231 81 21 12 31 295822
2022 4 。
7719 南昌影视传播职业学院
2021 4 。· 100 • 第二章报考统计
公布 实际投档 投档最低分 投档最低分 投档最低分
院校代码 院校名称 年份
计划 人数 总分 语文 数学 外语听力 与分数线差值 位次
2021 25 7 213 70 36 12 13 301249
7720 武汉海事职业学院
2020 20 3 198 77 10 12 18 342040
2022 60 32 191 82 20 6 1 325829
7721 长江艺术工程职业学院 2021 61 15 206 84 25 6 6 302908
2020 50 6 182 76 19 5 2 、- 346844
2022 68 68 359 89 55 12 169 205212
7722 武汉铁路桥梁职业学院 2021 60 60 341 98 46 12 141 216793
I u
2020 58 58 325 I 80 56 145 245461
7725 泊头职业学院 2020 2 。 ! I
2022 5 3 273 85 50 8 83 292397
7726 宣化科技职业学院 2021 2 。
2020 5 1 293 84 41 11 113 277851
2022 6 6 344. -9; 7 80 14 : 154 223998
7728 包头铁道职业技术学院 2021 6 6; 304 卯 33 11 104 251221
2020 夕艺4劝飞喊2咚6,王多t咚', ' 夕 . 砱比 ,· 6 2 l 2 26 6 8 1 1 8 2 6 ' . .: \2 2 O 5 I l' 夕 \夕 土 ,、俨 l 心5一 ,1 `i \ t ,, 8 6 1 8 3 2 0 7 5 7 5 7 1 9 3 6
7730 黑龙江冰雪体育职业学院 玉20立·- 3 I 214 83夕 s`s七 20 14 34 I 335578
34卢飞 34 324 88 54 。 134 i 247558
印;i·忙.咖.I`}飞呻匕}、·、户气、'气+--等:高•\\科线
1 \ • • i 2 2O 0诅 2o 茫 ` 产立3 3 4 4 3 3 4 4 2 2 9 6 5 3 7 9 3 5 6 3 4 6 1 。 5 9 8 5 3 3 25 0 8 3 6 9 3 6 3 6
7901 二
\ 2022 I 1 416 104 56 9 226 134202
石家庄医学高等专科学校(较高收费
2021 1 1 302 98 35 11 102 252885
专业)
2020 1 1 365 91 64 8 185 202429
2022 31 31 312 102 30 18 122 259938
7902 石家庄人民医学高等专科学校 2021 31 31 296 76 38 8 96 257819
2020 31 31 261 89 41 11 81 305513
2022 30 30 398 106 74 8 208 155967
7903 西安医学高等专和学校 2021 22 22 400 110 36 。 200 157726
2020 22 22 382 110 60 8 202 183875
2022 35 27 193 77 10 9 3 325398
8001 新疆生产建设兵团兴新职业技本乎院 2021 95 11 224 89 15 21 24 298146
2020 80 l 257 85 31 11 77 308659
2022 8 8 432 105 57 12 242 115660
8003 长沙航空职业技术学院 2021 3 3 455 120 68 9 255 106136
2020 8 8 401 97 64 8 221 :. c • 163644
2022 40 40 260 77 39 11 70 | 300485
8007 新疆石河子职业技术学院 2021 37 18 200 74 24 18 。 304110
2020 54 6 8 6 2- 飞 / 0 8 ~,~了 1 { ] .; 尸 . 6 9 6 2 I': 2 7 6 5 1 。 1 女 ;~ 1 2 9 1,' 1 已' ~ 尸~• l 3 1 4 7 0 6 9 9 9 9 7 2
8008 天津铁道职业技木学院 扇「 66 362 l O1.夕年72g 3 14 162 195624
76 361
.9. 4,
44 。 181 206979
天津城市建厂跁',酌\里职业技本牛阮 1飞 52 270 82 24 17 80 294338
8009 , 2 -Q21, 乏,28 28 203 67 20 6 3 303545
:?了 i改士·2~,0 40 12 182'64 20 6 2 346844
,一 2022 23 23 294 89 25 。 104 276477
8010 夭冲生物工程职业技术学院 2021 30 19 202 50 25 3 2 303749
2020 25 25 214 79 21 8 34 335578
2022 14 14 293 81 29 14 103 277351
8011 北京丁业职业技术学院 2021 15 15 438 111 60 。 238 121825
2020 12 12 452 94 97 。 272 111286
l
2022 14 14 412 106 61 9 222 138987
8012 北京信息职业技木学院 2021 15 15 229 72 49 17 29 296508
2020 12 12 452 115 63 12 272 111286
2022 43 · 43 272 77 34 8 82 293019
8013 天津海运职业学院 2021 54 25 206 63 10 8 6 302908
2020 51 39 192 68 17 14 12 344073.
三、2020-2022年河南省普通高校招生高职高专批院校平行志愿批量投档最低分(文科) 101 •
公布 实际投档 投档最低分 投档最低分 投档最低分
院校代码 院校名称 年份
计划 人数 总分 语文 数学 外语听力 与分数线差值 位次
2022 29 6 197 72 16 9 7 324543
8016 北京科技经营管理学院 2021 1 2 251 89 37 。 51 287136
2020 3 3 342 83 54 17 162 227482
2022 26 26 419 89 79 15 229 130688
8017 北京劳动保障职业学院 2021 22 22 398 104 66 。 198 159706
2020 26 26 397 107 77 8 217 167851
2022 30 8 191 65 25 9 1 325829
8018 北京网络职业学院 2021 25 17 234 79 25 9 34 294717
2020 15 15 213 54 39 3 33 336011
2022 5 。
8025 包头钢铁职业技术学院
2020 5 。
2022 15 12 229 69 53 39 315163
8043 辽宁传媒学院 2021 15 3 241 41 291870
.·
2020 15 6 54 324767
2022 ~才。\t'\ Y ,.:;'(;: 62 304888
8044 大连软件职业学院 多::多甘喜 沿 刁;,心1}七飞``义;\(\ `了心
1,2卧 丫7b亨 19 8 25 339518
32礼干坏姿 218 73 10 8 28 318986
\,心 2位\{
804卢\亡8',`n 』, 寸\\产笃一登肛r纽b穹-厂矶\业 \\ - `吐25', 25 247 84 29 。 47 289105
, - \ 子心``社|\2.620 20 20 311 102 20 9 131 260118
飞i汇'关?.,少\泪`a.了民-海\职'·亚•·''学环院'矿.气,'`吐'L勹.,飞 一 2022 98 98 367 93 67 12 177 194991
'
805\\ 2021 83 85 376 103 41 11 176 181478
吕 2020 77 77 369 110 53 9 189 198119
2022 7 7 336 93 29 。 146 233659
8054 天津渤海职业技术学院 2021 7 7 321 94 68 23 121 236149
2020 2 2 310 105 49 6 130 261167
, 2022 43 43 424 107 72 4 234 124827
8055 天津现代职业技术学院 2021 38 38 425 100 76 11 225 133879
2020 48 48 415 105 61 。 235 149065
2021 25 3 204 86 13 12 4 303340
8056 吉林水利电力职业学院
2020 35 。
2022 22 22 439 101 85 。 249 107491
8057 天津电子信息职业技术学院 2021 27 27 444 92 101 12 244 116212
2020 24 24 445 119 79 15
2022 26 26 366 100 61 9 志
8060 天津机电职业技术学院 2021 30 30 342 100 39 心泸产夕杜"J11'L,;含7产、笃飞少巧岂
. 2020 30 30 `;·;
橱
168'\2飞分06465
8061 二:髻2畔0221 荨 ,_ 1出邑:t: 炉汃146 2117l2
, 甘'2i 155 234890
34 134
g37沪心血\ 70 14 189 179514
8062 364 99 54 14 164 193591
354 92 83 12 174 214701
津商务职业\学心一广:院扣,飞勹卢罕飞 沪\沁iO22 81 81 366 92 82 12 176 196341
\: ',,
8063 天/ 2021 108 120 322 70 37 27 l22, 235219
2020 68 68 367 103 49 24 187 200314
2022 31 34 284 74 56 9 94 284502
8064 天津国土资源和房屋职业学院 2021 29 30· 235 75 29 12 35 294344
2020 29 29 236 73 11 14 56 323473
2022 25 25 371 94 67 9 181 189738
8065 天津公安警官职业学院 2021 25 25 355 109 60 11 155 202693
2020 20 20 333 93 55 12 153 237013
, 2022 11 11 365 93 55 9 175 197614
8066 天津艺术职业学院 2021 10 10 336 92 44 21 136 221808
2020 9 9 357 112 26 9 177 211372· 102 · 第二章报考统计
公布 实际投档 投档最低分 投档最低分 投档最低分
院校代码 院校名称 年份
计划 人数 总分 语文 数学 外语听力 与分数线差值 位次
2022 118 118 432 103 94 11 242 115660
8067 天津市职业大学 2021 111 Ill 451 117 69 14 251 109654
2020 102 102 450 104 78 9 270 113304
2022 76 76 295 80 63 15 105 275590
8094 天冲丁业职仲学院 2021 76 76 221 78 18 18 21 299047
2020 70 70 216 66 26 20 36 334629
2022 70 70 268 80 39 12 78 295644
8095 天津石泭职业技术学院 2021 92 43 200 79 8 15 。 304110
2020 86 39 192 65 39 14 12 344073
2022 29 29 340 83 34 16 150 228855
8096 天津城市职业学院 2021 27 27 325 92 58 9 125 232444
2020 29 29 323 90 29 l1 143 247603
2022 27 27 330 88 30 。 140 240679
8097 北京科技职业学院 2021 19 16 296 92 55 12 96 257819
2020 14. l4~ 3`20 86 56 。 140 250775
2022 40 (),多;
8098 哈尔滨城市职业学:三子~-~ 院卞~_ 2021 40 。夕 \飞
~"--~f 2020 16 .乒· `O
a夕编 2022 3 I 7 $ 234 76 43 9 44 313230
占令 上海电影艺术职业学院 2021 2 l 319 102 29 17 119 237976
80,-9' 9` I,\, ''
- ;,- 2020 12 , 9 183 63 15 12 3 346569
夕 2022 13 12 191 63 27 11 I 325829
8101. 张家口职业技术学院 2021 9 I 336 80 37 12 136 221808
2020 9 2 217 73 27 9 37 334175
2022 3 2 250 88 20 。 60 305941
8l03 衡水职业技术学院 2021 2 。
2020 3 1 317 94 45 12 137 253934
8104 秦星岛职业伎本学院 2020 6 6 23.8 81 27, 12 58 322187
2022 8 8 276 76 45 () 86 · 290325
8108 邯郸职业技入学院 I 2()2] ! 6 1 222 65 44 8 22 298773
2020 6 2 264 79 30 8 84 301147
2022 9 9 346 92 I 51 i 12 156 221594
8110 石家庄职业技术学院 2021 8 8 324 93 39 11 124 233380
2020 8 8 277 95 65 。 97 292459
2022 5 5 352 97 66 11 162 214108
8111 河北软件职业技术学院 2021 5 5 324 82 62 9 124 233380
2020 5 5 329 102 的 14 149 24l241
2022 16 16 31 l 89 .仁32 2 121 260906
8112 诃化交通职业技术学院 2021 25 庄 24 6 $,今午 46 289571
2020 22 29 6 25 339518
II ,--,'Y,,
.., 2022 29 : 29 熊2如:9o 95 6 192 175731
河北轨迫吟输职业,);\1,技\七尸.-夕本,-了凡\学-泛_~-c凡'_『,院)之 , 2021 23 卢立3\ ; . F. 363 92 46 12 163 194637
8113 ,T',J~ ,, -.\) -
2020 25 25 351 94 54 。 . 171. 217993
.•.
,飞 2022 10 10 399 10'j 62 。 209 154667
8115 承德护理职业学院 2021 10 10 379 111 71 17 179 178501
2020 10 10 338 105 58 17 158 231723
2022 2 。
8116 河北建材职业技术学院 2021 6 3 306 100 34 。 106 249455
2020 6 1 295 98 37 9 115 275919
2022 2 2 325 79 43 14 135 246476
8117 叫北能而职仲技术学院 ~ ~ 2~ 2 ~ ~ ~ 0 02 2 1 0 5 5 』 ,' 。 1 333 92 42 11 153 . 237013
2022 10 1 251 96 11 14 61 305420
8119 伴木斯职业学阮 2_0_21 iI;, 10 。
-~…
2020 5 。 Ii.
三、2020-2022年河南省普通高校招生高职高专批院校平行志愿批量投档最低分(文科) 103 ·
院校代仍 院校名称 {l 份 公布 实际投档 - ·-- 投扫 - 最 -- 低分 - 投档最低分 1投朸最低分
计划 人数 总分出又数学外语听力 与分数线差仇 们次
2022 20 20 255 76 44 8 65 303277
8122 河北对外经贸职业学院 2021 19 14 205 i一-70 。 12 5 303126
^~
2020 17 7 189 75 29 3 9 344966
2022 8 3 193 70 25 9 3 325398
8123 河北旅游职业学院 2021 8 1 266 99 48 5 66 278968
2020 8 8 224 72 35 。 44 330572
2022 35 6 252 80 32 11 62 304888
8126 大连枫叶职业技术学院 2021 35 5 243 96 35 11 43 291008
2020 35 10 190 70 22 15 IO 344703
---- ____,_ _
2022 1 1 256 80 28 12 66 302727
'"
8128 行豕庄「程职业学院 20一一2一一l 1 。
2020 4 1 264 85 28 三它王呤 I ^^ 303141
8129 仇家庄城市经济职业学院 2020 1 。 84
2022 6 0三
8130 石家/L财经职业学院 2021 ,5丛~刁 ??、 多 217 78 44 ;勺'C 17 300151
202O 15 。 \', t i ``
2位2 42 7 196 , 73~ L 15 99 6 324775
8132 哈尔滨传媒职业学院 2021 20 1 306 77 53 21 106 249455
>? >'\,\\'__ _._- -·,了,\', 2-0-20 30 6 210 82 22 15 30 337374
813'3, : ~已冀中职业学院 2020 2 。
, --
813>\\ ;,飞 2022 5 5 404 104 95 。 214 148523
叫比环墨工,,,程,一',学院 --- ----
,~ · 2 020 ~... 5 5 442 l l5 83 。 262 121493
2022 48 9 223 90 10 5 33 317282
8150 苏州自年职业学院 2021 39 8 227 77 30 12 27 297223
2020 99 18 184 62 15 9 4 346324
2022 18 2 211 69 19 20 21 321053
8158 黑龙汀民族职业学院 2021 18 2 288 102 32 21 88 264058
2020 18 l 284 75 35 6 104 286131
2022 6 6 235 93 21 11 45 312809
8161 眢城职业技术学院 2021 5 。
2020 15 2 216 89 15 11 36 334629
2022 12 4 197 65 30 12 7 324543
8163 K冶职\I~技术学院 2021 10 。
l ^”/ ...
2020 20 。
8166 山西建筑职业技术学院 2020 11 6 295 80 41 8 275919
嘉5'元\!心::,于1忙'力旦石六.:飞屯
I- 8I67 ··· ^^^ 山匹交通职业技术学院 2020 8 4 251 79 40 4思尸4.4;9芯.81勹二之4 85l 3,1丛3,2人1,2, '"
2022 7 7 208 74 35 2·: 3..- 321867
8168 山西水利职业技术学院 2021 8 ~_ `3 心心 73 21 知尸 291008
^~ 2020 立-20 L ~吓;,;巳」:。,心,. '/ : 产, 、~'`:人
2022 ~/ 2 l 192 65 27 飞'' 15 2 325611
-,-_-
8169 山西机电职业技术学院 2021 2 。
2020 5 。
2022、 3 。
山西工程职业学院(原山西上程职业
8170 2021 3 3 363 97 99 。 163 194637
技术学院)
\全~- .\ ·.3 ~飞-“飞~i~ ,,屯'` 2020 7 。
8176 太原学院 1之/ 2020 17 17 432 lll 47 9 252 131624
2022 3 3 299 93 34 15 109 272104
8196 幻京城市职业技术学院 2021 3 3 212 75 20 9 12 301522
2020 9 4 208 73 17 12 28 一I --3”38“2'5巫2 -
--
一·· 2022 40 40 209 71 IO" “一尸· 5 19 321611
8198 昆山登云科技职业学院 2021 30 30 200 69 31 11 。 304110
2020 40 8 256 88 4i 。 76 309431
2022 12 12 282 71 59 。 92 285971
8200 二明医学科技职业学院 2021 19 4 240 93 13 11 40 292273
2020 56 3 185 71 30 。 5 346050
2021 6 。
820\ 兴穴职\I|技术学院 l
2020 4 。· 104 • 第二章报考统计
公布 实际投档 投档最低分 投档最低分 投档最低分
院校代码 院校名称 年份
计划 人数 总分 语文 数学 外语听力 与分数线差值 位次
2022 4 4 262 90 15 。 72 299366
8203 内蒙古建筑职业技术学院 2021 5 5 272 93 60 12 72 275367
2020 4 2 211 79 16 9 31 336931
2022 7 7 202 70 20 22 12 323382
8206 福州软件职业技木学院 2021 7 2 244 89 29 11 44 290545
2020 60 。
2022 15 2 282 79 29 6 92 285971
8209 厦门兴才职业技术学院 2021 19 2 220 71 35 11 20 299310
2020 52 8 180 51 33 6 。 347337
2022 16 3 305 99 32 11 115 266678
8211 福州墨尔本理丁职业学院 2021 20 。
2020 19 7 208 72 30 6 28 338252
2022 10 3 264 82 48 18 74 298130
山东工程职业技术大学(原山东凯文
2021 42 7 240 66 14 3 40 292273
科技职业学院)
8216 - - 2020 4--1- 4 261 55 42 于-- 15 “L 81 305513
科 山 技 东 职 工 业 程 学 职 院 业 , 技 较 术 的 入 收 学 费 ( 专 原 业) 山东凯文 七卢夕c砌严写`夕炉俨之呤一;`2、~o人多八认,今 c 玄3气上吓,'令二 。 $ 兮; \
·· 允迈 14. I 204 70 15 12 14 322900
8218, , 山 国语东,职外~-业-r国.语学.院职业)技木大学(原山东外 2021`夕 ,-,' 160 ,i 41 201 86 9 8 1 303931
i \, ,\ \ -丈 2020 160 I 112 195 68 35 。 l 5 343072
.: ,一七,. , t \` 已-- 2022 35 6 221 78 46 。 31 317995
821~' 淮坊工商职业学院 2021 25 0
2020 23 I 209 77 34 8 29 337792
2022 11 11 323 91 45 。 133 248623
8223 山东药品食品职业学院 2021 11 11 264 94 30 17 64 280159
2020 11 9 197 68 32 6 17 342387
2022 4 2 257 72 44 11 67 302142
8224 湖南安全技术职业学院 2021 3 3 332 82 59 14 132 225724
2020 . 5 4 237 74 25 8 57 322860
2022 20 20 366 : 9862 55 15 176 196341
8225 柳州铁道职业技本学阮 2021 20 20 349 82 9 149 208753
2020 16 16 340 I 106 16 。 160 229594
8226 广四城巾职业大羊 2021 25 3 232 88 40 9 32 295452
2022 5 1 208 75 20 6 18 321867
8227 广西英华国际职业学院 2021 25 。
2020 5 。 _: 七~ ?':
2022 48 48 427 104 81 。 237 121335
8228 重庆丁商职业学院 2021 33 33 428 102 98 12 228 131113
2020 f3 : 1 --2 4 5- 0 七 、丐 25 417 111 .• 74 - l5) ! 237 146967
82.ll 盘锦职业技术学院 二.,尸 _ ,' • 歹 • 了 己.\ ~ , . 还 : 、 2 2 , ., , ,虚 , s 0 0心2 22 0 产尸 亨 : 文 r 1-0 。 。 t'.:.-子气 i '- ` b 了 .飞}\,勹!·
人了~-,饥·叨名仁22
40 飞 27 199 60 19 14 9 324109
8232 四川华新现\代- \ \ 职、 一`,业羊院 ` 2O21 -一--一,'22尸:、,'' 13 211 81 32 18 11 301758
吁 气 `,2O2O 26 18 193 76 14 9 13 343756
2022 35 35 302 96 47 11 112 269455
8233 大连职业技术学院 2021 35 35 300 94 29 14 100 254567
2020 30 30 283 103 27 12 103 287062
2022 30 1 431 102 84 10 241 116853
8234 辽阳职业技术学院 2021 32 。
2020 25 。
2022 35 l3 止?-止-227 · · ·止64 29 15 37 315901
8235 营口职业技术学阮 2021 16 6 251 91 24 12 5] 287136
2020 34 I 3 238 74 41 9 58 322187
2021 10 I 203 55 34 2 3 303545
8236 辽宁石化职业技本学院
2020 5 I 249 1 75 16 17 69 314650.
三、2020-2022年河南省普通高校招生高职高专批院校平行志愿批量投档最低分(文科) 105 •
公布 实际投档 投档最低分 投档最低分 投档最低分
院校代码 院校名称 年份
计划 人数 总分 语文 数学 外语听力 与分数线差值 位次
2022 29 19 216 79 32 。 26 319617
8237 辽宁机电职业技术学院 2021 19 2 302 93 22 8 102 252885
2020 20 2 251 86 24 15 71 313212
8238 辽宁轨道交通职业学院 2020 4 2 259 83 35 14 79 307090
. 2022 65 65 240 76 40 。 50 310704
8239 渤海船舶职业学院 2021 42 20 208 59 47 9 8 302462
2020 37 14 213 85 26 6 33 336011
2022 35 6 巧5 65 58 14 65 303277
8240 辽宁金融职业学院 2021 34, 2 234 84 21 14 34 294717
2020 34 6 203 77 17 14 23 340306
2022 49 49 190 66 326041
8241 辽宁经济职业技术学院 2021 53 7 221 77 袒贮 299047
2020 335100
8244 辽宁现代服务职业技术学院 2020 覃
· 2022 324109
8246 炉额11,'2,o 89 263277
12 5 5 346050
48 1', \ 念心49it, • ;359 97 72 16 169 205212
82\5寸4,卢, 了贞301. . 30 330 101 64 14 130 227648
!
31 31 306 96 33 9 126 265265
72 72 270 82 49 6 80 294338
825\~\ 30 30 217 72 29 14 17 300151
沁`'贷\ 20 18 197 73 42 9 17 342387
2022 50 36 198 61 25 9 8 324323
8258 西职安业信学息院职)业大学(原陕西电子科技 2021 40 10 205 89 20 9 5 303126
2020 10 9 194 69 24 11 14 343428
8261 陕西旅游烹任职业学院 2020 9 1 284 99 24 8 104 286131
2022 45 45 270 77 45 。 80 294338
8269 辽宁衣业职业技术学院 2021 35 9 195 74 12 11 一5 304991
2020 · 30 2 270 101 13 。 90 298283
2022 13 9 212 91 10 14 22 32(J744
8282 辽宁地质工程职业学院 2021 13 `3 256 83 48 5 56 284563
2020 13 2 256 72 50 15 76 309431
2022 20 3 219 71 30 9
8289 抚顺职业技术学院 2021 15 。 五
2020 12
三~i心l2夕.“心
2022 21 l 244 ?5” ||
8301 辽源职业技术学院 2021 40 立 1?t [`: `.,\\ 300151
1山`巨立'74 310932
长春一卜笃f1t]`皿荨 .,. 8 69 301039
8302 17 56 284563
?
`3卢 '.284 82 21 12 104 286131
吉林电子信即\\\二r-仁`记妘矗\''`-飞霖」\`认匕t行学:2, 院i勺\-从 < 习 ` 已夕必磁 巳勺`` 4 228 68 48 18 38 315547
8303 d \ , 饶2021 30 。
2020 60 7 223 60 45 12 43 331092
\ 叶」尹卢 2022 2 。
8304 吉林工业职业技术学院 2021 16 1 343 83 40 18 143 214731
2020 30 。
2022 13 13 267 90 50 17 77 296286
8305 吉林交通职业技术学院 2021 11 2 391 106 81 8 191 166551
2020 15 4 191 55 19 9 11 344399
吉林工程职业学院(原吉林农业工程 2021 20 1 306 99 59 17 106 249455
8306
职业技术学院) 2020 50 2 296 91 39 8 116 274994
2022 10 10 345 99 35 。 155 222771
8307 吉林司法警官职业学院 2021 10 10 317 93 54 12 117 239765
2020 11 11 248 73 40 9 68 315404
8308 四平职业大学 2020 30 l 292 96 34 15 112 278796• 106 · 第二章报考统计
公布 实际投档 投档最低分 投档最低分 投档最低分
院校代码 院校名称 年份
计划 人数 总分 语文 数学 外语听力 与分数线差值 位次
8310 江苏医药职业学院 2020 9. 9 391 98 52 18 211 174167
2022 4 4 434 103 82 15 244 113361
8311 苏州卫生职业技术学院 2021 27 27 437 104 91 2 237 122730
2020 27 27 430 112 83 。 250 133668
2022 67 22 192 66 25 9 2. 325611
8314 广西经济职业学院 2021 49 7. 212 78 15 11 12 301522
2020 88 1 314 82 51 。 134 257056
2022 36 36 338 95 34 2 148 231258
8316 北京经济管理职业学院 2021 18 18 422 118 88 11 222 . 136731
2020 13 13 451 113 58 8 271 112345
2022 25 14 190 60 326041
8317 烟台汽车工程职业学院 2021 25 9 245 71 归; 290064
2020 291580
2021 讲 266241
8318 浙江横店影视职业学院
2020 57 -6 已飞色: 沦- 11 8 273026
漕夺功泣
\ 芦`飞;,下-,J
8322 漳州理俨工职'-业学'又1院三了五名于飞性夕 44 15 168 189476
§ 14抖 3 :\劝';
83了2,\54 \\ ` , ,勹 \ 了 士·了 ,\` - ., , 1..凡 ,广.”.'-; , _ . 了.· · 西 ,· 一 f1 . ·` - :.元\,户程立f',了飞`职,\.,了业, • 学.子 •· 院运..气. , 沁 · , ,· , 在农 ,,, ,“ , t-气i-,' 5 氏 - 2 2 0 0 2 边 1 心 .,',3 14 5 1 9 9 2 2 1 2 1 9 7 7 2 4 1 15 7 1 。 2 2 2 1 9 3 2 2 96 1 5 0 0 5 8 3
2020 34 1 226 75 34 11 46 329528
\,一 ”重庆.财..,经今S职寸止二`业产学一院 2022 33 33 429 100 84 12 239 119088
8326尸 2021 32 32 438 108 68 9 238 121825
2020 33 33 435 100 82 15 255 128552
2022 14 。
8327 安徽绿海商务职业学院 2021 15 。
2020 15 1 269 95 47 12 89 299093
2022 24 14 213 74 14 。 23 320454
8328 广州城建职业学院 2021 23 6 246 82 20 12 46 289571
2020 . 24 7 223 80 17 11 43 331092
2022 35 23 198 66 30 9 8 324323
8329 江西新能源科技职业学院 2021 30 14 217 78 18 14 _17 300151
2020 38 5 186 72 25 6 6 345764
2022 29 8 198 74 21 11 8 ,,,心~邻3^- 它24323
8330 江西枫林涉外经贸职业学院 2021 10 3 300 101 45 20 三心尸编-r:己.,痔-r今:」等工叩` 」`冬心 寸,:石 '沁 t、勹`芯、心沁,户4567
2020 28 1 248 106 20 于年:8',已艾上 ._, `,6 ". 3 ',.'. ' `~ §;, '315404
2022 57 27 325398
8331 江_西泰豪_动漫职_业学院: 2021 60 _5编、0 归 9占;,占 \` 302237
伲加加。 髯三。 " 佥 lJ. . ~ 气 飞';,在夕屯 4' 346324
s\ «尸立尸,' 尸
8332 寸尸1已飞;
气',戎i}倍,
重庆科创职业\,\学I-s},了-_气§'k院I; 夕/臼心't\士,户`忙它之\少丁_玄~贮'\'沪,巳一,凡六', 艺 2O盆 三飞贮' 6 301 85 40 12 111 270308
8333 \ ` - \\\-\,? , 勹砌)21 5 1 259 .81 · 45 11 59 282939
2020 11. 2 272 84 24 11 92 296665
-
1,' 2022 30 23 199 82 15 9 9 324109
8335 辽宁建筑职业学院 2021 25 7 225 80 24 18 25 297842
2020 16 4 189 69 25 9 9 344966
2022 14 14 383 110 37 12 193 174502
8336 山东传媒职业学院 2021 19 19 361 98 75 6 161 196657
2020 20 20 .308 . 98 47 6 128 263211 ·
2022 20 10 195 58 19 11 5 324979
8337 临沂职业学院 2021 24 3 218 68 20 11 18 299856
2020 24 3 207 67 25 14 27 338657
2022 28 28 307 90 45 14 117 264800
8338 湖北工程职业学院 2021 28 28 241 90 21 11 41 291870
2020 28 11 184 76 24 9 4 346324三、2020--2022年河南省普通高校招生高职高专批院校平/行志愿批量投档最低分(文科) · 107 ·
8369 | 浙江国际海运职业技术学院
8371 学院
8372 午阮
咖
8373 .人 门 力'\淫 职业技卡/ 孚 ,-,4 & 占 c /
8374 人兴安I 入 了 i “八 j , r 学防 5C /
~
8376
83778378
8379 哏龙江农伸厂程职业学院
8381 黑龙江农导职业学院
8383 嗅龙江林\W职lV技木学院
251735
/
8384 煤)七d司丛警官职业于院 266960
342748
326041
8387 牡丹五大学 301992
341698
8389
9
324109
8410 福建生物L程职业技术学院
1 233 151112
;
-
』· 108 · 第二章报考统计
勹公布 [ 」 实阮投料 投柏最低分 投档最低分 投档最低分
院校代码 院校名称 年份
人数 酰总分1 语了文丁i 数言学 外语8听力 /_]分数线差值 位次
2022 25 227 133019
8412 厦门城市职业学院 2021 28 30 427 116 1 82 24 227 132034
2020 21 21 437 98 I 116 14 257 126529
2022 47 1H-4 ~-2 - 302 77 [ 48 6 112 269455
8416 山东商务职业学院 2021 42_ _ ~I 222_(563363 - _1010109':9_ -II1 I - 2299 - 17 - I一 63 280715
2020 | 40 40 1 282 i 72 37 s 102 287969
8417 山东轻工职业学院 2021 20 i 2 2:44 93 31 l5 44 290545
1.
2022 55 I 15 200 ?I t 13 I 1s I 12 10 323854
8431 三亚理了职业学院 2021 仁I 30 296154
:三--2:30 -s 2 I 22 o
一口 心 -口心 口一 一心- 2 2 0 0 2 2 0 2 8 7 5 9 - ,IL_ I -1-s1 _ _』_ I L -_ -1 11 1 -- '一 4 37 6 I -… 3 3—奴 3 1心 4 2丛— 1 3- 7 9 ` 5 0 — -—
8434 江西冶金职业技木学院 2021 20 13 212 80 39 9 12 301522
-- -- -- -- -
2020 20 5 `234 75 1叮—2-1” “--了-1-8… --, 54 J-- 321-4-—7丛6—7-
尸I !2—20022一21 3 3 299 厂i 91 ii “ 39五 16 卜一· 109 272104
8435 山东理工职收学院 3 3 8 49 288144
2020 4 3 I 21s 62 25 9 邓 333708
运城职业技本大字(脱运城职业技本
8438 2O20 6 2 270 93 32 8 90 298283
学院)
尸一~
2022 3 。 - I一
8439 大连航运职业技术学院 2021 l3 I 306 72 76 5 106 249455
2020 4 I 230 87 33 l2 50 327216
~---
尸!i 22002212 36 三1 i 229 77 24 17 |,“3`9 —妞卜-315一163·
8440 大迕汽车职业技术学院 34
2 2 0 0 2 2 0 2 5 1 3 4 —^ S0J -355+ !9 _ 9 _ _ 7.2 _ () 尸 - 一 - 16 ` 5 一i 210272 —
di,户岁E兰 仁 I 22 十 0022]-0 5 79 8 58 _俨 38 一俨 9 , 108_ - - 3-6 1 15 4 189 / i :1:6.85三12 一
8442 72 9 二I 3281 1Y0O 6 上 I I 翌 38
I 2022 9 。 13 1
上海行健职业学院(较高收费专业) 2021 3 3 302 84 I 54 。 102 252885
----t 仁 --- 2 I_ 2 0 - 02 - 2 _ 20 - --上 i - !+- __5 2_0 _-_ - --2 厂 厂 | 23 3 1 4 8 94 2 2 2 5 4 6 9 51 3 3 2 1 6 3 6 2 1 3 7 0
844:l 大连装备制造职业技木学院 I 2021 15 一^「
I 2020 50 。
2022 38 38 320 92 52 () 130 251735
8444 二峡电力职1II,学院 38 38 258 69 29 9 58 283474
尸|
19 80 37 18 55 324103
勹31 三三I
22O0O02222 02ll 一 1 -
35 97 244031 563 108 61 9 216 146124
l -
8445 上海科学技木职\l\t学院 29 120 84 。 213 145244
2020 27 27 442 96 9 尸 262 121493
792 I 0
2022 53 53 412 103 222 138987
8446 上海电子伈自职业技术学院 7产40勹II 五 422 105 96 0 222 136731
, - - -- — 22 2 00 0 22 2 10 2 !I 1 , 4802 4 3 2 81 7 1 9 1 6 j /五; 1 : 2l0 7 l - 2 1 4 91 7 - 1 ]-飞 7 -6 6 7 9 ·- 2 9 7 2 - ---
8447 上海交通职业技术学院 2021 31 31 371 106 17l 186460
I 2020 28 28 363 99 46 20 183 204711
2022 64 64 二',399- 二I 一二 209 154667
8448 上向城建职业学院 202] 66 66 11“01 6s I 12 203 154810
2020 65 65 389 l03 94 。 209 176296
Ml 239549
翋2 面,i 卢勹° ----- --
8450 上淘农林职\W技木学院 2021 ` -` I 65 65 os 8 10s I 247689
I
202() 65 65 255 / 12 75 310194
20202212 -- 1l5O }iI os - - 235 『 I -12 - - -45- -- --Ii,I -- 3128-09
8451 湖南外国语职业学院
2020 14 2 216 11 36 I 334629三、2020-2022年河南省普通高校招生高职高专批院校平行志愿批量投档最低分(文科) . 109 ·
公布 1实们投杜 投档最低分 投抖最低分投档位最次低分
院校代码 院校名称 年份
计划 人数 总分语文数学外语听力与分数线差值
2022 1I- —- 191 65 20 17 1 325829
上海工商职业技木学院(原J海新侨 66— 99 .^ 4-,- 0
2021 32 207 79 15 ]] 7 302698
职业技术学院)
8453 2020 52 I 45 191 63 40 11 ! 11 344399
上海L商职业技术学院(原上海新侨
2021 4 。
职业技术学院,较高收费专业)
2022 50 19 193 81 15 12 3 325398
上海中侨职业技术大学(原上海中侨
8454 2021 65 38 207 86 16 14 7 302698
职业技术学院)
2020 60 56 199 77 16 6 19 341698
2022 36 27 204 54 19 14 14 322900
8455 上海邦德职业技木学院 2021 36 22 201 56 23 14 I 1 303931
2020 32 36 218 65 33 。 38 333708
2022 50 3 241 71 25 七 12 51 310258
8456 哈尔滨应用职业技木学院 2021 50 I 4主15 心, U2 215 143362
2020 64 丁 . 3 ~202 21 3 64 318230
2022 43 23 。 5 324979
8457 卜海东海职业技术学院 2021 56 3?\ 203 87 l8 I 14 3 303545
2020 39 35 介 185 64 19 9 5 346050
: ''\ 2022 206 34 193 68 14 14 3 325398
上海工商外国语职业学院 2021 '94 45 201 79 31 14 1 303931
\' ',:.,,'\ 2020 123 63 189 64 22 8 9 344966
845\i 2022 8 I 416 106 51 。 226 134202
上圭海iI八工.i商外国语职寸v学院(较高收费
2021 220 57 15 27 20 299310
\ I ~~专 夕r\, 业): 2020 2 8 -II —` 2 2 _ 281 104 16 --t 10] 288880
8
2022 7亏8 ! I 尸 41 200 66 10 9 10 323854
8459 上海济光职虾技术沪院 2021 51 211 73 17 11 11 301758
2020 67 40 184 71· 27 11 4 346324
2022 9 9 380 92 59 6 190 178265
8471 广州科技贸易职业学院 2021 8 8 381 87 84 6 181 176451
2020 10 10 341 92 54 5 161 228530
2022 10 10 364 100 61 17 174 198903
8480 四川文化产业职业学院 2021 10 13 307 88 46 14 107 248573
2020 10 10 318 100 56 8 138 252901
..
2022 24 24 264 19 44 26 74 298130
8481 哈尔滨科早技本职业学航 2021 25 i lI 207 73 40 9 879 归~彗扣2698
2020 l 8 5 269 87 41 6
2022 5 L 289 79 22 。 99
8483 蚌埠经济技木昂嘈学院 2021 l O I 245 工 14 45 2`9凶 64
2020 5 。 产心心也 矿;心三主,飞'\ \ ,
? ?
2022 29 '2..9 340 17 150 228855
8484 福建JJ生职业技术学院 2021 36、 36 252 85 30 '15 52 286634
2020 40` 33 、,、185 52 20 12 5 346050
广'
8488 泉州丁艺美术1职业\学- , 院 I -~' \ 加22 10 \ `~ | \ O
' 2021 10 。
, ' \ ~一一, ' 2022 36 23 190 66 34 。 。 326041
8490 宁德职业技本学院 二 2021 22 6 飞52 91 59 。 152 205683 ·
2020 22 I 364 103 47 11 184 203575
2022 42 22 204 58 45 5 14 322900
8492 厦门软件职业技本学阮 2021 40 8 210 66 43 17 10 301992
2020 24 19 213 43 40 6 33 336011
2022 53 20 261 85 34 18 71 299962
8493 漳州城市职业学院 2021 56 16 274 85 45 。 74 274006
2020 53 4 304 101 22 6 124 267248
2022 55 14 208 68 15 6 18 321867
8494 厦门南洋职业学院 2021 65 12 209 66 35 11 9 302237
2020 70 30 195 72 21 6 15 343072• 110 · 第二章报考统计
院校代码 院校名称 年份 公计划布 1实际人投数档1 总分1语 文投数?最学低外了语听力与1分投数档线最低差分值1投档位最次低分
82-62-56-14-22-25-16 8 169-141-122-11-109-78-41-97
2022 82 205212
12_9
8496 湖北科技职业学院 2021 54 二 216793
269166
竺竺
8497 湖化青年职业学院 2020 22 344399
-~
I 2022 I 22 299 I 86 I 29 272104
中山职仲技木学院 ;卢 -一~ -- m^ i; , - 2 - 5 14-8-o 271301
气
8500 i 2020 1 18 332173
,! 2022 I 9 282184
中山职业技木学院(较高收费专业)
! 2020 [ 13 。
玉
32 I 316 I 96 I 40 I 6 126 255946
8501 泰州职业技术学院 2021 41 41 I 237 I 70 I 26 I 8 37 293534
3
2020 66 32 I 1s3 I 70 I 30.J 6 346569
255-262-276-236-109-59-17-28-77-8
2022 28 28 445 106 87.一。 100731
无锡职业技术学院 2021 28 28 462 lQ8 ll3 11 99769
8502 2020 39 一ii 尊左.,I 456 \ 1夕172 I 93 \ 9 \, 107245
2022 2 ~尸''ii 426 · L s6 · I 71 I 6 122482
1 尤锡职仲技木学院(较高收费 I亡-20-2-1— ·I 2 心'2,· `飞'王3.,09·.扩各3玄92 0 \ 12 246819
! 2022 42 i 气 ;; . 42浇 2之4_ 990 24勹 306433
8593 I 苏州工业园区职业 2021 46 40 15 300151
I 弩.- 亡~ I 2020 70 34-25- 归 25 一 14-12-14 338252
于ti厂:`;产 2Q22 25 296286
85凹 江阴职业技术学院 2021 25 302462
2020 I 111 I 35 I 208 I 87 I 27 I 8 28 338252
2022 I 64 I 48 I 194 I 57 I 21 I 17 4 325188
8505 宿迁职业技术学院 2021 I.. 52 I 46 I 210 I 69 I 32 I o 10 301992
2020 I 110 I 34 I 180 I 58 I 20 I 5 。 347337
2022 14 14 348 99 46 12 158 219108
8506 苏扑lI业同区哏务外包职业学院 2021 I 9 I 9 I 325 I 97 I 43 I 11 125 232444
2020 I 17 I 17 I 330 I 112 I 37 I 14 150 240200
I 一_ ___
2022 I l42 I 142 I 302 I 80 I 44 I 9 112 269455
迕云港职业技术学院 2021 I l18 I 118 I 250 I 67 I 41 I 12 50 287643
8507
2020 I 136 I 114 I 191 I 52 I 15 I · 9 11 344399
1---
连云港职业技术学院(较高收费专业) 2020 6 1 209 87 31 14 29 337792
南京工业职业技术大学(原南京工业 2021 I 31 I 31 I 467 I 10s I 11 I 11 I 261 95210
8508
职业技术学院) 2020 I 32 I 32 I 466 I 99 I 83 I 11 I 286 97100
-_ _ r
2O22 28 28 410 105 78.-, l4 220 141459
8509 江苏工程职业技术学院 2O21 31 31 385 91 -IO2 10 185 172-582
34 一--
2O20 45 45 351 100 15 171 217993
2022 ! :1__ 三翌函6飞,95 62 6 三,p,'占 206 158380
I I .,.,一I I I · I
8510 南尔机电职业技术学院 ,, 2021 26 飞钡, ·37~· 93 s2 14 11s 182464
.....
--,_\ c. I 2020 1 30 1 30 .夕35公心95 98 0 172 216939
\ I . 厂 I. 了 了 ! · :.} - .; 、 1 , ;\ ' - \ ,\ 2022 I 113 吕1,1i3丘. 343 87 53 12 153 22俨52一17
8511 I `凇 I 哼 忱 它一 仁 -」.. 七七一名 I ·二士 2021 I 123 -I 133 I 329 I 98 i 29 I u I 129 228592
\ \ 夕 了凸二见 2020 i 128 I 128 I 323 I 106 I 33 i 6 · I 143 247603
2022 I 46 I 46 I 416 I 91 I 87 I 10 I 226 134202
8512 I 南京交通职业技术学院 2021 I 55 I 55 I 430 I 94 I 93 I O I 230 129277
2020 I 54 I 54 I 431 I 113 I 65 I o I 251 132665
2022 I.195 I 195 I 327 I 82 I 52 I 2 · I 137 244191
8513 江苏电子信息职业学院 2021 I 202 · I 202 I 296 I 86 I 49 I 8 I 96 257819
2020 I 215 I 215 I 271 I 73 I 51 I 6 I 91 297473
2022 I 19 I 20 I 275 I 88 I 39 I 12 I 85 291038
8514 沿州纺织服装职业技术学院 2021 1 16 21 208 釭丁一五厂- 9 8 302462
』 2020 I 39 I 21 I 194 I 7s ! 30 I 1s I 14 34飞428.
三、2020---2022年河南省普通高校招生高职高专批院校平行志愿批量投档最低分(文科) 111 •
公布 实际投档 投档最低分 投档最低分 投档最低分
院校代码 院校名称 年份
计划 人数 总分 语文 数学 外语听力 与分数线差值 位次
2022 44 44 293 79 39 。 103 277351
盐城工业职业技术学院 2021 59 48 221 98 24 21 21 299047
8515 2020 91 91 293 89 60 11 113 277851
- - -
盐城工业职业技本学院(较高收费
2022 4 ()
专业)
2022 5 。
8516 渤海理工职业学院 2021 I飞 。 I
2020 15 l 263 102 20 9 ! 83 303966
一人 人 2022 50 50 342 95 57 () 152 226413
8517 常州工程职业技术学院 2021 57 57 326 100 43 。 126 231496
2020 76 76 275 95 43 6 95 294169
2022 15 15 282 70 65 3 \ 92 285971
常州丁业职业技术学院(原常州轻工
8518 2021 15 15 290 98 33 9 I 90 262550
职业技术学院)
2020 20 23 ~ 234 73 10 12 54 324767
>~
2022 19 l9 371, 9l 52 12 181 189738
8519 常州机电职业技术学院 l 9 25 305 92 ; I\35:飞 l 1 - •;乏 . . 0 105 250321
` 15 15 26去9灯 \ 飞岗~五亡 19 20 89 299093
132 132 337 90 58 15 147 232452
85\2\~~ 心0\飞卢1, \ 徐'二\/\-州'\-\工二_ ~ \ - ` ] . 1 · 业 /_ 叶 职业技术学院 c r ;r, ` \ ; 2020 \'1 2 4 4 5 2 2 1 4 5 2 3 3 26 1 8 2 9 8 1 2 6 3 1 0 1 9 1 l 8 l 8 2 2 29 4 9 4 9 2 2 3 8 5
't :! 子\-- \\, __~ -七尸f i 2022 23 I 23 336 93 52 14 146 233659
852i\ 江苏食品药品职业技术学院 2021 26 26 290 84 77 9 90 262550
\
2020 21 · 21 251 80 15 。 71 313212
2022 20 20 346 96 41 8 156 221594
8522 江苏信息职业技术学院 2021 35 35 299 106 28 15 99 255359
2020 35 26 206 63 15 8 26 339081
2022 55 55 375 106 87 11 185 184700
8524 江苏农牧科技职lv学院 2021 55 55 323 88 43 l 5 123 234311
2020 115 100 163 59 10 9 -l7 350739
2022 24 24 382 104 46 。 192 175731
8525 苏州农业职业技木午浣 2021 46 46 335 88 67 6 135 222791
~ _ 2020 57 57 326 96 32 14 146 244367
2022 24 24 395 99 75 5 205 159626
8526 江苏农林职业技术学院 2021 89 89 338 90 66 15 138 219793
2020 112 114 310 92 35 8
~"
l 3~ 0~ 261167
2022 89 89 389 100 76 。 199 166977
无锡商业职业技术学院 2021 134 154 377 JOO 70 6 177 180490
8527 2020 116 ~~ /占11?/ 6 39l 98 66 12 211 174167
无锡商业职业技术乒阮(较高收费 2021 +: 6 2 邓`:90 ,;, 75 6 ; 179 17&501
专业) 言 4 2 3劝 92、' 笃 4、· 12 170 219081
了菁切硕_ ,, 执翠-贷, 3- 5 347f、七}〉飞1伬6. 37 12 157 220343
8529 无锡科技职\W学院 45 45 287 96 35 . 0 87 264756
已,..之.'50 50 305 104 58 l2 ;'~一~"1-2"5' 266264
`` ~.
今\ 曰攷P2 29 29 牛43 90 88 6 253 103008
8530 苏州职业大学 2021 80 80 462 108 104 9 262 99769
——^~—
2020 101 101 458 111 97 12 278 105191
2022 19 19 400 95 86 8 210 153482
8531 扬州市职业大学 2021 18 18 365 96 87 6 165 192572
2020 18 18 362 95 54 11 182 205841
2022 109 109 404 109 69 9 214 148523
8532 南通职业大学 2021 140 140 403 104 79 JI 203 154810
2020 196 196 398 98 54 。 218 166825
2022 28 25 192 73 15 11 2 325611
8533 苏州高博软件技木职业学阮 2021 45 34 209 77 28 。 9 302237
2020 52 18 203 65 30 9 : 23 340306· 112 · 第二章报考统计
院校代码! 院校名称 什份二I 1 公布实际 入 投 数 档 』` ` 投 ] 档 正 最低 如 分 旮听力与分 投 数 档 线 最低 2俏 分投片 行 最 次 低分
I
t
2022 I 40 I 40 ! 291 I 104 I 29 I 11 I 101 I 219014
8534 I 沙洲职业工学院 2021 I 28 I 22 I 221 I 84 I 21 I 12 I 21 I 299047
·—-—---- I t 2020 1 38 18 222 77 44 ]] 42 331646
I 二/勹/:勹:一一:: 一:: ;:: 二:
8535 I 苏州信息职业技本产院
厂二~;,:-f-三 1 - 2 2 0 0 2 2 0 2 - - 4 2 - O 4 - , - l - “一 4 3L 4 一 ” -- 2 2 - 6 9 ^ 8 9 -_ 7 8 ^ 4 2 2 43 9 1 l2 2 l 7 1 8 9 _ _ 2 29 7 _5 2 6 l _ 2 44 4 _
五五 5 1 。
~~l----~:-0
十
8537 I 正德职业技木学院
8538 I 无锡南洋职业技术学院
I l - 二-I I 189 [ 65 I 20 i 9 [ 9
8539 I 太湖创意职亚技术学院
6
2020 j IO I I 292 I 95 I 28 112 278796
2022 1 8 。 : 1::
8540 炎黄职业技木学阮 -—: 三 言 二 1 三 : 邓 :5 飞 ( :: ) : : …/--14- 1 9 2 8 ~ 』: 25 : 6 言 17 : 1
l
- -
卜85十43 丿员1耶II,技/ - -: 1 1 : _ 1
8541 金籵职业技术学院
//: / / /
/-一二5|2OI 二1
8544 硅湖职业技木学院
I :
I --m - - - - - - --- - -卜——
2022
I 钟山职业技本学院 三
8545
2020 -
-“——--
l 1I 江芳护理职业学阮 - 厂2022
8546
I l1 -南护城市职\ll,牛院 三/
202-0
/ 1 1 /: 0 :88:-
8550
I
8558 1 浙江同济科技职抑学院
尸—-- 1
8561 浙让邮电职业技术学院 ! 3s I
1
| 2O,
—+
厂闷
勹
8563 浙让衣业曲贸职仲学院
勹///了三
8564 浙汀安防J(伈I[技本学院
2020
1:1:二三二』::二二
一上l 2022 --t 5
8572 I 合肥共达职业技木学院 : 2021 i 9
! 2020 I 2 二} 91 i 37 I 9 96 293302
8573 i 安徽利业职曲技木学院 i 2020 i 10
I ------ i 2022 32 勹 二二 产 厂 78 勹 39 l4 48 引1580
8575 i 安徽现代信息「程职业学院 芦2!026! 10 12 101 25371 q
9 。.
三、2020-2022年河南省普通高校招生高职高专批院校平行志愿批量投档最低分(文科) 113 •
一 三
院校 i 飞 1码 院校名称 份 投 数 投肖最低分 投档最低分 投档最低分
总分 1 语文数学外语听力与分数线差值 位次
编 三 5 400 ! 101 : 4s I 1s I 210 I 1s34s2
8576 江苏悔事职业技术学院 』 4 389 I 111 : 11 I 11 I 189 I 16ss12
- 356 I 93 ! 71 ! 9 I 176 - I 212486
厂 4 298 I 77 I 38 I 8 I 108 I 272996
8578 南通科技职业学院 9 237 I 71 I 44 I 9 I 37 I 293534
160 I 57 I 10 I 8 I. -20 I 351199
-
408 ! 101 ! 48 ! 11 I 208 I 149994
8579 苏州工业职业技术学院 ] 二 6 403 I 115 I 65 I 12 I 223 I 161586
4
432 I 108 I 76 I. 6 I 242 I 115660
-
8580 苏州经贸职业技术学院 438 : ll3 lO2 8 238 121825
0 5
勹 441 : 105 1 89 14 261 122516
户一了一一 1 44I I IO2 840:/ 251105250
858! i 杭州职业技术学院 』 勹 - 459 ! 101 I 91 I 1心矿丘 259 `` I ` 102 ` ` s 14
- 6 — 454 厂 lO2 71 12上 274 109277
0 夺
0 375 94 43 0 仓\i'd;; 185 l84700
厂 一
8582 义乌工商职业技术学院 6 - 345 105 27 18 145 212721
0 3 -5 307\ I, 94 ·1 39 I 9 I 121 I 264214
8583 ti宁波职业技术学院 三 5 7 6 4 4 3 5 7 4 I I 1 1 0 0 9 9 I I 8 63 0 I I 1 O 1 I I 2 2 4 5 7 4 I I 1 1 0 0 9 7 8 0 2 2 2 4
8二58 二 -_
445 I 110 I 69 I O I 265 I 118360
17
421 I 106 I 79 I 11 I 231 I 128366
6
三 0 - 1 - 5 三 3 42 8 1 9 ! ! — 1 1 1 0 2 9 二 I I 3 7 5 5 - i i o o I I 2 2 2 0 1 9 I I - 1 1 - 7 3 6 7 2 7 9 2 一 6 7
厂 8 — 585 - 7 台州 — 职业技术学院 二 1 5 - 1 2 - 2 2 4 8 6 4 I I 9 9 5 0 I I 3 28 2 I ! 1 6 2 I I 1 4 0 6 4 I I 2 28 8 6 9 1 5 3 7 1 1
一1 75 347 90 6了1 17 157 220343
8586 I 嘉兴职业技术学院 l 8 314 I 83 I 83 I 12 I · 114 I 242438
3
300 I 92 I 41 I 11 I 120 I · 271103
6-
- 5 -8 371 I 97 I 54 I 6 I 181 I 189738
8587 湖州职业技术学院 』产 3 300 I 93 I 39 I 14 I 100 I 254567
03
244 I 80 I 35 I 14 I 64 I 318230
--
00 2
6
399 I 103 I 64 I 23 I 209 I 154667
8589 叩水职业技术学院 6 379 I 102 I 90 I 9 I 179 ! 178501
』 -0 369 I lCJ:l · I 74 8 I 189 I 198119
1 1 - 一 413 I — 99 + I 60 - i 9 运 1378 - 07 -
8590 浙江交通职业技术学院 -4 -1 415 ll7 7l -.ll尸 5.` :l-5 143362
0-
16 41s I rn9 I so I--
-
I
·.
2
“4尸、
一
一令! ' ,
声
,, • 岳
为
、
s" I 14906s
0 -- I4 18 101 75 i O 一妥§ 228 t l31868
8591 浙江机电职业技术学院 4 41 4l7 108 77 11 217 141441
4 401 106 57 8 221 163644
9
/ ` o l 4- 405J 108 I 62 I o I 215 I 147350
8592 浙江工业职业技术学院 31 388 I 108 I 77 I 11 I 188 I 169516
勹 - 366 I.106 I 70 I 11 I 186 I 201339
29
409 I 101 I 91 I. 8 I 219 I 142616
8593 浙口建设职业技术学院: - 9 400 I 98 I 69- +-I -- 6 200 、 157726
\云飞! 名 勹 - 1 379 I 100 I 75 i ` 0 199. I ; · 1s1124
1 414 I 103 I s3 I 3 I 224 I 136619
8595 浙江上贸职业技术学院 _ 419 l 121 I_ 44 I o I 2i9 - ! - -~ 13 - 9 - s6 - s
7 `- ` ` U 一` `` __,_
I |”“ 卢 0 - 7 4 4 3 18 0 I 1 9 1 7 5 I 7 8 2 9 I I O 9 I 2 2 3 4 8 0 -I : —1 1 -4 1u 5 7 8 9- 8 9 7 0` `
8597 浙江工商职业技术学院 l 441 I 100 I 71 I 5 I 241 I 118982
3
442 I 106 I 80 I 11 I 262 I 121493
-
/ 8 421 I 117 I 78 I 6 I 231 I 128366
8598 浙江商业职业技术学院 二 - 427 I 98 I 63 I o I 227 I 132034
7 414 I 107 I 102 I o I 234 I 150098
-
1
3
-
1
3
-
1
2
-
4
0
-
2
0
-
2
0
-
5
0
-
5
5
-
6
4
-
3
8
-
3
6
-
3
7
-
3
5
-
3
9
-
3
8
-
3
3
-
3
6
-
2
9
-
3
4
-
3
0
-
2
6· 114 • 第二章报考统计
公布 实际投档 投档最低分 投档最低分 投档最低分
院校代码 院校名称 年份
计划 人数 总分 语文 数学 外语听力 与分数线差值 位次
2022 l2 12 405 105 65 9 215 147350
8599 浙江旅游职业学院 2021 11 11 404 101 91 11 204 153847
2020 8 8 418 115 61 11. 238 145887
2022 37 37 439 i m 65 11 249 107491
8600. 浙江金融职业r院 2021 42 42 460 119 91 12
--1--
260 101621
2020 心 42 459 i 105 75 5 279 104203
2022 33 33 -^_ _贮 437 i 93 94 12 247 109822
8601 浙江经济职业技本学院 2021 36 36 455 I ll0 91 9 255 106136
2020 33 33 451 111 115 12 271 112345
2022 30 30 437 100 82 8 247 109822
8602 浙江经贸职业技术学院 2021 30 30 449 111 79 11 249 111572
2020 45 45 446 87 94 20 - 266 117304
,
8603 厦门安防科技职业学院 2022 6 。
2021 2 2 427 105 88 9 227 132034
8604 浙江艺术职业学院 2020 编}玄2矿、" 2 427 ll3 90 ,-8 ~ 247 136727
2O22 究:` 16 190 69 今 15\ 夕 12 。 326041
8606 泉州海洋职业学阮 20互 飞-9,-",` I 6 217 80 25 20 17 300151
—
r, 2mo 18., -- III .一一2 270 102 33 I4 90 298283
金;-华--1.一\\'职-.:业,`了,一'了[技\'.`,术',学院 2O22 编33` l | 33 97 94 12 256 99663
8607`\ `i \\, - - '- \ ,, 2n..0- 2` 1 39 39 464 114 98 11 264 97930
\ I1\ ;一 - - 2020 40 40 460 104 105 15 : S S 280 - 103143
2022 3 3 238 83 47 11 48 31!580
8608 浙江育英职业技术学院 2021 5 5 292 91 39 12 92 260961
2020 7 4 293 87 43 。 113 277851
2022 5 5 346 92 28 11 156 221594
8609 宁波财经学院 2021 lO 9 235 77 20 14 35 294344
2020 10 7 273 93 15 9 93 295840
2021 10 97 19 18 87 264756
8610 浙江东方职业技木学院 卢2 1百, 5幻4
2020 9 23 50 90 41 O -----jI --l75 213600
2022 14 81 15 0 50 310704
8611 绍兴职业技术学院 2021 23 2 275 80 47 9 75 273333
2020 18 8 247 90 38 9 67 316137
2022 7 7 319 90 45 。 129 252795
8613 汀西水利职业学院 2021 7 4 278 103 40 8 78 271301
2020 6 4 313 108 53 11 l33 258061
2022 11 2 209 76 10 11 l9 321611
8615 烟台黄金职业学院 2021 9 1 231 78 11 11 31 295822
2020 27 3 235 80 34 。 55 324103
2022 六 JO lO 34竺4」I 96 49 ,:, 2L 165 210272
8620 惠州卫生职业技术学院 d?021 .一.夕5i 5 3 ^ 99`一、 了 50_. ~'., 12\ 144 俨- 213717
系2O20 今产7` 7 355 1 99 49 9 175 213600
`"攻22 30_气 4 203 ! 59 30 9 13 323151
广州东华职\业-来院
8622 \ ` \ '\ ,2O互 ';~,.、40 l.一: 252 94 35 · 5 气2 286634
夕 袄20 51 210 76 31 14 30 337374
2022 17 3 253 83 37 9 63 304335
8624 广东酒店管理职业技术学院 2021 17 1 304 89 57 17 104 251221
2020 78 3 249 84 30 12 69 314650
2022 8 4 261 84 11 17 71 299962
8628 广州松田职\'"学院 2021 10 I 356 94 71 18 156 201669
2020 10 。
2022 32 8 211 76 10 12 21 321053
广州华商职业学院 2021 60 6 1 208 74 34 8 8 302462
8629
2020 57 8 191 72 17 15 II 344399
广州华商职业学院(较高收费专业) 2020 3 2 - 268 71 47 6 88 299928
卜__^
2022 10 5 231 78 20 8 41 314420
8630 广州华夏职业学院 2021 10 。
2020 20 2 267 87 31 9 87 300758.
三、2020--2022年河南省普通高校招生高职高专批院校平行志愿批量投档最低分(文科) 115 •
公布 实际投档 投档最低分 投档最低分 投档最低分
院校代码 院校名称 年份
计划 人数 总分 语文 数学 外语听力 与分数线羌值 位次
2022 35 35 247 81 40 8 57 307431
8631 广东环境保护二]程职业学院 2021 35 21 200 71 20 II 。 304110
2020 35 25 198 85 20 9 18 342040
202l 5 l 252 73 30 9 52 286634
8632 广东南方职业学院
2020 5 4 201 67 19 14 21 340997
8633 广州珠江职业技术学院 2020 20 。
2022 37 14 198 6飞 '12 。 8 324323
8634 广东文理职业学院 2021 35 3 325 108 46 15 125 232444
2020 60 。
2022 5 5 375 104 62 9 185 184700
8635 广西卫生职业技本学院 2021 5 5 273 81 69 。 73 274712
2020 5 5 229 90 30 宁 11 49 327819
8636 重庆交通职业学院 2020 15 3 186 50 , 2 9--,,· -仁 12 6 345764
..
2022 75 75 320二I90 39 15 130 251735
8637 重庆旅游职业学院 2021 :70 70 261心 93 53 。 61 281858
2020 23 23 231 85 24 8 51 326617
2022 25 25 248 85 41 14 58 306948
8641 淮南职业技术学院
2021 15 2 238 84 16 11 38 293124
\ s r
2022 11 11 211 76 15 8 21 321053
8邸3 合肥通用职业技术学院 2021 12 6 268 85 40 。 68 277796
\ ,- \ 2020 12 7 189 72 14 9 9 344966
8644午歹; ,` 六编卢',,."安 -` . 职 一,--. '; 业 - 技 “._ -- J 本 . ';院 2 20 0 2 2 1 2 5 3 8 7 -尸- 5 3 8 3 2 2 0 50 6 8 8 1 6 3 2 5 0 1 8 5 6 6 0 3 3 0 0 5 2 9 9 4 0 1 8
2020 27 16 193 61 29 5 13 343756
2021 10 10 286 77 38 () 86 265509
8645 宿州职业技本学阮
2020 10 4 274 89 9 8 94 295026
8648 宣城职业技术学院 2O22 10 2 240 77 45 14 50 310704
2022 12 12 277 94 37 11 87 289663
8649 淮北职业技术学院 2021 11 11 305 104 22 9 105 250321
2020 9 6 250 81 25 。 70 313921
8651 芫湖职业技术学院 2022 6 6 225 87 14 14 35 316574
2022 20 18 218 74 25 21 28 318986
8653 安徽电子信息职1//!技本学院 2021 l l' 8 279 102 25 17 79 270565
2020 7 7 270 86 41 。 90 `俨-r于').-98283
A
2022 20 20 290 79 41 15 100 达-;土·气`'., 27,9816
--- e----
8654 安徽交通职业技木学院 2021 20 JI 219 63 10 3,l2 19 ,“ 299586
2.
2020 10 4 247 75,~ ,丁3编卢,.74 .,' 夕/l4 67 3J.6l37
2022 5 5 392 al 89 七夕 70 14 202 § 163301
8655 安徽职业技术学院 2021 9 9 392 105 79飞己 17 192 165608
2020 IO \, 10 396 103 89 11 216 168905
2022 10 10 368 95 53 。 178 [93690
8662 淮南联合大学 2021 10 10 355 101 26 9 155 202693
s\ \\ :,'s\ -尸,":, 2020 10 10 336 104 35 11 156 233823
8665 安徽文达信息工程学院 2020 90 49 183 79 11 9 3 346569
2021 3 ()
8666 民办合肥滨湖职业技本学阮
2020 3 1 207 41 25 11 338657
8668 安徽外国语羊院 2020 30 30 408 107 56 12 228 156295
8669 民办合肥经济技术职\V学1货 2022 24 4 260 81 32 17 300485
2O22 4 4 360 83 74 12 170 203976
-
8672 广西金融职业技木学院 2021 4 2 306 84 77 6 106 249455
2020 4 2 308 81 38 。 128 263211
2022 14 3 276 78 52 11 86 290325
8675 四川科技职业学院 2021 5 。
2020 6 6 295 97 25 6 115 275919
2022 15 。
8676 漳州科技职业学院 2021 11 。
2020 43 。· 116 · 第二章报考统计
公布 实际投档 投档最低分 投档最低分 投档最低分
院校代码 院校名称 年份
计划 人数 总分 语文 数学 外语听力 与分数线差值 位次
8678 广西蓝天航空职业学院 2020 27 。
2022 15 15 253 80 35 12 63 304335
8681 重庆安全技术职业学院
2021 15 3 275 83 27 8 75 273333
2022 i 76 76 340 93 41 。 150 228855
· 8686 漳州卫牛职业学院 , 2021 73 73 296 87 45 5 96 257819
2020 I 62 50 206 67 5 8 26 339081
2022 I 13 13 327 99 55 15 137 244191
8687 江西传媒职W学院 1 2021 I 14 17 286 93 40 11 86 265509
2020 [ 10 10 324 94 46 。 144 246571
2022 10 9 212 62 36 11 22 320744
8688 泉州经贸职业技术学院 2021 6 2 328 99 60 8 128 229591
2020 11 5 185 61 25 15 5 346050
2022 9 9 313 95 35
飞
~气~~~
20,
~ ~ ~
,'
~ 123 258966
8690 山东城市建设职业学院 2021 6 6 271 92 37 6 71 275973
2020 8 8 245 75 37 l2 65 317537
2022 10`; lQf 371 97 58 l2 l&l 189738
枣庄职\W学院 琴-了;立艺夕咚戎·一妇料 :}亡令:气?,''千七·;一生l:'斧,,织~ 俨-..-飞 2021 15 15 31t 75 56 l'i 110 245966
8695 :' :,,' ;.,
"-- 2020 15 I 眨~l5 297 96 27 8 117 274020
枣庄职业学院(较高收费专芷 2022 5 1 327 82 49 。 137 244191
二 止,宁'"——-'”勹",“女 2022 13 13 383 84 61 II 193 174502
重庆建筑工程职业学院 2021 21 21 327 89 44 12 127 230524
--俨_:__- ;.) 2020 21 21 317 105 44 11 137 253934
女? 2022 19 19 225 68 25 9 35 316574
8699 四川城市职业学院 2021 11 3 217 65 14 9 17 300151
2020 15 5 230 75 34 9 50 327216
2022 38 38 355 90 56 。 165 210272
8703 九江职业技术学院 2021 38 38 289 93 53 12 89 263277
2020 30 22 192 51 23 8 12 344071
2022 12 12 347 100 53 9 157 220343
8705 江西申力职业技术学院 2021 3 3 315 104 32 II 115 241559
2020 4 4 310 106 34 12 130 261167
12 9 246 72 37 () 56 307941
,i 22002212
8706 IrljJ耳机电职IlV技术学院 15 3 302 98 41 15 102 252885
2020 60 。
2022 2 2 361 95 52 9 171 202778
8707 江西信息应用职业技术学院 2021 2 2 343 80 75 17 143 214731
2020 2 2 230 78 30 且~_ 50 327216
2022 60 60 243 84 // - ~ 己_//~3 2 。 53 309326
8708 江西[.\II』...L和职业技术学院 2021 70 兀 2袄 ;;义,67 ,. l;l, 一一 I ()孕\ 沪了> 20 299310
2020 70 二35: 21~二飞~0上 30 337374
甘门 技,,子产I术学-\~~?一-院一一编一飞\ -~二--:--户`>俨夕俨.$,,',/'/I~~编-·一上七俨“了.',-,'夕'c~\ ~ -夕 2022 8 ., 8' 328 7841 t-2301 L1- 60 138 243008
8709 ” ,\ ,\ \\ ,I\-\:\-'\-~ :_ ` , \ \). 2 20 0 2 2 ( 1 ) 1 8 0 |: :七;. 6 8 女 2 20 6 5 4 7 89 4 -433 o7i 1 II 2 2 6 5 4 3 2 3 8 9 0 5 1 1 5 8 9
江西应用技术职',业飞学尸院 ,一 2022 15 15 279 8]'44 9 89 288237
8710 2021 15 10 203 59 15 9 3 . 303545
2020 15 6 245 85 34 9 65 317537
2022 10 10 333 90 51 。 143 237232
8715 江西财经职业学院 2021 10 10 279 90 44 。 79 270565
2020 10 10 266 83 28 11 86 301525
2022 4 4 351 94 38 。 161 215285
8716 汀四司法瞥官职业学院 '2021 i 4 4 320 87 25 27 120 237038
2020 4 4 295 88 57 9 115 275919
2021 4 5 214 97 JO 14 14 301008
8717 江西陶究工艺美术职业技术学院
2020 JO 8 213 86 22 12 33 336011
2022 16 9 198 68 15 11 8 324323
· 8718 江西艺木职\W学院 2021 13 。
2020 20 4 199 84 24 5 19 341698三、2020-2022年河南省普通高校招生高职高专批院校平行志愿批量投档最低分(文科) . 117 •
公布 实际投档 役杻最低分 投档最低分 投档最低分
院校代码 院校名称 年份
计划 人数 总分 语文 数学 外诺听力 与分数线差值 位次
2022 10 10 402 102 65 15 212 150967
8719 儿江职仲大学 2021 10 10 395 113 55 9 195 162625
2020 10 10 376 112 52 。 196 190385
2022 5 。
8720 江西应用科技学院 2021 52 9 205 84 25 20 5 303126
2020 42 5 237 65 45 11 57 322860
2022 67 67 437 102 79 。 247 109822
8721 武汉城市职业学院 2021 65 65 448 101 120 8 248 112491
2020 65 66 440 102 77 15 260 123509
2022 19 19 324 92 60 。 134 247558
8722 r'东科贸职业学院 2021 20 19 200 58 20 9 。 304110
--
2020 20 11 186 44 27 6 345764
2022 24 24 401 99 78 211 152254
8723 东莞职业技术学院 2021 20 , 36§; 106 51 9 166 191554
2020 33,琶卢 312'. 97 51 9 \\ 子'、名 132 259096
2()边 23 4 209 79 5 '17 19 321611
8728 四川长江职业学院 202l 36 1 33l l07 23 20 131 226706
2022 9 \'-'.3 196 42 35 14 6 324775
\,宿'、'迁尸~、\泽~\尸,'一~达t\`职,',~,\~业`技术学院 2021 1 ,\\ 27 6 209 82 25 9 9 302237
87'3\1'h :\ \ ' • , 2020 40 24 193 64 20 6 13 343756
\I \` ,\ \ •.' .\, . \ 2022 13 13 379 104 55 16 189 179514
温州和技职业t学心,院心,"
8740 2021 15 15 348 97 66 。 148 209758
2020 17 17 274 73 52 9 94 295026
2022 6 6 414 106 63 。 224 136619
8741 北京交通运输职业学院 2021 7 7 418 105 72 9 218 140519
2020 4 4 418 117 80 14 238 145887
2022 9 3 193 82 5 9 3 325398
8742 廊坊燕京职业技术学院 2021 5 。
2020 6 2 263 80 30 12 83 303966
2021 10 。
8743 石家庄科技职业学院
2020 10 1 212 62 32 。 32 336464
2022 25 25 429 102 59 。 239 119088
8745 杭州科技职业技术学院 2021 26 26 431 111 75 11 231 128325
I 2020 38 38 433 97 I JQ2 15 253 130604
! 2022 II 11 303 88 30 9 二``\ 268568
8746 台州科技职业学院 2021 9 9 267 88 30 l嘘 278355
2020 , 9 7 51 5] 贮 315404
2022 I 13 4 谝 66 20 5立 1~b`` 323633
8747 泉州轻上职业学院
. 2 20 0 2 2 2 1 心 ' 飞,. 1 / lJ 0 0 ? ,产汽丘 l 。、 玉 281 8,8 ,\科 !t s § r \ 1 ' 4 ' ,\, '"立'~· ,I § & 91 c人 286747
8748 厦门东海职业技术学院 仁哀;,\' \ 屯021 \ IO 。 '.女\\\:\ \
I ', 2020 12. ',,3 ',俨 207 69 18 8 27 338657
业\:\\学,·, 院.i·:\·i· ··"· '\· '` .·.·.'\ 2022 30 2 290 81 46 8 100 279816
8749 广西科技职 , 一,( :Z\\ · 0 C2 L 1 3 。
` 飞;'飞曰\飞~《岁卢' 2020 8 。
L心咖 2022 54 54 347 89 51 15' 157 I 220343
8751 日照职业技术学院 2021 58 58 331 93 44 20 131 226706
2020 58 58 296 84 51 8 116 274994
2022 10 10 228 79 17 9 38 315547
8754 莱苀职业技术学院 2021 10 l 319 89 50 。 119 237976
2020 10 I 311 93 '41 12 131 260118
2022 36 49 305 88 39 l l 115 266678
8755 威海职业学院 2021 33 33 276 96 26 9 76 272642
2020 27 27 205 69 12 11 25 339518
2022 11 17 295 91 33 18 105 275590
8756 青岛职业技术学院 2021 9 9 416 112 82 。 216 142453
2020 9 9 430 103 61 9 250 133668• 118 · 第二章报考统计
公布 实际投档 投档最低分 投档最低分 投档最低分
院校代码 院校名称 年份
.计划 人数 总分 语文 数学 外语听力 与分数线差值 位次
2022 14 9 203 66 4 8 13 323151
8758 山东劳动职业技术学院 2021 16 。
2020 30 9 193 62 34 14 13 343756
2022 8 8 246 81 34 15 56 307941
8761 滩坊肌lV学院 2021 4 2 286 88 35 8 86 265509
2020 8 1 353 103 59 8 173 215813
2022 15 15 342 99 66 。 152 226413
8763 汹博职业学院 2021 14 14 326 96 36 9 126 231496
2020 14 14 338 98 37 8 158 231723
2022 47 47 269 81 25 11 79 295011
8764 青岛酒店管理职业技术学院 2021 41 41 293 93 42 15 93 260231
2020 37 37 237 72 29 5 57 322860
2022 37 37 283 72 44 11. 93 285208
8765 滨州职业学院 2021 29 29 245 九 43c~ 8 45 290064
2020 32 `22 197 位 15 l5二· . 17 342387
2022 35 j 35多三 279 83 36 14 89 288237
8766 聊城职\Ii'技术学院 2021 35 23 _ ,2吁 ; / “矗\ •• : '女,<76, 10 I,i 17 4 303340
2020 35 l5\ \七'195 65 31 12 15 343072
l ~-2-0-2--2 ' l 6 16 333 99 ! 3 1 8 143 237232
叩-夕丁\ a 山东水利职业羊院; 2021 15 15 287 100 27 12 87 264756
•'• ;,',飞 2020 10 10 277 84 54 11 97 292459
学山东院职)业学院(原济南铁道职业技术
8768 2020 5 5 333 90 70 12 153 237013
2022 13 13 328 100 47 12 138 243008
8769 山东科技职业学院 2021 2 2 287 87 50 14 87 264756
2020 9 9 272 88 44 14 92 296665
2022 12 12 212 73 15 12 22 320744
8770 山东服装职,II,学院 2021 22 5 243 91 6 。 43 291008
,仁 2020 ] () 5 232 86 21 14 52 326034
2022 10 10 273 85 34 17 83 292397
8771 山东交通职\ll,学院 2021 15 6 214 69 40 12 14 301008
2020 s 1 331 82 77 17 151 239163
2022 39 39 289 83 39 9 99 280646
8772 山东信息职业技术学院 2021 38 38 246 83 29 9 46 289571
2020 33 21 199 63 20 12 19 341698
2022 23 23 364 94 65 6 174 198903
8773 山东畜牧兽医职业学院 2021 24 24 311 97夕 25 15 111 245107
2020 25 25 17 103 287062
2022
言'I 如3608
~ ” ; 8 :;\ I 212 150967
8774 II 山东商业职业技术学院 2021 三言 112 i 73 9 202 155754
了一 4广-一` 2020 395`仁~ 勹冯\101 ,]I 80 14 215 169981
! 职 学'恼·'`-七\占-,-,歹三匕三---.一-亡}_厂\干, 乒、 2022 10 ;I妥匀10}飞 七一413 97 67 11 223 137807
8775 ll - \ _- \\. -• . _ ·' - `r\. . - , -- --- ! ,-\ \ ·\ ' 2021 12 12 410 103 i 67 24 210 148109
2020 12 12 399 86 61 ] 21 219 165734
2022 3 4 235 56 30 23 45 312809
8777 曲阜远东职业技术学院 2021 2 。
2020 2 I 222 57 35 6 42 331646
2022 125 23 193 78 31 9 3 325398
8778 山东英才学院 2021 120 12 209 66 28 9 9 302237
2020 123 8 211 79 25 6 31 336931
2022 30 30 273 73 55 11 83 292397
8779 东营科技职,11学院 2021 8 8 292 71 44 5 92 260961
2020 10 。
8781 /了西上商职业技术学院 2020 IO 。
2021 I 1 273 88 i 21 8 73 274712
8783 悠川科技职业学院
2020 21 6 242 91 17 14 62 319599三、2020-2022年河南省普通高校招生高职高专批院校平行志愿批量投档最低分(文科) . 119 ·
公布 实际投档 投档最低分 投档最低分 投朸散低分
院校代码 院校名称 才21O份 22 计划 人数 总分 语文 数宁 外语听力 与分数线差值 位次
l -
19 7 193 74 25 8 3 325398
山东力明科技职业学院 l 202l 19 。
8784 2020 10 。
山东力明科技职业学院(较高收费 2022 l I 275 77 25 12 85 291038
专业) 2021 1 1 266 73 48 。 66 278968
2022. 31 19 202 80 16 3 12 323382
山东丕翰财贸职\IV学院 2021 38 5 217 76 25 9 17 300151
-
8786 2020 48 10 186 80 19 11 6 345764
山东圣翰财贸职业学院(较高收费
2020 2 。
乓业)
8787 山东艺木设计职业学院 i 2022 38 。
2022 8 8 306 92 49 116 265721
8798 德宏职业学院 !』2021 20 20 244 78 34 44 290545
2020 20 1 20( 84 21 12 28 338252
2022 斗置女 311 95 51 -0;~扫\叮亡芯' 121 260906
8801 青岛远洋船员职业学院 l~ 2O21 5 3 284 下91~一、,' 38 "佥,,,21 84 266960
、, 2位2 了21 21, 401衣 >85?心 74 。 211 152254
8820 上海民航职业技术学院 2O2l 25, .. 25 404 93 88 24 204 153847
\_2_ , \ __--夕丛\~r一一4夕-「~ 1 _ \} ,I` , h\ 飞 \ , i ; 夕2O.2O 25 25 392 105 50 5 212 173096
88\ \\,' , • \ \諒夕'`匕 \ \ 峰\工L了i.、业'i , 职-业`卜技:',术:,学i ·? 院 ~ l
'
2
2'
0
0,~2
2 :~ 0
1
3 3 。 。
a尺 -" t乒` 2022 ! 38 38 414 107 79 17 224 136619
8824 江苏f」生健康职业学院 2021 ! | 40 40 399 92 93 15 199 158709
20 396 99 75 9 216 168905
-- 202·0”2220 I:i 2520
52 302 75 44 12 112 269455
8825 徐州牛物上程职业技术学院 2021 44 44 208 74 34 14 8 30一2~4~6~2. ~贮
2020 64 24 163 53 15 8 -17 350739
2022 16 16 206 75 15 5 16 322397
8826 西藏职业技木学院 2021 20 8 204 73 24 17 4 303340
2020 22 5 234 84 39 6 54 324767
8827 新疆应用职业技术学院 2022 50 6 195 73 7 16 5 324979
2022 30 2 271 80 46 18 81 293664
8830 沈阳北软信息职业技术学院 2021 30 1 213 81 11 14 13 301249
202O,! 30 。
2022 15 15 249 91 30 17 耘仑今-菇,二'帝`,翌、·识心功,`产·5勹 306433
8831 恩施职业技术学院 2021 10 6 229 92 20 妇 `~i \ 296508
2020 10 5 226 97 15 垃三 329528
2022 51 52 细 74 29 14它~歹 1~;亡{.() 323151
8832 辽尸轻工职业学院 2021 ,~ -l 9 寄气8 二上_2',,_~之0,',0',夕. '', , 89 18 11' ; ;今I'0它 304110
;
2020\:i茄 5 182 5、3{ 29 )'9 2 346844
\ \ 2O22 夕58 58 347 96 56 11 157 220343
8833 湖北铁道运输职业学院 .•2 '0 21 56 56 331 102 53 14 131 226706
\一一\ \ _. 202Q ~,尸尸夕./~ .4一.1 41 331 86 45 18 151 239163
\ 2O22 50 50 375 104 57 12 185 184700
8834 黄冈职\ll1技术学俊庈\扫夕产沪 泛~ 2021 55 55 335 104 47 11 135 222791
2020 63 63 293 96 52 9 113 今 277851
2022 4 4 274 79 36 17 84 291736
I 8835 安敞粮食1程职业学院 2021 7 2 241 74 39 9 41 291870
2020 10 7 237 85 32 17 57 322860
2022 60 60 308 97 64 。 118 263856
8836 荆州职业技术学院 2021 60 60 265 96 49 6 65 279558
2020 80 45 190 75 26 6 10 344703
2022 69 69 306 94 58 3 116 265721
8837 湖北工业职业技术学院 2021 69 71 287 91 53 14 87 264756
2020 46 57 270 80 53 11 90 298283• 120 · 第二章报考统计
公布 实际投析 投档最低分 投档最低分 投档最低分
院校代码 院校名称 年份
计划 人数 总分 语文 数学 外语听力 与分数线差值 位次
2022 81 81 443 101 78 5 253 103008
8838 武汉职业技术学院 2021 90 90 460 !17 109 11 260 101621
2020 57 59 456 Ill 85 15 276 107245
2022 140 140 316 92 28 l 2, 126 255946
8839 仙桃职业学院 2021 r134 134 294 R5 35 I 8 94 259407
2020 128 128 272 83 36 18 92 296665
I尸.i22—0如,2团2 — 118 394 101 79 。 204 160821
8840 襄阳肌jjl技术学院 } . ,l[ lll8O8 118 381 105 65 8 181 176451
110 345 107 49 II 165 224343
2022 130 130 371 89 63 11 181 189738
8841 湖北职业技术学院 2021 130 130 361 101 59 11 161 196657
2020 130 130 332 91 54 8 152 238075
2022 36 36 434 108 76 20 244 113361
8842 武汉软件工程职业学院 2021 38 38 447 1l夕2、 105 8 247 113468
2020 40 40 446 114 75 21; 266 117304
2022 30 30三·. 398 104 79 14 208 155967
8843 武汉电力职业技术-学--院';§ -i/二 2021 20 20
`
36?匕 否106 53 9 169 188409
2020 20 .2O 340 86 54 9 160 229594
f
业~.气卒沁::·技1,J,~,术义,这飞“`?, ,含学 ;1', 尸 2 0 2 2 73 73 280 78 50 9 90 287461
88- 丁一
'
湖北城巾建设职 院,g·下,.'~' ' §' 2021 1 64 64 202 79 24 。 2 303749
\ 咚三入`\; \ $ 气\ \ 2020 66 61 187 76 23 11 7 345483
,.•.·...
尸 2022 62 62 346 92 53 。 156 221594
8845' 湖北水利水电职业技术学院 2021 57 57 313 93 63 。 113 243378
2020 52 52 268 85 42 11 88 299928
2022 8 8 315 81 38 9 125 256955
8846 廊坊卫生职业学院 2021 8 8 299 77 35 17 99 255359
2020 8 8 265 88 34 12 85 302342
2022 81 81 334 86 60 14 144 236069
湖北交通职业技术学院 2021 81 84 279 98 15 11 79 270565
8847 2020 50 55 279 89 38 9 99 290701
湖北交通职\W技术学院(较高收费
2022 5 4 307 92 45 。 117 264800
专业)
2022 77 77 301 88 37 。 Ill 270308
8848 湖北轻工职业技术学院 2021 77 77 251 70 39 12 51 287136
2020 77 75 193 76 10 9 13 343756
2022 65 65 372 94 76 9 182 188409
武汉船舶职业技术学院 2021 62 62 357 99 84 l l 157 200657
2020 43 47 332 7 8 (. 84 9 152 238075
8849
2022 5 土35 12.':1 I飞,'\',i,95 283733
武汉船咱职IU技术学院(较高收费 2021 5 ! 17 9 53 286119
专业) -/ f\ "、、, 2020 5 23 9 54 324767
武汉丁程职业技暑曰\己已\
:::Jc
立:\:'\`
2022 52, \ i ;52\大;\ 415 98 70 11 225 135408
8850 ' 2021 49 49 415 103 113 。 215 143362
\- ``
2020 50 50 407 104 91 8 227 157407
2022 20 20 300 86 62 10 110 271196
8851 武汉航海职业技术学院 2021 20 20 256 67 60 8 56 284563
2020 25 21 191 60 5 12 11 344399
2022 48 48 387 88 66 。 197 169538
8852 武汉警官职业学院 2021 64 64 367 105 90 。 167 190485
2020 60 63 348 116 44 。 168 221223
2022 149 149 300 81 44 15 110 271196
8855 Ii 鄂州职业大学 2021 135 135 238 72 24 11 38 293124
2020 114 95 185 67 25 8 5 346050
2022 44 44 285 107 15 11 95 283733
I 荆州理丁~职业学院
8856 II 2021 48 23 200 68 20 8 。 304110
2020 60 34 190 66 32 l2 10 344703.
三、2020-2022年河南省普通高校招生高职高专批院校平行志愿批量投档最低分(文科) 121 •
公布 实旧投档 投档最低分 投杆最低分 投档最低分
院校代码 院校名妳 年份
计划 人数 笣分语文数学外语听力 与分数线差值 位次
2022 10 9 204 62 29 9 仁-一 14 322900
8858 湖北开放取\W学院 2021 11 8 200 72 36 17 u 304110
2020 39 2 225 85 26 11 45 330044
2022 51 51 362 95 60 。 172 201549
8859 长江职业学院 2021 56 56 338 84 59 11 138 219793
2020 56 56 310 91 54 14 130 261167
2022 137 85 195 54 45 11 5 324979
武昌职业学院 2021 145 136 203 74 30 9 3 303545
8861
2020 85 98 181 66 20 9 1 347059
武昌职业学院(较高收费荩IV) 2022 5 1 215 83 15 18 25 319881
2022 10 l 10 199 80 30 18 9 324109
8862 武汉科技职ll学院 2021 9 ' 6 207 88 15 :. 11 7 302698
2020 20 7 196 夕 ..`6.. 4 2o-a ~-· 9 16 342748
2022 50 50 252俨 l飞:对 扣L尸 ;;; 18 I 62 304888
8863 武汉信息传播职业技术羊院 2021 A5 I 38 2081尸二 飞7 44 9 8 302462
2020 '6() ` . 42 217 76 31 15 37 334175
2022 25 25 211 75 20 12 21 321053
8865 武汉外语外事职业学院 2021 24. ,、 从` 2 仁 2'' 223 60 36 16 23 298460
\', , l \ \ 飞 \ \` \ '\\、L' > 2 2 0 0 2 2 0 2 1 3 61 7 1 2 6 2 1 2 1 8 93 7 1 7 0 9 3 3 1 8 0 1 4 1 9 13 7 3 2 4 8 3 2 7 1 5 8 6 4
,武_忙汉商贸职业学院 2021 180 180 208 74 20 20 8 302462
886(>I- -
了今''.尸\二 202.0 193 166 184 57 23 8 4 3拓324
勹
:\'1
2O22 40 40 264 89 34 20 74 298130
8867 荆门职业学院 2021 28 14 ! 210 72 8 8 10 301992
-
2020 55 23 202 64 16 3 22 3的668
f-,----------
2022 49 49 349 102 39 12 159 217891
8868 长江工程跟业技术学院 2021 49 49 308 98 30 11 108 247689
2020 43 43 267 93 21 17 87 300758
2022 100 60 190 61 20 18 。 326041
8869 武汉光谷职业学院 2021 120 55 200 66 13 6 。 304110
2020 50 50 238 69 45 14 58 322187
2022 5 2 241 68 54 。 51 310258
8872 湖南三一工业职业技术学院 2021 5 4 210 73 20 15 10 301992
2020 5 () / 言产肛翌
',
2022 18 15 253 78 39 。
8884 陕西艺术职仲学院 2021 l2 11 2l9 76 35 多 17
2020 6 6 283 谷酰'96它 责11 103 心-,2c8为62
2022 5 5 44{人f-;;又六 '12 250 心飞 \令 \入1e0s 6-377
8885 长沙卫生职业学阮 2021 ~5 5 453`` ..-'·、、 吝 l11 9 253 107929
2020 5 -5 451 101 95 6 271 112345
飞 2022 23 23 224 67 37 15 34 316954
8888 =峡旅游职业技术'学\\一一院,\ 2021 8 7 213 91 10 12 13 301249
_.
2020 23 8 211 79 16 12 31 336931
\\ \ \ \ 2022 30 30 277 90 26 15 87 289663
8896 随州职业技术学阮 2021 20 19 219 73 37 9 19 299586
2020 10 lO 208 60 25 15 28 338252
l'
2022 8 8 330 .94 55 9 140 240679
8897 湖南汽车_[程职业千院 2021 8 8 300 96 45 14 100 254567
2020 40 10 219 74 40 14 39 333203
2022 6 6 347 95 47 。 157 220343
8899 湖南水利水电职业技术学院 2021 6 6 309 109 43 。 109 246819
2020 6 4 205 47 40 9 25 339518
8900 湖南现代物流职业技术学院 2020 15 6 281 95 42 14 101 288880
2022 29 29 431 95 70 。 241 116853
8905 长沙民政职业技术学院 2021 26 26 451 102 92 8 251 109654
2020 26 26 450 110 88 8 270 113304• 122 · 第二章报考统计
院校代码 院校名称 年份 公布 实际投档 投档最低分 投档最低分 投档最低分
计划 人数 总分 语文 数学 外语听力 与分数线差值 位次
2022 2 2 358 93 49 8 168 206465
8908 湖南信息职业技术学院 2021 2 2 303 99 43 11 103 252069
2020 2 2 309 79 64 14 129 262221
2022 10 10 332 101 55 9 142 238394
8909 湖南丁程职业技术学院 2021 10 10 303 90 58 。 103 252069
i
2020 12 12 265 88 34 11 85 302342
2022 10 10 307 83 41 () 117 264800
8910 长沙环境保护职业技术学院 2021 10 5 258 88 1 36 6 58 283474
2020 ! lO 10 254 l05 24 18 74 310932
2022 15 15 302 85 57 14 112 269455
8912 湖南邮电职业技术学院 2021 15 15 272 79 24 9 72 275367
2020 10 10 247 87 25 9 67 316137
2022 12 12 336 9l 51 14· 146 233659
8913 湖南工业职业技术学院 2021 10 10 315 ]()3 47 17 115 241559
2020 15 1 ? 5咖: -尸~.咖~\?? 280 92 58 18 100 289840
2022 i 25 25尸 352 94, 63 。 162 214108
8914 南交通职业 *'学`腔'l/ ,二},尸~.一~~,八-·.一~ 2021 i 27 27 329- t了1··.0 2 , i 5 2 i 。 129 228592
0
2020 24 ,'认', 308 99 32 11 128 263211
.,,, "" "、,...::吓L--匕~ 2022 4 4 320 92 52 8 130 251735
89I - 臣 ` '\ [又!!)\_\II'-千阮 2021 1 4 4 288 95 1 27 11 88 264058
\ 2020 4 4 笃 76 22 11 44 330572
.~编 2022 16 16 407 87 64 。 217 144945
8916 湖南铁道职业技术学院 2021 16 16 395 102 66 9 195 162625
2020 15 15 355 106 47 。 175 213600
2022 34 34 326 94 32 15 136 245366
8918 张家界航空工业职业技术学院 2021 34 34 325 99 56 15 125 232444
2020 34 38 282 84 49 11 102 287969
2022 6 6 351 87 74 ] () 161 21'i285
8919 iI 湖南尚务职业技术学院 2021 6 6 343 96 47 11 143 214731
2020 1 6 6 311 101 29 12 131 260118
2021 5 5 271 88 46 II 71 275973
8920 湖由体育职业学院
2020 5 5 278 75 50 8 98 291580
2022 12 l2 435 94 91 。 245 112168
8922 湖南大众传媒职业技术学院 2021 20 20 449 113 98 11 249 111572
2020 33 33 432 118 81 15 252 131624
2022 43 24 191 63 25 12 1 325829
8928 塔里木职业技术学院 2021 9 。 ?俨
2020 1 。 `
8931 大津体育职仲学院 2020 38 廿3c3.8 I互8 ! 尸二83 31 9 38 33370R
c_ 0.
2022 飞
l
8932 曹如甸职业技术学干}~[ 院_-_ Ci仁_才_~ 一~., 2
2
0
0
2
2
1
0 1
1
0
0
飞已矗 A
。
`s
`'
2
,
33 J ~ 84 45 12 53 325'.178
,~女\
八~ .游职仲学·院''\•,i\1..刁 -·~\夕,>_ , i 2022 i 66 66 280 75 44 () 90 287461
893'.l 2021 59 59 257 84 50 6 57 284006
2020 50 53 250 74 27 18 70 313921
2022 54 16 194 70 20 12 4 325188
8934 日照航海工程职业学院 2021 46 8 212 80 20 14 12 301522
2020 14 7 188 74 25 11 8 345210
2022 14 14 404 100 66 17 214 148523
8935 上饶幼儿师范高等专科学校 2021 12 12 391 110 43 9 191 166551
2020 15 15 353 88 50 11 173 215813
2022 5 5 359 86 54 12 169 205212
8937 厂悄林幼能儿帅范轩…学校
i III 2021 - 5 5 400 104 67 14 200 ]57726
202l) 5 5 351 98 51 。 171. 217993
2022 38 3 212 76 20 15 22 320744
8952 源科技职业学院
2021 14 1 263 84 37 9 63 280715三、功沈-2022年河南省普通高校招生高职高专批院校平行志愿批量投档最低分(文科) • 123 •
I I 公布实际投档 投档最低分 投档最低分 1投档最低分
院校代码1 院校名称 年份 计划 人数 总分语文数学外语听力与分数线差值 位次
2021 4
8954 石嘴山工贸职业技术学院
2020 5
8955 塔城职业技术学院 2022 4
2022 19 250 72 38 14 60 305941
保险职业学院 2021 17 219 76 45 5 19 299586
2020 19 198 76 25 9 18 342040
8956
20立 1
保险职业学院(较高收费专业) 2021 1 48 288640
2020 2 57 322860
2022 10 14 322900
8960 I 广州现代信息工程职业技术学院 2021 10 32 295452
2020 10 49 327819
2021 36 215 143362
8961 I 顺德职业技术学院
且嘈L........... n 256 127544
11 323633
兑8占`L.<.`己
广东农工商职业技术学院 4 303340
8966 8 67 316137
\虔广业东农沪工五商'\'职
心\'\( §\ 仁\了心,夕5 46 14 128 253881
泌卫 21 246 72 45 12 56 307941
8t9乙~灯
2021 15 255 87 29 14 55 285080
/ ,
2020 30 264 100 30 12 84 303147
炉a
8971\r, \,罗职业技术学院 2020 40
2022 20 215 66 10 17 25 319881
8972 I 阳江职业技术学院 2021 10 282 89 29 11 82 268451
2020 14 214 94 5 14 34 335578
2022 36 190 67 25 6 。 326041
8974 I 汕头职业技术学院 2021 22 204 82 15 3 4 303340
2020 16 183 68 18 9 3 346569
2022 10 329 102 34 。 139 241860
8975 I 清远职业技术学院 2021 27 230 82 35 11 30 296154
2020 43 247 89 30 3 67 316137
2022 15 445 100 82 9 255
8976 I 广东轻工职业技术学院 2021 32 456 109 90
20劝 32 452
2022 40
8977 广东交通职业技术学院 2021 44
2020 26 心6!t). \引:4650
2022 141 239549
8978 广东水利电力职业技术学院 1 76 272642
46 329528
。 117 264800
8980 I 广东机电职翠也衬归仇飞仄产\ 了L 为一 19 215 67 18 9 15 300735
30 21 191 73 11 12 11 344399
8981 I 广东职业技术学院守飞气少 心`'歹.,. 6 6 291 83 41. 。 101 279014
· 2020 20 23 211 72 33 9 31 336931
2022 4 3 238 82 36 l 1 48 311580
8983. I 广东建设职业技术学院
2021 2 2 290 85 45 6 90 262550
2022 5 5 406 103 66 11 216 146124
8985 I 广东工贸职业技术学院 2021 10 10 364 90 77 。 164 193S91
2020 22 22 347 114 42 8 167 222243
2022 20 20 360 96 48 15 170 203976
8986 I 广东司法警官职业学院 2021 15 15 324 93 51 14 124 233380
2020 20 20 284 99 21 。 104 286131
2022 20 6 212 41 35 8 22 320744
8989 I 广东新安职业技术学院 2021 5 2 231 72 35 14 31 295822
2020 20 5 186 71 25 9 6 345764· 124 · 第二章报考统计
公布 实际投档 投杆最低分 投档最低分 投档最低分
院校代码 院校名称 年份
计划 人数 总分 语文 数学 外语听力 与分数线差值 位次
2022 24 8 191 57 44 8 l 325829
8990 广东岭南职业技术学院 2021 24 12 220 83 25 。 20 299310
2020 40 7 196 63 10 8 16 342748
2021 30 9 231 77 29 9 31 295822
8992 惠州城市职业学院
2020 20 3 220 83 16 11 40 332687
2022 35 35 308 83 39 8 118 263856
8994 广东南华工商职业学院 2021 44 44 241 89 21 11 l 41 291870
2020 44 33 221 69 29 11 I 41 332173
2022 11 3 217 70 20 15 27 319306
8995 私立华联学院 2021 11 2 257 87 33 11 57 284006
2020 11 3 233 84 19 11 53 325378
2022 JO 10 414 llO 68 12 人 224 136619
8996 广东省外语艺术职业学院 2021 5 5 423 90 94 。 223 135755
2020 6 6 401 · 96 63 17 221 163644
2022 21 6 : 190 55 11 11 '0 326041
1
8998 广东亚视演艺职ll,午院 2921弓 ,l4壬- I l 308 32, , c54 ·; -卢,,i上1 108 247689
加20 22卢- O 气之;
2O22 5 2 314 99 43 。 124 257977
,广_尸-东·\\碧>匕_一桂L,'I园.一'\职业午院 2021 1, t 3 3 298 93 60 3 98 256171
8999 i,六 •.•\'` \ , ',,, 尸;,`20`·, 24 0 4 3 309 95 50 5 129 262221
'\, - ,, e, I\i 一I产 ··'\ 2022 20 20 279 86 25 8 89 288237
9026 湛江幼儿帅范专科学校 2021 20 20 212 81 8 5 12 301522
2020 15 12 216 63 20 14 36 334629
2022 10 6 208 69 39 9 18 321867
9039 资阳环境科技职业学院
2021 3 。
2022 2 2 246 75 32 11 56 307941
9040 新疆交通职业技术学院
2020 1 。
2022 9 4 223 80 39 6 33 317282
9043 喀什职业技术学院
2021 1 。
2022 20 2 232 77 14 8 42 314023
9045 新疆科信职业技本羊阮 2021 14 。
2020 5 1 I 336 I 89 61 8 156 233823
2022 10 。
9046 阿勒泰职业技术学院
2021 8 。
2022 10 10 244 74 29 11 54 308909
9047 广元中核职业技术学院 2021 3 3 333 94 57 14 133 224764
2020 5 2 227 85 19 8 47 328948
2021 12 8 243 , 95 20 6 43 291008
9052 柳州职业技术学院 .. l `
2020 含 17, 302 81 56 'l,l.1 -, 122 269166
告 6 328 99夕、,6叭 138 243008
12
9054 广西建设职业技木学院 9 I 270 83'飞 38 12 70 276561
~ 2020 9 户 7 189 74 25 14 `^ 9- 344966
,、 :'_" 4'.,“
广西机电职\压木学阮 2022 4 220 84 24 11 30 318301
9057 七;f 2021 4 2 219 79 29 15 19 299586
I 2020 5 。
2022 14 14 419 91 92 。 229 130688
9074 湖南商速铁路职业技术学院 2021 15 15 414 100 67 8 214 144294
2020 14 14 420 92 78 12 240 143812
2022 15 15 405 100 57 。 215 147350
9075 湖南铁路科技职业技术学院 2021 15 15 395 96 73 。 195 162625
2020 18 18 367 i 99 75 8 187 200314
2022 6 6 409 I 9s 77 9 219 142616
9076 广州铁路职业技术羊院 2021 10 10 393 93 57 11 193 164630
2020 13 13 328 86 51 6 148 242283
2022 35 35 389 93 77 11 199 166977
9079 咸阳职业技术学院 2021 15 15 III 343 94 66 11 143 214731
2020 6 6 328 99 46 2 148 242283.
三、2020-2022年河南省普通高校招生高职高专批院校平行志愿批量投档最低分(文科) 125 •
公布 实际投档 投档最低分 !投档最低分投档最低分
院校代码 院校名称 年份 1 计划 入数 总分 1语文 1数学 1 外语听力 1勹分数线差值1 位次
I 5ill-0l8-12-1128 三312714760011381050192713084
2022 20 1 20
,
9080 西安职业技术学阮 2021 15 , I 15
2020 15 i! 15
2022 二
二
9081 海南职1W技术学院 2021 54 I 52
64-?
2020 5
?.0 ?? 示3 - 芦 5
9083 海南科技职业大学(原海南科技职业 I 2021 - 5 29-20-24-10 12
学院) 2020 6 9- 12 三
1
2022
-
9084 三亚城市职业学院 2021 2 11
2020 125 5 1207172125 少 14
2022 I 2 - I 2 I 320 J拉2 勹E/ 21
9085 I 海南体育职业技术学院 2021 I 2 1 5 I 2. I 2s4 ;;屯位 为飞\`, ` 9
2020 俎3 3 207令f:6,1i, 56 0 27 I 338657
2O22 57 22 191 77 40 0
1三09672716115385239235239240238254224
9088 I 三亚航空旅游职业学院 2O21 49 一, l1 200 83 15 5
9089 商洛职业 — 技 一 ' 飞 \ \ 术 学院 '` s ir \ , ~ 'r 一 `一 . 之入 \ \ c ' \; \ " 咖 夕、 了~ `L' 俨·~ 2 2 2 O 0 o 2 2 2 0 2 1 3 1 1 3 5 6 ,,''"'\ \1 1 2 6 1 \ I 2 2 1 5 2 8 7 7 9 I 8 6 7 5 7 5 I 3 1 1 8 3 5 I 1 1 0 5 7 三
9二09 二
2020 16 1 I 196 I 75 I 25 I 9
8-8
2022 8 I 305 I 97 I 20 I O
9l8loh12i12_0-8-0}18-15-15
2021 勹
4l7-7-6卢-11-10-10-6-10-10
2020 10 三
106 I 82
二
9091 I 重庆城市管理职业学院 2021 I 7
6 卢`
2020
11
2022 108 I 74
10
9093 I 重庆工业职业技术学院 2021
10 言
2020
6
2022 111 I 72
9094 重庆工程职业技术学院 2021 10 204 153847
2020 10 212 173096
2022 12 12 0 206 :l58380
9095 重庆航天职业技术叫倪 12 O l 5 5 : 5 、`, 刁 ,,之 沦 个;编 ' r ;t邸t众, 693
呈 1 \ _之心
12_9 12 今 .-,l5 (- 1 ; 64 `夕,B名;` 飞 2乒`2'5358
2022 14 已三11 44 3,l 230
9097 直庆建筑科技职业乒阮(阜重庆房地 I 2021 9 气尸; 12 61 ; 281858
产职业学院)
2020 14,I > 32 I 336464
2022 丿 11 I 8 I 324323
9099 重庆海联职业技术学院 1 2021 9 I 38 I 293124
\ \ \ \ \ \ \ - I 2020 12 I O I 347337
重仄信息技\ 未\ 职`归 2022 11 I 33 I 317282
9100 2021 二 9 I o I 304110
2020 12 I 48 I 328414
2022 14 I 74 I 298130
9110 重庆经贸职ly学院 2021 9 I 26 I 297532
2020 11 48 328414
5
2022 20 45 312809
0_0_0-1-24-19-19
重庆艺术工程职业学院
皿
9112 2020 I 12
2-2-24-19-19
重专业庆)艺术工程职业学院(较高收费 曰2022 11_0l6-9 37-135-47-73
293534
2022 髯 246476
9116 渭南职业技术学院 2021 289105
2020 311744· 126 • 第二章报考统计
公布 实人际投数档 投档最低分 投档最低分 投档最低分
院校代码 院校名称 年份
计划 总分语文数学外语听力 与分数线差值 位次
2022 12 12 296 91 43 6 106 274752
9117 安康职业技术学院 2021 13 6 229 66 29 6 29 296508
2020 20 6 190 39 20 14 10 344703
2022 23 23 231 61 5 21 41 314420
9] 18 铜川职业技术学院 2021 20 3 240 81 42 12 40 292273
2020 20 3 228 74 16 9 48 328414
2022 5 5 332 101 43 8 142 238394
9122 绵阳职业技术学院 2021 2 2 330 90 42 12 130 227648
2020 2 1 284 101 26 14 104 286131
2022 15 15 399 109 81 12 209 154667
9132 四川建筑职业技术学院 2021 8 8 391 108 77 。 191 166551
2020 10 10 355 104 43 8 175 213600
2022 9 9 228 80 15 11 38 315547
9133 四川电影电视学院 2021 30 17 213 75 30 12 13 301249
2020 55 28 184 88 30 14 4 346324
2O22 飞8 4 夕尸 256 i 91 l l I 。 66 302727
9139 四川国际标榜职叶学院 ,攻22、~:OO~江飞 5; 2 266 87 21 22 66 278968
_ 20
4',, 。
心_.i四!--川~I!夕//护炉一-理'`,职~\心业\学院 2022.: 2 2 422 100 71 14 232 127212
9150 , ';r 飞 2021 1 I !,, 363 107 50 17 163 194637
'\ , -\~\\[ 二二\E~ ; \ `/,-二 飞 了 2022 13 13 316 100 41 9 126 255946
9163 云南财经职业学院 2021 12 12 275 91 39 6 75 273333
2020 6 6 263 89 36 11 83 303966
9181 吐鲁番职业技术学院 2020 1 。
2022 22 22 394 101 56 14 204 160821
9182 广州卫生职业技术学院 2021 JO 10 392 103 48 9 192 165608
2020 10 10 328 111 32 6 148 242283
i
2022 20 2 231 80 20 18 41 314420
9185 长春健康职业学阮
2021 45 。
2022 10 IO 302 85 41 5 112 269455
9186 惠州工程职业学院 2021 10 7 208 81 34 。 8 302462
2020 10 2 293 104 39 11 1 l3 277851
2022 10 JO 266 72 29 。 76 296917
9187 广东江门中医药职业学院 2021 10 2 228 82 18 8 28 296895
2020 10 1 259 82 25 14 79 307090
9190 贵州健康职业学院 2021 5 。
2022 6 1 315 95 45 。 125 256955
9192 遵义职业技术学院 2021 6 4 268 94 31 14 68 277796
2020 l0- 2 35~0 ~ 102 55 8 170 219081
4
9198 贵州电子信息职业技本学阮
,“2O21 |~_~ 3 260 1_80_0_4 _ 24 12 60 282418
i; 2020 ~ 4 2 236 20 11 56 323473
2O22 4 王 4 372 89 48 4 182 188409
9200 黔东南民族,`业技本学阮 2O21 1 4 4 353 100 39 11 153 204689
~“\2 O20 5 5 276 85 45 17 96 293302
2022 5 3 222 65 20 8 32 317649
9201 黔南民族职业技术学院 2021 5 。
2020 5 。
2022 6 。
9215 博尔塔拉职业技术学院
2021 4 。
2022 5 5 337 84 67 15 147 232452
9224 云南国土资源职业学院 2021 5 5 '239 73 34 12 39 292709
2020 4 4 325 90 57 11 145 245461
2022 10 10 313 83 59 。 12:1 258966
9241 陕西职业技术学院
2021 10 ! 9 211 83 25 15 l l 301758
2022 8 l 8 379 88 58 8 189 179514
i
9242 杨凌职业技术学院 2021 8 8 329 82 81 。 l29 228592
2020 4 4 444 112 100 11 264 ]19398三、2020-2022年河南省普通高校招生高职高专批院校平行志愿批量投档最低分(文科) . 127 •
1
院校代码 院校名称
年份 1 计公划布 1实人际数纽1 总分语文投数i最学低外了语听力与1分投数档线最低差分值1投档位最次低分
贮 191-173-193-244-225-226-227-213-237
176992
9243 I 陕西交通职业技术学院 184547
昙/ 193652
113361
9244 I 陕西工业职业技术学院 133879
158441
133019
9245 I 陕西国防工业职业技术学院 145244
146967
2022 I 19 I 19 I 319 I 93 I 49 I 12 I 129 252795
9246 陕西能源职业技术学院 2021 I 19 I 19 I 238 I 69 I 25 I 11 I 38 293124
202O l9 19 255 84 27了 6归了上 75 310194
2O22 9 9 410 ,即 飞1;:j'> 1I了了朵'4: 22O 141459
9247 西安航空职业技术学院 2021 I s I s.15髻,1 42沪项8 @-,琴 15己 229 130194
2020 心等乒 匀霆怠 411 扣 50 一 ,0 夕;-, 231 153134
卯 人 2 当杠 玄 3矿多 '362 7,7', ` \ ,` 7 , 6女\ 飞\ 、9 172 201549
9248 I 陕西财经职业技术学院 ,多心宅: 沧纫社 吩仁 34 比,33茅\虹 50 8 135 222791
卢免气:飞霆琴 泣o岱 39炉\,飞飞-:39;t\i343 94 51 14 163 226396
哼 ( \ \ 了 ' \ - , , 三西习 _ \安 ,名 城 ' - 、 孕几 ? \设 \, 1 职业 飞 岁学 烽 歹 沁 院? 飞 , ; ., , , . ? Sn'I'2 2 0 位 21 2: ` I ` \',1 12 6 `力 I l 7 3 I 2 22 0 3 0 I 7 8 3 7 I 1 1 5 5 I 1 l2 1 I 2 1 3 0 3 2 2 98 3 4 8 6 5 0 4
\ \ I 夕 \;\` ,气飞J匕I_六:-;-,-\;'飞 尸 ?已 ; -,汽口,p正 心 歹--』 2020 I 12 I 8 I 198 I 67 I 15 I 8 I 18 342040
L ' 了 A , ,: \:::丁" ,五乙;女 " 4' 'I 2022 I s I s I 260 I s9 I 21 I 6 I 10 300485
9257它咭安
h
篇
仁
新
,t
科
乡玄
技职业学院 2021 9 4 242 68 41 8 42 291470
2020 I 8 I 8 I 246 I 75 I 24 I 17 I 66 316821
2022 I 29 I 31 I 214 I 83 I 28 I O I 24 320163
曰 18-64
9259 I 陕西服装工程学院 299856
318230
三
108 272996
22-47-219-210
9265 I 陕西机电职业技术学院 298773
328948
142616
9269 I 西安铁路职业技术学院 148109
2020 I 30 I 30 I 388 I 101 I 63 I 12 I 208 I 177416
2022 I 3 I 3 I 20s I 61 I 41 I 11 I 1s 夕艺322647
9293 甘肃工业职业技术学院 2021 I 4 I o 尸$飞t: 望
2020 I 4 I `!2 I 232 I 19 I 26 I,A4t, I'"'~f;~~.. c.兄f 心产'3,2'尸6034
20221 4 I 4 1263190,了玄豆令;,边产 芯~书 298750
9294 甘肃建筑职业技术学院 2021 I 3 I . ~ l"~l岱 75七厂2i 。多 16 300441
2O20,« -4_ $ $五坛'f 歹\,飞 飞
9295 兰州石化职业技术学院 女立020气三髻豆 气纭釭 2沁 73 沁,沉 .夕 9 I 90 I 2982s3
-_一 ,-\ 气立O22 玉沟3 - 21 336及心83“ 53 12 146 233659
9297 甘肃警察 学跷:-二} \\ [己二.儿i r / 六 ^ \ ,\ 卢 , 炽 名氐 加1 25 飞f';鸾沪'3oo 88 43 2O l00 254567
',...,
卫\\二,``厂·,:-,20边,五3.`3二`、 25
231 3560 14 51 326617
9332 宁夏职业技学晓-} '夕 ;少``?.心"2020 I 2 I 2 I 408 I 115 I 59 I 12 I 228 I 156295
9334
宁夏建设职业技术学恼六.-它c? ·>-J \.., 2021 I 2 I 0
20201 3 I 0
6 2
2022 I 4 I 3 I 192 I 80 I 10 325611
8-9
9335 宁夏工商职业技术学院 20211 4 I 2 1246187125 46 289571
15-10-10-150l-712-4-4-{51--24 -4-4-1
言 20518716 25 339518
如 178 I 79 11 。 12l14-15-ol1 也 2-12 328139
9342 伊犁职业技术学院 345 I 103 I so 1一 212721
一g 4 149065
归 I 10149 -24
9343 克拉玛依职业技术学院 - 5 336464
- 291736
9345 新疆轻工职业技术学院 g 2 292709
翌
- 3 322860
5
g
-
- 3
g 2
-
-
8
g 4
-
3
9
-
5
7· 128 • 第二章报考统计
公布 实际投档 投档最低分 投档最低分 投档最低分
院校代码 院校名称 年份
计划 人数 总分 语文 数学 外语听力 与分数线差值 位次
2022 20 20 241 85 16 9 51 310258
9346 新那农业职业技术学院 2021 10 10 196 62 22 。 -4 304814
2020 8 3 192 70 30 。 12 344073
2022 33 33 260 85 32 17 70 300485
9347 乌鲁木齐职业大学 2021 10 10 367 120 37 11 167 190485
2020 10 10 278 98 32 12 98 291580
2022 4 2 242 85 30 15 52 309785
9351 哈密职业技术学院 2021 7 。 i ;
2020 10 I 243 77 35 9 63 318910
2022 7 4 215 79 34 17 25 319881
9352 新疆工业职业技术学院 2021 6 1 302 93 29 11 102 252885
2020 6 3 216 79 18 9 36 334629
2022 27 27 302 89 39 15 112 269455
`
9370 福州职业技术学院 2021 21 21 245 89 31 11 45 290064
2020 17 232 81 14 9 52 326034
3 4.1 .3 7 一3·. ! ._...' 33 3吓 l04 86 I,;占 1 8 165 210272
9371 漳州职业技术学院 43 276 95' 36 18 76 272642
了\ 2O20 58 f 1 35 215 84 20 12 35 335100
I \\福兄建飞'船一产政交通职业学院 40,2:2, (\2 0 20 288 82 40 11 98 281438
937 \ 2 \'I 1.-,', \ \ 2021 22 17 206 70 30 12 6 I 302908
2020 40 13 195 i 69 16 5 15 i 343072
2022 ?8 78 270 88 24 11 80 294338
9375 黎明职业大学 2021 67 67 246 71 37 21 46 289571
2020 60 60 258 84 25 8 78 307901
9379 泉州纺织服装职业学院 2022 6 。
泉州华光职业学院(原泉州华光摄影
9384 2020 4 1 249 93 40 。 69 314650
艺术职业学院)
2022 23 23 404 ! 117 77 12 214 '148523
9413 北京财贸职业学阮
2021 29 ~”2“9u .~ 391 88 93 21 191 166551
2022 11 " 9 ,_. 300 87 53 15 110 271196
9416 北京经济技术职业学院 2021 10 7 236, 82 33 14 36 293920
2020 9 10 253 j 83 46 8 73 i 311744
2022 5 7 200'73 25 11 10 323854
9417 北京汇佳职\W学院 2021 16 11 205 73 21 12 5 303126
2020 4 6 260 64 54 8 80 306296
2022 8 8 239 84 24 15 49 311141
9418 北京社会管理职业学院 2021 6 6 433 107 104 20 233 126501
2020 2 2 450 115 55 6 270 113304
2022 心2J 2 240 94 10 l2 50 310704
9419 北京艺术传媒职业f院 4 260 90• ·32 飞_,,2_6- 60 282418
- -
。 6 212 62 35 15 32 336464
,.
22 5 ,~哼 5 323 101 27 。 I l3 248623
庄河北科正技定工程师范孽侐高学等院专)科字校(
9424 2q41 2: 5“石 5 267 93 21 。 67 278355
f~,
2020 5 4 233 71 33 8 53 325378
2022 5 1 261 73 34 9 71 299962
9433 石家庄理工职业学院 2021 2 l 331 92 70 5 131 226706
2020 2 2 182 59 20 6 2 346844
2022 10 l 229 78 24 11 39 315163
9435 石家庄工商职业学院 2021 10 1 287 93 37 。 87 264756
2020 9 3 247 96 7 15 67 316137
9436 河北外国语学院 2021 12 6 214 j 72 36 15 14 301008
2020 12 9 1244i89 34 12 64 318230
2022 7 7 281 81 45 9 91 286747
9441 临汾职业技术学院 2021 6 6 280 ! 84 47 11 80 269844
2020 12 3 209 I n 31 12 29 337792三、2020-2022年河南省普通高校招生高职高专批院校平行志愿批量投档最低分(文科) . 129 ·
公布 实际投档 投档最低分 投档最低分 投档最低分
院校代码 院校名称 年份
计划 人数 总分 语文 数学 外语听力 与分数线差值 位次
2022 3 3 242 85 34 14 52 309785
9443 山西金融职业学院 2021 5 2 241 71 34 。 41 291870
2020 15 5 213 71 24 11 33 336011
2022 4 4 341 83 75 9 151 227655
9444 山西职业技术学院 2021 5 5 313 106 30 5 113 243378
2020 8 4 208 50 33 11 28 338252
2022 10 1 325 99 56 15 135 246476
9447 山西信息职业技术学院 2021 25 。
2020 15 。
2O22 8 8 230 78 22 20 40 314788
9449 满洲里俄语职业学院 2021 1 5 24554 290064
归$
2020 5 3 33098 2心200
9450 鄂尔多斯职业学院 2021
2021
9455 内蒙古化工职业学院
2020
虐` 1,3又2. \ 上t令'`, f4 62 304888
9456 内蒙古机电职业技术学院
8 弁\I,`@\,分
尸`\
石忙\:,-尽言);\(予八\\悄,L\、息,«飞屿职-2簪业,`扫\术学良im`§2位初 `2·,8 § ~, 。
9产长让之 1 1 2b21 5 。
i
`\ 2020 3 。
,坛注心 护大城也泣飞顽亚技术学院 2022 10 。
9459长飞
2021 25 。
2022 20 2 273 76 46 11 83 292397
9460 辽宁工程职业学院 2021 25 。 ;
2020 10 。
2022 40 27 172 72 10 8 一18 329036
9462 辽宁职业学院 2021 39 4 195 66 25 9 -5 304991
2020 24 3 200 90 15 。 20 341345
辽宁生态工程职业学院(原辽宁林业
9463 2020 34 。
职业技术学院)
2022 52 24 203 67 20 17 13 323151
9465 沈阳职业技术学院 2021 10 2 248 96 19 21 48 288640
2020 12 0
2022 38 38 305 85 43 9 武
9467. 辽宁医药职业学院 2021 38 22 208 77 41 言 '`
2020 34 9
归 ,
9468 -` 贮心`` \心夕
9469 一辽宁装备制造院职业技术学院讨巨卢 」也江己\喝已“37 315901
9470 铁岭卫生职业学院 {心, A'
黑龙江职气勹巨\~_` 少孚从店 37 。 55 308427
9471 ", 214 82 15 6 14 301008
200 58 21 6 20 341345
黑龙江幻垦和电\A芒`赞毯它 `,琴“…',抎讨口初21 50 2 197 53 15 9 一3 304652
9473
2020 57 4 227 72 37 12 47 328948
飞\,云 2022 9 1 242 71 46 11 52 309785
9474 黑龙江商业职业学院 2021 20 1 222 81 40 11 22 298773
2020 25 3 267 92 31 11 87 300758
编编`
2021 53 6 300 75 60 11 100 254567
9476 黑龙江生物科技职业学院
2020 70 9 194 74 6 11 14 343428
2021 15 4 206 77 13 8 6 302908
9478 长白山职业技术学院
2020 38 。 .
2022 13 13 402 105 41 12 212 150967
9481 上海工艺美术职业学院 2021 8 8 4i1 92 104 11 211 147175
2020 6 6 360 105 49 11 180 208082· 130 · 第二章报考统计
公布 实际投档 投档最低分 投档最低分 投档最低分
院校代码 院校名称 年份
计划 人数 总分 语文 数学 外语听力 与分数线差值 位次
2022 10 10 442 108 74 11 252 104144
9488 江苏经贸职业技术学院 2021 10 10 460 118 65 15 260 101621
2020 5 5 459 106 72 14 279 104203
2022 11 II i 345 102 44 。 155 222771
浙江纺织服装职业技术学院 2021 10 7 239 96 10 。 39 292709
2020 12 12 222 95 29 5 42 331646
9491
2022 5 5 317 83 68 9 127 254941
浙江纺织服装职业技术学院(较韵收
2021 8 3 240 82 46 12 40 292273
费专业)
2020 8 3 270 77 57 9 90 298283
2022 39 39 372 108 43 14 182 188409
9492 宁波城市职业技术学院 2021 41 41 353 89 57 12 153 204689
2020 50 50 355 109 47 。~尸~ 175 213600
2022 14 8 240 85 39 8 , 50 310704
9493 浙江广厦建设职业技术大学(原浙江 2021 25 l 了 285 90 43 . 9 85 266241
广厦建设职业技术学院)
204 74 19 14' 24 339925
归1-r 321 82 \ \3匕5飞 了上 '~1午4; 131 250730
9494 杭州万向职业技术学阮 270 1泸n;y 24 11 I, 70 276561
9504 I .-安徽冶金 了~ 科 \~ 技职业学院 2亡O·s22i;凡 `,又 3~尸0上.}, 9 2 20 6 3 0 7 8 6 6 3 。 7 1 。 7 I 8 ]3 0 3 32 0 3 6 1 2 5 9 1 6
950飞
六'\\安一厂飞;徽;:.\:中:::,~澳i '秅\II伎L职业字院 ("\\ 2022 12 6 206 50 33 12 16 322397
2021 12 2 214 78 30 14 14 301008
2022 12 12 309 91 34 11 119 262872
9508 安徽国防科技职业学院 2021 5 5 281 89 37 8 81 269173
2020 5 2 299 88 30 17 119 272124
9510 安徽城市管理职业学院 2022 6 6 288 74 53 12 98 281438
2022 14 14 318 74 51 9 128 253881
9516 亳州职业技术学院 2021 14 14 239 91 31 9 39 292709
2020 15 15 290 87 51 11 110 280648
2022 12 6 206 71 25 14 16 322397
9517 阜阳科技职业学院 2021 15 2 244 77 25 。 44 290545
2020 15 。
2022 33 33 330 101 26 。 140 240679
9521 福建信息职业技术学院 2021 20 20 281 102 29 。 81 269173
2020 20 20 298 72 25 20 118 273026
2022 7 7 258 78 41 15 68 、 301602
9522 福建水利电力职业技术学院 2021 7 3 226 81 34 0 /尸 C, 26 297532
2020 10 2 287 79 28 12 107 283328
9523 福建电力职业技术学院 2022 3 .' 夕~ '3 3 ; 3 2~ 9 3 ~/ 3、 8 / 8 8 9 8 ,, 5 5 8 0 瓦 。 8,'\, ` \ Y 1 9 4 3 8 \ S I "'2 2 3 6 1 0 2 2 5 31 8
曼 3 21s I 54 岳宝35§ ".,~子"'12 35 335100
8 [ 185 65 \、人`25 9 -5 326976
··
9524 福建林业气严术学院 5 186 71 20 12 -14 306322
2O20 忙”-:8} 2 289 72 59 。 109 281525
L一 9525 福建农业职亚聂本学院 ) `2O22 15 5 212 78 10 12 22 320744
2020 65 2 267 74 47 14 87 300758
2022 15 15 318 92 44 。 128 253881
9526 厦门海洋职业技术学院 2021 22 29 204 77 15 14 4 303340
2020 46 35 196 70 23 11 16 342748
2022 5 5 296 91 34 14 106 274752
9531 江西生物科技职业学院 2021 4 4 198 89 30 15 -2 304484
2020 4 4 196 84 15 6 16 342748
9532 江西应用工程职业学院 2020 1 。
2022 10 10 400 107 65 8 2lO 153482
9535 江西外语外贸职\lk学院 2021 10 10 396 83 49 9 196 161619
2020 10 10 368 I 96 55 15 188 199197.
三、2020-2022年河南省普通高校招生高职高专批院校平行志愿批量投档最低分(文科) 131 ·
院校代砃 院校名称 年份 ::厂尸尸厂厂勹/了』:严二分
2022
9538 I 南昌丁学院 2021 1 37 k 2 303749
卢2020 i 7 - 312492
7
2 325611
9539 I 南昌职业大学 2021 I 70 一 302237
70-10-32-6 2
2020 l 345210
2022 9 317995
9540 江西服装学院 -
2020 \l 三三: 三三 :于 ;三 8 346569
2022 I i i I - 311993
江西科技职业学院 2021 6 3 269173
9541 1
2020 I 6 2 I 262 I s3 ! 39 I 12.. I s_2 304696
O 爷4了产5 3
压内科技职业学院一厂 1 j 349 I 83 I 65 j df ` 呈 · 臼 上 1 - 459 217891
9542 旱恺镇陶侥职业技术学院 l支乙s,1 201心 I 6:5 i 43 I s 心;; 71 303931
主 16 , ' 言 -编'· 4 3 0 2 8 2 1 8 · 1 ` 1 ` 0 - \ - t \ 6 68 l .. 3 ll ' ; ? 习 ,俨尸 2 1 - 8 1 2 3 8 2 2 1 4 5 9 6 6 2 5 9 1 5
9543 泰山护理职业学院 10 201 66, 35 9 l 303931
9 208 71 15 14 28 338252
~己, 言 161414
16 I 349 I 97 I 38 I 9 I 159 217891
95\~ /济二南护理职业学院 14 I 325 I 95 I 74 I 11 I 125 232444
136 254952
豆i,产 2022 38 315547
9545 · I 山东化工职业学院 / / 丿 138 219793
93-67-79-20
285208
9547 I 山东丁IIV职业学院 2021 I 6 278355
2020 I 10 飞07090
2022 I 36 321356
9548 I 山东海事职业学院 2021 I 12 0
2020 I 26 - 236 I 70 I 22 I 20 I 56 323473
1
2022 I 8 - 308 I 80 I 41 I 14 I 118 263856
9549 山东经贸职业学院 2021 I 6 8 297 I 100 I 42 I 8 I 97 256999
2020 I 6 - 2781801401 15 I 98 291580
2022 I 40 5 - 192 I 65 I 35 I 1 9 4 ` I 2 ,- 325611
9551 青岛旧星科技学院 2 2 0 02 2 1 0 I I 6 6 5 0 4 - 3 2 1 0 8 0 7 I 7 60 0 I咖 m1 15 0 I u m 8 ` §` 子 咚 叹 \ S也r 气飞含', 3 34 0 5 4 4 1 8 1 3 0
2022 I 10 0 2451781291 i1宁 覃气尸 308427
9552 吉岛求实职业技术学院 户` 2021 `.u I 14 !- ~. I 13 r I 20 I 11卢~3`校 303749
山东现代学院 \ \匆 2 2 O 0 2 2 2 1 0 2 -、 1 \ } " 飞l 1 1, 4 1 5 5 0 i ~ \ , · . 『 . 1 4 1 - 2 3 39 4 \ ., `, i 2 2 9 0 0 8 0 , 3 \ 众 、 '\ I, '`6 . 6 ' 6 `8 0 o I 、· 1 , 3 2 3 \ 1 4 \ 5 ' ,. ' •.,\ I 1 1 8 2 2` ·',,心'、I I , ',·t·3' \.l 1 1 3 8 0 3 3 30 4 2 3 2 3 5 0 8 4 4 5 5 0 4
9553 山东现代学院(较高收费专业) il , 2 初 O 2 2 0 I \ 垒$、 1 l 6 2 0 \ ` 1 1 48 _ 42 4 \ \ 卢
292258717985915944546237435822584852
6
2913
-
0582
5
1012 49521024894427829210814
l
9
l
902
-1
2201
0
3192
0
101
-
1038
1
26
0
8851
2
15
3 2 -
32
4 7 5
49
9 4
5
8
2
8 3
11
- 1 9
3
1 6
2
9 5
1 112
i 1 尸 2_()22 [_ 17 1-9 278159
\ § ?/ /俨
9554 青岛黄海学院-` FI\1'3\ !- 2021 I 18 20 283474
`
2020 27 16 343072
雏学院坊)工程职业学院(原淮坊教育!/尸二 I
9555 4 1s · 343072
襄阳汽车职业技术学院 I 三 202 : 2 I 三 160
1一
85 1 291038
9562 6 42 i 291470
I
0 o 347337
亡 224-221-240-121-55-71
- 136619
9564 武汉交通职业学院 1 137727
4 143812
』 0 260906
9565 咸宁职业技术学院 - 285080
1 313212
2
6
-
3
5
-
3
4
-
2
4
-
2
7
-
3
0
-
2
2• 132 · 第二章报考统计
公布 实际投档 投档最低分 投档最低分 投档最低分
院校代码 院校名称 年份
计划 人数 总分 语文 数学 外语听力 与分数线差伯 位次
2022 3 3 243 85 16 。 53 309326
9567 湖北艺术职业学院
2021 12 4 225 68 35 15 25 297842
2022 3 3 356 99 62 。 166 208977
9568 长沙职业技木学院 2021 1 3 3 283 83 40 11 83 267702
2020 I 2 2 302 96 32 14 122 269166
2022 ! 5 5 275 78 58 15 85 291038
9571 怀化职III1技本学院 2021 4 2 3·02 90 41 (] 102 252885
2020 5 2 412 87 109 9 232 152087
l ~”“
2022 2 2 363 98 65 。 173 200249
9572 湖南城建职业技术学院 2021 3 3 278 81 46 11 78 271301
2020 2 1 314 87 51 12 134 257056
2022 10 10 203 67 19 8 13 323151
9573 湖南化工职业技术学院 2021 8 3 275 85 35 9 75 273333
2020 10 6 265 87 10 12 85 302342
2022 6 ~ 6. 358 lOl 48 11 168 206465
9576 胡市司法警官职业学院 2021 5 笠衾 364 102 57 15 164 193591
心巨; 2020 5 3 ' 23,9上~t1 r , 67 41 14 50 327216
游职业归心莘~,二技忒~-沪`术`卒皂学竺 院't乌网:\,三::啋:'气t 20 1 `:'''六 .炉,`二 '.,~2匕:n0. '.; ' 388 96 75 14 198 168250
9577 i 长沙商贸旅 A; 2 20 0 2 2 1 2 20 20 355 98 58 17 155 202693
Ci 1I 2020 20 16 233 87 20 l 15 53 325378
\ ',[ :'`r,. 2022 49 49 419 96 70 。 229 130688
广东科学技术职业学院 2021 46 46 414 98 71 15 214 144294
2020 38 38 418 113 70 14 238 145887
9585
2022 2 2 386 103 56 。 196 170772
广东科学技术职业学院(较高收费
2021 1 1 344 101 47 5 144 213717
专业)
2020 4 1 202 57 30 15 22 340668
2022 27 27 359 96 50 。 169 205212
I 广东食品约_品职业学院
9586 2021 13 13 342 113 37 11 142 215802
]
2020 12 12 313 90 勹45 。 133 258061
|
2022 30 6 237 85 5 47 311993
9590 广东创新科技职业学院 2021 35 3 225 72 i 23 ! 17 25 297842
2020 45 4 219 79 ! 11 11 39 333203
2022 2 l 244 75 44 17 54 308909
9593 珠海艺术职业学院 2021 I 2 255 87 41 9 55 285080
2020 3 。
2022 12 。
9602 桂林山水职业学院 2021 10 1 243 75 • 58 12 43 291008
2020 5 。 , 4
2022 19.6: 总. 65 10 17 『 6 324775
国三
9603 -,IV中瑞酒店管理职业学院 2021 48 239 87 19 12 39 292709
8
一一八;·_,,一,~. , s 2020 75 210:兰 51 25 6 30 337374
9605 「五现一石面业技术学院-尸i ', 2022 28 气 飞,7;心 257 80 39 17 67 302142
广西工业职叶技一\二术·''))S\\
c
学
L?
)
~
z院~-·一'~飞\\,_昙~一\-”- ~勺r
\~
- -,、 '"一'”一 2022 7 5 275 83 40 6 85 291038
9608 202] 3 2 264 97 3 () 17 64 280159
2020 8 。
2022 46 46 248 87 15 14 58 306948
9609 海南软件职业技术学院 2021 22 24 281 92 28 5 81 269173
2020 17 17 235 69 51 。 55 324103
9615 承德应用技术职业学院 2020 3 。
2022 • 1 1 1 234 92 26 11 44 313230
%16 哈尔滨北方航空职业技术学院 2021 22 。
2020 29 1 290 89 ,14 i 6 110 280648
9617 厂东茂名农林科技职业学院 2020 10 1 286 85 36 5 106 284255
2022 12 5 214 66 31 15 24 320163
9618 向南健康管理职业技术学院 ”“”“202-1 ,]: 7 2 244 92 ,-~--- 9 44 290545
2020 9 。三、2020--2022年河南省普通高校招生高职高专批院校平行志愿批量投档最低分(文科) . 133 ·
公布 丁际投朸厂— 投朸最低分 投杠最低分投朸最低分
院校代砃 阮校名称 红份 计划 人数 总分勹```T;卜沾听力1 勹分数线差但1 位次
2022 I 36 I 3 I 191 : 67 is I 12 I 1 325829
96]9 眉山约杜职业学院
9624 天/订社1x:f]i1空旅游职\il,平院
/
9628 心1勺匹约健康昂心[[1乍院 上_ _
/-二118 二二/勹二 ,1 333708
//
9631 和旧职W技术覃 -19 -』 _l_2_1-611
9632 11乡卫生职业学院 ___
• ^ ^ 1 2022勹- 4 1 I 211 ! 84 I 31 I rn I 87 I 289663
9633 I 工西婺陈条业职讥,学院 。 --,;—t -- ! - -
I I 216 I 75 I 26 I 1-2 I 4306 二I - 三3 34629
l 230 i 76 35 0
9634 | f失1、j关职业技术学院
0 I I
:
8 I 7 I 324543
I:::1::丿 ~-+-五·---t.
9635 1 ,白叫子工程斯业技木卢览 2745.o/
3-4
气: 220 1 76 26 9 上一望 飞32687
I 229 ! 79 30 12 15163
9636 桂林生命与健康职业技本学院 2021 17 — 262 I 100 I 26 o I 62 281294
2020 I 17 I 0 —-- -__
沁202222 I 30 I 一I 3 厂 27 -I 85 I 4 - 1 I— - 141 一I 二137 I /244191
厂言/
39 : 197 75 l0 1
如20222 I 2厂5 一15 19了石了
- 1i~t------ o I 326041
2022 I 200 I 62 I l 94 j 55 I 26 I 8 I 4 I 325 188
9663 I 湖北健康职业学院 `二三 41 200 ~ —-89/24“ 飞^-—- () - 30正o
2020 I 36
/
I 1
8
4 I 2
27
2
3
2
I
!,
8
8
4
4
I
I
2
25
9
I
1
9
4
I 4
83
2 I 3
29
3
2
1
3
6
9
4
7
6 ^-
9667 向南卫生健康职业学院 7 6 254 ! 65 I 47 I. 54 285600
2022 32 32 367 I 96 I 79 l 77 194991
,
9670 诲南政点职虾学院 2021 32 32 142 215802
`-//
2020 28 28 132 259096
1916122917240017 j 1 , 202 !6330]
5`-g
卜
g
业学 院
I
194
讥 二
_ _
归-
西 俨
四
职 构入匕
三 千学 飞
) I
_ `E w 院 ( 车艾胚收 ' l
』铁
勹 技 _
』 -
P飞 96 28297]
9674 广西培贤国际职,I~ 卢 学院 2022 27 l 』I- 29』9 .I 一 /79· 58 . I ^ O ^ ~ i 109 272104
2020 28 。 I /
2022 11 11 三 369 I 98 厂/勹2/
9675 I 币庆一岆职寸],学院 2021 l l II
丿2020 10 IO :
(
戙队加且职寸技本大于 原币队机
9677 职业技木学院)
一
9678 事/人电 j,[程职炒学1饥
I - ,////
287/厂-.-?二二-
9688 四川加人1庐111技木户院 4二 l7 二产厂282184
289 86
I
9695 绵日飞行职1jj1学院· 134 • 第二章报考统计
公布 实际投档 投档最低分 投档最低分 投档最低分
院校代码 院校名称 年份
计划 人数 总分 语义 数学 外语听力 与分数线差值 位次
2022 4 4 296 92 20 11 106 274752
9700 成都东软学院 2021 25 12 224 85 24 15 24 298146
2020 8 8 255 78 47 11 75 310194
2022 3 3 304 95 31 11 114 267637
9702 铜仁职业技术学院 2021 6 2 261 82 46 12 61 281858
2020 7 4 215 69 12 6 35 335100
2022 23 23 342 92 58 12 152 226413
9705 宝鸡职业技术学院 2021 15 15 286 95 39 17 86 265509
2020 15 15 217 85 20 15 37 334175
2022 55 55 268 83 42 。 78 295644
9706 陕西航空职业技术学院 2021 40 35 223 80 10 14 23 298460
2020 20 20 251 77 45 17 71 313212
2022 5 1 229 79 36 12 39 315163
9707 湖南劳动人事职业学院 2021 5 0
2020 16 2 240 77 23 5 已 ',60 320855
Q位`2一--一O_2:~_一.-~ 一、 -1nl8: 18 , 401 100 50 I飞5 L.~ ~ 1 :~ 1 f 211 152254
9708 陕西铁路工程职业技术孚阰 ,-- , _ 22 2- -- - _-_- 102 _ - - ” “ - 13/ 13 'i 395 1l六1一4 71 12 195 162625
15,,. 15 379 113 52 8 199 187124
( --
仁 9 7 0 9 ` 陕西电子信息职卦技本叶院 _~八2~022., 七'8 3 191 67 15 6 1 325829
2021 30 19 I 206 58 30 6 6 302908
9710
\• •
西',一”安交通工程学院
2020 102 65 '186 66 54 15 6 • 345764
\ 2022 21 3 331 95 36 。 141 239549
9714 巴音郭楞职业技术学院 2021 12 。
2020 18 1 400 100 74 11 220 164715
2022 17 9 222 74 29 14 32 317649
9715 阿克苏职业技术学院
2021 7 2 258 92 29 15 58 283474
I
2022 100 5 190 65 15 9 。 326041
9716 天津滨海汽车工程职业学阮 2021 22 3口l 勹 325 79 57 12 125 232444
I
2020 90 180 61 20 15 i 。 347337
202.2 35 35 I 264 I 86 25 6 74 298130
9717 新疆职业大学 2021 . 20 1s --. I I 22 10 76 20 12 10 301992
1-- 2020 22 16 01 62 22 11 21 I 340997
2022 7 , 7 241 82 50 8 51 i 310258
9718 新疆建设职业技术学院 2021 10 6 200 77 25 12 。 304110
2020 10 6 217 76 30 I] 37 334175
已
2022 15 15 252 74 34 14 62 304888
9719 苏州托普信息职业技术学院 2021 56 22 201 75 28 6 1 303931
2020 56 19 20~ 5~ 80 12 9 25 339518
2022 孚.?1~户0\ 2 _-3 /1 1 85 53 lL 121 260906
9721 江西软件职业技术大才(原汀西先铎 ,.2021 夕飞二~尸_1咖气仁J~o、.口 i ()
软件职业技术学阮)
2020 ?飞.`人L 之 ~下`己1~-0 2 279 8l 45 11 99 290701
2022 77 _气 21 194 78 14 9 4 325188
9722 共青科技职\业学院 叨Zl '63 63 291 96 40 。 91 261811
已~ 仁编2~03~ 2` 0 66 63 ]91 69 34 11 11 344399
-- - % -- 2022 2 2 315 87 46 。 125 256955
9723 江南影视艺术职业学院 2021 2 。
2020 10 2 195 81 10 6 15 343072
2022 35 4 204 63 35 。 14 322900
9725 厦门华天涉外职业技术学院 2021 3 2 240 92 29 12 40 292273
2020 4 。
2022 3 。
9726 厦门演艺职业学院
2021 9 。
2022 33 33 勹』: 97 。 尸 235 123654
973] 北京电子科技职业于院
2021 28 28 70 。 134 223767
2022 14 14 60 6 ·一, 188 180776
97飞2 河北司法警官职业午院 2021 14 I 14 358 I 102 45 21 158 199644
2020 10 10 327 99 43 。 147 243353.
三、2020-2022年河南省普通高校招 , 生高 职高专批院校平行志愿批量投档最低分(文科) 135 •
院校代码 院校名称 年份 1 计 公 划 布 1实际 人 投 数 档1 总分1语 文 投 数 ?最 学 低 外 『 语听力与 I 分 投 数 档 线 最低 差 分 值1 投档 位 最 次 低分
8
9736 I 太原旅游职业学院
。3 1228188125 28 296895
飞
9740 I 潞安职业技术学院
12-12_0 31-14-84
336931
322900
9747 I 黑龙江能源职业学院 266960
2020 I 50 I 1, I 251 I 75 I 39 I 18 I 71 3l32l2
2022 I 20 I 15 I 170 I 52 I 15 I 6 I -20 329295
9748 黑龙江生态工程职业学院 2021 I 100 I 7 I 180 I 76 I 14 I 15 I -20 307062
I I I I I I I
io20 76 1 332 103 49 s 152 238075
2022 40 5 259 76 26了 t1了三~ 69 301039
9749 黑龙江旅游职业技术学院 2021 36 1 304 郊 :35空三: 1矿\ l04 251221
I
2020 \ 12 \ 9三;:;\ ~三,;; ~袄,,飞口 殴
2022 立莘 飞玄 451冬即 103 l2吓飞产 261 93931
9750 I 南京铁道职业技术学院 加21夕'-部:',卒 3尸 44510亡4t,顷尸'- 8 245 115305
I
',又, 甚,亡` 过心为20 吁4 二 4 i, 4t6\ ti贞 92 12, \ 236 148017
97习 无锡城市职业技
'
术
,卢
学
:已
院
-卢 夕' 六\_,, - 受
$
~ 在 '
;
, 心
,
,
心
'
心
k
艾
,,,
2
加 ,,
O
, 立 心,
2
芯
l 1 1
48
1
矿
'· I
,`
1
祁
s
'
I
令
3
3
6
s
2
4 J
I 1
s
0
9
5 I
l 6
5
3
1
I
I 2
o
3
I
I
1
1
9
62
4 1
1
7
9
3
5
2
6
1
2
3
4
\ \`勹 , ; ,,1 \ ; ; 1 , 一 , ' ' ` 尸,!L, _, 、 - 1`t --`\',, ',~r, f 2`0 20 I 101 I 101 I 336 I 92 I 43 I 14 I 156 233823
\_ \ 心了 20221 22 I 22 13271891571 5 I 137 244191
9752' 无锡工艺职业技术学 一』, 院 ,, 2021 I 20 I 29 I 259 I s4 I 20 I 12 I 59 282939
,
义一,' a 20201 20 I 20 12571761431 9 I 77 308659
2022 I 90 I 90 I 308 I 97 I 34 I 5 I 118 263856
9753 苏州健雄职业技术学院 2021 I 78 I 78 I 264 I 81 I 42 I O I 64 I 280159
20201 73 I 73 1263187 1291 9 I 83 I 303966
2022 I 109 I 109 I 331 I 84 I 54 I O I 141 I 239549
9755 江苏财经职业技术学院 2021 I 102 I 102 I 299 I 91 I 14 I 5 I 99 I 255359
2020 I 101 I 101 I 263 I 101 I 29 I 12 I 83 I 303966
2021 I 10 I 12 I 223 I 93 I 37 I 11 I 23 I 298460
9756 扬州工业职业技术学院
2020 I 15 I 15 I 232 I 71 I 23 I 11 I 52 I 326034
2022 I 8 I 8 I 379 I 96 I 52 I 6 I 189 · I 179514
9757 宁波卫生职业技术学院 20211 9 I 8 1228182 I 23 I 8 I 28 I 296895
I I I I I I
2020 16 16 334 79 66 14 1 154 气了一 ;2235911
2022 I 16 I 16 I 354 I 94 I 56 I 15 I,心上氐4 `,了夕歹 如551
9761 安徽审计职业学院 2021 I 1s I 1s I 233 I 15 I 24 三脰了 `虏 钞'泸,今淰2''穷,099
202O l0 9 266 96$,心祁气尥玄 归t6-g, 乙 30区25
9762 安徽新闻出版职业技术学院
2
2
0
02
2
1
2 I
佥
·
l
1
3
0 I
书
_ 1
,
,0
飞
心
沁
豁气
i心8
8
7
8茗埜
14 立
。',
了
;?
\公
-
4
9
2
3``\'t 2
2
8
9
5
1
2
4
0
7
8
0
,多巫,.2022勹:i59 了积 197 吐笠女屯,及 6 7 324543
9766 闽西职业技术学院 \,- 尸L}c”`3 平1 '羹的 12 ,2对气uw·r 13 I 6 I 24 I 29s146
\ \令f,二`,:匕一;,'\\\ 尸上 S劝20 63 f \土,1,5,'~/飞,207 74 27 9 27 338657
9771 江西工程职业学院:
`
'
之'
,
,'\
;
;
:
:.
己
"
\
一\
-
\,习`,;午L4 2O龙,·:J-6•·· < , 己 , 寸气I 6 I 260 I 79 I 26 I 9. I 10 I 300485
::f2020 I 10 I 4 I 199 I 90 I 23 I 14 I 19 I 341698
,:., -.-; ',“ I I I I I I I I I
2022 62 62 194 67 35 · 11 4 325188
9774 江西航空职业技术学院 2021 I 20 I 1 I 242 I s2 I 2s I -o . I 42 I 291410
2020 I 15 I 7 I 227 I 71 I 15 I 15 I 47 I 328948
2022 I · 23 I 23 I 251 I 90 I 34 I O I 61 I 305420
9775 江西衣业工程职业学院 2021 I 23 I 23 I 202 I 80 I 25 I 9 I 2 I 303749
2020 I 25 · I 25 I 166 I 49 · I 13 I 12 一14 I 350221
2022 I 10 I 30 I 224 I 68 I 53 I 12 I 34 I 316954
9776 I 济南职业学院 2021 I 10 I 2 I 305 I 101 I 50 I 9 I 105 I 250321
2020 I 10 I 6 I 214 I 91 I 22 I 6 I 34 I 335578
2022 I 45 I 45 I 333 I 101 I 35 I 9 I 143 I 237232
9782 I 湖北国土资源职业学院 :: :1 111 245107
覂 :;;
2020 I 40 : 1 1 :: 1 1 52 326034· 136 · 第二章报考统计
公布 实际投档 投档最低分 投档最低分 投档最低分
院校代码 院校名称 年份
计划 人数 总分 语义 数学 外语听力 与分数线差值 位次
2022 20 20 287 90 34 。 97 282184
9783 江汉艺术职业学院 2021 17 17 274 97 38 12 74 274006
2020 15 13 232 。 54 14 52 326034
2O22 101 l Ol 301 88 53 。 I 11 270308
9784 湖北生态工程职业技本汗队 2021 110 - l IO --+i- -i2 2-7-2 1 1 99 25 12 71 275973
2020 116 116 l 95 10 17 41 332173
2022 14 ! 14 I 320 106 49 14 ~ ~ ~ ~ ~ ~ ~ ~ 130 251735
9785 湖北生物科技职ll,学阮 2021 14 14 1 304 99 37 12 104 251221
2020 14 14 , 237 : 78 51 11 57 322860
2022 6 6 385 89 48 。 195 171983
湖北财税职\11,学院 2021 18 19 336 102 75 11 136 221808
9786
2020 28 28 305 100 48 14.1 125 266264
湖北财税职业学院(较高收费专业) 2020 3 。 I
93
2022 31 3.~.~1 353 今··~ / 40 。 163 212838
武汉民政职业学院 2021 29 ,、2,9'已'夕, 329 92 30 23 129 228592
9788 ~”2袄-“.“.心Q~宇·:之~~妞尸·六 芞:.22.7., 辜.气,今,: 227 317 88 I勺,61 卢~'9 137 253934
a2“22/ 4 -• 2 -Ol ·} • , 266 95二c 39 3 76 296917
\夕-,武_J汉民夕--政\'?{职I,业学院(较高收费专业) 4 仑 I 0
\
2020 ,-.6 尸 l 190 64 10 8 ] () 344703
\\
\ \武二户-一汶\\\ 铁2_:_路r'/,'职 \丁业\技木学院 J' 六2仁0/22F2 154 154 428 101 67 6 238 120198
l 2021 139 139 436 104 107 14 L ~ 236 ~贮 123710
2020 111 111 436 107 85 6 256 127544
2022 100 100 327 91 55 。 137 244191
9792 湖北三峡职业技术学院 2021 100 100 343 103 62 8 143 214731
2020 JOO 100 224 71 5 12 44 330572
9799 广东义艺职业学院 2022 8 5 217 74 14 12 27 319306
2022 36 36 235 77 25 17 45 312809
9801 中山火炬职业技木学院 2021 13 7 239 87 26 8 39 292709
2020 10 4 224 76 43 5 44 330572
2022 8 8 306 93 39 6 116 265721
9802 江门职业技术学院 2021 8 9 273 77 38 8 73 274712
2020 15 6 218 75 35 14 38 333708
-—- --
2022 33 33 236 69 34 8 I - 46 312390
9803 茂名职业技术学院 2021 51 4 256 82 38 11 56 284563
2020 41 4 248 88 10 12 已? 68 315404
2022 22 22 311 63 65 14 .l2;./ 1 260906
9805 珠海城市职业技术学院 2021 40 40 306 86 56 14 106 249455
2020 40 40 219. 83 5 11 39 333203
9808 广西电力职业技木学院 启2022 5 1 5 4 3 3 6 16 8 " 9 8 8 1 ... ·~ 73 ~ · .; : 2 8 0 心 .,_ ` 一 ; ! l 卜 __几-- - l 1 7 1 8 - 6 ”“ 2 1 4 9 0 3 6 6 8 9 8 0
4 266 ?气 52 11 86 301525
24 364 93 49 12 174 i 198903
海南经贸职\业一,技本'孚院
2O丑 乏 23 23 尸248 98 55 。 148 209758
9809 己二 初20 22 22 92 103 32 12 112 278796
海南经贸职业技术学院(较的收费
2022 2 2 319 98 45 11 129 252795
专业)
2022 IO 10 376 102 63 9 186 183359
9810 重庆水利电力职业技术学院 2021 10 10 339 101 57 。 139 218794
2020 9 9 319 91 25 。 139 251853
2022 3 3 409 96 68 8 219 142616
9814 四川司法警官职业学院 2021 3 3 371 102 73 15 171 186460
2020 3 3 376 116 54 6 196 190385
2022 4 4 328 85 52 11 138 243008
9821 云南林业职业技木羊院 2021 4 i 4 256 86 30 14 广—-5—6 284563
2020 4 4 323 88 53 。 143 247603三、2020-2022年河南省普通高校招生高职高专批院校平行志愿批量投档最低分(文科) 。 137 。
投朸最低分
阮校代码1 院校名称
1心{欠
278159
9822 I 陕西邮电职业技本学院 294344
J08 282382
_pi:&~ 12 1 47
::rn:1勹二-:__ ::.三
北京括黎职业学阮 __
9824 / _
/
厂_____
丁
9827 石家门科技伈目职抑学院 I 斗IL< !., L I Lu, I /0
『
- - - r 1 - ,了 - 宁邯 - 丁 - I f叭 - 111f -- 吃( - 阳:: - -~面丁-1.l叭一111".一尸三_ . - _ 7 飞·— ! 一-— l -一丿三丁 97 1 69 ! 12--
98
9:w.1“一
9832 上 1 - 2 - 0 20m - u厂u - 3` ` 8--u -1m - - 1 9 - - m -( - 20 " 4 , 1 u m -82 - 『-”2“0一m-| m- 8 · m - - 2 4
/
I
9833 i 上向民远职业技术学院
i / - :
228
勹::: ::
9835 卜海扩达学院 1/1:
I三勹 24 1 327 i Q` ' I U
1 I 2022 i 78 ! 21 i l91 i 39 i
I 上向思博职业技术学院
9836
上诲思博职业技木学院(较商收贯
专业)
9837 江海职业技木学院
...^一·一
9838 金山职业技术学院
2020 } 35 ! 3 二 215 1 64 1 20 lI 6 35 335100
- I 2022 1 21 1 21 274 I 76 [ 40 I 12 i I 84 291736
| ,
9839 浙江长征职业技木畔院 12021 36 1 23 卢3-1- 7-2 -! 3366 I| 17 飞 303545
一一 I 2 20 0 2 2 1 0 I ! . 3 4 2 i ! ! _— 1 2 6 2 1 6 9 3 4 I 1 7 7 6 2 1 l 3 26 2 | 1 ! ' / ~ 一 - - - 6 l4 3 3 2 4 80 3 7 4 1 2 5 8
江西丁程学院 2020 I, 20 I I 20 沁23--4-:-
罕 11 了1191
9849!84- I_l_ 威 五 海 西 海 科 并贝 职 14 J 阰 业 )-学 学 院 三 1 I 1 I · ? \ 3 9 7 9 3 3 7 1 4 [ `
2 I「 技 言 15 1 如)加l
言
2022 58 ;24775
I 山东协和学院 !90064
- -
L 凶342,
9844
I
?6090- (-
山东协和冲院(较高收费飞业) ?61811
l4439S
为75飞:
9845 I 山东华f.1学院
沁3211
; 17 28:
9846 I 山东外事职业大学 2勹~--111g厂1 51 —-『5 30 4 3 6 9 0 3 5 I d
185 I 50 I· 138 · 第二章报考统计
院校代码 院校名称 什份 I 公 计 布 划 1 1 I 实际 人 投 数 档1 - 笆-分厂币-文 投 -- 档 数 - 最 乒 - 低 - 外 - 分 语-“听一力一一勹分 投 数 档 线 最 差 低分 伯 }投怕 位 最 次 低分
一一· 二// I —1-91—J 6-4—25—8 -—---1 —— 3258 — 29
9847 黄冈科技职业学院 2021 I 103 ; 76 I 200 I 61 I 39 I 14 I. o I 304110
9848 I 湖南应用技木学阮
- 1 : : : : /
I| 340668
I
1i _ 3_25 _82 9
__ ____
I 297532
i
342040
+-—-——
! 318301
334175
304335
9867 西安海棠职ll,学院 295452
2020 i 22
2022 i 7 11 22 320744
9869 I 新疆现代职业技术学院 2021 , 10 1-2-o 2 - 0 2 0 I 79 i 21 l 4-8 0-16 I 304110
I 2020 i 12 196 i 85 ,i ! JO i 342748
3-8 l1
2022
9870 新骈天山职业技术大学(原新驸灭山 I 2021 292 厂|石勹! 23 8-9-12-20-14 9 2 260961
职业技本学院) 2020 i 2 I 2 238 I 83 i 28 58 1 322 187
I I 1 2022 I 1 50 I1 50 369 I 97 i 36 179 三92336
9874 I 南京旅游职业学院 1 2021 1 31 l 44 279 I1 92 I ! 26 79 270565
1 南京旅游职业学院(较高收费女业) : 2 20 0 2 2 1 0 1 I 2 4 7 ! 1 2 2 7 3 4 1 1 7 4 I 1 1 9 1 2 8 1 i 5 3 8 9 9 2 1 3 \ 7 4 2 1 3 5 9 0 7 0 6 9 5 8
\ —20—22- \ 10 ] l L\ 2 22 j 91 I 20 14
^, __
317649
_
9875 I I 扬州中瑞酒店职业学院 II I , I ~ 2 2 0 0 2 2 1 0 I I - - 1 10 2 1 4 +I - 2 。 - - I 249 I 94 I 40 12-12-18-9
I '
I L2022 4 i 5 320 86 52 了
9876 I 古女职业技术学院 ! 2021 10 l 10 249 9] 3I
I i 2020 I 2 i 2 I 369 I 100 I 66 18 9 I 19 8 11 9三、2()20-2022年河南省普通高校招生高职高专批院校平行志愿批量投档最低分(文科) . 139 ·
I
公们 1,T投目[-总 投抖最低分 勹 _ _Iii 投档最低分 投档最低分
阮校代砃 院校名称 年份 计划
人数 分由文 I 数学外语听 勹分数线差值 位次
2022 l5 l5 4l5 101 ! 76 0 !!I -”上3一 135408
9877 重庆幼儿帅罩高等专籵学校 2021 15 15 414] 94 ! 102 9 214 144294
2020 尸 12 _1 飞 ,98 五09丁七]8了°~「It 如 218 166825
9881 I 弓海职亚技木学院 2021 5 --l- 2 :』 1, ~ i i ~
9882 杻原职业技木孝院 2020 44 .,一"一,,一%
^,6已,6勹勹
3
II L台,"[职叱学院 2
2 2
0
0 0
2
2 2
2
0 l 卜一~··-~2
2
3 7
9
5 .一~一”· I l一 丿',,三_上空']」 85 |i I ” I 9
5
3
6
4
!|i
i
23094797417l
2022 24 99 I 54 11 152 : 2264i3
9886 广东理],职业学院 2021 9 卜__ 84 I 266960
一30 口 们
2020 2。0 [I 2节} rn1 I 1s 8 5飞 325378
2022 51
一l)一·一——-
9887 广川华幸商贸职\lI,学院 2021 II| [ |
2020 30 。 仁i -一u~li 3一0·一”
2022 ~` 18 7 196 I |1 -5852 |i "',一, 。 '%,' ',丛,6 324775
9888 丿川华立科技职业学院 望202~0 I 7 203 23 18 3 303545
i 4 4 1 2 9 180 62 26 12 。 咖.34?73咖37. ~
2022 23 23 404 I l汀ll:i 丁I 83 () 214 \48523
9889 广州城巾肌[I灯院 2021 20 20 405 94 12 I 205 152895
2020 20 20 387 102 72 9 207 i 178550
2022 54 54 239 —2·一9一 9 -丁!--·一23392- 一-
9890 广东丁程职业技术学院 2021 25 6 222 -—793—9 -tl] 21 12 —-·-424-972 - I1 l 88l9-7-l4478-13
2020 28 16 227 74 10 6
仁- 9892 i -,,州资游环境职业技术学院 2020 2 2 320 84 48 l4 l40 250775
2022 7 2 ~ ~~一· - 195 66 15 14 5 324979
--9-89?- 长吞信息技术职业学院 I尸i —2200-2021- 6
2
5
4
5
1 3
20
1
7
4
8
81
4
6
1
3
4 1
()
2
L 1
7
3 4 汹
3
2
0
5
2
7
6
0
9
5
8
6
2022 19 7 244 76 i 38 9 54 308909
9899 !嘉兴南洋职业技木学院 产一~- 19 _ 8 202 66 36 l2 2 303749
I 2020 20 12 l 8 l 63 5 9 l 347059第三章 录取统计
说 明
1 第章各友中的院校以 2022 年在河南省招生的院校代砃及名称为准Q
2 第--罩各表中的“公布计划”是院校在当年专业目录中公布的招生计划数
3 部分院校招牛包括较高收费专业、护珅专业、单列传业、仪招少数民族考生、异地校区、定向招生
等类型,统计时将其录取数据单独列出
一、2020一2022 年河南省普通高校招生本科一批录取情况统计表(文科)
录取分数统计
年份 I.:心 1 言;贞a陑分 1 取低分 l 气昙 I录取最{气 平均 r I 厂罗盆
院校名称
21 厂厂三二5/尸厂勹5737
:
2022
0001 I 北京体育大学 2021 『-16 勹;__1 6l6 - l 如 I 飞了__1 7506 602 6 -1 44 6
13 13 I 565 | 556 I 29 9374二 2 : 32 2
,
0015 i 卜闹体育学院
:2: 二二:;...... - - 1 ~ 4
Ol91 l 中匡社会科学院大字 I 2021 ! 21 I 23 ! 642 厂飞五了飞—1 1产_上一637 i 79
72 千146 5 勹卢
628 1 1 630
』
,
1
, `清华大孕 /
- 北 - 京 一 交 _
- 通一一
I
l 12 。 I . 1 大学 / 8 63 5 61 8 , 6 。 , 32 9 4 62 台 3 68 3
}
俨
H
,
/
1.
一、2020-2022年河南省普通高校招生本科一批录取情况统计表(文科) 141 •
录取分数统计
院校 公布 录取 最低分 平均分
院校名称 年份 录取最低
代码 计划 人数 最高分 最低分 与分数 平均分 与分数
分位次
线差值 线差值
2022 5 5 574 571 44 5159 572.4 45.4
1121 北京交通大学(威海校区) 2021 5 5 611 603 45 6107 606. 6 48. 6
2020 6 6 608 597 41 5757 601. 7 45. 7
2022 12 ·12 609 605 78 883 606 79
1125 东南大学 2021 12 12 645 640 82 896 641. 3 83.3
2020 13 13 633 630 74 989 631. 5 75.5
2022 16 16 638 633 106 110 635.4 108.4
复旦大学 2021 10 10 671 663 105 108 667.4 109.4
1130
2020 11 12 662 657 101 83 658.1 102. 7
复旦大学(单列专业) 2021 6 晶6 I in, I 663 I 10, I 1凶 664 106
1131 复旦大学医学院 2022 2 583.5 56.5
2022 28 599. 8 72.8
1135 湖南大学 2021 32 636 78
2020 626.5 70.5
享
606. 8 79. 8
1140 华中科技大学 心勹俨`〉俨 ,-[ 谥2位30 42,:",, 础~ \江0640 82 896 641. 8 83. 8
ll4\,••`\ 1
d
·
比- 竺·\ 一勹 豆I了飞 \
:
对
'
\ 心\
,
'~产攻'竺\ &
:: \编 \ S
』
',
气
2 2`- 0 0
吩
2 2
边
1 0
已 \,:,5 4
6 6
1
2 5
2 ' 上\`祝 5
6 6
1
2 5
p'63 6
6 6
1
3 4
6 3
3 5
5 6
6 6
9
3 2
3
1
8
1
0 7 7
7 6
1
3 5
4
1
1
1
9 3
6 7
8 3
1 5
9 1
0 7
6 6
6 6
3 0
3 2
1 2
4 4
.
. .
.
3 9
4 8
6 7
7 75 5
8 6
. .
. . 9 3
4 8
勹吉林天学,.(\单-_,七列$'专,业) 2022 4 4 585 583 56 2997 584 57
2021 4 4 611 610 52 4672: 610.5 52.5
吉林大学(异地校区) 2020 5 5 611 600 44 5041 602.4 46.4
2022 31 33 583 575 48 4339 576.6 49.6
江南大学 2021 34 34 ·626 599 41 7011 615.6 57.6
2020 26 26 618 611 55 3072 614.2 58.2
1150
2022 3 3 569 566 39 6352 567.3 40.3
江南大学(较高收费专业) 2021 3 3 601 600 42 6776 600. 7 42. 7
2020 2 2 597 559 3 20516 578 22
2022 33 33 598 590 63 2097 592. 2 65,2
1155 兰州大学 2021 32 32 634 627 69 2026 629.4 71.4
2020 25 25 6巧 618 62 2080 619.4 63.4
2022 17 17 630 626
1160 南京大学 2021 16 16 661 659 刍
2020 16 16 656 649
2022 39 39
幸
古南开开大灯学(一三勹`勿21髯
1165 狂主贞诏i} 644. 5 88. 5
41 4) `{仁飞65 1853 594. 6 67. 6
名634`:,627 69 2026 629. 8 71. 8
'608 598 71 1331 602. 2 75. 2
山东大学 645 636 78 1195 637. 9 79. 9
1170 638 623 67 1563 628. 8 72. 8
护理专\业`、产;}'俨¥nt 心·3飞之它'2俨 m, 2022 4 4 579 574 47 4515 576 49
山东大学(
2021 2 2 607 605 47 5658 邵 48.
2022 18 18 598 594 67 1666 595. 9 68.9
山东大学威海分校 2021 20 20 634 630 72 1708 631.4 73.4
2020 24 24 627 620 64 1856 621.9 65.9
1173
2022 2 2 592 591 64 1979 591. 5 64.5
山东大学威海分校(较高收费专业) 2021 2 2 627 625 67 2250 626 68
2020 2 2 619 619 63 1981 619 63
2022 17 17 610 598 71 1331 605.8 78. 8
四川大学 2021 9 9 645 641 83 840 642.6 84.6
1175 2020 13 13 638 632 76 840 634.2 78.2
2022 4 4 591 581 54 3294 586 59
四川大学(单列专业)
2021 5 5 626 604 46 5874 613.4 55.4· 142 · 第三章录取统计
1 公布 i 录取 1 段心杲低取分:-分-]-数求分统-取计最次低 平心均$分
院校 院校名称 年份 计划 人数 最高分 - -1 -1, I
代仍 最低分
`~ I 2 20 0 2 2 1 2 9 9 2 9 ! 9 9 2 9 6 6 2 5 7 9 6 6 1 3 5 6 -- 7 8 838 8 - —丁 I I _ 1 4 14 5 8_97 8 5 — 666425023... 461 尸 I 1 ,i i 99847 — 3 .. 46I. -
2020 91 91 652 639
2022 2 2 587 587 60 2452 587 I 60
—
I 180 护理女业) 2021 3 43 - I 662154 - 620 —- 6562 II! 22995053 - 622飞 ; i i 6457., 33
2020 4 612 6t3 3 I
2022 10 10 601 590 63 』 2097 594 3 ! 67 3
武汉大宁(单列伈lk) 2021 8 8 634 607 49 5241 62:l. 9 ! 65 9
匕· 2020 5 5 " "'丛一一 口 63 ,'', 1 _ , 623 67 156飞 626, 6 i 70. 6
2022 13 l 3 615 604 77
1185 西女交而大学 2021 l2 12 647 飞6c5426;,5,」 1 8,。?
2020 2 2 6笠
1 ' 52-
50 53 570
I 2021 卜- 51 59 608
2020 45 50 598
5二6644 言89 ~_
2022 29 29 62 5 i i 6
2021 667 645 8 ! 87 8
j
2020 29 635 79 669 637. 8 81. 8
1
2022 9 9 581 570 4飞 ;373 46 3
2021 9 9 620 608 50 5050 613. 8 55 8
2020 8 8 615 597 41 5757 604. 9 48 9
2022 21 21 631 622 95 』 283 625. 98 4
I 2021 21 21 663 658 100 190 659. 9 j(Jl 9
2020 17 17 653 649 93 197 650. 5 94. 5
- - -- - -- - --. -
2022 17 17 580 573 46 4713
567059.. 58 II 48 5
12()0 华北电力人学(保定) 2021 17 17 614 ~ 607 49 5241 51 8
-, 15 15 604 602 拓 4631 603 47
2022 106 106 605 586 59 2572 594. 2 67 2
1205 中南财经政法大学 2021 106 ! 106 641 628 70 1917 631. 7 73, 7
2020 10235 !I, 1 — 2035 - - 636 620 64 1856 624. 6 68 6
2022 609 598 71 13 3 1 601. 3 74, 3
1210 中南大年 I| 22002210 23 23 640 636 78 1195 637. 8 79, 8
20 20 632 627 71 1221 628. 3 723
2022 51 SI 614 607 80 759 610. 3 83 3
1215 中山大学 2021 51 51 652 642 84 785 645. 2 87 2
2020 31 31 647 635 79 669 638. 3 82 3
2022 JO 10 587 574 47 45]5 581 4 54 4
1220 华北电力大学(北京) 2021 10 10 630 620 62 2955 621. 4 63. 4
2020 10 10 6五勹飞io __ 54 3216 ,`丁· 612 56
2022 18 18 584 532 5 20478 574. 8 47. 8
l225 北京化丁人学 2021 19 19 621 [ 616 58 3636 618 4 60 4
2020 17 17 尸 6巳591 1 3 …寸 , i一 '" 606 50 1880 610 1 54 I
2022 23 23 544 17 14280 575. 2 48 2
1230 北京科技人悖 2021 23 23 631 625 67 2250 626. 9 68. 9
2020 23 23 621 ()1 8
, 1t京-邮-电-大学 一一面了1 了4一一百一 592 588
-l2:5 - - 631 624
』 ?2O02 尸. ~ 60 5
582 577
长安大学
1240 20 , l4 1176 618 612
14 607 60:l
1245 人迁如大''¥: ——---—~ _~—丁I 2 — 022 厂I ~ 10 _~ - - 592 589
2022 10 lO 598 594
1250 电了利技大学 20_ 2_1 rI .一10 -.II J.O. - 638 630
.
2020 7 7 626 621.
一、2020-2022年河南省普通高校招生本科一批录取情况统计表(文科) 143 •
录取分数统计
院校 公布 录取 最低分 平均分
院校名称 年份 录取最低
代码 计划 人数 最高分 最低分 与分数 平均分 与分数
分位次
线差值 线差值
2022 37 37 597 584 57 2836 587.6 60.6
1255 东北大学 2021 37 37 634 625 67 2250 626.3 68.3
2020 37 37 622 616 60 2360 617.2 61. 2
1258 东北大学秦皇岛分校 2022 2 2 574 574 47 4515 574 · 47
2022 15 15 , 577 545 18 13783 568. l 41. 1
1265 合肥工业大学 2021 15 15 613 610 52 4672 611. 5 53.5
2020 15 15 605 601 45 4835 602.3. 46.3
2022 23 23 578 572 45 4934 573.5 46.5
1268 合肥工业大学(宣城校区) 2021 23 23 614 607 49 ` 5241 609.1 51. l
2020 23 23 603 597 41 5757 599 43
2022 28 28 591 581 ?i.俨 54霆'ti,序 比飞`294 584.1 57.1
1
1270 河海大学 2021 ,:,3477 620.3 62.3
2020 L忙 ',书 59 1 0 3712 614.1 58.1
2022
`
-己,8,;;\^`,飞`编`已 18`下虚”2 577. 7 50. 7
1275 '- 63·、 ,` 2798 623. 6 65.6
芒华东一理工大学尸户 售
56 2903 615.2 59.2
l
23f, 1 飞屯3七心 `'606 592 65 1853 596.5 69. 5
12的 飞 了勹23' 23 638 630 72 1708 633 75
I, I" I' 23 23 630 623 67 1563 625.2 69.2
1285\\ 卢\i
\\.
炒"i
又
二
一
'-'"\\了,,;,
大编.·
,
.
,
4
,
学\
;;
为
,
'
;
f立
,
气
,.~'' .s,011,, 2022 13 13 585 573 46 4713 576.6 49.6
\心,:\大t飞5连t海夕事 2021 13 13 621. 611 53 4474 615 57
2020 14 14 615 596 40 6006 601. 3 45. 3
2022 1 1 637 637 110 78 637 110
1290 上海交通大学 2021 I 1 667 667 109 70 667 109
2020 1 1 658 658 102 75 · 658 102
2022 11 11 583 577 50 3958 579. 5 52. 5
1295 中国石油大学(北京) 2021 11 11 617 610 52 4672 613.3 55. 3
2020 11 11 616 582 26 10223 602.1 46.1
2022 25 25 567 557 30 9039 560. 5 33.5
1296 中国石油大学(北京)克拉玛依校区 2021 19 20 597 591 33 9192 594.1 36.1
2020 14 15 595 580 24 10935 587.1 31.l
2022 14 14 583 577 50 3958 578.1 51. 1
1300 中国石油大学(华东) 2021 25 25 617 611 三53 丛74 6Q女"'"-'
2020 26 26 614 604
2022 24 24 611 603
1305 天津大学 2021 25 25 642
产砌午
雪
82夕$`行69` 610. 9 83. 9
1310 ?”$ 飞87 617 646. 3 88. 3
.,.,心庄U沁怎、'6口,35 79 669 638. 2 82. 2
,, 587
577 50 3958 581 54
625 615. 57 3798 619 61
619 608 52 354(j 612. 3 56. 3
1315
武汉理工大学(较f产六众高'六;立收'\费飞·它专飞业) 2022 3 3 577 573 46 4713 575 48
2021 3 3 613 590 32 9516 599.3 41. 3
2020 3 3 6ll 611 55 3072 611 55
2022 44 46 586 577 50 3958 579. 7 52. 7
1320 西安电子科技大学 2021 47 48 623 612 54 4295 615.3 57.3
2020 50 50 615 604 48 4240 607.3 51. 3
2022 24 24 590 579 52 .3609 583.5 56, 5
西南交通大学 2021 25 25 624 619 61 3125 620. 8 62. 8
1325
2020 23 23 615 610 54 3216 612.3 56.3
西南交通大学(异地校区) 2020 5 5 596 589 33 7989 592.6 36.6· 144 · 第三章录取统计
I I
代院校砃 录取分数统计 1
I,!Iii 院校名称 I 釬份 1 公 计划 布录 人 取 数 蚊高分 1 最低分 最 与 低 分数 分 录取最低 平均分
分位次 平均分 1 与分数
线汇伯 线差仇
2022 35 35 596 1 578 5i 3783 590 1 63. 1
中因而洋入学
: i 2021 31 32 635 厂628 70 1 1917 629. 5 71. 5
2020 I 33 I 33 I 625 I 6 I 9 63 1981 620. 9 64 9
1330
2022 I 4 I 4 I 585 I 584 I 57 I 2836 I 584. 3 I 57. 3
二: :勹=ill=i-三-——::气:厂-~8
I 二1叶中地航/大学:佼村收费专. 1-
556.4 8
2022 5 飞 I 585 564 37 6902 578 51
1335 (北序) 2021 5 5 | 625 竺一 1 64 _ 65. 6
:;;二:三:/
57. 2
/2022 /I 14 154 54. 1
1340 (武汉) 2021 I 16 16 ! 622 I 616 I 58 I 3636 I 618. 7 60. 7
20201 16 I 17 ! 616 I 611 I 55 1_3072 1613.6157.6
2022 』 l2 __—l2 I 583 533 6 19938 565. 6 38. 6
1345 I 中同钊业大学(北京) 吵
一,
21
一一一_
11
_ ,
11 1
1I -
623 61 8 60 3294 619. 6 6l. 6
2020 I 11 I 11 -i 615 I 608 i 52 _ _ I 3546 I 610. 4 I 54. 4
1
2022 I 22 I 22 I 578 I 574 I 47 I 4515 I 575.4 I 48.4
1350 I 中同矿业大学 2021 一 24 —— 2 三 4 1 — - 615 - 61 1 -- i + 53 — -— 4474 -- 6 - 1 1 ` _9_ 『53:9--
2020 26 26 614 602 46 4631 604. l 48. 1
竺 10 10-| 601 599 72 1260 600 73
1355 1 正庆大学 尸 2
2
-
0
0
2
2
0
t -l! l -
1
1
8
2 - I
I
-
1
1
8
- 2
!
i | - 6
6
4
3
0
0
- I
I
-
6
6 —
2
3
7
4 ` 上 I
i
__7
71
6 __I
I
_ 1
1
1
2
3 3
2
5 5
1
1 ~ -+ I
I
-
6
6 - 3
2
~ 6
8
.
. 4
3 I
I
7
7
8
2
.
. 4
3
2022 I 53 53 ! 582 575 48 4339 576 6 49:
1360 厂,"化r扫中衣II!大学 口l 2 2 0 0。 2 2 1 卫O 二 I l s3 5 4 3 6 I| 662174 6 6 0 03 9 勹- I 5 47 I I 4 4 8 4 3 4 4 4 I 6 60 J 6 2 . . 5 9 I 5 5 4 0 . . 5 9
中衣业大学(较高收费飞\II1) -486 8 ! 593 s57 i 1 i 21ss4 I 5s2. 3 I 26. 3
2022 34 35 i 582 573 ---1-- 46 4713 575 9 48 9
雷 “1
1365 I 南京农业大学 31 622 4474 615 57
31 615 604 I 48 I 4240 I 608 I s2
2022 I 39 I 40 I 588 I 579 I 52 I 3609 I 581. 9 I 54. 9
mo I 西北农林科技大学 2021 i 4o I 4t 1 624 i 615 ! 57 I 379s I 619 I 61
—厂矗厂飞8 飞。,—l,_-61了五] - 50 3880 三三
2022 : 15 I 16 I 605 I 594 I 67 I 1666 I 598. 1 I 71. 1
三二-is-1一五了石厂飞言上飞一言 6百3 尸
中国农业大学
14 I 15 I 629 I 625 I 69 I 1401 I 626. I I 70. 1
1375 '`—`,
2022 I 6 I -6 --+I- 587 I 574 I 47 I 4515 I 580. 2 I 53. 2
中国农业人字(较高收费专业) 二 66 621 - 一- 6 勹 12 - - 5 - 4 ~ — 4295 ~ 616. 8 58 8 "
1380 I 北京林业大学
--/、
l385 1 东北朴亚大学
~ /
/ f-------
巨!面E盯,I~~ ;」:0 1二8:/
1401 I 北乐帅范大学(珠海校区)一、2020一2022 年河南省普通高校招生本科一批录取情况统计表(文科) · 145 •
录取分数统计
院 代 校 码 院校名称 年份 1 公 计划 布 1 人 录 数 取 1 最高分1 最低分 1 最 芦 低分 ? 录 分 威 位 如氐 次平均分 平 勹 均 旦 分
2O22 37 37 592 581 54 _ 3294 584 9 57. 9
2O21 飞6
东北师范人学 36 627 614 56----1 3948 618 4 60.4
2020 I 50 I 50 I 616 I 605 I 49 I 4047 I 608. 8 I 52. 8
1405 2022 I 5 I 5 I 571 I 566 I 39 I 6352 I 568. 4 I 41. 4
东北帅范大学(较高收费专业) 2021 2 2 612 608 50 5050 610 52
I 2O20 , - 2 1 2 595 - ~ 59438| ` 6 558 594 5 38. 5
东北师范人学(单列专业) 2O2O 3 3 592 590 34 - 7699 591 35
2022 I 33 I 33 I 618 I 605 I 78 ! 883 I 609.4 I 82.4
1410 I 华东师范大学 2021 I 36 I 39 I 647 I 643 I 85 I 720 I 644. 2 I 86. 2
2020 I 39 I 44 I 639 I 631 I 75 I 925 I 633.3 I 77.3
2022 I 54 I 54 I 603 I 590 I 63 ·.· I 2097 593. 7 I 66. 7
1415 I 华中师范人学 2021 I so i 50 I 639 I 626": : J, 68 [ 2133 I 629. l 71. 1
`,
2O20 47 47, - 629 』 617 61 2213 620 3 64.3
2022 I s2 I'§' • i g、咖;一:己t、i4, 594 i 579 ', I s2 i 3609 I s84. 6 I 57. 6
44
陕西师范大学 2O21 48 629 620 62 2955 622. 7 64. 7
2020 I, 41 l 43 I 626 七 611 I 55 I Jon I 615. 9 I 59. 9
1420 -~, 18-27-19-61-67-61-48-44-54-46
琴妇产 1 从\ ·夕, 545 5 1 13783 545
?叩扂-乙大学(定向畛 言勹 585 4 8 11165 585
-
_
\'/,,I \ ,` I ' -` / A 4 1 ` ; 气 \ / 飞 俨 }-! - ~ J 一飞 飞`:, ; 因},,_ : f 579 亟 5 - 竺 2 2 7 1 2 4 5 2 7 1 2 2 5 5 7 8 5 8 . . 9 5
西南大学 65 6 2380 625.5
1425 咖,\ ` 三 28 6 - 2635 617.I 6
45 5 5373 575. 2
西南大学(较高收费专业) -- 勹/] 8
-
5 11833 602
65 4 5 3375 610. 4
17 3 3 - 5159 573. 7
1427 I 西南大学(荣昌校区) 42 4
4
-
-
5 开5
北京外国让人学
16-2-4-
1
3
6 648
7
-1
2020 16 638 -4
1430 l - 2022 2-4-4 591 0 46 8-
北京外国语大学(较高收费专业) 2021 627
厂- 4
-
4
2020 ,j 626 5 6
北京外国让大学(单列专业) 2020 2-24-22 626 8 6
编 一一口一一尸 1
2022 24 578 3
丿
1435 I 北京语言大学 r、 ? 6 . 23 一 -
21 `` L 6: 22 6
• 9 6 > 0 / 5 0 544-635-6261-670-17-674-17 1 -06 4 3- 2 57 8 4 0 8 383 5 - 8 7 3 9 . 3 56. 3
1440 I I 上海外国语大学 一 < 、卜 , 贮了 -', ,, , 了 J 已\ _一- ' ^ I } 一 ,, " ' I : , ' ~ 之, 了 匕 , 心 . . - ' ,之 ~ - - ¥ 心 L" ; ; ,' 3 ;t e'~ , ` 二 卢勹 654-648-618 9 - 5-651-645-607 1 1 1 2 2 1 7 9 1 3 8 8 63 6 8 29 . . - 7 -6 . 24 . 0 I I 、 、 1 臣 80. 7 2 1
1445 上海财经大学 了,尸 14 一
7
14 ·
29 1 一二 、
1450 I 对外经济贸易大学
33-27 勹-
6
33 0 2097 594. 3 1-7617.. 73
627-619-578-613-586-636-632
西南财经大学 9 6 2026 629. 7
1455 - 9 198l 623. 2 67. 2
勹 -
6 6 3783 580. 8 53. 8
西南财经大学(较高收费专业) 0 3 4108 618. 3 60. 3
-
0 5 2572 603. 8 76. 8
1460 I 中央财经大午 - 网1 1195 641. 3 83. 3
--
840 636. 8 80. 8
5 57
9
56
-
3 5
9
-
-
6
2
9
-
6
0
4
-
5
9
1· 146 • 第三章录取统计
录取分数统计
院校 公布 录取 最低分 平均分
院校名称 年份 录取最低
代码 计划 人数 最高分 最低分 与分数 平均分 与分数
分位次
线差值 线差值
2022 55 55 631 590 63 2097 608.1 81.1
1465 中国政法大学 2021 55 55 657 637 79 1109 645.5 87.5
2020 52 52 652 633 77 786 638. 8 82. 8
2022 21 21 606 587 60 2452 595.4 68.4
1470 中国传媒大学 2021 20 20 646 632 74 1511 635 77
2020 21 21 637 622 66 1657 627 . 71
2022 10 10 613 607 80 759 610 83
1485 北京航空航天大学
2021 10 10 649 643 85 720 645. 8 87.8
2022 11 11 607 602 75 1051 604.1 77. l
1490 北京理工大学 2021 10 10 643 634 76 1351 636. 9 78. 9
2020 10 10 631 · 629 飞己心 73 心^,:夕,,?:娑;..,.守 _,,`,;i 、077 629. 8 73. 8
1491 深圳北理莫斯科大学
2022 3 3 530气,产, 5J2~8U`L`、.
1
. .“. 尸`,、- 之''``"' ,~ 心人炎歹 1 32 529 2
2021 。 工9产 C'58坛:K佼,飞今今 558 ,;,w;>' : ; r{ (\,50 22987 563 5
2022 文,',"l、,1-9;~戏 §~ ,亡 `., 599、咕··,,··. 言 569 认4>>2> ` (\攷>5~6'>1>仑:7 593.6 66. 6
1495 哈尔滨工业大学 初组 638. ',俨、63lo、 ; 73 1610 633. 7 75. 7
\ 15仓 15. \t 6穸` 3} '26、23 67 1563 624.3 68.3
千,畛产',\一1贮'1 E-上1程了豆r,和\ 心淰篮少~勹气 ^ 飞 户 ' ” 19了.上 ° ¥ `19; , 581 573 46 4713 574.6 47.6
15Q!) ¥ , 2021归 26 26 620 609 51 4834 610.5 52.5
}\\ ->- `' -\ \\ _ "
\\ \\`` \' - ~ - 3} '2020 24 24 605 600 44 5041 601. 7 45. 7
I南II炉`"<二”\`入京`一`航'`1空,航“~·天户`大一``二产学 , ;戏`,左亡” 2022 22 22 596 587 60 2452 588.3 61. 3
l50\5 [- - " s ` 2021 26 26 627 622 64 2650 623. 7 65. 7
;\
2020 16 16 618 612 56 2903 615.1 59. 1
2022 12 12 597 591 64 1979 592.3 65.3
1515 西北工业大学 2021 7 7 629 627 69 2026 628 70
2020 7 7 623 615 59 2509 619. 7 63. 7
2022 17 18 596 587 60 2452 589.4 62. 4
1520 暨南大学 2021 21 22 627 623 65 2519 624. 6 66.6
2020 14 15 622 614 58 2635 617. 5 61.5
2022 5 5 571 565 38 6625 568 41
1550 北京工商大学
2021 5 5 611 588 30 10158 598.2 40.2
2022 18 18 574 539 12 16677 551.9 24.9
1565 北京第二外国语学院 2021 13 13 628 607 49 5241 612.6 54.6
2020 10 10 608 602
2022 8 8 577 569 扣
1630 河北工业大学 2021 10 10 615 610
2020 10 10
言
辜
1635 燕山还 `言言售 羽\《、陌861付 595.7 37. 7
妇589\\兑 飞13 7989 591. 4 35. 4
`\ -\ ,飞丫556寸§\、 \ 5心43 16 14743 549. 4 22. 4
石家庄铁道大\学\ ,』1/泛言-一入-
1640 \;\\\r\' _ \J, `', ~:\ :\\ ., 2920 \ 1b lO ` 590 579 21 13277 582. 3 24. 3
588 578 22 11728 580, 9 24. 9
1ti>..;心沁.'2`今丛022
27 27 568 565 38 662S 566.1 39.1
1660 山西大学 -r 2021 25 25 601 592 34 8893 · 595.4 37.4
2020 29 29 596 589 33 7989 591 35
2022 14 14 574 564 37 6902 569.1 42.1
1680 内蒙古大学 2021 12 12 609 604 46 5874 605.9 47.9
2020 11 11 598 593 37 6823 595. 3 39. 3
2022 43 43 586 575 48 4339 577. 8 50, 8
辽宁大学 2021 49 49 622 610 52 4672 612.4 54.4
2020 49 49 614 603 47 4444 605.3 49. 3
1690
2022 9 9 565 559 32 8379 561.4 34.4
辽宁大学(较高收费专业)
2021 5 5 602 593 35 8604 598.2 40.2
辽宁大学(单列专业) 2O22 2 2 564 555 28 9721 559. 5 32. 5一、2020一2022年河南省普通高校招生本科一批录取情况统计表(文科) . 147 ·
录取分I数 统计
院校 公布 录取 最伬分 1 平均分
院校名称 年份 与分数 录取最低
代码 计划 人数 最高分 最低分 平均分 与分数
线差值 y兮 位次
线差值
- -
2022 17 17 540 531 4 21061 534.4 7.4
1695 辽宁工程技木大学 2021 15 15 573 567 9 18414 570. 5 12.5
2020 15 15 572 564 8 17959 567, 7 11. 7
2022 10 10 590 559 32 8379 570 43
东北财经大学 2021 12 12 629 595 37 8043 614. 3 56. 3
2020 11 11 616 607 51 3712 612. 2 56. 2
1725
2022 14 12 562 528 I 22832 550. 8 23. 8
东北财经大学(较高收费专业) 2021 10 10 602 591 33 9192 595. 2 37. 2
2020 11 11 593 580 24 !0935 I 585. l 29.1
i
2022 23 23 572 558 31 8687 565. 7 38. 7
延边大学 2021 21 21 608 601 `飞.43 6544丁604.3 46. 3
1740
2
2
0
0
2
22
0 1
2
9 1
2
9 5
56
9
O
9
0.
氐
乌
_^
~;
夕、 ,
-
5
52
9
9
l
了
上,
,
---了 I.~r
心
今 '
`
~'-
"
3
2
5
2
7
2
4
2
1
4
6
2 I
; 5
s4
9
4
4
.
. 2
s
3
1
8
7
.
.
2
5
延边大学(较高收费飞业) 2021 o12 2 59(";;'' ' [卜` 5 93 夕 35 8604 594.5 36.5
2020 2 2 58 l 581 25 10573 58] 25
2022 7 7 554 527 。 23432 540. 7 13. 7
1745 长春理丁大学 2021 7,' r 7 594 577 19 14016 580. 6 22. 6
,\ 2020 7 7 576 571 15 14622 572. 6 16. 6
2022 19 19 576 567 40 6099 569, 8 42. 8
176~,.,. • - 刁 东`-.北-乍人r`飞农业t 入了学 \'\ 2021 19 19 607 604 46 5874 605 5 47. 5
`•- ` vf 2020 23 2~J 599 595 39 6277 596.2 40.2
,'俨 1 2022 13 13 547 535 8 l 8792'5:19, 2 12.2
1765 哈尔滨医科大平 2021 15 15 584 569 11 17492'572.3 14. 3
-I
2020 10 576 564 8 17959 i 568. 1 12. 1
10
2022 15 15 596 591 64 1979 592. 7 65. 7
上海大学 2021 15 15 633 626 68 2133 丁飞29.2 71. 2
2020 15 15 628 620 64 1856 623. 3 67. 3
1790
2022 5 5 584 572 45 4934 580 6 53. 6
上海大学(较高收费专业) 2021 5 5 625 623 65 2519 624. 4 66.4
2020 4 4 620 617 61 2213 618. 3 62. 3
2022 28 28 570 559 32 8379 564'. 1 ,, 37 . 1
上海理工大学 2021 28 32 607 599 41 7011 601. 6 43.6
2020 28 28 607 591 35 卫i6五5芶侧
1795 39.5
2022 7 7 563 540 13
户___
上海理工大学(较高收费专业) 2021 7 7 599 · 595 印
2020 7 7 59~
三558 扣
2022 36 36 58杠 30 9039 564/1'七`予 37.1
上海对外经贸大学 2021 43 43 6加c,令 。 , 22987 606. 7 48. 7
2020 劝 39' 616 603 47 4444 609 53
1805
2022 6 6 567 553 26 10473 559. 2 32. 2
上海对外经严,大\\,织\'\\,较'即尸\'~收,费\专业) 2021 6 , \':6 611 595 37 8043 604. 3 46, 3
,, 2020 6 6 609 603 47 44呫 604. 8 48. 8
\ \'\ \ 2022 62 62 604 564 37 6902 583.4 56, 4
1810 华东政法大学 \ ",\' \, 2021 61 61 I 639 622 64 2650 628 70
2020 63 64 631 613 57 2756 619. 6 63. 6
2022 25 25 596 588 61 2334 590. 8 63. 8
1830 苏州大学 2021 25 28 638 624 66 2380 628. 3 70, 3
2020 29 -_32 _ .-+ i - 635 619 63 1981 622 66
2022 35 35 571 558 31 8687 563. 7 36. 7
1835 扬州大学 2021 36 36 610 598 40 7239 602. 6 44. 6
2020 12 14 603 594 38 6558 597 3 41. 3
2022 10 10 568 535 8 18792 556. 9 29. 9
1840 江苏大学 2021 10 10 608 603 45 6107 605. 9 47, 9
2020 30 30 604 597 41 5757 599. 3 43, 3· 148 · 第三章录取统计
录取分数统计
院校 公布 录取 最低分 平均分
院校名称 年份 录取最低
代码 计划 人数 最高分 最低分 与分数 平均分 与分数
分位次
线差值 线差值
2022 11 11 567 529 2 22242 553. 6 26. 6
1845 南京工业大学 2021 9 9 603 599 41 7011 600.9 42.9
2020 16 16 599 593 37 6823 595.1 39.1
2022 25 25 603 584 57 2836 589. 9 62.9
1855 南京师范大学 2021 24 24 632 624 66 2380 627. 8 69.8
2020 16 16 622 618 62 2080 619. 6 63. 6
2022 32 32 577 567 40 6099 571.1 44.1
1860 南京信息工程大学 2021 32 32 610 605 47 5658 606. g 48. 8
2020 19 19 605 599 43 5253 600.4 44.4
2022 570 43
宁波大学 2021 608. 8 50. 8
2020 601. 7 45. 7
1880
2022 552 25
宁波大学(较高收`费专业) 2021 585. 8 27.8
584. 7 28. 7
:一` `沁霪心 ` 579.1 52.1
1885 :` 34 名,广il'I'·.. 620 607 49 5241 613.9 55. 9
}A` \\ ' 六2'0汹'. f 、~ 25 28 613 605 49 4047 606.4 50.4
心'屯了\一如谓三获\卢J孚c一~二
-
,心
- \
`
2
2 `、.
0
,0--
2
2
1
2 1
1
0
0
1
1
0
0
5
6
8
2
5
0
5
61
7
5
5 4
5
8
7
4
3
3
7
3
9
9
8
5
61
7
7
9
.
. 5
3
5
5
2
9
.
.
5
3
'
> ;;汒寸心,皇二又' 2020 10 10 614 609 53 3375 611 55
飞';、分 2022 39 39 584 577 50 3958 578.4 51. 4
1910 南昌大学 2021 34 34 618 612 54 4295 613. 1 55.1
2020 33 33 613 605 49 4047 606.6 50. 6
2022 25 25 578 550 23 11606 560. 6 33. 6
1915 江西财经大学 2021 30 31 615 559 1 22467 599. 8 41. 8
2020 28 29 612 601 45 4835 603.2 47.2
2022 67 句 577 566 39 6352 569. 6 42.6
1930 湘潭大学 2021 55 57 619 600 42 6776 603. 9 45.9
2020 56 56 604 591 35 7416 595. 8 39. 8
2022 37 37 590 580 53 3451 584. 2 57. 2
1935 湖南师范大学 2021 20 20 625 619 61 3125 621.2 63.2
2020 16 16 618 611 55 3072 61 57.1
2022 19 19 576 558 31 5 39. l
· 1960 广东外语外贸大学 2021 17 17 617 592 7.1
2020 16 16 612 605. 7 44.49.7
2022 22 345气1,令 可队\58.3勺, s', .,一 56
1965 深圳大学 2021 61凸µ`3位5$ 621. 5 63. 5
20 七$人61e3·\` 方'\文 ,"勹“5`7 2756 614. 7 58. 7
技术大飞\\,、"臼乙~-` 了,:-,\."亡`飞I一,飞髯-\口--·-、、J芢!I-吐\\.\-、``\,、\寸勹 '了`'s/飞57$元".',飞心• %"、4'飞5-参50 23 11606 555.5 28.5
1966 深圳 ,-\\\\\ \\ `} \_ \ 贷改2212 10'叭 产了1i60 \J3 600 588 30 10158 591. 7 33. 7
_,
1.,· 20. 2` 0` ' 勹爰L8六' `` 8 595 581 25 10573 587. 3 31. 3
1970 华南农业大学\夕以'一,,飞-,--飞\叉\ - \息s己,一 • 飞2-021 10 10 611 594 36 8313 599 41
2020 13 13 598 589 33 7989 592.1 36.1
气 2022 10 10 579 565 38 6625 568. 8 41. 8
1975 广州中医药大学 2021 11 11 623 590 32 9516 600.2 42.2
2020 11 11 633 594 38 6558 605.4 49.4
2022 23 23 590 573 46 4713 582.4 55.4
1985 华南师范大学 2021 15 15 626 621 63 2798 623 65
2020 13 13 616 610 54 3216 613. 4 57. 4
2022 31 31 577 571 44 5159 572. 7 45. 7
2000 广西大学 2021 31 31 612 608 50 5050 609 51
2020 30 30 611 600 44 5041 602 46.
一、2020一2022年河南省普通高校招生本科一批录取情况统计表(文科) 149 ·
录取分数统汁
院校 院校名称 年份 公们 录取 扣分 畦分 气线差倌录分2取伈”启6次计低 平均分
代码 计划 入数 平均分 与分数
线差值
2022 44 44 596 584 57 589. 6 62.6
西南政法大学 2021 54'54 634 623 65 2519 626, 9 68. 9
2020 43 44 632 617 61 2213 620, 3 64. 3
2030
2022 5 5 591 584 57 2836 586. 4 59. 4
西南政法大学(较高收费专业) 2021 5 5 624 624 66 2380 624 66
2020 6 6 617 614 58 2635 615. 7 59. 7
2022 2 2 562 557 30 9039 559. 5 32. 5
2035 重庆邮电大学 2021 2 2 600 592 34 8893 596 38
2020 2 2 598 593 37 6823 595. 5 39.5
i
2022 20 20 582 570 43 5373 575.4 48.4
2080 云南大学 2021 23 23 621 612 `女 54 4295 615. 8 57. 8
2020 2D 1 20 6荨16,它,J, 已60,¥主~记厂 49 4047 607. 4 51.4
2022 21 21 3138 585, 5 58.5
2090 西北大学 2021 0..•;2. 4 24 2955 623 65
2020 I3 13 617 6l l, 55 3072 613. 4 57. 4
2022 10 10, \ i 563 549 22 12022 554. 9 27. 9
2095 陕西科技大,'学,\\ ,,飞'\
'\
,
-
'~人,飞,\,'一\L
,; ;
2
2
0
0
2
2
1
0 1
1
0
0
,'
勹 1 ~ 、~;~ \~ 1
10
0~ /~ \ } i
5
5
8
9
7
4 5
5
8
8
8
2 2
3
6
0 1
1
0
0
1
2
5
2
8
3
5
58
9
3
0
.
. 2
8
3
27
2
.
. 2
8
2022 6 6— 562 556 29 9374 559. 2 32. 2
210\\ \0' \ . ~ L - ,.西,`-六安二归建1心\夕筑科t_飞丑技夕·大学 2021 6 6 599 589 31 9839 593, 8 35. 8
2020 8 一口 8 606 590 34 7699 596. 4 40.4
\ |灯\\汛编2 2022 15 15 566 543 16 14743 553. 9 26. 9
2105 西安邮电大学 2021 14 14'602 587 29 10498 594. 5 36.5
2020 12 l2 596 590 34 7699 I 591, 8 35. 8
2022 11 11 579 551 24 l JJ? 19一8卜 - 566. 5 39. 5
西安外国语大学 2021 8 8 612 604 46 5874 608 3 50. 3
2110 2020 11 12 603 601 45 4835 602 46
2021 6 6 593 565 7 19410 574, 8 16. 8
西安外国语大学(较高收费专业)
2020 3 3 589 586 30 8914 587. 3 31. 3
2022 43 43 586 563 36 7157 580. 8 53. 8
2115 西北政法大学 2021 42 43 624 614 56 3948 618 3 60. 3
2020 40 40 613 605 49 4047 ! 607. 9 51. 9
2022 63 63 575 537 10 i7699 l言 ;03 8 ;凸368
2120 新疆大学 2021 72 72 606 594 36 8313
2020 72 72 598 583 功 9896
2O22 18 l 8 ”“ 567
5防
改、~") §心,33,,.5
2125 青海大学 2021 20 20 6081鹭己, 34 998208319396 -I1I ~ -s595G8-o67•.,2 5-\ - '38.2
2020 20 20 594 : 29 31
2022 48 48 567 555 · 28 9721 558. 4 31. 4
2130 石河子大学 2021 60 60 601 588 30 10158 591. 5 33. 5
己 t~~./,飞\飞,~夕\ .·•尸~·;-.i-~ 仁夕.\~ 飞~
\,~ \} '-.~\. ,\ \,: .,.·.-•. .`;. i. ,\\ .\'\ \ 2020 63 S \ {63., 600 578 22 11728 581. 1 25.1
2/?1
\\ \1i \ :, \\,七 .:勹:·,\了1C 冲 2022 t 21 565 545 18 13783 561. 3 34. 3
2205 青岛大学 .: 2021 19 19 605 593 35 8604 596. 2 38. 2
2020 19 19 603 589 33 7989 593.9 37.9
2022 30 32 570 565 38 6625 566 39
2210 湖北大学 2021 32 32 604 595 37 8043 597. 7 39. 7
2020 34 35 600 590 34 7699 594.4 38.4
2022 8 8 571 550 23 11606 560.4 33.4
2215 中国民航大学 2021 8 8 602 595 37 8043 599 41
2020 13 13 597 591 35 7416 592. 4 36.4
2022 31 32 569 562 35 7464 564. 6 37. 6
2220 武汉科技大学 2021 36 39 603 595 37 8043 597. 4 39.4
2020 36 40 597 589 33 7989 591. 3 35. 3
2022 6 6 585 580 53 3451 581. 5 54. 5
2225 首都师范大学 2021 6 6 620 619 61 3125 619. 5 61. 5
2020 8 8 612 608 52 3546 609. 8 53. 8· 150 · 第三章录取统计
录取分数统计
院校 公布 录取 最低分 平均分
院校名称 年份 录取最低
代码 计划 人数 最高分 最低分 与分数 平均分 与分数
分位次
线差值 线差值
2022 32 32 569 527 。 23432 554 27
天津财经大学 2021 32 32 612 598 40 7239 603. 3 45.3
2020 41 41 608 596 40 6006 599. 5 43.5
2230
2022 2 2 565 560 33 8055 562.5 35.5
天津财经大学(较高收费专业) 2021 2 2 601 595 37 8043 598 40
2020 2 2 594 592 36 7135 593 37
2022 52 52 580 562 35 7464 568.5 41. 5
南京审计大学 2021 52 52 628 602 44 6319 606.2 48.2
2020 42 42 612 592 36 7135 597.4 41.4
2240
2022 2 2 576 572 45 4934 574 47
南京审计大学(较高收费专业) 2021 2 611.5 53.5
2020 2 言七多础 ,感t, 吵 595 39
2022 40 559. 7 32. 7
天津外国语大学 2021 c式F穸3气.心亏应心`艺`,\浩.,气``气二•, 598. 3 40.3
仁气`$2砬言0 5-_ ` 33` 593.1 37.1
5, 553,它'-548 21 12452 550.2 23.2
2250
\ 天津-』,外尸.:; . 气: . 国; ;,语l,e.\'大,\学(咕:较付:,:高芯c了>,''沔':令 j 收.,,.' 丘\费.丫 •. 功2O勹 \ r, 5 5 , t、 飞:, 5 9'','5 5 8 8 7 5 5 58 7 1 6 2 2 3 0 1 1 2 2 5 52 2 3 0 5 5 8 8 4 1 . 2 2 2 6 5 . 2
\
\ '``,}`I } ' 已 忑 1 - \\ ; ::,.`了津•夕··卜·一,一国-/-语`一夭,\勹学 . , 文(了J之单列~专I•,业 ) :~ `__ 2 20 0 2 2 1 2 6 3 6 3 5 60 6 3 3 5 55 7 1 7 2 19 4 1 1 1 4 1 0 9 1 8 6 5 5 5 8 5 6 . . 7 5 2 2 8 8 . . 5 7
·-· 浙.江K;.匕`.理-守_-``久工',大..,`佥.'学.上 飞 2022 9 9 573 536 9 18232 560.4 33.4
"
2255 - 2021 16 16 605 599 41 70ll 601. 6 43. 6
2020 12 12 604 593 37 6823 595.3 39. 3
2022 34 34 579 563 36 7157 567.6 40.6
2265 南京财经大学 2021 33 33 616 596 38 7782 605. 8 47. 8
2020 28 28 611 601 45 4835 603.2 47.2
2022 20 20 561 553 26 10473 555 28
2270 江苏科技大学 2021 20 20 595 587 29 10498 590 32
2020 27 27 591 580 24 10935 583.4 27.4
2280 北京建筑大学 2020 4 4 599 590 34 7699 593. 8 37. 8
2022 2 2 .532 532 5 20478. 532 5
2285 沈阳建筑大学 2021 2 2 574 569 11 17492 571.5 13.5
2020 2 2 573 568 12 15995 严57Q.. ~;,;豆 14.5
2022 3 3 568 558 31 8687卢:
2290 中国计量大学 2021 2 2 —605 598 柏:王已 7~`` \ 9 · 芒 . - • ,心 . 谌 、
1 2020 3 3 王 砬己多” 55位...、 598. 3 42,3
2022 叶II -II 圣 19 歹 1335-4· 岱2:,;gl 心25.8
2295 南华大学 2021 577 l9呼了-?.1心16` 582. 3 24. 3
s. ` `
曰气$式;2020:; 郊9 576沁 初 12523 582. 9 26. 9
气贞和5`lei'557 30 9039 560. 8 33. 8
2300 长沙理工大学\1· 'I\ '气心-了 L\ \ ',-\ `\, _ ,_/------f , \I t - ,--了- 夕 - 夕 :- 夕 :A,·~1-_., i . • -- - 2()以 :s 2 i勹 1 , 千~`户`2 1 i 7 ` b; ,,. 5 5 9 9 9 4 5 5 9 8 3 6 3 3 5 0 8 8 6 9 0 1 4 4 5 58 9 8 6 . . 1 3 3 3 8 2 . . 3 1
\心六一, \ \ 七 `飞夕 \巨尸` 叮 ,2心尸022 24 24 576 570 43 5373 572.6 45.6
贵州大学 2021 20 21 616 608 50 5050 609. 7 51. 7
2020 16 17 605 601 45 4835 603 47
2305 2022 7 7 552 544 17 14280 549.4 22.4
贵州大学(较高收费专业) 2021 7 7 595 583 25 11833 588.1 30.1
2020 7 7 578 570 14 15089 571. 6 15. 6
贵州大学(单列专业) 2020 6 6 586 566 10 16955 572.3 16. 3
2022 22 22 587 546 19 13354 555.6 28. 6
南方医科大学 2021 18 18 620 582 24 12151 594.6 36. 6
2310
2020 15 15 608 592 36 7135 599.1 43. l
南方医科大学(护理专业) 2020 5 5 597 578 22 11728 587 31
2022 25 25 577 563 36 7157 567. 7 40. 7
2315 南京邮电大学 2021 23 23 612 590 32 9516 606 48
2020 20 20 605 601 45 4835 602 46一、2020-2022 年河南省普通高校招生本科一批录取情况统计表(文科) • 151 •
录取分数统汁
器 I 阮校名称 I 年份 公 计划 布| 人 求 数 取 最心分 最低分 最 与分 低 数 分 朵取辰低1 斗灼分 平 与分 均 数 分
线差值 分伈次
线差值
2022 9 r一-· 571 541 14 i 区679 556. 7 29. 7
2320 I 北方工业大学 2021 9 9 607 593 35 8604 600 42
2020 9 9 600 592 36 7135 593. 8 37. 8
2022 32 32 567 556 29 9374 559. 4 32. 4
2325 I 华侨大学 2021 30 30 597 586 28 10825 590 32
2020 25 25 599 557 I 21554 587. 3 31. 3
2022 4 4 552 547 20 12892 549 22
2330 I 西安工业大学 2021 4 4 586 583 25 11833 585. 3 27. 3
2020 14 14 59 l 581 25 10573 584. 9 28. 9
2022 l7 17 565 559 32 8379 561. 7 34. 7
2340 I 汕头大学 I 2021 15 15 607 590 , 32 9516 596. 1 38.1
2020 15 l 5 603白 577千 ('21 12113 591. 7 35. 7
2022 22 22 579-三 :: 534'{:f ,: :':7 19375 548.9 21. 9
2345 I 宁波诺丁汉人学 I 2021 <尸`2--0 20 60({夕勹 s I夕} 572 了Ll 4 i 16090 585. 8 27. 8
2020 20a ?” 20 611 556 。 22087 581 8 25. 8
2O22 8 8 541 536 9 18232 538. 5 11. 5
大连民族大学 2021 3 3 576 570 12 17000 573 15
;,
2350 I ,'; 2O20 2 2 576 563 7 18448 569. 5 13. 5
2021 5 7 574 558 。 22987 563, 1 5. 1
大连民族大学(仅招少数民族考生)
2020 7 7 569 560 4 19958 564. l 8. 1
2360\ \、I\ 温己.己州七又,飞肯r产恩'·大 \; 学 夕 2022 15 7 536 527 。 234327 .十i 529 2
2021 14 14 569 558 。 2298 562. 4 4.4
2020 11 16 583 556 。 22087 562.4 6.4
2022 10 10 577 572 45 4934 ! 573. 4 46.4
2365 I 太原理工大学 2021 10 10 611 609 51 4834 609. 7 51. 7
2020 10 10 6()4 600 44 5041 601. 2 45.2
2022 27 27 546 534 7 19375 537. 2 10. 2
2375 I 东北石油大学 2021 25 25 575 565 7 19410 568 10
2020 21 21 576 564 8 17959 569, 2 13. 2
2022 6 6 567 557 30 9039 562. 2 35. 2
2380 I 北京信息和技大学 2021 6 6 601 595 37 8043 597, 2 39. 2
2020 6 6 597 588 32 8305 592. 2 36. 2
卜
2022 33 13 560 538 11 17210 552. 1乏 1,、, 25.1
2385 I 安徽财经大了 2021 33 33 593 587 29 10498 <义Q-乓,尸,尸i卜:31.5
2020 33 33 595 581 7,5 10573 585,3.3~-\ _`29. 3
-----
2022 lJ 3 113 578 53- 0 ` : - `- J? 3 21635 560.3 , 33. 3
上海师范大`,卜 2021 106 106 621飞,:俨`、 切4_匕 46 5874 608: 1'\ 50. 1
2020 99 99 610勹 2 5'9,.8 ,' 42 5502 601. 2 45. 2
2390
2022 18 18 565 531 4 21061 546. 8 19. 8
上海师范大学(较高收费专业) 2021 15 15 601 593 35 8604 597. 6 39. 6
\ \一 2020 15. 15 597 589 33 7989 592 36
\\ \ \勺 \ \ \ \\\ .-一 2022 15 15 565 551 24 11198 559 32
2395 I 梊美大学 '\ 2021 14 14 604 595 37 8043 599. 6 41 6
\'
2020 19 19 599 593 37 6823 595, 3 39. 3
2022 12 12 557 538 11 17210 546.3 19. 3
l
2400 I 北京物资学院 2021 1 3 l 3 } 596 579 21 13277 591 33
2020 10 10 601 587 31 862.l 590. 8 34. 8
2022 64 64 574 560 33 8055 564.5 37.5
2405 I 天津师范大孕 r 2021 92 92 614 594 36 8313 600, 6 42.6
2020 46 46 601 594 38 6558 596. 7 40. 7
2022 5 5 552 542 15 15204 545. 8 18. 8
2410 I 青岛理丁大学 2021 4 4 588 570 12 17000 582. 8 24. 8
2020 4 4 585 583 27 9896 583. 8 27, 8
2022 14 14 562 538 11 17210 554. 7 27令7
2425 I 湖南科技大学 2021 11 '12 594 589 31 9839 590. 3 32. 3
2020 19 19 591 584 28 I 9521 585. 6 29. 6• 152 • 第三章录取统计
录取分数统计
院校 公布 录取 最低分 平均分
院校名称 年份 录取最低
代码 计划 人数 最高分 最低分 与分数 平均分 与分数
分位次
线差值 线差值
2022 24 24 552 533 6 19938 542 15
2430 南昌航空大学 2021 15 15 588 577 19 14016 581 23
2020 5 7 581 570 14 15089 576.4 20.4
2022 15 15 551 535 8 18792 540.8 13. 8
2435 江西理工大学 2021 13 13 587 561 3 21385 571. 5 13.5
2020 13 13 581 573 17 13776 576.1 20.1
2022 36 37 558 548 21 12452 551. 4 24.4
2440 长江大学 2021 40 42 595 581 23 12520 585. 3 27. 3
2020 28 28 587 578 22 11728 580.1 24.1
2022 8 8 570 563 36 众',7157 565. 8 38. 8
成都理工大学 2021 8 8 603 598 霆;,- 40芍':产觅39 600. 3 42. 3
2450 2020 10 10 595 代; 590:·`` 歹 ;1 591.4 35.4
2022 巨557` 560. 6 33, 6
享:3
成都理工大学(异地校区) ,心只 20 卿 2 吾 1 , 兮 _ 六 ,、 5 5` 8 6入 9 4 且一`· 飞 , ; 心 , , 3 8 l . - -“', \I \,` 1 ' 9 7 的 95 9 9 59 5 1 77 . 8 3 2 3 1 . 8
5邸:.\ ;. .• 5} 67 40 6099 572.1 45.1
\首'--都,经尸卢济一;t飞II贸r'\易,\\;大会窑学 勹产代生沁心祒沁懦立丘心
2500 `\ `~\ \ 9 3.飞 I`10 - 626 609 51 4834 616.2 58. 2
_, 9 292屈 \ ·::`8 8 615 608 52 3546 610. 8 54. 8
"女2、022 6 6 572 561 34 7749 565. 2 38. 2
飞飞,惭心-勺t京勹林沪孕艺业飞\大,心-3_归学`-产飞;\心`上,` f志\ 寸
250\\ , ' t \ 2021 6 6 606 602 44 6319 603. 8 45. 8
2020 6 6 599 596 40 6006 597 41
心了\ $ 2022 18 18 554 545 18 13783 548. 7 21. 7
2510 西南科技大学 2021 18 19 590 581 23 12520 584.2 26. 2
2020 18 19 588 576 20 12523 579.1 23.1
2022 21 21 570 564 37 6902 565.4 38. 4
西南石油大学 2021 32 32 603 595 37 8043 597.2 39. 2
2515
2020 31 31 594 587 31 8623 588. 8 32. 8
西南石油大学(较高收费专业) 2021 3 3 599 570 12 17000 581 23
2022 18 18 559 542 15 15204 550 23
2520 西安工程大学 2021 22 22 590 579 21 13277 583 25
2020 27 27 587 577 21 12113 580.4 24.4
2022 10 10 574 565 38 6625 568 41
2525 天津工业大学 2021 10 10 608 601 43 6544 再603匕·2`~ 45. 82
2020 30 30 599 591 35 7416森
2022 5 5 547 544 :1,7 : 14汲:、~.O·-,J,. 2 心 久 2
2530 中北大学 2021 6 6 零.咖586•. 5勿产 ·,;ir;令 1401'6 580.5 , 22. 5
2020 3 : %8文 l2 l5995 I4 580:3 . 24. 3
还气 入3 1a ',"' 551 龙'沪 f\` - l`(1:1.'-'9-8' 552. 7 25. 7
2535 二 .,'·,、,、,$-~"它. 委,”、` 5 89'飞 t二31 9839 591. 3 33. 3
4 夕编亡"`5 `~b 88~\ ? `"583 27 9896 584. 3 28. 3
忭i:'.6-' 561 553 26 10473 555. 5 28. 5
2550 7 597 589 31 9839 593, 9 35. 9
4 603 588 32 8305 592. 8 36. 8
卢`夕'飞'沪玄 2022 36 36 566 557 30 9039 560 33
2565 南通大学 2021 30 30 601 592 34 8893 593. 7 35. 7
2020 44 44 590 583 27 9896 585. 6 29.6
2022 23 23 579 567 40 6099 571.5 44.5
2575 浙江师范大学 2021 8 8 609 605 47 5658 607.1 49.1
2020 8 g 602 597 41 5757 598 42
2022 14 14 函 556 29 9374 557. 9 30.9
2600 天津中医药大学 2021 14 14 599 588 30 10158 591. 8 33. 8
2020 19 19 589 519 23 11327 583 27
2022 15 15 564 543 16 14743 551, 7 24. 7
2610 黑龙江中医药大学 2021 12 12 603 586 28 10825 591. 9 33, 9
2020 12 12 611 584 28 9521 590. 9 34.9一、2020一2022年河南省普通高校招生本科一批录取情况统计表(文科) . 153 ·
录取分数统计
院校 公布 录取 最低分 平均分
院校名称 年份 录取最低
代码 计划 人数 最高分 最低分 与分数 f均分 与分数
分位次
线差值 线差值
2022 27 27 569 528 1 22832 545. 9 18. 9
2615 湖南中医药大学 2021 23 24 604 584 26 11502 591 2 33.2
2020 23 23 600 575 19 12939 588. 9 32. 9
2022 10 10 577 571 44 5159 572. 9 45. 9
2620 成都中医药大学 2021 11 11 602 578 20 13628 593. 2 35. 2
2020 10 10 621 581 25 10573 590. 4 34. 4
2630 山西佚科大学 2022 3 3 533 529 2 22242 530. 3 3. 3
2022 39 39 565 532 5 20478 546. 3 19. 3
2655 湖北中医药大学 2021 40 43 596 569 11 17492 579 5 21. 5
2020 29 29 594 575 19 12939 582. 2 26.2
2022 100 113 581 549 江扣 22'• 12022 572. 4 45.4
海南大学 2021 55 57 625 沪一、 609俨气, 尸$ 扣'"l· " 51 4834 612 6 54. 6
2020 67 73 607纤臣忨 601\c 气`;45 4835 602 7 46. 7
2750
2022 g29 29 ,! 564巧' 三凡 530 ,俨尸 ,3 ,,· 21635 548. 1 21. 1
海南大学(较高收费专业) 2021 15 \ 19 595 586 28 10825 590. 1 32. 1
2020 17 18 596 576 20 12523 582. 6 26. 6
,, \ \ 2022 16 16 575 566 39 6352 569. 3 42. 3
宁 \: 夏大::'学.· ', II \ i, 2021 20 20 612 604 46 5874 606. 3 48. 3
' \ `L '\ : \ ' 2020 20 20 599 593 37 6823 595. 3 39. 3
27兖\ I \ L ; \ \'. •. -- 2022 8 8 564 554 27 10083 557. 1 30. 1
\
?' S , 夏 心太学漫高收费专业) 2021 8 8 598 586 28 10825 591 1 33.1
\s 尸 2020 8 8 591 576 20 12523 582 26
2022 14 14 557 546 19 13354 549. 4 22.4
山东科技大学 2021 18 18 590 582 24 12151 585 7 27. 7
2020 12 12 588 578 22 11728 583. 8 27. 8
2780
2022 5 5 531 528 1 22832 529. 2 2. 2
山东科技大学(较高收费专业) 2021 5 5 583 568 10 17951 572. 4 14.4
2020 4 4 574 568 12 15995 570 14
2022 23 23 567 563 36 7157 564. 5 37. 5
2785 河北大学 2021 23 23 603 595 37 8043 597. 3 39. 3
2020 23 23 594 589 33 7989 590. 3 34. 3
2022 12 13 546 539 12 16677 542 2 15. 2
2795 沈阳工业大学 2021 11 11 586 571 13 i 16517 5卢79.儿L急沁 21.1
2020 7 9 588 575 19 12939 57
2022 41 41 550 525 丑r i 24695 53
2800 中南林业科技大学 2021 28 29 590 5茂 ?切 i 13277 583 9 户 尸芬.9
2020 26 26 591\啊 ~" ` 泗 22 ! 11728 1 581,3” • 25.3
2022 11 ll 549 5节3:3 `;一 6 19938 ! 542. 5 15. 5
n
2810 安徽工业大学 2021 l l 582 575 17 14815 577. 8 19. 8
'- \ \ 2020 7 7 576 573 17 13776 574. 4 18. 4
2815 安徽医科大学\, i, iL _' l已II\\ ,'已一,_一 l \\,I\I \ }\ ,, \ 1} }\ `\\' \ \ \\ ,\ 2 20 0 2 2 1 2 2 I 广 t ` '『\ 2 l 5 56 3 1 0 5 56 2 1 8 3 I 2 2 2 1 8 3 3 8 2 5 5 56 2 1 9 2 3
\\ \ \' 2022 11 11 572 558 31 8687 562. 8 35. 8
2850 广州大学 2021 11 II 611 590 32 9516 601. l 43. l
2020 6 6 606 599 43 5253 601 45
2022 6 6 558 554 27 10083 554. 8 27. 8
i
2855 广州医科大学 2021 6 6 590 581 23 i 12520 586, 2 28.2
2020 6 6 586 577 21 121 ] 3 i 58 1. 8 25. 8
2022 18 18 576 531 4 21061 553 26
2860 上海海事大学 2021 22 22 610 599 41 7011 601. 9 43. 9
2020 18 18 600 592 36 7135 594. 3 38. 3
2022 13 13 561 528 1 22832 547. 5 20. 5
2865 重庆交通大学 2021 13 13 597 590 32 9516 592. 7 34. 7
2020 13 13 591 586 30 8914 587. 5 31.5· 154 · 第三章录取统计
录取尸最~- - 录取分数统计
院校
院校名称 年份
公布 i 最低[值厂分`位最次低[l --"「平均分
代码 计划 人数 分酘低分 与分 平均分与分数
线芹 线差值
2022 33 33 i 559 528 1 22832 i 542 8 15. 8
2870 天津理丁人学 2021 ! 33 33 594 585 27 11165 588. 7 30. 7
2020 30 30 1 586 580 24 10935 i 582, 6 26 6
I
2022 25 25 569 558 31 8687 563 l 36. I
卜海闻洋大学 2021 26 26 605 593 35 8604 598. 5 40 5
2020 29 29 602 592 36 7135 594. 8 38 8
2875
2022 IO 10 559 550 I23 — 11G06 553, 8 26. 8
[海府件大学(较高收费专业) 2021 10 IO 598 588 30 10158 591. 3 33 3
2020 7 7 588 579 23 11327 583. l 27. I
,
2022 16 16 557 546 l 19 13354 549. 6 22. 6
2880 常州人学 2021 25 25 589 58] 2飞 12520 584, 5 26. 5
2020 28 28 589 578 I 22 )1728 582. 5 26 5
2022 24 24 554 5飞2 5 20478 545. 4 18. 4
2885 华东交通大干 2021 24 24- — - 591-口 一u__ 579 21 13277 I 584 26
!! - ` u
2020 26 26 587 577 21 12113 581. 6 25, 6
2022 32 32 569 551 24 11198 559, 3 32. 3
2890 單庆上商人学 2021 29 29 603 592 34 8893 594, 1 36. I
'"""
2020 飞'i 飞飞 599 586 30 8914 590 J 34. 1
2022 18 18 564 558 31 ] 8687 I 560 2 33. 2
2R95 武汉丁程大学 2021 14 14 I 597 593 35 I 8604 593, 9 35. 9
2020 14 14 590 581 28 9521 586. 7 30. 7
""" 2022 34 34 556 548 21 12452 550, 8 23. 8
2905 =峡人学 2021 34 36 589 579 21 1飞277 583 3 25会3
I
2020 35 35 586 577 21 12113 580 24
2022 17 17 572 546 19 13354 556. 5 29. 5
四川外国语大学 202l 21 21 608 592 34 8893 600. 7 42 7
2910
2020 13 13 603 593 37 6823 597. I 41. I
四川外国出人学(较的收费专业) 2020 2 2 585 585 29 i 9226 585 29
2022 11 11 562 551 24 198 553 6 26. 6
2915 西安石i由大学 2()21 11 II 595 585 27 一1 11165 588, 5 30. 5
2020 11 11 585 579 23 11327 580. 8 24. 8
2022 13 13 567 557 30 9039 560 5 33. 5
2920 山西财经大学 2021 15 15 598 592 I 34 8893 593. 7 35. 7
2020 13 13 592 587 31 8623 588. 7 32 7
,I 2022 37 37 566 544 17 14280 554 6 27. 6
妇 i 上广海东上,、忙,业会计仓哉学院 2021 40 40 611 588 i 30 :, 10158 598. 4 40. 4
1} 2020 14 14 609 593 37 6823 600. 9 44. 9
2022 JO 10 564 539 12 16677 553. 5 26 5
2930 大学 2021 10 10 598 593 35 8604 595 37
I 2020 10 I i 11 593 -·I' 588 - ·一 32 8305 589. 8 33. 8
}北方民族大学 2022 12 12 545 535 8 18792 538 11
3015 I 2021 9 9 570 566 8 18908 567 9 9. 9
i 2020 8 8 590 i 556 。 22087 567. 5 11. 5
2022 ]] 11 573 ; 559 :12 8379 561. 9 34 9
3020 西南民族大学 2021 14 14 601 595 37 8043 596. 9 38 9
2020 I 16 16 593 588 32 8305 589 8 33, 8
3035 中国为动关系学院 2022' 172 li , 184 __5__5_ s_ l! 554787 _ 21 12452 551. 3 24 3
2021 592, 19 14016 581. 6 2飞.6
l - 2022 10 10 561 528 l 22832 547 3 20. 3
1040 上海电力人学 2021 10 10 598 594 36 8313 596 38
; 2020 18 18 i 5 9 1 587 31 8623 588 32
I 2022 10 10 I 541 532 5 20478 535, 2 8 2
3060 中国民用航空飞行学院 2021 i 6 6 580 565 7 19410 57] 3 13, 3
2020 4 4 576 566 10 16955 569 13.
一、2020-2022年河南省普通高校招生本科一批录取情况统计表(文科) 155 •
录取分数统计
院校 公布 录取 最低分 平均分
院校名称 年份 录取最低
代码 计划 人数 最高分 最低分 与分数 平均分 与分数
分位次
线差值 线差值
2022 17 17 563 536 9 18232 554.9 27. 9
3175 北京印刷学院 2021 16 16 593 584 26 11502 587. 6 29.6
2020 16 16 587 582 26 10223 584.1 28.1
2022 62 62 562 528 1 22832 549. 6 22. 6
天津科技大学 2021 54 54 597 587 29 10498 591.4 33.4
2020 46 46 593 585 29 9226 587.5 31. 5
3200
2022 6 6 548 544 17 14280 546.3 19. 3
天津科技大学(较高收费专业) 2021 5 5 590 581 23 12520 583.2 25.2
2020 5 5 584 576 20 12523 579.4 23.4
2022 83 549. l 22.1
3240 天津商业大学 2021 86 巨 586. 6 28.6
2020 87 581.5 25. 5
2022 11 559.3 32. 3
3280 河北师范大学 2021 -气$气吐忑雯9这忒旦广了霆…\`二穸J吩笭 595.4 37.4
~_ 585.5 29. 5
'钰;_、理、了咖迁;,.,~ '二砰电,, 翠~'哗 嗜,加战(` F 9 1,迎6仁心tn ;-,, 533 6 19938 534.1 7.1
3310 `I 7汽\`7$t 干 574 564 6 19891 568.3 10. 3
LL ` 厂心4 4 583 569 13 15522 573. 3 17.3
吵\.\ \` ',1 山\ \ \“ `尸 , · · 坛矗 `.西_了一_ , , t ~ 中 I 名\' \,-气\-医俨C-人,'-`心. ' 药炉 ! -,- ,A,2'-、 \ •大 才~学 t, ` Y今' ·~俨 , $七忒三\k尸口令t户i'§:勺立'“` 汽\ ` `,r土\人~,, ,t `七' 2 2,卢 0 0 2 2 1 2 2 2 2 2 5 56 9 1 3 5 5 6 9 0 2 3 3 3 4 8 8 0 8 5 9 5 3 5 5 6 9 0 2 . . 5 5 3 3 4 3 . . 5 5
2020 2 2 590 588 32 8305 589 33
`,,1
`、 2022 11 11 546 532 5 20478 536.6 9.6
3530 大连工业大学 2021 8 8 582 569 11 17492 574心9 16. 9
2020 8 8 577 572 16 14212 574. 3 18. 3
2022 50 50 566 528 l 22832 552 25
大连外国语大学 2021 50 50 607 589 31 9839 594. 2 36.2
3595 2020 43 43 605 583 27 9896 593. 3 37. 3
2022 1 1 543 543 16 14743 543 16
大连外国语大学(较高收费专业)
2021 1 1 585 585 27 11165 585 27
2022 8 8 546 542 15 15204 543.4 16.4
3665 长春中医药大学 2021 5 5 576 571 13 16517 573 15
2020 5 5 583 563 7 18448 570. 8 14. 8
2022 29 29 550 543 16 14743 5钓·,l-丈: 19. l
吉林财经大学 2021 35 35 598 578 20 皿11冗8\匀 58幻 \,,~么 ,25. 7
2020 32 32 586 578 边\`女 581四乞 `,' ` "丘25.4
3690
畔肋平大学顷高收费专业)暑
2
皿
022
1 1 •
7
I •
7
. 圉
-』- (5 5心51 55咖·3,'俨7~,46,6I气22仄L、言、多如心-*` ` 歹-夕夕众“~ 心 \ 为心 `?` ` 4
14
~· 2
1
1
6
O
09
6
0
1 -
5
5
7
3
2
4
.5
.3 , ,
•
俨 .
1
;
4
J.
.
3
5
10,"'s ;i6955 572. 5 16. 5
`\七 '\54气0气\ 已 兄'f3 16182 555 28
3695 黑龙江大学(- 了:,丁尸[:飞\r-夕:,一二}\飞 §印9:`,_,( 587 ,' 29 10498 593 35
' j \\ \` C 593 582 26 10223 586. 8 30. 8
3705 哈尔滨理工犬'学s i S, ;.?俨'尸尸-,\一t~---, s 20'2 `2、 \, 3 20 20 547 527 。 23432 534 7
\a :?-, 它\ ,了. 众,:`,:夕L,`2022 24 24 554 537 10 17699 544. 8 17. 8
3725 哈尔滨商业大学\ 2021 24 24 584 578 20 13628 580 22
2020 23 23 585 573 17 13776 577.4 21.4
2022 8 8 550 543 16 14743 545.5 18. 5
3780 上海工程技术大学 2021 7 7 586 576 18 14388 580;3 22,3
2020 8 8 577 567 11 16461 572 16
2022 21 21 550 531 4 21061 541. 7 14. 7
上海应用技术大学 2位1 19 19 593 577 19 14016 585.3 27. 3
2020 17 17 594 579 23 11327 582. 8 26. 8
3815
2022 7 7 540 529 2 22242 534. 7 7. 7
上海应用技术大学(较高收费专业) 2021 7 7 581 569 11 17492 572. 9 14. 9
2020 6 6 573 562 6 18922 567. 5 11.5· 156 · 第三章录取统计
录取分数统计
u 1 尸 飞 A;E 校 砃 阮校名称 什..份. 公 计 布 划 录 人 取 数 1 最高分 最低分 1 夕 最 L 低 / 分 :/三尸://// ; ` 平均 厂 分
I 南卜医大学 勹///勹/尸//三
3835
3860 I rT芳向洋大于 j--------------~-+----~--t---- ~---+--—-- ^—
202 I I 6 I 6 I 572 I 566
厂1勹
2022 I 25 I 25 I 552 I 545
3880 I 南见 I程学院 2021 I 24 I 24 I 586 I 578 二 13628 580, 5 1 22 5
2020 I 44', 44 I 590 I 571 15 I 14622 574. 5, 18. 5
2022 I 37 : 37 I 563 I 554 27 10083 557. 2 I 30. 2
-
3890 I 苏川和技大学 2021 I 37 I 37 I 597 I 590 32 9516 厂
I. 559852. 27 I 29. 7
二2020 I 3勹2 32二 592三 583 27 9896
3960 I 浙汀传媒学阮 25 10832 555 9 28 9
16 14743 544 6 17. 6
4010 I 浙让科技学院 1 3 1 3 1 585 1, 577 19 14016 581 23
r-----------+---~----- —- 尸---- -➔ - - - l-5 - .u-t1,. , - -` 2 11 - -一 0 ·5 - 5一 - -- 1 , I - s 5 - 竺 10 -- - 二 --; I 5 5 6 5 5 2 1-- 2 9 - 5 卜- 1 1 0 74 8 6 3 3 2 三 566. 9 I 勹 IO. 9
2凶l;o丁广2:,凶
402s I 浙汀农林人学 : 19 - I 594 I 588 30 10158 589. 4 I 31. 4
2020 :6 1, :O 6 590 I 579 23二 11327 582. 3 26. 3
勹三厂
2022 549 I 545
4040 I 湖州帅范丰院 2021 584 f 576 18 I 14388 I 578. 6 I 20. 6
2020 12 : 12 580 570 14 15089 573 7 17. 7
_ 40 勹 55 』 一 机丿 一 'lli)ih池人学 f-- _ 2 20 0 `2 2 一1 2 ` ' 4 4一·3 4 `… 1 I +·“ 4 4 4 3一 -- 5 6 6 1 8 0 , , ' I I I “ ` ·- 5 59 3 8 0 - 『4 3 十 I 2 三 1635 7 I 加 553 了 . 3 二 I 勹` 2 言 6. 3 一
2020 1, 19 1 19 I 609 + I - 5 97 I 41 1 一 I 石 5 厂 757 」 I 5 59 6 9 8 . I I 43. l
2022 19 19 578 558 3 7 4 1. 7
4060 I 浙汀 1一商大学 - 2
2
- 0
0
-- 2
2
- 1 -
0
- -+-
I
- -----n 1 - 1 - ----1
I
I
1
l
3
l
I
;
6
1
0
7
9 I
6
6
0
0
1
0 I
-
4
43
4 I s
6
o
5
4
4
1
4 j
I
6
6oJ
0
_
`
6 I 47. 6
1厂 l7 575 勹忒 33 一勹5 3门
2022 5669
浙汀财经大汗 - 2021 I 7 I I 7 I 609 i 604 I 46 I 5874 iI 606. 9 I 48_. _9
2020 I 7 10 I 600 _i 597 I 41 I 5757 i 597. 9 I 41. 9
4065 +
2022 5 1 5 1 56: _553 26 巴丿厂沪 10
浙4财癸大学(4如凶收货七\II1) 1 1 - - 2
2
”0
0
2-
2
1-
0
--
m
4
4- m
-1” 4
4
- -f
m 5
5
口一9
9
m
7
4 - |
!
1 u u -
5
5m
7
8
5
9
- -- -
3
1-
3
7 -
m -
1
7
4-
9
8-1
8
5
9uu , 5u -
5
9
9
0
0
-8 -uu3-4
3
.
2
` `` 8
仁— 20 - 22 -1-2 ”----t --13- —-5—52 -15_41 _ _14_ 石五勹 544`3 17.飞
4090 I 安儆农业人午 堕2l 1 8 l 8 1 57—6 -t--571 l3 产二产气庄4
---- -- -------- 2 2 - 0 0 2 2 2 0 勹 2 飞 2 飞 24 I 5 'i7 6 9 6 厂 i 飞 56 了 4 I 3 8 0 I 1 9 7 0 9 3 5 9 9 1 I 5 57 6 L 0 : 9 i I 3 15 3 . . 9 飞
4100 安徽帅范人肾 2021 30 1 32 i 596 589
一
3
—
1 9839,
I
591:
---
33. 6
一二一。2CJ_ 1_2o_ 1____2上!_叩 _汹_ _叩_ 89旦 l-5竺8- - f \
2022 1 8 8 549 540 13 16182 1 543. 8 16. 8
4125 I 女攸建筑大学 _ 22002_1.2 --,- ! - -8 I --8-'-5+I 8_1_ __I —573 - t _15_ I _15_64_6 J_I ! 575. 4 一 I 17. 4
2020 I s 8 1 577 57I 15 T14622 1 573 9 l7.9
I I
2O22 1 2勹 2 543 538 11 17210 540. 5 13. 5
4195 -I I 福建农林入今- 一 1 ~二 202 二 1 o | 2 2 i 2 2 _ __ 1 5 5 _7 7 4 0 _ _ 5 5 5 73 4 _j___ - 15 2 — , 」 1 - 2 1 — 3 5 2 - 6 7 4 — 8 6 -j 5 5 7 6 3- 2 5- 1-5 6 . 5
4200 ” I 福 “ 建医 和大学 - 严 20 - 2 - 2 - 1- -- " 1 8 3 - --- 6 - 1 8 - 3 5 ---- 9 6 5 - / 4 5 6 - 7 --- 5 5 3 7 6 0 厂 9 1 18232 : 539. 6 12/. 6
`
勹
勹36334112
2020 32 I 32 I 597
4205 !—
8 8—--556
587-592
福律帅泣大学(较凸收护仓寸11) 2021
2020.
一、2020-2022年河南省普通高校招生本科一批录取情况统计表(文科) 157 •
录取分数统汁
院校 公布 录取 最低分 1 平均分
阮校名称 年份 与分数 求取最低
代码 计划 人数 最高分 最低分 -'f均分 与分数
线差俏 丿/}位次
线差值
--- j
2022 37 37 566 555 28 972) 559. 4 32.4
4260 江西师范大学 2021 46 52 602 590 32 9516 593 35
2020 42 49 590 585 29 9226 587. 7 31. 7
2022 10 10 546 537 10 17699 540. I 13. 1
4275 东华理T大学 2021 13 13 585 561 3 21385 575. 6 17. 6
2020 15 15 582 575 19 12939 576. 7 20. 7
2022 2 2 546 545 18 13783 545. 5 18. 5
4300 江西中医药大学 2021 4 4 590 580 22 12890 584. 5 26. 5
2020 2 4 570 561 5 19417 565. 3 9. 3
2022 1飞 13 543 538 11 17210 540 4 13.4
4305 赣南师范大学 2021 8 9 585 572 忑'; 14 16090 575 17
2020 7 7 574, I$, 56.6.. . ,又_一坎$E泛 l0 16955 570 14
2022 10 12 548i炊 ~ 542\, \,115 15204 543 6 16. 6
4310 江西科技师范大学 2021 ,·,,'令:,,r. 8 16 580乒芯l;编 571 r-?, l3 16517 572. 6 14. 6
2020 lo 16 579 564 8 17959 568. 3 12. 3
2022 10 10 , 542 537 10 17699 539. I 12. 1
4345 南昌工程学院飞 2021 l0,', &, 10 \ 573 569 11 17492 571. I 13. 1
\ 入 2020 10 10 573 566 10 16955 568. 2 12. 2
2022 30 30 564 557 30 9039 559. 9 32. 9
\
435~ 跻南大学 \ \ 2021 28 28 597 592 34 8893 593. 8 35. 8
\ \ a 飞 `心 a \夕, ` 3 :\ 2 2 0 0 2 2 0 2 3 1 2 8 3 1 2 8 5 5 9 46 7 5 5 8 3 8 6 3 9 2 1 8 8 3 2 0 3 5 2 5 59 4 0 0 . 2 8 3 13 4 . . 2 8
4370 山东理工大学 2021 18 ! 18 587 572 14 16090 576. 7 18. 7
2020 18 18 578 570 l4 15089 575. 3 19. 3
2022 21 21 546 535 8 18792 538 11
4385 山东农业大学 2021 19 19 578 569 11 17492 572. 8 14. 8
2020 8 8 572 561 5 19417 563. 8 7. 8
2022 28 28 566 562 35 7464 563, 9 36. 9
4395 山东帅范大学 2021 29 29 601 595 37 8043 596. 8 38. 8
2020 29 29 592 589 33 7989 589. 9 33. 9
2022 21 21 559 553 26 10473 555. 6 28. 6
4400 曲阜师范大学 2021 21 21 596 587 29 10498, 589. 9 31. 9
2020 18 18 591 580 24 10935 5髯8
2022 7 7 554 531 4 21061 54
4415 山东建筑大学 2021 2 2 591 587 凋 10498 I 5
2020 2 2 583 豪 迈 10935 58L 5' ,心斤一·,.2. 5. . 5
2022 12 12 544霄 i4 15679 542.i41' '" 15.4
4420 齐鲁工业大学 2021 22 l'` ,22`尸',' 583雷 15 • \ ·: (15646 575. 7 17. 7
,
2020 15 ',l5 578 569 13 15522 572. 5 16. 5
`
4485 山东财经大`\ \\ \ \ 2 2 O 02 2 1 2 3 45 6 \.lI \ 4 36 5 \ \ , ' l ' ,, 5 61 '7 1 '4 5 5 6 94 0 3 3 3 6 8 83 0 1 5 3 5 5 5 6 9 4 8 . . 8 8 4 3 0 7 . . 8 8
\\ \\\ :\\ 2020 42"" ' 42 600 589 33 7989 591 35
\II',' \. I t'飞一, 』\飞七 2022 25 25 563 550 23 11606 551. 8 24. 8
4525 江汉大学 2021 45 l 45 590 580 22 12890 582. 3 24. 3
2020 61 61 582 566 10 16955 570. 3 14. 3
2022 14 14 557 549 22 12022 553, 7 26. 7
4550 湖北工业大学 2021 14 14 595, 588 30 10158 591. 6 33. 6
2020 14 14 589 585 29 9226 I ss6. 1 30.1
2022 25 25 556 543 16 14743 546 19
4575 武汉纺织大学 2021 24 28 591 577 19 14016 580. 5 22. 5
2020 29 29 588 567 11 16461 576. 3 20. 3
2022 12 12 546 541 14 15679 543.4 16. 4
4690 吉首大学 2021 12 12 578 572 14 16090 574.1 16. 1
2020 12 12 574 566 10 16955 570. 3 14. 3• 158 • · 第三章录取统计
录取分数统计
院校 年份 1 盓 1 灯 1 最高分 1 最低分飞器门芒l 平均分!:器
代码 院校名称
线差值 线差值
262124226421152149524544725294 01598845537535555 880855785615 544295574075577555 36540572
芒 19938 I 542 15
4700 I 湖南农业大学 i
g
m
湖南工业大学 g
4735 I
2
湖南工业大学(较高收费专业)
i
4770 I 湖南理工学院 g
2g020 I 3 I 6 I 573 I 560 I 4 I.. 19958 563. 3 7
2 g 022 I 14 I 14 I 558 I 539 i,_, 12 ,19677 550 -
4775 I 湖南工商大学 2021 I 11 I 11 _. I 591',一 ~58 7 29 垃498 588. 5
2O20 11 11. 592二 ,一方581 2S 10573 584. 2 2
2O22 6卢 6王/ 565 559 32 8379 561. 3 3
4880 I 广东财经大学
立021.歹“1Ol俨 591 586. 2810825 588. 1
-
- __ _,气-引一 ,言一妇心多 血飞 16 559虫 535 I 8 I 18792 543. 2
489~ 厂 北 际 _ 京 凸 学 师 - 医 三 范 ' 大 勹 ` 学 \ \ -香 3 凿 夕 浸 芷 / \ 会 大学 飞 , 联 立 ·- 一 合 A. . , 国 .当 ,•.•r . 2 一 6 啦 2 0 I 尸\-1 l 3 4` 飞,飞 13 ~ l'I'5 5 9 9 4 3 j 5 57 7 0 0 I 1 12 4 I 1 15 7 0 0 8 0 9 0 5 57 8 9 0 . . 8 6 声 一2 3 0
492,,s尸'桂林龟子科技大学 产玄宁 2022 I 37 I 43 I 545 I 530 I 3 I 21635 533. 8
\ \ \ . - ?』:; \ ; - -- - • - ·· , , , , 它, ,各/.、\.s,,乒飞义2 .匕$ :.,---- 2022 I 112 I 112 I 558 I 543 I 16 I 14743 546. 4 3 -
50101__; 海 "- 南 ,, 师 , - 范犬产学玄上-` ,, L- “ 己夕 2O21 110 1l0 596 575 17 14815 578. 9 _ 2
歹心i i 石子 2020 I 110 I 110 I 586 I 570 I 14 I 15089 573. 5 6
8
2022 I 13 I 13 I 557 I 541 I 14 I 15679 549. 8
10103331203110239323825293661 52992258727.66508 295598235565795690305589895 59594590 -
5035 I 重庆理工大学 艺 31 I 9839 I 591. 3 I 33-. 3
二 27 I 9896 I 585. 2 I
w1
3
:
2
艺
32 I 8379 I 563. 2 I 369
4
. 2
5055 I 重庆师范大学 35 I 8604 I 595.6 I 37.6
二 32 I 8305 I 589. 5 I 33 - -. 5
艺 32 I 8379 I 562. 1 I 352. 1
3
四川师范大学 36 I 8313 I 597 I 39
5080 I 一 0
34 I 7699 I 591. 8 I 350. 8
四川师范大学(较高收费专业) 覂 3 555 555 28 I 9721 I 555 I 21 -8
2022 I 3 556 551 24 11198 552. 7 -} 257. 7
1
5095 I 成都信息工程大学 2021 I 9 I 10 I -586 I 580 22 I 12890 582,'[;']724. 1
2020 I 16 I 16 I 589 I 575 El9 l2939, i 580` .6 24- 6. 6
30
2022 18 18 561 5勺i 9039.558. 3 315. 3
j
s100 I 西华大学 2021 I 20 以20 ,597L.飞 纱0~'一- 32 9516 59l. 8 33. 8
202O 24.24 5的 5邸 28 9521 585.7 29. 7
1
5105 I 四川轻化工大 \ 勹 \ 学 , ` -\ 飞仁-\- -L,' , I ' 二 一 - 声 - 三 ,4口 /i~ 厂 L_-\ , \ \ \ b 熹2多 , 及 宏 _ / 心 ' , 飞 《- 兄 三 ` 五 , ` 2 2 0 0 O 2 2 2 0 2 1 ” 二- - ~ 厂3: < 04- 一 4 4 磷 尸5 54 7 3 6 夕又 5 5 7 3 2 8` 一 " ·1 1 6 1 4 I I I 1 1 1 8 7 6 9 2 0 1 9 2 0 0 2 I I I 5 5 4 7 5 0 4 6 . . 4 3 8 I I I 1 1 6 3 8 . . 3 8
2022 4 0 ::: ::: 7 I 19375 I 536. 3 I 9. 3
5110 I 川北医学院 \ --,、 于- 夕_ f'1"'』 .夕--.r 2021 10 10 576 565 7 I 19410 I 569. 2 I 11. 2
亡上, J ,了;~ -勹亡 2O20 10 10 568 561 5 I 19417 I 563. 3 I 7. 3
- --. 2022 I 32 I 32 I 551 I 542 15 I 15204 I 544 I 17
5135 I 西华师范大学 2021 I 57 I 57 I 584 I 572 14 I 16090 I 575. 3 I 17. 3
2020 I 34 I 34 - I 579 I 568 12 I 15995 I 570. 4 I 14. 4
2022 I 7 I 7 I 558 I 555 28 I 9721 I 556. l I 29. 1
,昆明理工大学 2021 I 6 I 6 I _5 97 I 589 31 I 9839 I 591. 2 I 33. 2
5230
2020 I 7 I 7 I 594 I 584 28 I 9521 I 588. 6 I 32. 6
昆明理工大学(较高收费专业) 2020 I 10 I _1 0 I 584 I 559 3 I 20516 I 566. 5 I 10. 5
5310 I 西藏民族大学(原西藏民族学院) 2021 I 5 I 5 I 574 I 558 0 I 22987 I 563. 6 I 5. 6
2022 I 20 I 20 I 562 I 542 15 I 15204 I. 555. 9 I. 28. 9
5390 I 西安财经大学 2021 I 22 I 22 I 593 I 584 26 I 11502 I 587. l I 29. l
2020 I 22 I 22 I 588 I 574 18 I 13354 I 578. 6 I 22. 6一、2020-2022年河南省普通高校招生本科一批录取情况统计表(文科) • 159 •
录取分数统计
院校 院校名称 年份 公布 录取 最低分 求取最低1 平均分 平均分
代码 计划 人数 最高分 最低分 与分数 1; 与分数
线差伯 线差值
~^ ^ 2022 18 18 560 553 26 l0473 556, l 29.1
5410 西北师范大学 2021 21 21 596 586 28 10825 588. 6 30. 6
2020 20 20 59l 578 22 11728 581.5 25. 5
2022 4 4 540 538 11 17210 539. 5 12.5
5420 甘肃中医药大学 2021 2 2 580 566 8 18908 573 15
2020 4 4 568 559 3 20516 562 6
2022 26 26 559 547 20 12892 550, 2 勹~J • 夕勹
5455 甘肃政法大学 2021 27 32 599 575 17 14815 577. 7 19. 7
2020 27 27 582 562 6 l8922 567. 8 11. 8
2022 17 17 558 551 24 j _ _ l_ll跤_. 554.4 27.4
5590 成都大学 2021 17 17 593 588 30 I 10158 589. 9 31. 9
2020 7 7 9896 585. 3 29.3
2022 9 9 卢 17210 542. 8 15. 8
上海电机学院 2021 13 ` 13 17951 573, 8 15. 8
5595 2020 814 14 、一 14622 574. 8 18. 8
2022 2 2 533 I 532 5 20478 532 5 5. 5
上海电机学院(较高收费专业)
,2021 2 2,\ 1 563 562 4 20879 562. 5 4. 5
上海政法学院 2022 58乏 58 585 540 13 16182 561. Z 34. 2
56lo \ 2O21 58 58 615 599 41 7011 605. 5 47. 5
,': \' 2020 58 59 604 596 40 6006 598, 6 42. 6
562O,\ 西安医学院 ,' 2020 577 557 1 21554 567 11
·· ~已~ 员,郑占,州m大2学,'(它中外合作办学) 2022
134 0 !!l 143 0
a 588 567 40 6099 571. 1 44. l
5995 飞 2021 135 ! 135 613 602 44 6319 605, 8 47. 8
2020 150 150 608 596 40 6006 599. 2 43.2
2022 400 403 594 578 51 3783 583, 6 56.6
6000 郑州大学 2021 550 556 631 613 55 4l08 618. 7 60. 7
2020 485 486 627 606 50 3880 611. 2 55. 2
2022 501 507 582 567 40 6099 571. 1 44. I
河南大学 2021 670 679 617 598 40 7239 602. 9 44. 9
2020 714 717 611 591 35 7416 595. 8 39. 8
6005
2022 47 47 557 540 13 16182 544. 3 17. 3
河南大学(护理专业) 2021 45 45 586 568 10 17951 573. 2 15. 2
2020 21 21 590 560 4 19958 568. 8 12. 8
6008 河南大学(与濮阳巾联办濮阳丁学院) 2022 45 45 558 530 3 21635 啊535. 6.二· ; 8. 6
2022 381 384 566 534 7 l9375
6009 河南大学(中外合作办悖) 2021 280 281 599 573 气1~.5二 15646
2020 284 286 595 -10 j6955
心,5究56的/9夕-一&召-产勹
2022 319 335 56归, ~ 11 l7210 542e ,刁'$吐' 七夕s七}-15
6010 河南农业大学 2021 448 452 588、-~ 11 17492 572 14
2020 500 、:、~六、5J“ 0-2 ? ^~~ 580 565 9 17463 567, 8 11. 8
2022 70 70 534 519 -8 28595 526. 3 -0. 7
6012 河南农业大学(中外合作办学) 2021 70 70\ ',568 554 -4 25301 559. 7 I. 7
2020 70' 70 565 545 -l l 28679 552. 7 -3. 3
尸 2022 652 652 582 531 4 21061 542. 8 15. 8
\ \ \ \ \ i \-
河南中医药大学 2021 716 722 i 627 561 3 14.3
6015 2020 736 742 i 608 560 4 竺?2l93299邱4958~8,勹8+I--'5的2 气竺 13
河南中医药大学(异地校区) 2021 40 40 I s94 558 。 -,27 5 `~ 5 _6- 9•.9 34 5. 9
2022 238 222 543 527 。 2. 3
6020 新乡医学院 2021 238 238 575 558 。 2.4
2020 250 250 582 556 。 -2222083872 IiIi 559.6 3.6
2022 95 98 542 528 1 530. 2 3. 2
6025 河南科技学院 2021 90 93 564 559 l 22467 560. 5 2, 5
2020 90 95 567 556 。 22087 557. 8 1. 8
2022 1852 1880 569 546 19 13354 553. 3 26. 3
河南师范大学 2021 1818 1836 606 576 18 14388 583. 3 25. 3
6030
2020 1456 1494 593 573 17 13776 578. 2 22.2
河南师范大学(定向招'E) 2020 6 5 573 558 2 21036 565;4 9.4• 160 • 第三章录取统计
录取分数统计
院校
代码 院校名称 年份 1 盓 1 灯 1 最高分 1 最低分 1 霄尸霖£1 平均分 I:器
线差值 线差值
10010191600081305139365545480645237533354552 52535158524665523736955 563549655378355376154 6 0
芒
6035 I 洛阳师范学院
三
主厂
芒
6065 I 信阳师范学院
二
芒
6070 I 南阳师范学院
i
2022 I 12 I 12 I 537 I 532 I 5 I 20478 533. 3 6. 3
6075 I 南阳理工学院 2021 I 15 I 15 I 574 I 563 I 5 20389 565. 6 7. 6
2020 I 14 I 14 I 562 · I 559 3 \ 一了20516 559. 7 3. 7
2O22 739 765 576尧.士 550三产 23 \.,、卫606 556.4 29.4
河南财经政法大学 2O21 890 90互 608;'M言583 沁芶 11833 588. 9 30. 9
2020 '笋们 9跻气 604. - 579 迈 l泣7 584 28
6080 ”-11-14-18-17m-3-6
` 2位2 特,舒心 608三· 553 527-气 O 23432 533. 8
河南财经政法大学(较高 ` 收 费专业 ` ) 已啦 .- 1 ,415~ 421 : 599 仅 '562 4 20879 569. 7
气少飞 霓沪t 202O 2吼·、『'.265585 561 5 194l7 570.4
二 一 气 趴 兰 行 气 r 飞 ' , 飞 1 ,;·:'r 2 2 0 0 2 2 2 1 3 1 I `,2 2 5 8 5 4 I 2 2 6 8 7 6 I 5 56 8 1 9 I 5 5 4 7 3 2 I 1 16 4 I I 1 1 6 4 0 74 9 3 0 5 57 4 5 5 . .9 3
`\
产 J院 2020 I 39 51 6 6 . -4 I 6 3- 4 3 0 85 8 82 -15-84 I 57 -44-83 5 89 8 -514 7 4-9 . 5 579--5148- I 94 119--544 5 7-25 6 7451- 9 -3564 05-24-5959- 654 I 18-4-552-658 1 08- 3 34-2 53--354365 -8-5 I 4- 658-8 1 -93 5 5- 5 6-51 2 37- 2 905 3-31-566 5 5- 7 7- 2 5 . -6 5 6 1
言 21635 533.2
理学 玉 21385 564. 7 7
19958 563
雪
18232 540. 3 13. 3
6095 I 华北水利水电大学 言 17951 571.4 13.4
18448 567 11
罢
19938 536. 7 9. 7
6100 I 河南理工大学 19410 568. 2 10. 2
19417 564.1 8. 1
2022 I 474 I 512 I 563 I 540 I 13 I 16182 I 543. 8 I 16. 8
6105 I 河南工业大学 2021 I 358 I 362 I 588 I 573 I 15 I 15646 I 576. 2 I 18. 2
2020 I 378 I 388 I 585 / 569 / 13 I 15522 I 571. 9 I 15. 9
2022 I 2os I 206 I 543 I 534 I . 1 I 19375 I 53_§比扫,~ 9. 5
6110 I 郑州轻工业大学 2021 I 118 I 188 I 581 I 566
2020 I 250 I 257 I 574 I - 561
2O22 132 132 539 C文5 了;
6115 工学院 2021 I 231 I …23_4 令忒芮臼斗{ 匈~it
2020 荽 1 6 赞屈丛 森飞界 5~9
I I I
立022~炉窀'氮,心 女7 §~539.,飞''-'f2 16611 542. 3 15. 3
- 笃多少
6603 I 浙大宁波理工学院 -一: ,-(1 寄`胃部2l 勹壹初 21 产 §82”``了70 l2 l7000 574. 1 16.1
厂七言二卢l\夕\\ 们 $ 如2O l0叭' C 曰卧·f亡 8-.气七 579 I 572 I 16 I 14212 I s14. 4 I 1s. 4
40 560 547 20 I 12892 I 551. 2 I 24. 2
I 浙大城市学院产三一一』雪言 592-583-5305-8506-35-7566-75-35092-452-56-292-095- 5566-15-6589-36-0519-15-5526-55-8680-35-7576-65 64-598-565
4 雪 583. 6 2
6823 0 578. 3
- 3 罣 5
2022 I 2 4 530
6931 I 北京理工大学珠海学院 罢
量
2 -
1
2 -
1
7 -
l
一 o-41-4言3-25-30-2 5 1 5 6 - 6 0 3 1 . 7 2 - 40-38 - 23 一
9901 I 中央戏剧学院 詈 3 - 2 - 雪 6 5 0 7 8 7 . .2 6 2-
言 1 1 1 1 詈 555. 5 -5
三 9907 I 中国戏曲学院 吕 3 l 3 l 2 - 2 - 1 0 _ 4 - 一 3 l 3 2 - - 1 0 - 4 - 一 一 骂 5 6 5 5 9 8 0 6 1 3 0 4 . . . . 5 3 7 3 3 3 0 - 5
9925 中国美术学院 4 24 565. 5 0
-
2
8
-
3
3
-
2
7
-
3
7
-
a
3
8.
二、2020一2022年河南省普通高校招生本科二批录取情况统计表(文科) 161 •
二、2020—2022 年河南省普通高校招生本科二批
录取情况统计表(文科)
l -—虹二咽芒取分二数统计 平均分
院校 公布 录取
代码 院校名称 年份 计划 人数 最高分 最低分 与分数 分位昙氐平均分 与分数
线差仇 线差值
2022 5 5 527 523 78 25960 524. 8 79. 8
`
0005 首都体育学院 2021 6 6 561 548 82 28836 555 89
2020 6 7 562 556 91 22087 559 94
2022 5 5 528 517 72 30019 520. 8 75. 8
0006 大津体育学院 2021 8 8 557 466 0 96112 507. 3 41 3
2020 5 5 557 555. 8 90. 8
2022 14 14 498 492 89 33278 494. 5 49. 5
0012 哈尔滨体自学院 2021 18 18 531 516 519. 8 53 8
2020 8 5元 517 52, 49El74 519. 9 54 9
;
2022 1 1牡玺 542 517 72;-` , t 30019 523. 8 78 8
0019 武汉体育学院 / J ~ ;2()21 10 10 561 丫 554 88 25301 556. 2 90. 2
叨20 7 7 562 551 86 25030 554. 3 89. 3
_
刁' 初22 18 、`; 18 527 514 69 32268 520. 7 75. 7
00?\3 i \I成,都--1体,一育~学夕院 2021° ', 1 8 18 557 545 79 30649 550. 7 84. 7
\. 2020 23 23 555 546 81 28075 548. 9 83. 9
,
\! `i ?\ \~ \ ~',一、一'_一_ \~ • ' 2022 17 17 532 517 72 30019 522. 4 77. 4
1765 哈尔氓队科入学尸夕 2021 15 15 563 550 84 27622 554. 5 88. 5
2020 17 17 573 550 85 25620 554. 5 89, 5
2022 2 2 531 529 84 22242 530 85
大连民族大学 2021 2 4 563 558 92 22987 560. 8 94. 8
2020 2 2 563 560 95 19958 561. 5 96. 5
2350
2022 5 5 525 521 76 27264 522. 6 77 6
大连民族大学(仅招少数民族考牛) 2021 3 3 548 546 80 30047 547 81
2020 3 4 552 536 71 34661 543. 3 78. 3
2022 4 4 526 525 80 24695 525. 3 80. 3
南昌航空大学
2020 4 4 561 559 94 20516 560. 3 95. 3
2430
2021 6 7 563 556 90 24136 558. 1 92. 1
南昌航空大学(较高收费专业)
2020 8 8 557 551 86 25030 553. 4 88. 4
2021 7 7 564, 555 89 24689 559. 9 93 9
2435 江西理」大学 I 2020 8 8 557 553 88 23819 55446 F一--8-.9. .6. ..
'2022 4 4 533 527 二 2223i1,54产93坚、5吓2、?以心三于零勹 52§5 3 84. 3
2545 河北上程人学 2021 3 3 565 560 9842 1, ,4 `',, , . 5-61 ". 7 95 7
2 2 0 0 2 2 2 0 1 4 1 ....• ~ 4 . 飞/生5_心_5`沁·盓~53_7心啖6 93 ,0一一一 _ 5 52 5 3 7 7 92 8 " 0'-0户-; 2笠60 孚5 5 3 5 3 8 . . 3 7 8 沪 8 会 . 7 3
2550 北京联合大学 2O21, 18 18 559 93' 全2、下2'4,一6_c7 565 99
2020 l6 16 574 \ 5??6 6, 101 16955 569. 2 104. 2
, 袄022 8 8 530 ~- 517 72 30019 525. 5 80. 5
大连交通大学 2021. ”3 ~ ~ 3 562 561 95 21385 561. 7 95. 7
?
\' 今`2020 3 3 567 . 560 95 19958 563 98
2555
\ 2022 4 4 524 519 74 28595 521. 3 76. 3
大连交通大学(较高收费专业) 4 547 545 79 30649 545. 8, 79. 8
L.一
222000222210] I 442 4 558 536 71 34661 549. 5 / 84. 5
2 65 35431 511. 5 66. 5
黑龙让中1妇药大学 2021 i 2 2 555134 ii ,ll 552-100 54 48420 537 I 71
2020 ! 2 2 551 550 8 5 25620 550. 5 i 85. 5
2610 I
2022 30 30 517 500 55 43646 506 61
患龙汀中医药大学(异地校区) 2021 16 16 556 i 533 67 38698 541. 7
,--7-5一一.• 7
2020 16 16 555 535 70 35387 545. 7 80. 7
2022 6 6 524 516 71 30778 520. 3 75. 3
山西医科大学 2021 7 7 561 541 75 33219 550 84
2630 2020 6 6 555 552 87 24442 552. 8 87. 8
2021 10 10 551 474 8 88448 522 56
山西医科大学(异地校区)
2020 5 5 558 547 82 27436 552. 8 87 8· 162 · 第三章录取统计
录取分数统计
阮校 院校名称 I'F 份 公 计 布 划 人 录 数 取 1 最高分 最低分 最 / 低分 三三t严1 平均分 平均分
代码 与分数
丿
2022 14 14 541 sn I 66 34631
26so I 广西医科大学 I 2021 ! 14 14 560 549 i 83 28244
2020 I 10 I l O I 553 546 81 28075
I ^ 1 ~^.. [ 2021 1 7 10 598 i 575 I 109 14815
2750 I 海南人学 I
, 2020, 24 I 24 I 587 571 106 14622 574. 9 109. 9
I; 2022 I 8 I 8 I 537 I 525 80 24695 530. I 85. I
2885 I 华东交通人学 2021 I 8 8 I 573 I, 560 94 21943 563. 8 97. 8
2020 i s I 9 I s62 I sss 93 21036 559. 2 94. 2
[2022- 10 10 546 :33 88 19938 535鲁9 90. 9
重庆_L商大学 202l lO l0 585 l 56了勹- 99 19410 569. 3 103, 3
I
: 202O, 5 5 ' lO2 16461 567. 6 102. 6
2890,~---·
二/ 24075 527 i 82
重从[商大学(较高收费专\W) 24136 ^ ^^ · 558 . —! 92
25030 560. 2 i 95
25飞22 526. 6 81. 6
2900 I 人原科技大学
二二
山西财经大羊 2021 I 2 l I 21 I 569 1 559
_ 2 _ 0 20 I 21 ^ I ” 2 ^ 1 ^ I sn ji 559 …^ I 94 20516 561. 6 I 96. 6
2920 2022 6 6 543 「 515 70 31505 523. 2 I| 78 2
山四财经大学(较倘收费专业) 2021 I 6 I 6 I 558 I 550 84 27622 553. 7 I 87. 7
I
2020 I 3 I 3 I 559 I 555 90 22667 557 92
I 2925 I海立信会计金融学院 I 2020 I 2s I 2s I 586 I s71 106 14622 575. 7 !Ill. 7
2022 8 8 526 l 518 73 29283 521. 6 ! 76. 6
2935 I 辽宁科技大学 2021 I 8 I 8 I 564 lI 546 I 80 I 30'0,17 I 554.4 I 88.4
2020 - 8 - 8 -- I ^ 558丁 I1 556 I 91 一I 2208,7 I 556 --
2022 I 30 I 30 I 526 ! 519 I 74 I 2ss9s I s22. s I n s
西北民族人学 I 2021 - I 12 12 I 559 I 548 I 82 I 28836 I 552. I Iii 86. l _
3010 2020 I 11 , 11 - I 559 4I… ~ 551 ^ I 86 I 25030 ^ I ^553. '8 ^ ii 88 , 8-
西北民八大卢仅招少数民族考牛) I 2 2 0 0 2 2 1 0 — I I - 2 2 9 4 I I 3 2 3 s -I I - - s 5 - s 4 o 8 1 I i -~ 5 s - 2 1 5 8 t I I - ~-- 5 5 - 3 9 t I I - 4 4 - 4 8 5 3 1 4 2 0 t I I -- 5 5 ~ 2 3 7 3 - . . - 7 3 t I ! :6 6 7 2 一 . . 一 3 7
2022 I 4 I 8 I 518 I 508 I 63 I 36969 I 513.4 I 68.4
;-- -- --- -
北方民从大学 2021 I _ 2 I 2 I 553 I 478 I 12 I 84787 I 515. 5 I 49. 5
2020 I 10 I 1104 二::1 : ::”二“:(^5): :
3015
2022 l4
北方民欣大于(仅招少数民族考生) 2021 I 20 20 I 542 I 521 ! 55 I 47608 I 527. s ! 61. 5
2020 I 18 1- 19 I 535 I 1 514 I 49 _ I 51662 I 521.2 I_ 56.2
2022 52 ] 52 553 526 8l 24075 535 8 90 8
心南民牍大于 2(J互- 8 1 8 l __ 581 57l l05 l 16517 573 9 107 9
3020 2020 I 8 II 8 I 576 I 569 I 104 I I 5522 I 571. I I 106. I
i
2021 I 45 i 45 I 570 I 547 I s1 I 29417 I 555.6 I 89.6
内南民族大学(仅招少数民肤考生) 二//::: ::: :二:::/:
飞035 I 中1计分功丈系学院 2 2 - 0 0 2 2 0 - l +- I - --- 3 4 8 0 -+I- -一^^ 3 4 1 9 ^ ; : _ ," s 5 ' s 7 , o 3 I - 5 55 5 7 9 ^ ^ I 9 9 _ 3 2 , 仁 1 I 一 2 2 2 1 4 5 ^ 6 5 7 4 I 5 5 6 6 2 4 . s 3 I 9 97 8 _ . s 3
2022 l 5s I 5s I 530 I 516 I 11 I' Jons I s21. 4 I 76. 4
3080 I 华北科技学阮 -三三- S2---l- 562 549 83二244 554 4 88 4
2020 I 4400 II 4400 Ii 560 I 552 I 87 I 24442 I 555 I 90
,
2022 : 24 I 24 I 546 I 525 I so I 24695 I 529 I 84
} ,- - -
3100 I 中华女子学院 2021 25 I 25 I 567 I 556 I 90 ·I 仄24仄13-6 I 559.J I 93.3
l
i| 2020 ii 22 I 22 I 570 I ss1 i n I 21554 I 559. 5 I 94. s
二 ll2 535492 ; 4750820 495 5 50 5
3110 I 搭干木大学 ! 2021 i 64 I 64 I 537 I 509 i 43 I 57325 I 519. s I 53. s
!- 2 ~ 020 - ji s6 -- I s6 I 549 - -I 519 咖 i _ 54 I 41s _ o 2 I 525.3 _ I 60.3.
二、2020-2022年河南省普通高校招生本科二批录取情况统计表(文科) 163 •
录取分数统计
院校 年份 1 盓 1 飞 1 最高分 1 最低分 1 巴员;门昙譬;1 平均分 :器
代码 院校名称
勹 线差值 线差值
们
3150 I 北京服装学院
二
归
3165 I 北京石油化工学院
3180 I 北京农学院
11 5 3。 52 2 77 勹
3210 I 天津城建大学
3220 I 天津农学院
90.2
79. 7
3225 I 天津职业抚师瑕尽贮 `辜旯 奶订 12 \,归} -i 558 553 87 25867 555.4 89.4
勹_.飞尸,、I\气\ 斡归 只' ``心
\ ` 12 559 554 89 23278 556 91
`已三《\艾: 气-
n 202232 32 530 473 2869846 502.3 57.3
324h\\ 业大学. 飞t},i\ 止. 2021 32 32 561 516 50 51641 547 81
心i沁`
..七仁产. 气巳伍飞\“亡 户'• . r'·,• , { .已t- I 2020 I 25 I 25 I 563 I 531 I 66 I 38285 I 548. 7 I 83. 7
,,~,;;-'. I 2022 I 15 I 15 I 524 I 515 I 10 I 31505 I 51s I 73
3245 石家庄学院 2021 I 15 I 15 I 558 I 545 I 79 I 30649 I 548. s I 82. s
2020 I 15 I 15 I 556 I 543 I 78 I 30010 I 545. 9 I 80. 9
2022 I 8 I 8 I 514 I 501 I 56 I 42740 I 506. 3 I 61. 3
I I I I I I I I
3250 I 衡水学院 202i- 6 6 539 528 _62 42213 532. 2 66. 2
2020 I 6 I· 6. I 539 I. 532 I 67 I 37527 I 534 I 69
2021 I 5 ·1 5 I 542 I s21 I 55 I 47608 I 531. 4 I 65. 4
3255 I 邯郸学院
2020 I 20 I 20 I 542 I 526 I 61 I 41943 I 529. 6 I 64. 6
2022 I 14 I 14 I 510 I 491 I 46 I 51788 I 502. 3 I 57. 3
3260 I 张家口学院 2021 I 13 I 13 I 542 I 528 I 62 I 42273 I 536. 8 I 70. 8
2020 I 8 I 8 I 547 I 535 I 70 I 35387 I 538. 1 I 73. 1
3265
3275
92. 5
22242 I 533 88
95 I 21385 I 564. l I 98. l
二: ::山七:贸院大学\了 勹厂厂:言厂:
96 I 19417 I 563. 4 I 98. 4
51 I 47205 I 500. 2 I 55. 2
67 I 38698 I 534. 6 I 68. 6
60 I 42716 I 533. 2 I 68. 2
言58866 言504548532522555
5 48 I 49917 I 499. 4 I 54. 4
-
3300 I 河北建筑工程学院 8 - 62 I 42273 · I 534;4 I 68. 4
8
54 I 47502 I 524. 1 I 59. 1
6 一 70 I 31505 I 517. 2 I 72. 2
-
3315 I 北华航天工业学院 6 81 I 29417 I 551 I 85
112221101120212015 055150241505 15555135511715554065555275 03529541
芒 86 I 25030 I 552. 7 I 87. 7
i 72 I 30019 I 520. 5 I 75. 5
3325 I 承德医学院 巴 84 27622 550. 5 84, 5
i 87 I 24442 I 552. 5 I 87. 5
58 I 41009 I 507. 7 I 62. 7
g
3340 J 廊坊师范学院 63 I 41562 I 540.6 I 74. 6
g 76 I 31333 I 544. 5 I 79. 5
g· 164 • 第三章录取统计
录取分数统计
院校 公布 录取 最低分 平均分
院校名称 年份 录取最低
代码 计划 人数 最高分 最低分 与分数 平均分 与分数
分位次
线差值 线差值
2022 10 10 509 502 57 41865 506. 7 61. 7
3345 唐山师范学院 2021 10 10 541 535 69 37377 537.6 71. 6
2020 10 10 542 533 68 36818 536. 3 71. 3
2022 16 16 522 507 62 37767 519. 1 74.1
. 河北地质大学 2021 14 14 560 544 78 31286 552. S 86. 5
2020 16 16 563 558 93 21036 558. 8 93. 8
3350
2022 3 3 519 518 73 29283 518. 7 73. 7
河北地质大学(较高收费专业) 2021 3 3 556 551 85 27046 554 88
2020 3 3 544 543 78 30010 543.3 78. 3
2022 12 12 529 491 46 51788 516. 1 71.1
3360 山西农业大学 2021 10 552.6 86. 6
2020 10 554. 3 89. 3
2022 12 531. 8 86. 8
3370 山西师范大学 2021 ` 564.6 98. 6
亨 560. 8 95. 8
_ 虐 501.2 56. 2
3380 运城学院 于俨老豆:笃/斗~'婷丞 ,站了,I·'含 54'11 527 61 43003 531. 7 65. 7
)
~-了·厂··· 24包t t, 24 = 540530 65 39072 531. 2 66. 2
守,I\凶乏飞知\,〉\,函1'\)上-巨I勹学',L-/编院-心`-飞`J心心-`- 年生,气飞东 歹` ` 2- O上2-2 尸一八~~飞勹-4 4 509 488 43 54646 501. 3 56. 3
339厂 . \ 5I\ \ `: . { / -_'->/ \~ , , , 2 斗 '2021 4 4 539 519 53 49184 533.5 67. 5
2020 4 4 540 536 71 34661 537. 8 72. 8
I- 尸二?山产它西t,飞仁飞L之中丛二医, ;药2产尸大歹三学穸 2022 17 17 533 527 82 23432 528. 8 83. 8
3400 ~ 2021 16 16 562 553 87 25867 556.9 90. 9
2020 16 16 559 552 87 24442 557. 8 92. 8
2022 12 12 509 496 51 47205 499.4 54.4
3405 忻州师范学院 2021 14 14 535 524 58 45291 529.1 貂1
2020 11 11 535 532 67 37527 532. 4 67.4
2022 20 20 531 523 78 25960 525.5 80. 5
~410 太原师范学院 2021 17 22 559 549 83 28244 552,2. 86.2
2020 17 17 559 548 83 26807 549.4 84.4
2022 30 · 30 526 513 68 32998 518. 3 73. 3
3415 山西大同大学 2021 12 12 567 549 83 28244 555. 3 89. 3
2020 10 10 560 552 87 24442 554. 3 89. 3
2022 7 7
3420 太原工业学院. 2021 8 8
_ 2020 9 9
2022 17 17
3430
晋中学院 \言补产
3435 长治学院 厂、\J:吓_言__卢` 产.538巨'卜530 64 40857 533. 7 67. 7
\ 占, 俨夕534 530 65 39072 531. 7 66. 7
大I学c.:I心\一夕i`少s匀俨I气气,飞,..产.尸了编'-:-_'~"I二§,\i.令\俨匕~._飞了-c气 巳 , 20~~龙 ,: 亡飞 苍15 25 534 523 78 25960 526. 6 81. 6
3450 内蒙古师范 `\ ,,III ~' • \-仁--C ,/ 2021 'J: 20 20 570 547 81 29417 551.2 85. 2
2020 31 31 557 543 78 30010 546. 9 · 81. 9
,'C'·立~于 2022 17 17 514' 508 63 36969 510. 7 65. 7
3455 内蒙古民族大学 2021 17 17 558 533 67 38698 539. 7 73. 7
2020 27· 27 544 533 68 36818 536.9 71. 9
2022 6 6 520 483 38 59583 502. 8 57. 8
3460 内蒙古科技大学 2021 10 10 560 547 81 29417 551. 1 85. 1
2020 19 19 554 545 80 28679 547.5 82.5
2022 15 15 505 495 50 48113 498 53
3463 内蒙古科技大学包头师范学院 2021 13 13 530 520 54 48420 523.3 57. 3
2020 17 17 531 518 53 48340 522. 7 57. 7
2022 8 8 500 492 47 5082-0 494 49
3470 赤峰学院 2021 8 8 ` 529 515 49 .52443 520.4 54、4
, 2020 5 5 521 1 517 52 49174 518 8 53. 8.
二、2020—2022年河南省普通高校招生本科二批录取情况统计表(文科) 165 •
录取乔数统计
1:
院校 公布 灯 I 最高分 1 最低} 勹产; 1录取最低1 平j/r
代码 ;,'- 院校名称 年份 i划
t 分位次
r + - 2022^ ^ - 2 2 勹 5 线六 5 值 80`8281899635 51 3 0 9 . 4 I 线 65 左 . 值 4
3 8 I 内蒙r `L , 绎 f 大学 2021 0 0 响0 524. 7 I 1 58, 7
4 0 2020 - 2 - 2 53 言
2022 0 0 口4 二
大连大学 2021 - - 7
3490 2 2 0 0 2 2 0 2 产2 0 -1 石 一 1 2 0 - 5 2 三 ,
大连大学(较高收费专业) 2021 1 5 7 - 7 - 1 5 6 5
3495 沈阳大学 2020 0 l 1 7 1 7 - 1 5 1 7 - 1 - 1 7 5 勹5 5 5 ` 7 77 2 L 3 ~ 3 6 9 58 7 9 6 』
1, 5 3 6
_ -
3 三1
1515 辽宁科技学院 718-44-41-333-10-10-140-31-30-33_4-4
丿 -
8
3
/ 5 0 酰
辽宁师范大学 - 5 5
3 丁 5
3520, 二, \ 范\ \ 大 \ \ ' 学,',(i 较高收费专业) { ,i, 6 06 6 3 0 5 , 三
- 5
二
心心 5 尸 4 3 537 5 | 72 5
卜-- i I - 沈 阳师凇大学 勹 1 4 9 3 7 77-6091 2 3 6 8 5 - 8 6 9 4 I 527. I I 82. 1
5 巨
3525 厂___ 4492131616-7811-13344-41211119772_4
5
i 儿阳师范人学(较高收费专业)
9 I 5358 I 477 12 I 86190 I 519. 9 I 54. 9
沈阳师范大学(单列专业) 123 1 ::: I 盓 5 69 6 I I 3 4 2 5 2 8 6 7 8 4 I I 5 5 2 1 9 8 . . 5 6 I I 6 73 4 . . 6 5
6
3540 I 辽宁工业大学 }: I ::: I 骂 75 I 33219 I 550. 6 I 84. 6
87 I 24442 I 554 I 89
8-11
5264 502 57 I 41865. I 515. 3 I 70. 3
飞,;45 I 沈阳理丁大学 563 i 550 I 84 I 21622 I 55?. 6 I 89. 6
558 厂言 23278三 555
13 - 1 1 89 2 90 2
4 533 525 80 2呛5气5.. 27-5 82 5
3550 I 沈阳航罕航天大学 4 I 560 I s57 I 9l岱/ 23563 558 5 92 5
4 七5茄4,、3 55691 、 产 ., 22087 1: `,.. 558 - ` ` `“`9`3
• 12'夕'编尸, 5 , 29 一 1l 50 550099 l 64.. I 36飞213 I 516. 3 I 71.3
3555 I 沈阳化工大学 11 556 / 480, / I4 I 82978 / 542. 8 / 76. 8
,0 11 竺 9 4551 86 25030 552, 3 87, 3
_ 9 531 I 524 I 79 I 25322 I 526 I 81
3565 I 大连海洋大学 l l 5587 I 544 I 78 I 31286 I 552. 5 I 86. 5
7-2-4
561 I 557 I 92 I 21554 I 558. 7 I 93. 7
`,苦,比1』 516 I 494 I 49 I 48998 I 505 I 60
- . ' `
3570 I 锦川[欠抖大学
4
546 |! 545 79 I 30649 I 545. 8 I 79. 8
2020 ! 4 542 541 76 31333 541. 5 76. 5
5 524-507-545-538-536-569
1 3575 1 辽宁中区约大学 丿2022 1 5 52-45-32- 5 4247 5
4
0
93
8 6
4
3
8 4
3 咖
9
6
9
9
1
6
7
9 — 5
4
1
9
—
7
4
.
, -
9
8 』 —i i --
5
6
2
9
.
. S
9
----t-, ,
3585 I 鞍山师范学院 4 517 1 51 50796 三 530. 6 i 64. 6
53l 1 66 38285
520 75 27943 524. 5 I 79. 5
渤海大学 三 1 535 69 37377 552. 7 86. 7
3590
三
` -
渤海大学(较高收费专业)
三
5
3
8
-
5
4
8
-
5
8
2· 166 · 第三章录取统计
录取分数统计
院 代 校 码 院校名称 Il f 份 公 计 布 划 录取 最低分 1 最 m与 低分 五三平均分飞霍
人数 1 最阎分
分位次
线养值 线差俏
三 3 3 5 4 4 三 9 509603627751878573180390757348377-8889188877788-58539529316466864560560858866753-616744489671773773
3615 I 辽东学院 9 3 沁0 9 8 5
9 3 57 3 2 三 5
一 2 6 3 5 6 0
3620 I 北华大学 3 6 9 1 4 三
| 二 3 4 6 5 1 5 3+ 8 5 8 7 0 三 2
长存大学 4 0 0 2 8 6 6
3625 尸 长存人 - 学(较高收费女业) 三 T 2 6 了 3 1 3 9 3 5 6 4 5 4 9 勹 6 9 7 0罚 三 三 5勹
厂 言 0 6 2 2 0 1 3 5 5 3 5 7 2 8 9 5 三 5
3630 I 长春丁业人学 1 8 0 /
I I - - - 』2 4 9 1 8 玉 5 3 3 6 3 『 1 6 4 三 5
3635
-
I 吉
-
林
~
农\W
-
大
-
学 霉
三
0
2 罚
6
5
2 1
1 0 1 3
2
5 6
5
5 5
5 5
1 5
- 8
5 8
三
三
5
6
0/
0 3 吟 3 3 3 0 5 5 1 7 三 2 /
较高收性妇II勹 勹2 4 3 9 3 5 9 5 2 4 5 - l 6 三 5 8
3640 0 33 3 3 6 汽5 0 5 3 5 如 3 6 - 6 5 」
吉林帅范大学(单列女业) : 8 8 7辜91 5 5 尸8 0 -
2 1 8 8 55--6 5 4 2 1 5
吉林师范人Y飞异地校区) 三2 3 3 6 3 8 4 1 1 3 5 6 刘 5 4 4 5 1 勹8 4 25
/ 3 3 3 3 竺 6 6 6 6 6 4 7 6 : 5 5 0 0 』 I I I I 吉 吉 长 臼 长 ^ 林 春 林 城 春 中 建 化 师 」 医 筑 范 程 1 ~^ 药 学 人 沪 学 阮 大 学 院 阮 学 三 2 2 2 2 2 0 0 0 0 0 霍 0 2 2 0 0 2 0 2 2 2 2 2 1 1 0 2 2 I I I I / 8 8 54 4 9 3 1 3 - 3 7 8 39 8 I I I I 了 4 5 4 5 1 0 - 1 1 1 2 6 7 8 8 3 i I I I三 5 5 5 s 4 2 0 3 5 1 0 5 3 8 5 0 8 5 3 5 5 4 1 5 3 2 5 5 8 5 5 6 3 5 6 5 5 1 5 5 4 1 3 5 5 0 严 : I I I 5 5 s 4 2 1 3 2 7 3 5 1 6 5 3 1 4 9 1 9 9 5 4 9 9 5 3 7 5 0 9 5 0 9 1 4 0 4 二 6 0 - 8 8 9 1 6 0 6 5 5 6 6 4 5 8 5 4 9 . I I I I I 3 4 4 4 3 8 7 8 7 5 9 6 4 0 5 3 9 0 2 0 1 8 8 2 6 I I I I I 5 5 5 5 4 1 3 2 2 9 8 5 5 5 2 4 8 4 1 6 . . . . . 2 9 4 I l I I I I I 5 5 5 6 7 1 8 6 9 2 . . . . . 9 2 4 1 I
』
长春师范大羊 2 2
2
0 0
0
2 2 2
2
2
0
l I
I
I 8
5
5 5 2
2
5 9
5 .
I I
I 5
5 5
5
7 9 - -- I I
I
: 5
5
i3 5
5
5 4
7
8
9
2 +I I
I
5 5
55
4 0 5 0
9
5 1
5
3 3
l
3
5
5 7
8
8 7
6
I
I
! 4 3
2
1 1
5
0 9
0
0 2
3
9
0
6 I !
I
5
5
,5
5
5 91
3
1 .
.
9
5
6 口 I
I
! 8
8
5
8
7 .
.
4 6
5
20 0 22 I 11 I l l I 5142 i , 一 48 55 9 944 I 53630 I 494. 4 I 49. 4
3675 I 长春帅范大权较高收费专业) 尸 2 ” 0221 “ 一 I 101 I 11 I 5392 I 51 32 5 549 I 52443 I 5108. 8 I 52. 8
95
2020 I 610 I 10 I 5389 I 516 551 I 50004 I 525 I 60
I 20222 I i1 3 I 13 I so59 I , 49 5 4 1 1 5 5 50 I 48113 I 49 6 9. 7 I 54. 7
I 长春师范大学(I,(,列妇lV) 2021 I 14 I 14 I 5318 521 55 I 47608 I 528 I 62
厂—— 三二 2 [ 3 9:: :9 5 丿三 15 5 8 45 4 1 8 : I I 5 4 2 7 5 2 6 0 0 5 I 52 ` 6 8. 5 I 63 5 . 2 5 -55 6-954--5l4459
飞680 I I 吉林丁程技木师范:学1;;;; -- 0 2 : - 1 :: 4 8 5 三 1 5 4 4 5 4 5 s3 9 4 I i 1 , 4 4 48 8 8 9 4 3 9 2 4 8 0 0 』-
通化帅范学院 2021 I -34 I 34 I 53 4 3 I 5292 6s6 I 46841
3685
通化帅范学院(单列心[V) I
三 2
2
0
0
2
2
0
0
I
I
2 3
s
8
2
6
I
3 I 2
s
6
i
I 4
s
5 9 :
o
4 iO 0
s I
I 4
4
5 8
7
25 0
5
7 3
8
6 14 5
1
2 8
3
二 I 4
8
4
5
2
1
8
3
7
2
4
4
5 8
9
2 , 5 8 6
2
., , 一
,
·7
6
9
2
4 6 3
7
1 .. . .
.
7 9
6
8 5 - -
1 5 9
4 5
1 5 0 0
4
5
0 6
6 6
6
5
5 1 0 4
5 6 4
3
5 6
2
4 8
1 9
7
5
2 3 2
4 7
0
6 6
9
-
4
1
9
2
1
4
1
2
6二、2020一加22年河南省酱通高校招生本科二批录取情况统计表(文科) . 167 •
录取分数统计
院校 年份 1 公布 1 录取 最低分录取最低 平均分
代码 院校名称
计划 人数 最高分最低分与分数 平均分 与分数
分位次
线差值 线兑值
I ^ ~— 2022 I 15 I l 5 I 539 I 525 ! 80 I 24695 I 529. 8 I 84. s
3695 I 黑龙江人学 202l I 18 I 32 I 573 I 547 I 81 I 29417 I 558.3 I 92.3
2020 19 19 567 56.d. 95 19958 562. 7 97. 7
3700 I 佳木斯大学 2021 I 55 I 55 I 546 I 513 I 47 I 54068 I 520. 4 I 54. 4
2022 I 34 I 42 I 522 I 496 +I 51 I 47205 I 512. 4 I 67. 4
3710 I 齐齐哈叮欠学 2021 I 38 I 38 I 559 I 517 I 51 I 50796 I 548.1 I 82. l
正04040 557 545 80 28679 1 548.4 83 4
2022 14 14 5巧 514 69 32268 515. 7 70. 7
3715 I 黑龙江八一农垦人学 2021 12 l2 557 543 77 31926 545. 8 79. 3
2020 I 22 I 22 I 551 I 540 I 75 I 31965 I 542. 3 I 77. 3
2022 I 31 I 57 I 533 I 505 J 60 ·. I 39414 I 522. 3 I 77. 3
3720 I 哈尔宾帅尥大学 玉144 62 579 556 90 \凶l36 560.3 94 3
I I - 2020 I 63 I 63 I s讥勹了 556 91.' .. - 2 . 2087 558. 2 93 2
2022.5年{飞 -54 521嘉三三 477 32 ,i \\I '1 65677 500. 3 55 3
六必,产•.•, ,令
3730 I 哈尔滨学院 2021 63 63 550 5l7 51 50796 537. 9 71. 9
2020 I 58 I 59 \s53 I s33 I 68 I 36s1s I 537.4 I n.4
I.
2022 I 11_ 11 I 513 I 493 I 48 I 49917 I 496. s I 51. s
37~5 气门学院 \\I,L 2O21
iI编
,
.
3
亡
4
-
`
, ..
14 1 541 516 50 51641 52O. 5 54 5
二程学院 \', 2020 23 23 _ _口527 518 53 48340 520 55
2022 1l ll 1 513 468 23 75194 497. 5 52, 5
2021 I 9 I 9 I 546 I 538 I 72 I 35289 I 540. 4 I 74. 4
2020 I 16 I 16 I 542 I 534 I 69 I 36096 I 537 I 72
-2022 I 40 I 47 -+I -528 I 513 I 68 I 32998 I 516. 2 I 71. 2
`一.!一
3745 I 芞龙江科技大学 2021 I 48 I 55 ; 556 I 540 I 74 I 33915 I 546. 7 I so. 7
玉o 67 67 558 545 ! 80 28679 548. 2 83.2
I I l
2022 I 37 I 37 I 508 I 491 I 46 I 51788 I 495. 1 I 50. I
3750 I 齐齐哈尔医学院 2021 I 36 I 36 I 542 I 502 I 36 I 63254 I 521. 1 I 55. 1
2020 I 40 I 40 I 547 I 523 I 58 I 44287 I 529. 5 I 64. 5
2022 I 38 - I 38 I 516 I 497 I 52 I 46291 I 501. 4 I 56. 4
__
3760 I 牡丹江师范学院 202l 38 38 539 5 l7, 51 50796 528. 8 62. 8
, I, 2020 25 25 546 528 1 63 40496 533.4 68}
2022 I 45 I 45 I 513 I 494 I 49 I 48998 I 496.4 I 51.4
3765 I 大庆师范学院 2021 I 59 I 59 I 532 I 520 I 54 I 48420 I 522. 1 I 56. l
2020 I 54 I 54 I 548 I 518 I 53 I 48340 lele 552211.. 33 I 56. 3
2022 I 21 I 21 I so1 I 492 ! 47了 sos20 1 493s5含了 48. 5
3770 I 绥化学院 2021 I 18 \ 1s I s2~ 乌1 “ 7 ” I “ s,:Y 切. l . , ,\ 250796 I s19, 4 也 3.4
—-
2020 20 20 53i肴 517 52 49174 52.1.2 56飞
2O22 25 屯.飞"25, I 5 5 0 03 3 '•''I 4419 2 47 50820 493. 8 48. 8
I
3775 I 吉林衣业科技学院 2021 22 I -22 I 542 \ 494,'; \ 2s I 10291 I s1s I 52
J I -
2020 23 I 23 _ I 540 - 526 I 61 I 41943 I 529. 1 I 64. 1
3850 巳卢戈丁子1『\ \厂 . 20堕+_ 3乏产勹了3 551 547 82 274凹 i- 548. 7 83 7
_ \,',`'
3855 I 识川上学院 ' , 尸 \ (` 妥 L ( ' , ! ~ \ , \ ( \ , · '- J 辽- I 夕. _ .. 2 2 0 0 2 2 1, 2 ! I : - 1 '" 3; 1 !"'I I ”1 s 3 “ I I ”5 s2 5一 3 8 - I I s 5” 1 43 1 “ I I 7 n 7 I I 3 3 0 1 0 9 1 2 _9 6 _」 i l s 5 1 51 9 . . 4 1 I I 7 85 4 _ . 4 I
\ - 2020 I? 13 I 13 I ”一己 554 I 550 I 85 I 25620 I 一 55 炒 1. 5 “ I” 8 “ 6. 5
2022 I 10 I 10 I 529 I 524 I 79 I 25322 I 526. 7 I _8 1. 7
3860 I 江苏海洋大学 2021 I 14 I 14 I 568 I 558 I 92 I 22987 I 559. 9 I 93. 9
2020 22 22 563 556 91 22087 557. 4 92. 4
I- l - ? - 2022 1 45 / 45 I 535 I 527 I 82 I 23432 I 530. 1 J 85_ I
3865 I 江苏第二师范学院 2021 I 41 I 41 I 571 I 559 I 93 I 22467 I 562. 6 I 96_ 6
2O20 36 36 568 557- 92 21554 558. 6 93. 6
2022 I 30 I 30 I 513 I 495 I 50 I 48113 I 501. 9 I 56. 9
3870 I 淮阴工学院 2021 I 24 I 24 I 557 I 468 I 2 I 94296 I 530. 8 I 64. 8
2020 I 22 I 22 ! 552 I 5牡 79 I 29350 I 546. 8 I 8 I. s
I
2O22 19 l9二.523 513 68 329妞_ 517.1 72丿--
3905 I 淮阴师凇学院 2021 I 21 I 21 i 554 I 543 i 77 I 31926 I 547 I 81
2020 I 30 I 30 I 551 I 543 I 78 I 30010 I 545. 5 I 80. 5· 168 · 第三章录取统计
—
院校 公布 扂 I 最压分 1 最低分 录 : 取分 三 数统 勹 订 三///勹
{ \码 I 院校名称 _ 年份 计划
L 2022 I 6 6 527 523 I 78 I 』 25960 I /525. 7 I 80. 7
3910 盐城帅范学院 勹
3920 I 南京晓J上学阮
/ 8
,
392.5 I 、1_[方理].学院
言 『
0
39'.lO I i,「苏师过大学 二
』『i
.
;
3945 I 江)『归学院 0
` '
/
3950 沿熟珅 1学院
|--
/
-
-
3960 I 浙江传媒孕院
媒折 学院 较高 费
范 0
学
二
3965 I院宁波」.程沪院
业 /
院
/
3980 I 绍兴义则学院 。-
-
3985 I 台州学院
0
_
厂402O厂浙江一河汗院六学
二 /
『
/
f
4035 I 衢州学院
-
。
4040 I 湖川师沁学院
I
I
1
/
帅 /
--/
i
」
二
壮 -
l 加 二
安
』 皖 / /
-
(学
\农
炯 儆学
西
~
』
一
」
三
』 1
三 /
』
/
`
,
二
/
二
二.
二、2020一2022年河南省普通高校招生本科二批录取情况统计表(文科) 169 •
录取分数统计
代 院 码 校 院校名称 年份 公 计划 布 人 录 数 取 最高分 最低分 I , 最 与 低 分 分 数 录取最低 平均分 平 与 均 分 分 数
分位次
线差值 线差仇
2022 14 14 532 525 80 24695 527. 8 82, 8
4135 安俶中医药大学 2021 14 14 567 556 90 24136) 559.3 93. 3
2020 9 9 559 555 90 22667 556. 9 91~气~. 9
2022 21 21 530 523 78 25960 525. 6 80. 6
阜阳师范大学 2021 22 22 557 550 84 27622 552. 4 86.4
4145
2020 I 22 22 554 548 83 26807 Ii 549. 8 84 8
阜阳帅范大学(较高收费专业) 2022 2 2 490 486 41 56565 488 43
2022 20 20 531 521 76 27264 524.2 79 2
4150 安庆师范大学 2021 14 14 567 552 86 26451 554. 4 88.4
`
2020 10 10 558 550 85 25620 551. 8 86. 8
2022 27 27 522 508 卜 63.... /乙户3、夕6r969 513. 6 68. 6
4160 巢湖学院 2021 16 16 荨550薛,Jr 542 ';也的574 544. 7 78 7
2020 15 15 540 7756 心令 31965 542.5 77. 5
2022 夕,斗华叮 I;!,~、、; 531 86., /; ,;,21061 533. l 88. l
4165 淮北师范大学 卯2l '14 16, 564 559 93 22467 560. 8 94. 8
\
t2 ~咖O~~ ~ 2
>
O` 13 13 560 556 91 22087 557. 5 92. 5
A人 `I ' ~~ t二.,-七·' ,:玄多..卒心`·, ,2,_ 位_2 20,\ 1. $~\ 20 523 500 55 43646 506. 6 61. 6
41飞 尸学院:\\ \\ 巨2O2] ! :'2o t `尸 20 562 467 1 95210 533. 8 67 8
`沁七,又'/'\卢 \飞, I 2020 i 10 10 555 550 85 25620 552 87
418汀愉州学院它“- 咖-咖, ,比' 2022 4 4 497 491 46 51788 492. 8 47. 8
1福建衣林大"学 2022 15 15 527 516 71 30778 519 6 74. 6
| 2021 15 15 559 545 79 30649 551. 6 85. 6
2020 20 20 558 538 73 33302 549. 5 84. 5
4195
2022 l5 15 1 525 508 63 36969 515.2 70 2
福建农林大学(较高收费专业) 2021 15 15 567 531 65 40157 545. 7 79. 7
~?
2020 15 15 552 540 75 31965 545 80
2022 49 49 530 514 69 32268 521. 3 76. 3
4210 闽江学院 2021 53 53 561 551 85 27046 554. 8 88. 8
2020 55 55 559 546 81 28075 551. 4 86. 4
2022 16 16 522 514 69 32268 517. l 72 1
4215 背田学院 2021 31 31 553 544 i 78 31286 546. 5 80 5
l
2020 31 31 548 541 76 31333 543. 4 78. 4
2022 21 21 522 506 61 38592 510. 8 65. 8
4220 福建工程学院 2021 29 29 555 531 65 40157 、: 546, 8 80. 8
2020 35 43 558 548 !87巳芦 550怒 芦85.5
26807,
2022 13 13 539 己~5`05 ! 39414 528. 4 I卒$3.2
4225 福建中医药大学 2021 13 13 56年 553 25867 55炽矿 `/ 尸尸 92 6
2020 13 .l3 580 5/、57 /、二 92 21554 560. 8 95. 8
2022亡 「 34 '3,4',卢 533 515 70 31505 520 75
4230 泉州师范学院 - \~021 l/31 31 558 549 83 28244 552 86
-2020 视五 汽飞占'29 ;一 558 547 82 27436 549. 7 84 7
学畸\咖;.'`, }咖门
\' 云`了\ ` tg 2022 岱飞竺 57 532 503 58 41009 525.4 80 4
4235 同南师范大 ` s:: : 车'2021 63 63 566 553 87 25867 I 556. 4 90 4
\ _,
2020 65 65 563 553 88 23819 555. 2 90. 2
2022 5 5 531 526 81 24075 527. 8 82. 8
江西衣业大学 2021 7 7 564 553 87 25867 556 90
4255
2020 I l3 13 559 534 69 360% 550. 8 85. 8
江西农业大学(较高收费乌业) 2-20-0 2220 !l 333
3
3
3
5
52
5
5
9
4
5
7
5
2
0 8
2
5
7 7
25
0
6
9
2
0
0
0 5
5
0
5
5
6
.8 60
91
. 8
~ ~
4265 九江学院 2021 31 31 553 537 71 36000 545. 7 79. 7
2020 31 31 556 545 80 28679 548. 2 83. 2
2022 21 21 530 493 48 49917 501. 3 56. 3
4270 宜春孕院 2021 21 22 558 477 11 8568 l 535 69
2020 30 30 551 543 78 30010 545. 7 80 7· 170 · 第三章录取统计
rjp',1
元 卜 4权 仍 ,',', 院校名称 年份 公 计 布 划 三r—;Jf~~
—-,--—-
i 2022 15
mo I 翠待销旧盗大学 -| — 20 - 2 — 1 -1 1 8
I I l l,二 2 2 0 0 2 2 0 2 勹 I 9 二 - 勹/二-
I 门西中医约大学
4300 561 555 i
I 556 . 4 ! 86 4
I 2022 12
归os I 赣南师范大学 匕2—02…1 19
j
I
-//」:1-
I
432O L饶师也学院
I
4340 I南昌帅总学阮
!
—/
2021 10 10 558 549 83 28244 1 551 9 1 85 9
2020 6 6 556 549 84 26203 551, 2 I 86 2
i
2022 I 10 I 10 I 535 I 530 ! 85 I 21635 I 532.5 ! 87.5
2021 I 10 I 10 I 565 I 558 92 I 22987 I 560. 5 ! 94. 5
2020 I s I s I 561 I 5 _ s _ s i 1 93 ! 21036 ! ss9.3 i 94.3
2022 I --- 6 I 6 I 532 529 - -,4i -- 84 -- -1 I - 22 -- 2 - 42 - 1 I - 5 - 30 - . - 2 ~ , i _ ~ 85. 2 --
-叩o, I1 ,八 1八 u< I co - I o勹 六0丘勹 ! 558. s I 八勹 <
厂/
:::I
山~P~u:x~ __ _ _ _ _ J 二 I : I : :::-I一::『二Ii
I
56, 96
39414 尸匠4尸`
440s I 倍州学院 1 2021 1 10 | 10 | 549 1 533 1 67 1 38698 1 539 ” 1 ·I 73 1
37527 厂5347 i 697
严/二2
-
I
- 32 5 7 4 54 6, 8 | 80 8
I 一 20 _ 20 _ 丁 I — 2 - 0 —+ ! · 20 一 — ' I - 5 一 5 , 5 —于I - 546 T —- 81 — -7 I — 28 · 075 — 厂 I 5 — 48 厂 . 2 - ! — 8 - 3. 2 —
:io I s10 I 489
4425 ! 467
一 30 勹—-3(]“一五]飞如
I 1三 - 202 - 2 』1 -/6 - ! - 6 / - I - ~53[三 I 严
4430 I 山东交通学院
2022 ] () 10 78
8i8-5-4
4435 I 青岛农仲大学 202] i 8 559 554 88
-T-
2020 Ii 8 561 558 5 93 1 二 21 036 1 55 卢 9 ] 94. l
2022 1 5 510 497
4440 I 滨川学院 2021 1 4
2020 I 2 2.
二、2020一2022年河南省普通高校招生本科二批录取情况统计表(文和) 171 ·
录取分数统计
院校 公布 录取 最低分 平均分
院校名称 年份 录取最低
代码 计划 人数 最高分 最低分 打分数 平均分 与分数
分位次
, 线差值 线苀伯
2022 2 2 509 506 61 38592 1 507. 5 62 5
4445 甚fr子产,皖 2021 2 勹 529 s26 .1' 60 43777 527. 5 61 5
2020 2 2 526 523 58 4428- 7 - 524, 5 59. 5
2022 14 14 520 447 2 98565 501 56
4450 淮坊医学院 2021 14 14 549 543 77 31926 545. 8 79. 8
2020 14 14 549 543 | 78 30010 545. 3 80 3
2022 5 5 516 515 70 31505 515. 8 70. 8
4465 山东第一医科大学 2021 5 5 547 541 75 33219 544.4 78 4
2020 5 5 550 547 82 27436 548. 2 83. 2
4470 泰山学院 2020 5 5 542 531 66 38285 535. 4 70.4
2022 11 11 530 525 80 24695 526 81
4475 临沂大学 2021 12 12 562.. 556 90 :,,: 24136 557.5 91 5
..8. 9.-.
2020 19 19 5~9 飞 554 23278 555. 8 90, 8
2022 7 `, 7 533 b、 53 l 86 2,, 1061 532 87
4480 鲁东大学 ?021 7 7 568 562 96 20879 564. 3 98. 3
2O20 7 7 , 559 558 93 21036 558. 7 93. 7
\ 2022 22',', 飞 七之22~ ~ 535 477 32 65677 516. 7 71. 7
,i 山东丁商学1\一L`\心院\ 2021 24 24 559 552 86 26451 555. 1 89. 1
449I\ 5 II '\ \\ ' 3 } ~-己 \ 2020 24 24 565 548 83 26807 554. 8 89 8
\ \\ \ 2022 21 21 532 518 73 29283 521. 4 76. 4
4500 山东管理学院 2021 20 20 558 550 84 27622 553, 8 87. 8
2020 20 20 557 552 87 24442 553. 6 88.6
2022 18 18 523 511 66 34631 515. 2 70. 2
4510 湖北理「学院 2021 7 7 546 536 70 36701 540. 6 74 6
2020 14 14 550 518 53 48340 534. 8 69 8
L ?
2022 30 30 524 514 69 32268 516. 9 71. 9
4540 湖北科技学院 2021 28 28 557 546 80 30047 549. 6 83, 6
2020 24 24 557 547 82 27436 549 4 84.4
2022 24 30 529 521 76 27264 523. l 78. 1
~..
4545 湖北义珅学院 2021 31 31,I 566 550 84 27622 553. 6 87 6
2020 30 30 563 551 86 25030 553 88
4555 湖北汽车工业学院 2022 20 20 512 493 48 49917'496 6 51. 6
2022 10 12 535 530 85 21635 531. 6 86.6
武汉轻工大学 2021 10 11 574 559 93 22467 562. 8 96. 8
4565 2020 10 ] () 568 56l 96 19417 i 5631'.-3- `飞983
2022 20 20 5555心2、5666它主 ,5lO 65 35431 514 ,~了~ ,; 69
武又轻丁大学(较高收费专叶) 2021 25 25 :~ 539 73 芯'/ 34627 542/9 `心 76息9
l 2020 25 ' 25 L;~ I 524 59 43484 537. 9 72. 9
2022 I、 19 l9: 526 469. 24 74062 505. 9 60. 9
4590 湖北医药学院 2021 15 15 ` 5 5 5 547 81 29417 549 9 83. 9
\'编); - I \ \ i \ \~ ,:口 立'沪 , 2020 8 气 I \. 8 546 543 78 30010 544. 6 79. 6
4595 心户\ \ \.\L\ lf飞 • «了\」\, )\ \ 气今 " 2 20 0 2 2 1 2 1 女2 3 8 2 3 28 2 5 5 3 7 6 3 5 5 3 5 0 6 9 85 0 2 2 1 4 6 1 3 3 5 6 5 5 6 3 3 2 . . 4 8 8 9 7 7 4 8
2020 31 32 567 560 95 19958 561. 3 96, 3
2022 34 34 530 521 76 27264 523 2 78.2
4600 黄冈师范学院 2021 26 26 556 537 71 36000 549. 7 83. 7
2020 30 30 551 543 78 30010 545. 7 80. 7
l
2022 19 26 524 498 53 45402 505 60
4610 湖北」和学院 2021 19 19 559 468 2 94296 528. 9 62, 9
2020 12 12 555 553 88 23819 554. 2 89. 2
2022. 30 30 544 526 81 24075 529. 8 84. 8
4615 湖北经济学院 2021 32 32 573 559 93 22467 562. 5 96.5
- /-l 3 0 二三67 559 94 205 l6, S62. 4 97 4
22-00 2022202 II. 442449 44 33 518 73 29281 丁1一521. 8 76. 8
4625 湖北民次大学 44 59 545 79 30649 551. 1 85. l
2020 23 23 557 547 82 27436 549. 4 84.4• 172 • 第三章录取统计
勺份 l1 公1, I 录取 录取分数统计
代 院 码 校 院校名称 | 计划 人数 最高分 最低分 II 最勺分低数分 录取最低 平均分 平 勹 均 分 分 数
线差值 线差值
2022 10 10 509 494 49 48998 499. 2 54、2
I 湖南人文科技学院
,I 厂 2025 1 1 12 2 1 1 4 2 5 5 4 4 4 4 厂 4 4竺8 7 8 3 二「 I 7 8 34 9 6 4 6 2 1 3 i I 5 s1 3 8 8 . 9 7 5 7 2 3 . 9 7
4685 71
湖南人文科技学院(较高收费专业)
!厂 ^22如
022
2 2 491 43 54646 i 489, 5 44, 5
II 3 3 519 s16 I 50 51641 I 517 51
i
i 2020 4 4 536 507 ; 42 57786 1 5 1 8 8 53 8
吉首大学 !I广 2022 10 10 526 515 I 70 31505 I s1s. 1 73 7
4690 I ,! 2021 10 12 562 533 ! 67 厂232芒78 二i 85. 8
! 2020 10 IO 558 554 ! 89 555; 8 90
i广 2022 12 12 523 512 67 338 1 8 i 5 15 9 70 9
}
4705 iI 湖南城市学院 2021 11 12 553 545 79 30649 1 548 3 82. 3
I 2020 11 13 555 543 78 30010 i 544 7 79. 7
5 5 509 470 25 12970 I 496 6 51 6
~』,邵-咖阳学院 III 22002212
- 4 7 - lO i 2020 5 5 5 6 5 53 3 7 8 5 53 2 - 91— 』II_ _66_54 _ , 4 3 0 9 1 7 5 8 7 2 ,i I 53 5 2 3 . 4 5 67 6 . 8 5
2022 6 6 516 510 I 65 35431 i 512. 7 67. 7
4715 湘南学院 , 2021 6 8 547 527 ! 61 43003 I 537. 5 71. 5
丁`i I _220_0_222 厂 0
_ 4
8 l
4
O 5
5
5
1
5
6
尸·”-54- 46393- +II! - ”-7284 - -一· E
7
3-
4
0-
0
0
6
1-0
2
4! .-5
4
-
8
4
4
7
.
.- 6
5
-
3
82
9
.
5
6
I湖 南工程学院
4725 4 4 548 540 74 33915 ! 543, 8 77 8
}}
I 2020 4 4 548 544 i 79 29350 I 54s. 5 80. 5
I 湖南文理学院 2022 8 8 527 445 。 100131 I 488. 3 43. 3
4750 !I 2021 8 8 559 553 87 25s61 I 555. 6 89. 6
2020 9 9 558 552 I 87 24442 I ss4 1 89. l
衡阳师范学院 2022 9 9 527 -s21- --t-I -76 27264 寸i- 522. 8 ~` 77. 8
4755 II 2021 9 9 559 553 87 25867 555, I 89. 1
I 2020 9 9 560 550 85 25620 i 552 l 87 I
I 2022 13 13 524 505 60 39414 ! 510 5 65. 5
4760 Ii 「不化学院 I 2021 10 10 542 533 67 38698 ! 536 I 70. I
2020 7 8 540 532 67 37527 535. 6 70. 6
4770 I 湖南理丁学院 2020 I 1 556 S56 91 22os7 I 556 91
26 26 516 499 54 44536 504. 8 59. 8
一湖五南一邑女f学院 [三 26 26 547 528 62 42273 534, 9 68 9
|l~,-:, - l4 .,.. — -870,-+|,! - ---1!|. 2O22 2 l 5 2 1 5 5 53 4 5 4 5 5 2 3 8 5 i 9 63 0 4 1 0 8 4 7 9 9 6 2 I s3 5 2 3 . 5 4 67 9 . 0 4
大学 ! 2021 I 1 559 S59 93 22467 559 93
`I'I ' 22002220 1 l 0 IO l 5 5 5 2 9 6 尸·5552 2 9 上 i I --9774 - -- 尸 2 2- 6 —0 5 5 8 t6 9 - -.II十 - 5 5- 2 59 4 - 9 79 4
4790 长沙学院 iiI 如202五1 12 12 565 554 88 2530 558 3 92. 3
9 9 560 556 91 22087 556 9 91. 9
::479。5 I丿东金二融学院 ! :! 22002212 , 一 2 l 6 6 2 1 8 9 5 5 3 84 5 5 5 2 5 5 0 8 8 0 4 2 2 4 7 6 6 9 2 5 2 i 5 5 2 6 8 0 . . 9 I 9 8 4 3 9 I
I 2020 5 7 576 566 101 16955 569 4 104. 4
化丁学院 !尸 ,2022— lO 卫_- -LI 一产I___ 496 51 47205 5()7, 9 62. 9
2020 8 9 553 543 78 30010 546. 2 81 2
革』三 6 — 6 _Il. .5-35 ·— 526 81 -2243—0576_35_ J,iI- 5s2s99.. 22 - 一 84, 2
2022 6 6 566 557 91 93 2
6 6 1 565 555 90 22667 558 5 93 5
一,% 4 4 560 556 90 24136 558 92
4830 广东化科大学 2020 7 7 559 555 ,一~90 22667 556 6 91 6
2022 2 2 531 530 85 I 2163s 530. 5 85 5
4840 广东第二师范学院 2021 6 I 7 i 566 561 95 1 21385 563. 3 97. 3
--- _, --- - ---------- --- - 2 20 0 2 2 2 0 -尸· 2 6 I 6 lI _ s 沪 6尸1 _ l I1 I_ 5 气 5 9 尸 6 9 5 4 I 3 2 5 0 4 5 3 1 1 6 559. 7 94 7
4845 韶关学院 ! /:6_ I 536 53] 65 40157 555331331... 55s - I!! — 666-768..- . 55s- —
二2020
I I I n6 20 549 527 62 41219.
二、2020一2022年河南省普通高校招生本科二批录取情况统计表(文科) 173 •
录取分数统计
院校 公布 录取 最低分 平均分
院校名称 年份 录取最低
代码 计划 人数 最高分 最低分 与分数 平均分 勹分数
分位次
线差值 线差伯
2022 2 2 515 511 66 34631 513 68
4850 忠川于阮 2ll2) I 4 4 555 521 55 47608 542. 8 76 8
2020 12 12 551 546 81 28075 547. 8 82. 8
2022 2 6 516 500 55 43646 506. 5 61. 5
4855 韩山师范学院 2021 6 18 540 528 62 42273 532. 4 66. 4
2020 4 4 542 529 64 39782 534 69
2022' 7 7 1 s30 520 75 27943 :>23.3 78 3
岭南帅泣学院 2021 I 8 10 554 548 82 28836 551.6 85. 6
4860
2020 I 4 8 554 548 83 26807 549. 6 84. 6
岭南师范学院(较的收费专业) 2022 3 3 493 464 19 79496 477. 7 32. 7
2022 18 18 517 486 41 56565 500. 1 55. 1
4865 责应学院 2021 10 10 539 534 68 七'、3;C,8026 536. 3 70. 3
2020 11 ll 53§, li,0 531 66 _ 夕~ 3〉~~8~~285 533 68
2022 lL "'12 530产 ,T 523 78 ; 飞俨2和60 525. 3 80. 3
4870 广东技术师范大学 2021 T1'?夕 12 577 556 90;; 24136 559. 8 93. 8
2020 10 12 559 555 90 22667 556. 8 91. 8
2O22 20 26 522 511 66 34631 514. 3 69. 3
487
\
5
编一L
\飞肇庆学院'\\飞,\~
it'2
2
0
0
2
21
0
,5
5
0 ,'虚, 5
5
2
5
5
4
5
2
2
5
5
3
4
9
0
I
{
7
7
4
4
3
3
2
3
5
9
9
1
3
5
5
54
4
3
0
.
. 6
8
7
7
5
7
,
.
6
8
飞
4880' \'\ \_ 广东财经大学飞 2020 8 8 585 570 105 15089 575. 4 110 4
\飞 \ t 、,甚 2022 4 4 552 532 1 87 20478 538 93
4885 广东警官学院 2021 2 2 563 562 96 20879 562. 5 96. 5
2020 2 2 563 559 94 20516 561 96
2022 29 29 543 528 83 22832 534. 3 89 3
4915 广四师范大学 2021 30 30 581 561 95 21385, 567. 2 101.2
2020 22 22 569 560 95 19958 563. 6 98 6
2022 3 3 508 48() 35 62599 498 53
4920 广西科技大学 2021 2 3 545 533 67 38698 541 75
2020 4 4 550 542 77 30668 544. 8 79. 8
2021 18 19 565 556 90 24136 558. 5 92. 5
4925 柱林电了科技大学 2020 19 19 564 555 90 22667`- -.t" 557. 1 92 1
2022 18 l 8 532 517 72 30019 520. 9 75. 9
4930 杜林埋工大学 2021 18 I 8 556 547 81 29417 551.9 85 9
2020 28 28 557 549 84 26203 551. 2 86. 2
4945 桂林医学院 2020 2 2 543 540 75 31965 541.5 76.5
2022 5 5 531 524 79 25322 52(5,夕 81
『、内中[';芍大学 2021 4 4 550 匕cSl5 4!)1 52443 537. 8 73 l. 8
4950 2020 4 4 55趴 5
"
58- 93 三 21036 55./8~. 5- ~ 归9J,3 5
2021 1 !, J贮l 5B飞 513 47 知68 513 47
广西中医药人学(较高收费专业)
2020 1 1 509 509 44 55983 509 44
2022 I : 1.2 12 530 525 80 24695 527 82
4955 他人学1 \\ , 了 '\):'`} ,1\ ' ', \ 2 2 0 0 2 2 0 l 1 12 4 夕 ' - , : 飞 , l 1 2 4 5 56 5 1 6 5 5 5 5 4 2 8 88 7 2 2 5 4 3 4 0 4 1 2 5 55 5 4 6 . . 1 8 8 9 9 0. . 8 1
,i ,; :' .勹, 'l, ~_, I\` 2022 25 25 508 4归 48 49917 495. 3 50 3
4960 玉林师范手院 I- 2 · 0 妞妞 2 奴 1 · 一·— 20 20 530 518 52 49952 522. 5 56.5
2020 20 20 535 520 55 46713 523. 8 58. 8
2022 19 19 540 519 74 28595 522. 7 77. 7
4965 广四民侂大学 2021 22 22 559 28244 553. 6 87 G "
芦55书27 勹
2020 11 12 557 26203 552. 2 87. 2
1' 83
2022 3 3 500 50820 496 51
4970 梧州学院 2021 8 8 534 6] 43003 530. l 64.1
2020 9 9 529 522 57 45097 525. 7 60. 7
2022 8 8 527 518 73 29283 520. 5 75. 5
),四财气悍院 2021 12 l2 552 547 81 一厂 83. 3
4975 , 2020 11 11 ! 555 546- 千1 81 2298401775 iIj 5554 059 61... 36 86. 6
)四财经学院(较高收四t,,II) 2022 3 3 j 508 5_50115_ I 1i 651() 39414 7 61 7
2021 3 3 548 50796 531 65· 174 · 第三章录取统计
§!
院校 公布 求取 丿,::·-Piif 平二/`
代码 院校名称 年份 i i 划 `, 人数
厂1::
海南热带冯洋宁阮 559 534 68 I,so26 542 76
:勹—勹 561 539 74 ! 32593 543 8 78 8
5000
494 482 37 I 60563 487, 2 42 2
——气
向南热带向洋学院(较,飞收费专业) 厂勹 l 9 1 I 9 527 501 35 —] 64631l0230 514. 2 48 2
2020 I 9 : 9 531 501 36 515 50
2 三 022 飞- l9 ~ } 19 5 5 2 6 7 3 三 496 二 三 5] i 4 4 7 8 2 4 0 2 5 0 515, 6 70. 6
5005 I 海南医学院 18- 552. 2 86 2
2020 I l5 1~5 558 550 85/ 55飞.l 88 I
2022 I 8 528 512 67 33818 521. 3 76 3
向南帅范入学 /巴上 8 1 8 569 560 94 21943 564 4 98 4
5010
三2020. iI 58 勹i 9 +I 550674 I 正559 /I -94 tI 520(5沁16o
f-一
5
一
61 8
. .一
9G 8
498、3 53 3
问南帅范大、,气较的收费专业) 矗2021 勹I s i 厂7 I 五5542 飞I 52834 一I 厂57/ I丁 461二01 ,51258 1 62. 1
3 50 3 -
2022 I 14 ! 14 I 532 I 519 I 74 I 28595 I 525.1 I 80.l
503O I 重庆了峡学院 2021 iI 12 I 12 I 558 I 554 I 88 I 25301 I 555.5 I 89.5
I
2020 | 17 17 561 550 85 | 25620 552 8 87 8
2022 17 17 541 530 85 21635 533. 2 88. 2
5035 1 重庆则1人学 95 21385 565, 8 99. 8
二/ 100 17463 567 3 102. 3
72 i 30019 5 .. 2 . 4. 6 79. 6
5040' 币仄第_帅范学院 89 1 24689 558 92
87 24442 554, 5 89. 5
重庆第 师也学院(较高收费专亚) 48
十··一一 .-+ .一
/ / / / 一二
5045 长江帅范学院
I, ^
soso I 币庆义理学院 23563 558. 8 92. 8
:I:
言[ ::: :::三:二 』556. 4 91
9
.
8
4
13 04864
5055 I 车队师池大学
2020 iI 5 I s I 581 I 565 I 100 I 17463
2022 I 5 I 5 I 513 I 506 I 61 I 38592
5085 I 睾枝花学院 2021 I 3 I 3 I 546 I 535 I 69 I 37377 539. 7 73. 7
飞; 44 三7
537 72 33976 541. 8 76. 8
2022 ! 15 I 15 I 533 I 510 I 65 I 35431 524. 3 79.1
I
5105 I 四川轻化L人学 2021 s 8 I. 565 I 559 ; 93 I 22467 562. 3 96. 3
]
8 23278 558. 5 93. S
1-~ -
13 34631 513. :6 68. 6
三/
5120 i 绵阳师也学院 12 :飞3::9l5 I 三 542. 1 ! --76 l-
12 74. 4
12 I 69. 2
5125 乐山帅范千院 4 32574 542. 8 76. 8
5 75 I 31965 i 542. 2 I 77. 2
7二2 三/
I rJ,JiT师池午院 10 522 /
f-51-30 -i 25 548 539 I 73 I 34627 j 541. 6 1. 75. 6
2020 I 3 I 3 I 538 I 537
5/三
2022 6 : -
5140 I 宜宾学院 2021 I 8 』二 533 三
2020 I 9 I 9 : 552 I 532
2022 3 3 厂 , 石) 503
5145 I 世l1开学院 2021 I 2 I 2 ,I 530 I 530
2020 I s I s i s23 I s20.
二、2020-2022年河南省普通高校招生本科二批录取情况统计表(文科) 175 •
录取分数统计
院校 公布 录取 最低分 平均分
院校名称 年份 录取最低
代码 计划 人数 最高分 最低分 与分数 平均分 与分数
分位次
线差值 线差值
贵州师范大学 2022 6 6 505 490 45 52692 496.3 51. 3
5170 2021 6 6 532 477 11 85681 512.2 46.2
贵州师范大学(较高收费专业)
2020 2 2 537 536 71 34661 536.5 71. 5
2022 6 6 527 523 78 25960 524. 3 79.3
5185 贵州中医药大学 2021 6 6 557 532 66 39426 544.8 78. 8
2020 4 4 560 558 93 21036 559. 3 94. 3
2022 3 3 525 517 72 30019 520.3 75.3
5190 遵义医科大学 2021 3 3 556 550 84 27622 552. 7 86. 7
2020 3 3 550 542 77 30668 545 80
2022 5 5 506 496 51 47205 499.2 54.2
5200 黔南民族师范学院 2021 8 8 539 520 产;` 541 。 524. l 58.1
2020 坛 52 4 518.2 53.2
2022 `俨贮劝7 26589 525.6 80.6
贵州财经大学 2021 己、5勾iIU4夕飞9七9--52 526.9 60. 9
5205
了迈 74425 519. 4 54.4
二勹 55 43646 504.8 59. 8
6丸\订\{;)·•.'夕 516 5f17 62 37767 510.3 65. 3
罕勹5 5 542 537 71 36000 539.2 73.2
呼伈
5 5 547 532 67 37527 536 71
523如 昆明埋工大学(较高收费专业)尸 2020 6 6 557 549 84 26203 553 88
,_才[兮名瑾七\浓,,'~s今,t仁业大2如,学立夕已 2022 6 6 523 516 71 30778 519.5 74.5
飞 2021 3 3 556 535 69 37377 546. 7 80. 7
2020 6 6 554 548 83 26807 550. 3 85.3
5235
2022 2 2 513 513 68 32998 513 68
云南衣业大学(较高收费专业) 2021 2 2 542 539 73 34627 5心.5 74. 5
2020 2 2 536 533 68 36818 534. 5 69. 5
2022 20 20 544 531 86 21061 535.2 90.2
云南师范大学 2021 18 18 584 566 100 18908 570.2 104.2
5240
2020 17 17 574 552 87 24442 562.2 97.2
云南师范大学(较高收费专业) 2022 4 4 526 523 78 25960 524.5 79.5
2022 18 18 528 519 74 28595 522. 1 77.1
5245 大理大学 2021 18 18 562 551 85 27046 555.1 89. 1
2020 22 22 557 551
2022 17 17 534 517 韬
5250 西南林业大学 2021 16 16 566 556
2020 15 15
享5叨5己8 ;尸
享
:南中m玩 §屠迁
5260 劝4飞言边沁 559. 6 93. 6
5呤皂 由飞4 26203 555. 6 90. 6
位,妇:宅5,1从_U 总''4入一76 31 66739 497. 6 52. 6
靖师范学气\\』\《三肛r言昙'" 飞`,\\芯\只 名啤0 t'卢讳切, '
5265 ]-'!` 543 529 63 41562 535. 7 69. 7
,!, I \ 20
545 533 68 36818 535. 8 70. 8
玉溪师范学院,,已g 一1一; 夕 心心飞沪; 2S匕022 8 8 509 504 59 40236 506 61
5270 2021 8 8 544 532 66 39426 536. 8 70. 8
2020 8 8 543 532 67 37527 534.5 69.5
2022 3 3 498 492 47 50820 495.3 50.3
5275 楚雄师范学院
2020 3 3 527 518 53 48340 522. 7 57. 7
2022 28 28 549 524 79 25322 529.3 84. 3
5280 云南财经大学 2021 30 30 578 559 93 22467 563.5 'J7. 5
2020 28 28 567 553 88 23819 560. 3 95.3
2022 14 14 536 523 78 25960 527. 3 82. 3
5285 云南民族大学 2021 14 14 563 557 91 23563 I 560.2 94.2
2020 14 14 559 555 90 .22667 556.5 91. 5
2022 33 33 548 526 81 24075 529. 7 84. 7
5300 西藏大学 2021 18 18 579 559 93 22467 563.4 97.4
2020 31 31 570 552 87 24442 557. 5 92.5· 176 · 第三章 录取统计
I
录取分数统计
勹 I 飞 1 贮分:最低分 1 最低分 1录取最低工均分 平均分
胪校
f】飞 r码 院校名称 ~ 年份
勹分数, 与分数
I 分位次
1 线差值』 线差值
l I
2022 I 56 II 56 I 530 I s16 I 71 I 3ons II s19. 2 I 74. 2
5310 I 西藏民肤大学 202 l I 35 j 35 I 560 j 542 76 I 32574 I 546. 3 I so. 3
202() 1 35 1 35 558 534 69 1I 36096 I 539. 8 I 74. 8
2022 7 I 7 I 491 I 487 I 42 I 55616 I 489 I 44
5315 I 西藏农牧学院 2021 i 4 }I —4 -— 竺 - 丁严」二二三068 - 516 竺
524 I 511 I 46 i 54267 I 515. 8 I 50. 8
—-.- -1--202 - 2 I1 — - 16 - I 21 534 i 512 I 67 ! 3飞818 I 527. 4 I 82. 4
5330 !延安大学 202l'I 18 19 56_5__ 556 90, 24136 557 3 9l 3
_ ` 2020- i 1s +I - 1s- —I _55_9 - 1 I _ 555 _ I _ 90 _ _1i 2-2667 I s-s6.4 I 9-1 .4
2022 I 25 i 32 I 524 i 506 I 61 i 38592 I 512. 9 I 67. 9
11坎西学前师范学院 1 五五 厂百§15 2三-
5335 21 | 21 1 554J_ 540 74 543 3
2020 i 23 ! 23 I 550 I 537 I n I 33976 I 541 I 76
2022 i ~~二伍,飞
i. -
5340 I 宝鸡文理学院 竺 55]'i427632574 545 6 79. 6
2020 I 6 i 6 I 551 I 543 I 78 i 30010 I 545.s I 80.s
2022 I ! 3 II 3 I -- 5 26 - I -5 25 - I - 80 - -_ I _ 24 _ 69 5 I 52 - 5 — . 7 I 80. 7
5345 I 陕西狸「大学 2021 ! 6 i; 6一 I" s6o I 556 I 90 I 2413^ 6 一一I - 557 I 91
2020 I , 6 I 6 I sss I ss1 I 86 I 25030 I 552.3 I 87.3
I陕西中区药大学— -1五20/了『 6- -55了飞一一五归 5工 订了
5375 I-56-;- I
2022 ! —-20 i 20 I 519 +I 5 11 I 66 I 34631 I 514.7 I 69.7
沁o I 渭南师池学院 -- i - -
1 2021 1 14 1 14 554 t-540 74 33915 543 3 77 3
2020 !; 17 i 1170 I 539 I 531 66 18285 5334 684
2022 I 10 522 I 517 I 72 : 30019 I 519.2 I 74.2
,咸阳帅范学院 2021, 14 I 1 . 4 ----- I · 5 - 57 _,.... I . 5 - 47 ---- I 一8"1^ ”I 2^9417 I 550.8 I 84.8
5385
`勹/\三::
勹面范学记/较``五\II,了
5390 !西安财经人学 2021 I 2 ! 2 I 56! I 560 +i 94 ! 21943 I 560. s I 94. s
二 2020 2 I 2 I - 565 I - 5 64 ! 9 - 9 - I - 179 - 5 9 I 564. - s I - 一 99 一 . 5 一
2022 ! 6 I 6 I 528 I 524 I 79 I 25322 I 525. 7 I 80. 7
5395 I 西安文即学院 2021 I 8 I 8 I 564 I 556 : 90 I 24136 I 559.8 I 93.8
56飞 552 ! 87 I 24442 I 554. 4 I 89. 4
尸° 66-00-8 尸
517 511 34631 512, 8 67. 8
5405 甘肃农业大学 543 466 96112 5 19嘈5 1 53. 5
548 545 28679 546. 7 81. 7
2022 18-16-19_198-7-1 620 5 _ 3 9 0 - 7-22_9 5 07 i 62 37767 521. J 76. I
5410 I 西北帅范大学 勹1 2021 573 558 92 22987 561. 6 95. 6
577 557 92 21554 559. 5 94. 5
厂三一
2022 533 516 71 30778 S24. 4 79. 4
s41s I 飞州交通大学 2021 564 557 91 23'i63 559. 9 93, 9
!
2020 21 563 557 92 I 21554 ! 559矗7 I 94. 7
9
2022 517 508 63 36969 5 1I . 8 66 8
5420 i 甘肃中医药大吁 2021 542 537 71 飞6000 I 519. 5 I Tl, 5
—:』~: 尸—-——
2020 523 506 41 I 58638 I 513.3 I 48.3
: I/ 510 504 59 I 40236 I 507. 4 I 62. 4
I 天水帅池学院 卜二 I -
5430 产 2-212-1- 5 5 2 2 4 -3 8 l 6 -16-18 5 5 2 2 -4 8 8 -6 一 6 6 一 2 飞 · I •• • 4 4 2 0 - 2 4 - 7 9 3 6 - I ! ! - ··5 · 3 5 3 2u - . 8 9 I I u - C> 6 7 3 . - 9
5435 I 河西学院 2 20 0 2 2 1 2 1 1 1 2 - 5 5 0 2 3 9 - 5 4 2 9 1 3 -5 4 5 8 ``I “4 4 `7 9- 6 9 0 l 8 7 "、4! i 一 5 4 2 9 " 3 6 . . 9 . 8 I 5 5 7 1 . 8 9
2020 1
2石
530 521 气74 i ~523. 8 58 8
2022 2 77 lI 2256358(9五 .II 飞52556. 28 -·I 矶80). 2
3 T
勹州财绎人学 2021 6 561 554 f--- 8S- ! 8
2020 - 562 555 90 i 22667 I 557. 3 I 92. 3
5450 1
6 523 5]8 73 29283 521. 3 76. 3
'川财经大学(较的收费七业) 2021二- 559 548 82 288j6 551 85
202O l 1 4 4 547 543 78 30010 544. 3 79. 3
8
-
4二、2020一2022年河南省普通高校招生本科二批录取情况统计表(文科) · 177 ·
录取分数统计
兰 1 院校名称 年份 公布 录取 最低分 录取最低 平均分
计划 人数 最高分 最低分 与分数 平均分 与分数
分位次
线差值 线差值
2022 16 17 533 516 71 30778 526.6 81. 6
5455 I 甘肃政法大学 2021 9 9 572 554 88 · 25301 560.6 94.6
2020 7 7 557 556 91 22087 556. 7 91. 7
2022 10 10 530 518 73 29283 521 76
5465 I 青海师范大学 2021 15 15 563 517 51 50796 546.6 80, 6
2020 10 10 552 546 81 28075 547. 8 82. 8
2022 12 12 517 511 66 34631 513. 9 68. 9
5475 J 青海民族大学 2021 16 16 541 531 65 40157 535.3 69.3
2020 8 8 541 528 63 40496 535. 6 70.6
2022 35 35 529 519.5 74.5
5490 I 防灾科技学院 2021 33 6 551.5 85.5
2020 35 。 545. 9 80.9
492.9 47.9
5495 I 呼伦贝尔学院 518. 5 52. 5
e5. 1
丫\ ·尸 50004 516. 9 51. 9
_\.七-正飞'499
54 44536 503.5 58. 5
521 55 47608 527, 9 61. 9
512 47 53447 520 55
釭吐. 二`20-22 20 20 498 485 40 57598 489.1 44.1
2021 20 20 519 502 36 63254 506.5 40. 5
2020 6 6 521 493 28 70609 511.2 46.2
2022 84 84 530 497 52 46291 515. 1 70.1
5505 I 新疆师范大学 2021 75 75 559 541 75 33219 547.1 81. 1
2020 93 108 561 534 69 36096 539.3 74.3
2022 219 228 509 489 44 53630 492.1 · 47.1
5510 I 喀什大学 2021 205 207 541 516 50 51641 518. 6 52.6
2020 169 110 546 513 48 52560 · 515. 9 50.9
2022 105 105 500 488 43 54646 490.2 45.2
5515 I 昌吉学院 2021 110 110 525 513 47 54068 515. 5 49.5
2020 105 105 .518 511 46 54267 513.2 48.2
2022 127 127 510 491 46 51788 495.5 50.5
5520 I 伊犁师范大学 2021 73 73 535 518 52 49952 520. 6 54.6
20加 102 102 531 514 49
2022 56 56 526
5525 I新疆财经大学 2021 48 48
2020
5530 I河池学院 53夕L\,〉;;lf9f8互 520.3 54.3
归52 49174 518 53
\ C K 4~才?96 51 47205 498.3 53.3
5535 I 贺州学院 吓\髻\言尸\\ 519 53 49184 521.4 55.4
520 517 52 49174 518 53
28 508 501 56 42740 503. 8 58. 8
5540 I 四川文理学院勹`叮\贮 I 2021 I 11 11 540 519 53 49184 533.5 67.5
10 10 553 528 63 40496 532. 7 67. 7
2022 6 6 499 478 33 64636 487.5 42.5
5545 I 安顺学院 2021 4 4 527 522 56 46841 524.3 58.3
2020 5 5 535 518 53 48340 522.2 57.2
2022 2 2 526 524 79 25322 525 80
5550 I 云南警官学院 2021 2 2 556 553 87 25867 554.5 88.5
2020 2 2 549 548 83 26807 548.5 83.5
2022 14 14 519 512 67 33818 515.2 70.2
5560 I 昆明学院 2021 12 12 553 543 77 31926 546,8 80.8
2020 12 12 550 546 81 28075 547. 7 82. 7· 178 · 第三章录取统计
录取分数统计
院校 公布 录取 最低分 平均分
院校名称 年份 录取最低
代码 计划 人数 最高分 最低分 与分数 平均分 与分数
分位次
线差值 线差值
2022 16 16 510 496 51 47205 503. 9 58. 9
5565 福建技术师范学院 2021 26 26 546 526 60 43777 530. 8 64. 8
2020 10 10 535 517 52 49174 526.5 61. 5
2022 23 23 533 524 79 25322 526, 7 81. 7
厦门理工学院 2021 23 23 568 555 89 24689 560. 4 94.4.
2020 22 22 567 559 94 20516 561. 3 96. 3
2022 10 10 525 516 71 30778 518. 7 73. 7
5570 厦门理工学院(较高收费专业) 2021 10 10 555 546 80 30047 549. 3 83.3
2020 8 8 552 532 67 37527 541. 4 76.4
2022 6 6 524 519 74 28595 521. 5 76. 5
厦门理工学院(单列专业) 2021 6 6 :5 ; 65 551. 85 六飞,俨~2 ~-~` 7 “~ 046 557. 2 91. 2
2020 6 6 5 5 8,`` 548 83 '~`.~ ~了~L 八 •~~ ~ 2二6807 554, 5 89. 5
I>
2022 24 言24 485 买 40 57598 503. 2 58. 2
三明学院 2021 l9 5413 I/ 535 一七~ 6、9. ~ ~ ~~ 3二73}77 538. 7 72. 7
2O20 -28 53,,5,, 70 35387 538 73
5575
三...明一学,院(较\高收费···专妇汗业,仁) ..;必',·.·`·.,心·;了..宁.衮-',节咖` ~ ~~二2心0六飞、J龙- 5 5 1 \~ 497斗` -488 43 54646 491 46
\ ,.. . .. 2021 16 S \16冬. s 518 506 40 59906 510 44
2020 8 8 513 496 31 67788 504. 6 39. 6
558 ', \ 已 \ 了 ,;\\, \`,` ,已 ~ ~一\龙iI,' 岩勹夕~学1,I -了~' - -- 院i -,,', ' ~尸/ 11 2尸0?22 29 29 509 492 47 50820 501. 7 56. 7
2021 28 28 547 527 61 43003 534.1 68. I
心~ 仁· 尸七 202Q 35 35 546 533 68 36818 536. l 71.1
!,\'_:
2022 17 17 507 481 36 61568 493. 9 48. 9
5585 红河学院 2021 22 22 528 521 55 47608 523. 3 57. 3
2020 20 20 528 519 54 47502 521. 5 56. 5
2022 15 15 537 526 8i 24075 531. 9 86, 9
5605 上海商学院 2021 15 15 578 564 98 19891 567. 6 101. 6
2020 16 16 571 563 98 18448 566. 4 101. 4
2022 6 6 498 491 46 51788 494, 5 49.5
5615 陇东学院 2021 4 4 526 521 55 47608 523 57
2020 4 4 519 514 49 51662 515. 5 50. 5
2022 15 25 525 500 55 43646 514. 3 69. 3
5620 西安医学院 2021 11 20 552 542 76 32574 548. I 82. 1
2020 4 4 557 544 79 29350 550,5 85. 5
2022 10 10 508 500 55 43646 50飞2./.8..` .. ...• •. 义 57. 8
5625 安康学院 2021 8 8 536 527 6l 43邸; ,~,529,'\8, ~今' 63. 8
2020 6 6 538 527 62 4l219~ 530. 7 _.65. 7
2022 4 494 49' 48998 1 496 51
5630 贵州工程应用技术学院 2021 ',4 三 519 53 .~4 \91矗;8,4 519. 5 53. 5
-\ 2022 578 581 537 518 73 29283 521 5 ] 76 5
南阳师范学院 2021 597 603 563 543 iI 77 31926 547 81
2020 664 675 558 536 71 34661 541 76
2022 70 70 508 493 48 49917 496 2 51. 2
6070 南阳师范学院(异地校区) 2021 70 70 538 518 52 49952 520. 9 54. 9
2020 70 70 538 512 47 53447 515 I 50. l
2022 9 4 496 479 34 63579 486 41
南阳师范学院(定向招生) 2021 9 1 505 505 39 60750 505 39
2020 8 8 510 496 31 67788 503. 8 38. 8
南阳师范学院(中外合作办学) 2020 100 104 517 497 32 66799 502. 4 37.4
6072 南阳师范学院(中外合作办学,较高收
2020 15 15 504 479 14 84136 490. 1 25. l
费专业) ;
'
2022 479 486 522 496 51 47205 5贮 57
6075 南阳理丁学院 202l 299 311 577 522 69. 1
归
2020 309 309 548 ! 533 71. 1
2021 120 120 536 512 49, 1
6078 南阳埋丁学院(中外合作办学)
-- ' 2020 159 l60 506 45. 1
南阳理工学院(与南阳医学高等专科 2022 ,, 25 五习2,5芸 "531 516 71 ~\ r \' ',初节8 521. 8 76. 8
6079 学 学校 校 ) 联办,就读在南阳 ' 医 ' 学高 , 等专科\ I ` ' : \ 2 { 2, 0 O 2 20 1 1,1 2 2 5 0 2 2 5 0 5 5 5 5 7 8 \ \ - r. \K 了, j r5 54 4 \ 7 7 \ '. 8 8 1 2 2 2 9 7 4 4 1 3 7 6 5 5 5 5 1 1 . . 2 6 8 85 6 . . 2 6
,2022 110 110 531 515 70 31505 523. 1 78. 1
河南财经政)法大\学(\与俄罗斯人民友
6082 谊大学合办 S \~ } \,,., \ : \ 加 2比02 2l 0 5 55 6 5 55 6 5 5 6 6 5 2 5 5 5 5 7 4 9 8 1 9 2 2 3 3 5 2 6 7 3 8 5 5 5 5 9 6 . . 5 1 9 9 3 1 . . 5 l
河南财经政,就法读大4在学r了河"《(南与已}气编检\河;t察会南\职省业心-`人学民院捡 2022 75 81 536 515 70 31505 528 83
6083 ' 2021 98 98 582 556 90 24136 559 1 93. 1
察院联办 )
2020 98 98 566 552 87 24442 554. 8 89 8
2022 60 60 528 515 70 31505 519. 2 74, 2
6087 华北水利水,就电读大在学河(南与经河贸南职经业贸学职院业 ! 2021 60 60 559 546 80 30047 550, 5 84, 5
学院联办 )
2020 60 65 556 542 77 30668 545. 8 80. 8
2022 480 480 529 469 24 74062 497. 6 52. 6
河南科技大学(与三门峡市政府联办
6088 2021 40 40 556 540 74 33915 545. 1 79, 1
应用工程学院,就读地在三门峡)
2020 40 40 555 535 70 35387 541. 5 76. 5
2021 75 76 561 550 84 27622 553. 5 87.5
6090 郑州航空工业管理学院
2020 68 70 560 547 82 27436 552. 3 87. 3• 182 · 第三章录取统计
录取分数统计
院校
代码 院校名称 年份 1~1 灯 1 最高分 1 最低分 1 霉 1勺笠I 平均分 Ii霖
线差值 线差值
1 ::
严芦罕芦丁二 I ::: I : I :;: I ::: ::;
:; 1 ::::; 1
6098 华北水利水电大学(与嵩山少林武术
职业学院联办,就读地详见专业说明, I 2021 I 210 I 21s I 551 I 515 49 I 52443 I 522. 1 I 56. 1
较高收费专业)
123-134-114293-7-123-440-1 55365-7-526-24-05 594-59444-5-54452-5 394-5920-7-5917-7 4-54-52
2022 48998 517.4 巴
6107 I 河南工业大学(中外合作办学) 2021 30649 549. 7 8
2020 32593 543. 8 3
昙
6108 I 河河工南学工院业,大归学地(在与漂漂河河)市政府合办漂 巨 2021 48420 524.1 -
49174 521. 9
6113 郑州轻工业大学(中外合作办学) 2020 I 120 I 120 I 548 I 531 11,, 66归;;;邹285 536. 8 77
2022 I 52 I 54 I 538"1 吐 52总气矿 81 哀奇砂75 529.2 18
6115 I 中原工学院 2O21 60 毁归3 56归芦554辜;气88 25301 557.3
2020 夕,罗长 5钜妇 56f勹 555 产的、为,心2667 557.6 昙-
丑怓苞凳 2甘气'543 巩令,528叭守 62它 42273 532.4 a
6119 I , 中 中原 原 工 工 学 学 院 院 t ( 中 中 外 外 合 合 痄 作 加 办 片 一 学 , ) 产 异地 艾 校 ;; 区 , 秃 ; 沁 孚 笠姻 攷动 泣气' 33多 , ';砫; 2 j 2 gl ' ' , 'I i ' ' 5 5 3 5 g 6 f K I ' ,少 4 s 6 2 9 6 I I 6 4 1 I I 9 4 4 1 1 9 1 43 8 I I 5 52 0 9 7 . . 7 s 声9 6 4
|『/了,心,飞,艺`住,一 ”-,2位2O',112 115 5l7 498 53 45402 502.4 -15
61如正袒鲤婪令 `
\ \ ;,卢~ \ `了\
尸
\,
`
卢&
了
乒心
,气k 2021284 289 543 523 57 46l01 528 672
了节古 2020 I 302 I 304 I 543 I 523 I 58 I 44287 I 526 61
t-互认,,.产'>,"主', 王 I 2022 I 933 I 947 I 518 I 497 I 52 I 46291 I 500.1 55.1
,丹“$平'i顶亡`山讫学院
2021 939 941 543 521 55 47608 524.9 58. 9
2020 I 867 I 884 I 558 I 520 I 55 I 46713 I 523. 2 58.2
6125
2022 I 83 I. 83 I 507 I 494 I 49 I 48998 I 497. 2 52.2
平顶山学院(护理专业) 2021 I 77 I 77 1. 542 I 519 I 53 I 49184 I. 521. 8 I 55. 8
2020 I 59 I 59 I 547 I 515 I 50 I 50859 I 519. 4 I 54. 4
6127 I 平顶山学院(中外合作办学) 2020 I 140 I 140 I 522 I 496 I 31 I 67788 I 502. 1 I 37. 1
2022 I 865 I 869 I 499 I 474 I 29 I 68793 I 482. 3 I 37. 3
6130 I 黄河科技学院 2021 I 731 I 731 I 523 I 502 I 36 I 63254 I 507. 4 I 41. 4
2020 I 842 I 842 I 540 I 501 I 36 I 63123 I 505. 9 I 40. 9
2021 I 170 I 170 I 515 I 472 I 6 I 90400 I 477. 4 I 11. 4
6132 I 黄河科技学院(中外合作办学)
2020 I 160 I 160 I 506 I 468 I 3 I 95112 I 473. 8 I 8. 8
455 I 10 I 89426 I 45~.
6133 I 黄河科技学院(应用技术学院,各专业 473 7 8纽23贮 47iJ
办学地点在济源) I
80 410 ~麟 93吭o了 4741
啖宝动了心 48113产 -497.
6135 I 安阳工学院 霍' 54 歹人 48420 尺`妇闷\“|寸`57. 4
劝 妇;,\磁74 5; 3.4 58.4
L亡兰479`, 飞"'3'4· I 63579 I 483. 1 1 38. 1
I 安阳工学院(尸竺??-`t 蟋杰43 飞`43 主 泛:5l6``飞5OO
6137 ``\~O21 34 64927 504.7 38.7
I I I I I
I, 岛 ~2O20 30尸.亡孜0肖'-'I' 515 487 22 16341 491. 2 26. 2
6140 I 河南警察学院\匕产己,云''·\ 1 `;- :-:,飞\_1___I:了::':-;」`.,-__-- ',加20 飞一女双50 50 584 550 85 I 25620 I 554. 6 I 89. 6
\\ 了 _1. `一\` 一_'_一夕,r'_,,沪`2`O才22 893 900 515 493 48 I 49917 I 495. 3 I 50. 3
6145 I 信阳农林学院 L歹 `足 石, 已 , -1 . 心, ` " \ 乒 一_ 飞了- _飞, ,匕' ,七 产"- ` 守 - ':_`泛夕岁 2 2 0 02 2 1 0 I I 8 6 0 7 1 6 702-807- 5 4 4 7 5 8 4 3 0 -5 -5 0 2 7 2 - - 6 5 1 4 3 2 5 - -1 5 18 5 5- 5 -5 - 31 5 87 1 -- 1 45 - 90 5 0 3 5- 3 52 - 2 5 -4 2 5- 1 52 - 2 5 -0 2 5 4 4 - 8 9 9 45 1 9 9-3 7 5 5- 4 2 85 1-55-550- 5 5 49 2 1 -8 0 8 5 . . 0- 4 7 8 5 9-44-6 _ 5 4 3
2022 I 473 43646 502.5 立5
-
6150 I 黄淮学院 2021 I 497 45291 527.5 6 7
2020 602 46713 522.5
15-38-49 1
2022 49917 497.6
6153 I 黄淮学院(中外合作办学) 2021 52443 518.4 -
2020 55983 512. 8 5
2022 369 378 :: 36969 513.4
7
6155 I 河南工程学院 :::; 1 ::; I :: I ::: I ;; 1 二 I:$|;;:
-
5
2
-
5
2
-
4
7
-
6
8二、2020-2022年河南省普通高校招生本科二批录取情况统计表(文科) • 183 •
录取分数统计 m-68-m-77-57-a-63
院校 公布 扭
代码 院校名称 年份 计划 云低
心 最高分 最低分 分位次 平均分
线差值
680-593-60648-37-5509-37-3652-575-627177 -35-5794-75-57875-950 186-5-53469-5-53496-4 99-525-525
言 63 36969 513.2
6160 洛阳理工学院 雪 70 36701 542. 8
74 32593 542. 3
罢 54 44536 502.3
6165 新乡学院 59 44512 528. 7
60 42716 528.2
6169 洛阳理工学院(与河南机电职业学院 2020 20 20 534 508 43 56870 512.3 47.3
联办,就读在河南机电职业学院)
5 517 I 72 I 30019 I 521. 2 I 76. 2
6170 郑州师范学院 3 545 79 佥30649550 84
9 3 544 衾 79笥匼,妇50 547. 5 82.5
5 - 45g:凇 13~``如20 I 462. 3 I 11. 3
6175 郑州工业应用技术学院 溢 5 479闱卢,经泛13 浮 83858 I 484. s I 1s. s
7
嘐 65 478 __飞1江卢屯珀2 483.7 18.7
6178 芦 器 ~g 8 4 氐f \ 30- 67740 481. 3 36.3
《 ` 竺g 您 5 2 \V 461 I 16 I 82819 I 468. 9 I 23. 9
\
卢 谥1 5 6 4 488 I 22 I 75691 I 493 I 27
29 484 I 19 I 79205 I 489. 9 I 24. 9
5
言 4 四14 03 465 I o I 98090 I 480 I 15
4
6185 巴 \ 心 , ; 1 飞 · \ 茹 飞 & 仑 多 · \ - -? tAt义,if, 而 _ 匈 血 5 g 泗 严 矗 5 5 1 5 9 2 4 4 4 9 6 8 1 5 8 I I I 2 2 2 5 3 0 I I I 7 7 7 3 8 5 0 3 3 8 2 5 8 4 0 I I I 4 4 4 9 7 9 4 3 7 . . . 4 7 8 I I I 3 2 2 9 8 1 . . . 4 8 7
詈 函 5 469 I 24 I 74062 I 478. 5 I 33. 5
口
6195 郑州升达经贸管理学院 1 496 I 30 I 68472 I 502. 6 I 36. 6
昙 邓 7 491 I 26 I 72538 I 497.5 I.32.5
詈 叩6 6 5 462 I 17 I 81692 I 468. 2 I 23. 2
6200 商丘学院 5 9 0 481. I 15 I 82022 I 485.4 I 19.4
言
4 475 · I 10 I 88087 I ·· 480. 5 I 15. 5
0 0
罢 5 459 I 14 I 84968 I 462. 9 I 17. 9
6202 商丘学院(应用科技学院办学地点在 5 5 2 477 I 11 I 85681 I 481. 4 I 15. 4
开封) 雪 2 6 0 472 I 7 I 91034 I 476 I 11
詈 6 6 5 454 I 9 I 90557 I 459. 1 I 14. 1
6205 商丘工学院 詈 5 5 3 474 8 88448 477 4叁嘘 11.4
0
四
2
2 471 I 6 I 92吁05心9芯凳: 4? 、.,.气`念移尸夕 10
商丘工学院(护理专业) 1 5 472 §言:. 9 :了~47媳[气3.8
8 00 0 49 森翠 心~•4 95. 8 年J0.8
6214 河南工学院 5 50 2 53 "'I 491~1; ,:飞飞522`,., `江 56
g 5 5 5 55昙t妀劝\ 521. 8 56. 8
1 1 3 勺1. I 41865 I 509. 3 I 64. 3
6215 河南财政金融学院 3 66 I 39426 I 538. 8 I 72. 8
河南财经政盖
尸',
尥
,tL.-. 趴C',
咋 外合作办学) 如印;互t
8
15
8
6
5 68 I 36818 I 537. 5 I 72. 5
6222 6 I 211 I 5653 I 544 79 I 29350 I 549. 5 I 84. 5
-气,``;`i°22 l2007 12007 4845 453 8 I 91756 I 456. 7 I 11.7
6226 黄河交通学院 ''飞L它飞 飞歹 2021 I 940 I 9490 I 5514 I 473 7 I 89423 I 475. 8 I 9. 8
,,, 名饮\,飞会
2020, I 8
9
67 I 8
2
67 I 5019 I 469 4 I 94118 I 471. 7 I 6. 7
2
2022 I 545 I 551 I 5120 I 493 48 I 49917 I 496. 1 I s1. 1.
6
6250 郑州工程技术学院 2021. I 3563 I 357 I 5539 I 520 54 I 48420 · I 524.4 I 58. 4
2020 I 27g8 I 2g79 I 5618 I 521 56 45874 524. 1 59. 1
2022 I 6
8
00 I 6800 I 4889. I 453 8 I 91756 I 455. 8 I 10. 8
6304 河南科技职业大学 2021 I 470 I 4750 I 5156 I 472 6 I 90400 I 474. 8 I. 8. 8
1
2020 I 560 I 5
2
60 I 5224 I 467 2 I 96094. I 470.1 I 5.1
6398 郑州航空工业管理学院(南组彰K学院) 2021 I 205 I 25 I 5501 I 523 57 I 46101 I 531. 2 I 65. 2
2022.. · I 10g73 I 1079 I 5420 I 485 40 I 57598 I 489 I 44
河南开封科技传媒学院(原河南大学
6501 民生学院) 2021 I 9丛1 978 I 5383 I 509 43 I 57325 I 514.. 1. I 48. i
2020 I 977 I 1010 I 5446 I 511 46 I 54267 I 514. 8 I 49. 8
0
5
0
1
7
5
2
2
4
8
9
5
1
5
5
2
3· 184 · 第三章录取统计
录取分数统计
院校 公布 录取 最低分 平均分
院校名称 年份 飞取最低
代砃 计划 人数 最高分 最低分 与分数 平均分 与分数
分位次
线差值 线差值
2022 1563 1602 506 461 16 82819 482. 5 37 5
中原科技学院(原问南师范大学新联
6502 ; 2021 1124 1124 531 508 42 58200 512 7 46 7
学院)
,1 2020 1735 1745 538 506 41 58638 510 5 45. 5
2022 940 707 508 445 。 100731 473. 5 28. 5
新乡丁秤,{院(加河南科技羊院新科
6503 2021 830 850 520 498 32 66708 508 2 42 2
学院)
2020 630』-639 524 506 41 58638 509. 7 抖7
·---- 2022 l飞40 1375 卜· 503 ?~` 467 22 76258 477. 8 32 8
郑州绎贸学院()序中原工旱院信日商
6504 2021 1162 1192 525 496 30 68472 502 2 36. 2
务学院)
I i 2020 1158 1179 52l 494 29 69685 -499_3_-1-3_4. 3—
2022 762 764 'iOl 455 Ill 89426 475 2 30 2
6505 斩乡1矢学阮三全学院 2021 600 603 524 494 28 70291 501 9 35. 9
2020 645 645 527 494 29 69685 500. 8 飞58
2022 1938 l967 493 46 1 16 82819 467. 7 22 7
6506 2021 1406 1415 5平9 486 20 77519 490 7 24 7
2020 1229 1229 523 482 17 81118 488 4 23^ 4
t-
2022 115 115 489 4(il 16 828l9 465. 5 20. 5
—
6507 2020 1641 l641 526 474 _尸一” 9 一i " 8 " "~贮905 j 479 8 14 8
2022 1720 1739 498 454 9 I 90557 459 8 14 8
安阳学院(异地校区) 2021 I 1670 1688 531 勹44?8? 勹-i 4--一82. , l 一- - 1 - 6- I心 一
尸2°0芒21 --!] 2254_ _ 2278 509 l l6I --8852 — -6l8l5] - 48]会4 36. 4
6508 i 信阳学院 2326 2352 523 4973/313
2020 i 2543 2543 524 489. 5 24. 5
2022 1461 1467 496 464 19 79496 470 l 25. I
郑州商学院 ---
6510 I 2ll21 1715 171.'i 522 482 16 81132 487 1 21 I
Ii
2020 1660 1677 532 476 11 87172 481. 7 16. 7
6591 详j七-丁f「,.丿\守·卢i寸 飞九 2020 98 98 547 521 56 45874 528 3 63 3
6594 I 青 创意 将 媒 电 体 影 学 学 院 院 ) (原北京申影学院现代 2022 1 2 2 486 453 8 91756 469 5 24 5
2022 13 13 489 468 23 75194 476. 2 31 2
6595 四川文化艺术学院 2021 5 9 506 477 11 ! 85681 496, 4 30. 4
2020 ! 4 4 508 496 31 67788 501 36
2022 ! 10 JO 482 465 20 1 78388 471. 6 26 6
沧州交通学院(原北尽交通大学海滨
6596 2021 15 15 518 472 6 l 90400 505. 9 39. 9
子早"吭"')
2020 15 15 520 509 I 44 ! 55983 512 47
2022 7 3 448 i 444 I -l I 101s32 446. 3 1. 3
北京第二外国语学院中瑞酒店管理
6597 2021 9 2 474 470 4 92392 472 6
严于-',吭占
2020 IO 3 488 [ 466 I I 97100 479 14
2022 14 14 508 1 485 40 '57598 493, 7 48. 7
6598 上海财经大学浙江学院 2021 14 14 545 | 522 1 56 46841 528 1 62. 1
2020 14 14 538 I 520 55 46713 526, 6 61. 6
2022 34 34 490 i 44s 3 97409 468, 5 23 5
6601 天津仁爱学院(原天津大学仁爱学院) 2021 43 43 540 508 42 58200 514, 6 48. 6
2020 50 50 521 508 43 56870 512, 5 47. 5
2022 54 54 526 ! 446 1 99663 471. 1 26, 1
6602 电子科技大学中山学院 2021 49 51 522 500 34 64927 506 40
2020 27 29 514 500 35 63994 505. 7 40, 7
2022 31 31 496 483 I 38 59583 487 42
6604 重庆人文科技学院 2021 28 32 521 509 43 57325 512, 9 46, 9
2020 24 24 515 504 39 60432 505 8 40, 8
2022 14 14 465 448 3 97409 454. 9 9. 9
6605 入连理丁大学城市学院 2021 13 13 511 468 2 94296 484. 8 18 8
2020 10 10 1 506 465 。 98090 482. 8 17 8
i 2022 44 i 44 I 535 495 50 48113 509. l 64. I
厦门大学嘉庚学院
6606 !II 2021 40 40 559 540 ,_ 74 . 33915 544. 6 78, 6
2020 40 40 555 539 74 32593 544 79二、2020—2022年河南省普通高校招生本科二批录取情况统计表(文科) • 185 •
尸
院 代 校 码 院校名称 年份 1 盓 人 录 数 取 最旮分 最低分 平 与 线 均 分 差 分 数 值
15-15-101-273-1-263-1-208-2-236-2-236-2 8-42865--35018-2-511-71419-51-561 8-509-476-470-515-446 &9
2022 5 4
52-52-50-52-44-31_4-50_1
6607 I 东南大学成贤学院 2021 0 49952 522. 8 启
2020 5 49174 522. 2 -
2022 如 - 48113 497. 7 5
6608 I 山东石油化工学院(原中国石油大学 I 2021 一 55 49952 519. 8 52 -
胜利学院) 2020 至 32 55983 511. 8 3
2022 50 8 66739厂 484. 3
-
6609 I 文华学院(原华中科技大学文华学院) 2021 0- 92392 511. 5
2020 21 25 50859 520. 7 4
三3 -3 99663 了I 454. 6 6
6610 I 北京工业大学耿丹学院 202l l° 51 87514 I 485. 3
2020 10 气 3 79205 1 498. 6 声-
勹 18 18 6 86120 I 476. 1 一33
152020-8
6612 I 天津理工大学中孙信以学阮 面 15 勹二 50 - 9 5 37-24-2 6 6 2 3 7 2 2 - 8 5 7 1 4 0 | 1 5 5 0 0 3 5 . . 8 8 19
2022 Y 尸 8 1 5 5 4 l5 0 74062 488.1 --
661 \ 3 : '六 I 北京中楛药大 \ ' 学 , 东 ,. 方 ` 学 七 院 \ 2 2 2 0 0 0 2 2 2 1 0 2 尸 30-30-203-06-24-07-42-0 5 6- 4 5 4 1 -64 8 2 -74-64-6 2 - _ 巠-6-10-10-10-39-36 7 3 9 -4 1 5 5 1 0 1 3 9 8 9 -1 7 7 0 2 5 5 4 3 3 52 5 9 . . . 6 3 2 3 9 4 5
6614; 辽宁财贸学院 2021 6 4 4 闾4 2-0-9- 9 4 42 -3 96 470. 5 --
\~ 2 2 0 0 2 2 0 2 - 4 7 3 6 - _ 4 6 6 8 - 9 90 8 5 0 5 9 7 0 46 4 5 6 , 9 5 20 43 8 5 5 . 5
上海师范大学人华子阮 2021 5
9妇54
92392 484. 8 18. 8
6615 2020
_ -_m7-
95112 488. 7 23
--
. 7
上
专业
海
)
师范大学大华学院(较的收费 I 2
2
0
0
2
2
1
0
1 6 6 -10-10-10-39-3 也 一6 4
7
7 --41-12 4 -
4
0
。
9
9
5
8
2
0
1
9
0
0
4
4
6
6
8
7
.
.
7
7
2
2
.
.
49 7
7
4 9 41-49-47-47-50-55-37 3-
2022 2 6 56565 491. 8 46. 8
6616 I 南京_l业大学浦江学院 2021 - 8 3 5 52443 517. l 51 -1. 1
5
2020 4 - 53447 513. 8 4869. 8
-
2022 7 4 50820 497. 3 52 9 . 3
6617 I 南京师范大学中北学院 2021 5 51641 526. 6 60. 6
5 8
2020 1 46713 -
- 6
2022 4 60563 沪7
1214-14287 - 25906044840
6618 I 南京医科大学康达学院 2021 12 5- 5 4 二
2020 14 59 4 50 3 9 ; 4
2022 1 39 8 梦 笠19窒 可飞 豆/ -
6 6 6 6 2 2 1 0 I I 无 学 苏 院 锡 州 ) 学 城 院 市 ( 学 原 院 南 ( } 原 1 苏 (信 州 皂 大 丁 学 程 文正 大 学 学 院 滨 ) 江 I 2 2 2 20 0 0 0 2 2 2 2 1 1 2 0 7 2 - 8 - 7 7夕 8 8 7 7 8 8 56 6 5 辜- 5 2 1 5 3 1 6 - 5 3 譬 硒 斗 亟 5 - 5 1 4 6 55 2 5 归 50-535-48 8 3 5 9 7 8 88-451-73-05-142 2 - 3- 7 亟 4 3 4 2 8 2 4- 6 84 2 87 2 -5- 4137--54 5 1 5 5 5 30 5 2 2 5 -- 3 5 6 0 44 . . . . 8 7 7 9 t 1 4 \ - - 怼 45156- " -3 8 5 8 8 6 9 4 1 1 0 7 7 - 4 -3 . . . . 5- 6 7 9 1 40 9-14-851-84 6-52
1
6622 I 苏州人学应用技 ' 术 " , ` 学 : ; 一 \ .一 院 ~ , ~ , ~ ' '\ J 夕 , ~ 2 2 2 0 0 0 2 2 2 1 0 2 二 3 3 4 4- ' 3 I 4 -1 3 3 0 4 4 i1 8 I -20-2 5 5 5 1 2 0 6- 5 1 5 4 1 8 - 1 7 7 2 1-25-42 2 - 4 3 -42 5 5 3 4 5 4 0 3 6 6 8 4 8 7 6 4 5 5 9 3 1 1 9 5 . . . 5 9 2 4 7 4 9 4 6. . . 5 9 2
5
2020 34 5294 1
9
53447 514. 6 49. 6
2022 10 495 54646 490.1 45. I
-1 2 三
6623 I 苏州科技大学大尸户院 2021 20 i 553 3 54068
5 -
2020 20 ] 523 55140
!.一1 5
2022 21 ] 493 58561
6624 I 江苏大学京沁学阮 2021 21
iI
51
3
9
1
51641
25-42-42- 6
2020 519 52560
2022 50 5 6 - 51788
6625 I 扬州大学广陵学院 2021 5343 5 49952
2 2
勹 气- 0 丿贮昙:
6626 I 江苏师范入学科文学院 5 -
2 4
9 8
- 2
4
8
9· 186 · 第三章录取统计
录取分数统计
院校 !什份 公布 , 录取 最低分 平均分
院校名称 录取最低
代砃 计划 入数 最高分 最低分 与分数 平均分 与分数
分位次
线差值 线苀值
2022 12 12 496 485 40 57598 490. 6 45. 6
6627 南京邮电大学通达学阮 2021 10 ] () 528 519 53 49184 523. 1 57. I
2020 10 10 541 518 53 48340 523 58
2022 64 64 502 488 43 54646 491. 6 46. 6
6628 南京财经大学红山学院 ,^^ ^^ 2 021 ` !, 64 64 530 - 5 15 - - - 49 52443 518. I 52. 1
2020 I 64 64 526 5 13 48 52560 515. 8 50. 8
2022 ! 6 6 498 488 43 54646 491. 3 46. 3
6629 江苏科技大学苏川理丁学院 2021 12 12 522 514 48 53242 515. 5 49. 5
2020 12 12 519 510 45 55140 512 7 47 7
2022 22 22 488 482 | 37 60563 485 5 40. 5
6630 常州大学怀初学院 2021 22 23 517 505 39 60750 509 2 43. 2
2020 15 15 512 505 40 59518 507. 4 42. 4
2022 15 15 475 I 448 I 3 97409 461 4 16. 4
6631 华北理「大学轻丁学院 2021 15 15 s11 I 487 ! 21 76616 498 4 32. 4
I
2020 l 5 15 - ~ --- ,17 I 499 34 64955 503 38
2022 5 5 '193 490 1 45 52692 491 6 46 6
6632 河北-I程大学和(言午院 2021 5 s 517 ''i 5.,-1.4. ,' 48 53242 515, 4 49. 4
2020 8 8 519 i 515 50 50859 517 52
6633 华北电力大学科技学院 2020 8 8 519 i} 515- 50 50859 515. 8 50. 8
6634 刚北科技大学理I学阮 2020 5 5 516 514 49 51662 515 4 50 4
2022 29 29 501 493' 48 49917 495 8 50 8
6636 河北帅范人学汇华学院 2021 29 29 535 I s19 53 49\84 521 2 55 2
2020 29 29 525 516 51 50004 518 3 节3
2022 9 9 518 51 l i 66 34631 514 69
6639 两京审计大户金甘勹院 2021 9 9 551 542 76 32574 546 6 80 6
2020 9 9 554 543 78 30010 545 7 80 7
Iu-- --
2022 43 49 479 449 4 96236 456 I II I
6640 扯州商宁院 2021 42 42 497 469 3 93316 472. 6 6 6
2020 42 42 506 465 () 98090 468, 8 3 8
- -
664 l 山性大学商务学阮 2020 7 7 5 l 9 512 47 53447 514 49
2022 J I 494 494 49 48998 494 49
6642 山四 l学院(丿肛人加理!大羊现代和
2021 6 6 520 519 53 49184 519 3 53. 3
I 技学院)
2020 7 7 508 497 i '.12 66799 501. 1 怡 l
6643 I 忤中伈门、学院()京山西农,II,,人午信U 2022 27 27 484 469 I 24 74062 474. 3 29 3
2021 27 27 505 ,190 24 73919 495. 3 29 3
午1况)
2020 ?3 23 504 488 23 75350 492 5 27, 5
2022 2 2 466 463 18 80605 464. 5 19 5
66'15 山四凶中玑1上学院(忡中北人f们队 2021 5 5 486 一俨·4·--8\ • •1 5 ? - 一..82022 483 2 17 2
商务月院) ~.“
2020 5 5 487 476 II 87172 480 8 15, 8
-----------
I 2022 38 38 47[ 457 12 87224 460 7 15 7
6646 胃』:J I孕院 ~已2021 43 43 491 474 8 88448 i 478. 9 l2 9
2020 43 43 485 470 ' ! 93080 473. I 8 1
2022 12 12 484 469 24 74062 475 3 3lI飞
6647 肯岛农业大学海削胃阮 202l" "" IO ] () 493 484 ]8 '/9316 487. 5 21. 5
2020 l 5 15 523 ,173 8 90033 503 6 38 6
夕·一 2022 37 37 488 453 8 91756 460. I I 15. I
忏售理 l学院(加曲阜帅池大字杏坛
6648 2021 33 飞3 492 473 7 89423 478. 5 12, 5
学院)
2020 31 ! 31 489 472 7 91034 476 7 1 1 7
2022 17 I 11 i 487 479 34 63579 482飞 勺飞
6649 山东财纾丿,,';东方学院 2021'31 i 31 518 503 37 ! 62413 506 40
2020 31 31 511 498 33 65884 505 6 40 6
2022 3 3 478 475 30 67740 476 3 31 3
丁沪II元(厅山东师范大学历山
2021 3 3 512 510 44 56491 511 3 45 3
~-----~
2020 J 3 510 507 42 57786 508. 7 4:1, 7
- -- -
2022 .1 () 飞() 481 447 2 98565 450 8 5 8
(原沈阳人字.fl技]程 l
2021 42 42 509 472 6 90400 476 9 10. 9
i 2020 42 46 512 465 。 98090 472 3 7 3
6653 ! l阶l城大子东吕j,院 2020 ! 28 28 512 I 503 38 61327 505. l 40. I二、2020一2022年河南省普通高校招生本科二批录取情况统计表(文科) . 187 ·
录取分妏允门
院校 公 计划 布 i 扎 人 取 数 最的分 1 最低分 最 : 低 : 分 [ 4 / 全 :凡门]分 平 ] 均分 三
代码 院校名称 年份 1
二
2022 I 36 ! 39 I 469 I 448
6654 I 辽宁理工学院 2021 I 32 I 34 I 473 I 468
2020 I 14 I 17 I 515 I 465
2022 I 66 I 66 I 478 I 451
6655 I 大连财经学院 2021 68 68 511 - 471 三
2020 I 63 I 63 I 514 I 465
2022 I 22 I 29 I 454 I 447
6656 I 大连]业大学艺术与信息工程学院 2021 I 16 I 16 I 481 I 469
2020 I 20 I 20 I 474 I 465
2022 I 32 I 32 I 487 I 446
6660 I 烟台科技学院(原济南入学泉城名院) 2021 19 63254 505. 3 39. 3
2020 29 厂 71597 504. 9 39. 9
2022 119 99663 480. 9 35. 9
6661 I 天津财经大学珠,工学院 皿 59025 511. 3 45. 3
2020 I "''82哭 58638 509. 4 44.4
2022 54 87224 468.4 23. 4
6662 I 『州新华学院(原中山大学新华学院) 2021 4 95210 492 26
2020 勹 6 37 62281 507. 7 42. 7
2
2022 7 98565 471 26
重科庆技城学院市)科技学院(原重庆大学城市 厂如 4543-44-47-51
6663 12-36-36-23-20 - 55670 518. 3 52. 3
2020 1 520 56870 511. 8 46. 8
6664丁一一',';,产~:环:J京四川大于锦城学院) 2022
一2
499
5
53630 492. 3 47. 3
环 0
2021 4 535 54068 518. 6 52. 6
2020 0 环5 2 5()()()4 `5 ` 2 - 1 - . 'i 56. 5
- - 8
6665 I 西安明德理工字院(厅曰「共矗化1\lk大学 , 2022 2 4 4 5 8 13 6 4 0-23-27- 9 9 4 1 6 0 7 1 4 5 1 2 6 2 - 39-4尸 4 75. 9 I 9. 9
明德学院) 三 2020 I 9 2 522 _4 75350 506. 3 41. 3
6666 I 山东财经大学燕山学院 言
33-34-270
1
-30-14-1
51
5
2
-1 5-60-5燮7
74
-72-19
71597 496. 7 31. 7
- 2 496
4-9-
57598 488. 2 43. 2
6667 I 南通人学杏林学院 g 1 515 852 58200 510.4 44. 4
5
- - 517 51 60432 507.4 42. 4
3 493 -1 96236 482. 2 37. 2
g 3 46-44
6669 I 福州大学至诚学院
_ -
530 5-
- 3 526 05 二勹荨
言 g 4 - 493 80
6670 I 辽宁师范大学沉华午阮 昙 2 504 -8
- 7 522 5-
6671 I 沈 城市 阳 建 城 设 市 学 建 院 设 ) 乍如(IJ仇ti'日建筑入学 I 2
2
0
0g
2
2
1
2
干
-
3 0 4
48
7 尸夕
7
9
i
讫"
'
勹0 4 4 8 4
45
7
2
0
.
.
:
4
飞 f 7
4
.
.
3
4
2020 - 477 468.5 3. 5
2022 9-6 1 -9 465 20
三4 4-
6672 I 武汉晴川学院(原武汉大学硌珈学院) 2021 - 512. 3 46. 3
2020 14 210 532
45
513.6 48, 6
2022
8i14-145
468
91445-487-44
。
5-474-513
1
-
0
4
0
4
7
5
3
-4
1
9 4-49
4
9
5 2. 9 7. 9
6673 I 武汉设计上程学院
2020
-
1 501
-3 22_0-8-
7
4
6
8
3 41
2022 151 503 g- 100731 勹
6674 I 广 广州 州 学 城 院 市 ) 理工冶阮(万华南埋l大学 I 2021 1 6 1 4 ! 529 -5 88牛48
2 2 0 0 2 2 0 2 8 2 5-219 -3 2 4 - 5 8 7 4 5 7 3 7 7 5 0 1 6 。 1 5 0 2 0 5 7 6 3 0 1 155, 5 10.5
7 l11-5l256 4
广州南方学院(!序中山大学们方学院) 2021 飞~-。 9- 28 70291 三勹
6675 2020 388 -4 34 64955
2
「州南方学院(原中山大学南方学院, I 2022 4 - 2 446 44 45 5 。 100731 I 445. s I o. 5
单列专业) 2 53
1
6-6-8 495三513504
0-
亡 ~1; 『三 I 三 I 丿
6676 I 广东外语外贸大学南国商学院 -4
46
76
2· 188 · 第三章录取统计
录取分数统计
院校 公布 录取 最低分 平均分
院校名称 年份 录取最低
代码 计划 人数 最高分 最低分 与分数 平均分 与分数
分位次
线差值 线差值
2022 23 23 499 478 33 64636 488. 3 43. 3
6677 酉南财经大学天府学院 2021 7 10 534 513 47 54068 517. 9 51. 9
2020 22 22 542 510 45 55140 514 2 49.2
2022 5 13 490 477 32 65677 483. 8 38. 8
6678 四川大学锦江学院 2021 2 7 518 498 32 66708 511 6 45.6
2020 2 2 518 515 50 50859 516. 5 51. 5
2022 10 10 i 479 461 16 82819 469. 2 24.2
绵阳城市学院(肝西南科技大学城市
6679 2021 10 10 503 479 13 83858 494. 9 28.9
学院)
2020 7 9 504 497 32 66799 499.2 34. 2
2022 35 35 483 445 。 100731 454.1 9. l
阳光学院(原福州大学阳光学院) 2021 30 30 503 472 1 6 ~ _ 90400 477. 1 11. 1
6681 2020 25 28 492 468 3 气.95112 478, 4 13.4
阳光学院(原福州大学阳光学院,较尚
2022
3 1 2 -
=
~ 人-
•
,俨- 445~~ ~/尸了 ~ -~
_
沪 己-、编古 ~ ~
44
、
5
:
O l00731 445 。
收费专业) '''
福建师范大学协和学院
..,定'`,·,/'.2~2-~2·六0."2~亡O2诅'.0之~~-O己心:
2 ~
,
' i
三、.讥~ : : • 2
24
s I
i
4
51
9
7
8
严,`, 了
齐
·'•
4
50
8
6
K 卢勹
4
3`~ 6
0
, .
I
~ ~
5
6 ~ ~
9
15
9
6
0 6
8 48
5
6
1
.
0
3 4
4
1.
4
3
24 I 24! 517 499 34 I 64955 502. 2 37.2
6682 \专福业建1?`~夕1入范-之-.~`才i大了:飞,“学I-夕一.`~ 协和学院(较阮收费 2O225土`I了\于4上 i 4 i 46s 457 12 I 87224 460. 3 15. 3
闵2O21 4 I 4 484 477 11 i 85681 480 14
2020 4 I 4 509 483 18 i 80203 494. 5 29.5
2022 12 12 461 450 5 95097 454. 1 9. l
6683 福州l哺f学院 2021 12 12 481 472 6 90400 475. 3 9, 3
2020 12 12 510 465 。 98090 474.2 9. 2
2022 14 14 469 445 。 100731 457. 5 12. 5
闽南科技学院(原福建帅范大学闽南
6684 2021 14 14 489 483 17 80250 485. 5 19. 5
科技学院)
2020 16 16 498 473 8 90033 479. 8 14. 8
2022 4 i 4 475 466 21 77310 470 25
6685 西安理工大学高科学院 2021 4 I 4 492 487 21 76616 489 3 23, 3
2020 5 | 5 510 486 21 77287 492 6 27. 6
-
[ 2022 2 | 2 477 460 15 83883 468 5 23. 5
西安科技大学高新孕院 2021 2 2 509 501 35 I 64100 505 39
6686 2020 4 8 505 491 26 72538 499 34
西安科技大学高新学院(较高收费 2022 1 1 452 452 7 92856 452 7
专业) 2020 4 3 482 471 6 92059 477 12
2022 12 12 484 446 1,' 99.663 453. 8 8. 8
广州华商学院(原广东财经大学华商
6687 2021 10 10 491 467.· I 95210 479.4 13. 4
学院)
2020 10 10 498 490 25 73446 493. 4 28. 4
_
6688 `上学院(原广东技术师范勹丘言飞 丛5 100731 450. 2 5. 2
天河学院)
茫气;
II 479 |,`仁4a 19 79496 469. 4 24.4
福建农林大学金山学阮 10 504 492 26 72125 496. 4 30.4
6689 '\1 '\' - -20-,.-.,20-,-. ,-夕-飞f`" ; l - .0 _抖_, IO 510 484 19 79205 493. I 28. 1
福建农林大学I 令山f院(较油收费了 4 4 467 450 5 95097 458 13
\ 22002212 - - -
专业) , 4 4 471 466 。 96112 469 3 3.3
- 2020 4 4 499 468 3 95112 480. 3 15. 3
2022 5 6 474 465 20 78388 469. 7 24. 7
6690 皖江丁学院(丿加河海大学文天学院) 2021 5 5 489 485 19 78405 486.4 20. 4
2020 5 5 491 479 14 84136 483.2 18. 2
2022 8 8 491 481 36 61568 486 41
6691 南昌大学科学技术学院 2021 7 7 517 508 42 58200 512. 1 46. 1
2020 7 7 1 5 19 509 44 55983 513 48
2022 15 , 15 489 480 35 62599 484 3 39. 3
6692 江西农业大学南昌茼学院 2021 15 15 515 507 41 59025 509 7 43. 7
2020 13 16 512 504 39 60432 506. 3 41. 3
2022 18 ]8 494 488 43 54646 489 9 44.9
6693 江西师范大学科学技术学院 2021 18 18 520 511 45 1 55670 513. 6 47. 6
2020 18 18 513 506 41 58638 508. 4 43. 4二、2020一2022 年河南省普通高校招生本科二批录取情况统计表(文科) . 189 ·
竺分妏竺甘__
院校 公布 求取 最低分 1:ET酰气氐1 平均-/噩
代码 院校名称 年份 1
计划 人数 最的分
16-16-161-61-01-61-01 6-41770--51100- 509-509-531
2022 460 15
6694 I 南昌交通学院(加华东文通大学理工 勹 474- 8 正
学院) 30-53-59-40-54
2020 495
2022 498
6695 I 赣 科学 南 学 科 院 技 ) 学院(原江酉理工大学应用 I 2 勹上 0 n 2 勹 仁 v 1 八 V I 上 “V 1 上 nv 516 ! 5 5 2 0 5 5 59518 508. 3 43-56-55-38-40-39-68-80-68-38-45-48-48
I 赣东学院(原东华理工大学长江学院) 三 202 : 2 I 口 10 10 506 1 499 44536 501. 6
6696 11 48420 521. 3
:$: 13 63123 503
7 巨
60563 485
6697 I 南昌航空大学科技学院 1 1 ; 勹 60750 505
占
2022 堕 JO 51788 513. 8
6698 I 南昌医学院(原汀西中[矢药大学科技 I 2021 8 50796 546. 6
学院) , - 13-7-10-13_4-4
2020 ·f 17 34-22-4 4 7 91 -4 7 7 4 533. 7
2022 2 63579 483.1
6699 I 江西财经人学现代经济管理学院 气 75691 511. 5
勹 53447 513. 4
'' 50820 493. 3
6100 I赣南师范大学科技学院 50 I 51641 I 516. 3 I 50. 3
509-446-4724-449_91-4-66-03-446-165-5 05
',, L、I'L·\, \ 2020
rl宝芦'1:: 学产[』::` / 勹
6701
2022
6702 I 南昌应用技术帅范学院(丿亨汀西科技 I 2021 。
师范大学理工学阮) 三产
2020 40 59518 I 507. 7 I 42. 7
三 二 三\ 三:三三三 三三三三 :三三
6703 I 南昌大学共青学院
I I I
2022 I 12 I 12 I 489 I 479 I 34 I 63579 I 482.2 I 37.2
6705 I 内蒙占大学创业学院 2021 I 12 I 12 I 514 I 498 I 32 I 66708 I 503.2 I 37.2
2020 I 13 I 13 I 524 I 488 I 23 I 75350 I 495. 2 I 30. 2
2022 I 22 I 22 I 470 I 458 I. 13 I 80120 I 46L~.,;k, 16. s
6706 I 内蒙古鸿德文珅寺院(加内蒙古师范 2021 I 20 I 20 I 486 I 473 I 1 i 89423 I 477尘:::-11. 3
大学鸿德学院)
2020 23 23 510 474 f9~五一的551- 480.2喜`一15.2
2022 I s2 i 54 479 它45念1-J, '-,斗· 飞产 93931 I 453. 9 今-8.9
6707 I 银川科技学院()京中国ID叶大字银川 2021 I 43 I 63 I s121~ - 彻 -.. :-;了心->§ 一4心令 92392 478f l2.7
学院) 2020 I 37 一一I口 37 I 口 4口一91 I 466 I 1 97100 I 470. 3 I 5. 3
一子一
2022 I 47 I 47 : I s12 I 453 _ I s I 91756 I 484. 6 I 39. 6
6711 I 重庆外语外事学院(原四川外国语大 2021 I 29 I 29 __ I. _531 I s12 I 46 I 54859 I 516. 9 I so. 9
学重庆南方翻译学院) I; l
-, 2020 I 29,. - 30 527 I 512 I 47 I 53447 I 516. l I 51. l
2022 I 49 I 49 I so2 I 483 I 38 I 59583 I 486. 4 I 41. 4
6712 I 玉庆对外经贸学院(师重庆师范大学 2021 I 36 I 36 I 519 I 508 I 42 I 58200 I 510. 9 I 44. 9
涉外商贸学院j
2020 I 34 ; 34 I 513 I 504 I 39.. 60432 I 506. 7 I 41. 7
-·........,20221 23 I 23 513 I 487 I 42 1一口 一556”“1 6 I 490. 7 I 45. 7
6713 I 重庆财经学院(炽重仄丁一商大学融智 2021 I 21 ~ 1 30 I 520 I 511 I 45 1 55670 I 513. 6 I 47. 6
学院)
2020 I. 20_._, _. 22 I 525 I 506 I 41 1 ss638 I s 12. 9 I 47. 9
2022 I 14 i 14 I 488 I 480 I 35, 62599 ! 482. 9 I 37.9
6714 I 重庆工商大学派斯归院 2O21 12 12 513 505 39 60755 508 8 42. 8
2020 I 12 I 12 I 503 I 493 I 28 I 70609 I 496. 8 I 31. 8
2022 I 4 I 4 I 481 I 478 I 33 I 64636 I 479. 3 I 34. 3
6721 I 宁夏大学新华学院 2021 I 7 I 7 I 507 I 488 I 22 I 75691 I 495. I I 29. l
2020 I 7 I 7 I 495 I 482 I 17 I 81118 I 488. l I 23. l
2022 I 25 I 25 I 495 I 460 I 15 I 83883 I 480. 7 I 35. 7
6752 I 天津商业入学宝拧学院 2021 32 32 515 501 35 64100 - 504. 8 38. 8
2020 I 39 I 39 I 512 I 499 I 34 I 64955 i 502.4 I 37. 4• 190 · 第三章录取统计
录取分数统计
院校 公布 录取 最低分 平均分
院校名称 年份 录取最低
代码 计划 人数 最高分 最低分 与分数 平均分 与分数
分位次
线差值 线差值
2022 25 25 509 445 。 100731 477.2 32. 2
6754 天津外国语大学滨海外事学院 2021 7 7 531 514 48 53242 519. 3 53. 3
2020 43 43 526 509 44 55983 512. 2 47.2
2022 25 25 511 487 42 55616 496.5 51. 5
6763 华北理工大学冀唐学院 2021 25 25 549 517 51 50796 528. 5 62. 5
2020 27 27 537 516 51 50004 522. 6 57. 6
2022 24 24 489 460 15 83883 473. 7 28. 7
6764 河北地质大学华信学院 2021 20 20 513 498 32 66708 502. 7 36. 7
2020 27 27 505 495 30 68747 498.4 33.4
2022 10 10 514 488 43 ', 54646 493.2 48.2
6765 石家庄铁道大学四方学院 2021 10 20 536 511 , 45 / :,C "C'. 勹5、~-~ -~~2 3 :? 670 516.5 50. 5
2020 10 10 525 - 512尸~仁心 .?:飞-” 47 - . - 一5---,3_-447 515. 3 50.3
6766 燕山大学里仁学院 2021 4 了4- 55323 5 520 ~它54'父~ ` 48420 527.3 61. 3
2020 ;:;仁2夕;为态4了6`~卒了尸 仁 525 夕6 4 0 42716 526. 8 61. 8
20~2 ; 480 449飞 ~;编 96236 461. 7 16. 7
6781 大连医科大学中山学院 .夕,夕2~~~ ~/ 咖 .~位 ~ J~- 1~~ . 26 ".. 50~-8? i 二469 3 93316 493. 9 27. 9
编-二 2O2O 26 -` 26, \ -'503 482 17 81118 491. 8 26. 8
,\辽\-._-.宁._-..气了中,;心...,,医子t..A.---...·.I药·一L大\,歹•'学亡.杏吝林之产今学 二,二2,0.2?2., >尸 共46 46 503 472 27 70900 483 38
67釭\ r '\i ..·, /r .. 气七 ,.2一021 48 48 536 501 35 64100 509. 3 43. 3
I
2020 52 52 525 493 28 70609 502. 9 37. 9
二~歹~. 2022 22 34 470 450 5 95097 452. 8 7.8
\沈阳飞书工,夕'学生院
6786, 2021 24 24 480 469 3 93316 471. 8 5. 8
2020 9 9 476 467 2 96094 470. 6 5. 6
2022 19 25 463 448 3 97409 449.6 4. 6
6787 沈阳科技学院 2021 27 31 494 469 3 93316 472. 3 6.3
2020 16 20 512 465 。 98090 475. 5 10. 5
2022 10 10 468 450 5 95097 454. 8 9. 8
6791 长春光华学院 2021 8 17 508 469 3 93316 485 19
2020 11 11 511 500 35 63994 502.5 37.5
2022 65 65 460 447 2 98565 449. 9 4. 9
6792 长春大学旅游学院 2021 64 78 480 466 。 96112 471 5
2020 51 51 503 472 7 91034 477. 8 12. 8
2022 48 58 464 447 2 98565 汇45Q.8 5. 8
6793 长春工业大学人文信息学院 2021 48 48 511 467 1 95210屯
2020 45 45 500 476 1,1产 87172.:
2022 18 18 ,45o 5 95097 ~S炉453. 7. ' 1 8. 7
6794 长 光电 春 信 电 息 子 学 科 院 技 ) 学院(原长春理工大学 2021 18 18~已 , 4 ,八匕~一4:、4 \ 5 7 6二贮?·,;~ 23” 一飞~ -`·~ 俨~? ? :八飞 `.王~7` ,`; 、 ~ 衬~ \ 心 , 咚 ? ` ~ 玉 469才 3 夕 93316 4们.“1 ',' 5. 1
2020 咚~1~ ~~、 8咖~~ 弓: 474 9,· '89051 480.3 15.3
6795 长春财经学院 \勹'\ 门卫U口'L-'L- 妇 了? ~ /? 2 上· 5 夕飞\ 25 夕f 4 51 84 1- t 大:: 3泛 ' ~ 夕 .4 4~ 5 户6 1 6 . ~~ • 7~ _ 6 。 9 9 3 6 9 1 3 1 1 2 45 4 6 87 . 3 1 2 1 1 . 3
26 F .n' '.m2c6、,• .`.•r 4 •于 上'二 518 503 38 61327 506.S 41. 5
长学春院人)文学配\\\5气产质;•"~{1,•点:1编,北:,-丘-,妇一,1师匕范::-1,琴泛大多`学-'~夕,C人文-飞 2022 广3l 31 485 445 。 100731 455. 8 10. 8
6796 :· 尸心又2~:021 34 34 516 468 2 94296 479.5 13. 5
2020 18 18 516 507 42 57786 509. 8 44. 8
夕 2022 16 16 488 448 3 97409 453. 2 8, 2
6797 吉林建筑科技学院 2021 18 18 505 467 I 95210 472.3 6.3
2020 19 19 495 474 9 89051 481. 5 16.5
2022 21 21 466 445 。 100731 449.4 4.4
, 6798 长春建筑学院 2021 21 21 480 466 。 96112 469 3
2020 18 18 499 481 16 82115 487.2 22.2
2022 89 89 476 448 3 97409 452 7
6799 长春科技学院 2021 85 85 502 466 。 96112 472 6
2020 90 95 504 473 8 90033 478.2 13.2
2022 25 25 474 451 6 93931 456. 3 11. 3
6800 吉林师范大学博达学院 2021 26 26 514 467 1 95210 486 20
2020 19 19 517 503 38 61327 505. 9 40. 9.
二、2020—2022 年河南省普通高校招生本科二批录取情况统计表(文科) 191 •
录取分数统计
院校 句份 个布 录取 最低分 平均分
院校名称 录取最低
代砃 计划 人 最高分 最低分 与分数 平均分 与分数
分位次
线苀值 线差值
2022 l 22 22 457 449 4 96236 451. 4 6. 4
6802 哈尔滨石沺学院 2021 32 39 487 467 1 95210 470. 6 4 6
2020 29 43 529 467 2 96094 485 20
2022 60 60 454 448 3 97409 450 5
6803 黑龙江工商学院 2021 45 45 474 466 。 96112 468. l 2. 1
2O20 45 64 524 466 1 97100 480 15
2022 21 21 468 450 5 95097 452. 7 7. 7
6805 哈尔滨远东理上学院 2021 21 22 474 468 2 94296 470. 4 4.4
20~ ~ ~ ~ 20 `一15 15 514 467 2 96094 477. I 12 J
2022 i 21 21 467 452 7 92856 455.4 10 4
6806 烹龙汀财经'f院 2021 21 35 500 472 6 00 477. 2 II. 2
, 2020 邓 38 490 468 3 12 471. I 6. 1
I ··一· 2022 2 2节夕护 I', 454 448 3 岁: 97409 451 6
6807 哈尔滨「、厦学院 2021 l 11翌岱 1F1霖琴 :; 474. 469 3 义§飞,飞9坟打6 470. 6 4. 6
2020 35 35 504 465 。 98090 472. 7 7. 7
2O22 85 89 463' '447 2 98565 451 6
6808 黑一一龙----,江',一-气外·一、国'`语\学院 2021 95 95 494 467 l 95210 471. 8 5. 8
_,-- \ 2O20 8 50 50 508 468 3 95112 474.2 9.2
咖~`、
680\ 9了\一 \ 哈t - 尔滨剑桥学院 2021 2 2 471 470 4 92392 470. 5 4. 5
', t占、少~;~芯 2020 4 4 475 466 1 97100 469. 8 4. 8
夕', 2022 253 253 458 446 1 99663 448. 7 3, 7
6810 黑龙1工丁程学院昆仑旅游学院 2021 100 112 475 467 1 95210 469. 3 3. 3
~~^.
2020 21 21 468 465 。 98090 466.4 l. 4
厂'i IO2 102 493 472 27 70900 478. 8 33, 8
九锡太湖学院
.
20202 ^· 2 02
—-
114 114 526 496 30 68472 502. 5 飞6.5
6811
98 98 512 488 23 75350 495. 4 30. 4
无锡太湖学院(较高收费专业) 2020 5 1 465 465 。 98090 465 。
2022 24 24 497 489 44 53630 491. 5 46. 5
6812 中国矿业大学徐海学院 2021 29 29 524 513 47 54068 515. 3 49. 3
2020 32 32 518 509 44 55983 511. 9 46. 9
2022 8 8 482 472 27 70900 477. 6 32. 6
蚌埠工商学院(原安徽财经大学商
6813 2021 10 10 505 488 22 75691 494.6 28. 6
学院)
i 2020 7 7 517 466 1 97100 50J•.:·4 38, 4
2022 5 5 466 464 ! 19 19. 6
马鞍山学院(原安徽工业大学上商 归811钧这"493
6816 学院) 2021 5 5 487 485 1 19总 20. 2
2020 4 4 505出·. 482 ! 17 三一二 28
6817 合肥城甘学院(原安徽建筑大学城市 2 2 0 0 2 2 1 2 4 6 ,..'. 4 6, • 芒 .,.七 飞 \ 爷 , 尸· 5 4 沁 8 0心 -~ 9 编I岱 ~ 4, ; ~ i 4 4 9 4 3 5 2 () 7 令 一7 1 次 0 1飞 0 1~心9 7 飞0 3 兄 1' 一飞' 5 jt 0 6 0 .6 . : 8 5 3 2 4 1 . . 8 5
建设学院)
2020 .尸/ 4 4 507 50l 36 63123 503. 5 38. 5
6821 阜阳师范信大学息工信程息学工院程)学院(姐阜阳, 2021 12 12 522, 517 51 50796 518. 3 52.3
师范学院 勹 202O 7 7 516 51 l 46 54267 512. 3 47. 3
淮北理工学院(原淮北师范大学信息 2022 10 10 462 445 。 100731 448. 8 3. 8
6822
学院) \ \ 2020 20 20 517 511 46 54267 513. 2 48. 2
去了`巳\ '-- 2022 79 79 488 446 I 99663 459. 6 14. 6
6825 厦门L学院 2021 43 43 514 486 2() 77519 492.6 26 6
2020 38 38 509 485 20 78230 490 25
2022 8 8 474 445 。 100731 455. 1 10. 1
6832 泰 科技 山 学 科 院 技 ) 学院(原山东科技大学泰山 - 20 - 21 6 6 483 i 468 2 94296 477. 3 11 3
2020 6 6 485 481 16 82115 483. 2 I 18 2
2022 11 11 482 445 。 100731 466, 2 21. 2
6833 烟台理工学院(原烟台大学文经学院) 2021 8 8 511 494 28 70291 504 38
2020 10 10 516 504 39 60432 508.5 43. 5
2022 47 47 491 446 1 99663 471. 9 26.9
6836 武汉东湖学院 2021 26 29 515 504 38 61580 508. 8 42. 8
2020 41 46 527 501 36 63123 504. 9 39.9· 192 · 第三章录取统计
lI
院 代 校 码 阮校名称 年份 公 计 布 划 录 人 取 数 ' r 、 : ; ; L 晟的 I \ 广 r/ 最低分 最 与 线 灵 低 分 差 取 一 分 分数 录 分 曰 取 位 最 次 低 [ a .' 均 i勹. 平 勹 线 均 分 养 分 数 值
1
~ 1
数
2022 17 l 7I 486. I 477 32 65677 I 480 6 35. 6
6837 I),义门学院 2021 17 18 1 51 1 500 34仇 64927 504 2 38. 2
2020 20 32 •' 5l2-「--499 - 34 64955 502. 9 37 9
2022 5 一 5 一·I, 482一 l78 33 64636 479 34
武昌理上学院 2021 10 10 I 5]0 501 35 64100 504 2 38 2
6838 2020 14 14 | 5 l 3 4~8 33 65884 501. 4 36. 4
2022 9 452 7 92856 457. 4 12 4
武昌埋 I字院(较的收费专\lk) 2021 4 49- ; 4 4 8 7 3 0 }— 467 `^ ^^ 1 952]() 472 3 6. 3
2022 24 26 i 495 482 37 60563, 487. 3 42 3
6839 i 武
分校
昌
)
首义了院(原华中科技大学武昌 20勹21 22 29 I s31 504 38
二
61580 j 51
5
5
2 1
4
6- 45494
4
9625
9
466 3
4
9- 514-48462864-l353 1001- 98414
二
//
6841 !剖川学院(原长II大学「程技本臼阮) g
- 丿 /
言
-
6842 长八大牛文即学院
一
504 39 60432 ! 507. 9 42 9
2如022 18 1- 18 505 478 邓 64636 487 6 .l2 6
6843 I 湖北大学知行学阮 20霹21 12 12 519 516 50 l 5-1一6一41 516 8 50 8
2020 IO 10 519 512 47 53447 513. 7 48 7
2022 20 20 494 451 6 93931 ! 480. 6 35 6
I 湖北! \ll,大学丁程技术学院
6844 2021 / 527 507 41 59025 510 6 44. 6
18-H18
2020 18 515 505 ,10 59518 ! 507 5 42 5
厂二厂2 2 4 4 0 P丿 1
-/0 /
6845 湖北商贸学院 言 3 0 柏0 1 8 4 6勹 7
1
砃0 1 5 4 2
6846 I 湖北经奇汀的幻贮I忨 g 6 7 2 1
- 1 4
6 5 -
技 麟 g 0 二 5 7 4 4 2
1
芦 g — 0 4 叨- 9
沁 6 - 巠 1 9
副 25 9 2 8 2
g 6 4 9 厂 3
0 0 0 3 O
g
0 8 2
g 4 4 -2 8 9
g 1 - 6 二 4
g 6 5 4 4 2 1 -
g 6 08 6 1 - 2
g 0 』 4 0 二 8
二g 2 1 98 3 二4 3
g 环 -, , 9 1 1
二 26 g 1 凶 国 4 们
二 6 5 545 4 2 / 2
L ` 3 - 1 二5 9 4 5 6 8 2 8
荨 严 心 F 9 0 - 3 5 2 2 6 1 4 8 三 5 4 8 2 1 5 4 8 9 』 8 8 4 劝 - 4 5 8 4 1 i 厂 厂 、 - 3 6 4 1 0 二 8 8 8 1 4 6 - 1 6 - 2 0 1
学 立 霆 立 『 9 1 0 2 0 1 7 6 9 9 7 5 8 5 1 1 9 - 5 6 8 4 悯 7 8 4 8 0 4 7 3 5 - 8 8 9 5 - 4 6 - 8 - 5
0 1 0 84 7 1
6 m 59 1 9 4 1 1 1 2
1
1-
1 3
9
0
7 1 3 7 4 6 4
91 1 5 2
1 9 7
5 1 5 5
2 5 1 1 2 5 4
3
- 1 4 1 0 1 4 6 2 0 1
1 4
5 4 4 6 9 -
1 4 3
1 4 5 4 2 2 4 1
8
5 6 4 - 0 1 2
7 4 3
2 9 4 - 4 / 1
1 2
6 7 8 3 8 3
6 4 4
6 2 6 1 4
5 5
7 4 0
2 0 4 0
2 3
5 8
6 8 9
7
1
2 -
2 5 - 5
3
5 1
7 - 4 0
3
0
1
2 5 1 4
9 3
1
” 8
8 2
1
1 4 1 4
2
8 0
5
3
1
5 0
1
0
9
9 6
5
5
2
0
0
3 4
4
8
3
2
6
5
0
9
5
3
0
4
4
0
4
4
3 5
9
5
5
3
4
2 4
4
4
0 6
4
9
2 5
4
0 5
9
6
1 5
4
7
6
/
5
1
4
2
9
4
9
8
6
4
9
9
4
9
9二、2020—2022年河南省普通高校招生本科二批录取情况统计表(文科) 令 193 。
阶 { 飞 ,5 校 码 阮殁名称 年份 I 含: 录 人 取 数 1 最的分 最低分 :勹
厂
481 473
3-3-5-9
6857 I 武汉体育学院体育f技午阮 518 505
491 487
483 473
6858 I 湖北文理学院理工学院 m rO 5 V 1 ,^} 4 勹 夕 U I 4 A 9 ^ 习 1, 3 勹3 勹 ' oo 勹I八U乙U八V八歹 An歹 r 勹 ' l ', ?勹J J 2J
14 495 486 41 56565 488. 7 43. 7
6859 I 湖北T程学院新技术学院 57325 511. 8 45. 8
60432 ! 5llf,. 3 I 41. 3
三6二5
2022 25 三
6860 I 湖北医药学院芍护学阮
2020 19 63994 502, 8 37. 8
6861 I 武汉工程科技曰兑(原中国地顶大学 归 二
江城学院)
53-41-12-6
6862 I 武汉学院 536 5 4 54859 517. 3 51. 3
2020 41 529 1 6 53447 515. 8 50. 8
-
2022 12 484 2 4 72970 475. 3 30. 3
6863 I武汉丁商学院 ,2021 4 517 - 7 65834
\上,.,1'·\'\,.今 2020 13 13 5 J O 5 - 2 66799 勹言
-于仁':气 产 16 上产 1 5 56565
6864 11长沙理工大学城南'-f阮 l6 538 -
6-6-勹6 2 3
/
3· - 3
4 3
6867 I 湖南科技大学成,用学阮 2021 6 , 2
6868 I 湖南理T学院南湖学院 2 2 20 0 0 2 2 2 1 0 2 - 6 _ 2 - 2 } 2 6 2 -2-2- 4 5 3 9 1 5 2 3 - 1 6 2 7 0 4 - 4 1 -
2020 556 9 5 54267 533. 5 68. 5
6869 I 湖南农业人学东方科技学院 2 2 0 0 2 2 2 0 飞 二 2 5 4 0 86 5 一 如4 9 - _ 2 - 5 5 6 8 6 5 7 6 9 1 9 4 5 8 01 5 4 3 0 6
_ 竺
2022 2 勹 452 一 94 11
6870 I 湘 学院 潭 ) 理工学院(原淜南 1商大学北津 臼 l 5 5 1 1 5 5 7 - 9 7 - 4 0 3 2 -2 - 1 4
6872 I 湖南文理学院芙笘午院 4 4 5 4 2 8 ^ ^ 6 0 4 4 - 4 - 5 0 3 6 42-39
2020 510 ·~ 68 - 41-4231-47-49-44
2022 4
-6 9 /
6874 I 吉甘大学张家界学院 2021 丿 4- - 58200 510. 3 44. 3
2020 4 67788 501. 6 36. 6
, 2022 95 4 50820 493 48
81 -
6875 I 南华大学船山学院 2021 4 52443 516. 8 50. 8
2020 -8 9 55983 512. 3 47. 3
2022 5- -
47-51-55036-39-37
6876 I 湘潭大学兴湘学院 05 4
6
忙I 11 3 /
-6 9 ;r'
6877 I 中南林业科技大羊涉外学皖 4-
广州商学院 厂 2 2 20 0 0 2 2 2 1 2 0 l0 5 6 I ;I 3 1 6 6 1 0 -2 沁 - 5 1 4 8 7 - 4 7 - 4 8 5 33 0 -28 ,' 7 6 - 0 』 291 501. 8 35. 8
5- ol0-2-0
6879 8 归
05
广州商学院(较高收费专业) 1 7 2 - 81 L
5
I 广州商学院(羊fIJ勹) 18 _ 1 -6
卢 1 5- o
05
-
41
4
o
-4
4
4-
6
4 84 8
68
7
-9
6
5-
-
5
05
0 81
0 -5
4-
95
61
-1
4
9
2
-
5
1
5
-
5
0
9
-
g
-
E
-
5
1
5
-
4
8
1
-
5
0
5
-
5
0
2
-
4
4
5
-
4
9
4
4
9
8
-
4
4
5
-
4
6
6
-
4
6
7
-
4
4
5· 194 · 第三章录取统计
录取分数统计
院校 公布 录取 最低分 平均分
院校名称 年份 录取最低
代码 计划 人数 最高分 最低分 与分数 平均分 与分数
分位次
线差值 线差值
6881 广西大学行健文理学院 2020 35 35 507 492 27 71597 496. 3 31. 3
2022 30 30 475 458 13 86120 460.9 15. 9
柳州工学院(原广西科技大学鹿山
6882 2021 30 30 489 478 12 84787 482.4 16.4
学院)
2020 25 25 514 476 11 87172 483.3 18. 3
2022 35 35 491 476 31 66739 481. 8 36. 8
6883 广西民族大学相思湖学院 2021 61 61 517 492 26 72125 499.2 33.2
2020 24 24 503 483 18 80203 488. 5 23.5
2022 11 11 489 459 14 84968 473. 8 28. 8
6884 桂林学院(原广西师范大学漓江学院) 2021. 22 22 513 506 40 59906 508. 8 42. 8
2020 18 18 509 503 38 节 61327 505 40
2022 19 19 492 476 I、 31",: :i空1\`6下心社-`\6 73 9 482. 9 37. 9
6885 南 学院 宁 师 师 园 范 学 大 院 学 ) 师园学院(原广西师范 2021 22 22 516心·• = 多哀·-亡454 面9582卫寸$?七`,乞气l::C: 40 艾飞/5函6 511.2 45.2
2020 24 归 ._;; `三33 泛 65884 500.4 35.4
2022 }'`3:飞"t沟^它~9,40一~·喜心卢 多:7了,;·. 92856 490.5 45.5
6886 广西中医药大学赛恩斯新医药学院 氢汔1 :3" ”. " .1 ?:” 508一飞 、. 42 58200 514. 6 48.6
飞贮',2,'2',O心,0-,2一`-2O,`'2 '. ,玄 40 ..;, 5叨 、.,-,504 39 60432 510.5 45. 5
霄立,5之、,飞式桂志林泛志了乙召:;:和汴 20.1气 \a 2O, ; ` 472 447 2 98565 454.3 9.3
68和\\ .. ' i~: ,\ ^气2.,0..2H .· 、艺18 18 509 490 24 73919 495. 9 29. 9
!
飞 2O20 15 15 501 484 19 79205 487.5 22.5
南管理宁;学理院工学)院(原桂~林理工大学博文 2022 40 40 465 445 。 100731 451. 5 6.5
688~1- 2021 32 32 510 468 2 94296 472.5 6. 5
~`
2020 28 28 517 478 13 85132 487.4 22.4
2022 28 28 492 469 24 74062 484.1 39.1
重庆移通学院(原重庆邮电大学移通
2021 10 10 521 506 40 59906 510. 6 44.6
学院)
6889 2020 21 21 515 505 40 59518 509 44
重庆移通学院(原重庆邮电大学移通
2022 3 3 485 446 1 99663 461. 7 16. 7
学院,较高收费专业)
2022 7 7 489 477 32 65677 483 38
6891 成都理工大学工程技术学院 2021 7 7 511 468 2 94296 501. 7 35. 7
2020 7 7 517 512 47 53447 513. 7 48. 7
2021 8 8 534 515 49 52443 521. 9 55. 9
6892 四川传媒学院
2020 14 14 537 514 49 51662 519. 1 54. l
2022 6 6 493 479 34 63579 486“1 1" 41. 7
6894 电子科技大学成都学院 2021 8 8 518 515 49 52牡3 516`;,` ,'`、`,,6,已“:L吓`:'、 3 :f50.6
2020 6 6 523 512 47气 53牡T ~.51'`1` ,编 “:` `寸 c'52
2022 8 8 476 的8汃t' 23·飞 751.9正、"~` ` `户 t俨.八`.470, .. -- 25
6895 四川工商学院 2021 3 ·•3' · 5尥贷 碗``之 2'.'. 94296 {497 , 31
归2O20 3 二窄 迕 510沁 5,0、,9 俨~_ 44勹. '.55'9~8、3、 509. 7 44. 7
6897 四川外国语大-学' \ 成"\夕勹I都`学`.-院\一, 3.:.-;,, /i ` 一_; \ ,\ 心亡 `\,d .己2,.020 5 25t` 会`六' 贮` 心 §2 26 6 .. ''· • , 寸` )-' ~仁” 5 5 4 ` 4 6 9 0 9 6乍 七``一a ` 、S ; ~人已 还 七于 < ` 5 4 4 . 尸 2 7 5~ 5 2 0 ,`` 、 i 6 5 6 0 4 9 9 2 0 5 7 4 0 1 0 9 6 7 0 5 5 4 2 3 6 6 1 7 . . . 1 8 6 6 6 2 6 2 0 . . . 6 8 l
: 1
贵州黔南经济学院(,原贵州财经大学:飞 加22 4 487 447 2 98565 466. 5 21. 5
6899 2021 4 4 510 494 28 70291 501 35
商务学院) `
2020 4 4 516 507 42 57786 511. 3 46.3
k ; C :
6903 贵州师范大学求是学院 2020 2 2 509 505 40 59518 5m 42
2022 5 5 474 466 21 77310 468. 8 23. 8
6905 昆明医科大学海源学院 2021 5 5 492 489 23 74794 490 24
2020 5 5 506 485 20 78230 489. 8 24. 8
2022 37 37 498 449 4 96236 467.6 22.6
6906 云南大学滇池学院 2021 36 38 516 466 。 96112 496.6 30.6
2020 36 36 524 499 34 64955 503. 9 38. 9
2022 56 56 464 450 5 95097 453.1 8. 1
丽江文化旅游学院(原云南大学旅游
6907 2021 53 57 484 471 5 91379 474.2 8.2
文化学院)
2020 61 61 517 470 5 93080 475. 7 10. 7.
二、2020—2022年河南省普通高校招生本科二批录取情况统计表(文科) 195 •
录取分数统,十
院 代 校 码 院校名称 年份 1 公IIj 1 求取 最低分 录取最低
计划 人数 最高分最低分与分数
分位次
线差值 -
2022 I 9 I 9 I 481 I 464 I 19 I 79496
6908 I 昆明城市学院(原云南帅尨大学商学院) 2021 I 8 I 8 I 508 I 487 I 21 I 76616
2020 I 10 I 9 I 513 I 486 I 21 I 77287 ,
2022 I 5 I 5 I 464 I 454 I 9 I 90557
6909 I 云南艺术学院文华学院 2021 I 7 I 7 I 486 I 470 I 4 I 92392
2020 I 9 I 13 ! 522 ! 471 ! 6 I 92059
2022 I 9 I 9 I 475 I 452 I 7 I 92856
6910 I 兰州博文科技学院(原兰州交通大学 2021 I 9 I 9 I 515 I 470 I 4 I 92392
博文学院) 2020 I 6 I 6 I 505. I 496 I 31 "' I 67788 501.5 I 36.5
6912 I 兰州财经大r:l(有学院 2020 I · 3o I 30 I 537 I 490 I 25 I 1飞446 497. 3 I 32. 3
2022 I 12 : 12 I 47s I 445 be. o · I 100131 455. 8 I 10. 8
6913 I 兰州工商学阮(胪气川财经大学陇桥 2O2l 10 i 10 508 r` 49们~' ~:t3r二夕 3 ' 24 I 13919 494. 4 I 28. 4
6914 I 西
学院
北
)
师范大学川行学院
2
2
O
02
2
0
0
、J
7 _
.
,气
2
l ,1
12
7 5
51
0
6
5
-
三
三
三
4比
:,
霆 §
`,
- 1
,
5
4.
0
8夺
5
' 8 '亡
勹令
f
,
`t t r
,
` , 尸 '
-
,2
4
3
0 ”?? 5
7
? 9
5
5
3
1
5
8
0 4
5
9
0
3
8
.
. 3
1
I
I
4
2
3
8
.
.
3
1
2022 I · 10\'I 1~多 485 448 3 97409 466.5 I 21.5
6915 I 青海大学昆仑学院 2021. I 10 ' / I.10. 1., 516 I so6 I 40 I 59906 508. 2 I 42. 2
2020 I 10,.. 1 ;10 l 501 I so2 I 37 I 622s1 503. I I 38. I
2O22 29 30 500 491 46 5l788 493. 3 I 48. 3
6921 新疆政法学院
6三9 二子商务 2021 I 16 I 16 I 531 I 512 I 46 I 54859 518. 2 I 52. 2
2022 I 90 I 90 I 511 I 489 I 44 I 53630 490. 7 I 45. 7
2021 I 49 I 49 I 527 I 514 I 48 : 53242 516.3 I 50.3
~......,.
2020 I · 81 I 81 I 519 I 504 I 39 : 60432 508. l I 43. l
2022 I 15 I 15 I 493. I 489 I 44 I 53630 489. 8 I 44. 8
6923 I 新疆理工学阮 2021 I 28 I 28
i,
523 I 514 I 48 I 53242 515.6 I 49.6
2020 I 3o I 30 I 514 I 508 I 43 i 56870 509. 8 I 44. 8
6924 1 新疆农业大学科子技术学院 2020 I 20 I 20 I 508 I 468 I 3 i 95112 475.3 I 10.3
6925 新疆第二医学院(原新疆医科大学厚 2022 1 1 491 491 46 51788 491 I 46
博学院)
6926 I 保定理工学院(原中国地质大学长城 2022 8 8 463 452 7 92856 453. 8 8. 8
学院) 2021 8 8 485 468 2 94296 472. 9 6 9
2022 36 37 526 445 。 100731 495. 7 50. 7
北京理工大学昧海和贲 2021 36 36 ! 554 519 53 49184 530. 3 64.3
2020 24 24 i 536 524 59 43484 三529·,.5令 64.5
6931
2022 14 15 | 509 475 30 67740
北京理工大学珠姆字院(较高收费 2021 14 14 528 503 劝, 62413
专业)
2020 17 23 I 530 多-、5哪,,,乙4~,0,功'',.`拓子'3,于':斗,"午飞-妇三 扛 67788 505 1 1 40. 1
2022 26 26 1 5 14 众了它孕: 5 ,.' 9 . -,' •, " 20 78388 4855 40.5
6932 I 珠海科技学院(原吉林大学珠海学院) 2021 I 24 26 550岔 43'. 57325 528. 3 62. 3
2020 21 22 542 527 62 41219 532. 2 67. 2
2022 4 9 1 455 444 -1 101832 447. 8 2. 8
6933 I 首都师范入学科德学院 1
2021 3 I 4 483 467 l 95210 471.5 5. 5
2022 9 5 460 444 -1 101832 449.4 4.4
6934 I 北京工商大学嘉华学院 2021 10 2 469 466 。 96112 467. 5 1.5
2020 16 4 487 469 4 94118 475 10
2022 37 66 468 448 3 97409 451 6
6939 I 大连科技学艾 2021 27 27 478 471 5 91飞79 472. 3 6. 3
2020 33 33 491 465 。 9809() 470 5
2022 35 l, 47 478 448 3 97409 454. 8 9. 8
6943 I 大连东软信息学院 2021 44 44 482 468 2 94296 470,9 4.9
2020 34 34 476 465 。 98090 468.1 3. 1
2022 47 55 485 445 。 100731 448. 7 3. 7
上海外国语大学贤达经济人文学院 2021 44 52 518 466 。 96112 472. 9 6. 9
2020 45 45 538 465 。 98090 485. 3 20, 3
6946
2022 24 7 452 444 -1 101832 447. 6 2. 6
上海外国语大学贤达经济人文学院 2021 14 11 498 466 。 96112 473. 6 7. 6
(较高收费专业1
2020 14 7 481 465 。 98090 473 9 8. 9· 196 · 第三章录取统计
录取分数统计
院校 院校名称 年份 公布 录取 最低分 录取最低 平均分
代码 计划 人数 最高分 最低分 与线分差值数 平均分 与分数
分位次
线差值
2022 13 13 511 501 56 42740 506.1 61. l
6948 南京理工大学紫金学院 2021 13 13 545 537 71 36000 540.2 74.2
2020 15 15 545 529 64 39782 532.3 67. 3
` ^
` ` 2022 5 5 497 470 25 72970 486.4 41.4
6949 南京航空航天大学金城学院 2021 19 19 557 513 47 54068 517.3 51.3
2020 10 10 527 511 46 54267 514.5 49.5
2022 19 20 526 502 57 41865 510. 3 65.3
南京传媒学院(原中国传媒大学南广
6950 2021 32 32 562 528 62 42273 535. 5 69.5
学院)
2020 80 81 551 519 54 47502 527. 4 62.4
2022 2 2 490 463 18 80605 476.5 31. 5
6951 南京理工大学泰州科技学院 2021 517 51
2020 517. 8 52.8
2022 494. 5 49.5
6952 南京师范大学泰州学院 2021 518. 5 52.5
2020 516.4 51. 4
487. 5 42.5
量
6953 浙江工业大之学之江.`学气气'-院心王以"心 ':,,r:''于,女',“ ,` 占兄 ' 510. 9 44.9
2020 气l3?\ 1: 1^3'514 505 40 59518 508. 7 43. 7
6954\ \ ,浙尸v\心-江2_`六,耜,-它- \ \ 一?',,笣~飞大''心'一,少,学:`\,i,,,行,, 知 守 学 ,飞-'、.:1 院 汽一'` ,s '32 66799 508. 8 43. 8
451
2022 7 25.. ~6、 93931 463. 8 18. 8
6978 武汉工程大学邮电与信息工程学院 2021 7. 7 514 498 32 66708 503. 3 37. 3
2020 8 8 510 502 37 62281 504. 3 39. 3
2022 4 `飞 分'\,4 504 487 42 55616 493 48
6979 武汉传媒学院 2021 2 2 510 509 43 57325 509. 5 43. 5
2020 6 6 513 507 42 57786 509. 2 44. 2
~ \\ \ \ 产广 , 州院软厂件学 ' 院(原广 , 川大学华 软软件 2022 6 6 475 445 。 100731 457. 2 12. 2
2021 12 12 499 478 12 84787 487. 3 21. 3
6980 `t 2020 12 12 507 484 19 79205 489. 8 24. 8
广州软件学院(原广州大学华软软件
2022 2 2 446 446 l 99663 446 1
学院,较高收费专业) !
2022 12 12 470 450 5 95097 454. 5 9.5
广州华立学院(丿启广东工业大学华立
6981 2021 10 JO 488 468 2 94296 473. 7 7. 7
学院)
2020 11 11 485 468 3 95112 474 9
2022 9 9 508 476 31 66739 482, 8 37. 8
6983 西南交通大学希望学院 2021 5 5 507 502 36 63254 504. 6 38. 6
2020 5 5 525 502 37 62281 512. 4 47. 4
2022 24 24 477 445 。 100731 452. 5 7. 5
东莞城市学院(原东莞理工学院城市
6984 2021 16 16 491 476 10 86581 481. 1 15. 1
学院)
2020 14 14 49S 473 8
叩'荨
2022 6 7 483 446 1 99663
成都银杏酒店管理学院(原成都信息
6985 2021 21 21 510 484 18 79316
工程大学银杏酒店管理学院) 2020 6 …尸 6 - | 497 /4S 孚 22 76341
6986 贵州大学明德学院 2020 2 2 翌粗: 43 56870
6987 贵州医科大学神奇民族医药学院 2020 \飞 1 1 \ 50o I 35 \ \ ',63994 500 35
2022 l3 l3\ 501 448 3 97409 480, 1 35. 1
6988 西安交通大学城市学院 2021 1 8~ 8 533 515 49 52443 519. 3 53. 3
\ \ L\ \ 2020 ,98 . l ';~', \' \ \ -8 518 512 47 53447 515. 4 50. 4
西安建筑科技\大\学华\\清~-'学}院 2022 9 479 474 29 68793 476 31
Y \
6990 2021 10 10 541 498 32 66708 508. 5 42. 5
f
2020 13 13 512 488 23 i ; 75350 1 496. 7 31. 7
2022 25 25 489 465 20 78388 I 472. 1 27. 7
6991 西安财经大学行知羊阮 2021 25 25 503 491 25 I 73024 495. 6 29. 6
2020 25 25 505 485 20 78230 493. 5 28. 5
2022 30 30 459 452 7 92856 I 454. 1 9. I
6992 陕西科技大学镐宁学院 2021 飞2 34 483 471 5 91379 473. 6 7. 6
2020 32 32 503 469 4 94118 474. 5 9, 5
2022 45 45 493 455 10 89426 459. 1 14. 1
西安丁商学院(原西安工业大学北方
6993 2021 55 55 485 472 6 90400 475. 3 9. 3
信息工程学院)
2020 31 31 479 467 2 96094 470. 7 5. 7
2022 10 10 463 445 。 100731 452. 5 7. 5
6994 延安大学西安创新学院 2021 12 12 501 478 12 84787 485. 9 19. 9
2020 22 , 22 509 470 5 93080 490. 6 25. 6· 198 • 第三章录取统计
录取分数统计
院校 公布 录取 最低分 平均分
院校名称 年份 录取最低
代码 计划 人数 最高分 最低分 与分数 平均分 与分数
分位次
线差值 线差值
2022 3 3 512 492 47 50820 499. 7 54. 7
6996 上海视觉艺术学院 2021 3 4 547 474 8 88448 505.8 39. 8
2020 3 3 545 543 78 30010 543. 7 78. 7
2022 10 10 471 445 。 100731 460. 2 15. 2
昆明文理学院(原云南师范大学文理
6997 2021 12 12 501 487 21 76616 494.6 28. 6
学院)
2020 14 14 505 494 29 69685 498.3 33. 3
2022 10 10 474 446 1 99663 457 12
6998 昆明理工大学津桥学院 2021 10 10 511 486 20 77519 498. 7 32. 7
2020 10 11 511 491 26 72538 495. 8 30. 8
7008 河北科技工程职业技术大学 2022 12 12 495 490 45 52692 492.2 47.2
7009 兰州石化职业技术大学 2022 2 2 489 486 41立,寸天56565 487.5 42.5
7010 兰州资源环境职业技术大学 2022 5 5 491 488它'三,_于心 432、, $拓46 489,4 44.4
7011 山西工程科技职业大学 2022 2 2 49公三3\ 49I式冷了`-. “46 匀了`| $ 51788 491. 5 46.5
7012 河北石油职业技术大学 2022 !<'", 489 也 44 、:~53630 490. 7 45. 7
7013 广西农业职业技术大学 .20控 昙f4 ,心坎抖!:歹 l苍 488 ',亡 \七`43 § '54646 489.2 44.2
`-,
7014 贵阳康养职业大学 哆,-',责 ,气妥烂今气令以C俨,设心心2飞子i 4-8丁仑S' ,` 435 40 57598 485 40
,`了心,气恙.晷心左三乒.$扣,恣,夺,,沁 汹立 523” 508 63 36969 513. 1 68.1
7037 产{W^_2A畛、 _夕泛凳令-'';\. \ f 2O2l 产心14产 义15 549 542 76 32574 544.4 78.4
\ _ , 六 I / , 4 g \ L,子合亏 飞2O20它 8 8 549 543 78 30010 544.3 79. 3
一己帕J飞\~&\烂上心云气飞壬沁t匕无?如时召《·,L该A它\·:院;·立女1c 仁乒飞? 2022 18 18 501 496 51 47205 497.5 52.5
703` - 2021 10 10 521 466 。 96112 487.2 21. 2
2020 11 11 536 526 61 41943 529.4 64.4
I 心心歹 2022 12 12 507 501 56 42740 504. 7 59.1
7041 沧州师范学院 2021 10 10 536 530 64 40857 532.2 66.2
2020 8 8 537 529 64 39782 530. 9 65.9
2022 8 8 498 495 so 48113 496.3 51. 3
7051 吕梁学院 2021 8 8 527 521 55 47608 522.3 56. 3
2020 15 15 528 519 54 47502 520.1 55.1
2022 16 16 497 494 49 48998 495.2 50.2
7063 集宁师范学院 2021 17 17 524 519 53 49184 520.8 54. 8
2020 17 17 518 516 51 50004 517. 2 52.2
2022 14 14 499 492 47 50820 495.5 50.5
7064 呼和浩特民族学院 2021 9 9 525 519 53 49184 520.4 54.4
2020 9 9 522 517 52 霆49174 519:2 :'丸2
2022 16 16 519 504 59
7098 吉林警察学院 2021 16 16 556 504 扭芦二
2020 4 4 546 4,544~ 付二
2022 63 63 $l跃 书丁飞 I2'$ 87224 子3钳8俨;:2t飞 屯a5:3 .2
7106 哈玉诅早芘 畔叨211. 的 心飞6 球广 518 "'" 52`~\ 戈.,4'.旁52; 538.4 72.4
,,、\66慎 ..5.心53`屯 .` 5~3, 6"=义,,·? t71 七` 34661 539.5 74.5
f51 ~-勹户..5、20乒L\、飞夕|\§ \496 51 47205 513.6 68.6
泰州学院 '\-\\:』,云飞《\',:::::匕--一仁“\三-一一气Ii:入,-I,:巳~- J
7126 勹祁.\ : "俨`'550 541 75 33219 543. 8 77. 8
-\; -
\ 39 548 535 70 35387 538. 6 73.6
电学七\汝泸:玄:院众匕淰上'忒t'之\-',' ,_』 ,,知早之~L尸,艾午土子t2622 19 19 526 522 77 26589 524 79
7132 浙江水利水 \ ;f' .' 它了 2021 15 15 557 553 87 25867 555令1 89.1
2020 19 19 558 552 87 24442 553. 9 88.9
2022 13 13 509 466 21 77310 492 47
7147 池州学院 2021 7 7 536 525 59 44512 528. 3 62.3
2020 13 13 554 524 59 43484 529.1 64, 1
2022 22 22 506 494 49 48998 499. 2 54. 2
7148 亳州学院 2021 6 6 530 526 60 43777 528 62
2020 3 3 526 520 55 46713 522, 7 57. 7
2022 18 18 508 495 50 48113 502.1 57.1
武夷学院 2021 26 26 552 529 63 41562 534. 5 68.5
7152 2020 27 27 539 529 64 39782 531. 4 66.4
2021 2 2 517 514 48 53242 515. 5 49.5
武夷学院(较高收费专业)
2020 6 6 502 495 30 68747 498. 7 33. 7.
二、2020一2022 年河南省普通高校招生本科二批录取情况统计表(文科) 199 •
录取分数统计
院校 公布 录取 最低分 平均分
院校名称 年份 录取最低
代码 计划 人数 最高分 最低分 与分数 \!均分 与分数
分位次
线差伯 线差值
2022 30 30 516 489 44 53630 505. 6 60. 6
7153 宁德师范学院 2021 飞0 30 540 531 65 40157 533. 2 67.2
2020 32 32 534 527 62 41219 529. 5 64. 5
2022 37 37 522 491 46 51788 514. 5 69. 5
7155 福建商学院 2021 33 33 562 539 73 34627 546, 5 80. 5
勹二八`'上勹八J八 上1勹i 17 551 545 80 28679 546. 6 81. 6
2022 8 8 528 521 76 27264 523. 5 78. 5
7156 福建警察学院 2021 7 7 554 546 80 30047 548. 6 82. 6
2020 8 8 545 541 76 31333 542. 8 77. 8
2022 4 4 512 503 58 4!009 507.5 62.5
- - --
7161 景德镇学院 2021 4 4 人俨 542 532 小 66 39426 536.5 70. 5
2020 6 6 5归37 528俨;苞$ 63 40496 531. 8 66. 8
2022 5 5 53630 494.4 49.4
7163 萍乡学院 2021 5 3 夕 46101 526. 8 60. 8
2020 3 3 ; 522 520 55 46713 521 56
2022 5 5 509 501 56 42740 505.4 60. 4
"
7164 新余学院 2021 5 \ ,, \5' ', i 538 530 64 40857 534. 8 68. 8
\ .. 2020 5 5 537 525 60 42716 530. 2 65. 2
户`己,' \
2022 IO 10 502 497 52 46291 499.2 54. 2
7l76\ ` \\ --:' • 卜济\-宁夕心·k'学吝尸~?沪,`院 ' - 在穿 4 2 2 0 02 2 1 0 1 1 0 0 1 1 0 0 5 5 5 3 2 6 5 5 2 23 7 6 5 2 7 4 4 1 61 2 0 1 1 9 5 52 2 9 9 . . 2 2 6 6 4 3 . . 2 2
飞 r卜;, 2022 22 22 518 511 66 34631 512.6 67.6
7195 汉江师范学院 2021 24 24 545 537 71 36000 540. 7 74. 7
2020 26 28 542 532 67 37527 535.1 70.1
2022 5 5 539 530 85 21635 533. 6 88. 6
7205 湖南第一师范学院 2021 5 5 卜一-- 566 561 95 21385 562.4 96. 4
2020 7 7 562 558 93 21036 560. 3 95. 3
2022 4 4 515 513 68 32998 514. 5 69. 5
7206 长沙帅范学院 2021 4 6 548 543 77 31926 545. 5 79. 5
2020 4 4 536 535 70 35387 535. 3 70 3
2022 17 17 533 524 79 25322 526. 8 81. 8
7208 湖南财政经济羊院 2021 15 17 569 557 91 23563 559. 6 93.6
2020 l4 14 560 558 9飞 2/103 霆
2022 10 10 510 501 56 4274
7221 桂林航天工业学院 2 2 0 0 2 2 1 0 1 JO 1 厂i lJ O 1 5 54 4 ~ 2 三' 5 砌 2 , 8 ',』 '飞气:,'哆仁,'~ $7 , 编一 6 一2 2 3 42 3 2 9 7 7 6 ] i 沪8.9 73. 9
__,',人,____,', 2022 20 ! 20 5IQ,皮 ,,~, : , ,~ e '`'r/ f '\ 52 46291 5OO.5 '55. 5
7228 广西科技师范学院 2021 18 ”{ l8 53 \ 4 522 56 46841 525. 5 59. 5
2020 23 \ 23 531 518 53 48340 521. 3 56. 3
2022 9 9 I 499 493 48 49917 494. 1 49. 1
桂林旅游学院 \ 2021 11 : 1 1 - 539 502 36 63254 519 53
2020 l0 10 524 520 55 46713 521. 7 56. 7
7229
八`夕\ 2022 6 6 476 448 3 97409 462. 5 17. 5
桂林旅游学院(较高收势专业) 2021 6 6 494 477 11 85681 487. 5 21. 5
2020 6 6 501 465 。 98090 477.5 12.5
一^ 2022 7 7 516 503 58 41009 507 62
7233 广西警察学院 2021 4 8 543 532 66 39426 536, 8 70. 8
2020 16 16 539 516 51 I 50004 525.4 60.4
2022 22 22 ~一卜 522 450 5 95097 502. 3 57. 3
7254 四川旅游学院 2021 25 25 553 541 75 33219 545. 8 79. 8
2020 17 17 549 542 77 30668 544. 6 79. 6
2022 6 6 503 495 50 48113 497. 3 52. 3
7259 阿坝师范学院 2021 6 6 530 523 57 46101 524. 8 58. 8
2020 6 6 525 519 54 47502 521. 7 56. 7· 200 · 第三章录取统计
飞 飞 rP校 码 il 院校名称 年份 1 I 计 公 划 布 人 录取 数 1 鼓高分! 1 最低分 I 最 勹 录 低 分 取 分 数 分数 录 统 取 计 蛟低 平灼分 平 勹 均 分 分 数
三 I 线差们 分位次 线养值
1 I 4忒一!勹96一1 一一五 石如 飞6 5I
—
7273 I 兴义民族师范学院 2021 i 3 3 528 520___J_ 54 48420 522了- 56 7
三 3 519 5l5 50 50859 516 7 5l. 7
2022 _l 2 2 I 496 ! 492 I 47 I sos20 I 494 I 49
7278 I 六盘水师范羊院 529 63 41562 530 5 64. 5
三 I s19 54 47502 519 54
482 i 37 60563 485. 5 40. 5
贵炉商学院 506 : 40 59906 508. 5 42, 5
二三学阮(较高收费专业) 533 I 68 36818 534 3 69, 3
88087 482, 5 17. 5
二
48113 498 53
7283 昭通学院 47608 522 56
4沪40 522 57
7285 勹`
41865 508 63
493, 48 49917 495. 6 50, 6
7287 I 文山学院 202~ i 5 5 518 I 52 49952 518 52
2020 I 5 5 521 I 516, 51 50004 517. 4 52 4
I 2022 I 6 6 527 I 520 ! 75 27943 522, 7 77 7
7292 I 西安航空学院 2021 ! 6 6 554 I 550 i 84 27622 55 1 3 85. 3
I
2020 I 8 8 553 I 549'84 26203 550, 6 85, 6
I 729/滇 · ~\ 西科G技 师范学院 2022 i 2 I 2 I 494 I 493 I 48 49917 493, 5 48 5
2021 I 8 I 8 I 520 I 518 • 52 49952 518, 6 52, 6
7301 I 兰州工,[~学院 一一一202三0 之一二三-6 515 二竺 50859 I 52Q. 5 55, 5
2022 ! 4 I 4 I 497 I 496 • s1 4nos I 496. s 51. 5
7304 I 甘肃民族帅范学院 2021 I 4 \ 4 I 525 \ 520 1 54 I 48420 I 522 I 56
2020: 4 I 4 L I s~5118 _s I 15_17_ J- I ~252 _J I ~ 4791474_ L I 551~7.33 -L I 552~.3
2022 厂—6 I 6 I 494 I 491 • 46 I 51788 I 491. 8 I 46. 8
7331 I 新疆工程学院 一 20 — 21 厂 ! _ _ 6 “ I 一 6 I 519 I 515 一 I 49 一 I 5 — 2443 I - 517 ~
2020 i 6 I 6 I 515 I 508 1 43 I 56870 I 510.8 I 45.8
7335 j新疆警察学院 三 3 3 I 504 I 495 1 50 I 48 l l飞 498 I 53
厂734-
8
-琼台师-范学完- 2
20
0
2
2
1
2
I
; 3
4
9
2 I
I
4
3
2
9
I
I 5
5 一,
1
4
2
8 I
I
一 一
5
5
0
2 …
0
9 —}
i
·
-—5
63
5- I
I
4
4
_3
1
6
5
_4
6
6
2 _`
I
I -~
5 0_
5
4
3
_.
2
6 I
I
5-9
6
-.
6
6
-2-02-0 Ii 32 I 33 I _5_35 I 526 I 61 I 4 I 943 I 529. 4 I 64, 4
-mu —-- U I 2022 ~ -寸i —— 1 u_ 8 _ __气_I _ _ _ 1 8 _ I ` 494 ` `”` I 490 ` ` i 气4已5 ” I 52 “ 692 I ` 491. 7 I 46. 7
7400 I 河套学院 2021 i 13 I 13 I 521 I 516 I 50 I 51641 I 518.2 I 52.2
--2-020 iC 13 I 13 I 520 I 516 I 51 I 50004 I 516.7 I 51.7
2022 i 12 I 12 i 504 I 497 ! 52 I 46291 i 50 - 1 ~ .3 i 56.3
7401 兰州文理学院 202l l0 10 544 520 54 48五二6 66 6
2020 i 8 I 8 iI 536 I 532 I 67 I 37527 I 533. 3 I 68. 3
- - 2 20 0 - 2 2 1 2 - I I - 2 4 - 3 9 I I - 2 43 9 -1I I -5 5 - 4 3 7 9 - I I — 5 5 0 3 8 2 - I I — 6 6 - 3 6 — 3 3 — 6 9 9 4 6 2 勹 6 9 i i 5 5 1 3 4 7 . . 3 1 I I 6 7 9 1 , . 3 l
R仇m 福.;,洼i(特,殊夏教学百院师范学院
2020 \ 43 \. 43 \ 547 \ 528 \ 63 \ 40496 533. l \ 68. \
2022 I 47 I 47 I 529 I 513 I 68 I 3~2299~8
~
I j
25
5
1
1
s
8
_ _
II _ 7 : 3 —
2021 53 53 _ 1 “ 563 ” “ 520 54 48420 i 549. 8 i 83, 8
2020 52 52 仁 557 543 78 30010 549. 6 84. 6
----+--- \----
2022 28 28 I 535 526 81 24075 - 528, 6 83, 6
7501 I I徇第二丁业大学 2021 I 28 28_J 569 559 93 22467 1 561,7 95 7
-巠J20 - - 28 — 厂二二9 560 95 丿二产3 97 3
2022 8 1 8 507 455 10 89426 476 31
7502 荆楚理上学院 2021 I 3 i 3 I 545 I 535 I 69 I 37377 I 53s. 1 I n. 1
-- -
『~ 2020 I 17 I 17 I 5"4 2 ""'I" 538 I ”“7”3“ 丁 ! 一3一3飞一02 i ,5”“”4 0. -2 I 75. 2
2022 19 19 536 527 - 82 勹432 529 6 84 6
7563 协北第勹而他午院 2021 I 22 ! 22 I 565 I 557 I 91 I 23563 I 559 I 93
2020 18 21 558 i 554 89 1 23278 1 555. 8 90, 8 —二、2020一2022年河南省普通高校招生本科二批录取情况统计表(文科) • 201 •
录取分数统计
院校 公布 录取 最低分 平均分
代码 院校名称 年份 计划 人数 最高分 最低分 与分数 况IO0—-?3日l 平5位均-分 勹分数
线差值 _I 线芳倌
6
2022 46 46 521 445 。 55. 6
7600 浙江力里学院 2021 50 50 : 544 520 54 4842O I 526. 5 60 5
2020 40 40 530 514 49 51662 518. 5 53. 5
2022 15 15 467 456 11 88323 461. I 16. 1
7601 仰恩大学
2021 12 12 492 472 6 90400 481. 2 15. 2
勹J一(`\勹勹 50 ` 5俨0 `' 504 478 33 64636 483. 7 38 7
^^
7602 西安培华学院 2021 46 46 520 504 38 61580 509 43
2020 30 30 514 498 33 65884 503.5 38. 5
2022 76 76 500 462 17 81692 475. 4 30.4
吉林外国语大学 2021 79 79 540 46:9 3 93316 508. 6 42.6
2020 74 74 543 514 49凡 51662 521. 3 56.3
7603
2022 9 9 4三84 忑 44f l 七3999663 468. 3 23 3
古林外国语大学(较高收费女收)
户一-2-0-21
5 5 ~ ^- !- · 17 心 80250 496 30
2020 32'氮句 2 38..., i,;,.~i飞27 504 39
、2922 '19 23'尸.· 519 4.5.5. . 俨·. '``` lO 89426 481. 6 36. 6
7605 北京城市学院 2气O2/;1 20 35 5~ 2~7 493 27 71190 507. 7 41. 7
\气..多` .立一,"'气1~~;-~_ .~ -,~ 哗尘· - ~ ;沪 ~ 2O20
;4
2
3
1
'~ .
扫 ,
.; .
1 总,27 , 551 509 44 55983 ..5 17. 9 52. 9
76 f. -~ 『 - ,八它立飞 ,~ 灭 ~ , 4 、 心 ; \ 、 \ \ 尸 '\ ~ 千夕 ” , ~阮 -、琴祝气 七产诅\ 'h 心 2 2 0 02 2 1 2 i 42 5 4 3 2 4 4 7 75 8 4 4 4 6 6 6 “~“一户 。 1 9 9 9 6 6 1 6 1 3 2 4 4 5 6 0 8 . . 6 6 5 2. . 6 6
t 2020 40 40 496 467 2 96094 469.4 4. 4
2022 65 65 474 452 7 92856 454 9 9. 9
7607 I 黑上龙七江·-东.方学院 2021 60 60 493 469 3 93316 474. 4 8.4
2020 50 50 487 471 6 92059 475 10
2022 65 69 507 448 3 97409 '164.5 19. 5
L屈杉达学院 2021 67 67 540 479 13 83858 493. 2 27 2
2020 80 80 521 469 4 94118 483. 4 18.4
2022 3 3 496 466 21 77310 477 32
7608
上海杉达学院(较必收费专业) 2021 3 3 483 476 10 86581 479 13
2O20 4 4 505 473 8 90033 483. 3 18. 3
2022 7 3 450 445 。 100731 447. 3 2. 3
上海杉达学院(单列专\IV)
2021, 2 2 499 474 8 88448 486,5 20 5
2022 119 133 521 445 。 100731 450. 9 5.9
7609 上海建桥学院 2021 136 141 528 466 。 96112 474. 6 8. 6
2020 119 119 520 465 。 98090 480. 5 15. 5
2022 52 52 497 481 卢"568 489立.心森 宒1"44.2
7610 二汀学院 2021 54 54 522. 志12 54859 515. 7 t'49, 7
202() 55 5 4~ 5 / 1, 5.. 5 0 2飞 .6 仁 妇f '于,`-- 5 /5- 4心`6 13-0· 55140 51-3. 5' ,.飞 `-? 48 5
2022 44 ~ rr、咖F俨4~、飞~ 尸.,七入: 18 80605 470. 5 25.5
7611 浙江树人学院 2021' 呫 牡 502 482 I6 81132 487, 3 21. 3
了俨一 -了\\了 2O20 \` 1 44 44 ~、 -508 475 10 88087 484. 9 19. 9
` ?
又I钗叩I 学院\^乡组'\飞,\安'\\\,占\\,f,1一f一_一 -'-屯\,\七 ?纽'/3 02022 2O上`卢千喜以) 473 4沈 13 86120 461. 9 16. 9
7612 \`\ \ I \I``' - \ ,I',\ - \ ` ,2021 初 30 509 467 1 952llJ 472.5 6. 5
已`',广二 "2020 11 11 ! 482 471 6 92059 I 476. 3 1 I. 3
3
〉三 2022 6 6 462 452 7 92856 457. 8 12. 8
7613 江西科技学院 2021 6 6 488 476 10 86581 480. 5 14. 5
2020 6 6 499 469 4 94118 483 18
2022 60 60 492 446 1 99663 i 469. S 24. 5
I ^^
7614 烟台南山学院 2021 56 56 518 502 36 63254 506.4 40 4
2020 64 64 519 500 35 63994 505.3 40/、 3
2022 50 50 473 445 。 100731 455, 2 10.2
7615 古岛滨海学院 2021 50 50 494 476 10 86581 481. 4 15.4
2020 53 53 530 478 13 85132 485. 1 20.1
2022 13 13 485 477 32 65677 480.2 35. 2
7616 武及生物工程学院 2021 ! 13 13 510 498 32 66708 501. 1 35, 1
2020 9 9 500 487 22 7634[ 496 31· 202 · 第三章录取统计
公布 求敢 录取分数统计
院校 阮校名称 年份 l|' 鼓低分 I录取最低 -I均分
代仍 计划 人数 最高分 最低分 与分数 ill 分位次 平均分 勹分数
线差值 线差仇
2022 8 一 497 52 ] 46291 507. 8 62. 8
7617 长沙匹学院 2021 8 i1l 1880 ii,!:I 555528750 - 524 58 II 45291 535. 2 69. 2
2020 8 524 59 43484 536. 9 71. 9
2022 32 ] 32 i 467 445 。 丿 100731 451. 8 6 8
i i
7618 湖南涉外经济学阮 2021 36 64 516 469 3 93316. 483. 9 17. 9
2020 36 二 479 14 84136 487. 5 22 5
36 i I 469
厂I 16 I 15勹 445 。 100731 451. 9 6 9
7620 广东培正午阮 20221 10 ! j 10 496 480 14 82978 485. 3 19 3
21l2() IO lO i. --~498- 481 16 82115 487, 3 22 3
勹西安咄详学院
2022 93 ! 93 488 457 12 」 87224 469 1 24. l
2021 76 542 485 19 78405 494. 5 28 5
I
2020 53 53 510 487 22 76341 495. 3 30. 3
2022 53 53 496 456 11 88323 463 3 18. 3
7622 四安欧'll寺院 2021 49 6l 508 471 5 9l飞79 484. 6 18. 6
2020 44 44 505 480 I- 1-5 ”I「 “8739122 I- 48--4.2- l9. 2
2022 48 48 492 464 19 496 472.6 27 6
7623 西安外平f-院 2021 50- -仁 50 519 476 10 ! 8658] 497. 5 31 5
2020 43 43 508 490 25 73446 495 2 30 2
2022 25 25 ,178 465 20 25. 6
·· 詈扭452彗9
7624 西京学院 2021 24 28 509 466 。 26. 6
79893686R3_J_, _
2020 18 18 512 489 24 29. 8
2022 483 446 l 7. 9
202 I\ 2181 1
,
7625 了畟狸「学阮 2021 185 5 517 473 7 89423 479. 2 l3 2
2020 165 165 510 471 6 92059 477 5 l2 5
l l 2022 16 16 473 457 12 87224 464 9 l 9 9
7626 南昌理丁学院 2021 II 16 503 481 15 82022 488. 3 22. 3
r, I 2020 26 i 26 510 483
l
18 80203 491. 2 26. 2
2022 46 46 492 465 20 78388 470, 5 25 5
7627 四安思府学院 2021 44 44 506 490 24 73919 495. 2 29 2
I 2020 39 41 500 486 21 77287 490. 3 25. 3
「~严 1-22』 22 472 450 s 95097 457. I l2, l
7628 陕西匡们叩贸学阮 2021 20 24 494 477 11 85681 尸·· 485 ·— l 19
I 2020 15 15 485 478 13 85132 479. 8 14. 8
i 2022 16 16 517 467 22 76258 1 488 4 41. 4
7629 齐彴医药学院 2021 14 14 553 502 36 63254, 536. 2 I 10 2
2020 14 14 553 517 52 49174 528, 4 63.4
2022 20 20 485 451 6 93931 455 7 10. 7
7630 闽南埋尸于院 2021 23 23 490 472 6 90°100 474, 6 8, 6
2020 25 25 485 468 3 95112 470, 6 5 6
2022 22 22 485 464 19 79496 468 7 23 7
7634 滩坊科技学院 2021 22 22 507 485 19 78405 493 4 27 4
2020 干l 飞22 22 s11 I 48:1 \8 8020飞 499, 8 飞48
丛 ,',口 ,心丛”“ ','"' ,',',丛` `', 2022 32 491 445 。 100731 460. 3 l 5 3
7635 大津大狮炉院 妇动l 一2,11。二勹飞? 518 j 494 28 70291 498. 9 32 9
i 513 29 69685 499. l 34. I
,心 t_ _ ',丛4`5'6, 口,','"丛"',',J 0 丛," 100731 447 1 2 1
, :
济学院 487 466 ! 0 96l 12 468'i 2 5
497 466 I 97100 471. 5 6 5
~-
2022 I 11 11 520 509 64 3621:l 513 7 6X 7
2021 13 13 76 32574 543 6 77 6
2020 l 3 13 547 '541" 76 31333 543 7 78 7
2022 5 5 460 452 7 92856 456 11
i
2021 4 4 476 91379 473 8 !,] 7 8
2020 7 I 7 484 465 () 98090 471 4 6. 4二、2020-2022年河南省普通高校招生本科二批录取情况统计表(文科) • 203 •
录取分数统计
器 年份 1 公布!录取 最低分 平均分
院校名称 录取最低
计划 人数 最高分最低分与分数 平均分 与分数
分位次
线差值 线差值
2022 I 18 I 40 I 483 I 451 I 6 I 93931 I 457.4 I 12. 4
8043 I 辽宁传媒学院 2021 I 27 I 27 I 502 I 470 I 4 I 92392 I 474 I 8
2020 I 17 I 17 I 473 I 465 I O I 98090 I 467. 1 I 2. 1
2022 I 9 I 9 I 489 I 464 I 19 I 79496 I 471. 4 I 26. 4
s121 I 河北东方学院 2021 I 19 I 19 I 503 I 492 I 26 I 72125 I 496. 2 I 30. 2
2020 I 10 I 10 I 514 I 489 I 24 I 74425 I 497 I 32
2022 3 3 469 453 8 91756 462.3 l7.3
8l27 I 河北工程技术学院 2021 I 3 I 3 I 496 I 492 I 26 I 72125 I 493. 7 I 27. 7
20201 2 I 2 I 496 I 494 I 29 1696851 495 I 30
2022 I 11 I 11 · I 499 I 458 I 13 I 86120 I 482.4 I 37.4
8139 I 河北环境工程学院 2021 I 9 I 9 I 553333 I 552288 L念, \6622,了;1飞 ~念`-4~273 I 530. 4 I 64. 4
2020 I 9 I 9 I 536,.J: szs三厂 60于;^^今初了心 16 I s2s. 3 I 63. 3
2O22 8 8三产 5l豆;:, 507尸飞~,{)2'"I 31161 I 510. 3 I 65. 3
8176 I 太原学院 ` 2021 过春$ 气虹厂 543 ;~ 537 71. ,飞\Jr\36000 I 539. 2 I 73. 2
总千令$
它飞咖 产劝?ti 1六'~~ 538 533二 6s' I 36s1s I 534. 4 I 69. 4
I
多霄富 含邸叮5六' 15 ;飞§ 4龙 q,·,454 · I 9 I 90551 4s1. 1 I 12. 1
子寄氢
8177 山西应用科技学院';'`` 卢心如1 37压,\;对'; 511 473 7 89423 479.2 13.2
C"· IL'>-式言'Y,1'' , 元 酐 ` 凇 ` 心霓爷 ~202O已;',c:.37 · I 31 I s11 I 46s I o I 98o9o I 411.1 I 6.1
818,1\1 ,山西值翘影罢院\\ '" ' 1二.·-;~`户`.2O20 5 5 521 519 54 47502 520 55
\ \ \尸\i\-尸--巳-1 \ -尸 -扁 \ ~仁 , \t,B歹”\ I,一 2022 I 4 I 4 I 490 I 489 I 44 I 53630 I 489. 5 I 44. 5
82l2已劂六鄂邻纺切碌冞学院
`; 2021 4 4 517 515 49 52443 5l5.8 49.8
?,心\冬比:l了'I 2020 I 4 I 4 I 516 I 512 I · 47 I 53447 I 513. 8 I 48. 8
2022 I 3 I 11 I 470 I 451 I 6 I 93931 I 453. 5 I 8. 5
8216 I 山东工程职业技术大学(原山东凯文 2021 I 3 I 3 · I 517 I 472 I 6 I 90400 I 489. 7 I 23. 7
科技职业学院)
2020 I 4 I 4 I 470 I 467 I 2 I 96094 I 468. 5 I 3. 5
2022 I 17 I 17 I 462 I 452 I 7 I 92856 I 454. 3 I 9. 3
8218 1 山东外国语职业技术大学(原山东外 2021 I 20 I 20 I 476 I 471 I 5 I 91379 I. 472. 1 I 6. 1
国语职业学院)
2020 I 20 I 20 I 514 I 465 I o I 98090 I.487.4 I 22.4
2022 I 15 I 15 I 453 I 450 I 5 I 95097 I 450. 9 I 5. 9
s226 I 广西城市职业大学
2021 I 10 I 10 I 471 I 467 I 1 I 95210 I 469. 1 I 3. 1
西安信息职业大学(原陕西电子科技 2022 I 15 I 15. I 469 I 451 I 6 I 93931 ·· I 456..4 · I 11. 4
8258 |
职业学院) 2020 I 16. I 16 I 473 I 467 I 2 I 96094 I 468. 3 I 3. 3
2022 I 42 I 42 I 498. I 491 I 46 I 511ss I 496~~,邕飞 47.5
8386 I 黑龙江工业学院 2021 I 51 I 51 I 524 I 516 I 5o I s祀巨于51闭言丁52.1
2020 I 41 I 41 546 I 516 复: 5OO叫言 51旷-§,总设53
2022 I 11 I 11 I 45~ 卫旯 飞尸勹 96龙6 451.4 `6.4
I'"
8389 I 齐齐哈尔工程学院 202l l0 10 扭劝呤 书肛 2 了 9429§ 2蚝沪r 3.4
2020 怒22 贮2 感8巨 465 0 亡入g , 、贷8叨b I 465 . 8 I o. s
垒卢三2O2霆归无 璧炟 称2 ¥ 448广'.,'3 97409 453 8
~,飞 ·481 449 259 96236 457. 1 267.1
一了七一勹飞.'飞'.勹.~-.-妇i气.-c\了一.·:_之-'二·.I, I
长春大学 -I\,•,-- ,- `;, 'r :. ,.'\ . 2021 义七 I 乏7- so4 463 263 98832 471. 3 271. 3
3625 2020 13 13 464 429 249 134657 447. 3 267.3
_~
2022 3 3 442 437 247 109822 438. 7 248. 7
长春大学(较高收费专业)
2021 13 13 500 432 232 127458 449. 2 249. 2
2021 39 39 487 465 265 97046 470.2 270. 2
3630 长春工业大学
2020 34 34 485 461 281 lO2138 I, 464 284
-------
2021 ll 11 464 452 252 [08809 458 2'258.2
3645 长春工程学院
2020 8 8 5l2 451 271 112345 463. 3 283.3
2021 10 10 472 466 266 96112 468. 8 268, 8
3665 长春中医药大学
2020 5 5 491 470 290 93080 478.4 298. 4
2022 16 16 476 449 259 96236 455. 8 265. 8
3670 白城师范学阮 2021 20 20 469 461 261 100660 463, 3 263. 3
2020 l4 14 498 459 279 104203 465. 3 285. 3
... --...
2021 24 24 509 468 268 94296 480 9 280.9
3675 长春师范大字
2020 14 14 514 468 288 95112 482.5 302. 5• 208 • 第三章录取统计
录取分数统计
院校 公布 录取 最低分 平均分
院校名称 年份 录取最低
代码 计划 人数 最高分 最低分 与分数 平均分 与分数
分位次
线差值 线差值
2021 15 15 442 406 206 151882 425. 6 225. 6
3680 吉林工程技术师范学院
2020 8 8 434 381 201 184983 401. 3 221. 3
2021 31 31 470 419 219 139565 431.4 231. 4
3775 吉林农业科技学院
2020 19 19 464 404 224 160534 426. 3 246.3
2022 9 9 486 439 249 107491 450.4 260. 4
4325 江西医学高等专科学校 2021 8 8 490 459 259 102514 465.5 265.5
2020 7 7 501 450 270 113304 470.3 290. 3
2022 20 20 452 443 253 103008 447.1 257.1
4445 菏泽学院 2021 40 40 482 459 259 102514 462. 6 262.6
2020 40 40 513 453 273 110292 458. 7 278. 7
4920 广西科技大学 2020 19 19 482 453 273 110292 465. 8 285. 8
4925 桂林电子科技大学 2020 32 32 471 ` 456 1, 276 107245 460. 3 280. 3
S \
2022 16 16 `` \ 45l .`> 442 252 104144 446.1 256.1
4930 桂林理工大学 2021 ;;28 28 c: 492 了 456 · 256, · 105269 464. 3 264. 3
之下`202O 30 30 S 463 445 、 265 118360 452.4 272.4
4965 广西民族大学 `久,:三:勹、; $^2O2(l`". 13 13 』 463 453 273 110292 458, 9 278. 9
iff惠厂'即卢-赔}亡洋\'学\院恙沁寸吟~~产:````又只”玄心 4寸\,',~心:守 2022 45户, 、'45 448 415 225 135408 428. 3 238. 3
气
- : `: 5`:
4`
2O2l~ 's· 、4a6 46 465 422 222 136731 434. 6 234. 6
'2020 51 51 464 420 240 143812 435. 7 255,7
\ 凶\卢:,-` \)`歹院`忙,t``` ,它f气, 2022 3 3 484 453 263 91756 466. 3 276. 3
50051...\!
兑,海'L1'`分南"岛 医、,了学 2021 6 6 480 466 266 96112 469 269
L\ 2020 4 4 462 459 279 104203 460 280
5105 · 四川轻化工大学(原四川理工学院) 2020 6 6 467 462 282 101122 464. 3 284. 3
2022 9 9 462 447 257 98565 451. 8 261. 8
5235 云南农业大学 2021 9 9 503 459 259 102514 469.8 269. 8
2020 10 10 510 455 275 108265 465 285
2022 1 l 480 480 290 62599 480 290
5415 兰州交通大学
2020 2 2 517 505 325 59518 511 33l
5595 上海电机学院 2020 8 8 463 448 268 115258 456 276
5705 河北金融学院 2022 5 6 463 426 236 122482 442. 7 252. 7
2022 53 53 476 440 250 106377 445. 3 255. 3
吉林工商学院 2021 60 60 473 442 242 l、18040 454. 3 254. 3
5710
2020 35 35 471 448 268 115258 雪45生3~芦!i1274.3
吉林工商学院(较高收费专业) 2022 7 7 431 331 141 239,549飞
2021 61 61 425 259 59号骂\ 28293Q炉
5999 郑州亚欧交通职业学院 2020 80 80 25、0,` 全5 7,,宁`0``' :\ ,', 31392`` 1气 ``` 303.5 ,.1~3.5
r
2022 30 3;0` 享 399 209' 15466` 7, '`415: `心 ` 225.1
6003 郑州西亚妇院 哼赣 注·,250\ 363 l63千\, ,J-9" 4-6-3-7- 397.4 197.4
趴t778恳 - ` 、 365\ \ '1'8 5 202429 402.9 222. 9
顽压学气`\\召.,飞\3_\,气了归\ 1~ -广,s飞\::.`心 2亿Q 勺丈屯1,60 140,' A$ 勹r二488``、一1、、,4七`44 254 101832 450. l 260.1
6025
\ …:
了'\1.8b ; a,b , 512 453 253 107929 461 261
168 505 449 269 114288 457. 7 277. 7
i\ _l\i 丘I心~\ C二`,飞~2-O22 260 260 · 491 433 243 114528 441.5 251. S
许昌学院 2021 380 380 , 475 422 222 l36731 438. 8 238. 8
6040 2020 415 415 486 411 231 153134 428.2 248.2
2021 100 100 478 407 207 150941 424. 3 224. 3
许昌学院(较高收费专业)
2020 100 100 473 406 226 158441 424 244
2022 95 95 448 323 133 248623 360 170
6042 许昌学院(中外合作办学) 2021 90 90 431 329 129 228592 362. 3 162. 3
2020 85 85 451 319 139 251853 354.1 174. 1
2022 60 60 446 400 210 15碑2 419.6 229.6
河南牧业经济学院
6045 . 2021 40 50 491 222 22 298773 368. 5 168.5
河南牧业经济学院(异地校区) 2021 130 130 471 294 94 259407 408. 2 208. 2
2022 560 560 452 283 93 285208 331. 6 141. 6
6047 河南牧业经济学院(中外合作办学) 2021 450 450 466 273 73 274712 324.9 124.9
2020 503 503 461 253 73 311744 328 148.
三、2020一2022年河南省普通高校招生高职高专批录取情况统计表(文科) 209 •
求取分数统计
院校 公布 水取 最低分 i 平均分
代码 院校名称 年份 .i i划 人数 最高分 最低分 与分数录取最低平均分 与分数
线芹值 I 分位次 线差值
I
2022 590 590 461 372 182 188409 397.3 207. 3
6048 河南牧业织济学院(软件类) 2021 430 430 512 350 150 ! 207734 389.1 189.1
2020 450 450 508 357 177 211372 397. 3 217. 3
2021 40 40 497 463 263 98832 467. 6 267. 6
6050 安阳师范学院
2020 50 50 505 451 271 112345 461 1 281. 1
2022 70 70 451 421 231 128366 430. 3 240. 3
6052 安阳帅范学院(中外合作办学) 2021 150 150 464 412 212 146199 428. 3 228.3
2020 150 150 459 389 209 176296 412. 4 232.4
2022 360 360 444 279 89 288237 325.2 135.2
iI
6053 安阳师范孚院(软件类) 2021 360 360 496 234 34 294717 301. 8 101. 8
2020 360 380 503 180 。 347337 304. 5 124.5
2022 300 300 [ 452 k·占• 342、,•、 >..' 152 226413 431. 2 241.2
6057 商丘师范学院(中外合作办羊) 2
2
0
0
2
2
1
0 2
2
2
2
0
0 I 2
2
2
2
0
0
I
I
严476 - 十
-4
上 千'` 4
4
3
1
4
4
; 2
2 3
3
4
4 1
]5
2
0
5
0
5
9
4
8
4 4
4
4
3
9
1
.
6
4
2
2
5
4
1
9
.
.
6
4
2021 180 180 508 467 267 95210 470. 6 270. 6
6060 周口帅范学院
2020 180 180 , 502 462 282 101122 466, 3 286. 3
2022 120 120 488 435 245 112168 444. 3 254. 3
\
6065 信阳师范学院 2021 295 295 517 468 268 94296 473. 8 273. 8
/
人'\;,',
" ' 2020 440 440 522 460 280 103143 466. 2 286. 2
t、''
6070\-'\ \南..-.一阳·,·-· ., '师夺. ? ·尸 范一;,;学院 \'. 2 2 0 0 2 2 1 0 5 30 0 5 3 0 0 4 51 5 5 9 4 4 7 1 1 7 2 2 7 3 1 7 1 9 4 1 6 3 9 7 6 9 7 4 4 8 3 4 3 . . 4 2 2 28 5 4 3 . . 4 2
南阳师范学院(较的收费飞业) 2021 3() 30 495 430 230 246. l
了1102692382五477三I 酝446464.
6075 南阳理工汀元 2022 so 50 473 388 198 46 . 681 227.6
I
河南理工大学(办学就读地在焦作市 2021 140 140 512 458 258 264. 8
6103
解放中路) 2020 l25 ]25 509 457 277 106214 464. 7 284. 7
t-
2021 150 150 473 441 241 118982 453. 2 253. 2
河南工业大学
2020 620 620 517 420 240 143812 436. 9 256,9
6105
2021 150 150 471 425 225 133879 439. 7 239. 7
河南工寸V大学(较高收费专业)
2020 260 260 474 412 232 152087 434.4 254. 4
河南T业大学(与河南辅读中等职业
6106 2020 250 250 466 272 92 296665 354. 6 174. 6
学校联办)
2022 55 55 489 427 237 121335 437.3 247.3
平顶山学阮 2021 55 55 495 417 217 l41呫1 14473 长247.2
6125 i
2020 58 58 479 451 271 1 12345 4~~L ~'.、; t,;~;户芦-召:足276
-
平顶山学院(护珅专业) 2020 120 120 498 414 三一,,2I示s4o2"o-493忒8s丁I厂43335451门8斗. 产飞'254.7
2022 820 825 442 ,: 908- 121148 I I '5,: ' rm l61. 5
6130 黄河科技学院 2021 610 —匕 610 466: 珀卢,产 114 s尸 158
2020 815 823 471 305 125 266264 355.6 175. 6
2022 520 52O 429 190 。 326041 261. 8 71. 8
6132 黄河科技学院(中外合作办学) 2021 480 457 419 200 。 304110 264.1 64. 1
\ ·, 'h--i, 2020 430 \,430' 464 165 -15 350413 247.5 67. 5
`
6135 安阳丁学院
\\\ ,,: ~:'之」
\ 1
, ;'(\\` 己 -L尸_. ,,飞,\一'
'
了 ,`
2
2
0
0
2
2
1
2 2
32
I8
5
2
3
1
25
8 4
5
7
1
7
3
4
4
3
3
7
8 2
2
3
4
8
7 1
12
0
1
9
8
8
2
2
5
2
44
4
8
4
.
2
7 24
2
8
5
.
2
7
`-七 2020 431 446 516 422 242 [41785 439.3 259. 3
6145 信阳衣林学阮 2020 20
尸-2-0. ... I 457
418 238 145887 432 252
·· 2022 115 115 478 427 237 121335 435.1 245. 1
6150 黄淮学院 2021 130 130, 464 417 217 ] 4 ] 44 t 432.6 232. 6
2020 200 L~ ` ~ 462 397 217 167851 414. 9 234. 9
2022 90 9() 432 333 143 237232 361. 7 171. 7
6153 黄淮学院(中外合作办学) 2021 90 90 449 3 l 9 119 237976 355 155
2020 100 100 422 315 135 255990 351身2 171. 2
2021 665 665 516 443 243 117106 455. 5 255. 5
6155 河南工程学院
2020 885 885 514 451 271 112345 457. 6 277. 6
2022 80 80 444 386 196 170772 403. 3 213. 3
6157 河南丁程学院(中外合作办学) 2021 70 70 449 376 176 181478 401.4 201. 4
2020 70 70 456 379 l99 187124 409. 8 229. 8· 210 · 第三章录取统计
取分数吮
院
代
校
砃 校名利
I如I
划
I
P
矗
5
二
/
5
一 5
院 二言 0
程学院 类
0
厂 江 子 学 羊 院 飞 -Ir 仁 Y 业 丿 言 1 1 5
5
0
厂
巠0
』 阮 言 6 8
」 」 3 - 0
L 08 - 4 4
2512三64285265277104415024188131153m685279169-128134169lsom10650-26164
/ 三 - 1 4 0 1 9 4
9 0 1
5- 0 5 4
6172 I 郑州师池才院(中外合作办学) 立 41 0 1 6 』1
6175 I 郑州」业应用技术学院 三 』 上 卢 7 0 2 0 0 归 2 0 二 4 5 1 囥 4 4 6 2 二 」4
I 6 6 1 l8 8 4 0 I I I 郑 河 . 南 州 轻 利 丁 技 职 学 \ 院 II,学院 三g / , J . 国 2 1 7 1 7 0 6 2 5 3 2 0 0 三 三 0 3 2 5 2 1 7 1 7 i 1 t I i」 7 4 7 3 4 邓 3 3 1 3 5 4 6 5 4 5 0 4 勹 三 / - -
言丁1|;川财经学院 二0『 - 1 三0 2 三- 6 3 如 6 4 4 3 3 7 2 二 3
61 86 iII[南拓息统ii职业学院 三 2 : 1 ; 1 三 4 2 7 3 0 - I ; 4 4 1 6 8 3 1 3 9 4 勹 / 三 U
0 _3 9 - - 4 2 ,三三
6188 1,,n]南林业职业于阮 厂21] 24 - 6 5 4 匈 6 8 L
0 79 5 4 呕 2 三
三 8 4
5
`1 08 32
6191 I 河南]一业和信息化职亚学院 二- 8二 4 29 』
二 04 4 - 26 二
` 0 二7 卢 17 l 44 归52
I
6192.I 门南水利 i 勹环培职寸 " t 子院 2 2 7 7 4 4 0 2 - 6 4 6 6 6 9 3 5 5 0 -
, i | I 1、 河 片 水 ) - 与环境 业况 I 9 2 3 7 0 5 4 8 4 9 9 l 3 2 0 6
l 4 96
I 1 2
9 1 4 7 8
1
0 84 3
S 1 1
2 4 4 4
5 93 3
O 3 0 5
- 9
0
4
2
o
7
9 一
8 3
7
8 -
丁 3 4
、
; 1 4 6
9
4 4
2
6
-
4
9
8
9
-
2 二
4
5
6
5
4
9
6
7
8
5
」.
三、2020一2022 年河南省普通高校招生高职高专批录取情况统计表(文科) 211 •
年份 1 公布 录取』 录取分妏统ii
院 代 校 码 院校名称 1 最线低左分值 ` 众 ` 伈吵 `厂 I 二l;门 平均 : 分
计划!人数 最高分 最低分 1 与分数 I
19』厂二
2022 414 2 136619
200-135-9437-60-64-9550--437050-5-0396-05 02-498-513 4~
郑州电力高等专科学校 2021 200 402 2 155754 417 I 217
2020 135 403 4 161586 420. 1 240. 1
6213
2022 93 387 - 169538 414. 9 224. 9
x昙产力高等专科学校(较高收费[:: 66 403 玉 2 154810 428. 2 228. 2
至
50 402 0 162622 437. 5 257. 5
2021 300 450 22 110592 458. 4 258.4
二 2020 360 445 -5 118360 451. 5 271. 5
6215 河南财政金耽学院 2020 8.19 839 517 459 -27209 - I I 04203 I 465. 1 I 285. 1
1 -
2022 I 375 I 375 · 447 I 368 I 172-8 ! 193690 I 399. 8 I 209. 8
6216 I 河南财政金盟学阮(中外合作力学) 2 2 2 O O O 2 2 2 1 2 0 4 9 8 8 4 0 0 6 4 9 8 - 8 4 ( 0 6 ) - ] 1 I 4 4 5 6 1 6 6 7 0 -衮'夕``' ,` ~ ,, 4 3 3 - 2 5 - 4 1 4 - 1 · . 1 , ;_J,, ` . ' '_, ' , , . 夕 - . :. 1 1 2 5 6 3 3 - 1 2 6 5 1 勹 - I -I I j 2 2 1 心 0 2` 2 3 8 8 -6 5 3 9 3 6 4 0 6 ` I 4 3 3 3 9 9 2 4 5 . . . 2 7 7 / 2 2 l9 1 4 4 2 5 . . . 2 7 7
6218 I 河南财政金刚哼阮(软件贯)
2O21 230 23() ! 468 395 1995 162625 420 22O
2022 I 150 I 150 I 456 I 431 I 241 I 116853 I 438. 3 I 248. 3
7
6221 I 河南财经政法大学(与爱尔兰合办) 2021 400 400 514 441 241 118982 453. 8 253竺
I I - 1 I I I I I
2020 215 21s · 495 446 266 117304 4ss. 1 275. 1
2022 I 16 I 16 I 411 I 301 I 111 I 270308 I 347. 3 I 157. 3
6226 I黄河交通学院 2021 I 22 I 22 I 461 I 271 I 71 I 275973 I 320. 4 I 120. 4
I 2020 I 45 I 48 1 465 I 162 I -18 I 350901 I 253 I 73
\` , l ` 郑 I ` ' 州 ,勹·,. 幼 {,_. 儿 - ; 师范尚笘旮科冲校 2 2 0 0 2 2 1 2 I I 8 s 2 1 5 s I I 8 s2 25 0 ^ , 1 I ^ 4 4 9 8 7 0 I I 3 3 9 3 1 9 I I 2 1 0 3 - 9 I ' : I 2 ( 1 ,4 s7 51 9 1 4 I I · 4 3 4 8 5 . 0 2 I I 24 2 8 5 . 0 2
I 2O20 1180 l严 506 368 188 卢三`l.2 261. 2
6231
2022 I 245 I 245 I 444 I 335 I 145 • 234908 I 406. 3 I 216. 3
郑州幼儿师范高芞专杜j'校(,较高收 2021 \ 190 I 190, 469 I 350 I 150 I 207734 i 416.1 I 216.1
费专业) --·-----------
2020 I 190 I 190 I 464 I 373 I 193 1 193652 I 399. 6 I 219. 6
2022 I 1029 I 1029 I 437 I 345 155 I 222771 I 375. 9 I 185. Y
6232 I 驻马店幼儿师范高等专科学校 2021 I 1242 I 1260 I 460 I 228 28 I 296895 I 356 I 156
2020 I 955 I 955 I 503 I 262 82 I 304696 I 350. I I 170. 1
2022 I 1234 I 1240 I 480 I 334 144 I 236069 I 421. 2 I 231. 2
,安阳幼儿师范高等专科学校 2021 I 875 I 879 I 470 I 400 200 I 157726 I 436. 8 I 236. 8
6233 2020 I 977 I 997 I 488 I 410 230,'1s4m I 424. 4 I 244. 4
i
安阳幼儿师范闷亨片利学校(单列专业) 1 2022 1 140 1 140 1 432 1 336 146 I 233659 飞80 - 位1r 一心 190. 1
2022 I 352 I 356 I 489 I 426 236 ! 121482 447 /{c[>257. 4
焦作师范高等方科学校 2 2 0 0 2 2 1 0 5 8 2 82 2 5 9 2 0 2 8 霆 2 2 2 _ 4 3 6, I I 1 1 2 6 3 0 1 5 1 3 0 4 I · 44 4 5 5 59 1 9 . 爹 9 9 ;9 - / -1 \ .. ' ~ z 2 5 n 9 . . 9 9
6235 I 2022 50 50 175 l97614 l 385. 3 - 195. 3
焦作师范高等专科学校(单列专业) 2021 60 60
429-426-4693-43791-3-42862-2-48
1
75
3
1-
9
3 8
-
9-
I
4 0
2
0气1 -3 8`6 7"4
9
-
4
3 61
I
- 38
3
3
7
-
2
3
.
4
9
8 -33
I
7-
1
4
7
1
2
4
.
- 3
9
9 3-389
2020 50 50 146 I 244367 I 362. 3 I 182. 3
6236 I 淉河医学高等专科学校(中外合作 I 2021 190 190 85 I 266241 I 350. 6 I 150. 6
办学) 2020 50 50 209 I 176296 I 427.4 I 247.4
, 2022 1161 1161 210 I 153482 I 410. 9 I 220. 9
6237 I 淉河医学高等专科学校 1870 厂·:::1:
三 2054 f 一486
1660 481
6238 I 商丘医学高节妇科学校
厂
南阳医学高许专利学校
6239
! 209 I 176296 I 414 I 234
南阳仅学高等专科学校(单列专业) 2022 I 100 I 100 I 489 I 405 215 I 147350 I 421. 3 I 231. 3
2022 I 1149 I 1149 I 468 I 359 169 I 205212 I 373. 7 I 183. 7
6243 I 濮阳医学高等专科学校 2021 590 606 476 巠 131 I 226706 I 359. 3 I 159. 3
2020 I 800 I 800 I 466 I 311 131 I 260118 I 342. 6 I 162. 6/
· 212 · 第三章录取统计
1奴
院校 1 平均分
代码 阮校名称 分 顷 平均分 1 与分数
线差值
469507475 3 470482506 393 i ; 203 -
I
6249 I 郑州丁程技术学院(软件类) 6 3 8 8. l 18 8 1
7 37 3. 8 i 19 3. 8
- 429. 2 1 239 2
62so I 郑州上程技术学院 3 1 448. 6 i. 248一. 6
5 450 1 i 270 I
I I - 6 322 i 132
I 郑川丁程技术学阮(中外今作力于) ////勹
3 339 6 ! 139, 6
6251
4
I 2022 I 876 I sn I 491 0 433154. 78 iiI 213445, 78
6252 I 开封人学 . 2021 芒\空 507 4429 229 130194 445. 8 卜 ! 245. 8 1
1 2020 689 ! 704 514 4141 /261 122516 451. l ! 271. 1
2022 三 423 3295 205 159626 405. 7 i 215. 7
6253 I 开封大学(软什类) 2021 30 ! 30 450 3 4 97 197 160697 409 厂玉厂l
I 2020 二 463 37 0 7 197 189307 406. 9 i, 226. 9
尸 140 !, 140 423 2 8 89 99 280646 331 8 | 141 8
6255 I 升封大学(中外合作办学) 2020 凹 457 2 - 86 106 284255 326. 9 ! .~ M6. . 9
4 一厂-
2022 705 i 705 463 410 220 141459 420. 3 I 230. 3
6256 I 焦作大学 1 202l I 1 7 4 8 2 9 0 ! 1 1 8 4 0 2 3 6 1 I 5 49 l 4 l 1 I 4 3 4 4 0 0 3 2 1 I 1 2 1 0 2 3 2 | I 2 1 6 5 9 4 1 8 6 1 6 0 1 I 4 41 2 0 5 . 4 s 1 I 2 n 2 o 5 . 4 s
2 ,
/487 /I 1429 I /239 I 119088 /轧0.4 /! 2.'iOt. 4
6
6258 1 1J,:河水利职业技木学院 484 I 400 I 200 I 157726 I 424. 8 I 224. 8
6
|;丿口14,JL技勹(寸夕勹『二:5
3
;]1
0 /;
6
6259
2
6
5
517 I 413 I 233 I 1s1112 I 439.4 i 259.4 4
2
4
~
I 2020
勹二二76
丿严I 1850 1函
_ ,
昙 327 137 2呫191 3竺勹 179.亡
455 I'.l09 I 109 I 246819 飞55.2 ! l.'i5. 2 l 484 - I 411 I 221 I 140180 I 420 i 230
-—--,-- --』----
496 I 365 I 165 I 192572 I 392. 7 i 192. 7
6262 I ;`、-十---— i - - ----.I 466 - -__ i i, 3 _ 25 I l45 _ I _245_46 1 - I 3 — 60. 7 』 i _ 180. 7
4呫 326 I 136 I 245366 I 357. 3 i 167. 3
44 - 6 t I -3_06 _I 1_06 _i _ 2 49455 I'.J36. l [ 136. I
·-
2020 I 175 I 175 I 440 I 2ss I 78 I 307901 I 306. 3 ! 126. 3
2022 757 757 490 396 206 15 8380 408. 9 1 218 9
50469 9 」375355 175175
6263 I 河南司法酪'自职\II,学院 2021 719 719 182464 399, 2 i 199, 2
函9 厂如厂
2020 790 790 : ~ 213600
6264 ; 河 专业 南 ) 职亚技本'f院(软件失,较高收费 2020 I 6l I 61 I 432 II ! 212 I 32 I 罚6464 I 365. I I 18'i l
一厂
6265 I 郑州饮路职\ll1技本孚院 -
44
河南应用技本职业羊阮
6266 _ 4
I 河南)也用技 -- 术职m 寸-1, r-_ 院 (扣的收费
荩II勹
三,丿己 l2气上竺() --42巴 :-30 l2空0 ! !l?2 3 - - 242飞
6267 I 河南检牢职业学院 加21 i 708 I 708 I 499 I 408 I 20s I 149994 i 430. 1 I 230. 1
2020 ,I s30 I s30 I 41s I 398 I 21s I 166s2s I 422. 1 I 242. 1
,
t201 I 1260 I 447 I 295 I 10s ,I 275590 I 317. 6 I 121. 6
6268 I 1对南质昂工程职\II1学1玩 2021 I 1126 I 1126 I 463 I 266 66 I 278968 I 298. 1 I 98身]
卜—-i! !
2020 1068 I 1456 I 463 I 215 I 35 I 335lOO I 262. s I s2. s.
三、2020—2022年河南省普通高校招生高职高专批录取情况统计表(文科) 213 •
录取分数统计
院校 公布 良取 最低分 平均分
院校名称 年份 录取最低
代码 计划 人数 最的分 最低分 与分数 平均分 与分数
分位次
线差仇 线差值
2022 l l 8 l l l 8 I 451 353 163 212838 371. 3 181. 3
6269 河南建筑职寸,,技术学阮 2021 767 767 486 332 132 225724 362.4 162.4
2020 1480 1480 457 299 119 272124 338. 8 158. 8
2022 1055 1060 488 379 189 179514 393. 9 203. 9
郑州信息科技职业学院 2021 1139 1139 490 365 165 192572 387. 7 187. 7
2020 ll65 1207 503 352 172 216939 383, 1 203. I
6270
2022 16 16 41l 251 61 305420 323. 3 133. 3
郑州信息科技职业学院(较高收费
2021 6 6 342 303 103 252069 317. 2 117. 2
专业)
2020 15 15 349 288 108 282382 307.5 127.5
2022 1282 1293 434 323 133 ! 248623 342.6 152.6
平顶山工业职业技本于院 2021 1015 `49丁—471 277 77 271974 309. 3 109. 3
2020 1336 1952 462 230 _,-土气2 50 \ 327216 276. 9 96. 9
6271 平
专业
顶
)
山工业职叩技本 - 宁院(较网收费 2 2 0 02 2 1 2 3 1 0 5 4 l5 4 , 3334436440、r,"才芒§三;;, ' 令气 = 上兰-夕?•编,.-俨: 2 · • • 2 2 1 14 9 . § ? 尸 \ ` .仁 L , , . 只\,-,了, 274 - 三
, ` `
ij 「 `3324声9 05418
`
633 25 2 0 6 . 4 9 50 7 . 4 9
2020 $ 15 15 187 266. 3 86. 3
2022 760 791 440 332 142 238394 352. 6 162. 6
濮阳职鼎技术学院 2021 1301 13 5 1^ 463 286 86 265509 323. 6 123. 6
6272 ,
2020 1615,_ 2215 459 232 52 326034 297. 3 117. 3
濮阳职业技术学院(较高收费专业) 2020 30 8 322 196 16 342748 246. 5 66. 5
2022 320 320 450 365 175 197614 381. l 191. l
鹤壁职业技术'r阮 2021 356 391 470 337 137 220807 362, 9 162.9
';;飞.丁~,俨飞.,户' 2020 1230 1357 455 271 9l 十2五97473 335 155
6273 2022 言 329 218 28 8986 262. 6 72.6
65 65
鹤壁职业技木羊国(较高收饥飞业) 2021 366 203 3 .. 303545 267 67
2020 366 160 一20 351199 223. 2 43.2
鹤壁职业技木学院(单列炉W) 2020 434 211 31 336931 264. 8 84. 8
2022 884 898 418 337 147 232452 354. 9 164. 9
6275 二门峡职业技术学院 2021 1473 1517 468 295 95 258633 325. 6 125. 6
2020 1865 2050 464 247 67 316137 289. 3 109. 3
2022 1100 1107 461 361 171 202778 405 3 215. 3
6276 许昌职\lV技术学院 2021 1685 1689 459 336 136 221808 363. 8 163. 8
2020 2200 2347 473 299 119 272124 340. 7 160. 7
2022 1649 ! 1702 461 321 131 250730 343.5 153. 5
6277 漂河职业技术学院 2021 1820 1916 475 282 82 268451 319俨.,t七7'7C.45,咬`王 -· 心 § ll9. 7
2020 1620 ! 1983 461 239 59 321518 288A丘飞08.8
2022 1051 / 1055 463 35`2'一...,'.~ 巧2 | 2l4l08 392, ~' - 202
商丘职业技术学院 2021 800 i 800 4 7·、2. •.. ,-339之 139 i, 218794 402.9~ ;202.9
2020 1500 1500 50$飞 3`5六2.一.“ 气 172 I 216939 1 387.'"1 207.1
6278
2022 60 61 382 246 56 307941 273. 4 83. 4
商丘职业技术学院(较高收费专业) 2021 60 60 354 202 2 303749 251. 2 51. 2
2020 70 70 435 163 -17 350739 229. 6 49. 6
2022 1195 1198 473 349 159 217891 368 8 178. 8
周口职IIV技术学院\ 2021 866 872 459 332 132 225724 358. 8 158, 8
6279
\,' 2020 1210 1446 456 276 96 293302 320. 9 140. 9
周口职业技木学院(单列专\lit) 2022 500 500 438 190 _60巴 竺32277610774395 149.2
2022 640 672 439 320 _8 4i1 6] ” “] i 333396.. 26 146.6
6280 济源职业技木学院 2021 825 909 471 268 305. 1 105.1
1
2020 ll95 1697 483 180 O l -W 347339(7) i|, ,257. 5 77. 5
2022 2278 2277 485 430 240 _丁j__l_l 79 439. 8 249. 8
河南经贸职业学院 2021 2027 2027 515 432 232 7458』447 247
6281
2020 2707 2707 495 414 234 150098 431. 8 251. 8
河南经贸职业学院(单列专业) 2022 100 100 463 271 81 293664 388擘8 198. 8
2022 809 809 462 392 202 163301 405. 5 215. 5
河南农业职业学院 2021 589 589 494 377 177 180490 400. I 200 1
6282 2020 1168 1192 508 338 158 231723 378.2 198. 2
河南农业职业学院(单列专业) 2022 50 50 405 179 -11 327981 237.5 47. 5
河南农业职业'f'阮(异地校[x:) 2021 100 ! lOO 472 180 -20 ! 307062 : 346. 7 146. 7• 214 • 第三章录取统计
录取分数统计
院校 公布 录取 最低分 平均分
院校名称 年份 录取最低
代码 计划 人数 最高分 最低分 与分数 平均分 与分数
分位次
线差值 线差值
2022 1322 1322 455 387 197 169538 400.6 210.6
河南交通职业技术学院 2021 1365 1365 472 353 153 204689 376.5 176.5
6283
2020 1270 1283 467 337 157 232767 371 191
河南交通职业技术学院(单列专业) 2022 90 90 426 190 。 326041 321 131
2022 1264 1290 467 338 148 231258 361. 2 171.2
6284 郑州旅游职业学院 2021 978 985 451 327 127 230524 355. 9 155.9
2020 1872 1922 472. 286 106 284255 338.1 158. 1
2O22' 1066 1068 449 394 204 160821 410. 7 220. 7
郑州职业技术学院 2021 1229 1229 508 373 173 184547 402.9 202.9
6285
2020 2102 2113 509 357 177 211372 387. 5 207.5
郑州职业技术学院(较高收费专业) 2022 20 20 410 221 1 3 1心5-叶众3沁、1L7995 290.1 100.1
2022 430 430 421 : 337;寸寸 夕 147 - 呾2452 350 160
6286 郑州工业安全职业学院 2021 528 5:5,2`.俨O8.O:;尸尸, 426二t?心o `'`尸L30`5 ,.了. l'l\105 250321 326.1 126. 1
2020 \ § 468-亡、 尸 289 109 a 281525 320. l 140.1
,汴2022 言- 56J)O - 8 心 2 59勾之:c 446 沙0六 `.100.. 279816 307. 8 117. 8
永城职业学院 ``亡总言玄罩屯 卢施1 802 }^ 4.72 `'-2' 31 31 295822 270 70
6287 , `'一-II 屯,.`,r罕e七3廿冬-'.,1古`氐沁 "' 1O20 495父,1033 '498 160 -20 351199 248 68
的飞夕-·'如-_-叩_队,·较`$高.飞.,.·,c心费收,[•,仑专"业.)沙心 `产2022..言、'ti9 9 401 210 20 321356 309.6 119.6
\\,_: \/-\. ,.\ `` 乏心-
尸上、2,0 21
9 9 465 224 24 298146 316. 1 116.1
2020 10 8 465 220 40 332687 331. 4 151. 4
_
信-俨?阳;'.职S已;业?`技守L心作术;.七学乙院 2022 2203 2209 474 381 191 176992 401. 2 211. 2
[\
6288, 2021 2128 2128 484 329 129 228592 404.6 204.6
2020 2004 2017 467 322 142 248680 386.5 206.5
2022 1718 1724 437 337 147 232452 353. 3 163. 3
河南工业贸易职业学院 2021 2199 2202 473 297 97 256999 323. 8 123. 8
6289 2020 2373 2427 448 276 96 293302 313. l 133.1
葫过贸易敕学院(旺妓专业) 2022 74 74 392 192 2 325611 309. 8 119. 8
河南工业贸易职业学院(单列专业) 2022 126 126 447 190 。 326041 323. 2 133. 2
2022 1149 1163 458 348 158 219108 365.5 175.S
河南艺术职业学院 2021 734 744 427 322 122 235219 350.4 150.4
2020 1046 1060 475 298 118 273026 340.1 160. l
6290
2022 256 256 409 192 2 325611 285. 1 95.1
河南艺术职业学院(较高收费专业) 2021 119 149 390 200 。 304110 271立t , 71. 9
2020 200 145 425 160 -20 351l99 256夕(?', 7`: }`, ``` 、''' 飞3设 76. 7
2022 952 961 442 327 !,37了: 2牲~lt ``361.'、3,7 沁171.3
新乡职业技术学院 2021 618 626 辜了 1 33 ?- 2247” ',s, 360. 9 ,, l60.9
逞飞
6291 2 2 0 0 2 2 0 2 ~a 7 ;5 9 5 5 ; 8 5 6 5 3 C 飞 2 2 ~1 8 t6 2 东 、 1 i 0 6 2 ·., 沪 · ·` ^3 2 1 8 9 7 ~6 9 1 6 . 7 9 `勹3 2 4 6 17 6 . . 4 4 T 1 7 6 6 1 . . 4 4
新乡职业技术学院(较高收费专业)轨戏\夕哎';` 衾2021丁 知 3千 368 :' 2位; \S 2 303749 264.6 64.6
I` --__、, ?:` ,乙. 立020 气'35· 35介寸 ,、、`4心4,03t,~乓,,.为 180 。 347337 247.4 67.4
叹)22 l253 f`1 2,5气`4: 1 1 450 330 140 240679 346. 3 156. 3
安阳职业技…匕:飞 乏i俨~-口`i心~ \、~-;沧一,
6292 1,/“· ` ;3-,. ' '`- _ ~ \ 2 2 0 O ` 七 ` 2 2 , 0 i, - 1 1 9 9 3 4 2 l 1 1 9 9 6 7 1 8 4 4 7 5 5 8 2 2 7 4 7 7 6 77 7 3 2 1 71 6 9 1 7 3 4 7 28 3 3 0 , 5 l 1 1 0 0 3 5 . l
驻马店职业技术心学-`-,“S 院气了,1二叩卢, 2022 465 465 448 339 149 230003 360 170
6293 2021 550 550 467 295 95 258633 334. l 134.1
2020 740 1336 500 180 。 347337 266.1 86. 1
2022 1159 1214 397 224 34 316954 260.4 70.4
6295 郑州城市职业学院 2021 1310 1331 469 200 。 304110 267. 7 67. 7
2020 2110 2096 485 160 -20 351199 248. 7 68. 7
2022 121 124 435 278 88 288965 309. 6 119. 6
6296 漂河食品职业学院 2021 332 352 418 200 。 304110 260. 8 60. 8
2020 834 348 493 162 -18 350901 241.4 61. 4
2022 1501 1512 386 198 8 324323 248. 5 58. 5
郑州理工职业学院 2021 664 680 471 242 42 291470 284. 7 84. 7
6297
2020 1660 2113 483 160 -20 351199 249. 2 69.2
郑州理工职业学院(较高收费专业) 2021 20 7 280 214 14 301008 246 46三、2020-2022年河南省普通高校招生高职高专批录取情况统计表(文科) • 215 •
录取分数统计
院校 公布 录取 最低分 平均分
院校名称 年份 录取最低
代码 计划 人数 最高分 最低分 与分数 平均分 与分数
分位次
线差值 线差值
2022 1241 1340 423 222 32 317649 256. 8 66. 8
郑州信息工程职业学院 2021 704 778 420 205 5 303126 254. 8 54. 8
2020 1341 1413 468 160 -20 351199 243.2 63.2
6298
2022 30 30 . 395 191 1 325829 268.3 78. 3
郑州信息工程职业学院(较高收费
2021 66 66 408 202 2 303749 264.2 64.2
专业)
2020 17 11 316 184 4 346324 228. 8 48. 8
2022 720 770 414 245 55 308427 276. 9 86.9
6299 焦作工贸职业学院 2021 85 91 447 249 49 288144 299.9 99.9
20加 545 804 439 216 36 334629 266 86
2022 956 1019 436 190 。 326041 284.5 94.5
6300 长垣烹任职业技术学院 2021 391 572 513 200 253.4 53.4
,f飞, 总气3又17649
`2020 725 129 390 160于曰毡 238.1 58.1
2022 32 254.5 64.5
归`:C
6301 许昌陶瓷职业学院 2021 0 ,{毁牡10 262.5 62.5
r亡尸$'2尸20' ? ' 它 35 11 99 234 54
邸垃
221· 37 315901 273.3 83.3
250 50 287643 295. 7 95. 7
6303 贯郑-州外瞧¥电-力力气职职/\业业\技技术术气学学戛院院d一扂 切·l:;:;专--,占t含业二,\ 订双20边
4';;; 2Ot 占仁450心', 519 429 244 64 318230 284.5 104. 5
门i 1000 1000 415 191 1 325829 308.3 118.3
\j歹 飞\;,和飞,吐刁之;尸t南$飞科`尸岁夕技七¥职\业夕犬夕学玄'年 \\夕` 巨J 2022 119 119 443 316 126 255946 344.3 154.3
6304\\ i 2021 570 575 468 200 。 304110 284. 7 84. 7
了甘 2020 1140 1182 479 160 -20 351199 267.1 87.1
2022 198' 208 447 322 132 249651 342 152
郑州谢青医学高等专科学校 2021 573 587 465 273 73 274712 310. 3 110.3
2020 720 796 442 262 82 304696 301.5 121.5
6305
2022 60 60 377 294 104 276477 315.5 125.5
郑州湔青医学高等专科学校(较高收
2021 80 80 429 244 44 290545 293. l 93. 1
费专业)
2020 80 80 425 241 61 320236 294. 3 114.3
2022 450 485 408 248 58 306948 276. 8 86. 8
6309 郑州电子信息职业技术学院 2021 951 1084 418 200 。 304110 264. 7 64. 7
2020 1286 1627 442 160 一20 351199 249.9 69. 9
2022 156 161 细 191 1 325829 266. 8 76. 8
6310 嵩山少林武术职业学院 2021 84 67 365 200 。 304110 247.6 47.6
2020 410 40 475 174
2022 932 948 436 325 免
6313 平顶山职业技术学院 2021 1085 1179
赞
叩化艺术妞学院 』:迦言l41霆
5 1747
6316 4'.14;,飞含况2438 345. 3 145. 3
73 311744 312. 3 132. 3
顽医学高,专\科IZ了\\学,·\,\_勹校计.一三,一三二/,\卢ii,r六-已\` \ '`48矿, 398 208 155967 428. 5 238. 5
513 415 215 143362 434. 7 234. 7
-
-',\ -1 1.I
飞?\啤0 \ "'1326 1326 503 421 241 142768 438. 6 258. 6
6317
河南医学高`专丫\科I心学,校。(较,.高,.:•,,收l.费t歹"' 2022 100 100 426 342 152 226413 369,2 179.2
2021 100 100 441 325 125 232444 362. 7 162. 7
专业)
2020 100 100 467 309 129 262221 345.4 165.4
2022 807 809 433 307 117 264800 329. 5 139;5
河南测绘职业学院 2021 925 1016 461 270 70 276561 312.6 112.6
6320 2020 533 533 443 281 101 288880 311. 8 131. 8
2022 40 40 382 197 7 324543 266.8 76.8
河南测绘职业学院(较高收费专业)
2021 70 29 329 202 2 303749 247 47
2022 18 18 405 314 124 257977 334. 7 144. 7
6322 许昌职业技术学院(软件类) 2021 10 10 317 292 92 260961 301. 3 101. 3
2020 60 60 343 190 10 344703 250.5 70.5
2022 426 426 441 333 143 237232 368. l 178.1
南阳医学高等专科学校(中外合作
6323 2021 429 429 471 308 108 247689 349.9 149, 9
办学)
2020 429 429 457 312 132 259096 353. 6 173. 6· 216 · 第三章录取统计
录取分数统计
院校 公布 录取 最低分 平均分
院校名称 年份 录取最低
代码 计划 入数 最高分 最低分 与分数 平均分 与分数
分位次
线差值 线差值
2022 120 120 418 280 90 287461 361. 3 171. 3
6328 河南经贸职业学院(中外合作办学) 2021 16 24 430 383 183 174478 397 197
2020 89 89 455 324 144 246571 365. 8 185. 8
2022 52 52 446 403 213 149776 418.3 228. 3
6330 河南经贸职业学院(软件类) 2021 6 6 461 419 219 139565 431. 8 231. 8
2020 72 72 432 378 198 188254 394.1 214.1
2022 20 20 329 273 83 292397 295 105
6335 三门峡职业技术学院(中外合作办学) 2021 35 35 304 225 25 297842 253. 9 53. 9
2020 95 125 370 160 -20 351199 230.1 50.1
2022 597 597 508 357 167 207684 393. 1 203.1
郑州铁路职业技术学院(中外合作
6336 2021 579 579 520 330 130"\": 227648 388. 1 188. 1
办学) 2020 530 534 500 35~ 4~、、、, ; ~ , , 174 214701 402.6 222. 6
2022 100 317 127 254941 331 141
1三6000豆 3379l25
商丘医学高等专科学校(中外合作
6338 2021 l叨 9 .- 271 71 275973 304. 8 104. 8
办学)
2O20 6o 2!\3 103 287062 305. 5 125.5
,
2四~~-夕八~ 10,8-~ 108 423~= '. 361 171 202778 378. 1 188.1
郑州-r铁`,路巳职,占\业,技术学~院(软件类,)七,',
6346 I 2O2i 120 扫~~ -·1 ·~2"0 - 424 337 137 220807 361. 3 161. 3
202(! 'l2O 120 444 340 160 229594 358 178
634\'\ 7 ,' }\ I'商'-n丘 -- 职-\_--业-一一 ! ,技 术\学院(软件类) ? : 2 20 0 2 2 1 2 1 8 1 0 0 1 8 1 0 0 3 3 8 8 8 5 2 2 7 5 5 2 8 5 5 2 2 2 9 8 1 6 0 6 3 3 8 4 3 29 0 4 6 . . 7 9 1 9 1 4 6 . . 9 7
k_ - 2020 120 180 423 195 15 343072 254. 7 74. 7
, I: ~-
2022 25 25 390 269 79 295011 285. 4 95.4
6349 三门峡职业技术学院(软件类) 2021 37 37 424 200 。 304110 242 42
2020 50 62 425 166 一14 350221 230. 7 50. 7
2022 180 192 426 324 134 247558 344. 3 154.3
河南女子职业学院 2021 540 540 449 254 54 285600 289. 6 89. 6
6353
2020 490 260 493 160 一20 351199 235. 5 55.5
河南女子职业学院(较高收费专业) 2022 20 20 357 276 86 290325 302. 6 112. 6
2022 424 424 447 285 95 283733 308.4 118.4
6354 河南对外经济贸易职业学院 2021 524 524 450 200 。 304110 246. 6 46. 6
2020 390 430 499 180 。 347337 268. 2 88.2
2022 173 173 412 256 66 302727 280. 9 90. 9
濮阳石油化工职业技术学院 2021 202 332 403 200 。 304110 253.~ 53. 9
6355
2020 160 51 400 165 -15 35Q413 231.5- 了'51.5
濮阳石油化工职业技术学院(单列专业) 2022 250 250 379 191 l 325829, ;~ ; tL 285.6 - 95. 6
2022 542 544 399 吵3 103 2773气5:~三1 • • 312. 3 142. 3
6356 南阳科技职业学院 2021 357 381 飞"3~ ~~一咖8.0 咖咖心咖咖~-泾~; 200 0 C 304110 -251.,5 r,. 51. 5
2020 ~ ~~二 { 2牧.尸) 1 361 ~~4~ ~、 ~~二 ~~七编~3~ .~ 5 : ~~ a ~心 `~~~八 ~ : 160. -20 35ll99 235 55
| 2022 - 6··/ ~~ 01; 仁6 6l0 387 ,二2兄60 70 300485 282.4 92.4
0
6357 兰考三农职业学院 __ 口、 1\1021 414 416 ~~ ~、 了~4~ /~ 28 ~它了 ; ~- 20俨/~ 。 304110 261. 5 61. 5
\ - - 尸, ~ ; 1 _, , i- ' _ , 俨俨`尸 - , \· ` \ ~ \~亡 - ': - , _ ; - _ . • ' J ,. ,.飞,' ,[ ' io20 320; 小7 461 219 39 333203 277.1 97. 1
职业技术\~学 I II \ - 院, ; ~ I ,\ \- I _ .__-~ . ·L,I \ , .-了一二尸 -“一~ 2022 422 423 423 272 82 293019 289 99
6358 汝州 2021 217 266 452 200 。 304110 263. 6 63. 6
\,\ 2020 250 29 424 168 -12 349864 250. 7 70. 7
2022 602 828 393 190 。 326041 263.4 73.4
6359 林州建筑职业技术学院 2021 381 298 469 200 。 304110 248. 9 48. 9
2020 270 34 399 167 -13 350063 243. 9 63. 9
2022 770 798 432 193 3 325398 233. 9 43. 9
6360 郑州电子商务职业学院 2021 495 501 467 200 。 304110 263 63
2020 400 53 411 163 -17 350739 232. 2 52. 2
2022 160 160 393 249 59 306433 289 99
6361 郑州轨道工程职业学院 2021 55 113 453 206 6 302908 284. 8 84. 8
2020 750 234 521 161 -19 351053 269.4 89.4
2022 351 362 403 190 。 326041 262.5 72.5
6362 郑州体育职业学院 2021 164 178 378 202 2 303749 259. 7 59. 7
2020 360 21 377 185 5 346050 245. 8 65. 8三、2020一2022 年河南省酱通高校招生高职高专批录取情况统计表(文科) • 217 •
录取分数统计
院校 公布 录取 最线与碌分差(分数Jt录r取行最次低一~ 平均分
院校名称 年份
代码 计划 人数 蚁翡分 最低分 平均分与分数
线差值
2022 7砬 732 388 262 72 299366 281. 8 91. 8
6363 洛阳文化旅游职\ll,学院
2021 598 59_8_;, 444 201 1 303931 261.4 61. 4
2022 490 511 412 258 68 301602 283. 6 93. 6
6364 周门文理职业学院
2021 610 610 4呫 200 。 304110 261. 6 61. 6
2022 945 945 422 296 106 274752 320. 5 130.5
6365 信阳艺术职业学院
2021 770 770 471 200 。 304110 2.73 9 7飞9
2022 792 826 408 232 42 314023 265. 7 75. 7
6366 郑州城建职业学院
2021 600 560 476 200 。 304110 259 5 59. 5
2022 682 725 414 244 54 308909 282.5 92.5
6367 郑州医药健康职中平院
2021 500 336 471 200 0
l. I
I . 304110, 260 60
2022 817 819 450 366 ,, 176 196341'384. 4 194.4
郑州财税金祔职业叫伲 2021 727 747 472_ 岔飞编一 , 335., ' ,、 135 222791 365. 3 165.3
6379 2020 1129 1144 l 465"匀 326) ! l 0.J46 I 244367 361.4 181.4
2022 70 70 398; ;'.: 227 -~ 37 , 315901 315. 4 125.4
郑州财税金融职业学院(较高收费
2021 45 45 420 293 93 260231 323. 6 123. 6
专业)
2020 28 28 352 261 81 305513 297会1 117. 1
2022 939 951 445 307 117 264800 328. 3 138. 3
南阳农业职业学院 2021 810 890 470 262 62 281294 298 98
\
6380 2020 1001 1001 467 228 48 328414 269.1 89. I
\\ \ '\ 2022 49 49 332 179 -11 327981 228, 9 38. 9
南阳',气农义-'r-业,三:职t.令业'学院(较高收费飞业)
2021 65 29 370 180 -20 .l07062 261.4 61.4
',\ t ;2 2022 164 164 450 332 142 238394 I 353. 5 163.5
6381 河南推拿职业学院 2O21 139 140 470 299 99 , 255359 325. 8 125. 8
2020 200 200 425 264 84 I 303147 2%.5 116.5
2022 1085 1086 426 267 77 296286 331. 1 141. 1
河南机电职业学院 2021 1879 1880 445 262 62 281294 304. 6 104. 6
6382 2020 1267 1290 475 284 104 286131 320. 5 140. 5
河南机电职业学院(单列专业) 2022 810 809 452 191 1 325829 325. 3 135.3
河南机电职业学院(异地校区) 2022 40 40 376 296 106 274752 323. 9 133. 9
2022 1547 1551 456 336 146 233659 355. 1 165. 1
河南护理职业学院 2021 1140 1150 462 314 114 242438 338. 4 138. 4
2020 1145 1144 466 306 126 265265 337. 3 157. 3
6383
2022 80 80 366 284 94 284502 30\8二 114. 8
河南护理职业学队(较高收费专业) 2021 75 75 328 203 3 303545 26盂9 1 62. 9
2020 80 105 367 180 ,0 347337 | 258史、`一诈" 户78.5
2022 1069 1069 452 亡俨370.2俨 尸i、卜-sJ~ o I; 191033 385_ 4 ,.195.4
洛阳职业技术学院 2021 674 684 5 1 I噙 34-俨0-^俨,一 , 140 217789 366::2\ 166.2
2020 1576 1606 504 304 124 267248 335. 5 155. 5
6384
2022 93 93- 358 194 4 325188 262. 6 72. 6
洛阳职业技术学院(较高收费专业) 2021 35 35 464 218 18 299856 270. 3 70. 3
尸,\卢,:' 2020 20 47'尸 459 162 -18 350901 250.4 70. 4
\:'' i 2022 1080 1088 399 286 96 282971 303. 1 113. 1
6385 许昌电气职业学院 2021 865 940 426 230 30 296154 260.1 60. l
2020 1095 1963 459 168 -12 349864 234.4 54.4
2022 1800 1821 「 418 190 。 126()令11 281. 1 91.l
6386 郑州商贸旅游职业学院 2021 780 800 410 200 。 304110 25飞.2 53.2
2020 1440 530 : 51() 161 -19 351053 239. 6 59.6
2022 500 552 400 190 。 326041 265.3 75.3
6387 鹤壁汽车工桯职抻于院 2021 720 182 ! 403 200 。 304110 239. 9 39.9
2020 1050 231 396 163 -17 350739 238. 5 58. 5
2022 280 282 348 190 。 326041 239. 7 49. 7
6388 信阳涉外职业技术学院 2021 422 318 470 200 () 304110 256. 2 56. 2
2020 364 115 464 160 -20 351199 245. 5 65. 5
2022 795 843 453 190 。 326041 270. 5 80. 5
6389 南阳职业学院 2021 172 194 477 274 74 274006 323 123
2020 1000 973 508 160 -20 351199 249. 8 69. 8· 218 · 第三章录取统计
录取分数统计
I 公布
院校 录取 最低分 1 平均分~
代码 阮校名称 叮份 I十戈lJ 人奻 取L,亡向/J } 最低分 与分数 录取最低 平均分 i 与分数
分位次
线差值 线方伯
1437 1'136 409 232 42 31,1023 27°1. 5 84 5
6390 郑川蜇河护理职\II1学院 2021 l592 1546 444 200 。 飞04110 259 9 59, 9
2020 2010 2073 443 180 () 347337 252. 7 72 7
2022 480 i 548 418 260 70 300485 293. I 103, 1
6391 洛阳科技职业fI亮 2021 l 00 1 l05 392 264 64 280159 :io1 6 IOI. 6
2020 1112 604 468 160 -20 351199 248 8 68 8
洛阳利技职业学院(较的收拱专'IV) lO ! 5 292 189 9 344966 233. 8 53 8
20202202
125 ! 130 386 217 27 319306 253. 9 63. 9
6392 鹤壁能曲化丁职业早院 '2021 179 136 451 202 2 303749 249 6 49 6
2020 4o I 23 464 iI 168 -12 349864 248, 9 68. 9
2022 836 i 867 408 267 77 296286 290 100
6393 三Ij峡补会竹理职业孕院 2021 347 402 469 244 44 290545 291. 4 91. 4
2020 540 832 453 210 30 337374 267 7 87 7
2022 1542 1580 450 ! 196 6 324775 327 137
6502 中原和技学阮(原河南帅池大子价联 2021 260 i 267 465 400 200 157726 436, 6 236, 6
学阮)
I 2020 吓0 1 430 468 438 258 125508 447 5 267, 5
新乡工程学院(原河南科技学阮新利 I
6503 2022 415 4l4 447 192 2 325611 264 3 74 3
学阰)
2022 1240 1240 446 284 94 284502 328 6 138 6
6504 郑州经贸学阮(肿中原1乌午院仁皂商 2021 ~ ~ 930 ”“”“` 984 466 218 18 ”“~~ `~ 299856 304 104~ `
务学阮)
2020 410 ! 607 517 182 2 346844 312 6 132 6
2022 _尸64勹, 437 190 。 326041 290. 6 100 6
忻;;;怢早阮二全学1忨 --340
6505 I 21l21 54 458 204 4 303340 342 142
2020 114 114 480 411 231 153134 447. 6 267 6
新乡医-厂阮一个汗院(护则专1ll1) 2020 40 40 444 301 121 270152 362, 4 182, 4
2022 175 184 414 274 84 291736 328 7 138 7
6506 郑州工商学院 2021 461 329 129 228592 352, 7 152 7
2020 312110 !i; 3 1236 . 2 . ~467- -+j -318- - 138 252901 361 I 181 1
6507 I 安阳学院 2 2 0 0 2 2 2 0 5 1 6 1 5 5 8 j 8 j 3 5 4 4 6 3 0 6 2 飞 5 0 4 4 ~ ? ~~ ~ ~` l 7 l 4 4 3 26 1 7 0 6 9 3 3 7 2 3 31 3 5 9 , 6 9 1 14 3 9 5 . 6 9
2022 298 i 298 445 338 148 231258 381 4 l91 4
郏川商了阮 2021 181 181 468 384 184 173558 407 6 207 6
2020 565 565 466 322 142 248680 J75. 6 195, 6
6510 2022 75 75 392 306 116 265721 337. 9 147, 9
l l · ·· --
郑川商丁阮(蚥凶收货妇II') 2021 101 101 472 303 103 252069 334 1 门4 I
2020 j30 130 4 33 } 197 17 342387 283. 2 103 2
郑川商勹阮(单列右业) 2022 梵 44 404 198 8 324323 286. 3 96 3
2022 385 390 ,l45 351 161 215285 369 8 179 8
???
2021 365 401 448 气-l9:I 258633 351 4 151 4
2020 390 390 465 249700 350. 4 170 4
邓川]l}-I健康职\II,于阮(较员收翡女业) 2022 80 80 353 241 I 51 310258 284. 9 94, 9
2022 567 567 418 302 112 269455 318 6 128 6
6539 叫南物流职\III'J:院 2021 411 411 436 258 58 283<\74 289 6 89.6
2020 568 568 414 248 68 315404 284, 4 104, 4
2022 ! 660 707 j 436 289 99 280646 305, 7 115 7
6540 河南地怔职\I|,学院 2021 531 58()/4竺59~ 233 33 295099 269 2 69 2
202() 4611 803 204 24 339925 255 3 75.飞
2022 780 794'430 190 ! 0 326(MI 245 2 55, 2
6541 信阳航f职业子院 l 2021 700 580 455 200 () ! 304110 259 59
.-- ,i 22002220 825 355 432 160 --已垒20 Ii 35 1 19 9 248 i 68
6 ! 6 379 300 1(0 , 271196 326 2 ! 136 2
勹的立印华文学化艺4'卢院 10 IO 406 266 66 i 278968 飞37 l 37
| ,| ,俨,',',',',',',' 1 , ' 2 2 2 ,0 00 2 22 2 0I 2 8 4 2 8 4 4 3 3 6 7 2 _,^“~ 4 29 !0 2 2 1 2 1 0 2 2 1 7 4 8 1 7 4 9 5 6 9 3 4 1 2 7 1 . 6 1 2 3 3 7 1 . 6
阮(加华中利技大旱义华学院) 2 2 0 0 2 2 1 0 — 7 25 0 2 7 5 0 4 4 6 6 6 4 I-- 4 - 4 - 1 - 0 - 1 - 3 - 2 2 1 2 1 3 1 1 4 6 7 1 1 5 7 8 5 6 44.2-31一0. . 3I !I, , 22 5 2 0 7 . 3 I三、2020-2022年河南省普通高校招生高职高专批录取情况统计表(文科) • 219 •
录取分数统计
院校 公布 录取 最低分 平均分
院校名称 年份 录取最低
代码 计划 人数 最高分 最低分 与分数 平均分 与分数
分位次
线差值 线差值
2022 18 22 433 212 22 320744 296. 5 106. 5
6631 华北理工大学轻工学院 , 2021 22 17 350 226 26 297532 282.4 82.4
2020 22 22 488 218 38 333708 316. 9 136. 9
2022 7 8 400 300 llO 271196 338. 9 148.9
6640 温州商学院 2021 18 13 464 246 46 289571 338. 8 138. 8
勹丛已n`'~勹`八' 43 8 440 267 87 300758 331 151
2022 26 26 416 212 22 320744 294. 7 104. 7
6646 青岛工学院 2021 28 7 435 273 73 274712 328. 7 128. 7
2020 30 3 364 223 43 331092 279. 3 99. 3
2022 28 28 419 237 47 尸`3.•1 1993 303. 8 113. 8
6647 青岛农业大学海都学院 2021 33 20 467 223 :`千{仁 \~一~~、;一、总` 它2-~L~~9 ` 8460 350 150
2020 70 l4 492 22I夕`-/2 4531 / ` -, - - 扔2173 301. 1 121. 1
51 三81_ 七 324979 253. 7 63. 7
6648 329 ~1~95~: ·"'•·.Q 飞_L占: 引Mi10 29'9 99
工"i『? , ~8
、 345210 298. l 118. l
6649 lO t一 心编~9上5: :;- ' 259 79 307090 313. 6 133. 6
23t l :41贮子 429 238 48 311580 315. 8 125. 8
66飞°\ \ \女9 9 、 434 413 213 145244 426 226
9 8 446 417 237 146967 430.3 250. 3
665\4 •\ \ 一'·\· u辽 ;气r了3宁-勹编理\'`乒\,飞 _ 工吐 学院歹凶 勺`~飞\I 2022 4 4 348 241 51 310258 310. 3 120. 3
2021 12 2 337 288 88 264058 312.5 112. 5
-1: r,. 2022 75 94 414 193 3 325398 267.2 77.2
6655 大连财经学院 2021 75 52 457 208 8 302462 298. 7 98. 7
2020 76 71 441 190 10 344703 305. 5 125. 5
2022 5 5 372 220 30 318301 290.6 100. 6
6660 烟台科技学院(原济南大学泉城学院)
2021 5 1 229 229 29 296508 229 29
2021 30 30 447 324 124 233380 379. 7 179. 7
6664 成都锦城学院(原四川大学锦城学院)
2020 58 58 467 280 100 289840 377.3 197. 3
2022 25 71 439 218 28 318986 280. 8 90. 8
西安明德理工学院(原西北工业大学
6665 2021 25 17 456 211 11 301758 318. 9 118. 9
明德学院)
2020 28 20 451 192 12 344073 348. 9 168. 9
2022 21 9 368 196 6 324775 260.3 70.3
沈阳城市建设学院(原沈阳建筑大学
6671 2021 17 1 327 327 127 230524 327 , 127
城市建设学院)
2020 12 3 366 341 161 22853O· , 35 175. 7
2022 62 62 443 221 31 31 1; 22.9
6672 武汉晴川学院(原武汉大学硌珈学院) 2021 54 54 449 ?' 2 344. 7 、ri~.7
62 319599 [ 356.6 176. 6
西南财经大学叩院 』炉售202如0 量I l卒I环.望'沁乍 K l一4”2 一户:}7,- : , - 2~3 ` 8J~ 卢~394L 370.2 180.2
6677 ss 3l'J·,、气,.l17 239765 370 170
(垒-/` r气'\\ 父',427夕`~为 :ho 130 261167 371. 8 191. 8
6678 四川大学锦江学院厂亨口;;_`: \\~ 午 421 421 231 128366 421 231
西安科技大学\高\“\一,阮过..新,已:,夕~·六八学,\七院,.飞炫勹\.I夕.,少$,一\ 旯兑,C妇C飞 2022 L' .;-9' 9 444 420 230 129540 433 243
6686 ..\: \ ..·',.·. - k, '.--\ I凡初21 4 4 462 444 244 116212 450 250
2020 8 8 467 440 260 123509 452 272
产s.,
南昌交通学院(原华东交通大学理工
6694 2022 10 121 374 190 。 326041 244.4 54.4
学院)
景德镇艺术职业大学(原景德镇陶瓷
6701 2021 14 1 212 212 12 301522 212 12
大学科技艺术学院)
6703 南昌大学共青学院 2022 32 35 441 233 43 313623 351 161
银川科技学院(原中国矿业大学银川 2022 16 19 312 210 20 321356 260.1 70. 1
6707
学院) 2020 40 15 489 185 5 346050 335. 3 155. 3
2021 15 6 271 204 4 303340 230. 2 30. 2
6782 大连艺术学院
2020 14 4 378 264 84 303147 325 145
2022 19 19 374 212 22 320744 283. 3 93. 3
6786 沈阳工学院 2021 13 4 338 213 13 301249 289.5 89. 5
2020 6 6 443 285 105 285151 386.3 206.3• 220 • 第三章录取统计
录取分数统计
阮校 公布录取 最低分 平均分
代砃 忨校名称 年份 计划 入数『又吉,',J分/J 最低分与分数 录取最低 平均分与分数
线差值/J } /i \、I~次 线差值
6789 辽宁何氏医学院 2022 7 7 317 252 62 304888 287.6 97.6
2020 7 1 233 233 53 325378 233 53
6791 长春光华学院 2021 8 1 385 385 185 172582 385 185
6792 长春大学旅游学院 2022 2 10 250 197 7 324543 216. 4 26. 4
2020 6 1 310 310 130 261167 310 130
6797 古林建筑科技学院 2022 4 2 363 342 152 226413 352. 5 162. 5
2021 15 1 326 326 126 231496 326 126
6799 长春科技学院 2022 25 59 417 199 9 324109 284. 4 94. 4
2022 5 2 383 372 182 I 188409 377 5 187. 5
6800 吉林师范大学博达学院 2021 15 1 360 360 160 197624 360 160
2020 4 I 3 4()4 344,. 164气;'225358 364 7 184. 7
`
68IO 黑龙江工程学院昆仑旅游学院 2021 15 I 316 , 316心'了 11 6 240688 316 116
2O22 10 16 375 :; 193 |: i 3 325398 281、8 91. 8
6832 科 泰 技 山 学 科 院 技 ) 学院(原山东和技大学泰山 勹 , 八 , ~ 也 1 奴 1 ; ( . \ ' 8 450 .,,, 236 J ' J9 丘 '!·--一,; 293920 332 8 1于 ,,. 8
2020 10 5 393 205 25 339518 317. 6 137 6
2022 15 15 427, 263 73 298750 343. 2 153. 2
6833 烟台理工学院(原烟台大学文经学院) 2021 16 10. 461 262 62 281294 348. 8 148. 8
2020 17 17 466 326 146 244367 395. 5 215. 5
2022 63 70 438 336 146 233659 402. 1 212. 1
6836 武汉东湖学院 2021 28 28 464 412 212 146199 430. 9 230. 9
\_ •','.', 2020 21 21 454 407 227 157407 420 240
:_ -_ 2022 38 38 435 353 163 212838 384, 5 194. 5
68:l7 汉口学院 2021 32 34 449 377 177 180490 398. 8 198. 8
2020 33 37 458 378 198 188254 412. 6 232. 6
2022 47 47 : 401 294 104 2164n i 329. 8 139. s
武昌理工学院 2021 46 48 I 420 288 88 264oss 32s 3 12s. 3
6838
2020 23 28 463 277 97 292459 337. 9 157. 9
武昌理工学院(较高收费专业) 2020 3 3 364 297 117 274020 339. 7 159. 7
2022 50 50 450 276 86 290325 344. 9 154. 9
6839 武分校昌首)义学院(原华中科技大学武昌 2021 20 20 432 339 139 218794 382. 9 182. 9
2020 45 45 461 315 135 255990 379. 9 199. 9
2022 68 72 395 193 3 325398 277. 8 87. 8
6841 荆州学院(原长江人督丁程技本沪院) 2021 75 27 431 200 0 304110 288. 6 88. 6
2020 57 28 509 187 7 345483 281. 1 :ic,. .._ 101. l
2022 12 12 424 343 153 225217 飞71.6.;: f18L 6
6842 长江大学文理学阮 2O21 13 13 379 227 21二 297223 287 87
2020 7 7 385 423D51t6; 6 3~8 贷 二兮~ ''Z~;t': 30943 1 3 13. 3 • 13 3. 3
2022 100 70 430 8 -: :124:123 :l!O'i','120. 5
6845 湖北商贸学院 2021 70 70 4!i8 ; 113 243378 354. 9 154. 9
2020 43 / 45 455 263 83 303966 327. 9 147. 9
2022 86 86.449.. 192 2 325611 293. 4 103 4
6847 湖学北院恩)施学院(原湖北民族大学科技 2021 105 72 425 204 4 303340 294. 6 94. 6
l、'一 2020 65 65 473 202 22 340668 320. 5 140. 5
\
2022 46 46 445 386 196 170772 410. 4 220. 4
68的 湖北师范大学文理学院 2021 39 39 467 419 219 139565 438 238
2020 42 42 462 411 231 153134 432 252
6850 武汉文理学院丿}归',,-L气忒大,立r,义'叶目心于',阮心) 2022 16 16 444 381 191 176992 406 216
( 2021 15 15 44K 343 143 214731 387, 9 187, 9
··
2022 2 2 411 409 219 142616 410 220
6851 三峡大学科技学院 2021 2 2 440 409 209 149040 424. 5 224. 5
2020 4 4 463 305 125 266264 369. 3 189. 3
2022 20 20 391 318 128 253881 345 155
6852 武昌丁学院 2021 20 20 396 30] 10] 253719 333, 9 133, 9
2020 20 20 416 212 32 336464 303. 6 123. 6
2022 29 29 398 301 111 270308 336. 9 146. 9
6855 武汉纺织大学外经贸学院 2021 21 21 464 353 153 204689 390. 5 190. 5
2020 27 31 456 291 111 279751 347 6 167. 6.
三、2020一2022 年河南省普通高校招生高职高专批录取情况统计表(文科) 221 •
录取分数统计
院校 公布 录取 最低分 平均分
院校名称 年份 录取最低
代砃 汁划 人数 最高分 最低分 与分数 平均分 勹分数
分位次
线差值 线差值
2022 99 99 430 262 72 299366 320 5 130.5
6858 湖北文别学院理丁学院 2021 l50 147 449 202 2 303749 315 3 115 3
2020 108 108 454 215 35 335100 304 124
2022 38 38 441 197 7 324543 285 4 95, 4
6859 湖北上程学院新技木学院 [ 2021 38 ! 25 426 204 4 303340 294. I 94 1
I
2020 勹上<~ 勹上己1儿 J勹aCoO m'70o 18 勹J干A勹k八V气A`八' 勹k勹,JC,;' ,7J亡,1i
2022 90 i 90 440 297 107 273902 336 3 146. 3
武汉上程和技学院(原中国地质大学 I
6861 2021 65 70 465 300 100 254567, 344 8 144. 8
门城学院)
2020 67 ! 67 456 301 121 270152 350. 9 170. 9
i 2022 35 ! 35 448 420 230 129540 431 8 241. 8
6862 武汉沪院
, 2020 30 30 463 450 270 113304 455. 1 275 I
2022 26 26 442 378 188 lll0776. 396 8 206. 8
6863 武反丁商学院 2021 23 23 403 355 155 202693 i 368. 1 168. I
2020 18 18 455 348 168 221223 393. 7 213. 7
6879 )州商学院 i 2022 2 , 3 379 252 62 304888 325. 3 135. 3
如入移通沪院(原重庆邮电大学移通 2021 6 6 440 419 219 139565 426 8 226. 8
6889
学院) 2020 6 i 6 460 423 243 140776 ; 440 2 260. 2
2022 3 3 417 379 189 179514 397 , 207
6891 成都理工大学T和技本学院 2021 3 3 418 387 187 170581'403.7 203 7
2020 3 3 365 350 170 219081 355 3 i 175 3
6894 电千科技大学成都学院 2022 8 8 441 320 130 251735, 369.3 179, 3
2022 19 20 393 319 129 252795, 352. 4 162 4
6896 成都义理汇浣
2021 21 21 453 225 25 297842. 330 130
2022 20 54 446 191 1 325829 327 5 137. 5
6897 四川外国语大学成都学阮 2021 20 20 468 433 233 126501 448. 6 248. 6
l. 2 . 02 0 l 5 15 463 444 ``” 264 119398 453. I 273. 1
I
6907 IIIliL文化旅游学院(I早么南大今旅游 2022 5 ! 2 288 257 67 302142 I 272 5 沁.5
义化学阮)
2022 34 34 450 398 208 155967 413. 4 223 4
6921 新疆政/入学院
2021 41 41 506 354 154 203694 411. 7 211. 7
I---- --一一一一卜--
6922 新拟科技学院(原新拙财经入学商务 2022 4 4 420 321 131 I 250730 365. 5 175. 5
学阮)
2022 15 10 422
编```
203 13 323151 287. 8 97 8
? ?? ?
保定理丁学院(原中国地质入学长城
6926 2021 15 4 367 239 39 292709 319蠡5 119 5
学院)
2020 15 6 385 201 21 340997 282. 3 102 3
2022 28 41 390 190 。 326041 259 4 69. 4
6939 入迕科技学院 2021 14 7 300 203 3 , 303545 263 63
2020 10 9 400 202 22 340668 295. 8 115. 8
6974
卉岛城市学院(原门峙即1大学琴岛 2021 II 12 7 435 227 27 297223 327 3 127. 3
,户院) 2020 19 19 464 290 110 280648 347 5 167, 5
仁`` 2022 II 11 311 214 24 I 320101 264. 9 74 9
6977 池京埋丁学院 II 202”1 21 7 314 214 14 301008 266, 6 66 6
l
2020 34 23 462 185 5 346050 283. 1 10丸]
2022 20 20 431 325 l 1 5 246476 378 3 188. 3
...
6979 武戊传媒学院 2021 25 25 447 332 132 225724 377. 7 177. 7
2020 I 25 25 469 350 l70 219081 386. 3 206. 3
6983 西南交通大学希望学院 202O .-t炒?妞 lO 10 444 266 86 301525 324 2 144. 2
2022 22 14 360 190 ?炒K… 。 326041 265. 4 75. 4
6985 成都银杏酒店管理学院(原成邵信息,
l 2021'11 2 284 232 32 295452 258 58
!I 丁程大学银杏洒店管理学院)
2020 ll 2 317 303 123 268234 310 130
6993一 - 西安工商学阮(原西安丁业大学北方 2022 55 101 416 193 3 325398 258 3 68, 3
I 信U工程学院) 2021 18 4 349 i 242 42 291470 316. 3 116. 3
7005 斩祝兵团笘官商等飞科学校 2020 ,1 0 30 475 234 54 324767 354 3 174. 3
2022 4 4 421 366 176 196341 388 3 198 3
1007 I 河北工业职业技本大学
2021 8 8 447 328 128 229591 378 8 178. 8· 222 • 第三章录取统计
录取分数统计
院校 公布 录取 最低分 平均分
院校名称 年份 录取最低
代码 计划 人数 最高分 最低分 与分数 平均分 与分数
分位次
线差值 线差值
2022 22 30 447 266 76 296917 336. 6 146.6
7008 河北科技工程职业技术大学
2021 18 17 434 218 18 299856 314. 9 114. 9
2022 7 7 401 271 81 293664 349. 9 159. 9
7009 兰州石化职业技术大学
2021 3 3 452 356 156 201669 393 193
2022 10 12 443 268 78 295644 379. 6 189. 6
7010 兰州资源环境职业技术大学
2021 2 2 419 392 192 165608 405. 5 205. 5
2022 6 . 6 422 389 199 166977 401. 8 211. 8
7011 山西工程科技职业大学
2021 60 50 460 201 1 303931 298.4 98.4
2022 12 12 429 342 152 226413 385. 5 195. 5
7012 河北石油职业技术大学
2021 9 6 454 306 106 249455 358 158
7014 贵阳康养职业大学 2022 2 2 387 367 , 177,;,一,炉,少c.C女A,'`、\`,9、、',4` 991 377 187
;
7021 天津医学高等专科学校 2 2 0 0 2 2 1 2 7 81 6 言 81 妇 ,j~ 4?8 呾 9立 3 -夕_ 3 3 8 7 9- 6 -尺 ' - · , . 七 . 刁 ” \ . 亡 -亡- - 气 卒 L: 1 1 9 76 9 飞.```l 1 6 8 \6 1 `' 9 4 7 7 7 8 4 4 4 5 1 6 . . 5 9 2 2 5 5 1 6 . . 5 9
2020 号 5 啋. 441 "千 261, ,气l2记16 457. 8 277. 8
7032 299产 119 272124 352.4 172.4
承邢_德台,f医石_\了油学L_'高','占"心等,'、专七科贮'学校.产如刁`乌 `,沁 漕,玄硐加
18奋 1 18''45ft ; '` : 417 227 133019 435.1 245.1
7036 \- :, ', 19;气 气?、19, t ; 468 440 240 119888 449. 8 249. 8
勹;l8c 18 453 289 109 281525 424.3 244. 3
'湖\尸北_,rA乒幼II飞一了匕',~-儿夕一-,,,`'}师'亡'`,;、二,,,范'卢,\-飞.":女气高,J”)等'寸刁专认科学校,夕 si\. l i2,0 22 17 17 448 421 231 128366 427.4 237.4
70~\ \t ,\ , ! ',, 2021 13 13 458 317 117 239765 424. 5 224.5
2020 10 10 434 416 236 148017 423.9 243.9
勹l·--) 2022 70 70 449 389 199 166977 402.6 212. 6
7056 阳泉师范高等专科学校 2021 50 50 448 406 206 151882 418. 9 218. 9
2020 37 37 465 378 198 188254 398. 8 218. 8
2022 28 28 452 329 139 241860 366. 7 176. 7
山西省财政税务专科学校(原山西财
7057 2021 30 30 443 324 124 233380 368. 9 168. 9
政税务专科学校)
2020 28 28 431 266 86 301525 332.2 152.2
2022 25 25 421 361 171 202778 380.2 190. 2
7059 运城幼儿师范高等专科学校 2021 25 25 446 318 118 238868 371. 8 171. 8
2020 25 25 423 192 12 344073 327.1 147.1
2022 11 11 438 385 195 171983 411. 1 221.1
7063 集宁师范学院 2021 11 11 427 363 163 194637 392 192
叨20 11 11 465 312 132 259096 归380.J 200
2022 32 143 415 192 2 325611飞``
7073 阜新高等专科学校 2021 31 31 443 237 37s , 飞 293.53矿
2020 46 17 465 189,了 9.i七卢勹 344966吐令309.4 129.4
2022 23 117 19-l俨尸; 1' 企 325829 254令, ;飞r64
7077 辽宁民族师范吝等夺科学校 望2021 I " L心让 二詈 笃尸夕俨 82 28 2968” 从'全”`'2`亡67. 67
181 、.l 了 347059 321.4 141. 4
4袄 `i 、飞汜4\ 44 313230 337. 3 147. 3
7078 朝阳师范高等;专,,科I学上,_校一'\\,:尸,二 - - , - i .一乙J `- - \. ( \\\ \ ;- 亡卢己的64 -尸 377 177 180490 408.4 208.4
447 340 160 229594 390. 7 210. 7
7079 抚顺师范.高
等\专':,\` 衬科1-'- \,L , ' ` 学丈f、\一,义_一,校--,-,--- `'\' -' -一 \,一俨
夕;~寸-
,h
之于夕
`
夕
__t
"
?
2
2
0
O
2
2
1
2 f 1
1
4
5
5 3
1
3
5
4
42
2
7
4 2
3
0
71
3
1
1
7
3
1
3
1
2
8
3
6
1
4
5
6
1
0
3
3
3
8
2
8
.
. 5
2 1
1
4
8
2
8
.
. 5
2
2020 16 16 419 321 141 249700 356.6 176. 6
2022 65 462 445 190 。 326041 267. 7 77. 7
7080 锦州师范高等专科学校 2021 45 45 406 308 108 247689 352.1 152.1
2020 30 9 405 249 69 314650 308.9 128.9
2022 26 26 412 292 102 278159 323.1 133. I
7081 铁岭师范高等专科学校 2021 26 16 420 221 21 299047 299.4 99.4
2020 26 22 458 247 67 316137 341. 3 161. 3
2022 25 25 415 251 61 305420 297.2 107.2
7091 长春汽车工业高等专科学校 2021 42 27 465 218 18 299856 292.9 92.9
2020 49 14 414 193 13 343756 296.9 116. 9
2022 48 62 430 269 79 295011 329. 8 139. 8
7092 哈尔滨幼儿师范高等专科学校 2021 45 62 449 203 3 303545 319. 3 119.3
2020 33 22 493 220 40 332687 323.1 143. 1.
三、2020—2022年河南省普通高校招生高职高专批录取情况统计表(文科) 223 •
求取分数统计
1 年份
院校 I 公布 录取 最低分 ' 平均分
代砃 院校名称 计划 人数 最1尸1分 最低分 勹分数 录取砐低 平均分 与分数
线),'值 分位次 ' 线差值
2022 6 6 430 410 220 141459 41851228.5
7094 长春队'.了高等专科学校 2021 35 35 456 335 135 222791 373. 5 173, 5
`~
I 2020 31 31 450 268 88 299928 394 2l4
~ " - - - - 2022 37 ^ ^ 39 4ll 252 62 304888 304. 2 i 114. 2
7095 黑龙儿幼儿帅范高等专科学校 2021 39 29 448 211 ]] 301758 298. 9 98 9
2020 i 37 16 429 220 40 332687 327. 3 147. 3
2022 40 48 417 277 87 289663 315 125
7096 长春令阳的铃飞科学校 2021 40 40 445 272 72 275367 324. 6 124. 6
2020 30 30 449 i 269 89 299093 327. 8 147 8
2022 10 10 486 446 256 99663 459 269
7098 吉林笞察学院 2021 19 19 486 449 249 111572 459. 7 259 7
2020 14 14 457 444 264 119398 449 4 269. 4
2022 40 40 458 i 428 238 120198 434. 6 244. 6
7099 南通师范高等右和学校 2021 6l 61 467 ! 343 143 214731 444. 8 244. 8
2020 46 46 477, 42() 240 I 143812 433, 8 253 8
2022 19 23 415 1 248 58 306948 356 9 166 9
7100 盐城幼儿师范高等专科学校 2021 I 17 17 425 309 109 246819 351 151
2020 40 41 446 230 50 I 327216 348. 6 168 6
2022 45 45 402 293 103 277351 332. 3 142. 3
7103 齐齐哈尔高等师范专科学校 2021 48 48 418 i 205 5 303126 308. 8 108. 8
2020 41 41 429 281 101 i 288880 341. 6 161 6
2022 83 109 486 192 2 325611 267. 4 77. 4
7104 鹤岗师值高等女抖字校 2021 95 70 牡5 201 L i 303931 286 8 86 8
2020 90 73 ! 489 204 24 339925 312 I 132. 1
! 2022 23 23 422 306 116 265721 330 ` ` ~` 140
7105 大庆区才局等专科羊权 2021 25 25 364 244 44 i 290545 294. 2 94 2
2020 18 lO 334 203 23 340306 272. l 92. I
2022 48 48 436 319 ?”“ 129 252795 350. 5 160. 5
7107 黑龙汀护J』用高绰专利叶校 2021 50 50 4l4'282 82 268451 322 7 122. 7
! 2020 45 23 398 218 38 333708 277. 9 97. 9
2022 17 24 435 3 36 146 2336'i9 413. 5 223 5
j !
Ii证出版印刷高等方科学校 202l 18 33 485 387 187 170581 434. 7 234 7
2020 17 20 504 438 258 125508 450. 5 270.5
7112
i 2O22 3 3 422 394 i 204 160821 406 3 216 3
仁每出版印刷商等专f1一干校(较高收 2021
4 6 450 319 119 237976 386. 7 186 7
费右业)
2020 4 4 | 417 406 226 158441 411. 3 231. 3
' 2021 15 15 474 464 264 97930 467 5 咖??咖"2 ` 6 ` 7. 5
上闻健康佚学院 2020 14 卜—-- ]4 -- - ·十一一 510 463 28 -- 3 100093 扔9.6 289, 6
7113
2021 3 3 469 456 256 105269 462 262
1芍母健康区'J院(护理专业) 户" 2020 2 2 449 - 437 257 126529 443 263
2022 48 48 451 374 184 185932 405 215
上向旅游岛等专科才校 ! 2021 48 78 515 347 147 210727 422. 7 222 7
2020 53 沪 503 450 i 270 113304 458 9 278 9
7117
2022 8 8 382 313 123 258966 351 4 161 4
L海旅游仍等专科羊校(较砱收费 F- ····
2021 5 .“ 10 434 271 71 27597:l 353. 2 153. 2
片业) -U
2020 3 3 牛43 434 254 129575 438, 3 258 3
2022 21 21 435 321 131 250730 357 8 167. 8
7122 铅江市高笱专科学校 2021 69 I 69 430 267 67 278355 313, 6 113 6
! 2020 69 f 69 463 186 6 345764 卜^ 318. 3 13 8 3
2022 5 5 卜 429 409 219 142616 418 228
7123 江苏城巾职业臼忨 2021 6 .i 6 445 426 226 132982 433 233
2020 27 27 460 417 237 l46967 i 425 6 245. 6
2022 19 19 465 439 249 107491 442. 6 252. 6
连六i巷帅范商的专科羊校 2021 62 6 l 507 442 242 118040 45]』4 251. 4
7125 2020 76' 'i 73 488 438 258 125508 446 9 266 9
七~
迕云港师泣窝笐飞,fI学校(较裔收帮 2021 2 I 2 389 292 92 260961 340 5 140. 5
女\il') 2020 2 2 393 358 178 210263 375 5 195 5• 224 · 第三章录取统计
录取分数统计
院校 公布 录取 最低分 平均分
院校名称 年份 录取最低
代码 计划 人数 最高分 最低分 与分数 平均分 与分数
分位次
线差值 线差值
7134 浙江医药高等专科学校 2020 26 26 452 363 183 204711 405.2 225.2
2022 17 17 414 361 171 202778 378. 8 188. 8
7138 安庆医药高等专科学校 2021 17 17 453 337 137 220807 361.6 161. 6
2020 20 17 446 328 148 242283 372.6 192.6
2022 10 10 440 428 238 120198 433. 3 243.3
7140 合肥幼儿师范高等专科学校 2021 10 10 463 425 225 133879 434. 8 234. 8
2020 10 10 450 418 238 145887 426. 5 246.5
7142 安徽医学高等专科学校 2022 11 11 432 415 225 135408 423 233
2022 22 22 486 430 240 117990 439.3 249. 3
7143 安徽中医药高等专科学校 2021 18 18 457 435 446.3 246.3
三223451;,巨女袜11'!,14658587
2020 18 18 459 200 3 435 255
2022 扫43了 436. 8 246. 8
7145 桐城师范高等专科学校 2021 435炽七占 妇5 户i - 124587 443.4 243.4
2020 413 ". 233芒玄,Ir,'l5廿12 425 245
飞加22 384: r l,94 173213 400.5 210.5
7146 徐州幼儿师了范高等户纭专三名科已,飞知学校.孚飞:/,今,言:艺言欢 心细 213 13 301249 335.5 135.5
202o 170;1 于\·26g C 419 281 101 288880 352.5 172. 5
71匀 r厦门医学院\ $念 文了,2'02'0 令气 气'10 10 464 440 260 123509 450. 9 270. 9
\ 已戈I亡景 ' , ,1\ `_,、_德--, ' , , \ I镇 :\,“` 学-' c召`', ' i院,(云,左夕, -', \ ,_:,,,\, 立 ' ,:飞:、` `2 022 10 10 450 443 253 103008 446.3 256.3
7161I' ,\ _ \- 2021 10 10 473 459 259 102514 464. 7 264. 7
飞心气,. 飞编己, 2020 17 17 458 441 261 122516 448.2 268.2
7163 t 萍乡学院 2020 5 5 也 383 203 182820 402. 8 222.8
2022 30 55 450 290 100 279816 380. 2 190.2
7171 济南幼儿师范高等专科学校 2021 30 30 453 425 225 133879 434. 8 234. 8
2020 30 30 453 392 212 173096 409.2 229.2
2022 46 46 440 352 162 214108 376.1 186.1
7174 菏泽医学专科学校 2021 48 48 460 347 147 210727 394.4 194.4
2020 54 54 456 189 9 344966 353. 8 173. 8
2021 5 5 448 418 218 140519 429.4 229.4
7176 济宁学院
2020 5 5 428 387 207 178550 402.4 222.4
2022 51 51 453 433 243 114528 441.1 251. 1
7193 湖北中医药高等专科学校 2021 51 51 487 452 252 108809 459. 7 259. 7
20加 51 51 504 443 263 120435 4 书272.9
2022 30 30 479 451 261 939 45 65.2
7195 汉江师范学院 2021 30 30 485 464 9 46 !67.1
2020 35 35 飞 1 467.4 ~287. 4
2022 1 17990 刁乍祖砬矿 ,>夕245.4
7202 湖南幼儿师范高等专科学校 2021 豆名l 甘 8 2~7炉卢U22730 444.3 244.3
,~_?-020":: 乏? 它,4隍:U `沈0 154177 435.1 255.1
".妇
:心了“`, 1七亡022 书12 ,呫5气4f尽,心0 230 129540 430.8 240. 8
等`专I、科-`学卢\.“\校- 之尸~_& 」、---1古 岱令4
7207 益阳医学高 t\ i \ -\ \ i ,',L' \\ / r;;- ; t ,``,- \' I ' '\ 上才2 2 ,0 位 21 0 J i 立 : , f 气:` l 1 2 0 - 丘 4 46 5 0 7 4 2 3 67 2 2 8 3 7 2 3 1 0 2 0 7 7 4 5 5 8 8 4 4 4 3 2 2 . . 7 7 2 2 4 5 2 2 . . 7 7
广东茂名幼儿师\§范~专-,科;学校,一 1; , `2 0-22 26 26 400 320 130 251735 358 168
7212 2021 21 25 460 316 116 240688 361. 3 161. 3
2020 27 26 467 225 45 330044 336. 8 156. 8
2022 4 4 416 406 216 146124 411. 8 221. 8
7221 桂林航天工业学院 2021 4 4 428 361 161 196657 389. 8 189. 8
20加 4 4 441 331 151 239163 367 187
2022 23 28 426 195 5 324979 361. 3 171. 3
7223 广西幼儿师范高等专科学校 2021 20 20 413 311 111 245107 351. 5 151. 5
2020 20 20 415 256 76 309431 324.5 144.5
2022 35 34 447 337 147 · 232452 423.4 233.4
7225 闽江师范高等专科学校 2021 35 34 448 411 211 147175 425. 8 225. 8
2020 45 43 447 291 111 279751 385. 3 205.3.
三、2020-2022年河南省普通高校招生高职高专批录取情况统计表(文科) 225 •
录取分数统计
院校 公布 录取 最低分 平均分
院校名称 年份 录取最低
代码 计划 人数 最高分 最低分 与分数 平均分 与分数
分位次
线差值 线差值
2022 5 5 475 440 250 106377 451 261
7227 桂林师范高等专科学校 2021 5 5 454 438 238 121825 442.4 242.4
2020 7 7 486 404 224 160534 438.4 258.4
2021 16 16 467 452 252 108809 457. l 257. l
7228 广西科技师范学院
2020 9 9 460 442 262 121493 446 266
2022 16 16 430 392 202 163301 405. 8 215. 8
7229 桂林旅游学院 2021 7 7 432 369 169 188409 404.6 204.6
2020 10 10 442 387 207 178550 411. 2 231. 2
2022 5 5 330 220 30 318301 265 75
7232 广西体育高等专科学校 2021 7 4 349 229 29 气296508 276. 8 76. 8
2020 7 5 272 200 ,, 20 345 236. 8 56. 8
7233 -广西警 察学院 2021 归8 8 拓3, 37《飞只 176 78 408 208
2020 飞心心33 336 ^ 0 - 11 342. 8 162. 8
2022 ~-坛215~、 \,~ 5~` 3卢',,”' “,I 4户7,.夕350 418.3 228. 3
7241 C 191 166551 417.2 217. 2
重'七庆电'力古,-~寸夺'抖学校 \一:、 寸、飞了式也,凶细
173 215813 411. 3 231. 3
22二厂~2飞飞志 444 405 215 147350 435. 8 245. 8
, ;:25 25 468 434 234 125544 446.9 246. 9
7站\\\2 1 !< 25 25 495 418 238 145887 435. 9 255. 9
\ \
g飞 ":重,忙l庆二3·`-·医气L药-'-高等,,,一专'科尸闷学夕主',:,'` 校才勹t气,',\ : 泸 2022 18 18 473 445 255 100731 450. 2 260. 2
2021 24 24 475 462 262 99769 465.5 265. 5
7243 \
2020 21 21 481 358 178 210263 457.6 277. 6
重气颈貂幻砖业) 2020 2 2 443 240 60 320855 341. 5 161. 5
2022 7 7 443 415 225 135408 426.4 236. 4
7253 成都纺织高等专科学校 2021 6 6 460 433 233 126501 442 242
2020 11 11 447 415 235 149065 428. 2 248.2
2022 5 5 403 370 180 191033 380. 8 190. 8
7257 川南幼儿师范高等专科学校 2021 3 3 398 382 182 175456 389 189
2020 3 3 406 342 162 227482 370. 3 190. 3
2022 13 13 423 321 131 250730 356. 5 166.5
7276 铜仁幼儿师范高等专科学校 2021 13 13 393 290 90 262550 339.4 139.4
2020 3 3 346 231 51 326617 282. 3 102. 3
2022 10 10 439 288
7281 昆明冶金高等专科学校 2021 10 10 457 343 辜
2020 10 10 462 289
2022 4 4
王
7282 曲靖医学古等专科学校 愿为21 I , I S 口量打3 43 ·0'291叩81心眈7\ 87.7
3:!1 印亡\I/?讥97M 364. 3 t84. 3
369飞L 179 192336 384. 8 194. 8
7286 楚雄医药高等专 \ 科 飞n _ }扫学 _\ ~上 \k尸校飞- -\ 子 I - -,-.-尸,,六-;ti夕\''心-\ '\\ \ L -飞立 4 “ 5 5 7 竺 ~一店 3 3 3 1 4 9 1 1 3 3 4 9 2 2 2 5 3 1 7 8 6 5 7 3 3 3 8 6 6. 2 8 20 1 6 6 . 2 8
7292 西安航空学晓'厂\\.\耘.飞二\左“1飞 \\ \ 飞\/,.二'-尸\·匕-勹2它,江:,L '·;-'.;\ "土\产玉,二. ;E · ” .·. 2 2编 Q 已0` 2 2-0 l 户3 4 4 3 4 5 7 0 2 1 4 4 6 6 5 0 2 2 6 8 5 0 1 9 0 7 3 0 1 4 4 6 3 47 4 7 6 . 4 7 2 2 77 8 . 4 7
{:勹\二',乏 2022 32 32 414 192 2 325611 307. 8 117. 8
和田师范专科学乙校泛飞”
7333 2021 22 21 450 223 23 298460 317. 8 l17. 8
2020 22 15 478 213 33 336011 335.3 155. 3
2022 11 11 477 424 234 124827 438.1 248. i
7337 白城医学高等专科学校 2021 32 32 460 371 171 186460 415.3 215. 3
2020 61 56 449 251 71 313212 353.6 173.6
2022 5 5 438 399 209 154667 414.4 224.4
7340 泉州医学高等专科学校 2021 25 24 436 324 124 233380 385. 3 185.3
2020 25 21 454 295 115 275919 405. l 225.1
2022 6 6 449 443 253 103008 445. 7 255. 7
7341 豫章师范学院 2021 20 20 469 461 261 100660 463.2 263.2
2020 16 16 468 457 277 106214 459.6 279.6· 226 · 第三章录取统计
录取分数缭计
院校 公布 录取 最低分 平均分
院校名称 年份 录取最低
代码 计划 人数 最高分 最低分 与分数 平均分 与分数
分位次
线差值 线差值
2022 50 50 429 376 186 183359 393 5 203.5
7342 江西中医药高等方科学校 2021 50 50 460 331 131 226706 391 6 191. 6
2020 30 30 467 369 189 198119 403. 6 223. 6
2022 10 10 473 449 259 96236 456. 8 266. 8
7344 山东中医约高等专科学校 2021 10 10 480 462 262 99769 467.4 267. 4
2020 10 10 508 466 286 97100 480. 7 300. 7
2021 7 7 464 456 256 105269 459. 3 259. 3
7348 琼台师范学院
2020 12 12 466 443 263 120435 452. 9 272. 9
2022 7 7 446 441 251 105250 442. 9 252. 9
7352 赣州师范高等专籵学校 2021 8 8 465 449 249 1 111572 455, 6 255. 6
2020 8 8 456 444 264户' ` 1I 119398 --~ 447. I 267.1
2022 25 25 425 , 406一.三 216 l46l24 414 2 224.2
7353 宜春幼儿师范高等专和学校 2021 20 20 I 445 二 397 C: .:'\197 I 160697 413 213
2020 ·10飞”尸, lO i 400 1° 357 177 I 211372 375. 1 195. 1
2022 15 15 453 439 249 107491 442. 9 252. 9
7357 汀西帅范高等专科学校 2021 16 16 , 466 453 253 107929 457.1 257. I
\ 2020 25 25 462 446 266 117304 452. 3 272. 3
2022 85 85 481 422 232 127212 437 247
74位 石家庄邮电职业技术学院 2021 56 56 499 408 208 149994 446. 9 246. 9
: 2020 48 48 498 409 229 155199 436 3 256. 3
2022 6 6 • ~ 425 417 227 ]33019 420, 5 230.5
7403 石家庄幼儿师范高气飞isI'[校 2021 6 6 435 422 222 136731 428 228
2020 6 6 426 399 219 165734 408. 7 228. 7
2022 11 11 433 352 162 214108 413. 3 223. 3
长春师范高等专和学校 2021 37 36 462 313 113 243378 363 6 163. 6
7404
2020 41 40 418 311 131 260118 362, 4 182. 4
长春师范高等专禾埻学校(较高收费专业) 2022 1 1 356 356 166 208977 356 166
2022 72 72 418 312 122 259938 352. 2 162. 2
7406 泉州幼儿师范高等专科学校 2021 52 52 433 280 80 269844 341 141
2020 81 58 426 204 24 339925 310. 8 130. 8
2022 29 29 463 376 186 183359 403. 6 213. 6
7407 新疆师范高等专科学校 2021 9 9 457 396 196 161619 412. 8 212. 8
2020 8 8 469 340 160 229594 399. 6 T 219. 6
7415 湖北孝感美珈职\II分院 2022 22 18 274 192 2 325611 225. 9 ; 35. 9
2022 26 26 404 311 121.,~'飞九 260906 337 8 147. 8
7431 上海南湖职业技木乍院
2021 19 23 504 22『9·编',气 29 编r 六, 296508 i 327, 7 ; l27. 7
7451 邢台职业技术学院 2020 12 6 415 站8 68 C l15404 333 5 153. 5
2022 25 ^.…m.; . 25 ` 490 458 268 86120 467. 2 277. 2
7452 深圳职业技木学院 2021 24 24 520 472 272 90400 486. 7 286. 7
\ 2020 25 25 511 468 288 95112 482, 3 302. 3
-
2022 4 4 455 447 257 98565 450 260
7453 成都航空职业技术学院 2021 8 8 470 460 260 101621 463. 3 263. 3
\ 2020 7 7 475 450 270 113304 457,4 277. 4
2022 10 10 430 369 179 192336 390. 9 200. 9
7454 四川工程职业技木学院 2021 8 8 429 338 138 219793 383. 5 183. 5
2020 4 4 414 409 229 155199 ,贮~411. 5 231. 5
2022 2 2 431 426 236 122482 4 28. 5 238.5
7455 四川交通职业技本学院 2021 5 5 442 419 219 139565 429. 8 229. 8
2020 4 4 434 427 247 136727 429. 5 249. 5
2022 67 67 470 395 205 159626 412. 6 222. 6
7456 石家庄铁路职\W技术学院 2021 50 50 473 404 204 153847 422. 7 222. 7
2020 55 55 493 371 191 195875 404. 4 224. 4
7458 河北工业职业技术学院 2020 14 14 388 313 133 258061 347. 4 167. 4
2022 12 12 447 428 238 120198 434. 5 244. 5
7459 常州信息职业技术学院 2021 8 8 450 428 228 131113 438 1 238. 1
2020 20 20 458 408 228 156295 424 7 244. 7.
三、2020-2022 年河南省普通高校招生高职高专批录取情况统计表(文科) 227 •
:录`取分 妏统计
院校 飞 最高分 1 最低分 1 `勹1均分雷
代码 院校名称 年份 I 令tO
线差值 线差值
勹芒
32 I 407 I 313 I 123 I 258966 I 338. 4 I 148. 4
青岛港湾职\IV技木学阮 i 27 I 434 I 284 I 84 I 266960 I 329. 2 I 129,2
7462 I 37 I 408 I 251 I 71 I 313212 I 320. 6 I 140. 6
g
青岛港湾职业技术学院(较高收费专业) 4 I 301 I 265 I 65 I 279558 I 284 I 84
气g
51 I 459 I 257 I 67 I 302142 I 398. 5 I 208. 5
7463 I 江苏建筑职业技术学院 玉 68 I 479 I 360 I 160 I 197624 I 384. 2 I 184. 2
9 96 I 451 I 320 I 140 I 250775 I 366. 6 I 186. 6
兰 6
7501 I 上海第二工业大学 9 9 I 491 I 462 I 282 I 101122 I 468. 7 I 288. 7
i 2 21 I 445 I 414 I 224 I 136619 I 430. 2 I 240. 2
1
7502 I 荆楚理工学院 g 1 36 I 4st I 459 I 259 I 102s14 I 464. s I 264. s
6 31 I 474 I 377 L 197 I 189307 I 462. 1 I 282. 1
g 3 J,
7563 1 湖北第二师范学院 1 24 I 489 ,. 46~ 飞二v·283 I 10 0093 I 467 . 3 I 2s1. 3
g 2 37 462 373亡· 173 184547 402. 5 2O2. 5
7602 西安培华学院 g 4 3 43 459七- 357 _.177 21 1372 1 399. 6 219. 6
7
4 3'I 371 I 319.. I 129 I 252795 I 350 I 160
7608 I 上海杉达学院 g 3 9 I. 408 207 I 7 I 302698 I 306. 8 I 106. 8
_ ',- _ g汹 3 1 9: · I· 431 I 261 I 81 I 305513 I 343.3 I 163.3
76097 二 6`1\ 1 腐 俨俨 g芦 0 1 17 I 444 I 279 I 89 I 288237 1I 368 I -178
5 23 I 465 I 294 I 94. I 259407 I 416. 9 I 216. 9
如
妇 g 1 8 I 462 I 445 I 265 I 118360 I 451. l I 271. 1
I L介L'- 7
g 2 3 21 1 462 1 236 36 I 293920 1 349. 6 I 149. 6
23 I 454 I 267
g 8 87 300758
2022 I 357 I 37 4 233 43 I 313623 I 330. 1 I 140. 1
3
7614 I 烟台南山学阮 2021 I 155 I 15 4 367 I 167 i 190485 i 394. 3 I 194. 3
2020 I 235 I 30 4 213 I 33. 336011 I ``-U 355. 3 I 175. 3
2021 I 12 I IO - 234 I 34 I 294717 i 310.6 I 110.6
7615 I 青岛滨海学院
2020 I 12 I 12 4 251 I 71 I 313212 I 323 I 143
2022 I 40 I 40 3 417 I 227 I 133019 I 428. 9 I 238. 9
7616 I 武汉生物T程学院 2021 I 29 I 29 6 418 ;:三 \三了三三三 三三三 ;三三
2020 I 35 I 35 422
- l I I
2022 I 18 I 19 338 : :
4
7621 I 西安翻译学院 2021 I 174 I 159 207 7 [ 302698 1 312. 8 ll2. 8
6 ··-···--~--
2020 I 249 I 183 193 I 13 1 343756 I 334~9 占义154. 6 i
2022 I 1-3`` 9 `' '1 39 5 212 1 22 飞20744 1 29屯,^飞4了-r·心夕104.3
7622 I 西安欧亚学院 2O21 134 1l8 - 205 5 i 303l26 2863 七寸 r斗 夺今86.2 ,
2020 I 150 140 4 C48 ` 4 了 '勹 ,I 三一i 346324 I 294.4 1+-H4.4
2022 I 124' ,t 1 “ 21 五 4 夕讥,编6~二 仁- ~J ''.. 56 : 30794 l I 379;.4'I 令 1 、, 8 . 9. 4
7623 I 西安外事学院 2021 I, 120 /1 , 120 84 3 " 2 . 2 一?,J~ 占 之 122 ` 1 i _ 2 35 _ 219 . . I . 3 . 61 . 1 I 161. 1
2020 I 10s I,io
一一
s
''
: I 46-64 I 325 145 I 245461 I 372. 4 I 192. 4
2022 15 15 41444 2Ol 11 I 323633 I 285. 8 I 95. 8
7625 I 宁夏理丁学院 2021 I 22 /, 11 5 I 4637 I 217 17 I 300151 I 334. 7 I 134. 7
', ` \.,._一;,
2020 I 33 I 1s I 4666 I 231 57 I 322860 I 346. 9 I 166. 9
2022 I 46 I 46 I 437 I 306 116 I 265721 I 342. 3 I 152. 3
-
7626 I 南昌理工学院 2021 I 47 I 47 I 443 I 324 124 I 233380 I 360. 9 I 160. 9
4
2020 I 52 52 牡54 I 308 128 263211 I 366. 5 I 186. 5
2022 I 96 .I 96 牡3 I 275 85 l; 29lO38 326. 3136. 3
1
7627 I 西安思源学院 2021 104 - 107 439 249 49 288l44 303. 1 103. 1
-
2020 I 104, 104 I 457 I 241 61 320236 I 316.5 I 136.5
4
2022 I 50 I 60 I 396 I 207 17 I 322146 I 275.5 I 85.5
7628 I 陕西国际商贸学院 2021 I 23 I 20 I 3851 I 210 10 I 301992 I 281. 3 I 81. 3
2020 I 25 I 13 I 3801 I 219 39 I 333203 I 264. 6 I 84. 6
2022 I 48 I 48 I 42-0 I 316 126 I 255946 I 354 I 164
7629 I 齐鲁医药学院 2021 I 50 I 50 I 4644 I 276 76 I 272642 I 339. 6 I 139. 6
2020 I 54 I 54 I 4666 I 191 11 I 344399 I 330. 1 I 150. l
5
-
4
5
8
-
4
4
8
-
4
6
9
-
4
1
5
-
4
3
1
-
4
5
5• 228 · 第三章录取统计
录取分数统计
院校 公布录取 最低分 平均分
代码 院校名称 年份 计划 人数最高分最低分与分数录取最低 平均分与分数
线差值 分位次 线差值
2022 85 85 415 199 9 324109 289. 3 99. 3
7634 谁坊科技学院 2021 85 23 375 203 3 303545 265. 3 65. 3
2020 85 19 436 180 0 347337 299. 7 119. 7
2022 2 2 439 397 207 157219 418 228
7635 天津天狮学院 2021 6 6 388 353 153 204689 368. 5 168. 5
2020 4 4 412 372 192 194763 390. 5 210. 5
2022 89 57 382 193 3 325398 256 66
7636 海口经济学院 2021 75 39 429 200 0 304110 280. 5 80. 5
2020 125 63 465 184 4 346324 308. 6 128. 6
7701 天津中德应用技术大学 2022 13 13 443 426 236 122482 435. 9 245. 9
2 20 0 2 2 2 0 s 9 o 羞 9 466 4 4 5 1 6 4: 二了 区、 22 27 4 6 了J ~ `八 s 了1 i 上`,仁,, ?1坞 ~ 气9-今 67264195 4 4 5 2 9 8 . . 2 8 2 23 7 8 9 . . 2 8
7702 广州民航职业技术学院 2021 43 424 fo-:''L224 " 134824 439. 5 239. 5
2020 主吁也寸 404 玄,224`:兀60534 422. 3 242. 3
北京农业职业学院 夕夕 “心令只产K户尸大”`了气 但步初认岛泣 ,钮;; 432丘~ 242 l15660 441, 1 251, 1
7703 12 t S - 447 247 113468 454.6 254. 6
i-俨 譬又各芝飞. 、气\`二飞$芸心, 笭;2“O纵2九0心
-` 11:, <:-1'ioI • J 464 440 260 123509 450. 5 270. 5
乓南广心匕\\北三十\尸工花叭'医,\~上~药\_玄职.业`?技尘At飞产术f 学恙 令L 203,>2,2二
770广4亿 I L L \_ 3, ',&." - " \` 院: , \ 2寸021 r 2 ` ,1-, 3 4 7 1 2 3 2 85 4 2 2 2 9 4 0 1 2 0 4 0 2 2 9 7 8 9 1 8 4 1 6 6 33 2 2 2 . 4 7 14 2 2 4 . 7
\\ 'L , 了 2020 4 2 299 239 59 321518 269 89
I歹: 2、一``勹汽产臼 t:.',.~ "•· . 2022 35 35 448 419 229 130688 427. 6 237. 6
7705 启南京科技玑业学院 2021 35 35 465 432 232 127458 440. 2 240. 2
2020 33 33 509 433 253 130604 445. 8 265. 8
2022 6 6 473 442 252 104144 449. 8 259. 8
力06 南京信息职业技术学院 2021 12 12 467 447 247 113468 453. 1 253. 1
2020 23 23 463 445 265 118360 451. 6 271. 6
2022 25 25 460 429 239 119088 438. 6 248. 6
7707 广州番禺职业技术学院 2021 24 24 468 436 236 123710 449. 3 249. 3
2020 24 24 469 442 262 121493 450. 4 270. 4
2022 136 136 444 362 172 201549. 381. 6 191. 6
7709 江苏商贸职业学院 2021 116 131 461 321 121 236149 355 155
2020 103 104 466 277 97 292459 335. 5 155. 5
2022 112 112 447 320 130 251735 3?},心气§ 163
江苏财会职业学院 2021 72 72 4辜60 多141.
7710 2020 135 123 512?,江?\ '135. 3 2
7711 江苏城乡建设职业学院 启2 20 0 2 2 1 2 2 2 7 5 2 2 “7 5 九” 品弓、 - 心 ?- - 1 l 1 9 l 3 8 0. . . 4 3 2
知“289产,, :99. 280646 356. 7 166. 7
7712 江苏航空职业技术学院c---··一,,,'i,, \ 心99`',1268 68 277796 325. 2 125. 2
尸,也 I\. ,I,, \ 飞子` - 1I 了-;飞i!“I“,` ' ` 45 3 19 8 18 34 2040 339. 8 15 9. 8
7713 江苏安
全技术\`1冲,,;业了,,,,`子I学;
'
'
I,
,
:\
让院 -戊归一'气,'`\`\ ,尸贮
:
一亡\
~
, 女,二`
七.气、(夕'` ,, .
,
,· 2
叨
02
泣
1
\户了
4
初
0. 6 4 0 8 4 4 1 5 1 7 2 25 7 1 9 5 8 1 9 2 2 8 8 8 7 2 1 3 3 7 6 3 3 0 0 9 9 , . 3 1 1 1 1 0 9 9 , . 3 1
2020 48 44 407 186 6 345764 302. 5 122. 5
2022 15 15 425 350 160 216616 376. 4 186. 4
7715 皖西卫生职业学院 2021 15 15 389 324 124 233380 340 140
2020 10 10 397 303 123 268234 334 154
7717 皖北卫生职业学院 2022 30 30 404 304 114 267637 332. 7 142. 7
2021 20 19· 426 235 35 294344 306. 9 106. 9
7719 南昌影视传播职业学院 2022 4 16 284 191 l 325829 237. 4 47. 4
2021 4 1 298 298 98 256171 298 98
n20 武汉海事职业学院 2021 25 11 368 213 13 301249 262. 4 62. 4
2020 20 4 307 193 13 343756 237. 5 57. 5
2022 60 60 388 191 1 325829 285. 2 95. 2
7721 长江艺术工程职业学院 2021 61 26 418 206 6 302908 278. 5 78. 5
2020 50 9 391 182 2 346844 257. 2 77. 2.
三、2020-2022年河南省普通高校招生高职高专批录取情况统计表(文科) 229 •
I
I
录取分数统I ::$
院校 院校名称 年份 公计划布录人取数 最高分 最低分 最与线低分)J:数:分 录分取巨最久低~' }均分 平均分
代码 1
2022 68 ~ 0,; 359 169 205212 374.3 184.3
668 443454
7722 武汉铁路桥梁职业学阮 2021 60 341 141 216793 370,5 170. S
2020 58 58 431 325 145 245461 356. 9 176. 9
2022 5 5 394 273 83 292397 320 130
7726 直化科技职业学院
2020 5 l 293 293 113 277851 293 113
2022 6 6 396 344 154 223998 359. 8 169. 8
7728 包头铁道职业技术学院 2021 6 6 375 304 104 251221 327 127
2020 6 6 382 261 81 305513 319. 3 139. 3
2021 2 2 351 268 68 217796 I 309. s 109.5
7730 黑龙江冰雪体育职业学院
2020 24 3 439 214 34 335578 : 312. 7 132. 7
2022 34 34 247558 355. 8 165. 8
石家庄医学商等专科学校 2021 34 34
觑I
258633 329.6 129.6
2020 34 34 303966 310.1 130.1
7901
2022 玉痒 1 I 134202 416 226
专 石 业 家 ) 庄医学高等专科学校(较 , 高 收费 ,2021 1 l叭祝-I、 302 302 \ 102 252885 302 102
2020 ,1 l S 365S 365 185 202429 365 1S5
石:,\`家..庄i}\.人'/.,民}\\翠\肖\ 寸~~ •,飞,、:夕\~ I亡 '2022 3lt\ I\ 33\ ••` { 416 312 122 259938 340. 1 150. 1
790 \\~ \ 2 ,'\ ,\ : :' \L i , 1 \. \ \\ ` ·:~\. ~. ~-. ? } ,\ \ 2 20L 0 ~ 2 2 \ 0 l\ \ 3 31 1 3 3 1 1 4 3 1 6 4 6 2 26 9 1 6 9 81 6 2 3 5 0 7 55 8 1 1 3 9 32 3 9 0 . 2 4 12 1 9 2 . 2 4
`},~ `
7903\\\ ' 砰\\\ \s \ :3 笔}畔\'L高等,专科学校 ; \" `', \\ \ 2022 30 30 442 352 162 214108 412 222
2021 22 22 461 357 157 200657 1 416 216
\
2020 22 / 22 459 382 202 183875 403 223
2022 35 35 351 193 3 325398 ! 273. 8 83. 8
8001 新疆生产建设兵闭兴新职业技术学院 2021 95 16 377 207 7 302698 276. 9 76. 9
2020 80 2 323 257 77 308659 ! 290 110
2022 8 8 464 432 242 ! 115660 442 252
8003 长沙航空职业技术学院 2021 3 3 476 455 255 106136 464. 3 264. 3
2020 8 8 457 401 221 163644 431. 1 251. 1
2022 40 40 429 260 70 300485 312. 8 122. 8
8007 新疆石河子职业技术学院 2021 37 19 398 200 。 304110 277. 6 77. 6
2020 54 9 435 201 21 340997 287. 3 107, 3
2022 66 66 456 381 191 176992 398, 7 208. 7
8008 天津铁道职业技本学院 2021 66 ! 66 446 315 115
241559 `景荨
2020 76 76 464 361 181 206979
2022 52 i 52 399 270 $0 \ 294338 ,
8009 天津城市建设管理职\lV技术学院 2021 28 28 345 玉荨 蒂纥3 i 303545 262. 6" ""' 心书应,,,6
2020 40 l 5 奇` 2 346844 24饮汴\ "66. 7
2022 ', 2?3/ \五\ 405声 104\ 叨6417 315. 3 125. 3
2..
8010 天津生物工程职业技术学院 2021 ,'引,次~)\ \ 24\ 411 2位 303749 293. 1 93. I
/- , I~ 1 _/ 2、\020 、 2 \ 5 25 飞375 '214 34 335578 312. 2 132. 2
北京工业职业\技飞\',术户`学,'院i ''\六, 2022 14 〉飞\ \',1 4 \, '440 293 103 277351 383. 9 193. 9
8011 \ \\ ,\'',,\. '-' \I '' 2021 15 15 495 438 238 121825 449. 7 249. 7
2020 12 12 464 452 272 111286 458. 3 278. 3
2022 14 i 14 464 412 222 138987 436. 2 246.2
8012 北京信息职Iv技术学院 2021 15 15 466 229 29 296508 372. 1 172.1
2020 12 i 12 479 452 272 [ 111286 459. 3 279. 3
2022 43 43 356 272 82 293019 300 110
8013 天津海运职亚学院 2021 54 41 188 205 5 303126 269.2 69.2
2020 51 42 412 192 12 344073 268, 2 88.2
2022 29 11 444 197 7 324543 286. 4 96, 4
8016 北京科技经营管理学院 2021 1 3 368 251 51 287136 304. 7 104. 7
2020 3 3 380 342 162 227482 361. 7 181. 7
2022 26 26 446 419 229 130688 429. 6 239. 6
8017 北京劳动保障职业学院 2021 22 22 457 398 198 159706 420. 1 220.1
2020 26 26 465 397 217 167851 431. 2 251 2• 230 • 第三章录取统计
录取分数统计
院校 公布 录取 最低分 平均分
院校名称 年份 录取最低
代码 计划 人数 最高分 最低分 与分数 平均分 与分数
分位次
线差值 线差值
2022 30 18 308 191 1 325829 247. 7 57. 7
8018 北京网络职业学院 2021 25 17. 411 234 34 294717 274.9 74.9
2020 15 15 430 213 33 336011 308. l 128. 1
80巧 包头钢铁职业技术学院 2022 5 5 343 280 90 287461 314.2 124.2
2022 15 14 337 229 39 315163 277.4 87. 4
8043 辽宁传媒学院 2021 15 6 438 235 35 294344 282 7 82. 7
2020 15 7 436 234 54 324767 320.4 140.4
2022 16 26 428 191 1 325829 243. 7 53. 7
8044 大连软件职业学院 2021 12 1 235 235 35 294344 235 35
2020 17 1 205 205 25 339518 205 25
2022 32 32 443 192 三2气歹立5611 296.3 106. 3
8048 北京经贸职业学院 2021 配巧巧穷1丸,认',·•; 321. I 121. 1
2020 366.5 186. 5
2022 lP3斗`2773.5l 379.4 189.4
f.
8053 '176 181478 393. 8 193. 8
歹i(夭汴~ 沪一;f业c!'('尸学院悔叩 立C,产含产玄咬心堍 雪
189 198119 396.4 216.4
"~.., • 2O22 7 \ I1,\“7 5 i 399336 146 233659 359. 6 169. 6
> '-•
匕 2O2 1已 ~'7 7 375 321 121 236149 336.4 136.4
80~Ir-,i,-! 令 2'020 2 2 400 310 130 261167 355 175
`.
8055\\ '\- L °! ,飞' 昙 “`一天,飞. c ~ , 尸' . ·津 .- ; : : 夕 、现 心I 代 J 黯砰,•..$'/长4技1么 气术乒妥尸,学c.,,'寸心`, 院.屯t • ir'-;尸 \ 2 20 0 2 2 1 2 4 3 3 8 3 43 8 5 4 0 5 7 6 4 42 2 5 4 2 2 2 3 5 4 1 1 3 2 3 4 8 8 7 27 9 '44 4 1 3 . 2 6 24 2 1 4 . 2 6
孕 2020 48 48 465 415 235 149065 427. 7 247. 7
2021 25 4 374 204 4 303340 267 67
8056 吉林水利电力职业学院
2020 35 3 328 211 31 336931 252. 7 72.7
2022 22 22 453 439 249 l 222 13673l 呫8.7 248.7
2O2O,
;
l3 工
25
3
:;
473,心 451 2713 ll2345 457 2 277.2
少了了,心022• 25 ·,.,.. \ 372 ,l90; 0 326041 298 108
8317 I 烟台汽车工程职业学院/ .- 心,,.42.O21 ` 飞 达 11 .314 \,',.,233 33 295099 266. 4 66. 4
了,三, .二夕,产i-.. 「- 气:- .1) ,~· i ·/'' ,"\·'..f. . r a.020 I· 25. - 飞女',5 355 278 98 291580 310 130
8318 I 浙江横店影视职 ., 业 少. 学 . 院 .. ' . \... • .于2021..• 4 • I 6 I 420 I 285 I 85 I 266241 I 340. s I 140. s
2020 I 3 I 5 I 375 I 298 I 11s I 213026 I 339. 2 I 159. 2
.,.,, 0. I 2022 I 16 I 13 I 361 I 192 I 2 I 325611 I 269.s I 79. s
8322 I 漳州理工职业学院 2021 I 9 I 2 I 368 I 213 I 13 I 301249 I 290. 5 I 90. 5
2020 I 14 I 1 I 341 I 341 I 161 I 228530 I 341 I 161
::
8325 I 广西工程职业学院 三还: 笠 I :1~ l 三王 I 三5 1 三 I 三 I 6:
!
:
8326 I 重庆财经职业学院 l呈 I 言 号 呈 言言 菩 I 兰呈言 1 号51 皂三
8327 I 安徽绿海商务职业学院 1 1 I I.
三、2020一2022 年河南省普通高校招生高职高专批录取情况统计表{文科) 235 •
吱取分数统月
院校 公布 录取 最低分I勹分取U:江次/ 平均分
代码 院校名称 年份 i/ 1戈lj 人数 最高分 最低分 与分数 1 平均分 与分数
线九值 线差值
2022 24 28 378 203 13 323151 276.1 86. 1
8328 广州城建职[~学院 2021 23 8 409 246 46 289571 321. 5 121. 5
2020 24 7 434 223 43 331092 343. 4 163. 4
2022 35 85 353 198 8 324323 263. 5 73. 5
8329 让西新能源科技职业学院 2021 30 24 391 202 2 303749 263. 5 63. 5
2020 38 5 328 l86 6 345764 269.4 89. 4
2022 29 70 324 192 2 3256ii 253. 4 63.4
8330 江西枫林涉外经贸职业学院 2021 10 4 382 220 20 299310 309 109
2020 28 1 248 248 68 315404 248 68
2022 57 65 379 193 3 325398 272 82
8331 江西泰豪动漫职业学朊 2021 60 59 413 206 6 302908 280.2 80. 2
2020 50 42 415,,,户 l 18¢: 4 346324 282.4 102.4
8332 广西理工职业技术学院 2022 12 3 21& .,': l95 \ 5 324979 227. 7 37. 7
2022 6 i 13 4饬 ll 204 .. 14 322900 292. 8 102. 8
百
8333 币庆科创职业学院 2021 5 1 259 259 59 282939 259 59
2020 11 2 , 383 272 92 296665 327 5 147. 5
2022 30 160 383 199 9 324109 271 2 81. 2
8335 辽宁建筑/~职.业,一,学飞院 2021 25 9 407 221 21 299047 283. 7 83. 7
; 2020 16 5 334 189 9 344966 273. 6 93. 6
2022 14 14 429 383 193 174502 400. 8 210. 8
8336I' < \,¥.山''吵,东.\飞传,又二`媒职业学院 2021 19 ! 19 459 361 161 196657 387.5 187. 5
\ 2020 20 20 457 308 128 263211 352. 5 172.5
j
2022 20 20 368 195 s 324979 296. 7 106. 7
8337 临沂职业学院 2021 24 5 374 215 15 300735 263.4 63.4
2020 24 3 334 207 27 338657 288. 7 108. 7
2022 28 28 419 307 117 26480D 337. 5 147.5
8338 湖北工程职业学院 2021 28 28 445 241 41 291870 293 93
2020 28 22 440 184 4 346324 275. 9 95. 9
2022 5 28 328 259 69 301039 282. 6 92. 6
8339 河北劳动关系职业学院 2021 5 2 225 222 22 298773 223 5 23. 5
2020 5 2 304 248 68 315404 276 96
2022 20 20 424 360 170 203976 379. 5 189 5
8340 `吉林铁道职业技木学阮 2021 22 !上”~ 163 329 129 228592 霍35J,J长2/卢l54. 1
2020 64 64 420 291 111 27975 l
2022 75 8 l l72 306 116 』二23产26?467义77]
8368 黑龙江交通职寸V技术学院 2021 54 54 361 这J23飞3~:1942夕_ • 勺;~: 仁 ~\~ ~已. :~ 俨' 39 _ 286. 4 86. 4
2020 40 40 345今 54 267.8 87. 8
2022 ;/尸、4 4 387袒~ 122 259938 344 154
8369 浙江国际海运职业技术学院 2021 3 1 · 327 327 l27 230524 327 127
2020 3 2 -- 248 218 38 333708 233 53
2022 3D \; 56 437 231 41 314420 286. 7 96. 7
8371 伊春职\l[,学院\ 2021 40 14 504 204 4 303340 275. 4 75.4
2020 25 5 290 195 15 343072 234. 4 54. 4
2022 36 36 400 205 l5 , 322647 320.1 130.1
8372 大庆职业学院 2021 25 9 " 197 208 8 I 302462 283.6 83. 6
2020 60 4 460 299 119 272124 ,47.3 167. 3
2022 飞88 245 55 308427 289. 3 99.3
8373 哈尔滨职业技木t院 2021 50 422 203 3 30354.5 283. 2 83.2
2020 85 412 191 11 344399 296.6 116. 6
2022 25 25 408 199 9 324109 311. 8 121. 8
8374 大兴安岭职业学院
2020 14 1 341 341 l61 228530 341 161
2022 60 60 460 340 150 228855 361. 5 171. 5
8376 哈尔滨铁道职业技术学院 2021 30 30 461 303 103 252069 359 159
2020 20 20 412 277 97 292459 312 132• 236 • 第三章录取统计
`
录取分数统计
院 代 校 码 院校名称 年份 1 弅 点 1 最高分 1 最低分 1 霉尸义 分 最 位 低 次 平均分 1 平均分
线差值 线差值
393354495 11912493 7737631623292610 260291 5
芒
8377 I 黑龙江建筑职业技术学院 i 三
g
g
8379 I 黑龙江农业工程职业学院 241. 6 41.6
归 卢 215. 6 35.6
251. 9 61. 9
8380 I 黑龙江农业经济职业学院 271. 8 71. 8
2020 I 50 I 5 I 435 I 213 I 33 I 336011 285.4 105.4
2022 I 50 I 63 I 401 I 194 I 4 I 325188 309. 6 119. 6
8381 I 黑龙江农垦职业学院 2O21 51 9 418 210 10 飞: 3.01992 319 119
2O20 70 3 429-- 324- 144 。 2246571 384 204
2022 I ss I 1J生 名 443三 f- 多之 女 飞 170 i;!-20 •'I 329295 261. 9 71. 9
8383 I 黑龙江林业职业技术学院 2O21 迳篡 fit三 306多.一'尸石 181 _, -19飞二 306942 220. 8 20. 8
冬砬0 气5孚含 3占气芩卒*/ 273 凶0: 60 320855 260 80
I I
三 `.辜r 穹/三 、 噬3 0边 c30-矿- 30 [ 409;夕320 Bo 2s1135 345.1 155. 1
-,`
8384 黑龙江司法警官职业学院 厂少,专心 ·w2f I 30气,气夕siP'I'438 I 284 I s4 I 266960 320.4 120.4
- h 一 夕 : 二一, 二.\I 1 \ :;、讼 一 - ; 一 俨 节歹 202Of: .气so · I 2s I 396 I 196 I 16 I 342148 274. 6 94. 6
838 \ 7 \ \ - \ 飞 ~` 炉 、 \ 牡 2 丹 3 江 i \ 天 ,/- 学 土刁尸 ~ 么 I ; , ' - : 3 , , •. t:'女2\'..;;_' ,v• :;. 己-,勹'\.2 2 - 0 0 2 21 2 I I 6 9 5 0 · I I 6 63 5 I I 4 4 7 8 2 7 I I 2 1 0 9 0 0 I I o O 1 I 3 3 2 0 6 4 0 1 4 1 1 0 3 2 0 86 1 . . 3 8 1 8 1 6 1 . . 3 8
\ .了气\,,.,,~·
~-了.,,;;,: t>·'· I 2020 I 112 I s9 I 458 I 199 I 19 I 341698 290. 7 110.7
亡 202214 14 414 199 9 324109 294. 9 104. 9
8410 福建生物工程职业技术学院 2021 I 6 I 1 I 343 I 343 I 143 I 214731 343 143
2020 I 22 I 1 I 413 I 413 I 233 I 151112 413 233
2022 I 24 I 25 I 443 I 308 I 118 I 263856 420. 5 230. 5
8412 I 厦门城市职业学院 2021 I 28 I 30 I 458 · I 427 I 227 I 132034 440.2 240.2
2020 I 21 I 21 I 465 I 437 I 257 I 126529 444.6 264. 6
2022 I 47 I 47 I 427 I 302 I 112 I 269455 340. 8 150. 8
8416 I 山东商务职业学院 2021 I 42 I 41 I 445 l 263 I 63 1 280715 331. 3 131. 3
2020 I 40 I 39 I 464 I 282 102 I 287969 349 169
8417 I 山东轻工职业学院 2021 I 20 I 6 I 304 I 225 I 25 I 297842 I 253 I 53
2022 I 55 I 79 I 375 I 195 I 5 I 324979 I 259 I 69
8431 I 三亚理工职业学院 2021 I 21 I 11 I 429 I 230 I 30 \ 296154 I 29飞4上 97.4
2020 I 26 I 18 · I 477 217 I 37 I 3341751:'I, 295,1 夕名"115.1
2022 I 25 I 25 I 31s I 236 的产 31记90',过 282:.4 了92.4
8434 I 江西冶金职业技术学院 2021 I 20 I 20 I 38?, .,、2峦:/ 飞霎尸 302908 263 ;63
心玄
2O20 20 `5 多诏l卢这4气 54 324767 268 88
干今、
2022 少元3 勹趴 邸矿 299 109: -272104 304.3 114.3
8435l 山东理工职业学院 -;2O21于c2氖\
g\
326 249;比 勹49 288144 280.7 80.7
__一”么 厂 f-,:,飞',`匕020 t气闭 3 ., ",399心七心让8 38 333708 327. 7 147. 7
运城职业技术大学;(原运城职业技术 夕萎 ^ \沪夕I I I I I I
8438 I 学院) \ \ \ \ ' 尸 t \ \ 卢 \了 勹 -~ ' \ 气 L- 了 LJ ; \ \ ,. - - , · 六 2 \ O 泛 2 亡元 O, ' - 卫获飞`,`, ~2 392 210 90 ws2s3 331 1s1
` 气 \ 了\ `卢七 2O22 3 1 200 200 10 323854 2OO l0
8439 I 大连航运职业技术堂院f; ,夕r 2021 13 1 306 306 106 249455 306 106
2020 I 4 I 1 I 230 I 230 I 50 I 321216 I 230 I so
2022 I 36 I 76 I 313 I 191 I 1 I 325829 I 249. 7 I 59. 7
8440 I 大连汽车职业技术学院
2020 I 14 I 1 I 268 I 268 I 88 I 299928 I 268 I 88
2022 I 53 I 53 I 433 I 355 I 165 I 210272 I 385. 9 I 195. 9
上海行健职业学院 2021 I 58 I 58 I 465 I 389 I 189 I 168512 I 411. 2 I 211. 2
2020 I 79 I 79 I 460 I 388 I 208 I 177416 I 413. 9 I 233. 9
8442
2022 I 9 I 4 I 334 I 250 I 60 I 305941 I 306 I 116
上海行健职业学院(较高收费专业) |
三还i 三 :王 三笠 穷 E芒笠 l :芷: 1 芒:
8443 I 大连装备制造职业技术学院 1 I ; I I三、2020-2022年河南省普通高校招生高职高专批录取情况统计表(文科) • 237 •
录取分数统计
院校 笠 录取 最低分 m
代码 院校名称 年份 人数 录取最低
睬 最高分 最低分 与分数 分位次 平均分
线差值 -
38-38-193-83-53-82-91-92-73-55-33-67-12-77-45-34-08-23-17-42-84-06-43 1-28
罢 320 130 』 3
8444 三峡电力职业学院 i 258 58 1
235 55 言 3
-
406 216
王8 _4
8445 上海科学技术职业学院 g 413 213 言
-
442 262 -4
』
如8 2
412 222 罕
8446 上海电子信息职业技术学院 g 422 222 呈24 _2 6
-
- 427 247 雪 98 3 8
381 191 3
8447 上海交通职业技术学院 g 371 6
0
三99- 9 7
- 3 3 一 - 1 5 4-4 9 -
8448 上海城建职业学院 g 言 1
2 _-132 量-2
m
3
8450 - 263 三 主3105 11 6
-6
g 235 8-0 0
- g 曰 5 - 1 4 3 2 2 1 3 9 1 1 5 6 1 0 - 呾 2 6 0 - 54- 3 8 2 0 -
) 院(原上海新侨 - - 207 _ 0 3 24 - 2
g 归
1
1
9
9
1
3 9 髻- 3
02
3
-0
8454 上 职业 海 技 中 术 侨 学 职 院 业 ) 技术大学(原上海中侨 - 3 2 19 0 9 7 - a2 2 8 3 - 725
8455 上海邦德职业技术学院
g
-_ 2
1
0
9
1
4
-
28 6
5
0
-
3 -
1
g 『 - 2 1 1 9 8 3 7 』 2 63 1 3 8
8456 哈尔滨应用职业技术学院 - 归 - 4 2 1 4 5 4 6 9- 25
g 1 -2
6 190 5 4-
8457 上海东海职业技术学院 203 27
』 3 185 - - -2
岁85
」
上海工商外国语职业学院 2 4303931 刚 4 670
勺}\$驾- 35-
8458 - 1 996
- 8 I 318986
上海工商外国 12
专业) -
20 I1 299310 5 ---
8459 』
72-5 3 5l44_ 4 9 3 l8 4 - 4 9 4 - 8 1 4 0 0 -1 7 13 4 9- 0 01 9 20 4 0- 5 29 9 41 4 1 -81 o
9
0 3 4 1 7 6 3 _ 4 86 3 0- 5 3 I I
I
5 1 3 8- 2 3
3
8 21 8 2
0
7 -3 6 8
2
1 3 4 0 8
2
6 1 4 8
3
4 1 3 0
7
4 6 4 4 7 3 3 0 4 7 7一 37
-
- 8
0
3 1 8 8 8 2 2 6 7 4 4 2 2 0 3 7182 3 2 41289245233
679810101
3
0102425185105
4 I 346324 主
23 352
芒 190 I1 178265 3 6 5 - 层 7- 1
8471 广州科技贸易职业学院 i
g
归 0 1
1
8
6
1
1 I
I -
2
1
2
7
8
6
5
45
3
1
0
1
4 7 三
-1
-
5 174 I 198903 7 1
8480 四川文化产业职业学院 g 100 I 248573 - - 1 1 2
U_ - 1 7 3 4 8 I I - 6 2 2 5 9 2 8 9 1 0 3 1 0 - 3 2 5 2 4 2
i - 2 7
8481 哈尔滨科学技术职业学院 g g贮 3 6 9 7 1 9 I I I 2 3 3 8 0 2 0 2 0 6 6 2 4 9 3 6 8 6 』 3 5 9 7 1 - - - 7 0
3
8483 蚌埠经济技术职业学院 g 4 45 I3 3290064 3 4 1 5 7
g 9 53 I 325378 5 - - 7 4 -
u 33 -
5 -
06
- -- 09 1
m5
l 2
14
-
2
-
- 5
1
-- a1
9
3 7 5 23 - - 0
-
2 7
67 m3
2
6 0
5 3 05 - - -
7 - 1
- 8
3 6
4
E 5
2
- - - 5 -
-
1 -
8
3
8
5
3 5 4 0
4 9
-
1 -
9 -
a
9 - 2
5
7
5 3 0
3
5
3
- - 5
-
0
- 2
5 -
1
4
3
5
3 0
9 -
9
1
-
-
- 7
6
2 7
8 -
3 1
. 4 4
- 2
5
-
-
5
-
-
1
3
2 -
8
2 8 0
-
-
3
3
6
- -
8
2
2
1
5
-
6
4
l
!
I
3· 238 · 第三章录取统计
年份 公布 1 录取上 录取分数统计
代 院 码 校 院校名称 厂计划/!人数 ! 最高分 1 最低分 五 线勹 归 分` 、 数 一 1录 — 分取位最次低 l I 平均分 言 ]均矿
加22 __3矿飞o 17丿
29 29 395 -?28` 360 5 -
8484 I 福建且仕职业技术学院 2021 j 36 j 34 I 390 I 252 j 52 I 286634 / 309. 2 j 109. 2
2020 I 40 i 35 I 397 I 210 I 30 I 337374 I 293.1 I 113. 1
;
8488 I 泉州丁艺美木职业学院 _ _ _J2022 』 , IIJ -1 7 273 196 6 324775 232 6 42 6
2022 I 36, 36 I 446 I 100 I o I 326041 i 333. 1 I 143. 1
- 8 “ 49 T 0 I - 宁德职业技本学院 2021 I 22 I s l 383 : 3s2 I 152 I 205683 I 367. s I 161. s
—- _ _- __ _ _ 2 2 0 0 2 2 0 2 一 I 『 五 22 - l 1 飞 2 2 I - 3 3 6 氮 4 I 3 2 4 0 7 4 I 1 1 6 4 7 2 3 2 2 2 2 2 9 4 0勹 3 i; 3 2 5 6 :5 6 .. 5 5 I 1 7 7 6 5. 5 s
8492 厦门软件职业技术学院 202l ! 40 : 8 函332- 勹i0 30',已艾274 l 74 ,
2020 I 五勹二 i 213 90 5
2022 53 ; 53 405 I 261 137. 5
8493 I 漳川城市职业学院 2021 56 I 16 4]8 I 234 34 294呾248二! -333379, 82 139 2
2020 i 53. 4 384 304 124 267 157 8
2022 i 55 1 106 364I, 190 。 326041 247 57
, I
8494 I 厦门南洋职业学院 2021 II 65 : 14 424 203 3 303545 1 292 9 92. 9
1 ;—
2020 l______'7(J__J 勹3 449 195 15 89 8
2022 82 1 82 至4钮b2 二函,社] 169
3
20
4
5
3 /2121 — 237695.85
185 5
8496 I 湖北科技职业学院 2 - 0 - 21 一 ! 54 I 02 - _ _, 141 216793 367 5 167 5
2020 一 5 一 6 一` ' , 56 '` 122 269166 347, 6 167, 6
}
8497 I 湖北青件职业学院 202O } 22 I 14 355 -+!
|
191 11 1, 34 4399 I 262. 4 I 82 4
2022 I 22'22 4三25 /29! —-IO9 三272104 I'二.346 3 丿l56 3
| ·, _ _
中山职叶技木学院 2021 I 25 I 25
8500'
2020 ! 18 17
中山职\W技术学院(较仇收费仁1f) 2022 9. 5
上——
2022 32 395 :116 126 255946 | 341 6 151. 6
~·-
85()1 I 泰州职业技本学院 -2021 i 4] 41 431 237 37 293534 ; 288. 4 88. 4
2020 i 66 ; 38 465 183 I 3 I 346569 I 284. 7 I 104. 7
2022 } 28 28 466 I /445 I 255 I 10073 l I 450. 8 I 260. 8
- 202 斗 1 - f -— 28 -I 1 -- 2 - 8 - -- 501 ,_ 462 _. 26 . 2 . 二 ` 6_( ) 469 _ ` 269
2020 f 39 i 39 sos I 456 I 276 I 107245 I 461. 3 I 2s 1』3
2022 !I 2 I — 2 436 I 426 I 236 I 122482 I 431 I 241
2021 I2 1 2'l64 309 10 9 2468 19 336. 5 ] 16. 5
2022 II 42 46 I 409 I 249 59 I 306433 I 299. 6 I 109. 6
/二二-4() 419 2尸- --1 7 I 300151 I 285. 2 I 85. 2
- 2020 ! 70 : 40 I 3_63_ I _2 04_ _24 I 339925 I 280. 7 I I 00. 7
2022 - 『_ I 2s _ 『_ I _ _ 2 _ s I 373 I u_ 267 I 77 I 29628己6一 , i 29` 2 I 102
2021 I 25 • 25 I 345 I 208 I 8 I 302462 I 264. 7 I 64. 7
202 - 0 I 111 I 40一 .,I _3.74, I 194 I 14 I 343428 I 269. 2 I 89. 2
I
2022 i 64 I 67 I 434 I 194 I 4 I :i2s1ss I 289.6 I 99.6
,
8505 II ! 宿迁职\lk技术学院 2021 I 52 I 55 I 491 I 210 I I 10 I 301992. 323.9 I 123.9
I-W 202O l IO 37“08 [80 1 0 5 _ 8 _飞 工 47 沁 3'i7 勹 厂3 7 2 0 09 订o5
I 2022 14 14 414 348 I 9 180 9
8506 I 方川丁'11.liLI区服务外包职业子院 厂勺卫_ 9 - ; -4l(厂 玉厂-l25-“232了44 1 飞6]3 - l汀3
-- L i - ----- --. - - --. -- ·+1 - 2 . 0 :c 2 :c 0 :: __1 I _. 1 : 7 :_ _. I 17 I 457 I 330 i 150 I 240200, | :no. 5 I 190. 5
I I 2022 I 142_ _ i 142 i 411 I 302 I I 112 I 269455 ` 328. 7 I 138. 7
迕么港职亚技木学院 : 2021 I 118 I 138 I 469 I 210 I 30 I 296154 i 297.4 I 97.4
8507 1 1 2020 1 136 1 11s 1 454 1 191 I i 11 I 344399 I 277. 9 I 97. 9
-—
I- | 连云港职业技术学院(较裔收费专\IV) ; 2020 6 1 209 209 29 337792 1 209 29
二忮本!南学京I院飞W职)业技术大学(原南京「寸:'. 1 2021 1 31 1 -31 1 -贮 sis 1 467 1 201 1 95210 I 476 1 216
; - 2020 I 32 - I 32 509 46二286- 97iho 471 3 291飞
———一一—-----i
2022 I 28 I 28 I 447 I 4IO 1 220 I 141459 i 418. 5 I 228. 5
+
8509 | /T苏丁程职\II,技术学院 2021 3l 31 449 385 185 -- l725 - 8 - 2 . - 4 - 09 5 --- 20 - 9 - . . 5
2020 i 45 i 45 458 I :lSI I 171 I 217993 I 380. I I 200. l
尸 十一 3二飞96 严 1583三产\/-—
/ 31
8510 I 南只\机电职业技木学院 2021 I 26 I 43 453 255 55 285081l 388. 9 1 18 8. 9
2020 I 30 I 30 I 46 I I 352 I 172 216939 I 385. 4 I 20s.,r.
三、2020-2022 年河南省普通高校招生高职高专批录取情况统计表(文科) 239 •
录取分数统计
院校 公布
代码 院校名称 年份 计划 扂 I 最高分 1 最低分 1 飞界; 1:言I 平均分 霍
- - 线差仇 线差值
I —-..+- -一.一·^
343 I 153 I 225217 I 368. 7 I 178. 7
8511 I 江苏航运职\LIT技木学院 223 I 23 I 298460 I 363 I 163
323 I 143 I 247603 I 361. 3 I 181. 3
416 I 226 I 134202 I 426. 5 I 236. 5
勹
8512 I 南京交通职业技术学院 129277
三
430 I 250 133668
2022 195 195 469 327 137 244191
8513 I 江苏电子信狂职业司院 2021 202 I 202 457 296 96 257819
2020 I 215 I 215 I 469 271 91 297473 勹
2022 I 19 I 28 I 389 269 79 295011
8514 I 常州纺织服装职业技术学院 2021 I 16 I 21 I 406 302462
巨
2020 I 39 I 30 I 484 343428
2022 I 44 牡己:o 408 277351
,盐城工业职业技术学院 2021 I,.; 59 邓竺, 王产 431 i 208 302 ~ 4 气 62 勹
8515 2020 I 9(I 91 I 498 293 夕土 11 3v卢 277851
盐城I业职业技术学院(较高收费专业) 2022 I 4 4 269, ', |208 18 321867
`
2022 5 2 265 205 15 322647
8516 !渤 ` - 海 . 理 一了 工 一}飞 职 , 业 - 学 一' 院 ' 炉 < -飞 ,' ' 梦 ,\ -\- 加 }- '2Q
`
· 七 l"3' ', , 32; ; 气- 193 3 325398 240. 6 50. 6
8728 四川长江职乙业学院',,尸了了吨'忒\c ,,., _',产,.少'`$ 2O2~1 ', 36片 ,'一'F i 331 331 131 226706 331 131
僮``,t三迂了::择'一达\~二`-:豆/\~\-了技 \霆乡琦 炉 2^-O``2“2七;?.、`亡己·,匕
873',已心一 - ` • \ ` ~ , ' 2 021 ! .~ 2 99 7 •. , 2 6 8 2 3 5 1 6 6 2 1 0 9 9 0 9 0 3 3 2 0 6 2 0 2 4 3 1 7 24 2 2 3 . 3 1 5 3 2 3 . 1
\ \I己 乞》 2020 40 26 398 193 13 343756 272. 5 92. 5
虹- :'`今已巳,,... 2022 13 13 433 379 189 179514 394. 2 204. 2
8740 t_'\溢州科技职业学院 2021 15 、 15 436 348 148 209758 372. 7 172. 7
2020 17 17 415 274 94 295026 334. 4 154.4
2022 6 6 452 414 224 136619 426. 8 236. 8
8741 北京交通运输职业学院 2021 7 7 455 418 218 140519 429 229
2020 4 4 431 418 238 145887 424 244
8742 廊坊燕京职业技术学院 2022 9 9 430 193 3 325398 315. 6 125. 6
2020 6 2 445'263 83 303966 354 174
8743 石家庄科技职业学院 2020 10 1 212 212 32 336464 212 32
2022 25 25 444 402 212 150967 432. 6 242. 6
8745 杭州科技职业技术学院 2021 26 26 469 431 231 128325 439. 5 239. 5
2020 38 38 457 433 253 130604 440. 8 260. 8
霆1l3 磁邓 333胃心:,l43.
2022 11 11 387 303
8
8746 台州科技职业学院 2021 9 9 354 267
2020 9 7 296 248
49i:
8747 泉州轻工职业学院 2O22 13 8
2022 10 和豆,
,-,砌巨 "'27 338657 262 82
8749 夕,于3~446(f•、_.,UJS汜'''''119944 44 332255118888 225500.. 22 60. 2
(, ~MY-'- 440 347 157 220343 375. 2 185. 2
8751 58 508 331 131 226706 366.1 166. 1
58 474 296 116 274994 344. 4 164. 4
沁t`工t,B广 ',-今\ 2022 10 10 427 228 38 315547 296. 3 106. 3
8754 莱芜职业技术学院 2021 10 5 328 211 11 301758 283. 2 83. 2
2020 10 l 311 311 131 260118 311 131
2022 36 49 424 305 115 266678 348. 1 158. 1
8755 威海职业学院 2021 33 33 450 276 76 272642 347. 5 147. 5
2020 27 27 457 205 25 339518', 351. 8 171. 8
2022 11 17 428 295 105 275590 382, 8 192. 8
8756 青岛职业技术学院 2021 9 9 456 416 216 142453 432. 4 232. 4
2020 9 9 455 430 250 133668 438. 3 258. 3
2022 14 14 421 203 13 323151.·.. 307. 7 117. 7
8758 山东劳动职业技术学院 2021 16 1 398 398 198 159706 398 198
2020 30 10 351 193 13 343756, 262. 1 82. 1· 246 · 第三章录取统计
录取分数统计
院校 公布 录取 ~ 最低^分 一 均分!, 平线与均分
代码 院校名称 年份 计划 人数 最高分 最低分 与分数 录取砓低平, 分数
线差仇 分位次 ):伯
2022 8 8 376 246 56 307941 306. 5 116. 5
8761 维坊职业学院 2021 4 3 '360 286 86 265509 325. 3 ! 125. 3
2020 8 I 353 353 173 215813 353 173
2022 15 22 413 286 96 282971 349 2 159 2
8763 淄博职\Iv学院 2021 14 14 i 444 326 126 231496 362 6 162 6
! 2020 14 14 i 486 338 158 231723 395. 8 215, 8
2022 47 47 43 l 269 79 295011 312. 6 ]22. 6
8764 青岛洒店管理职\11,技木学院 2021 41 41 ! 409 293 93 260231 327 6 127 6
I 2020 37 37 461 237 57 322860 305 3 125. 3
2022 37 37 453 283 93 285208 315 2 125 2
8765 滨川职\IIr学院 2021 29 29 445 245 45 290064 291. 6 91 6
I 2020 32 25 415 197 17 342387 269 2 89 2
1i 2022 35 35 I 37 1 279 89 288237 305 3 I 15, 3
8766 聊城职业技术学院 ,i ; 2021 35 30 j 331 203 3 303545 257, 3 57. 3
I 2020 35 17 | 276 195 15 343072 232. 6 52 6
I, 2022 16 16 i 420 333 143 237232 359 4 169 4
8767 山东水利职业学院 i 2021 15 15 ! 425 287 87 264756 337 9 13 7 9
2020 10 JO jI 437 277 97 292459 337, 4 157 4
山东职仲学院(原济南铁道职业技术
8768 2020 5 5 438 333 153 237013 368. 2 188. 2
学院)
2022 13 13 392 328 138 243008 350. 8 ]60, 8
8769 山东和技取业学院 2021 2 2 369 287 87 264756 328 128
I 2020 9 9 451 272 92 296665 318 8 13 8 8
,i 1 2022 12 12 i 324 212 22 320744 264 6 74 6
8770 山东服装职业学院 2021 22 12 377 241 41 291870 281 3 81 3
2020 10 8 464 232 52 326034 307, 6 127. 6
2022 10 飞74 273 83 292397 307 9 1 17 , 9
8771 山东交通职\II,学院 2021 ,--- 338 214 14 301008 239 6 39. 6
2020 331 219 39 333203 275 95
2022 39 39 396 289 99 280646 314 2 124 2
8772 山东信息职业技本学院 2021 38 I 38 387 I 246 46 289571 294. 5 94 5
--------
I 2020 33 21 442 l 99 19 341698 291 5 111 5
8773 山东畜牧兽匹职业学阮 ,' r 20 20 2 2 2 1 2 2 3 4 2 2 3 4 4 4 1 5 33 j j 3 3 1 6 1 4 I 17 l 4 l ”“~ 2 1 4 9 5 8 1 9 0 0 7 3 3 3 4 8 7 8 . . 2 4 1 14 9 7 8 . 2 4
2020 25 25 430 i 283 103 287062 337 157
2022 25 25 449 309 119 262872 408 2 218 2
8774 山东商11,职业技木学阮 2021 29 29 487 ! 402 202 155754 427 6 227 6
2020 24 24 462 ! 395 215 i 169981 417 2 237. 2
2022 i 10 IO 427 413 223 137807 419 1 229 1
8775 山东外贸职\W学院 2021 12 12 461 410 210 148109 423 3 223 3
2020 12 12 l 448 妞~" 399 2l9 165734 418 8 238 8
2022 3 11 338 235 45 312809 301. 7 111 7
8777 曲早远东职业技本学院
2020 2 I 222 42 331646 222 42
2022 ! 125 298 351 190 。 326041 240. 4 50. 4
8778 山东英才学院 2021 ! 120 15 353 209 9 302237 278. 8 78. 8
I 2020 !; 123 9 403 211 31 336931 317. 9 Ll7 9
2022 30 36 397 273 83 292397 313 123
8779 I 东灼籵技职业学院
2021 8 8 350 292 92 260961 322. 4 l22 4
8781 汀西丁商职业技术学院 2020 10 l 233 233 5:1 325378 233 53
2021 I 1 273 273 73 274712 273 73
8783 4煦扑IN才支取]\化学喟芫
2020 21 6 370 242 62 319599 297 7 i 117.7
2022 19 18 309 193 3 325398 252. 1 62. 1
山东力明科技职业半阮 2021 19 4 368 301 101 253719 324. 5 124. 5
8784 2020 10 3 359 224 44 330572 3-0752, 3- 0~II,! 12805. 3
山东力 , 明科 人 技职 , \ 人 II.1学 _ 阮( _ 较高 _ 收费 2022 I I ! -2-75 • 275 85 291038
女曲) 2021 I i I 266 266 66 278968 266 66三、2020—2022年河南省普通高校招生高职高专批录取情况统计表(文科) • 247 •
录取分数统门
院校 公(IJ 录取 最低分 平均分
院校名称 年份 录取最低
代码 计划 人数 妓高分 最低分 与分数 1,均分 与分数
分伈次
线差伯 线差值
2022 31 43 339 202 12 323382 1 281 7 91. 7
8786 山东圣翰财贸职业学院 2021 38 12 319 209 9 302237 250. 9 50. 9
2020 48 12 326 186 6 345764 237. I 57. I
8787 山东艺术设计职业学院 2022 38 32 329 192 2 325611 244 54
2022 8 8 391 313 123 258966 361. 8 171. 8
8798 德宏职业学院 2021 20 20 426 244 44 290545 297. 6 97. 6
2020 20 18 404 208 28 338252 306. 2 126. 2
2022 5 5 426 311 121 260906 364. 4 174. 4
8801 青岛远洋船员职业学院
2021 5 3 370 284 84 266960 326 126
2022 21 21 461 401 211 152254 ! 413, 3 223. 3
8820 上海民航职业技本学院 2021 25 25 503 404 < 204 153847 420 8 220. 8
2020 25 25 4三55051仓,.,"Jl芝; 4339914t9: (, 212 173096 414 3 234. 3
2022 38 38 \; J 224 136619 427. 2 237.2
8824 江苏卫生健康职业学院 2021 冬,,40 40 今`l9 9 !58709 419, 1 219. 1
2020 20·' 20' '467 396 216.. 168905 416 236
2022 52 52, 448 302 112 269455 330 140
8825 徐州生物丁程职业技术学院 2O21 44 44 376 208 8 302462 264 64
2020 64 32 424 16~ -17 350739 268. 8 88. 8
.编
2022 16 40 413 206 16 322397 269. 7 79 7
8826\ 了',西.气-心藏-们~职受业':技匕~_夕术学院 2021 20 10 453 203 3 303545 262. 7 62. 7
2020 22 6 495 234 54 324767 351. 7 171. 7
8827 飞,l新疆应用职业技木丰阮 2022 50 81 396 190 。 326041 282. 5 92.5
2022 30 40 351 194 4 325188 248. 6 58. 6
8830 沈阳北软信息职业技木学阮
2021 30 i l 213 213 13 301249 213 13
2022 15 15 363 249 59 306433 290 5 100.5
8831 恩施职业技术孕院 2021 10 lO ! 416 229 29 296508 33 l. 8 131. 8
2020 10 7 396 219 39 333203 304 124
2022 51 71 412 203 13 323151 264. 9 74. 9
8832 辽宁轻了职业学院 2021 19 20 429 200 。 304110 301 101
2020 26 7 446 182 2 346844 255. 9 75. 9
2022 58 58 433 347 157 220343 366. 1 176, 1
8833 湖北铁道运轮职业学院 2021 56 56 416 331 367 2 167.2
131 ! 222396710636
2020 41 41 i 444 331 151 3亡8l.5二飞 201.5
2022 50 50 446 371 181 189738 39
8834 黄冈职业技术学阮 2021 55 52 420 298 :98 256171 35
2020 63 63 443 芒孚勹~/玉 I工B立 277851 环6.3 守~6.3
2022 4 4 ;i 302霓~~·`六? r“ 84 291736 281/8' 今a91, 8
J
8835 安徽粮食工程职业在院 2021 7 1 2/ ` 295 、.丫•. 41 291870 268 68
2020 10 7 469 237 57 322860 324. 1 144. l
2022 60 60 405 308 118 263856 327. 6 137, 6
8836 ·· · · 2021 60 1 60 375 265 65 279558 302. 4 102.4
、`',;\ -\\ , ',2 -\
2020 80 75 430 190 10 344703 269. 2 89. 2
\ \ 2022 69 69 387 306 116 265721 330. 5 140. 5
8837 湖北工业职业技木学院 2021 69 71 469 287 87 264756 飞30 130
2020 46 57 448 270 90 298283 314,4 134.4
2022 81 81 ~ ~ ~ ~ i 466 443 253 103008 447 6 257.6
8838 武汉职业技术学阮 2021 90 90 484 460 260 I 101621 464. 6 264.6
2020 57 59 496 456 276 ! 107245 461. 7 281. 7
2022 140 140 41 I 316 126'255946 345.4 155.4
8839 仙桃职业学院 2021 134 134 465 294 94 259407 343. 5 143. 5
2020 128 128 459 272 92 296665 325. 2 145.2
2022 118 118 465 394 204 160821 409. 8 219. 8
8840 襄阳职业技术学院 2021 118 118 462 381 181 176451 406. 8 206. 8
2020 110 110 457 345 165 224343 380. 6 200. 6• 248 • 第三章录取统计
录取分数统计
院校
代码 院校名称 年份 l 盓 1 灯 1 最高分 1 最低分 1 笠$ 1罕笠I 平均分:
线差值 线差值
1301301133003163308143040 531467328446093 474183466143419454 34447446
芒
8841 I 湖北职业技术学院 i 胃巨
g
8842 I 武汉软件工程职业学院 g
g
30-20 30-20
2022 458 398 208 155967 4 223.5
g
8843 I 武汉电力职业技术学院 2021 459 369 169 188409 196
王1
2020 I 20 I 20 I 453 I 340 I 160 I 229594 194. 9
2022 I. 73 I 73 I 420 I 280 L I , 90 L 287461 罣3 120.5
8844 I 湖北城市建设职业技术学院 2021 I 64 I 64 I 426 I 202 2`$霄匈防749 84.2
2O20 66 63 426实它7 18i厂,三¥岑` 7 ,·,`3沁tt 心483 3- 124.5
I I `'尸` 令夕求
2022 62 ~i归" 4讥如气346工;;,:i56 22l594 174.4
03
8845 I 湖北水利水电职业技术学院 2021 匀§ 平贮 462笭·,2:'`, 313 _么,ll3臼,宏命8 145.2
2位0 芍妇 5宏夕 461 268 t 矛 88 299928 49 134. 8
I I
:~·i之 炉2啦 -8俨令T 8 、 t妞;了 315 125 256955 145. 3
8846 廊坊卫生职业学院:~ 心,令士 \,心汃 2621 8,气-,7只· 414 I 299 I 99 I 255359 i6 129. 9
::已 哈5,,冷 二 乒宁亡 2020(,I克立8 8 329 265 85 302342 ~ 116. 3
公,2"0 22 81-81-5 8 0 1 428 334 144 I 236069 I 34 3 9, 9 I 159. 9
2021 84 405 279 79 I 270565 I 322. 3 I 122. 3
4
2020 54 451 279 99 I 290701 I 332. 6 I 152. 6
5-77-77 5
2022 350 3ff/ 117 I 264800 I • 3539 I 149
2022 77 443 301 111 I 270308 I 330. l I 140. 1
8848 I 湖北轻工职业技术学院 2021 77 401 251 51 I 287136 I 294 m . 7 I 94. 7
77-65
2020 11 443 193 13 I 343756 I 297. 9 I 117. 9
65-62 458-444 -
2022 372 182 I 188409 I 394. 8 I 204. 8
武汉船舶职业技术学院 2021 62 357 157 I 200657 I 3930. 8 I 190. 8
2020 43 47 446 332 152 I 238fr75 I 375. 8 I 195. 8
8849
2022 I 5 I 5 I 335 I 285 I 95 I 283733 I 3304 I 114
武汉船舶职业技术学院(较高收费
2021 I 5 I 4 I 330 I 201 I l I 303931 I 277. 3 I 77. 3
专业) 5
2020 I 5 I 2 I 285 I 234 I 54 I 324767 I 259. 5 I 79. 5
2022 I 52 I 52 I 435 I 415 I 225 I 135408 I 419-. 9 I 229. 9
8850 I 武汉工程职业技术学院 415 1 215 1 143362 1 4巧4$,225.3
407 227 15邸订贮 413~过昙F239.2
I
300 Hl!三 27玑郊恩 3颂盯勺35.l
2
8851 I 武汉航海职业技术学院 还6忒;上 令6[妇c 2845'6j 压空296.2 狐2
闾三; 11 论 344399 $泌99.分它89.2
3衍 卯\了丈i,又九169°538 I 403. s I 21: 1.5
I I I
8852 I 武汉警官职业学院 夕367日\飞 ·ii'i1· 190485 39-s. 2 195. 2
r 众'457心u348 I 16s I 221223 I 3ss. 4 I zos. 4
了` \
一己, \,三:\,之,/ 446 I 300 110 271196 334. 3 144. 3
I 鄂州职业大\\-~ `--1 \
\f`启 135 437
238-185-285
3
-200-190
2
-
9
2
3
0
1
4
24 303.1 103.1
88S5 \ \ 107 丁 5 8一 346050 298.1 118. l
. \ ` 飞 六 ' '` ';. ; “亡 , 人心 ,它, ~ • 48-60-10 4 4-36-453-6190-4 38-465-315 - 9 283733 307.6 117.6
8856 I 荆州理工职业学院 2021 。5 304110 279.9 79.9
2020 10 344703 290. 7 110.7
2022 14 322900 254.3 64.3
1139515615164153711546552 68173360114454 12405052424523464293434883 10195203
8858 I 湖北开放职业学院 艺
一
言
芒
8859 I 长江职业学院 i
g
g
武昌职业学院
8861 I
2g020 I 85 I 100 I 411 181
武昌职业学院(较高收费专业) 20i22 I 5 215 I 21s 25 I 319881 I 215 25.
三、2020-2022年河南省普通高校招生高职高专批录取情况统计表(文科) 249 •
录取分数统计
院校 公布 录取 最低分 平均分
院校名称 年份 录取最低
代码 计划 人数 最商分 最低分 勹分数 平均分 与分数
分位次
线差伯 线差值
iI i 2022 10 10 266 199 9 324109 221. 5 31. 5
8862 武汉科技职业学院 '2021 9 7 273 207 7 i 302698 232. 3 i 32. 3
2020 20 9 323 196 16 '342748 270. 9 90. 9
2022 50 50 395 252 62 304888 297. 2 107. 2
8863 武汉信息传播职业技术学院 2021 45 44 449 208 8 302462 280. 5 80. 5
2020 60 牛4 443 2l7 37 334175 304. 5 124.5
2022 25 1 25 388 211 21 321053 299. 1 109.1
8865 武汉外语外事职业学沉 2021 24 22 449 223 23 298460 339. I 139. l
2020 37 22 418 193 13 343756 341. 7 161. 7
2022 161 161 431 287 97 282184 322. 6 132. 6
8866 武汉商贸职业学院 2021 180 180 405 208 8, \\ 3位462 277. 3 77. 3
2020 193 185 455 180二、'-`~。 347337 279. 2 99 2
2022 40 264'iii `';,74 298130 286. 6 96 6
三28 抖
8867 荆门职业学院 2021 乏8 210 产,l o 301992 273 73
430392
2020 55 202 22 340668 265. 8 85. 8
~-~ ,夕 22 49 49 443 349 159 217891 370. 2 180. 2
20^/
8868 长江尸吓了上4,\/了-程':-七i职!;`-\\业'、技术学院戈识 2021 49 \俨\} 飞~~ 49 421 308 108 247689 336. 9 136, 9
20?-Q臼飞->4飞 43 452 267 87 300758 321. 6 141.6
武汉之习--气11I光 曰',r-谷--
:
}Ii职?占了t飞汕学院 2022 100 100 408 190 。 I 326041 274 84
886~ 2021 120 74 387 200 。 ! 304110 273. 3 73. 3
2020 50 50 429 238 58 322187 295. 7 115. 7
';': 2022 5 4 316 194 4 325188 261. 8 71. 8
8872 湖南三一工1IV职业技术学院
2021 5 4 320 210 10 301992 264. 8 64. 8
2022 18 1 46 401 253 63 '304335 298. 2 108.2
8884 队西艺术职业学院 2021 l2 21 441 219 19 299586 297. 4 97 4
2020 6 7 348 283 103 2~7062 310 7 130.7
2022 5 5 446 440 250 106377 442. 6 252, 6
8885 长沙卫生职业学院 2021 5 5 464 453 253 107929 458 258
2020 5 5 464 451 271 112345 459,6 279. 6
2022 23 23 388 224 34 316954 279 I 89 1
8888 _峡旅游职业技木学院 2021 8 7 314 213 13 301249 266 4 66.4
2020 2飞 9 317 211 31 336931 270. I 90. 1
2022 30 30 356 277 87 289663 295..5 105. 5
8896 随州职\Iv.技术学院 2021 20 20 510 219 19 299586 270.2 , 70. 2
2 2 0 0 2 2 0 2 1 8 0 lO 8 319 2 3 0 3 8 0心 / , 找 i初 3 2 3 4 8 0 2 6' 5 仁! 尸 编 ~ f 2 :9 \、J只 咖 : 心 t: , ' 蕊 , ; 乞 3 2 7 3 6 9 . . 8 3 5 18 9 6 . , 8 3
了芦,和,心?,33-,,4,娑3、04,立42沪衾
8897 湖南汽车工程职业羊阮 2021 8 10 -4 208::.平 8 30246r之2矿 [,沙49 94, 9
,
2020 40 l3 219' 39 333203 265. 2 85. 2
I.2022 66 6 436 347 157 220343 382. 3 192. 3
8899 湖南水利水电职业技术学院 '. 2021 ~ : 6 382 丛'309 109 246819 343 143
` \巴i夕_\\ 2020 6 4七~ 381 205 25 罚9518 252. 8 72. 8
8900 湖南现代物流职业技木学院0,\ 2位0念 ¥士',己1乏,5 . 一 · “ ~ 心~ 6 468 281 101 288880 359. 3 179. 3
匕- 2022 29 29 472 431 241 116853 444 6 254. 6
8905 长沙民政职业技术学院 s占 2021 26 26 496 451 251 109654 461. 3 261. 3
2020 26 26 487 302 122 269166 450. 7 270. 7
2022 2 2 378 358 168 206465 368 178
8908 湖南信息职业技本学陎 2021 2 2 353 303 103 252069 328 128
2020 2 2 337 309 129 262221 323 143
..
2022 10 10 382 3飞2 142 238394 345. 7 155 7
8909 湖南工程职业技术学院 2021 10 10 375 303 103 252069 314. 9 114. 9
2020 12 12 407 265 85 302342 302. 3 122. 3
2022 10 10 367 307 117 264800 324.1 134. 1
8910 长沙环境保护职\II1技本学院 2021 10 6 344 258 58 283474 296s I 965
2020 10 10 354 254 74 310932 322. I I 142. 1· 250 · 第三章录取统计
录取分数统计
院校 院校名称 年份 公布 吱取 最高分!!最低分 最低分 录取最低 平均分
代码 ii划 人数 ! 与分数 分位次 平灼分 勹分数
线卉值 线养悄
2022 15 15 377 I }02 112 26945:1 322 7 132. 7
`
8912 如沁邮屯职业技木学院 2021 15 15 422 272 72 275367 322 5 122. 5
2020 10 10 325 247 67 316137 286. 7 106. 7
2022 12 12 392 336 146 233659 357. 8 167. 8
8913 淜南工\W职业技木学皖 2021 10 ~ ^ ^ IO 398 315 115 241559 346 2 146. 2
2020 i 15 15 359 280 100 289840 317. 3 137. 3
2022 25 25 430 352 162 214108 370 4 : 180.4
89]4 I 湖南父通职仲技术学院 2021 27 27 431 329 129 228592 361. 3 ! 161. 3
2020 24 24 446 308 128 263211 356 5 176. 5
2022 4 4 344 ! 320 130 251735 329 3 139. 3
8915 湖南科技职业字阮 202] 4 4 391 288 88 264058 入一 317 8 117. 8
I
2020 4 4 299 224 44 330572 259 8 79 8
2022 16 16 457 407 217 144945 418. 6 228. 6
s916
I1 湖南铁道职业技木学阮
2021 16 16 458 395 195 162625 420 220
2020 15 15 434 355 175 213600 388. 7 208. 7
----------
? ` "
2022 34 34 438 136 245366 361. 1 171. 1
8918 张家界航空上业职业技术学院 2021 34 34 452 325 125 232444 372 3 172 3
2020 34 38 433 282 102 287969 329 7 : 149. 7
2()22 6 6 422 351 161 215285 367 8 i 177 8
s919 I 湖南商务职业技本学阮 2021 6 6 402 343 143 214731 377 s I m. s
2020 6 6 418 311 131 260118 364 184
2021 I 5 5 271 71 27597:l J05, 8 105. 8
8920 湖南体育职\IIf院
2020 5 5 359 278 98 291580 3 10 4 130 4
2022 12 12 466 435 i 245 112168 442 4 252. 4
8922 II 湖南大众传妇职业技木.户,院 2021 20 20 492 449 249 111572 460 2 260. 2
2020 33 33 463 432 252 131624 442 262
8928 塔里本职业技术学院 2022 43 60 377 190 。 326041 262 5 72 5
8931 人冲体育职业学阮 2020 38 38 373 218 38 333708 291. 9 111 9
2022 3 2 258 21飞 Ii 2飞 320454 235 5 : 45. 5
8932 曹妃间职业技木学阮
I 2020 10 4 飞07 233 53 325378 256 3 ! 76, 3
2022 66 97 4飞8 280 90 287461 317. 5 127. 5
8933 汀月旅游职业'f阮 2
2
0
0
2
2
1
0
5
5
9
0 I- ~ -
5
5 -
9
飞 `
4
48
5
1
4 2
2
5
5
7
0
5
7
7
0
2
31
8
3
4
9
0
2
0
1
6 3
3
1
1
6
3
. 8 Ii ll
1
_
3
6
3
_ 8 _
2022 54 77 367 194 4 325188 281 I I 91 I
89]4 日昭航向I程职叶学院 2021 46 17 322 206 6 302908 2s2 9 I s2 9
2020 14 8 ”“ 307 " 1 " 8 "" 8 -" """" 8 145210 242 4 ! 62. 4
2022 14 17 j 429 227 37 315901 38651196.5
8935 I饶幼儿师范罚气片科学校 2021 12 l2 1 4l9 391 191 16 - 6 - 551 404 204
, 2020 ,“-- l5 编1-58- 丁 } -m 424 353 173 2l58l3 385. 4 205,1
2022 5 412 232 42 314023 333 143
8937 抚川幼儿帅范的飞妇科于校 2021 5 5 l 422 400 200 157726 4l2 212
202() 5 5 376 351 l7l 217993 361 2 181 2
: 2022 38 46 387 212 22 飞20744 312. 9 122. 9
8952 榆材能t原科技J机II勹亡阮
1 2021 14 i 1 263 263 63 280715 263 63
8955 塔城职业技木学院 2022 4 4 253 228 38 315547 235. 8 45 8
19 19 356 250 60 305941 289. 4 99. 4
I,. 22002212
保险职业孕队 17 12 i 366 219 19 299586 268 3 68. 3
8956 , 2020 19 i 19 3V6 198 18 飞42040 264. 8 84. 8
2021 1 I 248 248 48 288640 248 48
仇'1合职\W学院(较高收费飞叶) 2020 l 2 I ·· 237 237 57 322860 --~ 2罚 - I”“”“”“~ 5 -- 7m
2022 10 5 283 i 190 () 326041 240 2 50 2
8960 「川现代信息1籽职仲技本学防 2021 II 10 6 371 1 232 32 295452 325. 8 125 8
2020 10 飞 378 229 49 飞27819 300. 3 120.'』}
[ -·
2021 ! 36 36 472 415 215 143362 440 8 240. 8
896) [如户职业技本学1i,,b 2020 I 8 8 465 436 256 ^ ^ ^ 127544 448. 9 268 9三、2020—2022 年河南省普通高校招生高职高专批录取情况统计表(文科) . 251 ·
`:
录取分数'和1
院 代 校 码 阮校名利, I' ,1份 公 计划 , i
t
录
人
取
数 !最的分
/3 最 1 低分 8 卢 ////勹分
J 分位次
线差仇 哎差伯
2022 24 勹~4 201204247ll2-4446 7 323633 | 291. 2 101. 2
飞
/东农_l商职曲技木学院 2021 40 1 303341) 1: 291 7 91. 7
8966 2020 30 4 316 - 1 - 37 - ,i 283 l O3
~
广东农_l曲职业技术名院卫如马收费 I 2022 4 54 308909 I 2s2 92
七IIV)
21 413 246 56 | 307941 3 18. 8 128 ?
8968 I 丿东女千职\W技木羊院 350 255 二
8 I 431 I 226
1三二三二
8972 I 旧江职业技本学阮 / 3 I 320 I 266
385 213 33 336011. 296. 6 l l6, 6
36 165 190 ! 0 326041 289. 2 99. 2
,,
8974 I (山头职\[~技本学院 5 ,i 435 204 i 4 303340 306 106
2020 I 16 2 |, 357 18 3,3 lI 3 - 46 - 569. 210 9()
2022 I 10 10 i 399 300 110 I 271196 355 165
8975 I i.'i匹职叶技木学院 2021 27 13 1341 230 30 296154'28G. 8 86. 8
2020 i ` `` 4 `~3 `` +”“` ` ` `“ 1 ` 5 ` ` ”… u ! 1 ` ` ~ ` 4` `7”“”9` 三 3 , 1 ` 6 ` 1 '` 3 , 7 . . -- 335. 7 155. 7
2022 I 15 15 I 462 445 I 255 100731. 450. 1 260. l
8976 I 广东轻T职业技木学阮 2021 , 32 32 ! 47() /一/.l/勹
2020. : 32 32 1 472
2022 • 40 40 429
8977 I 广东交通职\lt技本羊阮 2021 44 I 43 436 246
2020 26 I 26 I 451 249 二三三
I-
2022 产 421 331
8978 I 广东水利屯力职业技术学阮 2021 13 i 13 400 276 6 329265 6 2 8 8 0 5 32304 76 8 40567 8
2 2 `“ 0 0 ` 2 ` 2 `2 0 `、 3 20 0 ` I i i 3 l 0 l 4 4 5 2 5 2 3 22 0 6 7 i 7 4 矗 ..
8980 I 广4、机电职业技本f阮 2021 20
Ii
19 412 238 3 14 8 | 11 4 8
2020 30 i 24 475 19 l
2022 6 . i| 6 飞88 291 ,](, I/ 1ilm 勹
8981 I 广东职扣技本学阮
2020 20 23 443 21 l
8983 I 广东建设职业技本学院 ____ _』__2
2 。
0_ 2
2
1_
2
_i
', '
_
~
_2
4
_ _
编,
I _2_
4
_ 3
3
3
8
_ 6
5 / /
-I
41:
4 』::3:
__ 2022 1 5 5 +415
8985 I 广东1贸职业技本曰晁 2021 I 10 I 10
2020
I,
22
、
: 22
I
2022 20 : 20
8986 I 广,4\司丛瞥官职业学院 2021 上卫_ ! 15
2020 II 20 'i 20
/
2022 I: 20 8
8989 I 广东新安职业技术芳院 202!- 5 仁__2
2020 I 20 6
L 2O22 24 l2
8990 I 丿、东岭南职\Iv技木字阮 ` `` 2` 0 ` 21 口口 I 一 2 一 4 i---- 1 - 2
,-------
2020 I 40 7
2021 I 30 - 11
8992 I 惠川城市职业学院
2020 I 20 3
2022 I 35 35
I
8994 I 丿东南华丁曲凯II气阮 2021 I 44 i 42
I 2020 I 44 : 33
I 2022 I 11 - 3
8995 I 私立华联昂院 202l ll_ _i一二
2020 I 11 3
i
2022 I 10 i 10
'
8996 | /`东省外由艺本职业f院 f-- 2 - 0 - 2 - 1 -- I + -- 5 - 一·一 1 上_ 5
2020 I 6, 6· 252 · 第三章录取统计
录取分数统计
院校 公布 录取 最低分 平均分
院校名称 年份 录取最低
代砃 计划 人数 最高分 最低分 与分数 平均分 与分数
分位次
线差仇 线差值
2022 21 29 341 190 。 326041 240. 5 50 5
8998 ]东业视顶艺职业学阮
2021 14 I 308 I 308 108 247689 308 108
2022 5 5 33s I 242 52 309785 293. 2 103. 2
8999 J、东碧桂园职\II,牛阮 2021 3 3 390 I 29s 98 25617] 333. 7 133. 7
2020 4 3 457 309 129 262221 383. 7 203. 7
2022 20 28 387 259 69 301039 306. 4 116. 4
9026 牲让.幼儿帅范女科学权 202] 20 20 431 212 12 301522 300. 6 JOO. 6
2020 i 15 12 428 216 36 334629 307. 7 127. 7
9039 资阳环境和技职寸1号院 2022 10 39 319 203 13 323151 247, 6 57. 6
9040 新疆父曲耻业技本学阮 2022 2 8 313 ! 241 51 310258 259. 3 69. 3
9043 喀什职\'"技木学院 2022 9 17 368 I 223 33 3]7282 281. 5 91. 5
2022 20 35 336 198 8 324323 246. 5 56, 5
9045 祈翋和信职业技术学阮 2020 5 1 336 I 336 i 1s6 233823 336 156
9046 阿勒本职业技术学院 2022 i 10 9 313 I 201 I 11 323633 272. 3 82. 3
2022 : lO 15 425 i 190 i 。 326041 284. 9 94 9
9047 广儿中核职业技木学院 2021 1 3 3 421 , 333 133 224764 369 169
2020 Ii 5 3 467 227 47 328948 315. 7 135 7
2021 12 9 401 i 243 ,i 43 291008 333 6 133. 6
9052 柳川职仲技术学院
2020 17 1 302 302 I 122 269166 302 122
2022 6 6 443 328 138 243008 360 5 170 5
9054 广四建设职业技本门浣 2021 9 9 445 270 70 276561 318 1 118. I
2020 9 7 451 189 9 344966 343. 6 163. 6
2022 4 4 297 220 i 30 318301 261 8 71. 8
'J057 /四机电职业技木学院
202l 4 2 269 219 ! 19 299586 244 44
2022 14 14 475 419 ! 229 130688 434. l 244. I
9074 湖南,启,速铁路职中技术`r院 2021 15 l 5 510 414 I 214 144294 432. 7 232. 7
2020 14 14 457 420 240 143812 433, 2 253 2
!, 2022 15 15 452 405 215 147350 423 I 2飞l.1
9075 湖南铁路科技职业技术牛院 2021 15 15 450 395 195 162625 413 9 213, 9
2020 18 18 453 367 187 200314 404. 5 224. 5
2022 6 6 434 409 219 142616 419 3 229. 3
9076 广川铁路!{庄LK技本学院 2021 10 10 448 393 193 164630 414. 7 214. 7
2020 13 13 417 328 148 242283 374 5 194. 5
-.“
2022 35 35 451 389 199 166977 405噢9
卜``"
215 9
9079 咸咱ll}1,II1技本f'阮 2021 l 5 一卜一 15 446 3,13 14 3 ~尸”“214731 371. l 171. I
2020 I -- ` ` ` 6 I•· 6 459 328 148 242283 397. 2 217. 2
2022 20 22 451 318 128 253881 389 199
9080 四如1n,11'伎本学阮 2021 15 15 438 327 127 230524 359. 3 ..- 15 9 :l
2020 l 5 15 441 327 147 243353 360 9 180 9
2022 61 65 428 250 60 305941 298 6 108. 6
9081 向南职业技木午阮 i 2021 54 54 458 200 。 304110 __ "___ 2 _ 6 -- 7, . 3 -- 1“一” 67. 3
2020 53 67 426 191 11 344399 275. 3 95. 3
2022 59 74 438 19'.l 3 325398 277 7 87. 7
犀匀科技职鼎大产(丿序向南¥1技职业
9083 2021 59 37 394 208 8 302462 280 9 80. 9
口,阮) 编一1一一
2020 61 26 433 190 10 344703 263. 9 83. 9
l 2022 22 59 437 190 。 326041 254 64
9084 叩城巾职业学阮 2021 15 10 316 219 19 299586 250 2 50. 2
2020 15 5 315 207 27 罚8657 263 4 83. /4
2022 2 2 347 320 130 251735 333 5 143. 5
9085 每南体育瓶\lk技,本名队 2021 2 2 296 284 84 266960 290 90
2020 I 3 3 309 207- -+, -27 338657 267. 7 87. 7
2022 i, 57 61 352 191 1 325829 257 3 67 3
9088 -订v./1几气旅游职非学院 2021 I 49 13 457 : 200 i 。 304110 286 86
I
-2020 '! 33 13 353 _[ 185 5 346050 252 7 72. 7
- - 2022 16 26 364 257 i 67 飞02142 302 J 12
9089 尚洛职业技本卓院 2021 15 12 504 iI 227 27 297223 301 9 101 9
2020 16 3 352 196 16 342748 269. 7 89. 7三、2020—2022年河南省普通高校招生高职高专批录取情况统计表(文科) • 253 •
录取分数统计
院校 公布 录取 最低分 平均分
院校名称 年份 录取最低
代码 计划 人数 最高分 最低分 与分数 平均分 与分数
分位次
线差值 线差值
2022 8 8 338 305 115 266678 320.3 130.3
9090 汉中职业技术学院 2021 8 4 394 238 38 293124 341. 5 141. 5
2020 10 5 270 185 5 346050 218. 8 38. 8
2022 7 7 456 429 239 119088 435 245
9091 重庆城市管理职业学院 2021 7 7 462 435 235 124587 447 247
2020 6 6 459 419 239 144844 !,- -4--3-
…
4-• 8- 254. 8
2022 11 11 443 430 240 117990 436.2 246. 2
9093 重庆工业职业技术学院 2021 10 10 454 438 238 121825 447. l 247.1
2020 10 10 465 434 254 129575 441.4 261. 4
2022 6 6 426 4i4 224 136619 418.5 228.5
9094 重庆工程职业技术学院 2021 10 10 459 404 204 847 418.5 218.5
2020 10 10 435 3兑 96 407.1 '227. 1
2022 12 12 41 39 80 405. 8 215. 8
9095 重庆航天职业技术学院 2021 12 4 55 2Q2693 377 177
2020 4 ,山沙f3勺泛5358 366.3 186. 3.
9097 重庆建筑科技职业学院( 5,~ 原直夕庆,房地 三已2一,"~~2~a也夕。"久2俨了r~“ 1 - io 9 飞;; 3 34 9 9 4 ~" :~ 3 C 2 1 - 校 261 8 ` \'. 6 8 1 3 2 2 81 4 8 3 5 2 8 3 2 29 6 4 9 . . 1 8 9 79 4 . . 8 1
产职业学院\-士)·巳\俨 ~心·,丈.幻:~-?~ ,J~尸又七.`,
9` ; `A5-' ~ - 431 212 32 336464 313. 8 133. 8
~'-重\._./.'一庆-1.二卸I`,一飞'一气觑:尸,「.速\,'_,,技~士..术,,学:\飞了伈1'院.,,~了~,'归,飞众 笝 `;又户飞、, `吃,2O也~· ”`,;2O' 29 342 190 。 326041 262.2 72. 2
909夕\贞六 l11 '\, ', I , 1 ,~ 9 , C '飞\ 2,^0 21 25 10 322 212 12 301522 261.6 61. 6
2020 20 9 408 180 。 347337 278.4 98.4
斗~ 产 i\~乏-W七;丸;`,f3二 2022 21 54 419 195 5 324979 258.3 68.3
面庆_一二飞信,女'-t息技术职业学院
9100 \ 2021 9 12 380 200 。 304110 272. 8 72. 8
2020 40 5 398 228 48 328414 327 147
2022 10 21 409 215 25 319881 279.4 89.4
9110 重庆经贸职业学院 2021 10 8 278 216 16 300441 245.6 45.6
2020 9 6 415 228 48 328414 329. 8 149. 8
2022 5 5 310 235 45 312809 271.4 81. 4
重庆艺术工程职业学院 2021 4 3 352 285 85 266241 316 116
9112 2020 12 2 468 192 12 344073 330 150
重庆艺术工程职业学院(较高收费 2022 2 2 280 255 65 303277 267.5 77. 5
专业) 2021 2 1 237 237 37 293534 ` 237 37
2022 24 54 389 305 115 266678 333. 7 143. 7
9116 渭南职业技术学院 2021 19 19
2020 19 19
2022 12 18
9117 安康职业技术学院 2021 13 11
铜丿二:、//,卿皇叨
9118
仁、2292``立8 48 328414 257. 7 77. 7
6
It飞-358 332 142 238394 345. 2 155. 2
9122 绵阳 367 330 130 227648 348. 5 148. 5
295 284 104 286131 289. 5 109. 5
建筑职业技序术茫学飞,·:院', i.,,
s..--
2022 15 15 438 399 209 154667 411 221
9132 四川 2021 8 8 427 391 191 166551 405.3 205.3
2020 10 10 463 355 175 213600 398.? 218. 7
2022 9 9 423 228 38 315547 291. 4 101.4
9133 四川电影电视学院 2021 30 23 402 213 13 301249 296. 7 96. 7
2020 55 34 424 184 4 346324 277,9 97. 9
2022 8 10 312 194 4 325188 266.2 76.2
9139 四川国际标榜职业学院
2021 5 2 272 266 66 278968 269 69
2022 2 2 440 422 232 127212 431 241
9150' 四川护理职业学院
2021 1 1 363 363 163 194637 363 163
2022 13 13 434 316 126 255946 349. 8 159. 8
9163 云南财经职业学院 2021 12 12 361 275 75 273333 299. 8 99. 8
2020 6 6 449 263 83 303966 351. 8 171. 8· 254 · 第三章录取统计
录取分数统计
代 阮 码 校 院校名称 年份 公 计划 布 人 录 数 取 最商分 最低分 最与低分分数 1I 录_取最低 平均分 平 与 均 分 分 数
线差值 I户 勹仿次
线差值
2022 22 22 440 394 204 I 16os21 411. 9 221. 9
9182 广州卫生职业技术学院 2021 10 9 454 392 192 165608 417. 3 217.3
2020 10 千· 10 415 328 148 242283 372. 2 192. 2
9185 长春健康职业学院 2022 20 41 343 192 2 325611 254. 9 64, 9
2022 10 10 383 302 112 269455 335, 6 145. 6
9186 惠州工程职业学院 2021 10 6 392 208 8 302462 323. 8 123. 8
2020 10 2 395 293 113 277851 344 164
2022 10 10 414 266 76 296917 313. 8 123. 8
9187 广东江门中医药职\W学院 2021 10 2 266 228 28 I 296895 247 47
2020 10 1 259 259 79 I 307090 259 79
9190 贵州健康职业学阮 2021 5 I 448 448 , 248f;' 112491 448 248
2022 6 6 389 28~2 ~~ 、~ 丫 92 .三 285971 338, 5 148. 5
-
9192 遵义职业技术学院 2021 6 3 I 387 「 268\ 68 277796 340, 3 140. 3
2020 10~ 2 ! 408 | 350 • 17 0 ~ ~ 2]9081 379 199
2021 4 4 354 260 60 282418 306. 8 106 8
9198 贵州电子信息职业技术学院
2020 4 2 268 236 56 323473 252 72
2022 4 4 423 372 182 188409 392. 5 202. 5
9200 黔东南民族职业技术学院 2021 4 4 468 353 153 204689 395. 8 195. 8
\ 2020 5 4 417 274 94 295026 339 159
920l” 黔南民族职业技术学院 2022 5 5 353 222 32 317649 273. 8 83. 8
9215 博尔塔拉职业技木了院 2022 6 6 300 218 28 3 !8986 I 247 5 57.5
;;.
占: 2022 5 5 382 337 147 2324s2 I 353. 2 163.2
9224 云南国土资源职鼎学院 2021 5 5 419 239 39 292709 1 307 8 107. 8
2020 4 4 361) 325 145 245461 34 3. 5 163. 5
2022 10 28 394 260 70 300485 309 119
9241 陕西职业技术学院
2021 10 9 340 211 11 飞01758 282. 7 82 7
2022 8 8 431 379 189 179514 408. 3 218. 3
9242 杨凌职业技术学院 2021 8 8 468 329 129 228592 412.4 212. 4
2020 4 4 463 444 264 119398 452.5 272. 5
2022 36 36 442 364 174 198903 392.5 202. 5
9243 陕西交通职业技术学院 2021 22 33 441 233 33 295099 373. 8 173. 8
2020 14 14 458 373 193 193652 402 222
l
2022 5 5 444 434 244 113361 437 6 247. 6
9244 陕西工业职业技本学院 2021 5 5 444 425 225 133879 432. 6 心.尸0232. 6
2020 2 2 牛l9 406 226 158441 427 5- - 247.5
2022 50 50 482 417 2,.2、~~7~~ ~ '~ ,._ 133019 425. 3 235. 3
9245 陕西国防工业职业技本了,院 2021 40 40 464 413 、 ~ 213 145244 430 230
2020 20 20 481 417 237 146967 431. 5 251. 5
2022 19 19 435 319 129 252795 354 164
9246 陕西能源职业技术学院 2021 19 19 471 238 38 293124 301. 4 101. 4
\ :' \..;--- \', __ ~- ·"-_, \ ' 2020 19 I 19 434 255 75 310194 314. 1 134. I
' '. 学."' i,"尸 院, . ,',, 心~夕. ~' ,、 2022 9 9 449 410 220 141459 425. 2 235. 2
西安航空职业技术 ,_-
9247 2021 5 5 447 429 229 130194 437.4 237. 4
2020 5 5 466 411 231 153134 432 2 252. 2
2O22 36 36 428 362 172 201549 385身户1 195. 7
I
9248 陕西财经职业技本学院 2021 34 34 444 335 135 222791 376 7 176. 7
2020 39 39 437 343 163 226396 377 6 197. 6
2022 16 96 :148 200 10 I 323854 264. 2 74.2
9251 西安城市建设职讥空院 2021 12 21 380 206 6 i 302908 252 9 52. 9
2020 12 10 335 198 18 342040 267. 8 87. 8
2022 8 58 368 224 34 316954 258. 9 68. 9
9257 西安高新科技职业学院 2021 9 4 292 242 42 291470 266. 8 66. 8
2020 8 8 445 246 66 316821 305. 8 125. 8
2022 29 31 402 214 24 320163 275. 1 85. 1
9259 队西服装工程学院 2021 30 18 355 218 18 299856 290. 8 90. 8
2020 13 13 443 244 64 I 31s230 313 8 133. 8三、2020—2022 年河南省普通高校招生高职高专批录取情况统计表(文科) • 255 ·
i 录取分妏究计
院校 公伈 录取 最低分 卢取最低 平均分
院校名称 年份
戊码 计划 人数 i 敞凸分 最低分 与分数 1 分位次 平均分 与分数
线差值 线差值
2022 19 19 i 443 298 108 ! 272996 326. 8 136. 8
9265 陕西机电职业技本于院 2021 12 10 427 222 22 298773 287.6 87.6
2020 6 6 277 227 47 ”一-3 - 2 - 8 - 9 - 48 “ 247. 8 67. 8
2022 75 95 462 409 219 142616 422. 6 232. 6
9269 西安铁路职业技术学院 2021 so 50 494 410 210 148109 434. 1 234. 1
2020 30 30 477 388 208 177416 428. 6 248. 6
2022 3 3 289 205 15 322647 240. 7 50. 7
9293 甘肃工业职业技术学院
2020 4 2 257 232 52 326034 244. 5 64. 5
2022 4 4 i 375 263 73 298750 307. 3 117. 3
9294 甘肃建筑职业技术宁阮
2021 飞 3 273 216 16 300441 248.3 48.3
9295 兰州石化职业技术孚院 2020 3 3 427 270 飞 90 298283 i 372. 7 192. 7
2022 21 21 387" 33上0 C- 140 240679 350. 8 160. 8
9297 甘肃警察职1IV卡院 2021 25 25 42沪立六.已 300''i 3, 100 254567 _[ l 328. 3 128. 3
2020 --卢25 25 370响: 夕;i 231 ,一 51' 326617 293. 6 113. 6
9332 宁夏职业技术学院 2020 2 2 417 408 228 156295 412. 5 232. 5
2022 4 4 362 192 2 325611 290. 8 100. 8
9335 宁夏工商职业技术学院 2021 4 3 421 246 46 289571 319. 3 119. 3
2020 15 6 378 205 25 339518 276 96
\ 2022 10 10 408 178 -12 328139 287.4 97. 4
9342 伊\.犁职仲技术学院 2021 10 5 416 256 56 284563 351. 8 151. 8
,` I少;一戈了, 2020 10 1 415 415 235 149065 I 415 235
9343 ; 克拉玛依职业技木了阮 2020 12 4 311 212 32 336464 : 252. 5 72.5
2022 4 `… 4 348 274 84 291736 I! 319. s 129. 5
9345 新疆轻工职\II才支木乒院 2021 5 4 315 239 39 292709 266. 3 66.3
2020 2 l 237 237 57 322860 237 57
2022 20 20 358 241 51 310258 ; 286. 6 96. 6
9346 新厮农业职业技术学院 2021 10 10 342 196 -4 304814 279. 3 79. 3
2020 8 3 275 192 12 344073 242. 3 62. 3
2022 33 33 432 260 70 300485 347, 2 157. 2
9347 乌鲁木齐职业大学 2021 10 9 427 367 167 190485 388. 6 188. 6
2020 10 10 438 278 98 291580 387.2 207. 2
2022 4 4 268 241 51 310258 254.5 64. 5
9351 哈密职业技本学院 ~ ``
2020 10 I 243 243 63 318910 一2口28…4兰!\3刀气上七;至二 i'63
2022 7 7 351 215 25 319881 了91.7
9352 新疆工业职\1/1技本学院 2021 6 I 302 302 凶2 252885 302: 它多102
2020 6 3 357 :Z1~6飞..•\ ~ 古俨 36 334629 265.3 乙f-85. 3
2022 27 27 456芞 30、L、2尸?, 一:心.尸..'、夕它` 112 269455 332~1!1 ,心142.8
9370 福州职业技术学院 2021 2l 21 420-尸 己,”`俨. 2i5' 45 290064 305. 6 105. 6
2020 17 17 418 232 52 326034 309. 4 129. 4
2022 33 33 428 355 165 210272 382.4 192.4
9371 漳州职业技术学院 , 2021 43 43 469 276 76 272642 345. 2 145. 2
: 2020 58 35 441 215 35 335100 337, 5 157. 5
\ \ 2022 20 20 430 288 98 281438 344. 1 154, 1
9372 福建船政交通职,Il,r院 2021 22 l7 440 206 6 302908 325, 2 125.2
2020 40 15 458 195 15 343072 326.1 146. 1
2022 78 78 461 270 80 294338 飞17.2 127.2
9375 黎明职业大学 2021 67 L - - 65 ^”一一 448 246 46 289571 308. 6 108.6
2020 60 60 445 238 58 322187 316. 2 136.2
9379 泉州纺织服裴职仲学院 2022 6 13 365 216 26 319617 267. 5 77. 5
泉州华光职业学院(原泉州华光摄影
9384 2020 4 1 249 249 69 314650 249 69
艺术职业学院)
2022 23 23 441 404 214 148523 418. 3 228. 3
9413 北京财贸职业学院
2021 29 29 457 391 191 166551 424. 1 224. l
2022 11 11 423 300 110 271196 345. 9 155. 9
9416 北京经济技术职业学院 2021 10 8 449 236 36 293920 337. 3 137.3
2020 9 10 432 255 75 310194 356.6 176.6
!· 256 • 第三章录取统计
录取分数统计
院校 公布 录取 最低分 平均分
院校名称 年份 录取最低
代码 计划 人数 最高分 最低分 与分数 平均分 与分数
分位次
线差值 线差值
2022 5 8 284 200 10 323854 245.4 55.4
9417 北京汇佳职业学院 2021 16 11 348 205 5 303126 258. 6 58.6
2020 4 5 320 260 80 306296 281 101
2022 8 8 422 239 49 311141 333. 6 143. 6
9418 北京社会管理职业学院 2021 6 6 464 437 237 122730 448. 7 248. 7
2020 2 2 455 450 270 113304 452. 5 272.5
2022 2 2 329 240 50 310704 284.5 94.5
9419 北京艺术传媒职业学院 2021 4 4 · 342 260 60 282418 302. 3 102. 3
2020 4 6 382 212 32 336464 338.3 158. 3
2022 5 5 338 323 133 248623 331.4 141.4
9424 河 庄科 北 技 正 工 定 程 师 职 范 业 高 学 等 院 专 ) 科学校(原石家 2021 5 5 307 267 67'R'<, ` 27俨`个8355 287. 8 87. 8
2020 5 4 338飞”^`8 23'3' ` 53,'L 3~378 302. 8 122. 8
2022 5 ` , 319三`俨了261 :3、^,;71 `\` 299962 300 110
5
9433 石家庄理工职业学院 2021 .等2已5 331泸' } 331 石` l-3.1," a l 226706 331 131
1 丈 § 3 2`位`0 今于2i,气\\ 2气产 335 寸 i82-\' : 2' 346844 258.5 78.5
石.家·:c,三:庄·:工~名:商.,1;r'\职'\`业学:麟§从泣~'乐{奇杠§之-一?飞飞 心歹t、,^令p勹恪`'笠.`归,公嘐芯气勹户`令t穸立气矿,',父斜古 三沉2f 10知 10, C 38 \ d 9 .r L人,~ ; ~2 00 10 323854 269. 3 79.3
9435 \- ,i { } , l03 L \卢l、;已` 287 287 87 264756 287 87
、-2位0~ 飞二'9 3 320 247 67 316137 279. 7 99. 7
94飞\心\诣'I\,\飞''t,,t
;
盼 -`\ 卜F\国尸i-语匕学干\r院夕 尸“3t飞 `\、, ?,,\, 心 了霆',心',个,; ' 2`_0 21 12 9 434 214 14 301008 338. 7 138. 7
2020 12 11 474 244 64 318230 388. 8 208. 8
\--`' 临,汾,1夺,二职它名、~全`}\. 业'~习它 2022 7 7 387 281 91 286747 322.6 132. 6
9441 飞" 技术学院 2021 6 6 468 280 80 269844 327.2 127. 2
2020 12 4 304 209 29 337792 250.5 70.5
2O22 3 3 319 242 52 309785 269. 7 79. 7
9443 山西金融职业学院 2021 5 3 292 233 33 295099 255. 3 55. 3
2020 15 6 384 213 33 336011 321. 3 141. 3
2022 4 4 425 341 151 227655 379. 8 189. 8
9444 山西职业技术学院 2021 5 5 329 313 113 243378 322. 8 122. 8
2020 8 6 418 208 28 338252 292. 8 112. 8
2022 10 10 325 291 101 279014 302. 9 112. 9
9447 山西信息职业技术学院
2021 25 1 225 225 25 297842 225 25
2022 8 9 360 230 40 314788 306, 7 116. 7
9449 满洲里俄语职业学院 2021 7 6 380 245 45 290064 308.2卒众108.2
2020 5 3 460 330 150 2402叩s 39;又3斗,,`、.-,.``,_ _ . '心 ;;`气, 213
2022 8 8 393 252 三扛言 呻88t::, 啖E 31、3.、/`心一二今c'123
9456 内蒙古机电职业技术学院
2021 10 1 241 2为,4 尸1.L`.``,8心“一尸俨;, 291876 扎勹 241, ! § 9 41
9457 内蒙古电子信息职业技术学院 心忒~蔼`,`,尥J `矗`霆.`,夕翠 77 _, 296286 七文283.9 ' 93.9
,1
9459 辽宁城市建设职业技术学院 归 2“心66 `芒 76 产' ;,也匕96寸9l7 299.1 109.1
女1 义«`l95'?,L - 5 324979 246. 5 56. 5
9460 辽宁工程职业学院 I之 _-`· r\:,夕'·, '仁飞,-275心`'\: \下.干'i'2_.,7 5 75 273333 275 75
辽宁劂学气一\,厂甘\一,主平歹i产 占屯 '2022 40` `~ 立?、 言的',- . 378 172 -18 329036 254. 9 64. 9
':`\ ….,;
9462 e 2O2l 沽 :39' 5 266 195 -5 304991 240.2 40.2
人b\ 2020 24- 4 411 200 20 341345 307 127
、,广,'心怂 夕二 2022 52 128 430 195 5 324979 276 86
9465 沈阳职业技术学院 2021 10 2 293 248 48 288640 270. 5 10.5
2020 12 1 278 278 98 291580 278 98
2022 38 38 420 305 115 266678 335. 5 145. 5
9467 辽宁医药职业学院 2021 38 29 396 208 8 302462 286. 9 86. 9
2020 34 11 392 182 2 346844 260.1 80.1
9469 辽宁装备制造职业技术学院 2022 35 127 446 191 1 325829 264.5 74. 5
2022 27 27 355 245 55 308427 287. 1 97.1
9471 黑龙江职业学院 2021 21 17 423 214 14 301008 283. 6 83.6
2020 31 9 352 200 20 341345 264.2 84.2
2021 50 2 208 197 -3 304652 202. 5 2.5
9473 黑龙江农垦科技职业学院
2020 57 4 319 227 47 328948 287. 8 107.8.
三、2020一2022 年河南省普通高校招生高职高专批录取情况统计表(文科) 257 •
录取分数统计
代 院 码 校 瓦校名称 年份 公 计划 4µ 吠 人 取 数 辰皊分 最低分 最 与 低 分 分 数 录取呆低[ 1 平均分 平 与 均 分数 分
线差值 兮位次
/ 线差值
2022 9 9 281 242 52 i 309785 253. 8 63. 8
9474 黑龙江商业职业尹芫 2021 20 ~..咖.. 1 222 222 22 i 298773 222 22
2020 25 3 401 267 87 '300758 317. 7 137. 7
2021 53 11 391 229 29 296508 297. 3 97. 3
9476 黑龙江生物科技职业学院
2020 70 14 415 194 14 343428 288. 3 108. 3
2021 15 7 344 206 6 302908 276. 7 76. 7
9478 长门山职业技术学阮
2020 38 2 361 242 62 319599 301. 5 121. 5
2022 13 13 443 402 212 150967 421. 3 231. 3
9481 上海工艺美术职柯学院 2021 8 8 461 411 211 147175 429 4 229.4
2020 6 6 牡() 360 180 208082 387 207
2022 10 10 452 442 252 104144 446.1 256.1
9488 江苏经贸职业技术学院 2021 10 10 101621 464. 3 264. 3
2020 5 5 雪4I2 乃9 戏” 104203 461. 8 281. 8
2022 11 l 1 222771 364. 3 174. 3
浙江纺织服装职业技本并院 2021 卢',l0 9 292709 308.4 108. 4
2020 l2 12 438 222 42 331646 338.4 158. 4
9491
2022 5 5,,,, 414 317 127 254941 357. 4 167. 4
浙江纺织服装职业技术学院(较高收
2021 8 夕 i. 匕一' ,3 ` 331 240 40 292273 275. 7 75. 7
\ 费专 , 业) '' ' -\ \ $ 2020 8 4 415 218 38 333708 312. 5 132. 5
t 2022 39 39 448 372 182 188409 392. 8 202. 8
949Z于 宁波城巾职r\''-"业夕'技术学院 2021 41 41 465 353 153 204689 389. 2 l 89 2
2020 50 50 i 445 249 69 314650 385 205
\s';夕\
仁 ',心 2022 14 14 400 240 50 310704 299. 8 109. 8
浙江广厦建设职业技本大学(厅浙江
9493 2021 25 3 395 285 85 266241 332 7 132. 7
广厦建设职业技术学院)
2020 21 7 462 204 24 339925 303 1 123. 1
2022 5 5 380 321 131 250730 354.4 164.4
9494 杭州万向职业技术孕阮 2021 7 7 359 270 70 276561 330. 9 130.9
2020 8 8 377 260 80 306296 304. 5 124. 5
9504 安徽冶金科技职业学院 2022 30 30 433 203 13 323151 320. 2 130. 2
2022 12 12 383 206 16 322397 302 112
9507 安徽中溃科技职业学院
2021 12 6 351 206 6 302908 267. 5 67. 5
2022 12 12 388 311 121 260906 333. 8 143. 8
9508 安徽国防科技职业学院 2021 5 5 331 281 81 269173 305 6 105. 6
2020 5 3 421 299 119 272124 芦344. 3 ·•.L 164. 3
9510 安徽城市管理职业学院 2022 6 6 447 288 98 281438 3
2022 14 14 407 318 顷 253881 ! 3
9516 亳州职业技术学院 2021 14 14 363 石的 292709 290 3 ~.go.3
乌郫2`O飞霆吵、
2020 15 15 440亭, ilo 280648 352: S\ 杠172.5
2022 12 l2 3立病众,1~ 16 322397 260. 7 70. 7
9517 阜阳科技职业学院 2021 15 4 289 244 44, 290545 272. 5 72. 5
~_~ : 2022 劝 33 气 411 330 140 240679 362. 3 172. 3
9521 福建信息职业技术学院 2021 20 • 2O ',4 33 281 81 269173 326 126
20
\'\ - \ 2020 C 19 427 298 118 273026 350. 3 170.3
职\ \~\ .~~、}' ~.一 2022 7 7 324 258 68 301602 278. I 88. 1
9522 福建水利电力 业技术学院 2021 7 3 312 226 26 297532 278, 7 78. 7
2020 10 3 343 274 94 295026 301 3 121. 3
2022 3 3 348 338 148 231258 344 154
9523 福建电力职业技本学院 2021 3 3 305 293 93 260231 298, 3 98. 3
2020 4 4 300 215 35 335100 274. 5 94.5
2022 8 8 333 185 -5 326976 257. 9 67.9
9524 福建林业职业技术学院 2021 8 5 348 186 -14 306322 237. 2 37. 2
2020 8 2 289 289 109 281525 289 109
2022 15 15 413 212 22 32ITT44 296 106
9525 福建农业职业技术学院
2020 65 2 336 267 87 300758 301. 5 121. 5
2022 15 15 428 318 128 253881 343. 5 153. 5
9526 厦门海洋职业技术学院 2021 22 33 422 204 4 303340 296.4 96. 4
2020 46 36 402 196 16 342748 293 9 113.9· 258 · 第三章录取统计
录取分数统计
阮校
代码 •1 院校名称 年份 计 公 划 仆 人 录 数 取 最的分 II! 最低分 I 最 与分 低 数 分 货取最低 平均分 平 勹 均 分 分 数
分伈次
线生们 线差值
2022 5 5 342 296 106 274752 320. 2 130 2
9531 汀西叶才勿科技职业于院 2021 4 4 378 198 -2 304484 2708 70 8
2020 4 4 342 19 6 l 6 342748 257 8 77. 8
2022 10 25 420 198 8 324323 330 8 140 8
9535 江四外南外贸职\Iv学院 2021 ] () 10 457 I 396 196 161619 425. 3 225. 3
2020 10 10 446 飞68 188 199197 407 6 227. 6
2022 36 39 343 222 ]2 317649 271 81
9538 南昌丁学院 2021 37 14 410 1 202 2 303749 316 6 116. 6
2020 7 5 482 252 72 312492 芍6,8 176. 8
i
2022 39 14 296 192 2 325611 248 4 58, 4
9539 南昌职仙人学 2021 70 57 408 204 4 303340 277 9 77 9
2020 70 28 441 188 8 345210 275 95
i
2022 10 10 439 221 31 317995 295, 3 105. 3
9540 八四服装学院 2020 32 16 424 l83 3 34656 -. 9 % 俨一 287 7 107 7
2022 6 28 325 191 1 325829 231 4 41 4
9541 (L西科技职业学院 2021 6 l 281 281 81 269173 281 81
2020 6 2 302 262 82 304696 282 102
2022 2 6 349 201 11 323633 269 7 79 7
9542 杲往仇陶资职\il,技木孝阮 2021 4 I 201 201 I 303931 201 1
2020 JO 2 408 293 113 277851 350, 5 170. 5
2022 16 16 379 322 132 249651 335 6 145. 6
954飞 泰山护理职业学院 2021 14 11 368 201 1 303931 257 8 57 8
2020 19 11 343 208 28 338252 270, 8 90, 8
2022 16 16 378 ! 349 159 217891 358 7 168. 7
- - -
9544 济南护珅职业学院 2021 14 14 414 '.125 125 232444 361 1 161 I
2020 14 14 443 316 136 254952 348 7 168. 7
2022 3 3 230 212 22 320744 223 3 33 3
9545 山东化丁职业学院
2021 2 I ,i'j 8 338 13 8 219793 338 13 8
2022 6 6 329 283 93 285208 304会5 114. 5
9547 山东l寸1哺伈II1学阮 2021 6 4 328 267 67 278飞55 289 8 89 8
2020 10 2 389 259 79 307090 321 l 4 4
—----—-- 1---
2022 36 60 380 210 20 321356 296. 3 106 3
9548 山东向巾职11J1学院
2020 26 I 2仅6 '236 56 32斗1473 236 56
~?~ 2022 8 12 379 298 108 272996 320, 3 130 3
9549 山东径贸职仲学院 2021 6 5 398 297 97 256999 325 .-」 l25
2020 6 4 331 278 98 291580 300. 8 120 8
l i
2022 40 56 I 387 192 2 325611 258 6 68. 6
9551 青岛但压I:1技学院 202l 60 44 386 200 。 304110 271 7 71 7
2020 65 35 465 187 7 345483 289. 9 109 9
2022 i 10 10 302 245 55 308427 280 5 90 5
9552 胃岛求勹:职\LK技术学院 2021 14 l 202 202 2 303749 202 2
2020 15 4 403 198 l 8 342040 264 84
2022 110 110 423 200 10 323854 290 6 JOO 6
山东现代字阮 2021 145 145 446 ~ ~ `咖 203 ---- 3 -- --- 303545 298 3 98. 3
9553
2020 160 176 461 l9l II 344399 295 2 115 2
山东现代学院(较高收费专\V) 2022 12 12 342 290 100 279816 308 3 118 3
2022 17 19 408 292 102 278159 333. 3 143 3
9554 青哈黄向学院 2021 18 20 457 258 58 283474 329. I 129. I
2020 27 23 404 19.'i 15 343072 263 9 i 83 9
9555 雏坊丁程职业学院(原滩妨教育学阮) 2020 33 8 323 195 15 313072 264 84
2022 160 160 416 275 85 291038 311. 4 l2l 4
9562 襄阴汽介限hlV技木旁阮 2021 140 165 456 222 22 29877:l 290. 6 90. 6
I 2020 150 138 515 180 。 347337 258. 4 78. 4
2022 吓 35 429 414 224 136619 420 5 230. 5
9564 武汉父通职业督院 2021 34 j!I 34 -- 463 421 221 l37727 429. 2 229 2
2020 21 24 451 420 240 143812 428 8 248. 8三、2020-2022年河南省普通高校招生高职高专批录取情况统计表(文科) ·259 ·
录取分数统计
院校 公布 录取 最低分 平均分
院校名称 年份 录取最低
代码 计划 人数 最高分 最低分 与分数 平均分 与分数
分位次
线差值 线差值
2022 27 27 375 311 121 260906 333. 8 143.8
9565 咸宁职业技术学院 2021 30 26 375 255 55 285080 310.6 110.6
2020 22 22 444 251 71 313212 331. l 151. l
2022 3 3 350 243 53 309326 287.3 97.3
9567 湖北艺术职业学院
2021 12 8 387 225 25 297842 302. 8 102. 8
2022 3 3 375 356 166 208977 365.3 175.3
9568 长沙职业技术学院 2021 3 3 313 283 83 267702 295 95
2020 2 2 334 302 122 269166 318 138
2022 5 5 420 275 85 291038 382.2 192.2
9571 怀化职业技术学院 2021 4 2 399 302 102 252885 350.5 150.5
2020 5 2 413 412 屁衾23 412.5 232.5
2022 飞勹 173 372.5 182. 5
9572 湖南城建职业技术学院 2021 `产;过匀8 271301 322. 7 122. 7
2020 314 ,•;, 1V3勺45 5 、'八,`欢忑女7..少0,,56 314 134
切3=3.5 矿 lf 323151 281. 2 91. 2
嘈
9573 湖南化工职业技术学院 275 75 273333 309. 8 109.8
a- l0仑_\.和6;又'.,, 433 265 85 302342 331. 2 151.2
\气
飞`;\\-:三南\只i司`夕-法\气一-k`警1rf它,_、·\`官1尸俨.又~\,职俨.,业产距学芦院垮飞 心为2臼飞言6' 6 442 358 168 206465 392.8 202. 8
957\夕 -6\于{\f }-\ -.I \ -~ · `, \',' ,\ \ - 产之众叮飞.; ;,2-021 5 5 455 364 164 193591 401. 2 201. 2
2020 5 3 359 230 50 327216 304.3 124.3
`七.·仁丹气翁,唯"-乞夕'f贸t'丿旅f石二,心-游\',职`二业技术学院 2022 20 20 451 388 198 168250 401.8 211. 8
9577令 2021 20 20 417 355 155 202693 377.2 177. 2
'
2020 20 17 429 223 43 331092 310.5 130.5
2022 49 49 448 400 210 l53482 428.4 238.4
广东科学技术职业学院 2021 46 46 469 414 214 144294 433今8 233.8
2020 38 38 502 418 238 145887 434.6 254. 6
9585
2022 2 2 392 386 196 17r.rl72 389 199
广东科学技术职业学院(较高收费
2021 1 1 344 344 144 213717 344 144
专业)
2020 4 1 202 202 22 340668 202 22
2022 27 27 425 301 111 270308 383.4 193.4
9586 广东食品药品职业学院 2021 13 13 450 342 142 215802 371. 8 171. 8
2020 12 12 369 313 133 258061 334.4 154.4
_ 2022 30 7 341 237
9590 广东创新科技职业学院 2021 35 3 340 225 望
2020 45 4 339 219
9593 珠海艺术职业学院 `立甘2甘亨卓 竺戏岱~霹~它6~·夕 ~ 勹· - • 已 ?俨
3 妞主;啦蚴 251. 3 61. 3
9602
巨均',\ 五b 29100s 243 43
/、35炉匕仁飞,1`矗~92 2 325611 250. I 60. I
三亚中瑞酒店'管,\厂理A,1汇1职业召学)I一一,,院了令,气!':,\勹, , 440
9603 }` 239 39 292709 300 100
吵加飞_巧5L 8 371 210 30 337374 289 109
9605 广西现代职业技术学院 仁五\`了 七i022 28 28 429 240 50 310704 284 94
9608 广西工业职业技术学卢沪立; -- 2022 7 7 446 275 85 291038 353.6 163.6
2021 3 2 285 264 64 280159 274.5 74.5
2022 46 46 393 248 58 306948 295.4 105.4
9609 海南软件职业技术学院 2021 22 24 393 281 81 269173 323.. 6 123.6
2020 17 17 393 235 55 324103 288. 2 108.2
9616 哈尔滨北方航空职业技术学院 2022 11 7 398 193 3 3巧398 255 65
9617 广东茂名农林科技职业学院 2020 10 2 286 269 89 299093 277.5 97.5
2022 12 8 355 196 6 324775 25I.4 61. 4
9618 海南健康管理职业技术学院
2021 7 3 276 225 25 297842 248.3 48.3
2022 36 46 367 191 1 325829 251. 5 61. 5
9619 眉山药科职业学院 2021 27 2 313 281 81 269173 297 97
2020 28 3 407 258 78 3fJ7901 345.3 165. 3· 260 • 第三章录取统计
录取分数统计
院校 公布 录取 最低分 平均分
院校名称 年份 录取最低
代码 计划 人数 最高分 最低分 与分数 平均分 与分数
分位次
线茫值 线差仇
2022 8 21 301 191 l 325829 242. 5 52. 5
9624 大府新区航空旅游职业学院
2021 29 3 331 239 39 292709 283 83
2022 31 31 380 296 106 274752 317 9 127.9
9628 云南医药健康职业学院 2021 25 25 436 200 。 304110 280, 4 80.4
2020 18 18 4]7 218 38 333708 291. 6 111. 6
八歹/ 勹 , 和田职业技术学院 2022 16 'iO, , 勹3V^1` 209 19 32i6ii 4尸、0/斗,"3 74. 3
9632 萍乡卫生职业学院 2022 2 2 ! 398 356 166 208977 377 187
2022 4 6 i 303 223 33 317282 266 8 76. 8
9633 江西婺源煜lk职\W学院 2021 8 I 261 261 61 281858 261 61
2020 15 1 216 216 36 334629 216 36
9634 铁门关职业技术学院 2022 27 36 343 192 2 32;i611 254. 7 64. 7
2022 17 17 333 197 7 324543 286. 7 96. 7
t
9635 石河子工程职业技术学院 2021 7 2 334 274 74 274006 304 104
2020 言}15 1230 -/ _. 244 S 220 亡',4玄0五泛§, 332687 229. 3 49. 3
360 也9::
牙,'3斗9'-`
315163 284 8 94. 8
量饭奶奶
9636 桂林生命与健康职业技术羊阮 270 262 62 281294 266 66
- 了·“妇;`土- 17,1处,,',七' 哼,,匀1今 1 215 215 35 335100 215 35
清长黄它岛山航空教职科技育业职学职业业学院学院 夕,为龙0飞;30 19 327 216 26 319617 2'i7. 6 67.6
99665536 \“2`,0,卢22 39 45 374, 197 7 324543 302. 5 112.5
9661 院 2022 5 13 309 195 5 324979 247.4 57. 4
9662' 淮坊环境工程职,W学院 2022 22 57 329 190 。 326041 237.6 47. 6
2022 200 222 475 194 4 325188 281 91
9663 湖北健康职业学院 2021 108 70 399 200 。 304110 265. 9 65. 9
2020 36 23 308 180 。 347337 248. 8 68. 8
2022 8 8 334 273 83 292397 300. 3 110, 3
9667 海南卫生健康职业学院
2021 7 6 388 254 54 285600 31 l. 7 111. 7
2022 32 32 455 367 177 194991 392 6 202.6
9670 海南政法职业学院 2021 32 32 461 342 142 215802 376 6 176.6
2020 28 28 455 301 121 270152 348 1 168. 1
2022 19 19 460 392 202 163301 407 1 217. 1
9671 海南外国语职业学院 2021 16 16 466 394 194 163613 418, 8 218. 8
2020 12 12 445 411 231 153134 421. 7 241. 7
2022 36 41 410 192 2 325611 262. 6 I. 72. 6
9672 四川西南航空职业学院 2021 52 22 386 208 8 302462 288.5 , 88. 5
2020 40 28 402 189 9 344966. 284i8 104. 8
9673 新疆铁道职业技术学院 2022 17 17 424 , 286 96 282971 322. 2 132. 2
9674 广西培贤国际职业学院 2022 27 32 3j;3 193 3 325328 237. 5 47. 5
言 ll 424 369 - i79年 勺92336 388 I 198. 1
9675 重庆三如上学院 忖甘置 归`! l l 416 350`` 书o 207734 i 378, 7 178. 7
10 424 314 134 257056 ] 356 I 176.1
201 11 323633 281. 6 91. 6
重职业庆技机术电学职卢)\拉,;4七二哀j\人学(原重庆机屯 抖沿l 勹上13 7 385
9677 \'-I- 13 406 246 46 289571 i 301. I 101. 1
\"、飞2芯玄020 7 7, 387 223 43 331092 299 4 119.4
学_-_\,院~ ; ::'; -一-- 2022 20 20 446 383 193 174502 434. 8 244. 8
9678 重庆电子工程职1)1: 2021 16 16 466 448 248 112491 455. l 255. I
2020 20 20 466 434 254 129575 445.2 265, 2
2022 5 5 398 287 97 282184 347. 6 157, 6
9688 四川航大职业技术学院
2021 6 4 321 283 83 267702 301 101
9695 绵阳飞行职业学院 2022 12 2 305 233 43 313623 269 79
成都东软学院 2022 4 4 --;-i - 333- ·— 296 106 274752 309. 8 119. 8
9700 II 2021 25 21 i 465 224 24 298146 316. 7 116. 7
2020 8 8 378 255 75 310194 287 107
2022 3 3 374 304 114 267637 341 151
9702 铜仁职业技术学院 2021 6 4 471 217 17 300151 309. 8 109. 8
2020 7 4 260 235 55 324103 248. 3 68. 3.
三、2020一2022 年河南省苦通高校招生高职高专批录取情况统计表(文科) 261 •
录取分妏统计
院 代 校 码 院校名利 年份 I 妇11目戈1 吱人[取艾 1I ii高分 1 最低分 最与伬分分牧勹贮邓-[ 均分 平与均分分数
J r,i \`! !欠
线左值 --- 线差值
2022 J 23 I 23 i 423 I 342 I 152 - -- I - 2 - 2 . 6 - 4 - I 3 I 371. 4 J 181. 4
9705 I 宝鸡职业技犬学院 2021 I 1s I ts I 423 I 286 I 86 I 26sso9 I 335. 9 I 135. 9
2020 I 1s I 1s I 4o9 I 217 I 37 I 334175 I 296. 9 I 116. 9
2022 I 55 I 55 I 405 I 268 I 78. I 295644 I 303, 3 I 113. 3
9706 I 陕四航空职业技术学院 2021 I 40 I 35 I 372 I 223 I 23 I 298460 I 281.4 I 81.4
20?0 ! 20 I 20 I 396 I 2Sl I 71 I 313212 叨S I 12'i
2022 I 5 I 5 I 322 I 229 I 39 I 315163 I 296. 4 I 106. 4
9707 I 湖南芳动人事职业学院
2020 I 16 I 2 I 253 I 240 I 60 I 320855 I 246. 5 I 66. 5
2022 I 18 I 18 i 458 I 401 I 2II I 152254 I 415. 8 I 225. 8
9708 I 陕西铁路工程职业技木学院 2021 I 13 I 13 i 469 I 395 I 195 I 162625 I 430.4 I 230.4
2020 I 15 I ts I 463 I 379 I.. 199 I 187124 I 415.9 I 235.9
9709 1 陕西电子信岂胪业技术学阮 2O22 8 30 334_ l91 1 325829 28l. 2 91. 2
2O21 30 22, 436 206 6 302908 283, 1 83. 1
9710 西安交通工程学阮 2020 I ;rn2 i 13 : 445" l 1s6 I -.... 6 I 345764 I 292. 2 I 112. 2
2022 I 21--- I 21.. · 1 399 I 2s2 I 62 I 304888 I 290. 7 I 100. 7
9714 I 巴音郭楞职业技术学院
2020 I 1s · I 1.· 1-, 400 · 1 400 I 220 I 164715 I 400 I 220
979:797 2022 I 11... 1 • 36 · I · 364 I 222 I 32 I 317649 I 274. 6 I 84. 6
1 技术学院
5 车程职 2021 I 7 I 3 I 463 I 215 I 15 I 300735 I 312 I 112
学
2022 I 100 I 77 I 368 I 190 I O I 326041 I 255. 9 I 65. 9
因 T 业学院 2021 I 22 I 3 I 325 I 282 I 82 I 268451 I 306. 3 I 106, 3
二 2020 I 90 I 5 I 389 I 180 I O I 347337 I 298. 2 I 118. 2
2022 I 35 I Js i 409 I 264 I 14 I 29s130 I Jos. 4 I 11s. 4
1 2021 I 20 I 14 I 405 I 210 I 10 I 301992 I 305. 3 I 105. 3
7 - ;
2020 I 22 I 16 384 201 21 345”310. 9 130. 9
l
2022 I 7 I 12 ! 363 I 241 I 51 I 310258 ! 275. 7 I 85. 7
9718 I 新疆建设职业技木学院 2021 I l O I 7 I 385 I 200 I O I 30411 O I 293, 1 I 93. 1
2020 I 10 I 6 I 440 I 217 I 37 I 334175 I 298.8 I 118.8
2022 I 15 I 25 I 362 I 244 I 54 I 308909 I 280 I 90
9719 I 苏州托普信息职业技术学院 2021 I 56 I 29 I 327 I 201 I 1 I 303931 I 259. 1 I 59. 1
2020 I 56 I 22 I 383 I 205 I 25 I 339518 I 278. 9 I 98. 9
2022 I 10 I 3 I 338 I 303 I 113 I 268568 I 317. 3 I 127. 3
9721 I 江西软件职业技术大学(原江西先锋 2021 I 10 I 1 I 320 I 320 I 120 ! 237038 I 320 I 120
软件职业技术学院)
2O2O lO 2 383 279 99 290701 _, 3社垦 l51
2022 I 77 I 96 I 426 I 194 I 4 325188 26匀C,扣、也,'-鲸-,,.75.8
I
9722 I 共青科技职业学院 2021 I 63 I 63 I 4ss I 291 I m , 261s11 333`立令气33,5
2O20 一6-6- ---- 67 437 已l9I产{ 勹11 1 3呫399 I 302.
i 1 o 0.- 午<6' 4 '·1 `,J 3 3 2 5 7 3 ,'~ I 2 2 1 1 7 4 I 3 17 4 I 3 3 0 3 0 5 1 5 5 7 1 8 I 2 2 1 7 5 9 . , 5 1 I 9 79 5 . . 1 5
9782 I 湖北国土资源I \`\ 职 I\ ; 5 业 -名'1,学,心 \ ';\ 1 院 心-\飞\-一;_一_尸; • - 2` ,-占 I· , 2 2 0 02 2 2 1 _ I 4 4 5 7 I I 4 4 5 7 I I -4 4 2 6 0 4 I I 3 31 3 1 3 I I 1 11 4 1 3 I I 2 2 3 4 1 5 2 1 3 0 2 7 I I 3 3 5 4 7 2 . . 5 1 I I 1 16 4 1 2 . , 1 5
哀心七t飞L产S,气气t飞上广'.i { 2020 I 40 I 40 I 400 I 232 I 52 I 326034 I 293. 4 I 113. 4
,
2022 I 20 I - 20 I 412 I 287 I 97 I 282184 I 318 I 128
9783 I 江汉艺术职业学院 2021 I 17 I 17 I 433 I 274 I 74 I 274006 I 322. 9 I 122. 9
2020 I 15 I 15 I 428 I 232 I 52 I 326034 I 307. 9 I 127. 9
2022 I 101 I 101 I 414 I 301 I lll I 270308 I 327. 4 I 137. 4
9784 I 湖北生态工程职业技术学院 2021 I 110 I 110 I 399 I 271 I 71 I 275973 I 312. 2 I 112. 2
2020 I 116 I 116 I 443 I 221 I 41 I 332173 I 288. 8 I 108. 8
2022 I 14 I 14 I 373 I 320 I 130 I 251735 I 339 I 149
9785 I 湖北生物科技职业学院 2021 I 14 I 14 I 449 I 304 I 104 I 251221 I 330. 8 I 130. 8
2020 I 14 I 14 I 480 I 237 I 57 I 322860 I 307. 1 I 127. 1
2022 I 6 I 6 I 418 I 385 I 195 I 171983 I 401 I 211
9786 I 湖北财税职业学院 2021 I 18 I 19 I 411 I 336 I 136 I 221808 I 361. 1 I 161. 1
2020 I 28 I 28 I 510 I 305 I 125 I 266264 I 349. 6 I 169. 6.
三、2020—2022 年河南省普通高校招生高职高专批录取情况统计表(文科) 263 •
录取分数统计
院校 院校名称 年份 公布 录取 最f氏分 --i| 录- 分-取一仿最·次·低 I 平均- 平均分
代码 引划 人数 最在分 最低分 与分数 分 与分数
线差值 线差值
2022 31 31 456 353 163 212838 i 385, 2 195. 2
武汉民政职寸k学院 2021 29 29 426 329 129 I 228592 349 149
9788 2020 27 29 453 244 64 318230 356. 2 176. 2
2022 2 2 312 266 76 296917 289 99
武汉民政职业学院(较高收费专业)
2020 6 1 190 190 10 344703 190 10
2022 154 154 509 428 238 120198 441 251
9791 武汉铁路职业技术学院 2021 139 139 535 436 236 123710 453. 7 253, 7
2020 111 111 525 436 256 127544 455. 5 275. 5
2022 100 100 430 327 137 244191 359 169
9792 湖北三峡职业技本学院 2021 100 99 476 274 74 274006 380. 3 180. 3
2020 100 97 437 222 42 331646 I 303. 3 123. 3
9799 广东文艺职业学阮 2022 8 8 409 211予二Jj 27 '319306 1 319. 5 129.5
2022 36 36 39S::飞:二 I 235,'一~;:立 ,心45 312809 298.2 108.2
9801 中山火炬职业技木学院 2021 13 7 376-$、土三 239,, 七 39 292709'307. 6 107. 6
2020 一二屯10 4. - 398 夕, 224 勹44 330572 319. 3 139 3
2022 .8 8 414 306 116 265721 353. 3 163. 3
9802 江门职业技术学院 \ _ 2021 8 9 402 273 73 274712 314. 1 114. 1
2020 15 _ 7 370 218 38 333708 286 106
丫
2022 33 33 336 236 46 312390 279. 9 89. 9
9803 茂名职业技术学院 2021 51 9 379 233 33 295099 304. 8 104. 8
I, , 编夕- 飞 2020 41 4 413 248 68 315404 351. 5 171. 5
飞
尸兰,珠夕}.二,§海L·,仁..七城 上一'市”职,介业技本卡院 2022 22 22 397 311 121 260906 345. 7 155. 7
9805' 2021 40 ! 40 408 306 106 249455 335. 8 135.8
2020 40 39 440 219 39 333203 313.4 133. 4
2022 5 5 390 368 178 193690 377. 8 187. 8
l”`
9808 广西电力职业技木囚五 2021 4 4 --—? 飞87 316 116 240688 351. 5 151. 5
2020 4 4 298 266 86 301525 285. 5 105. 5
2022 24 24 431 364 174 198903 387. 9 197. 9
海南经贸职业技术学院 2021 23 23 452 348 148 209758 386. 2 186. 2
9809
2020 22 22 416 292 112 278796 340 160
海南经贸职业技术学院(较高收费专业) 2022 2 2 327 319 129 252795 323 133
2022 10 10 420 376 186 183359 388. 8 198. 8
9810 重庆水利电力职业技木和院 2021 10 10 418 339 139 218794 363. 9 163.9
2020 9 446 319 139 251853 哥
尸
2022 3 414.~ ` 409 219 142616
9814 四川司法警官职仲学院 2021 :1 3 182 飞33泌776七l产乞了咖,三尸-夕咖尸.这占匕卫l_ 186460 375.气3 “一175.3
2020 飞 3 47~? «歹 196 ]90385 42~5”3 t ·_245. 7
2022 4 4 376Y ` 138 243008 3 5i. 5 161. 5
9821 云南林业职业技术学院 2021 4 4 454 256 56 284563 354. 8 154. 8
2020 4 4 378 323 143 247603 342. 3 162. 3
2022 19 19 3 65 292 `102 278159 320. 1 130. l
9822 陕四邮电职业技术学院 2021 l9 i9 420 235 35 294344 309. 2 109. 2
\ L },,L'尸,· - \,' 2020 15 15 442 288 108 282382 347. 5 167. 5
\ 2022 29 33 410 199 9 324109 301. 2 111. 2
北京培黎职亚学院 2021 28 30 --a一?? 416 208 3,P二4位 317.6 117.6
9824 2020 23 23 465 259 8 324.9 144.9
2022 2 2 ! 394 362 378 188
北京培黎职业们知(较蚐收从飞业)
2020 7 3 181 213 33 336011 289. 7 109. 7
2022 5 5 355 204 14 322900 285.6 95.6
9&27 石家庄科技估巳职\II1学院 2021 5 2 i 233 201 1 303931 217 17
2020 5 1 226 226 46 329528 226 46
辽宁理上职业大学(原辽宁理工职业 2022 73 31 394 191 1 325829 252. 7 62. 7
9830
学院) 2020 59 1 246 246 66 316821 246 66
2022 12 1 351 351 161 215285 351 161
9831 黑龙江勹江美术职业学院
2020 3 1 284 284 104 286131 284 104• 264 • 第三章录取统计
录取分数统计
院校 公布 录取 最低分 平均分
院校名称 年份 录取最低
代码 计划 人数 最高分 最低分 与分数 平均分 与分数
分位次
线差值 线差值
2022 57 31 327 191 1 32582!1 250. 9 60. 9
9832 上海震且职业学院 2021 35 15 381 201 1 303931 281. 7 81. 7
2020 38 22 405 204 24 339925 286. 5 106.5
2022 15 3 374 204 14 322900 283 93
9833 上海民远职业技术学院 2021 20 5 278 217 17 300151 247. 6 47. 6
2020 8 4 376 228 48 328414 310. 8 130.8
2022 31 24 393 190 。 326041 305. 3 115.3
9835 上海立达学院 2021 23 23 458 322 122 235219 369 169
2020 24 24 436 327 147 243353 362. 3 182. 3
2022 78 33 368 191 1 325829 267. 5 77.5
9836 上海思博职业技术学院 2021 88 13 383 207 °7 302698 299. 3 99. 3
2020 68 41 398 180 七I、-~`` 347337 269.3 89. 3
2022 60 273 382;` _ 190飞 1飞 0' 326041 247. 3 57.3
9837 江海职业技术学院 2021 79 41产- 388,$千乞: 206 6 302908 270. 7 70. 7
罩2020 忒53妥' 41;;辛. , 460` '185 f,今口 5 '\ 346050 286.2 106.2
`叨`* l20' ,,_ 388, il92 七 2 325611 251. 3 61.3
9838 金山职业技术学院 IO 6 心; i.315`. t \ 210 10 301992 248. 8 48. 8
--· C 12O2O 35气,\ `六",4-了 230 215 35 335100 219 39
知厂I勹真-;:,忙\I一佯征产个`屈i,,业\凡技`术寸,文钰1和',;“归均,§屯俨1为3岱\喝 ~.,功花卢 -'21 21 337 274 84 291736 299.2 109. 2
吨l\ '\ /\\ : ,k 已;_飞.,f.3 \讶 '寸\ 2021 36 23 324 203 3 303545 262. 9 62. 9
\
)\ 2020 32 18 403 194 14 343428 297. 8 117. 8
9840t\一! ,t 江`',为西工程«学觅叮入了院`二`戎`-沁·~ 2021 4 2 366 263 63 280715 314.5 114.5
2020 20 20 445 265 85 302342 330. l 150.1
2022 11 11 383 300 110 271196 325.1 135. 1
9841 威海海洋职业学院 2021 11 9 296 205 5 303126 244.1 44.1
2020 11 7 347 210 30 337374 276.4 96.4
9842 赣西科技职业学院 2020 15 4 352 307 127 264214 334. 3 154. 3
2022 58 58 440 1% 6 324775 284. 8 94. 8
山东协和学院 2021 57 57 431 243 43 291008 310 110
2020 74 57 421 183 3 346569 283. 7 103. 7
9844
2022 2 2 412 311 121 260906 361. 5 171. 5
山东协和学院(较高收费专业) 2021 3 3 304 291 91 261811 296. 3 96.3
2020 26 20 459 190 10 344703 247 67
9845 山东华宇工学院 2021 65 11 473 203 3
2020 32 32 471 308 128 酬
2022 54 54 340 223 .33沼窟
9846 山东外事职业大学 2021 70 29 352
气191``、 厂
2020 95 54 逞孚1:a,扣7埽 5,. 346050 心吵5,.,1¥, 115. 1
.., 1 已'/325829 277. 6 87. 6
9847 二覃心者立归 女卿\ 11b 304110 278. 8 78. 8
“AO趴\守\ .k q \礼l8令0仁 0 347337 260. 5 80. 5
l
,、,守309
1,92 2 325611 243. 3 53. 3
9849 269 257 57 284006 263 63
405 233 53 325378 323 143
广东工商职业技术天学`尸心!巨-七” 2022 15 6 376 229 39 315163 290. 7 100. 7
9850
2021 15 4 390 289 89 263277 322 122
9851 广东理工学院 2021 21 8 450 255 55 285080 368. 3 168. 3
2022 16 12 307 235 45 312809 263. 8 73. 8
9854 广州南洋理工职业学院 2021 15 1 288 288 88 264058 288 88
2020 12 3 254 238 58 322187 248. 3 68. 3
2022 31 13 375 191 1 325829 262. 9 72.9
广州科技职业技术大学(原广州科技
9855 2021 30 8 308 203 3 303545 247 47
职业技术学院)
2020 30 17 437 211 31 336931 300. 8 120. 8
9856 广州涉外经济职业技术学院 2022 12 8 370 198 8 324323 266.6 76.6
2022 72 61 416 193 3 325398 286. 7 96. 7
9858 广西外国语学院 2021 32 6 408 326 126 231496 354. 3 154. 3
2020 32 6 443 255 75 310194 342.2 162. 2三、2020—2022年河南省普通高校招生高职高专批录取情况统计表(文科) • 265 •
录取分数统计
院校 公布 录取 | -广— 最低分 ' 平-均分-
代砃 院校名称 I 年份 汁划 人数 最高分 最低分 勹分数 录分取位最次低 平均分 勹分数
!
---- 线差值 -一伐羌仇、~
2022 86 111 350 192 2 325611 259. 7 69 7
9859 海南丁商职业学院 2021 38 6 303 222 22 298773 258 3 58 3
2020 18 8 399 189 9 344966 260.3 80. 3
2022 2 2 199 191 1 325829 195 5
9860 四川工业科技学院 2021 25 2 312 226 26 297532 269 69
2020 28 3 285 198 18 342040 242 62
2022 17 17 446 220 30 318301 297.4 107.4
9862 云南经济管理学院 2021 27 14 458 260 60 282418 327. 7 127. 7
2020 7 8 396 246 66 316821 328. 3 148, 3
西安汽车职业大学(原西安汽车利技 123 359 193 3 325398 252. 7 62. 7
9866
职业学院)
22002212 ! 4294 11 398 205 丿5.-303l26 290 4 90. 4
2020 15 7 375 207 277. 7 97 7
2022 30 66 i 387 253 294 6 104. 6
9867 西安悔棠职业学院 2 2 0 0 2 2 1 0 2 30 召 三为三 4 3 3 6 5 4 2 1 3 9 2 5 3 15 2 ` 五、;',I: , 3 2 4 95 3 4 0 5 7 2 2 2 2 9 7 4 3 2 9 9 4 3 2
2O22 ', 7 7 287 , 2眨 22 320744 250.9 60. 9
9869 新疆现代职业技术学院 2位I 10 l 200 200 。 304110 200 。
- 2020 12 2 374 196 16 342748 285 105
\
1新职疆业天技山术学职院斗})技术大学(原新疆天山 I 2922 3 3 323 257 67 302142 284 94
, 飞 2021 8 2 331 292 92 260961 311. 5 111. 5
987\0\1, !
2020 2 2 357 238 58 322187 297. 5 117. 5
''·心3.主`干 2022 50 61 455 272 82 293019 38:l 2 193, 2
南京旅游职业学院 2021 31 54 468 227 27 297223 382.4 182 4
9874
2020 27 27 469 414 234 150098 428. 8 248, 8
南京旅游职业学院(较高收费专,!Jr) ~ ~2气0·2-1- -·· 4 3 414 212 12 301522 314. 3 114 3
2022 10 28 301 190 。 326041 238 3 I - 48 3 - -
9875 扬川中瑞酒店职业学院 2021 101 1 407 407 207 150941 407 207
2020 124 2 265 249 69 314650 257 77
2022 4 24 375 221 31 317995 278. 8 88. 8
9876 吉安职业技术学院 2021 JO 10 387 249 49 288144 341. 3 141. 3
2020 2 2 393 369 189 198119 381 201
2022 15 15 436 415 225 135408 420, 8 230. 8
9877 重庆幼儿师范高等专科学校 2021 15 15 435 414 214 144294 420 7 1 220. 7
2020 12 12 441 3~~9? 8 218 166825 406 3 226 3
2022 29 45 393 246 56 307941 300 5 110 5
9883 七台河职业学院 2021 35 4 392 224 三24 29&1岭 2698 8 69. 8
2020 27 1 248 248 68
2022 24 24 `祖7 342 .6 175 6
9886 广东理工职业学院 2021 -- 24 `互叮 问如 // / 284 84 ,266960 360 i 160
202O夕 20 - 20 心.2 233.飞..A 53 325378 296. 8 116. 8
9887 广州华南商贸职业学院 _ ~ ~ ~ ~ \,2,0 22 \;, l4 2 225? I 俨、2\~1~ 8 28 318986 221. 5 31. 5
2022 18 35 413 196 6 324775 276. 2 86. 2
9888 广州华立科技职业学院 202l /42 7 374 203 3 303545 255. 7 55. 7
飞\ 一 l, \'~-- 2020 41 9 370 180 。 347337 279. 8 99. 8
广州城巾职业学飞立院\ .s产;吝气 8,炉 3A P辜?.~ ,. 2022 23 23 443 404 214 148523 414. 6 224 6
9889 2021 20 20 459 405 205 152895 420 220
2020 20 20 446 387 207 178550 410 5 230 5
2022 54 64 457 239 49 311141 303. 7 1 13 7
9890 广东一上程职业技术学院 2021 25 14 366 205 5 303126 278 7 78 7
2020 .. I 2s 18 373 227 47 328948 286 8 106 8
9892 兰州资源环境职业技术学院 2020 2 2 351 320 140 250775 335. 5 155. 5
2022 7 4 275 191 1 325829 214. 8 24. 8
9897 长春信息技术职业学院 2021 65 8 420 207 7 302698 298. 1 98.1
2020 24 2 339 314 134 257056 326. 5 146. 5
2022 19 19 374 244 54 308909 288. 3 98. 3
9899 嘉兴南洋职业技术学院 2021 19 9 343 202 2 303749 273.4 73.4
1 2020 20 12 401 181 I 347059 294, 7 l 14. 7芯 266 。 第三章录取统计
四、2020一2022 年河南省普通高校招生本科一批分专业录取情况统计表(文科)
f`
什份 I ! I 尸 ,二 录取分数如I
最低分 平均分
~j 专业名称 公布计划录取人数 最高分 最低分 与分数 1 平均分 勹分数
1 线差值
0001 北京体育人气
厂一—ll /:义理论 _ I l l 573 573 46 573 46-48-4644-60-44-46-44-44-44
12 1 教育学 575 575 48 575
/三一-/;
574 572 45 573
571 571 44 571
587 587 60 587
16 I 俄语(国际体育组织人才实肣班) 1 I 1 571 571 44 571
/德语(国际体育年I门人才人胖班)
I I 573 573 46 573
2022 I 18 ;法语(闰协体育组织人才实验班) I I l 571 571 44 571
19 1 西班匀记(因叮休肖组织人才实验班) } 1 [ l 57l i 57l 44 571
20 { 1 _ 葡 萄牙语(国忨(本霆组织人才实验班) 1 1 571 571 44 571
21 祈间学 i 2 I 2 ss1 I 576 49 578. 5 5] 5
22 『网洛与新媒体 I l I l I 575 I 575 I 48 I 575 I 48
/『体育左济与管儿
! 3 I 3 I 578 I 572 I 45 I 574 I 47
24 }公共事业行理 2 I 2 I 572 I 572 I 45 I 572 I 45
二:义L :} 三三\!三
:
] :
: :
』—厂:台:-Iry敦__言 三 ::
00 ::
l
2 l O 9 - i I 德 俄倡 语 —-·· · · · 一. u ----... _ ` ` 1 l I ! 1 1 I ` __ 5 6 9 0 9 0 I 5 6 9 0 9 0 I `一口一 4 4 1 2 I 一 5 60 9 0 9 I 一 口一 4 42 ]
I
2021 599 I 41 I 599 I 41
597 I 597 I 39 I 597 I 39
I 598 I 59一8· I 40 I 59 • 8 • I 40
616 !i 609 I s1 I 612.5 I 54.5
6妞0一6 i! - 606 - I -- 48 I 606 I - - 48
605 I 605 I 47 I 605 I 47
``` 598 w i i ` ` 598 I 40 I 598 I 40
厂9 『飞9__l 415的 41 —
_ ~
iIi}休fj子/::国1,j敦Fl ;一一 二勹尸]飞56 厂-9
OOl5 i 558 8 3l 8 —
尸: :—::/:48三一
5i:
厂/.三/.1
-
r
1 8 - l 8 1 615 - [ 562 4 -T 5s2 勹 24.
四、2020一2022 年河南省普通高校招生本科一批分专业录取情况统计表(文科) 267 •
录取分数统计
专业 最低分 平均分
件份 专业名称 公布计划 录取人数
代码 最高分 最低分 与分数 平均分 与分数
线差值 线差值
0191 中匡社会fl学院大学
01 哲学 3 3 602 596 69 598. 3 71 3
02 政治学与行政学 3 3 604 598 71 600. 3 73. 3
03 社会学 2 2 598 597 70 597. 5 70. 5
04 思想政治教育 2 2 599 597 70 598 71
2022 05 马克思主义埋论 2 2 602 598 71 600 73
06 汉语言文茬 3 3 600 596 69 597. 3 70 3
07 英语 2 2 596 595 68 595. 5 68. 5
08 新闻传播学类 3 3 599 597 70 597. 7 70. 7
09 历史学 3 3 606 596 69 599. 3 72.3
01 哲学 3 3 636 633 75 635 77
02 政治学与行政学 3 3 x641 637 79 639 7 81. 7
卜-•- 03 社会学 2 2 t/ ;640 637 79 638. 5 80. 5
04 i 思想政治教育 ·· 卞 2 2 636 6 35 己 t :、7.7 635. 5 77 5
2021 05 马克思主义理论 ~夕 2 2 636 635 77 635. 5 77. 5
06 汉语百文学 3 3 638 635 77 636. 7 78. 7
07 英语了~编 \ 2 2 638 634 76 636 78
户,一`~i,,飞它~'\ , (J8 新闻传播学类 ,'-, 产 3 3 642 636 78 638 3 80. 3
09---,+ -历史学 f i之飞r;;义 3 3 641 634 76 637 3 79. 3
十 \ \ } 心 Ol 哲学 3,俨 3 3 632 629 73 630. 7 74. 7
02, 政治学与行政学 3 3 630 629 73 629. 3 73. 3
03 社会学 2 2 629 628 72 628. 5 72. 5
04 思想政治教育 2 2 628 628 72 628 72
2020 05 马克思主义珅论 2 2 630 628 72 629 7飞 ~ ~
尸-·”06“ 汉语言文羊 3 3 633 633 77 633 77
07 英语 2 2 633 6芍 77 633 77
08 新闻传播学类 3 3 633 629 73 631. 3 75_ 3
09 历史学 3 3 632 629 73 630. 7 74. 7
0195 上悔海关学院
01 英语 2 2 606 602 44 丁”604 46
2021
02 国际商务 1 1 607 607 49 607 49
01 丑央、拓五 2 2 598 596 40 597 41
2020 02 国际商务 2 2 597 596 40 596.5 40. 5
03 物流管理 1 1 605 605 49 605 49
1100 中央民族大学 ~心 二芯~竺 .一
lO 哲学类 3 3 -- ~96 591 _又.~巴-¥ :气 64 , 593 ~一.~二~ 的
ll 经济学类 3编 ~人C 3 立 ,, 599 ~, 597 ,,心. 70 ,,I 598,· '` ` 1 71
12 法学类
尸
6 6 599 596 69 597. 8 70 8
13 社会学类 3-、 3 5 95' 592 65 594 67
14 民族学 -· \ \ \ 2 2 590 589 62 589. 5 62. 5
15 教育学飞f尸- §飞 ~了;(2b己 2 591 589 62 590 63
16 汉语言文子 了' 4 4 602 597 70 599 8 72. 8
2022 17 汉语国际教育 \uC空 3 飞 594 588 61 : 590. 7 63. 7
18 外国语吕文学类 2 2 591 590 63 590. 5 63. 5
19 日语 2 1 588 588 61 588 61
20 新闻传播学类 5 5 595 593 66 593. 6 66 6
21 历史学类 3 3 595 i 591 64 592. 3 65. 3
22 文物与博物馆学 2 2 592 589 62 i 590 5 63. 5
23 工商管理类 ~ ~ 5 6 594 588 61 590 3 63. 3
24 公共管理类 6 6 592 588 61 589. 2 62.2
08 哲学类 2 1 634 634 76 634 76
09 经济学类 2 2 635 635 77 635 77
lO 法学类 2 2 638 633 75 635 5 77. 5
2021
II 社会学类 2 2 632 631 73 631 5 73.5
12 汉语言文孕 3 ,i 633 633 75 633 75
13 汉语国际教育 2 1 631 631 73 631 73· 268 · 第三章录取统计
I 厂-——一—-录取分数统计-
年份 1, 1 女 t 业 码 飞\11,名称 公布计划1录取入奻 岐的分 I i 最低分 1 最 与分 饥 数 分 平均分 平 与 均 分 分 数
!线苏值 线兑但
E -— l. 14 外曰沿曰文学婓
上
~ ~ ~ 15 II 诏
2021 I 祈闻传播学类
i 尸 17 历• 史学-类 - ^
厂 公共眢理娄 i 1 - r - - 4 r
卜一 — ~. I
I --
I 20 I 经济旱类
勹一二
2 / —
勹
2 6:~~
2 627624-5 二
勹 恼 b25. 5
2 2 t-
6 623
2 2 6
6 62 4 , 5 68. 5
勹r 2 625 624 688 624. 5 68. 5
2 i 624 I 624 68 624 68
. I. l
』 』
』 」 3 5 277 3 385877827573333,747738577
5 2
3 6 4
-8
1
3
6 4 5 3 ------
3
4 6 8
5 3
- 2 5 3
3
6 -
1 3 5
4 5
3 6 』1
g 6 2 2
3 2 4
6
_ 1 3 5饵 5 /
- /I'-4 13 6 3
』 - 邓 5 5 8 1 9 2 3 3 1 5节 3 2
沪 56 3 0 5 5 6 4 3
尸 3 9
g7 1 1 6
, 1 詈
55 1 2
8
5
6
5
5
6
-
3
55- 0 55
98 2
6
55
4
8 5 2 6 9
6 5
5 - 1 5 /
/ ` 5 1 -4 0
8 8
1 4 :55
沉 09 0 55
2 7 237-204131-37
2 邓 5 5 - 2 4 9 -
9 1 5 5
7
95
2
8
64
3
5 1 36
5 5 6上 8 1 -0 5
8 . 9 559 3
0 9 61一 1 1 7 6 8 6 0 5
— / 5 5 7 5 1 79 8 4 0 5 · i 3 2 4 3 6 勹 6 勹 } 5 2 5 6 6 0 : 9 5 9 4 5 6 8 . 4 3 1 38 2 . 6 3
8 1
2 8 66 5 4 07 4 1
5 5
1 6
51 60
9 11 4
- 5
5
6
55 5 l
8 6
5
5 7
- O
5
55
5
7
0
6 3
5
93
2
9
5
2
6
2
7
5
3
5
9 0
5
-
6
0 2
1
1
6
4
1
5
4
6
2
5
8
4
3
3
4
2
0
4
0
1
7
/四、2020—2022年河南省普通高校招生本科一批分专业录取情况统计表(文科) . 269 ·
I 飞取分奴统计
年份 专 代 业 码 专\胆名称 I 公 和计划I录 取人数 最高分最低分 最 晶 低 分奴 分 I 均分 平 与 均 分数 分
I
! l 父_),仇. 线差值
33 历史学娄(仪招少数民族考生) l -i .l I 591 I 580 I 22 I 585 I 27
2021 34 工商符理类 3 3 603 597 -9 599 3 41. 3
35 丁商首理类(仅招少数民族考牛) 5 I 5 I 597 I 576 I 18 I 584. 4 I 26. 4
36 公共管理类 3 I 3 I 595 I 594 I 36 I 594. 3 I 36. 3
15 经济学类 4 4 594 592 36 592. 5 36. 5
矗 I 经济学类(仅招少数民族考生) 7 I 7 I 590 I 578 I 22 I 582. 4 I 26. 4
17 法学类(仅招少数民族考生) 5 5 1 592 1 580 24 585. 2 29. 2
18 法学类 4 I 4 I 601 I 592 I 36 I 596 I 40
19 补会学类 3-- ?- 592 591 35 591 7 35. 7
2O 社会学文(仅招少数民族考生) 3 3 576 569 13 573. 7 l7. 7
21 教育学类 1 2 2 592 591'_产_ 591 5 35.5
22 教育学类(仅招少数民族考生) 3 - 3 583 . 576 20 579 3 23. 3
23 中国话言文学类 i, 6 ^ ^ | 6 ,_.- 597, h l 59l 35 592 7 36. 7
24 中国语言又学类(仪招少数民族考生) I 5 i 5 593 574 18 582 8 26. 8
, ! __
25 外国语言文学类(仅招少数民族考生) 6 6 586 570 14 579. 5 23. 5
2020
26 外国语言文学类 6 I.. 6. 1 599 1 s91 1 35 1 593. 3 1 37. 3
27 日语 \ \ 2 2 592 591. 35 591. 5 35. 5
28 日语(仅招少数民族考生) 3 I 3 I 575 I 570 I 14 I 573 I 17
29 新闻传播学类(仅招少数民族考生) 4 I 4 I 585 I 577 I 21 I 580 I · 24
\ 30 新闻传播学类 _3__ - 3595 593 37 594 38
心'l\』历史学类 4 I 4 I 593 I 591. 35 I 591. 5 I 35. 5
\1,(132 历史学类(仪招少数民族考生) s. s I 583 I 575 i 19 I 577. 2 I 21. 2
33 I商管理类 3 3 595 592 36 593. 3 37. 3
34 丁商管理类(仅招少数民族考生) s I s 1 591 1 575 : 19 1 579. 4 1 23. 4
35 公共管理类 3 3 595 591 35 592 3 36, 3
36 公共管理类(仅招少数民族考生) 3 』- 3 570 570 __J_14 I s10 I 14
1105 北京大学
01 文科试验班类(全校教学资源范围内自由 657 657 130 657 130
选择专业)
03 哲学类 1 1234 6 2421 6 313 1 1 33 2 2 I 2 6 l 6 2 0 3 I 7 - 1 1 33 2 2231112
04 经济学类 6 6 121 I 648.5 I 121.5
05 法学 1 0 0 123 I 656. 3 I 129. 3
06 国际政冶(国政、外交学、国际政经) 6 -•一120 I 649 , 122
07 社会学类 4 6 120 I 647蠕尸 爷 三 ' 入120
08 中国语言文学类 3 9 4 i 117 §47 却f呤飞o.3
2022
09 英语 6 1E 8 l 13 i 642 宾' l l5
10 新闻传播学类 - 6 A、 钩6 11s I 645 _,.__,,, ;飞`中`1,,-~:r l8
11 伪史学类 5 ` 古 65 l 14 I 644勹 117.7
12 考古学 3 6 4 0 112 I 639 I 112
13 城乡规划 5 1 116 I 644. 7 I 117. 7
6
14 信息管理与信息系统 2 6 113 I 640 I 113
15 工商管理类` \ \ 3 6 3 4 143 I 672. 5 I 145, 5
16 公共管理类 4 97 123 I 650. 5 I 123. 5
01 文科试验班类(元培) - 7 66 117 I 676. 5 I 118. 5
03 哲学类 6 44 J 12 I 670 I 112
04 经济学类 2 5 37 116 | 1 675. 5 I 117. 5
05 法学 1 6 ^-1 1 6 678: 312O. 3
06 国际政治(因政、外文学、国际政经) 飞 6 4 6 - l l2 671 113
2021 0 0 0 8 7 9 社 英 中 语 会 同 学 沿 类 言义学类 - 3 2 2 - 3 1 _ 4 4 6 0 6 7 4 4 g 1 旦 l 1 l2 7 2 ,-L I I 5 6 67 7 1 0 1 1 I I 7 1 1 . 1 1 5 3 2
10 新闻传播学类 2 4 0 114 I 672. 5 I 114. 5
1 1 3 1 历 城乡 史 规 学 划 类 l 1 3 3 5 6 6 5 1 1 1 1 1 6 I I 67 6 1 7 . 4 7 I I 11 1 3 1 . 6 7
14 信息管理与信息系统 1 4 0 112 I 670 I 112
1 15 6 工 公 商 共 管 管 理 理 类 类 l2 砃 8 6 6 6 1 1 1 17 2 I I 67 6 0 7 . 5 5 I I 11 1 2 1 . 7 5
7 7
, 4 1 5
8
6
6
3 7
3
0
9
6
3 6
7
4
4
1 6
6
6
7
4
2 4
0
6
6
7
1 7
0
5
6
l 6
7
5
0
1
l 6 6
7 7
3 8 5
6 6
7 7
-
0 0
6 6
7 7
7 2
6 6
8 6
7 9
6 6
7 7
2 4
6 6
7 7
0 0
6 6
7 7
6 5
6 6
7 7
2 0
6
7
3
6
7
4
6
7
4
6
7
0· 270 • 第三章录取统计
录取分数统计
专业 最低分 平均分
年份 专业名称 公布计划 录取人数
代码 最高分 最低分 与分数 平均分 与分数
线差值 线差值
文科试验班类(全校教学资源范围内自由
01 1 3 673 671 115 672 116
选择专业)
02 人文科学试验班 2 l 679 679 l23 679 123
l
04 经济学类 I 2 671 670 114 670. 5 114. 5
05 法学 3 7 ! 672 666 llO 668 4 112.4
06 国际政冶(国政外父学国际政经) 3 _ 4 』 667 663 107 664. 5 108. 5
08 中国栝言文学类 2 2 665 665 l09 665 109
2020 09 英语 3 I 662 662 106 662 106
10 新闻传播学类 2 3 669 665 109 666. 3 110. 3
l l 历史学类 1 1 661 661 105 661 105
12 考古学 I 1 661 661 105 661 105
13 城乡规划 3 1 667 667 l l l 667 111
14 信息管理与信息系统 3 1 661 661 105 661 105
\5 丁商管理类 1 2 677 674 1 18 675. 5 119. 5
, -
16 公共竹埋类 :'?-产 2 3 ~~ 667~ ~七`~ 1 666 llO 666. 3 i 110. 3
.
1110 中国人民大学
一了-夕0-~3-,-` 一-·- _--, 社学会位科环子 目) 试验班( 学科.类了亡,含..双.. • 1 • 飞学 士 .. 7 I 9 642 624 97 629. 7 I 102. 1
\ d 人文科产试验班(含双学士学位项目,拔
3 3 I 637 634 107 635 3 108. 3
\\ ' \兑 ,' - 尖人才培养帮地)
经济学类(含双学士学位项目,拔尖人才
05 5 5 634 631 104 632. 6 105. 6
培养基地)
06 金础学类(含双学上学位项目) 2 2 636 630 103 633 106
2022
07 法学(含双学士学位项目) 3 3 639 638 111 638. 7 111. 7
08 国际政治(含双学士学位项目) 5 5 632 627 100 629. 8 102. 8
09 籵会学类(含直博项目) 3 2 629 626 99 627 5 100.5
10 新闻传播筝矿(含双'? l学位项目) 4 3 631 625 98 627 100
11 工商节珅类(含国1勹二丫士学位项目、双 5 I 5 638 631 10,1 634 107
学士字伈项H)
12 人力资闻管理(含4+1 本硕国际项目) 3 3 635 627 100 I mo 103
04 社会¥1.,门八肣班(管理平抖类) 7 ! 9 665 662 104 6一62.9 i口 104. 9
05 人文科午试验班 2 5 669 662 104 664 106
06 经济学类 5 5 668 666 108 666. 6 108. 6
07 金融学类 2 2 668 667 109 667. 5 109. 5
2021 08 法学 3 3 669 668 llO 668. 7 110. 7
09 国际政治 5 5 666 663 105 664 106
II 新闻传播学类 4 4 667 666 108 666. 3 108 3
12 工商管珅奀 6 6 夕 668 663 105 664, 7 106. 7
...、夕
13 人力资源管押 六:,了 三玄 3 l 662 ~ 662 104 662 104
:
04 社会科学试验班(符_ 令`心 8 8 654 653 97 6生34 97.4
夕
05 经济产甚 之 气尸飞 5 5 658 655 99 656'1 100.4
06 金融扣类 -心~~ /~i 3 飞 658 655 99 657 101
:,:
07 法学 3 3 661 660 104 660 7 104. 7
2020 08 国际政治(以学校公布分流专业为准) 3 3 658 654 98 655. 3 99. 3
09 社会学类 4 4 655 654 98 654. 5 98, 5
10 新闻传播学类 3 3 659 656 100 657 101
11 丁商管理类 6 6 660 655 99 657. 2 101.2
12 人力资源管理(以学校公布分流专业为准) 3 3 655 652 96 653. 3 97. 3
1113 中国人民大学(苏州校区)
01 国民纾济节即(中外合作办学) I l 598 598 71 598 71
2022 02 金融羊(中外合 . 竹 . 力 一 学) 2 608 602 75 605 78
-l”~"
03 传播学(中外合仵办学,国际新闻传播力向) I I 600 600 73 600 73
,,,_, -- -- I
2021 01 金融学(中外合作办羊) 2 2 637 636 78 I-~6 36 5 ; 78.5
02 人力盗森管理(中外合作从学) 2 2 616 604 46 610 52
2020 01 金融'j,(中外合仵办学) 3 i 3 644 636 8() 639 83四、2020-2022年河南省普通高校招生本科一批分专业录取情况统计表(文科) • 271 •
录取分数统计
公布计划1录取人妏I 最—凶/分-/ JJ人1低分 最与低分数分 平均分 平均分
专业名称 II
勹分数
二
线差值 线汇怕
管袒 1 I4 663 652 125 655. 5 128, 5
管
职 1 3 689 677 119 682. 3 124. 3
痢 1 2 672 669 113 670. 5 114. 5
管 1 2 678 672 116 675 119
三
一
卢厂
二
—
二
2-3-2-3-3-3I
2 571 I 571 44 571 44
3 574 ! :i73 46 573. 3 46 3
45 605 47
三~: 46 607. 7 49. 7
41 599.3 43. 3
2020
()飞 45 604 48
l
1125 东南人学 “
7-2-3-7-27-l32-l1307_'l23- 3-10_3
03 文科试验班类 609 I 605 I 78 I 606. 7 I 79. 7
2022 二 政治学与行政学 605 I 605 I 78 I 605 I 78
05 英语 605 I 605 I 78 I 605 I 78
03 文科试验班类 645 I 641 I 83 I 642. 1 I 84. I
2021 04 政治学与行政学 6401640l82l6401 82
05 英语 640!6401821640I 82
03 文科试验班类 .一 633 i 63 t I 75 I 632_ I 76
2020
113() 复 l 门大 0 学 4 _ 言 英语 630 630 心 74 ; : 一 _- ; - \ - ,, `~ 飞 , 1630\、、 74
心名次 臣气、气氏
厂二l社笱斗学试验班 一 4 2 丁 634丁 633 --l06 633.5 106厂
02 经济管理试验班 了 2于·今 \/ 1 '6318 ! 638 了泛 --- 111 乙638 1 11
03 经济学类(拔尖学生培养基地) 3一 5 - 638 636 109'勺'I 636.s I 109.s
2022 04 认学(卓越法律人才基地) 1 1 633 633 106 633 106
-
05 中国语言文学类(拔尖学生培养基地) 2 638 634 107 636 109
1
06 新闻传播学类(卓越新闻人才计划) - 3 I 635 I 633 I 106 I 633. 7 I 106. 7
07 历史学类(拔尖学生培养基地) 4 I I 633 I 633 I 106 I 633 I 106
01 社会科学试验班 - 4 I 665 I 663 I 105 I 664 I 106
1
02 人文科学试验班(拔生子牛烙养尪地) 2 I 665 i 663 I 105 _.. I 664 I I 06
2021 口 I)3 \经济 经 学 济 类 管 ( 理 拔 试 尖 验 学 班 生坛养且地) _ 4 4 i 67 l I 668 / -110 / 669 i l I l
- 3二 三I 6-69 -I 三66678 I · 109 I 66676.8 7 I …I 0严9. 7
05 法学(卓越法律人才尪地) 2 110
一二 。6t新闻传播学类(卓越加向人才}i划) - 2 I 664 I 663 I 105 _ I 663. 5 I 105. s
2
()] 经济管理试验班 - 2 ~ I 661 . I 660 I 104 I 660. 5 i 104. 5
02 经济学类 3 4 I 659 I 657 I 101 I 658 I 102
03 法学(卓越法律人才基地) - 2 I 657 I 657 I 101 I 657 I 101
2020
04 中国语言文学类 1 1 I 662 I 662 I 106 I 662 I 106
-
05 新闻传播学类(卓越新闻人才计划) 2 I 659 I 658 I 102 I 658. 5 I 102. 5
4
06 历史学类 - 1 I 658 I 658 I 102 I 658 I 102
1131 复日大学医学院 2
二 。1 1 护理学
-2 2
586 ]
. ..
581 54 583. 5 i 56. 5
3
-
1
-
1
-
3
-
1• 272 • 第三章录取统计
录取分数统计
专业 最低分 平均分
年份 专业名称 公布计划 录取人数
代码 最高分 最低分 与分数 平均分 与分数
线差值 线差值
1135 湖南大学
03 人文科学试验班 2 2 603 601 74 602 75
04 经济学类 5 5 603 598 71 600 73
05 金融学 2 2 603 601 74 602 75
06 法学 3 3 601 600 73 600. 3 73. 3
07 汉语言文学 2 2 601 601 74 601 74
2022
08 日语 5 5 599 597 70 597. 8 70. 8
09 新闻传播学类 4 4 601 598 71 599 72
10 工商管理 2 2 601 599 72 600 73
11 会计学 1 1 602 602 15 602 75
12 行政管理 2 2 598 598 ,7 1 598 71
03 人文科学试验班 2 2 639 639 8.1 639 81
04 经济学类 5 5,又 636 635 i, 77 ` 635.4 77.4
05 金融学 2 -士,.r, ``\ \` `.,: 2'`、 L636 63`,6俨`` 78"飞 636 78
06 国际经济与贸易 立人` ·· \ l ~` >. 1 635 635 , t, 77 635 77
2021 0 0 7 8 法 汉语 学 言文学心 .,> `~ ` ~ 飞 S 1 \ 3 2 T 2 3 ', - ` 1 - \\ 6 6 3 37 5 、 '6 6 3 3 6 5 7 7 8 7 63 6 6 35 . 3 78 77 . 3
09~ - 瑛语~,“ 4,§ 3\' 3 637 635 77 636 78
\} l b勹 ,俨 `\,日'语,,`} R ,名`i,\ `,,•:,,.·.,'L ,', `,,i ,' 5 5 635 634 76 634. 8 76. 8
\\丿'\ 新闻传播学类 、 4 4 637 635 77 635. 5 77. 5
11,-
爪'12 \' 工商管理了3飞尸 · 2 2 637 63S 77 636 78
1l3,为\ 会计学 l 1 645 645 87 645 87
\心,'t`寸14 行政管理 2 2 635 635 77 635 11
03 人文科学试验班 2 2 628 627 71 627.5 71.5
04 经济学类 4 4 627 626 70 626. 3 70. 3
05 金融学 2 2 631 628 72 629. S 73. 5
06 国际经济与贸易 1 1 628 628 72 628 72
07 法学 5 5 629 626 70 627.2 71. 2
08 汉语言文学 2 2 627 625 69 626 70
2020
09 英语 1 1 624 624 68 624 68
10 日语 5 5 628 624 68 625 69
11 新闻传播学类 4 4 628 625 69 626 70
12 工商管理 2 3 626 625 69 625. 7 69. 7
13 会计学 2 2 631 629 73 630 ,_,7.4
14 行政管理 4 4
;邸?;;妇`6;9 五I :625.,言.,
1140 华中科技大学
3
09 哲学 3 3
10 社会学类 4 4 伍,
11 中国语言文学类 4 - -泛; 4少 609 1 606 79 -,;户 `.607;.8\ ,、 80.8
12 芯 612"' 610, 皂飞匀83心` 611 84
2022
13 荨了勹勹 ,~10,夺·,§ 门的41, 77 606.2 79.2
14 凶屯l7 607 80 609. 4 82.4
15 606 605 78 605.3 78.3
16 607 605 78 605. 8 78. 8
19 643 640 82 641 83
20 社会学类心'·》'··-'-、;三=,夕 4 4 641 640 82 640. 3 82. 3
21 中国语言文学类 4 4 641 641 83 641 83
2021 22 新闻传播学类 8 8 646 643 85 644. 5 86.5
23 建筑类(智慧建筑规划试验班,学制5年) 6 6 643 640 82 641. 3 83. 3
24 工商管理类 7 7 645 642 84 642. 7 84. 7
25 公共管理类 10 10 642 640 82 640. 6 82.6
09 法学 4 4 633 631 75 632.3 76. 3
10 社会学类 4 4 631 630 74 630.5 74. 5
11 中国语言文学类 4 4 636 631 75 632. 8 76.8
12 新闻传播学类 8 8 635 632 76 633. 3 77. 3
2020
13 建筑类(智慧建筑规划试验班,学制5年) 4 4 630 630 74 630 74
14 工商管理类 7 7 633 632 76 632. 6 76. 6
15 国际商务(英语二学位) 3 3 631 631 75 631 75
16 公共管理类 8 8 631 630 74 630. 8 74.8.
四、2020一2022年河南省普通高校招生本科一批分专业录取情况统计表(文科) 273 •
录取分数统计
专业 [最低分 1 平均分
年份 女中名称 公布计划 录取人数
代码 最高分 最低分 勹分数 『均分 与分数
1 线差(fi· i 线差值
1145 吉林大学
08 人文科学试验班(匡亚明班) 2 2 605 605 厂 i 605 78
09 哲学 2 卜—- 2 601 599 72 600 73
10 经济学类 12 12 606 601 74 603. 3 76. 3
11 法学 7 7 613 606 79 608. 7 81. 7
12 政治学与行政学 4 4 601 601 74 601 74
13 社会学类 3 3 600 599 72 599. 3 72. 3
2022 14 汉语百文学 2 2 605 603 76 604 77
15 英语 5 5 600 598 71 599 2 72. 2
16 俄语 4 4 599 599 72 i 599 72
17 新闻传播学类 6 6 604 599 72 600. 8 73. 8
18 历史学 2 2 600,' ,-600 73 600 73
19 考古学 2 2 三 ~604 600 73 602 75
20 广播电视编导 4 4.cc 了585 : ~ 583 56 , 584 57
--
08 人文科学试验班(匡亚明班) - - ' 4 , ,一 4 `—· ·636 635 77 635. 5 77.5
09 哲学 4' 4 633 631 73 631. 8 73. 8
10 经济学类(经济学院) 12 12 637 634 76 635. 6 77. 6
11 法学 ` 7 7 645 637 79 640. 3 82, 3
12 政治学与行政学 4 4 635 633 75 633. 8 75. 8
13 社会学类 3 3 632 632 74 632 74
_ 14 思想政治教育 2 2 632 632 74 632 74
202『
l5”--歹 ,了汉语言文羊 2 2 634 634 76 , 634 76
| 16 英语 6 6 634 632 74 632. 8 74.8
17 俄语 2 2 631 631 73 631 73
18 U语 4 4 633 632 74 632 5 74.5
19 新闻传播学婓 6 6 636 632 74 633. 7 75. 7
20 历史学 2 2 634 632 74 633 75
21 考古学 4 4 635 631 73 632. 5 74. 5
22 广播电视编导 4 4 611 610 52 610. 5 52. 5
06 哲学 4 4 625 623 67 624 68
07 经济学类(经济学院) 12 12 629 625 69 626.3 70. 3
08 法学 5 5 633 631 75 632 76
09 政治学与行政学 4 4 626 625 69 625. 5 69. 5
10 什会学类 5 5 627 622 66 624 4 68.4
11 汉思-语和--政言义冶·学教-育- 5 5 626 621 65
12 4 4 627 626 70 厂`
2020 13 英语 3 3 625 622c 卜一“”“ 66
14 俄语 6 6 位3勹.·· 621~ 65 621 8 --砬8
15 日语 飞 r- 3 c七'l- 62({二飞 624 68 6251 J `. 尸:尸 69
16 新闻传播学类 6\ 6 625 622 飞 66.', 623. 2 67. 2
17 历史学 4 4 626 623 67 624 68
18 考古学 了-\虚, \\ 4 4 624 622 66 622. 8 66. 8
19 戏剧与影视学类 - 5己·\3 ,',5 611 600 44 602.4 46. 4
1150 江南大学 ',\ -,\'', - --',', -/---一飞,
11 国际经济与贸易 5 6 577 575 48 576 49
12 汰芦 _,'-,_ 4 4 578 577 50 577. 3 50.3
13 补会_j_-,作 4 5 577 575 48 575. 6 48. 6
2022 14 小学教育(师范) 5 5 577 575 48 575. 6 48. 6
15 汉束言义学 ,.、8 8 583 576 49 578.4 51.4
16 英语 5 5 576 575 48 575. 8 48. 8
17 「商管理(中外合仵办学) 3 3 569 566 39 567 3 40. 3
11 国际经济与贸易 5 6 621 617 59 619. 8 61. 8
12 法学 4 4 626 623 65 624 66
13 社会工作 6 6 620 599 41 610 52
2021 14 小学教育(师范) 5 4 615 605 47 608. 5 50. 5
15 汉语言文学 8 8 623 606 48 613 55
16 英语 6 6 624 617 59 619. 8 61. 8
17 丁商忤珅(中外合作办学) 3 3 601 600 42 600. 7 42. 7· 274 · 第三章录取统计
录取分数统计
专业 最低分 平均分
年份 专业名称 公布计划 录取人数
代码 最高分 最低分 与分数 平均分 与分数
线差值 线差值
10 国际经济与贸易 5 5 617 615 59 615. 6 59.6
11 法学 4 4 618 615 59 616. 5 60.5
12 社会工作 4 4 614 612 56 612. 5 56. 5
2020
13 汉语言文学 8 8 616 611 55 613. 4 57.4
14 英语 5 5 616 612 56 613. 6 57. 6
15 工商管理(中外合作办学) 2 2 597 559 3 578 22
1155 兰州大学
07 哲学 3 3 591 591 64 591 64
09 经济学(基地班) 2 2 597 595 68 596 69
10 法学 2 2 595 593 66 594 67
11 政治学类 3 3 592 心5-9-1 f- .,,包 591. 3 64. 3
12 马克思主义理论类 3 3 ~一了594 o俀;也 '',玄心,~文,心芍,,d'-9, 1 t; 乏,也3 592.3 65. 3
13 汉语言文学 2 `s 二 2 五零的8 : 心今冲-“,、只为为心,96 、 " 69 597 70
2022
14 俄语 云 4 4 艾 气的1 59o"气 俨厂63 千 590. 5 63.5
1 1 5 6 德 新 语 闻传播学类 、· 心`它 心 ? l`` 3 2 ,飞; 3 2 占,飞 心飞J 5 5 ` 叩 9占2 飞 , 古',,: ,5 5 王 9 9- 1 0 ' 6 6 3 4 59 5 1 9 . 0 5 6 6 4 3 .S
17 _ 广告学::` I ',“2气一, ,` 2 591 591 64 S91 64
.I.AB·二-.I 历`史学类产-:己、产?, \、,'心,',仁 _, 4 4 593 592 65 592.3 65. 3
`!.“丛$,去
\ \I心 于' \ --l9/ 工商管理类 -'¥文仑44 3 3 593 592 65 592. 3 65. 3
\\ \ `1'七 07,\一_ 哲学乏`飞二~;· - ,\ 、-``“.. 父.飞• 3 3 629 627 69 628 70
.,..0.8.- .\_. 经济学(基地班) 2 2 634 631 73 632. 5 74.5
,
'J , -_t, 09 政治学类 3 3 630 629 71 629. 7 71. 7
10 马克思主义理论类 3 3 629 628 70 628. 3 70.3
11 汉语言文学 2 2 633 631 73 632 74
12 俄语 3 3 629 628 70 628. 3 70. 3
2021
13 德语 3 3 628 628 70 628 70
14 法语 3 3 630 627 69 628. 3 70. 3
15 新闻传播学类 2 2 630 629 71 629. 5 71. 5
16 广告学 2 2 629 628 70 628.5 10. 5
17 历史学类 4 4 632 630 72 630. 8 72. 8
18 工商管理类 2 2 630 630 72 630 72
02 经济学类 2 2 621 619 63 620 64
03 法学 2 2 621 620 64 620.七5L飞·飞 气\64.5
04 政治学类 3 3 619 618 62夹、`飞了\飞J618.7;心 -俨S`屯 1`:`:\1 6 2 . 7
05 汉语言文学 2 2 625 62Q扣气-'$, 64气,勹』622.5 I'六 66.5
2020 0 07 6 英 俄 语 语 4 2. . __. g 4 , ::`子 6 6 2 1 心0 8、 、 :. 竺 '式 ` t五二 .r . - 让.-千`? .i 、l .了 ,心 6 6 1 1 .9 8 夕.芬, ,L”今,今`、·L心 “ '户 I 七 勹 6 6 3 2 f\ :` 了 6 6 1 1 9. 8 勹 5 ` 63 6 . 2 5
08 新闻传播学类 .., 巧气啋,_:;, 3产? ,;; 618'0 618七,一-s 飞562亡::a 618 62
09 广告学 宁"气卢,气弓,1委寻…宅..,.才1才",心3?,,'六,C·,令,七 三沪忙'忒,~穸,总心,,勹 飞2荽:'I' 2 ”-· 6J8 飞,~ ·c,`` 621 8 62 618 62
10 历史学类 --- , ,,, 3 干33,.. :; ,620令 619 63 619. 3 63. 3
11 工商管理类\一-' 勹f'.;2皂\ 3 : 2 621 620 64 620.5 64.5
1160 南京大学 \' \i 、:~",飞-`'.1\ :, . `__..I,-一,,-夕-了'L一 又户亡._., -S 芒飞S
01 社会科学试验班 f " 3 ·,~·. ,,少, 6 6 630 628 101 628. 8 101. 8
02 人文科学试验班(入文艺术传播类) 1 2 630 627 100 628.5 101.5
2022
03 经济管理试验班 7 8 629 626 99 628 101
04 汉语言文学 1 1 629 629 102 629 102
01 社会科学试验班 2 7 661 659 101 660.4 102.4
03 经济管理试验班 7 7 661 659 101 660. 3 102. 3
2021
04 汉语言文学 2 1 660 660 102 660 102
05 外国语言文学类 1 1 661 661 103 661 103
02 社会科学试验班 2 4 656 650 94 651. 8 95. 8
2020 03 经济管理试验班 7 7 654 649 93 650. 9 94.9
04 汉语言文学 5 5 655 650 94 651. 6 95. 6四、2020-2022年河南省普通高校招生本科一批分专业录取情况统计表(文科) • 275 •
录取分数统计
专业 最低分 平均分
年份 专业名称 公布计划 录取人数
代码 最高分 最低分 与分数 平均分 与分数
线差值 线差值
1165 南开大学
06 经济学类 3 7 625 619 92 620.6 93. 6
07 金融学类 5 5 626 620 93 622.2 95.2
08 法学 6 11 623 614 87 617. 9 90. 9
09 中国语言文学类 5 6 621 615 88 617.5 90.5
2022
10 历史学类 6 3 618 614 87 616. 7 89. 7
11 工商管理类 8 4 616 613 86 614.3 87.3
12 公共管理类 5 3 622 611 84 618 91
13 电子商务(中外合作办学) 5 5 597 592 65 594. 6 67. 6
06 经济学类 3 11 659 653 -95 654.5 %.5
07 金融学类 5 10 心饥 656.4 98.4
霪气勋嫡 6郅55 合
08 法学 6 7 勉屯 651. 6 93.6
-§
92 652 94
2021 吵,言。 中国语育文屯学一类 主5 了飞、L另,:
' l01'夕 659 101
11 r) /` ;;; , 654'-|、泸邸o 92 651. 6 93. 6
12 匀'一',651` 651 93 653.3 95. 3
13 634 627 69 629. 8 71. 8
-啖三 647 646 90 646.2 90.2
细\ 贮姊召牛金融学类 ?4沪一§心心坛'_S飞`,飞心\ ? 4 6 649 647 91 648.2 92.2
;``
\ \07 了二 --法·学一女'-于-多九 1 户 5 6 647 642 86 643. 7 87. 7
L.
Q8~i; 立;,中国语言文学类 7 3 643 640 邸 641. 3 85.3
~09 历史学类 4 3 649 642 86 645. 7 89. 7
10 工商管理类 8 8 645 642 86 643. 8 87. 8
11 公共管理类 9 9 648 640 84 642.9 86. 9
1170 山东大学
08 哲学类 3 3 603 600 73 601. 7 74. 7
09 经济学类 6 6 607 603 76 604. 8 77. 8
10 法学类 3 3 607 603 76 605 78
11 政治学类 3 3 601 599 72 599. 7 72. 7
12 社会学类 3 3 601 599 72 599. 7 72. 7
13 中国语言文学类 6 6 608 605 78 606.3 79.3
2022 14 汉语国际教育 2 2 602 599 72 600.5 73.5
15 外国语言文学类 14 14 605 598 71 600.于 三六73.1
16 新闻传播学类 2 2 605 603 76令念守'" , 77
17 历史学类 6 6 603 60Q,;吟 .5
18 工商管理类 10 10 6 丈', 7 .2 ,_. f ,75_. 2
19 公共管理类 2 601 74 `,- !C ; :6032 二', ;斗 75
20 护理学 579悼 574, 飞\拉”歹 576 49
03 哲学类 亡飞 2 , 6,3,6,-`,,, ' l;~嘈L1. ` `~、 ,' 63c 6i` ' ` 78 636 78
0 05 4 经 法 济 学 学 类 类 产了爪 '/ .. 三 : 众 j ' ~ \\ \ I \ $ 泾- ,`飞, 4 3皇 -.\l三-? -t e 4 3 沪\飞 64 45 4 - 6 6 4 3 0 9 8 81 2 6 6 4 4 2 1 . . 3 3 8 8 4 3 . . 3 3
06 鳍学俨类仁汇孕 \ $,'"产,.'"',',:.士K 2 2 631 637 79 637 79
·;.,,,
07 社会学类尸 克``卢心 3 3 638 637 79 637.3 79. 3
08 中国语言文学类乒- 6 6 642 638 80 639. 7 81. 7
2021
09 外国语言文学类 15 15 640 636 78 636.3 78.3
10 新闻传播学类 2 2 637 637 79 637 79
11 历史学类 6 6 638 636 78 636. 7 78. 7
12 护理学 2 2 607 605 47 606 48
13 工商管理类 10 10 639 637 79 638 80
14 公共管理类 2 2 638 636 78 637 79
04 哲学类 2 4 638 623 67 629.3 73.3
05 经济学类 4 4 634 632 76 632.8 76.8
06 法学类 5 5 631 629 73 629.6 73.6
2020
07 政治学类 2 2 629 629 73 629 73
08 社会学类 3 3 627 627 71 627 71
09 中国语言文学类 4 4 631 629 73 630 74· 276 • 第三章录取统计
录取分数统计
专业 最低分 平均分
年份 专业名称 公布计划 录取人数
代码 最高分 最低分 与分数 平均分 与分数
线差值 线差值
10 外国语言文学类 16 16 633 626 70 627. 7 71. 7
11 新闻传播学类 2 3 629 628 72 628, 3 72. 3
2020 12 历史来类 6 6 628 627 71 627. 3 71. 3
13 工商管理类 8 10 631 628 72 629. 5 73.5
14 公共眢理类 2 2 628 627 7 l 627. 5 71. 5
1173 山东大学威海分校
08 经济学类 2 2 598 598 71 598 71
09 法学类 3 3 597 597 70 597 70
10 国际政治 3 3 596 595 68 595. 3 68. 3
11 汉语言文学 2 2 598 596 69 597 70
2022 12 外国语言文学类 3 3 595 594 67 594. 7 67. 7
13 新闻学 2 2 596 596 69 596 69
14 工商管理类 3 3 _ -- 595 594 67 594. 7 67. 7
15 金陳学(中外合作办学) 2 - _ 5 2 592 591 64 591. 5 64. 5
09 经济学类 -尸飞| 2 2 631 '6-3/ 1 73 631 73
10 金融学(中外合作办学) 夕;i '` IY 2 2 ,,! 、6孔2二:7- 625 67 626 68
11 料法学类 一; i“4 4 634 631 73 632 74
| -l2 -/ ,国际政叶, 产己 ,玄,京,了 3 3 633 630 72 631 73
2021 '俨:~ 一_~尸 ,, \\ -13二 汉语百文学 ~飞飞,.. 2 2 634 632 74 633 75
`'\('
外国语言义学类 4 4 ! 632 630 72 630 5 72. 5
`-11.54 \ _ 新闻学 3 3 631 630 72 630. 3 72. 3
16 T商管理类 2 2 634 631 73 632.5 74. 5
09 经济学类 2 2 627 625 69 626 70
10 令融学(中外合作办学) 2 2 619 619 63 619 63
11 法学类 4 4 623 621 65 622 66
12 国际政治 2 2 622 620 64 621 65
2020 13 中国语言文学类 2 2 一~i- 622 620 64 621 65
14 外国诏曰义才义 7 7 622 620 64 620 6 64.6
15 新闻学 2 l 2 621 621 65 621 65
16 工商管埋光 5 5 625 621 65 62:, 61
1175 四川大学
“~
13 哲学 1 I 608 608 81 608 81
14 经济学类 4 4 610 608 81 609 82
15 汉语百文学(基地班) 2 2 609 607 80 608 81
16 英语 1 1 606 606 | 79 606 79
2022
17 历史学类 l 1 607 607 .· 80 607 80
18 丁商管理类 5 5 607 604 77 尸 605i2 78. 2
19 3 601 598; \,, 71 599 7 72.7
旅游忤理1: 三勹//
20 美术学(理论研究) ,~ 4 59l \ | 5C8i 54 586 59
11 经济学类 地班) 兑~,~,产r 4 645 643 85 643. 8 85. 8
--·--··-
12 汉语口义学(牍 I今 2 3 643 641 83 642 84
2021
13 旅豆游管埋(即类论研亢) S <;-'- 3 2 641 641 83 641 83
14 :飞?;~今- 5 5 626 604 46 613. 4 55.4
,
13 经济学类 4 4 636 633 77 634. 8 78. 8
14 法学 2 2 638 636 80 637 81
2020 15 新闻传播学类 2 2 637 633 77 635 79
16 会计学(ACCA) 2 2 633 632 76 632. 5 76. 5
17 旅游管理类 3 3 633 632 76 632. 3 76. 3
1180 武汉大学
04 文科试肣班类(弘毅筝1:tPLE试验班) 2 2 627 625 98 626 99
05 社会科学试验班(估息眢理类) 11 II 621 615 88 618 91
06 人文科学试肣班(弘毅学堂) 4 4 625 623 96 624. 3 97. 3
2022
07 哲学类(含哲孕同豕拔尖学生培养基地) 2 2 618 617 90 617 S 90. S
08 经济羊类(含经济孚旧家拔尖学生培养基地) l7 17 626 622 95 623. 5 96.5
09 法学(含国际法试验班) 10 IO 627 624 97 625. 5 98. 5.
四、2020一2022 年河南省普通高校招生本科一批分专业录取情况统计表(文科) 277 •
录取分数统计 平均分
年份 女寸1, 专业名称 公布计划 录取人数 最与低分分数 平均分 i 日分妏
代码 最高分 最低分
线差值 线扣值
十
10 政治学类 5 5 621 617 90 618. 8 91. 8
11 补会学(知行试验班) 3 3 617 615 88 616 1 89
中国语言文学类(含中国语言文学国家拔
12 9 9 620 618 91 619. I 92. 1
尖学生培养基地)
13 外国语言文学类 2 2 622 615 88 618. 5 91. 5
新闻传播学类(含卓越新闻传播人才教育
14 6 6 625 620 93 b俨4呻1,j^ 94.3
2022 培养计划)
l5 历史学类(含历史学国家拔尖学生培养基地) 2 2 617 615 88 616 89
16 心理学 2 2 618 616 89 617 90
17 1 丁商管理类 14 14 622 6l6 89 618. l 91 1
18 ”“ 1 公共管理类 3 3 621 , 617 卢/4$c69060. 618. 7 91 7
19 !护理学 2 2 587 587 3 587 60
20 公共卫生与预防医学类(f制5年) 10叶10 守 601 590 594.3 67. 3
l 05 字」会科学试验班(信息管理类) 11 12 659 ,! 650 ,' ` 尧 i92-~ 652.1 94 1
06 人文科学试验班(弘毅学堂) 户 3 3 656 , 655 97 655. 7 97. 7
07 哲学类(含哲学国家拔尖学生培养基地) 2 2 649 636 78 642. 5 84. 5
08 经济学类(含经济学国家拔尖学生培养基地) 10 11 657 653 95 654. 3 96. 3
- 09--, 法学(含国际法试验班) , 14 17 659 655 97 656. 4 98.4
'19;::: 政治学类 ~ \ 5 5 654 649 91 650. 6 92. 6
I l 社会学(知行试验班) 4 2 650 648 90 649 91
中国语言文学类(含中国由百义学国家拔
12 12 13 6.'i4 649 91 651.2 93, 2
2021 尖学生培养基地)
13 外国语言文学类 4 3 653 648 90 650 92
14 新闻传播学类(含卓越祈闻传播人叮教育 6 8 654 652 94 653 95
培养计划)
15 历史学类 5 4 651 ! 648 90 649.5 91. 5
17 公共卫生与预防医学类(学制5年) 8 8 634 607 49 623. 9 65. 9
18 护理学 3 3 624 620 62 622. 3 64. 3
19 工商管理类 16 16 658 648 90 650. 6 92. 6
20 公共管理类 5 3 652 648 90 650. 7 92. 7
05 社会科学试验班(信息管理类) 11 JO 646 639 83 641. 8 85. 8
06 人文科学试验班(弘毅学堂) 5 6 649 644 88 646 90
07 咚济学类 10 11 648 644 88 645.心4 `', 89. 4 ..
08 认学(卓越法治人才教合培养汁划) 12 14 652 646 9 i. 4
了萎二
09 政治学类 3 3 642 640, 85
~ ~ ~ JO 计会学类 4 639 639 f 83 639 83
^心3夕
202() 11 中国语言文学类 10 亡 n51 ,, ; 641 639 L~~-『 83 i ;;“O) 84
12 外国语言文学类 飞'·, 648 639 '83 642 86
新闻传播学类(卓越新闻传播人才教育培
13 养计划) , 8 l 3 I 649 642 86 643. 5 87. 5
14 历史学类 6 4 643 639 83 640 84
16 公共卫生与预防佚学类(学制5年) 5 5 631 623 67 626. 6 70. 6
17 护理学 4 4 615 612 56 613. 3 57. 3
18 上商管理、类卢 10 13 643 640 84 641 85
??
1185 西安交通大学
04 文科试验班类 9 9 615 605 78 608.4 81 4
2022
05 外国语言文学类 4 4 615 604 77 607.3 80 3
03 义科试验班类 8 8 647 641 83 642.5 1 84. 5
2021
04 外国语言文学类 4 4 641 640 82 640. 5 i 82'i
....
2020 03 外国语言文学类 2 2 632 631 75 631. 5 75. 5
1189 西交利物浦大学
01 外国语正文学类(中外合作办学) 5 10 557 529 2 539. 7 12. 7
02 数学类(中外合作办学) 15 8 550 529 2 536. 6 9. 6
2022
03 建筑类(中外合作办学) 8 7 538 531 4 533. 4 6. 4
04 工商忤理类(中外合作办学) 22 28 570 527 。 544. 7 17. 7· 278 · 第三章录取统计
录取分数统计
专业 最低分 平均分
年份 专业名称 公布计划 录取人数
代码 最高分 最低分 与分数 平均分 与分数
线差值 线差值
01 外国语百文学类(中外合作办学) 8 12 598 566 8 577 19
02 数学类(中外合作办学) 14 12 600 570 12 579. 3 21. 3
2021
03 建筑艾(中外合作办学) 7 7 596 569 11 582, 4 24.4
04 工商管珅类(中外合作办学) 22 28 608 565 7 581 5 23. 5
01 外国出百文学类(中引合作办学) 7 17 595 566 10 581 5 25.5
02 数学类(中外合作办早) II 6 594 568 12 582. 2 26.2
2020
03 建筑类(中外合作办';七) 7 3 570 569 1飞 569 3 13. 3
04 工商忤埋类(中外合作力学) 20 24 598 565 9 583 27
1190 厦门大学
15 人文科学试验班 4 4 615 611 84 613 86
16 经济学类 4 4 618 613 86 616. 3 89. 3
17 法学类 3 3 613 612 85 612. 3 85. 3
18 社会学类 2 2 610 610 83 610 83
19 外国语言文学类 4 4 611 607 80 609 82
外国语卢文羊类(外国语言文学加会计或.._·_.:气匕 ,'..,-俨:\
20 2 2 •,. 6 1 1 611 84 611 84
财务)
21 新闻传播学类 ; 一~ 2 2 613 612 85 612 5 85.5
笃尸心 ' 工商管理类 于 1 I 611 611 84 611 84
编'\、
202 \ 2\ `? .,-, , \笃 i 会计乍(含会』财务审计) 2 2 621 620 93 620 5 I 93.5
'\,-324',, 公共管埋类(含政治) 5 5 611 608 81 609. 6 82. 6
汉语言文学(厦门大学马来四亚分校招生
25 I 1 573 573 46 573 46
女业)
26 英语(厦门大学马来西亚分校招生专业) 1 I 574 574 47 574 47
27 新闻学(厦门大学马来西亚分校招生专业) 2 2 573 572 45 572. 5 45. 5
28 广告学(厦门大学马来西亚分校招生专IV) 2 2 571 570 43 570. 5 43. 5
29 会(厦门大学弓来西亚分校招生专业) 2 2 581 575 48 578 51
30 国际商务(厦1 ]大孚马来西亚分校招生专业) 1 I 571 571 44 571 44
13 人文利学试扲班 俨俨俨 5 ; 5 646 645 87 645 6 87. 6
14 经济学类 4 4 647 646 88 646 5 88.5
15 法学类 3 l 3 648 647 89 647 3 89. 3
16 政治子类 2 ! 2 645 644 86 644 5 86. 5
17 社会学类 2 2 645 644 86 644. 5 86 5
汉语言文学(厦门大学马来西叩分校招生
18 I 1 617 617 59 617 59
专业)
19 外国语言文学类 5 5 645 644 86 644. 4 86 4
外国语言文学类(外国语言文学加会计或
20 2 2 646 644 86 645 87
2021 财务)
21 英语(厦门大学马来西亚分校招生专业) l J ,', 609 609. 51 609 51
22 新闻传播千类 ,,; 2 -- IiI 2 647, 647 89 647 89
23 新闻千(厦门[二马来肋W分校招生专业) 2 2 620 608 50 614 56
24 广片口子应^(「长了;门、大-沪v千.马-来西亚分校招七生专业) 2 2 617 616 58 616..'i 58.5
25 工,商·,管珅类 •. ''". I j 647 647 89 647 89
26 会计学(含会计、财务、市计) I l 650 650 92 650 92
27 会冲学(厦门大学马来西亚分校招生专lV) 2 2 614 608 50 611 53
28 国际商务(厦门大学马来西亚分校招生女业) 1 I 615 615 57 615 57
29 公共管理类 2 2 645 645 87 645 87
12 人文科学试验班 5 5 640 636 80 637.4 81.4
13 经济学类 4 4 645 640 84 642. 3 86. 3
14 法学类 3 3 641 639 83 639. 7 83. 7
15 政治学丈 2 2 637 637 81 637 81
16 社会学类 2 2 635 635 79 635 79
2020
汉语曰义学(厦门大学,飞来西亚分校招生
17 l 1 604 604 48 604 48
专业)
18 外国语言义学类 5 5 637 635 79 635 8 1 79. 8
外国沿口义孚次(外曰沿言文学加会计或
19 2 2 638 635 79 636, 5 80. 5
财务)四、2020-2022年河南省普通高校招生本科一批分专业录取情况统计表(文科) • 279 •
录取分数统计
专业 最低分 平均分
年份 专业名称 公布计划 录取人数
代码 最高分 最低分 与分数 平均分 与分数
线差值 线差值
20 英语(厦门大学马来西亚分校招生专业) l 1 615 615 59 615 59
21 新闻传播学类 2 2 637 636 80 636.5 80.5
22 新闻学(厦门大学马来西亚分校招生专业) 1 1 606 606 50 606 50
23 广告学(厦门大学马来西亚分怓召生专业) 2 2 598 597 41 597.5 41. 5
2020 24 工商管理类 1 1 638 638 82 638 82
25 会计学(含会计、财务) 1 1 641 641 85 641 85
26 会计学(厦门大学马来西亚分校招生专业) 2 2 615 601 45 608 52
27 国际商务(厦门大学马来西亚分校招生专业) 1 1 603 603 47 603 47
28 公共管理类 2 2 638 635 79 636.5 80.5
1195 浙江大学
飞'尸
03 社会科学试鳍(数字法治卓越班) 1 · 1 628 .628 马上 628 101
04 社会科学试验班 4 4 宁i,31 了厂应5 6 628.8 101. 8
,
社会科学试验班(智能财务荣誉项目班) 三-`,5:主境歹,多2 少少七压25 立 625 98
05
血 印 人文科学试验班 蕊`亡芯萃·• 岱扣空 5 六,声 织,:,产 625.2 98.2
07 政治学与行政学 5 624、\},;..:: 1;叉, 662222 95 622. 8 95.8
08 外国语言文学类己年…去-`-T夺斗亡妄 ,,. ·2 :勾七<炉,.-·,:2(今 已 \628 623 96 625.5 98.5
09 _ 新闻铜酌缕 E:~;六,·\卜 \虚,2产已心 2 625 625 98 625 98
`
_o5了二' \社会科学试验班 ,, ; 7飞-,又、,`".', 3 3 663 662 104 662.3 104.3
20?\\ \ 尸 \卿二尸火文科学试验班己 认 15 15 662 658 100 659.6 101. 6
了· \飞。T/ 政治学与行政学 3 3 659 658 100 658. 7 100. 7
夕, , - 05矿 汁土会科学试验班 5 11 653 650 94 651. 4 95.4
2020·, \ `\06 人文科学试验班 9 4 649 649 93 649 93
08 新闻传播学类 2 2 649 649 93 649 93
1200 华北电力大学(保定)
01 法学类 2 2 580 578 51 579 52
02 外国语言文学类 4 4 575 574 47 574. 3 47. 3
2022 03 工商管理类 5 5 577 576 49 576.4 49.4
04 公共管理类(社工) 3 3 574 573 46 573. 7 46. 7
05 公共管理类 3 3 576 575 48 575.3 48. 3
01 法学类 2 2 611 610 52 610.5 52.5
02 外国语言文学类 4 4 610 609 51 609.5 51. 5
2021
03 工商管理类 5 5 614 609 51 611 53
04 公共管理类
01 法学类
2020 02 外国语言文学类
03 工商管理类(文史)
04 公共管理类
1205 中南财经政法大学
07 经济管理试验班 歹卢
08 哲学 尸\\心飞淕h
10 财政学类三:咕尸 , ·, 令八Q"~ \ 心众兮尸心士歹,`又 C:c - 3 3 594 594 67 594 67
11 金融学类付棣袜窃:j气飞i 2 2 592 591 64 591. 5 64.5
12 • \令\产 7 7 599 595 68 596. 7 69. 7
13 经济与贸易类 4 4 593 590 63 591. 3 64.3
14 法学类 35 35 605 595 68 597.6 70.6
15 国际政治 3 3 593 589 62 591.3 64.3
2022
16 社会学 2 2 591 589 62 590 63
17 汉语言文学 2 2 594 593 66 593.5 66.5
18 外国语言文学类 7 7 594 588 61 590. l 63. 1
19 俄语 1 1 591 591 64 591 64
20 新闻传播学类 3 3 595 593 66 594 67
21 管理科学与工程类 3 3 592 590 63 : 590.7 63. 7
22 工商管理类 8 8 594 591 64 591. 9 64. 9
23 工商管理类(会计学院) 7 7 602 593 66 596 69
24 国际商务 2 2 588 588 61 588 61· 280 · 第三章录取统计
录编取分^数统计 ..
“^
专业 最低分
年份 专\LK名你 公布计划 录取人数
代码 取臼声回I众 最低分 勹分牧 平均分
线差值 线养值
25 分动天系 I I 589 ! 589 62 589 62
26 农林经济管埋 1 I 587 587 60 587 6()
2022
27 公共管理尖 ! 6 6 592 586 59 589 3 62 3
28 旅游管埋 I 1 586 586 59 586 59
07 经^济~管珅试验卅^ I ^咖^~ ^ I 638 638 80 638 :一80
08 忻子 2 2 630 I 62s 70 629 71
i 纾济孚类 5 5 637 631 73 634 76
I 0109
财政学类 3 3 633 631 73 632 74
11 个触学失 9 9 635 i 632 74 633. 2 75 2
12 经济勹贸易类 4 ,, 4 631 630 72 630 3 72. 3
13 认学类 37 37 641 631 73 633, 7 75. 7
14 同卧政冶 3 3 629 628 70 628, 7 70. 7
15 什会学 2 2 630 I 628 70 629 71
2021
l 6 汉语言文f 2 I 2 630 630 72 630 72
七一·一一 1 1 7 8 -- 俄 - 外 --- 语 口语 - 言 ' 又学类 !} -73i u-丁 : I 』 - — - 3 71 - 6 62 3 8 0 6 62 2 8 8 7 7 0 0 6 62 2 8 9 7 71 0
19 斩叫传播学类 631 I 630 72 630, 3 72 3
20 管珅和学与丁程娄 3 3 628 I 628 70 628 70
21 上商管珅类 10 i 10 631 i 628 70 629, 7 71. 7
22 I茼着珅类(财务会计) 7 7 635 630 72 631. 4 73. 4
23 劳动关系 I i l 628 i!; 628 70 628 70
24 公共忤埋类 /.. 6 .. 6 630 628 70 629 71
!, 07 I 忻学 2 2 621 621 65 6~2 ~ 1 II 65
08 经济学类 5 5 626 624 68 625 69
09 财政学类 625 623 67 624. 3 68 3
10 个彻学类 9 6:11 625 6LJ 627 7 71. 7
ll 经济与芞易类 5 5 628 622 66 623, 6 67. 6
12 让,f头 37 飞7 636 623 67 626, 5 70 5
13 同际政冶 2 2 621 620 64 620 5 64. 5
14 ... i 计会学 `~ 1 I 622 622 66 622 66
15 i 汉语言文字 2 2 622 622 66 622 66
2020
16 外日出言义学,关 6 6 629 620 64 622. 5 66 5
17 I 俄巾 I I 620 620 64 620 64
18 新闻传播学类 2 2 623 621 65 622 66
19 眢理科学勹 I程艾 3 3 624 621 ? ? 65 622 66
20 忏押利学 I I 622 622 66 622 66
21 I商管即艾 10 10 622 620 64 621 2 65. 2
22 I商罚珅艾(财务会叶) 7 7 630 626 70 628. I 72 I
23 灯动义系 1 1 620 620 64 620 64
24 公共符理类 7 7 623 620 64 620 9 64 9
1210 中南大学
.202一2 厂 03 — 个融学.`径济管珅丈) 7 7" '; i 609' , 602 75 604 I 77
04 法学失 6 6 603 598 71 600 3 I 73. 3
05 中口语言文学类 6 6 603 598 71 599. 5 72 5
06 外国诏言义子类 4 4 603 598 71 600. 8 i 73. 8
03 金融产尖经济管理光) 7 7 638 637 79 一^63726. !i~,, 7891.. 26~ ~
[ 法卡类 ~ ~ ~ 6 6 640 6飞8 80 639 .
2021. ()-I
05 中国语n文名实 6 6 639 6飞7 79 637. 3 [ 79 3
06 外1£1佑门义学类 4 4 637 636 78 636 8 78. 8
尸i一 令副方失(罕济眢埋类) 7 7 631 628 72 628. 7 72. 7
2()2() iI 0065 法学类 3 3 632 630 74 631 75
07 中国语言文于类 I 6 6 628 627 71 627. 3 7 l 3
08 外国语言文';1!尖 4 4 627 627 7l 627 71四、2020—2022 年河南省酱通高校招生本科一批分专业录取情况统计表(文科) . 281 ·
录取分盓霆数和II平均分 I 线并芦伯
女业 最忨 }—『-最[飞 尸线
什份 代砃 乌\Iv名称 公布ii划 求取人放 }
1215 中山大学
01 轩学类(广朴1) 5 4 6ll 607 80 608 8 8!. 8
0 0 2 3 --- 经 忒 - 济 子 -- 学 - 类 --- (珠向) --- -5 6 -- , 5 7 6 61 l4 4 6 61 1 1 1 8 84 4 6 61 1 2 2 . 7 8 8 85 5 . 7 8
04 国勹政治 5 l 608 608 81 608 81
4U22 '~”^ ^^^ 0 0 ^ 5 6巫 社 汉语 会 言 学 文 奀 学(广州) I 5 5 5 5 6 6 1 1 2 4 6 6 0 1 8 0 8 81 3 u09. 4 li ~ 82. 4
6118 81. 8
07 外匡由言义学类(广川) 5 5 610 608 81 608. 8
08 历史学(珠办) 5 6 613 608 81 610. 7 I 83 7
09 工问忤珅(深圳) 5 12 612 607 80 609. 1 82. l
10 图书情报勹朸案管理失 丁…--5 l 608 608 81 608 81
01 经济学类(经管实验班) 13 13 650 646 88 647. 5 89 5
02 |、上午类[广州,社和实捡班) I 13 13 652 仁- 6牡 -气 86 646. 3 88. 3
2021
03 外国语言文学类(中越人才计划) 12 12 644 642 84 643.1 85. I
04 I 历史学类(玑闰哥义科实验班) 13 13 645 643 85 643. 7 85 7
01 哲宁(珠吐) 3 3 637 635 79 636 80
02 卒济学类(广41,1) i 3 3 644 640 84 642. 3 !! 86 3
03 经济产类(珠迎) 4 4 639 637 81 637. 5 IIi 81. 5
04 {;j玄-j泣·· 2 2 643 638 82 640.5 84. 5
05 同仇蚁冶 2 2 638 636 80 637 I 81
06 补会学失 2 2 636 636 80 636 80
2020
07 汉诏言文乒 2 2 638 638 82 638 82
08 外 文于类 州) 2 2 638 638 82 638 82
I
09 新闻传播学类 3 3
卜``` `
641 637 81 639. 7 83. 7
10 历史于广伲丹) 4 4 637 636 80 636 3 80 3
11 l商忏埋失 2 2 647 639 83 臼3 87
12 公共管理学 2 2 637 砃6 81) 636 5 80 5
勹华—化—电0-力l 入学[(/i化于失:
1220 l I 1 584 584 57 584 57
02 外田语言义孚沪 3 3 585 576 49 579 3 52 3
2022 O飞 I 网络与新媒体 3 3 584 581 54 582 7 55 7
04 _l向管郖类 I 1 587 587 60 , 587 60
05 公且俘埋类 2 2 583 574 47 ! ;,! 5',78 ' 5 51.5
01 丛学类 I 1 622 ` `` 622 64 622 64
02 外国语言义学类 3 3 621 620 62 ,i 620 3 62, 3
2021 03 丁向管理类 I l 630 630 72 I 6初 72
ll4 公共管理类 5 5 621 620 62 620 2 62. 2
Ol 法千类 I I 616 616 60 616 60
(l2 外1月诺口文学类 3 3 612 ~ ~” 6 “ 1 ` l . 55 61 I 3 55 3
2020
03 [肉符旰类 1 I 615 615 59 615 59
04 公共管理尖 ----- 5 5 612 610 54 61 l 55
1225 北趴化]人学
上1去`; 卓肃义').. :4,今廿t) I l 584 584 57 584 57
2022 () + 萸语 2 2 584 582 55 583 56
04 )1么向了仵(卓卉肚4类(_沿J今飞--且f叶· )必节注) I 15 15 583 5飞2 5 573, 1 46, l
I l 621 621 63 621 63
2O2l 03 央4+·)、l石l. 2 2 620 616 邓 ] I 618 60
04 商代叩娄(刊文,叶峈行法 16 16 621 617 59 618』3 60. 3
()2 国际经济勹贸易 I 3 "咖 3 炒",”“”“砐6W1/ 3?” “砐心~”“ 61 I 55 I 612 56
03 ;王丸子母 4 4 612 610 5 t 611 55
2020 ()4 英 - 语 -- - - I l 6IO 610 54 610 54
05 丁间管理类 4 4 611 609 53 610. 3 54 3
06 公只忤理娄 5 5 609 606 50 608 52· 282 · 第三章录取统计
/
I 录取分数统寸
IN十划 取人数1 取n 最低 1 三 I 千均方 I 线1`
右业
年份 飞业名称
代码 f
1230 北京禾I技大学
、一0一2一一 一一---------甘----会-----科----学----试---呤趴 I 10 1 591 · 567
2022 I 03 外同语言文羊类 I ! 9 9 0一 590, 562
-
04 工间管珅类 4 4 589 544
02 让会引学试验玑 10 _ 629 626
1
2021 03 外口语言一文学习 9 0 626 I , 625
04 上间俏珅类 4 - 631 I 628
9
03 补会利午试验班 10 - 621 I 619
2020 I 04 外国市言文学类 I 9 4 - 621 I 618
05 上商管珅类 i 4 1 62] I 620
0
I 235 北京邮电人学 -2-4-2-2-5-3-4-2-2-4-2-3-2-2
2022 I 0 0 O 1 2 3 二 法 Li 气 语 学 』 2 - 4 9 - 4 5 5 58 9 9 8 2 0 I ,1 I I 5 5 5 8 8 9 8 8 0 6 6 6 1 1 3 I I I 5 5 5 ~ 9 8 8 ' 1 9 8 I I I 6 6 61 4 2
04 网络乌祈焊(本 二2 - 592 ,i 591 64 I 591.5 I 64,5
05 丁商管埋类 4 592 I 590 63 I 590. 6 I 63, 6
0 -- 1 ---寸 i 法学 二 627 i 627 69 I 627 I 69
2021 0 03 2 iI I 英 El 语 语 4 - 2 - 6 6 2 2 5 6 1 ; 6 6 2 2 4 4 6 6 6 6 I I 62 6 4 2 . 5 8 I I 66 6 , 7 8
2
04 网络与祈媒体 - 4 631 I 630 72 I 6飞0,5 I 72, 5
os I 上的伉珅类 - 2 629 i 625 67 I 627, 3 I 69, 3
-
Ol 1 法学 3 - 621 I 605 49 I 613 I 57
— 2 - 2 6 62 2 2 2 I I 6 6 1 0 7 5 4 61 9 ' I I u 6 6 1 2 3 0 .5 , _ I I , _- ` 5 `, 6_ 7 -1_ .5 `
2020~
—04 1 公共市寸1节 理 622 i 621 65 1 621 5 65 5
1240 长友大学
T1:rtf4 「 2 5 `1 5 . 79 52 !' 580 节
i
03 '英语 二 8 ' 577 50 577. 5 .. . 50 5
-------+-..一一一.
577 50 577 50
l_
- 1 .. 578 s 1 ! 578. s 51. 8
0 2 - 「__ 577 so i 578 I 1 51
二
577 50 577 50
1 法'i' 5
( 0 l 3 2 1 货讯 2 7 ,.',' 6 6 1 1 5 4 5 5 - 7 6 · -·. i 1 - 6 - 1 6 6 1 . 6 5 - -- 5 5 8 8 5
2021 04 [ 日语 二 8 612 54 1 6l2. 7 54 7
05 祈间传播宁类 613 55'61 3 6 55. 6
06 I 灶筑类(子制5红) -- 614 56 l 6 14 56
0
0
7
2 I
公
1上
共
学
管理类 -2 6
1
归5
7
「 '
,,1,.
I 6
6
1
0一·
3
6 -
5
5一
5
0一 ·___!
; i
6
61
0 6
3
. 5
3
I
5
50
5
. 5
3
m I 英语 4 . 603 47 604. 5 48 5
2020 I 0.4 ...` 新闻传播学类 你67 603 4 - 7 ' ! 603. s I 47. s
05 . _ 建 __ 筑尖(勹制5们) 三 2 06g 604 48 i 604. 5 48 5
1 06 公共管理类 7 6 0 _ 603 47 ii 604. 7 I 48. 7
1245 大连即1大学 5
01 i 打学类 二
/
4-3-3 5 0
6
-5 92'589 62 590.. . 3 63, 3
2022 I ~ :;(人义计fI丿、归1:) 3 59672 I, I 589 62 590. 3 一6·3. 3
- 飞 590o I 589 62 玉 62, 3
9
1:30022 电////1管理勹去伴复八人 7
/ ·一- ----- 5
596
7 二/厂
594
7
598
: ` 01 I 杆会料午试肣班(公甘管理勹认伴复合人 4 I I 4 63 - 3 631 73 I 632 I 74
才陪苏)
2021 02 1 外国诏厂i义学党 4 I I 4 I I 63 6 1 630 72 1 630 5 | 72 5
03 估皂,符即与估日手统 2,2 1 6飞18 631 73 I 634. 5 I 76. 5
8
-
6
1
8
6
1
3
-
6
1
5.
四、2020—2022 年河南省普通高校招生本科一批分专业录取情况统计表(文科) 283 •
录取分数统计
专业 最低分 平均分
年份 专业名称 公布计划 录取人数
代砃 取亘向主-分~ 最低分 与分数 平均分 与分数
线差值 线差值
仕会科学试验班(公共忤珅亏法律复合人
01 4 4 626 622 66 623.5 67 5
2020 才培养)
02 外国语言文学类 3 3 622 贮, 621 65 621. 7 65. 7
1255 东北大学
06 人文科学试验班 5 5 597 589 62 591. 2 64. 2
2022 07 外国语言文学类 22 22 590 584 57 586.4 59. 4
08 公共管理类 10 10 590 587 60 588. 5 61. 5
04 人文科学试验班 4 4 634 627 69 628. 8 70. 8
2021 05 外国语言文学类 20 20 627 625 67 625.3 67. 3
06 公共管理类 13 13 629 626 `; 68 627 69
()3 人文科学试验班 4 4 617 616 1; 总,60 616. 8 (J() 8
2020 04 外国语舌文学类 20 20 621 616 -6'.O- 616. 6 60 6
05 公共管理类 t 飞~歹1~.~~- 622 617 61 618.2 62 2
1225028:东丁北-人O学l勹李阜-岛苠分族学校 I l23 f - 123 ;; 沁i;\ \ \',-
1
574 574 47 574 1 47
1265 合肥工业大学 :
01 法学 2 2 576 573 46 574. 5 47. 5
02 思想政治教育 飞 3 3 572 565 38 569 42
202s 2s \ 03 英语 ",,,_-, 8 8 577 550 23 570. 9 43. 9
\ \\ '\ ,O4 \ 印度尼西亚语 2 2 554 545 18 549. 5 22. 5
OJ 法学 2 2 613 613 55 613 55
02 思想政治教育 3 3 612 612 54 612 54
2021
03 英语 8 8 613 610 52 611. 1 53. l
04 印度尼西亚语 2 2 611 611 53 611 53
01 去俨学 2 2 604 604 48 604 48
02 汜想政治教育 3 3 605 ~ ~ ^ ~ ~贮 601 45 602. 3 46 3
2020
03 英语 8 8 604 601 45 602.1 46. 1
04 印度尼西亚语 2 2 602 601 45 601. 5 45. 5
1268 合肥工业大学(宣城校区)
01 法学 8 8 578 574 47 574. 9 47. 9
2022 02 英语 8 8 574 572 45 572. 6 45. 6
03 网络与新媒体 7 7 576 572 45 573 46
01 法学 8 8 614 609 51 610. 4- 52 4
2021 02 英语 8 50. 4
8 ,计。飞苍
03 网络与新媒体 7 7 610 607 厂 50. 6
01 法学 8 上权亡 601 I 599 ,; 43. 9
2020 02 英语 8 -;“' 600 1 598 42 4
03 !告学 `{~ 勺翌之: 603 597 ,,,,,产让i`A 598. 6 42. 6
1270 河海大学 _ '三飞/~ _ ~、介、 ~ '.,\
01 金融工程 , \飞\S 夕 2 2 " \ ·585 583 56 584 57
02 国际经济与贸易(常州校区) 3 3 584 583 56 583. 3 56. 3
03 法学 c \ t' 2 2 589 585 58 587 60
04 籵会学 、二, 2 2 584 584 57 584 57
05 冉想政治教育 1 1 587 587 60 587 60
i
06 屯克思主义理论 2 2 585 584 57 584.5 57.5
」 07 英语 _ ~一 2 2 58 l 581 54 581 54
2022 08 丿播电视学 2 2 587 582 55 584. 5 57 5
09 应急管理 ·· 2 2 584 581 54 582.5 S.一·•• ~”5“ 5 5
10 会计学 2 2 591 I 590 63 590.5 63 5
11 会计学(常州校区) 1 1 585 585 58 585 58
12 财务管理 2 2 584 583 56 583. 5 56. 5
13 人力资源管理 2 2 582 581 54 581. 5 54. 5
14 劳动与社会保障 2 2 583 582 55 582. 5 55. 5
15 土地资源管理 1 I 583 583 56 583 56• 284 • 第三章录取统计
录取分数统计
年份 专业 专业名称 公布计划 录取人数 最低分 平与均分数分
代码 最高分 最低分 与分数 平均分
线差值 线差值
01 金融工程 2 2 622 621 63 621. 5 63. 5
02 国际经济与贸易(常州校区) 3 3 620 617 59 618. 7 60. 7
03 法学 2 2 623 622 64 622.5 64. 5
04 社会学 2 2 622 622 64 622 64
05 思想政治教育 2 2 619 618 60 618. 5 60. 5
06 英语 2 2 620 618 60 619 61
07 广播电视学 2 2 621 620 62 620.5 62. 5
2021 08 应急管理 2 2 618 618 60 618 60
09 市场营销 1 1 618 618 60 618 60
10 会计学 2 2 625 623 ”、6"5 624 66
11 会计学(常州校区) 3 3 622 .6.1 8 * 的a . 619. 7 61. 7
12 财务管理 2 2 ,622 ..\.夕 已_-J~/-.-~~ ~已勹`~~、~.6~} 仁~ 2~ 1 貂: 621.5 63. 5
13 人力资源管理 2 召; 2 621 6袄) I 62 620.5 62. 5
1 1 4 5 劳 土 动 地 与 资 社 源 会 管 保 理 障 飞尸 a习 | |3 2 1 ~尸了 r 于 - t ·· , -J 2 1 ,~ 6 6: 2 ~.2~ 1 0~ `一1占 ,. . 6 6、.. 1 .2 . . 0 8.二 · 刁 :了飞 `- 6含6 6 0 2 . ,; 61 6 9 2 . 0 5 61 6 . 2 5
01 国际经济与贸易(常州校区) l3[F 2 --.2 ;.三 了 `` 飞 i7 $,~ 614 58 615. 5 59.5
02 法学 产生~了~ I~,2 2 620 619 63 619.5 63.5
社会学 2 2 611 610 54 610. 5 54.5
卢
\ 思想政治教育 ~ ~.~'~.; s 2 2 615 610 54 612.5 56. 5
英语尸歹- - 3 3 614 611 55 612 56
2026 06, ,广播电视学 2 2 614 607 51 610.5 54. 5
07 会计学 2 2 619 617 61 618 62
08 财务管理 2 2 616 616 60 616 60
09 人力资源管理 2 2 616 615 59 615. 5 59. 5
10 劳动与社会保障 2 2 615 612 56 613.5 57. 5
11 土地资源管理 1 1 612 612 56 612 56
1275 华东理工大学
03 经济学类 2 2 590 589 62 589. 5 62.5
04 法学 8 8 588 581 54 583. 9 56. 9
05 外国语百文学类 6 6 589 583 56 585. 8 58. 8
2022
06 工业设计 2 2 586 582 55 584 57
07 工商管理类 3 3 589 585 58 587 60
08 公共管理类 21 21 585 535 8 5704 、· 了孚 43
03 经济学类 2 2 629 626 68乏 共69.5
04 法学 8 8 627 624 66 豹.1
2021 05 外国语言文学类 5 5 65 4 ` ~ ~;“66
06 工业设计 2 621 63 -· ".62L5 ,'.. 63.5
07 工商管理类 626, ; 11了68·亡 626. 3 68. 3
08 公共管理类 ~-\了~立歹 2 624 亡 62i 63 622. 3 64. 3
03 经济学类 , \ 怎 2 ;: 6迈 619 63 620. 5 64.5
04 法学\,飞',一-尸'垒- ` (1 1- 俨r;i俨'户,, 哥 三 夕 ,8令马 I'-'8 2, - 619 615 59 615. 8 59. 8
2020 05 外国语言文学类- 二七 ~- 5 5 616 615 59 615.4 59.4
06 工商管理类 )'>! 3 3 618 617 61 617. 3 61. 3
07 公共管理类~令 22 22 616 612 56 614.1 58.1
1280 华南理工大学
16 经济学类 2 2 602 599 72 600. 5 73. 5
17 经济学(创新班) 1 1 606 606 79 606 79
18 法学类 3 3 598 597 70 597. 3 70. 3
19 法学(卓越法律班) 1 1 599 599 72 599 · 72
20 日语 1 I 593 593 66 593 66
2022
21 新闻传播学类 4 4 598 595 68 596. 8 69. 8
22 传播学(2+2联合班) 2 4 595 593 66 594 67
23 工商管理类 3 3 597 596 69 596. 3 69.3
24 行政管理 2 2 595 595 68 595 68
25 旅游管理类 4 2 594 592 65 593 66四、2020一2022年河南省普通高校招生本科一批分专业录取情况统计表(文科) .285 ·
录取分数统计
专业
最低分
年份 代码 炉W名称 公布汁划录取人数
1最高分 1 最低分 与分数 1 平均分
线差值
10 侄济学类 2 I 2 16381634 76
11 经济学(创汗班) 1 I I 16361636 78
12 法学类 3 I 4 I 634 I 633 75
13 法学(卓越法律班) 1 I 1 I 634 I 634 76
2021 I 14 日语 1 I 1 I 631 I 631 73 ,
15 新闻传播学类 4 I 4 I 634 I 632 74
17 工商管理类 3 I 3 I 634 I 632 74
18 行政管理 2 I 3 I 634 I 631 73 632. 3 I 74. 3
19 旅游管理类 , 4 I 4 I 632 I 630 72 631. 3 I 73. 3
10 经济学类 + ! 2 2 16281628 72 628 I 72
11 经济学(创新班) 1 1 630 1 "a3o 74 630 I 74
12 法学类 仁 3 3 跻627 二心 68 625. 3 I 69.3
13 法学(卓越法律妒) l l 气骂27 \:沁切 71 627 J 71
2020 I 14 日 . 语 .. 辛. l 2 岁 t'-彦。如位7 623 67 625 I 69
15 新闻传播学类 ', 4 5 626 I623 67 624. 4 I 68. 4
17 工商管理类 , '\ 3 3 \ 627 625 69 626. 3 I 70. 3
18 行政管理\ \ _ \ \,2^ \ 2625 623 67 624 I 68
19 i旅游管理类 4 I 4 16231623 67 623 I 67
l285 大连海事大学
\,01' .法学 \ ',\ \ \ L i
\O2-\ \尸英词 3 ! 3
2O22, \ ' , ,' ' \, 03 '\ 工商管理类 3-T 勹 勹
04 公共管理类 3 ] 3
01 法学 4 I ! i 4
02 英语
2021 03 工商管理类 三
04 公共管理类
01 法学
02 社会工作
2020
03 工商管理
04 公共事业管理
曰产三主[:
1 1 110 637
1 1 109 667
~.
1 1 102 658
I
01 思想政冶教育 5 l 5 78 . 8 d 8
2022 I 02 英语 '50 -\ b 579 52
03 工商管理类 55 582. 5 55. 5
01 思想政治教育 勹 52 612.4 54. 4
--'-
2021 I 02 英语 ,-- 2 \\ 54 613. 3 55. 3
03 工商管埋类,\_'夕一 \ 56 615. 5 57. 5
01 思想政治教育 26 592. 4 36. 4
2020 I 02 英语 51 608. 8 52. 8
二依
03 工商管理类 54 613 57
I 2 2 565 564 37 564. 5 37.S
I.
6 6 562 558 31 560. 2 33. 2
I 6 6 563 559 32 I 56l 34
3 3 560 558 31 559 32
4 4 558 557 30 557. 3 30. 3
2 2 567 563 36 565 38
2 2 561 559 32 560 33· 286 · 第三章录取统计
录取分奴统计
句份 l 专业 I; 专业名称 公们计划1录取人数最启分 1 簸低分『:::『-平均分 平均分
代砃 L)勹妏
I 线生们
01 ' 经济孚类 3 l 597 1 595 37 1 596 3 38. 3
02 1 患想政冶教育 5 i 595 1 591 133 592. 8 34. 8
2021 门 03 勹 英 叮 语 4-2 二厂严/ 592 1 34
4 594 591 1 33
05 一I^会 行 .计 政 学 管珅 2 3 二 2 I 595 5 5 9 9 5 5 li i I 3 37 7 595955 7 1 3飞67
经济学类 l - 3 [ 595 59l 35 592 3 ! j , 3
3 3-5-4
2020勹 i 02 I 英语 - 5
5
8
8
7
6 5
5
8
8
0
4 I 2
2
8
4
5
58
8
3
5 3
6
!
I
2
27
9
.
3
6
I
593 I 587 I 31 588 8 | 32. 8
三
l
2 I 2 I i 5R - 3 578 51 i 580. 5 53. S
2-2-2-2
2 1 580 I 578 1 51 579 52
72 i 7578 1 557778 51 578 51
2 -1 578 厂1 577一 1 飞 5() 50 5 . 0 S
2 2 2 2 二f--1r7 8 I ' 57 557 8 777 1 ' 5 5500 5 11i1 . 5`? 78 5 5.. 1 0
4 4 611 I 613 I; s 614.s· 56. 8
/
2 2 613 I 613 I 55 613 55
8 8 I 613 53 6
2 2 613 54. 5
2 2 , 611 ! I 611 i 53 I 611 53
3 612 53. 3
:i 34-
4 617 56. 8
- 02 汇经 法 济 学 学 - —-- - -- - - I u _ 勹 _ 4 -/ 6 6 0 0 8 6 49 51 . 5
6 14 49. 5
607 50
22OrN;/- 厂3 51. S
/
I
07 1 会计 4__ 1 4 _1. 613 53. 5
1305 大津大学
0 1 5 :].社人会义科科子学.试试验验玑妇 三
2022 尸
厂飞
/
! 05
84-838788/
碍
2022 8-
2 8466/
8
7
8
2021
7
/ 8
7
13 15
2
o3 I 经济学类 郊45 厂-575
- 0 — 4 I 法 - 学 ' 类 --- 5-5 584 I I 57 I 585 6 厂
5-8
580 I 53
i 8 577 丁勹6
2022 4-2一 十—-·4 /} 581 i 54
1
2 II 583 580 厂 厂飞 ` 了 I 581 5 1一 — 54 - 5
1 2 0 -3 L , 竺 581 4 贮_ 一 了 .578 ` 勹( 5 ) l 勹 1 - 5 8 5 ( 7 ) 9 4 -} } 5 5 3 2 — 4 --
577 _ 节3 ; 4^6 | 575 i ` 48四、2020-2022年河南省普通高校招生本科一批分专业录取情况统计表(文科) • 287 •
录取分数统计
专业 最低分 平均分
年份 专业名称 公布计划 录取人数
代码 最高分 最低分 与分数 平均分 与分数
线差值 线差值
05 经济学类 5 625 620 62 622. 6 64.6
06 金融学(中外合作办学) 3 613 590 32 599. 3 41. 3
07 法学类 6 624 619 61 621. 7 63, 7
08 思想政治教育 5 618 615 51 616 58
2021 09 外国语言文学类 8 621 616 58 618.6 60.6
10 新闻传播学类 4 620 618 60 619 61
11 建筑类(学制5年) 2 619 616 58 617.5 59.5
12 工商管理类 9 620 616 58 618.2 60. 2
13 海事管理 2 616 616 58 616 58
05 经济学 2 616 616 60 616 60
06 金融学 2 617 6,1 617 61
07 金融学(中外合作办学) 1 多多`,Ei 611 55
08 国际经济与贸易 5 1•,;心 615 59
09 法学 17 6l3,勹 ''` 门,齐乙比4 615. 3 59.3
社会工作 ` 6
$
1. 2, U已,亡奀”皂勋 53 610. 7 54. 7
思想政治教 飞飞6l1 610 54 610. 3 54. 3
12 夕 615 608 52 610. 6 54.6
-`
612 612 56 612 56
4 609 608 52 608.5 52.5
9 9 619 612 56 614 58
2 2 613 610 54 611.5 55.5
1320 \西安电子科技大
03 外国语言文学类(新文科国际语言与电子 I 9 9 582 577 50 I 578.6 I 51. 6
信息交叉融合培养)
2022
04 卓管理越科领学导力与融工合程培类养(信)息化、智能商务与 | 35 37 586 577 50 580 53
03 外信息国语交言叉文融学合类培养(新)文科国际语言与电子 I 12 I 12 I 617 I 612 I 54 I 613.3 I 55. 3
2021 I
04 卓管理越科领学导力与融工合程培类养(信)息化、智能商务与 35 36 623 613 55 615.9 57.9
03 中国语言文学类 9 9 606 605 49 605.4 49.4
2020 I 04 外国语言文学类 17 17 607 604 48 604.9 48. 9
05 管理科学与工程类(综合大类培养) 24 24 615 607
1325 西南交通大学
05 法学
06 政治学与行政学
07 汉语言文学
2022 08 汉语国际教育
09 外国语言文学类
新闻传播学~, r\ 六3一, i;,t;l \令586 585 58 585. 7 58. 7
55 582 55
3 622 620 62 621 63
1 621 621 63 621 63
3 3 620 619 61 619.3 61. 3
2021 夕、“飞仁守
外 11 11 624 619 61 621.4 63.4
新闻 6 6 624 619 61 620. 7 62. 7
10 公共事业管理 1 1 619 619 61 619 61
03 法学 3 3 615 614 58 614,3 58. 3
04 汉语言文学 1 1 614 614 58 ` 6l4 58
05 汉语国际教育 3 3 612 611 55 611.3 55.3
2020 06 外国语言文学类 9 9 612 610 54 611. 1 55.1
07 商务英语 5 5 596 589 33 592.6 36. 6
08 新闻传播学类 6 6 615 612 56 613 57
09 公共事业管理 I I 613 613 57 613 57· 288 · 第三章录取统计
录取分数统计
专业 最低分 平均分
年份 专业名称 公布计划 录取人数
代码 最高分 最低分 与分数 平均分 与分数
线差值 线差值
1330 中国海洋大学
03 法学 2 2 596 594 67 595 68
04 政治学与行政学 4 4 594 590 63 591. 8 64. 8
05 汉语言文学 4 4 594 592 65 592. 8 65. 8
06 英语 2 2 593 588 61 590.5 63. 5
07 法语 2 2 588 588 61 588 61
08 日语 1 1 582 582 55 582 55
09 朝鲜语 3 3 584 578 51 582 55
2022 10 新闻传播学类 2 2 594 593 66 593.5 66. 5
11 工商管理 2 2 594 593 ,66 593. 5 66.5
12 市场营销 2 2 590 590 63
13 财务管理 2 2 594 67
14 文化产业管理 4 4 1 54 587 60
15 行政管理 飞 3 3 3 5户一9心1t : t \ 64': 592 65
16 电子商务 2 590 -b 卜 5--84一' 六一 57 587 60
:-,\5~`8'~ 5:
17 法学(中外^ 4 ; c~卢',4己 ~¥ 584 57 584. 3 57. 3
\ 04 ` 法 ` ,过1~\' 2 635 631 73 633 75
`
o5;“飞~ 法学(中 尸 ,·\ 4 4 626 619 61 622 64
卢,飞
I
`
\
\
,'
1
; T
;
O
0
6
7二咖
,
. ~
`七
、 \,
,
$
`
' \ 英语
4
4 4
4 6
63
2
3
9
6
6
2
28
9 7
7
1
0 6
6
2
3
8
1
.
. 3
8 7
73
0
.
.
3
8
``
二08心” 2 2 631 630 72 630.5 72.5
\
~;',: ~ 心O~俨9 法语 2 2 629 629 71 629 71
10 日语 1 l 629 629 71 629 71
2021
11 朝鲜语 2 2 628 628 70 628 70
12 新闻传播学类 2 2 629 629 71 629 71
13 工商管理 2 3 630 629 71 629. 3 71. 3
14 市场营销 2 2 628 628 70 628 70
15 财务管理 2 2 631 630 72 630. 5 72.5
16 文化产业管理 4 4 629 628 70 628. 3 70.3
17 行政管理 2 2 629 628 70 628.5 70. 5
05 法学 2 2 624 624 68 624 68
06 法学(中外合作办学) 4 4 614 609 53 611. 8 55. 8
”
07 政治学与行政学 4 4 623 归619 妞5 屯飞包5
08 汉语百文学 4 4 623
09 外国语言文学类 7 7 625
2020 10
11 ?:::学类 三三[言`彗
12 市场营销 6l9 ; :,:63古-'619.5 63. 5
13 财务管理 ~ 624 68 624. 5 68. 5
14 文化产业管理- 厂` 619 63 620. 8 64. 8
15 行政管理:::平分i\\ 619 63 620 64
1335 中国地质大学(北京汃二亡望j,,三 令-,了~仁',心
03 法学\飞--\ \垒亡,U\勹5``~`心 2 2 584 583 56 583.5 56. 5
2022
04 英语产:;,,f`炉 f-夕 3 3 585 564 37 574.3 47. 3
03 法学 2 2 625 624 66 624. 5 66. 5
2021
04 英语 3 3 624 622 64 623 65
03 法学 2 2 613 613 57 613 57
2020
04 英语 3 3 614 613 57 613. 3 57. 3
1340 中国地质大学(武汉)
06 经济学类 5 5 584 578 51 581 54
07 思想政治教育 1 1 584 584 57 584 57
2022 08 英语 2 2 579 578 51 578, 5 51. 5
09 广播电视学 1 1 582 582 55 582 55
10 公共管理类(文法) 5 5 587 579 52 581. 6 54. 6.
四、2020-2022年河南省普通高校招生本科一批分专业录取情况统计表(文科) 289 •
录取分数统计
专业 最低分 平均分
年份 女仲名称 公布汁划 录取人数
代码 最高分 最低分 与分数 平均分 与分数
线差仇 线差值
06 法学 2 2 622 621 63 621. 5 63.5
07 思想政治教育 2 2 620 616 58 618 60
08 英语 2 2 621 620 62 620. 5 62. 5
2021
09 广播电视学 I 1 618 618 60 618 60
10 丁商管理类 5 5 621 617 59 618. 8 60. 8
11 公共管理类 4 4 617 616 58 616.8 58. 8
06 法学 2 2 616 616 60 616 60
07 思想政治教育 2 2 616 616 60 616 60
08 英语 2 3 614 611 55 612. 3 56.3
2020
09 广播电视午 1 1 611 611 55 611 55
10 工商管理类 5 ! 5 616 石6,l2 \ 56 613. 8 57. 8
11 公共管理类 4 I 惹L究斗'6浊153 卧的|;沉冯沪 55 612. 5 56.5
1345 中国矿业大学(北乐) 44 i1
01 法学 豆怎 4 ! 47 579.5 52.5
I
2022 02 英语 4 三>4 572 尸 , 544 17 558.3 31. 3
03 行政管理 ; `I- ,; 4 二, 4“女it 579 533 6 559 32
01 法学 心飞,,' 尸 I~ ', 3 3 623 620 62 621. 3 63. 3
2021 02 英语 4 4 619 618 60 618. 8 60. 8
\\ ,\ '』.-| O3 行政管理 4 4 620 619 61 619. 3 61. 3
\.Ol ~~:法合学尸/, ;.},,,,. ~ '' 3 3 615 612 56 613 57
8
20201, \
、一j.\,O-,及·n飞• 飞.瑛英语 4 4 611 609, 53 6l0 54
\一^ , `303 行政管珅 4 4 609 608 52 608. 8 52. 8
1350 中国矿业大学
05 中国语言文学类 8 8 578 575 48 576.4 49.4
2022 06 外国语言文学类 8 8 576 575 48 575. 1 48. 1
07 公共忤理类 6 6 575 574 47 574. 3 47. 3
04 法学类 5 5 615 612 54 613.4 55. 4
05 中国语言文学类 5 5 613 612 54 612.2 54. 2
2021
06 外国语言文学类 10 10 612 611 53 611. 1 53. 1
07 公共管理类 4 4 612 611 53 611. 8 53, 8
04 外国语言文学类 8 8 605 602 46 603. l 47. 1
2020
05 公共砰理类 18 18 614 603 47 604 5 48. 5
l355 重庆大学 i
60。三言
09 人文科学试验班(法卓新闻类) 5 5 601 599 72
,
2022 10 人义科学试验班(搏雅类) 2 ,望°岭,4 60!
11 外国语曰文学类 3 3 59实:, 72 599. ~,· [花
09 人文科分试验班(博雅类) 2 2 - " 637. 79- - 638. 5 3 .l'亡.夕80. 5
2O2l 10 人文科学试验班(法学与新闻类) _ 6夕 J -/ J _-·、-...一·- 6-. 令 635了气`巳 7'1 - 636. 7 78. 7
11 外国语百文学类 4 4 637 634 76 634. 8 76. 8
11 入文科学试验班;\ ~ ~ 1. 产l-“比; 630 630 74 630 74
12 厂经济学类 f?- \.\ \ `, l \ .• 1 629 629 73 629 73
13 ` 4 4 629 628 72 628. 8 72. 8
仁
2020 14 5 5 628 627 71 627.6 71. 6
15 新闻传播学类 5 5 629 628 72 628. 4 72.4
16 会计学(ACCA力向) I l 629 629 73 629 73
17 公共管理类 1 1 628 628 72 628 72
1360 华中农业大学
01 经济学类 10 10 582 577 50 578. 3 51.3
02 社会卢i; 2 2 582 576 49 579 52
03 外国语言文学类 16 16 580 575 48 575. 9 48. 9
2022 04 广告学 4 4 580 576 49 577 50
05 风景园林 I 1 578 578 51 578 51
06 工商管理类 15 15 578 575 48 576.1 49. 1
07 公共管理类 5 5 576 575 48 575. 8 48. 8· 290 · 第三章录取统计
录取分数统计
年份 右 代码 业 专业名称 公布计划 录取人数 最高分 I I 最低分 最 与分 低 数 分 平均分 平 与 均 分数 分
线差值 线差值
01 努济学类 10 10 619 613 55 615 5 57 5
02 社会学类 2 2 617 615 57 616 58
03 外国语曰文学类 16 16 616 609 51 611. 3 53. 3
2021 04 r'.告学 4 ! 4 611 610 52 610. 5 52. 5
05 风景同林 l I 1 624 624 66 624 66
06 I商管理类 15 I 15 620 610 52 613 55
07 '\ 5 5 614 609 51 610 8 52 8
上,六巨 ,、
01 经济学类 2 2 617 6l2 56 614 5 58. 5
02 社会学类 2 2 607 607 51 607 51
03 外司诺百文学类 16 16 610 603 47 604, 5 48. 5
2020 04 广告学 4 4 608 606 50 606. 8 50. 8
05 工商管理类 17 17 612 605 49 607. 2 51. 2
06 市场苞销(中外合仵办学,国际农产品营销) 8 ! 8 i 593 557 1 582 3 26. 3
07 公共管理类 5 i 5 i 611 604 48 606. 8 50. 8
1365 南京农业大学
01 金雇学 3 3 I 577 575 48 575 7 48 7
02 投资学 3 3 576 573 46 574 47
03 补会学类 7 7 578 574 47 576 49
04 奂语 4 4 580 574 47 576. 3 49. 3
2022 05 H诘 5 6 i 574 573 46 573 5 46 5
06 文化遗产 3 3 580 575 48 577 50
07 _l商节理类 4 4 577 576 !i 49 576. 5 49..'i
`'
08 农林经济忤理 2 2 582 581 54 581 5 54 5
09 公共管押类 3 3 ! 577 576 49 576. 7 49. 7
01 舍酰学 2 2 I 622 621 I 63 621. 5 63. 5
02 投资学 2 2 621 617 } 59 619 61
03 社会学类 i 6 6 620 612 ! 54 614 5 56, 5
04 英语 3 4 613 611 I 53 612 54
2021 05 日语 } 5 4 616 612 I 54 613. 3 55. 3
06 文化成产 i, 3 3 615 612 I 54 613 55
0 7 上商管理类 4 4 I 61s 614 j 56 614, 5 56 5
08 4对小芞,~俞'日埋 2 2 620 618 60 619 61
09 公八筒埋类 4 4 616 613 55 615. 3 57. 3
02 金融学 2 2 615 613 57 614 58
03 社会学类 6 6 609 605 ! 49 607. 3 51. 3
04 英语 3 3 6ll 609 I 53 610 54
2020 05 日语 ! 6 6 609 604 48 605 2 49 2
06 上商忤理类 5 5 610 606 50 , 608 52
07 i 农林经济管理 3 3 614 609 53 611. 7 55. 7
0-8 公共管理类 6 6 608 605 49 I 606 s 50. 8
,_1""3 70 西北农 `- 林 -U -- 引技l} 大学
I 03 法学 10 10 588 582 55 .`` `? 5 · 8 13”“”.“ 9 `“` ``'` 56. ”9“”“ `』 已妞
04 I 补会学类 6 7 587 580 53 582 3 55 3
汉语国际教育 ~ ^ ~ 2 2 585 582 55 583 5 56, 5
2022,!, 0065 __ 英语 12 12 583 579 52 580. 8 53. 8
07 俄语 2 2 581 579 52 ! 580 53
08 公共管珅类 7 7 582 i 579 52 580. 7 53 7
—__”“-
03 法学 10 10 624 621 63 622. 5 64 5
04 社会丫失 6 6 621 616 58 618. 8 60 8
05 戊语国际教育 2 2 617 615 57 616 58
2021
06 英语 贮”^ 13 13 620 615 57 617. 4 59 4
i
07 俄语 2 2 618 615 57 616. 5 58. 5
08 公共管押类 7 8 620 617 59 618. 8 60. 8
03 法学 11 11 616 卜~^m… 6 ~- 0 “ 9 一 "~”“~ '""_"_ 53 "- """ ~”“… 61 2 1-- 56
04 社会学类 6 7 617 607 5 l 609 3 53. 3
2020 05 汉语国际教育 2 2 I 6os 607 51 607, 5 51 5
06 英语 13 13 I 614 606 50 608 1 52. I
07 公共管理类 I 6 7 1 609 608 52 608, 4 52. 4四、2020-2022年河南省普通高校招生本科一批分专业录取情况统计表(文科) · 291 •
录取分数统计
专业 最低分 平均分
年份 代码 专业名称 公布计划1录取人数
最高分 最低分 与分数 平均分 与分数
线差值 线差值
1375 中国农业大学
598-594-5957-610-06-579-46-589-67-537-46-577-86-5987-742 7-6-591-7-600-7 3-71-73-50-53-60-61-77-76-75-77-58-76-54-76-61-70-70-69-70-60-71-55-70
01 法学 6 5
02 社会学类 0
_ 9
03 英语 0
04 传播学 卿 -6 9
2022 05 工商管理类
-_
5 0
06 农村区域发展 郧60 -
07 国际经济与贸易(中外合作办学) 5- 9 0-
08 传播学(中外合作办学) 8 7 5 5
09 衣林经济管理(中外合作办学) 0 9
01 国际经济与贸易(中外合作办学) -
02 法学 5 6
03 社会学类
8 6336356156336126-33617626625625626615626611626
04 英语
2 77-57-75-54-75-61-70-69-69-70-59-70-55-70
2021 05 传播学 码
E6 5
06 传播学(中外合
-1
07 _、工 9
',飞气、飞 1
1-3-2-269-2-4-1-3-3-1l3
`己]加 - 3 26 雷7
-
2 3
\\\、飞0~1-~-\, - 1
38口七言 2 - 2 - 5 6 - - 6
2020 3 - 1 - 3 - 一 5 - 7 1 2 6 邵 - 6 6 0 6 2 5 2 6 -
3 - 53 20
1
- 7
3 6-
6
1
-5
8
5 55
6 69
8 58
2
2022 06 商务英语
7
2 18 9. 5
07 自然地理与资源环境 - 9.5
6
2021 ` 0 0 0 0 0 0 03 7 8 8 5 6 4 工 工 法 商 国 国 自 商 学 商 务 际 际 然 骥 管 管 英 经 经 地 理 理 济 语 济 理 类 与 类 与 与 贸 贸 资 易 易 源 ' 环 \ 境 2 7 6 2 5 6 2 _ 竺 竺 - 坐g 6 1 5 8 4 - 5 8 5 6 2 4 - 口 6 - 6 2 7 - 6 0 0 - 6 4 “ 七 6 6 L 5 6 . . 5 2
6
-
2020 6 5 -5
5
1 -
7 6 8 6 7
1385 3l5-4l2-2l3-1-4- 6 15763- 574-5691 5 5-7526-85-7517-25-65664-955-45-854-754-75-163-459-165-572-551 5-14-455-43-8564-235 0-4-52-74-03-53 1-44-39-305-42
3 - 2 8 - 5727.3
5 - 4 - 9 6 - 5 8 5 5 7 6 12 - 7 . . 8 5
2 - 2 1 6 2 55- 58
2022 1 1 571.5
3 一 6 3 566 6 8. 7
1一 2 - 5527
- 0
4 6 6 559. 8
l
1
1 5696 -. 3
6 4
5
-
6 8
1
7
6
-
6
1
9
-
6
3
5
-
6
3
4
-
6
3
3
-
6
3
5
-
6
1
6
-
6
3
4
-
6
1
2· 292 · 第三章录取统计
录取分数统计
公布计划!1录取人数1 埽阳分
年份 专业 女业名称 最低分 1 平均分
代码 最低分 与分数 平均分 '了分数
线差值 线差值
03 经济学类 3 I 3 I 609 608 50 608. 3 50. 3
04 法学 4 4 609 608 50 608. 3 ! 50. 3
05 政治学与行政学 5 I 5 i 609 607 49 608 50
06 社会工作 2 I 2 607 607 49 607 I 49
2021 07 英语 3 I 3 I 607 607 49 607 49
08 俄语 2 I 2 607 606 48 606 5 48, 5
09 日语 I 1 I 606 606 48 606 i 48
10 广告学 4 4 1 607 606 48 606. 5 48 5
11 工商管理类 17 i 17 I 609 606 48 606. 6 48. 6
03 经济学类 2 2 I 602 602 46 602 46
04 法学 4 4 600 599 43 599. 5 43. 5
05 政治学与行政学 5 5 i 599 598 i 42 598. 6 42. 6
06 ,社会工作 3 3 598 598 I 42 598 42
I
2020 07 英语 3 i 3 I s99 598 42 598. 7 42. 7
08 俄语 2 2 600 599 43 599, 5 43. 5
09 日语 1 I 1 598 598 42 598 42
10 广告学 4 4 i 601 598 42 599. 3 43. 3
l ] ,工商管理类 18 18 600 598 1 42 598 4 42. 4
1390 北京中医药大学
01 法学(医药卫生) l 2 594 593 66 593, 5 66. 5
02 英语(中医药国际传播) 1 594 594 67 594 ! 67
2022
04 中医学(学制5年) I 1 595 -1丁飞66气8 595 68
! 05 }针炎推拿学(学制5年) 1 1 I 595 559955 II 98 u - 595 68
01 法学(医药卫生) 1 i I ! 627 627 627 69
! 02 !英语(医学) l l 630 630 72 630 72
I
2021 03 I 英语(中医药国际传播) 1 1 625 62s I 67 625 67
IIi 0054 I}i 中医学(学制5年) 1 1 628 628 70 628 70
I 针炎推拿学(学制5年) 1 I 635 635 i 77 635 77
'
01 法学(区药卫生) 1 l 616 616 60 616 60
2020 、i 0m2 i 1. 英英语语((医中学医药)国际传播) -~--- 2 2 2 2 : 6 6 1 1 3 5 6 6 1 1 2 4 5 58 6 6 6 1 1 2 4 . 5 5 5 5 6 8 . S 5
04 中医学(学制5年) 1 1 619 619 63 619 63
I 05 i 针炎推拿学(学制5年) 1 I 617 617 二--.6l7_ 61
-
1395 中国药科大学
2022 01 经济管理试验班(坠药方向) 2 2 587 ffi-+-50 582 55
英语(匡药方向) 4 4 577 49 576 5 49. 5
经济管理试验班(医药方向) 3 7 617 608 50 612 54
2021
02 英语(l芍药方向) I 2 3 615 } ,12 54 613. 7 55 7
2020 01 经济管理试验班(J矢药方向) 5 5 6]6 602 46 608, 8 52. 8
1400 北京师范大学
06 人文科学试验班(励耘实验班) 3 3 625 624 ~9-7-- - ----6-24“一·, , 97 7
07 哲学 3 2 623 613 86 618 91
08 法学(卓越文验~~班) / ? 4 4 !·~ 62 - 9 · ·- 6..1.. 7 90 621 l” 94
09 政治学经济学与打学 2 2 616 i 616 89 61 6 89
10 社会学 2 2 616 614 87 615 88
, __
11 思想政治教育 2 2 616 614 87 615 88
2022 12 教育学类 3 3 618 617 90 617. 7 90. 7
---- I _,,一几, _
13 汉诏言文学 7 10 623 619 92 621 94
14 传播学(网络新媒体方向) 3 3 614 613 86 613. 3 86 3
15 历史学 3 4 618 617 90 617. 5 90. 5
16 丁商管理(数字企业管理实验班) 2 l 614 614 87 614 87
卜一- - 17 公共管埋类 3 I 613 613 86 I 613 86
18 戏剧影视文学 2 i 2 607 582 55 594. 5 67. 5四、2020-2022 年河南省普通高校招生本科一批分专业录取情况统计表(文科) .293 ·
录取分数统计
专业 晟低分 平均分
年份 专\IV名称 公布 录取人数
代码 最高分 最低分 与分数 平均分 与分数
I 线差值 线差值
08 人文科学试验州(励耘实验班) 3 1 3 659 657 一一99 一6一一5一一8”' 100
09 哲学 I 3 3 651 648 90 649. 3 91. 3
10 金融学 2 2 649 647 89 648 90
11 法学(阜越实验班) 2 2 653 652 94 652. 5 94. 5
12 法学(淌德2班) 2 2 657 654 96 655. 5 97 5
13 政治学、经济学与哲学 2 2 649 648 90 648.5 90. 5
14 社会学 2 I 647 647 89 647 89
2021 15 思想政治教育 2 3 653 647 89 649. 3 91. 3
16 教育学类 3 3 652 650 92 651 3 93. 3
17 从语言文宁 7 7 656 652 94 653 9 95. 9
18 传播学(网络新媒体方向) 3 89 648 3 90. 3
麟
19 历史学 3 飞 1 91 650 3 92.3
20 J商管理(数了企中管理实验班) 2 I I 89 647 89
21 公共符珅类 玉 3 编~? 3 89 647. 7 89. 7
22 戏剧影视文学 \ , '2` > \、,... 2 640 639 81 639. 5 81. 5
1401 北京师范大学(珠海校区) 又-; •:..
01 社会科学试验班 I 4 4 600 599 72 599. 8 72. 8
2022 K3 5
?, O2 人文科学试验班 ,'. 6 6 607 601 74 602. 5 75. 5
,\' o01i 社会科学试验班 3 3 636 633 75 634. 7 76. 7
20勾\七,
; , \02, 人文科学试验班 5 5 639 634 76 636. 8 78. 8
1405\东北师范太学 `
.
飞\”'1()7 经济学类 5 5 585 581 54 勹I 582. 8 55. 8
08 法学 4 4 585 581 82 5 55.5
09 政冶学类 5 5 586 582 55 1 583 4 56.4
10 马克居、主义埋论类 7 7 591 584 57 ! 586. 1 59.1
11 教育学类(师范) 2 ! 2 584 583 56 583. 5 56 5
2022 12 汉语言文学(师范) 4 4 592 589 62 590 63
13 俄语(师范) I 1 583 583 56 583 56
14 商务英语 2 2 588 583 56 585. 5 58. 5
15 新闻传播学类 3 3 585 581 54 582. 7 55. 7
16 历史学(师范) 4 4 587 586 59 586. 8 59 8
17 会计--学---(中外合作办学) 5 5 571 566 39 568 4 41. 4
08 纾济学生 6 6 620 615 57 卢617 过 59
09 、1、六I^'芒子 2 2 621 616 58
10 政冶学类 6 6 56 I
11 马克思七义珅龙类 6 6 釭6佑, 畔66芷 58 619 `: ,6l
I 1<
12 教育宁类(帅范) 4 4 §\ 5 57 6 18 \ 60
2021 13 汉语言文学(师范) 2 2 65 624 66
14 日语(师范) 2 2 618. 618 60 618 60
15 商务英语 , _ ;, 2 ?', 2 618 617 59 617. 5 59. 5
16 新闻传播学类 ' 3 3 617 614 56 616 58
17 历史学(师范)L 3 3 623 618 60 621 63
18 会计学(中外合作办学) 2 2 612 608 50 610 52
09 经济学类 3 3 610 606 50 608.3 52. 3
10 政治学类 9 9 , 609 605 49 606. 6 50. 6
11 竹克思主义珅论类 7 7 616 606 50 612. 1 56.1
12 教行学类( _, 帅 ' 池 ,人 ) ,' 4 4 612 606 50 608 8 52. 8
13 从治言文学(师范) 7 7 612 610 54 610 7 54. 7
14 萸语(帅谊) 3 3 613 608 52 610. 3 54. 3
2020 15 俄语(师范) 3 3 609 607 51 608 52
16 日语(师范) 3 3 606 606 50 606 50
17 商务英语 2 2 610 607 51 608. 5 52. 5
18 新闻传播学类 3 3 611 608 52 609 53
19 历史学(师范) 6 6 610 605. 49 607. 2 51. 2
20 会计学(中外合作办学) 2 2 595 594 38 594. 5 38. 5
21 产播电视编羊 3 3 592 590 34 591 35• 294 • 第三章录取统计
录取分数统计
专业 最低分 平均分
年份 专业名称 公布计划 录取人数
代码 最高分 最低分 与分数 平均分 与分数
线差值 线差值
1410 华东师范大学
09 哲学 1 1 608 608 81 608 81
10 金融学类 2 2 618 612 85 615 88
11 法学(双学位) 2 2 610 609 82 609.5 82.5
12 法学 1 1 612 612 85 612 85
13 政治学与行政学 1 1 607 607 80 607 80
14 政治学与行政学(双学位) 2 2 607 606 79 606.5 79. 5
15 社会学类 2 3 605 605 78 605 78
16 马克思主义理论 l 1 610 610 83 610 83
17 教育学类(师范) 3 3 609 607 80 608 81
18 汉语言文学 2 2 617 子6,16 ;; 二刀姐 616.5 89. 5
19 608. 7 81. 7
2022 汉语国… 乌订甘了归
20 英语 84 611 84
21 俄语 了久;订78.J.竺 605 78
22 法语 三丐 ,尸 81 608 81
23 日语 一, 了 心琴畛 80 607 80
24 -围新历翻译史闻气传播学三学,-,心归、类 t,,,_已,,,,编 立,产 飞,·,让飞,3 古二式1 610 610 83 610 83
- 25三'\• 亡,匕.千年-产`` • ·;,矗已\.,亡石&.已;二;玄:占. 2 2 613 611 84 612 85
`?\ ' ',\ _?26.\ 了一-;_`r飞,. 1 1 614 614 87 614 87
I-勹\\.勹`~27 l ` ? ` \-- 人文地理与城乡规划 l 1 611 611 84 611 84
28:, 守,工商管理类 1 1 609 609 82 609 82
r 飞 -29 工商管理(中法创新实验班) l I 609 609 82 609 82
30 公共管理类 1 1 606 606 79 606 79
09 哲学 1 1 643 643 85 643 85
10 金融学类 2 2 646 646 88 646 88
11 法学 1 1 646 646 88 646 88
12 法学(双学位) 2 2 647 647 89 647 89
13 政治学与行政学 1 1 644 644 86 644 86
14 政治学与行政学(双学位) 2 3 643 643 85 643 85
15 社会学类 2 2 643 643 85 643 85
16 马克思主义理论 1 1 644 644 86 644 86
17 教育学类(师范) 3 3 646 644 86 645 87
18 汉语言文学 2 2 646 646 88 邵 I,,冬于,二 88
2021
19 汉语国际教育 2 2 644 643
:巨85今·}诏3卢詈
|2; ;,85. 5
20 英语 2 2 645 砃产, I产飞.86.5
21 俄语 2 2 ,85
22 法语 1 了I、多砑 巨644口沧 26'43,立七 '86 邓牡; 已,今86
23 日语 2飞羡 " ;` 口t-,8 5它.f 六式' ~ 6 43 • 5 85.5
24 翻译 子产 心 ,, 1 夕 .队4,`众: 86 644 86
25 新闻传播学类- ,\- -,\ 芷 2 心了\2 户如飞4f 644 86 644.5 86.5
'
26 历史学:三::::\`一“I:\ "·•吐2上、 `-§ L ` 1 644 644 86 644 86
, 1
27 人文地理与城乡规划 f气飞.·i 江_,._._乞 2 644 643 85 643.5 85.5
28 工商管理类 夕.5'气,二上-\·,” 之全:勺 • 一·,色心、才 .3 . 2 2 645 645 87 645 87
29 工商管理(中法创新实验班) 1 1 643 643 85 643 85
30 公共管理类 2 3 644 643 85 643.3 85. 3
10 哲学 1 1 633 633 77 633 77
11 金融学类 2 2 638 636 80 637 81
12 法学 2 2 636 635 79 635,5 79. 5
13 政治学与行政学 2 2 635 631 75 633 77
14 政治学与行政学(双学位) 3 4 634 632 76 633. 3 77. 3
2020 15 社会学类 3 3 634 633 77 633. 3 77. 3
17 教育学类(师范) 3 4 634 631 75 632. 3 76. 3
18 汉语言文学 2 3 639 635 79 636. 7 80. 7
19 汉语国际教育 3 1 632 632 76 632 76
20 英语 2 2 633 633 77 633 77
21 俄语 2 2 631 631 75 631 751
四、2020一2022年河南省普通高校招生本科一批分专业录取情况统计表(文科) • 295 •
| :
专业 I公布计划良取人数
年份 代码 乓,W名称
最高分 1 最低分
`
三
丿:一 1勹
2020
划
新
验觅 勹勹
14 -
华
526422332123?4646672653-624679626三751648632653643-6236256?4637629643633692703691699732714-7-5473368628638639629752639628638622- 62-6361646962636562656563-61
5 5 5
2
6 4 2 二 9 7 跑 5 9 1 8
2 3 } 妇 5 9 三
3
2
} 69 2
1 2 05 5 9
3 3
2 5 9
- 4 - 6 5 9 9 2 -
2022 - 4
2 4 t
;
2 7 5 5 勹 8
2 5 9 9 6
4 9
2 1 5
6
5
2 0
` 0 9 /
5 6
- 9
5
6
1
9
5
3 9 3 9
2 5
』
飞 5 9
勹 ~ 9 8
- 2
2 2 5 5 0 -f
2021 2
』 3 码9 9
- -
2 16 5
4
3 2 5 2 5 -
3 2 9 9 4 6 9 』 -
2 4 56 0 5 56
4
92 5
』
5 8 9
5 6 2 5
- 9
5
73
-2
9
54 三
飞 9 1 -
6
2 3 3 2 5 7 5 3 5 9 」 」 9 6
』 3 2 3 2 93 0 2
76 68
5 5 6
2
` 9 9 2/
9 』
0 2
66
5
32
1 9 29-
6
6 1 -
- 2 6 5
92 9 1
66
4 -
/ 3
0 6 5 9-6
6 2 9
23 6
96 5 6-
6
一 2 9
3
1
2 0 62
66 5
32 9 -
9 3 0
6 36 6 9
51 2 86
二 69 7 6
3 6
6
7
2
62
8
25 0
76 6 -
--
2
2
7
9
厂 6
6
2 5
2
7
-66
0
6
6
3
1
1
9
6
6 2
22
飞 6
2 9
2 6
6 3
2 3
-6
1 6
6 3 2
2 1
_
3 6
6 2 6-
2 6
3 6 8
6 2
6
2
雪 0
6 26
2
6
6
1
6 -
8
2
-
7 92
6
2
一
7
6
6
0
3
0
6
2
7 2
-
二 6
2
6
6
2
86
6
6
三 1
8
6 4
1 -
8
6
1
尸 9 -
6
6
1
7
6
2 8
0
』 6 2
2
5
-
6
1
8
8
6
- 1
6
9
6
2
1 -
6
2
1
8
』
6
2
6
1
6
2
1
6
-
1 2
9
6
1
7
-
-
6
-· 296 · 第三章录取统计
I i I 录取分数统计
专业 i公布十划录取)数1 最高分 1 最低分 1 最低分 I I 平 厂
年份 右业名称
代码 与分数 平灼分 勹分数
I 线差值[—一—」线差值
1420 陕西师范大学 `'
17 哲学(新文科班) 4 4 I 586 I ss2 55-58-57 5 - 8 5 4 7 . - 5 3 9 64-62 5 -5 7 2 . - 3 5 5-52-59-6152-54-18-63-27-64-69
} I
18 经济学类 I 4 5 :1 586 1 I 585 585. 6 58 6
19 社会学 二 勹 2 I 5 5 8 8 8 5 I 584 584 5 57. 5
20 马克思主义理论 ;i 22 586. 3 59. 3
21 教台学类 2 I 594 !效f 590 63
22 中国语言文学类 I 4 4-2-5 5 591 64
23 外国语言文学类(英语) ! 2 59i 9 590 63
2022 I 24 俄语 5 58 1 1 1 579. 8 52. 8
25 法语 2 2 i 586 - 584 57
I
26 H语 4 4 588 5 582. 5 55, 5
27 新闻传插学类 2 8 586 5 59. 5
_
28 历史学类 3 9 589. 7 62. 7
2
3
9
0
工
公
尚
共
管
管
理
理
类
类
6
8
颈 5--
5
5
7 5
5
8
8
2
1
. 3
4
5
54
5
. 4
3
31 | [定向]汉语百义学(师范) 1 - 87 9 545 18
17 哲学类 5 621 621. 6 63. 6
9
18 L定向]思想政冶教育(师范) 1 1 158 - 5 585 27
I厂 2191 [教中育国语学舌类文学类 —- — 6 三::5 621 65
3 - 628 70
5-6l7_6 8
2021 22 外国语言文学类(英语) 5 624. 2 66. 2
52 .
2 2 3 4 新 外国 闻 语 传 言 播 文 学 学 类 类(北英语) 4 5 二 - :62曰0 7 .i 6:2勹7
4
25 历史学类 6 5
27 公共管理类 57 62三」. 635—
I I 17 哲学类 -/勹 614 6192 56 613', 57
I/T
有(师范) 572 57-2 16 572 16
671-6628-61 6616-18--651
5 60 616. 6 60. 6
62-59
8 十 `621. /5 I /65. -5
6
6l4 7-4
615 611 55 612.4 56. 4
616 614 58 614. 8 58诫8
58 616. 6 60. 6
/ / 1 - - = : T
2022
2 I 2 I 587 I 587 I 60 i 587 I 60
___ m - 1-^ 3 3 -- I I m 一一 3 3 ^ 上 I I _ —- - s 5 - s 7 o 6 — I I -- s 5 - 7 7m 3 0 - I 4 4-3 6 I I 57 s 3 n . 3 I i ! - 4 s 6. o 3 —
I / l i 626 / 626 / 68 / 626 : I I 68
15 经济学(中外合什办学) 3 I 3 I 620 I 590 I 32 I 608 I 50
---
2021 f---“ — I 达'孚今 --气一 ---+-- l 一二十 625 二25 67 62二;“ 67 -
17 1 思想政冶教育 l I I I 625 I 625 I 67 I 625 I G7
~---- -
18 教育羊(如旧初创新久验班) l l 628 I1 628 70 628) 70.
四、2020-2022年河南省普通高校招生本科一批分专业录取情况统计表(文科) 297 •
或取分数统计
公布计划I丿权人数
年份 专业 专业名称 最低分 I 平均分
代码 最高分 最低分 II 勹分数 I 平均分 与分数
线,差f扛 线差值
19 中匡语言文学类 2 2 631 625 67 628 70
20 英语 1 I 624 624 66 624 66
21 俄语 1 1 626 626 68 626 68
22 德语 1 1 625 625 67 625 67
23 日语 1 1 628 628 70 628 70
`· 24 新闻学 1 1 625 625 67 625 67
2021
25 历史学 l 1 624 624 66 624 66
26 心理学(中外合作办学) 3 3 619 583 25 596 38
27 应用心理学 I I 1 625 625 67 625 67
l -
28 工商忤理类 i I I :I 624 624 66 624 66
29 农业经济管理类 ! 1 I I 624 卢咕气劝 66 624 66
30 公共管理类 2 I 2 气,L,如位624 勹 66 624 66
14 经济学类 2 6] 618 62
15 经济学(中外合作办学) ¥a~矗 ~ 2 609 53 609. 5 53. 5
1:,.,
16 法学 1 \ "'1 621 621 65 621 65
1
1
7
8 教
思
育
想
学
政
类
治
(
教
晏
育
阳初实
_
验
/、
班)
,. 、
I~
飞 /』/、
2
,2
,.,!!
|
飞
,2
r2
6
6
1
1
8
9
6
6
1
1
6
8
6
6
0
2 61
6
8
17
. 5 62
6
.
1
5
「 19 \\屯国语言文学类 1 ,',',~'`了“ 2 2 620 620 64 620 64
\ \ 20 英语 ,..; ; '\, 1 1 623 623 67 623 67
,', 12尸\1,尸\' \ 俄语 :I\\ \ 1 1 617 617 61 617 61
卢, 心凸,华f 飞德语 1 1 614 614 58 614 58
2020 nY23 日语 I I 615 615 59 615 59
24 新闻学 2 2 617 615 59 616 60
25 历史学类 2 2 616 615 59 615 5 59. 5
26 拙了用科产学举 1 1 620 620 64 620 64
27 心理学(中外合作办学) 3 3 612 610 54 611 55
28 应用心理学 1 1 620 620 64 620 64
29 工商管理类 1 1 618 618 62 618 62
30 文化产业管理 2 2 616 616 60 616 60
31 农业经济管理类 1 1 616 616 60 616 60
32 公共管理类 2 2 618 617 61 617. 5 61. 5
1427 西南大学(荣昌校区)
01 国1外经济与贸易 I 2 2 576 574 47
5甘~ 立言
02 市场营销 4 4 576 571 44
2022
03 公共事业管理 2 2 酰如泣编I 45 57
04 物流管理 1 I 48 575 ."干48
01 巾场营销 4 i, 4 l卡 52 611飞 飞 53. 8
2021
02 物流管理 3 3 "· 51 610. 3 52. 3
2020 01 市场营销 \、 4- 1 4 602. 601 45 601. 8 45. 8
02 物流管理 - ` II 3 3~ 601 600 44 600. 3 44. 3
1430 北杲外国语大学I ,
01 外交学 \I\ i '二::-沁i\匀,l.\ · ', i 2 2 598 596 69 597 70
~、
02 汉语言文学 2 2 593 593 66 593 66
03 汉语国际教育 1 l 610 610 83 610 83
04 英语 2 2 609 600 73 604. 5 77. 5
05 俄语 I I 597 597 70 597 70
06 伈语 2 2 594 593 66 593 5 66.5
07 认治 2 2 596 595 68 595. 5 68.5
2022 ^”~
08 西班牙语(中国人民大学国际新闻传播专 l 1 604 604 77 604 77
业联合培养)
09 西班牙语 l 1 600 600 73 600 73
10 日语 1 1 611 611 84 611 84
11 新闻学 2 2 594 593 66 593.5 66. 5
12 工商管理类 2 2 593 593 66 593 66
13 外交学(中外合作办学) 2 2 591 591 64 591 64· 298 · 第三章录取统计 `-----
T 卡取分u璧统 ---
取 厂 `6 分 2 C 763勹0648641- 最 勹 残 63 低 分 入 86 分 数 37 丁 63863763061 平 与 线 0 灼 分 差 62 分 妏 值 6-613634626637-634634637638635-610604-612
了
422l2-22-22212值2142-21l12i]ll
5 65
6 7- 8 -7
7- 52
/-
/ /22/412233 2-1 2
8
12-- -- 7
-
-
8
5 73
-JJ- -
0
-8 -8
1 -_- 10 7
8 _7
一 合 6 0 5-
7
t I夕I ) 卜 作 ) _ 7 5 47 -
4
7
67
6
4 9
办学 3 7
-_ 3 』 6
i 7
6 8
二 1
邓
/ - 7-8
4 5
4
, 881-
2
6
6
9
6-
7
[ 13 6 6
厂 8
I 14 0 _
| 1 5-
1435 北京语言大学 7 5
03 绎济学(经济金融统计与分析) 1 1 572 572 845 572 上—-7尸4
丿 __ + m 0 0 0 6 5 4 闰 - 际 I I- 半 金 国 国 献 际 际 务 学 政 经 与 冶 济 们 与贸 际 易 关系 2 3 2 I I ! I 3 2 2 1 I I / 5 5 5 5 7 7 7 7 1 4 8 2 I I / 5 5 5 5 7 7 7 7 1 3 5 2 8 / I I, 6 2 7 6 4 4 4 4 4 6 5 8 I [ 1 , _ 一 5 57 5 5 7 6 7 7 : , 2 l U 5 ' / 厂 , I 5 言 4 4 6 9 7 4 8 5 6 . . 5 3
7
/ 08 丿汉语言文学 4 4576 575 748 丁— 5758 ! 488
6
2022 ~ /一 l 飞 风 国 语 语 匡 言 向 文 教 学 育 类 - - 2 3 I 2 3 I s 5 7 75 s I 5 s7 75 4 I 7 8 4 4 8 7 _ I 1 」 s_7 57 s_. 5 7 上 - i _4 4 产 8 I 7 _
11 鄱译(汉英法) I l I 575 I 5752 I, 848 三575i 48_|
l2 新闻学(国际新闻传播) 1 1 575 575 148 575 I 48
13 心 - - 理 - 学 - --- ------ -------- ----- 1 - -- -- 1 - - I 572 I sn I 845 I 572 i
尸4_^会计产_一一 二 l 9
574 574 2 47 574 l ::
1 15 6 财 人 务 力 管 资 理 将管理 1 I I i 1 1 I I s 5 7 6 3 2 I I 5 5 7 6 3 26 I I ~ 4 7 7 35 6_ I I _ _ s 5 1 6 — 3 2 - ! ! 尸 m_ 4 3 _ 5 6 _
02 金砑学 2 I 2 ] 6ll j 610 ] 5 52 ] 610. 5 ! 52. 5
4
03 国际经济与贸易 _ _ 1 , : _ 1 _I 61 ^ 1 I 611l - I -
1
5 — 3 一 - I 611 I 53
[ 04 国际政治 1 1 609 609 851 609 51
L _ 05 国际事务与国际关系 1 1 609 6巴 0 / -51 609 4 二6051. 4
_()_6 汉语言文学 4 5 623 616 558 618
_ ^一07 汉语国际教育 3 I 3 I 615 I 611 I 563 I 612. 7 I s4. 7
2021 ! f ---- 0 - 8 - ----i I 外匡语言文学类 ! 4 I 4 I 616 I 6106 I -s2 I 614 I s6
L 1 匕 , __ -0 JO 9 -,— I _翻 翻 ^ 译 译 ( ( / 英 又 语 - 萸 ) 法) — , 」- l I I j 1 I I I 6 61 ] 9 1 I I 6 61 ] 1 9 I j 5 61 3 I j 6 61 1 1 9 I j 6 5 1 3
2
11 心理学 I I 1 I 614 ! 614 I 56 I, 614 I 56
勹 1 了 2 人'会计三学 爪_ _ _ _ _ l - I l I 1 I / [ 6 6页 10 二 i - 610 9 5 I 5 52 l I , 6 60 1 9 0 I 5 51 2
' i j :
/-t1,tJ学
12 [216071
04 I 令 _ 臼学 _ (宏 _ 观经 济核符与分析) I 1 I 1 - I s, -
~os I WI际经济勹贸易 _—- 厂- 厂 1 1--6C 1- ::
2020 I 1
06 \国际政冶 1 l
三1一言三:/P了关系一 一//勹 6
,
1
6
:
6
3
2
6
3
3
6
3
4
6
3
7
6
1
8
6
3
3
6
1
0
6
0
4
-
6
1
2四、2020一2022 年河南省普通高校招生本科一批分专业录取情况统计表(文科) . 299 ·
录取分数统计
专\ll' 最低分 平均分
什份 专业名坋 公布计划 录取人数
代码 最的分 最低分 与分数 平均分 勹分数
线差值 线归直
09 汉语国际教育 3 3 614 607 51 611 55
10 英语(英西复语) 1 1 619 619 63 619 63
11 英语 2 2 622 612 56 617 61
12 翻译(汉英法) I I 610 610 54 610 54
2020 13 翻译(英语) 1 1 617 617 61 617 61
14 新闻学(国际新闻传播) 1 l 608 608 52 608 52
15 会计学 1 1 604 604 48 604 48
16 财务管理 1 1 609 609 53 609 53
17 人力资源管理 1 1 607 607 51 607 51
-1-4一4··0·· 卜'海·`外^国语大学
~
01 I 金融学 1 1 598 -勹十去 598 71
02 国际经济与贸易 1 1 591 591 64
03 外交学 597 569 42 583 56
l±2
2022 04 英语 -杰 l 1 1 605 605... •, `78 605 78
05 法语 1 1 562 562 35 562 35
07 新闻传播学3合(卓越国际新闻传播人才计划) 2 2 ',5 85 544 17 564. 5 37.5
08 _ \会计学 l 1 599 599 72 599 72
Ol J \
国际经济勹贸易 1 I 639 639 81 639 81
飞I 夕 ~\. \ \ \ O 03 ,2 ~ _ \ 政 国 治 际经 学 济 与 与 行 贸 政 易 学 (日语) 1 1 1 l 6 6 3 3 6 6 6 6 3 3 6 6 7 7 8 8 6 6 3 3 6 6 7 7 8 8
04 汉语国际教育 I 1 635 635 77 635 77
2021 05 英语 1 1 642 642 84 642 84
~^
06 德语 I l 639 639 81 639 81
~ ~ 07 法语 1 1 644 ^~ 644 86 644 86
08 新闻传播学类(卓越国1;,了新闪传播人才计划) 1 1 638 , 6_3 8 80 638 80
~--
09 工商管理类(卓越管埋人才ii划) 1 1 639 639 81 639 81
01 国际经济与贸易 2 2 630 630 74 630 74
02 法学 I 1 629 629 73 629 73
03 汉语国际教育 2 2 628 626 70 627 71
2020 04 英语 2 2 631 629 73 630 74
05 德语 2 2 629 629 73 629 73
06 工商管理类(卓越管理人才计划) l 1 628 628 72 628 72
-----
07 会计学 1 1 632 632 76 632 76
1445 上海财 01 经 大学 金融学 .'"石俨, __, ',',,', 2 2 三启`俨啊篮 81. 5 ^ ~
02 法学 3 4 605 ! 60 8 76. 8
2022 03 工商管理类 5 ; 6 tL 6os i 60 s I 75, 8
05 会计学 a`l 妇 1 606 606 !\ 179,m 606 79
06 财务管理(智能化方向) \、` 1 l 603 }', 603 76 603 76
01 金融学 \ , ~ ^ 、\飞; \ 2 2 654 654 96 654 96
02 法学:_- '` \ , 3' 3 646 641 83 642. 7 84, 7
03 卫商管理类 飞,\ \ 2 2 644 642 84 643 85
2021 04 工商管理(`中 外合作办学,会计学ACCA) 2 2 642 641 83 641. 5 83. 5
05 会计学` `一飞 1 1 653 653 95 653 95
06 财务管理 1 1 652 i 652 94 652 94
07 公共管理类 3 3 643 641 83 641. 7 83. 7
i 01 金融学 2 2 648 647 91 647.5 91 5
02 法学 3 4 644 636 80 640. 3 84 3
i 03 1 工商管理类 2 2 647 1 645 89 646 90
2020 04 工商管理(中外合作办学,ACCA) 2 1 646 646 90 646 90
05 会计学 1 1 645 645 89 645 89
06 财务管理 I 1 645 645 89 645 89
07 公共管理类 3 3 644 635 79 638. 3 82. 3· 300 · 第三章录取统计
叮份 专代仲码 公布计划1l求取人数 展低分1求聪`岔统数计`
'!, |l ;, 专业名称 , !I 平 与 均 分数 分
线差值
1450 对外经济贸易大学
01 !经济学类 6 6 606 605 78 605. 3 i 78. 3
02 金敞学类 7 7 618 606 79 610. 3 83. 3
2022 ! , 03 法学类 i 4 I 4 610 605 78 606. 8 i 79. 8
04 外国语言文学类 3 3 604 604 77 604 77
05 丁商管理类 9 9 i 605 602 75 603 9 76. 9
01 经济学类 6 6 642 641 83 641.5 83. 5
02 金融学 4 4 I 6s1 644 86 647 89
03 投资学 I 3 3 639 639 81 639 81
2021 04 法学类 5 5 643 639 81 640 8 82. 8
05 从国语百文学类 3 3 I 639 639 8 l 639 81
06 工商管理类 8 8 641 639 81 639. 9 81. 9
07 公共管理类 2 4 I 639 638 80 638 3 80. 3
01 经济学类 3 3 631 628 72 629. 7 73. 7
02 金融学类 2 2 I 634 630 74 632 l ~ 76 __
03 金融学 3 3 I 645 637 81 639. 7 83. 7
04 保险学 i 2 2 I 627 627 71 627 71
2020 05 投资学 2 2 1 626 626 70 626 70
, 06 - 法学类 3 3 I 634 630 74 632 3 76, 3
07 政治学类 I 4 4 626 625 69 625. 5 69. 5
08 中国语言文学类 I 2 2 626 I 62s 69 625. 54, 69. 5
09 工商管理类 6 6 I 630 627 71 628 2 72. 2
1455 西南财经大学
01 经济统计学 1 l I 596 596 69 596 69
0 0 3 2 财 金融 政 学 学 类 类 3 4 ,__ 4 3 1II ` u-5s99-49 一 一 I I 5 5 9 9 - 8 3 — 6 71 6 5 5 9 9 1 8. . 5 7 6 7 6 1 . . 5 7
04 金融学类(保险方向) 2 2 'i95 595 68 595 68
05 金融学(双治实聆班) 2 一厂I 『 56906 69 596, 5 69. 5
2l : 569077 I 7
,_ 06 金融学(经管国际化创新实验班) I 80 607 80
0 0 7 8 ~ 经 法字 济 ( 与 法 贸 学 易 与 类 会计卢双学位) ~3一 1 ·一— 卜一·- 3 1 · 5 5 9 9 5 4 ·· >1 --I5 s-9914 6 67 4 · 5 5 9 - 9 2 4 7 65 6 . 7 7
09 法学(法学与国商双':f位) I I 593 593 66 593 66
2022
l。 外国语言文学类 2 2 591 i 590 63 590 5 63. 5
11 新闻学(数字传播义验班) 2 2 i 592 592 65 - 592 65
1 1 2 3 . J L 商 .网 管 官 珅 坢 类 尖 (会计学院) 5 3 LI. 53_ ji. 5 5 竺 97 , 5 5 9 9· 0 4一 6 6 3 7 5 5 9 9 2 'i . . 4 3 ,~ 6 6 5 8 ~ . . 4 3
14 工商俘于阻(双语实验班) l 1 592 592 65 592 65
15 会计学(双语文验班) l l 595 595 68 595 68
l6 公共管理类 1 l 591 , 591 64 591 64
17 会计学(中外合作办学) 2 2 5产580 53 583 56
18 国际商务(中外合作办字) 3 3 [557808 51 579. 3 52. 3 ~ `
01 财政学类 3 3 630 628 70 629 71
l --l
02 金韶学类 4 4 6飞8 632 74 635 77
03 金席灯类(保险学阮) 2 2 629 629 71 , 629 7 I
---- ---
04 金糊学(双语实肣班) 2 2 630 630, 72 厂i 66 30 _~ 72
~ ~ [个经祀济学与贸(经易管类同际化创祈实归) I I 636 "6"3『6 ~-”“7一8 ~ 36 78
11 Fi -m ^· 000675 ·· 法学 , 21 !!I 21 6 6 2 2 8 8 6 6 2 2 8 8 :I1 7 7 0o ___II 6 6 2 2 8 8 俨? 7 7 0 0 ?
2021 08 法学(法学与国商双学位 l I 631 6633]1 I~i . n i 631 73
09 法学(法学与会计学双学位) 1 l 631 73 631 73
10 汉语言文羊(文创实验班) l ; I 627 627 69 627 69
11 I 外口语石文学类 ! 2 2 627 627 69
一 1"2 ~ ~ 新闻学(数字传播艾垃班) I 2 2 627 627 l 69~ 627 69
!~
13 l商管理类 i 2 2 629 628 70 628. 5, 70 5
14 J商管理类(会订学院) i 3 3 631 628 70 629 71
15 丁尚管理(双语实扲班) ! l I 628 628 7() 628 70.
四、2020—2022 年河南省普通高校招生本科一批分专业录取情况统计表(文科) 301 •
录取分数统计
年份 I t业
最低分 厂i 勹线勹卫芒··一分J分
专业名称 公布计划 录取人数
代码 最高分 最低分与分数平均分 数
线差值 值
L厂__ 会计学(双语实验班) 1 1 628 628 70 628 70
2021 , 16 ,~ 会计学(中外合作办学) 2 2 626 615 57 620. 5 62 5
18 国际商务(中外合作办学) 2 2 619 613 55 616 58
19 公共管理类 1 1 628 628 70 628 70
01 财政学类 2 2 625 622 66 623. 5 67. 5
02 金融学举 3 3 642 629 73 634 78
03 金融学(双语实验班) 2 2 626 626 70 626 70
04 金融学(证券与期货方向) l l 623 623 67 623 67
I 05 I 保险学 1 1 623 623 67 623 67
06 | 保险学(财务与会计双沿-实~验`班_)_ _ 1 l 625 625 69 625 69
07 经济与贸易类 3 3 623 621 622 66
2020 ~ I 00`8 ” 9 “? ? •• !法学(法学与会计学双学位) 1 1 622 622 622
汉语言文学(财经文秘方向) 1 1 622 622 66 622 66
10 外国语言文学类 嘉g ; 3 r 3 621 620` " 1从飞4、立 620. 3 64 3
11 新闻学(经济新闻力向) 夕. 2 2 619 6 19 63 619 63
12 上商管理类 2 2 \ ,飞',~
\_.,6,22
` 621 65 621. 5 65. 5
13 丁商管理(双语实验班) C~ 2 2 621 620 64 620. 5 64. 5
l A/ 人力资源管理 \,' 2 2 622 620 64 621 65
I l5 行政管理 心\, 1 1 619 619 63 619 63
146d 中央财经大学 J夕\
L
03 经济学类 2 2 6五勹"枷 82 61-1.5 84. 5
04 财政学类 3 3 608 i 601 74 605. 7 78. 7
05 金融学类 3 3 628 617 90 622. 3 95. 3
06 法学(卓越法治人才教育培养计划) 3 3 600 600 73 600 73
07 社会学类 3 3 602 596 69 598. 3 71. 3
2022 08 外国语言文学类(财经英语、财经翻译) 2 2 601 600 73 600. 5 73. 5
09 新闻传播学类 2 2 601 599 72 600 73
10 」商管理类(会计学院) 4 4 616 601 74 610 83
11 T商管理类(商学院) 2 2 601 600 73 600. 5 73.5
12 体育经济与管理 2 2 599 586 59 592. 5 65. 5
13 公共管理类 4 4 599 595 68 596. 5 69.5
05 经济学类 2 2 652 646 88 649 91
06 财政学类 3 3 646 642 84 643. 7 85, 7
0 0 8 7 金 法学 融 ( 学 卓 类 越法治人才教育培养计划) 6 2 2 6 6 64 5 1 8 I 的 63 彗彗 '8 9 8 1 7 , 8 5
09 社会学类 3 3 642 ! 63 7 81. 7
I
2021 lO 外国语言文学类(财经英语、I,!才绎酌译、财 ,J'i.飞 卢3>,,'又二江,' ' 639 , 63 1 79 7
经H语) \
11 新闻传播学类 _ . ? 3 3 6J3. 7` :'·、, 636 78 636. 3 78. 3
12 工商管理类(会计学院) 2 2 I''642 642 84 642 84
13 丁商管理类(商学院) , 2' 2 645 641 83 643 85
14 体育经济与管理 3 3 641 636 78 637. 7 79. 7
、~~
15 公共管理类 3 3 641 638 80 639. 7 81. 7
05 经济学类\i 2 2 645 641 85 643 87
06 财政学类 3 3 641 639 83 639. 7 83 7
07 金融学类 2 2 651 647 91 649 93
08 法学 5 5 635 633 77 633. 8 77. 8
」 09 社会学类 ·· 3 3 633 632 76 632. 3 76, 3
2020 10 汉语言文学 2 2 634 634 78 634 78
11 新闻传播学类 2 2 636 633 77 634.5 78. 5
12 工商管理类(商学院) 2 2 638 635 79 636. 5 80.5
13 丁商管理类(会计学院) 2 2 638 637 81 637.5 81.5
14 体育经济与管理 1 l 636 636 80 636 80
15 公共管理类 2 2 633 633 77 633 77· 302 · 第三章录取统计
录取分数统门
年份 女代业码 专业名称 公布计划!录 取人妏 i 最低分与最分低数平分均分平均与分分数
!1
线}仇 线差值
1465 中国政法人学
01 行学(技尖创新人才培养实肣班) ] ] 601 601 74 601 74
02 法学 25 25 620 604 77 612, 7 85 7 俨
~
03 法学(迂_、受寸人才培养栩式改革实验班) 8 8 631 ! 621 94 624. 5 97 5
04 政治学与行政学 I I 599 'i99 72 599 72
05 思想政治教育 2 2 598 I 597 70 597. 5 70 5
06 汉语言文学 2 2 603 i 599 72 60 I 74
2022 07 英诏(以律英语实肣班) 602 I 596 69 599 3 n 3
08 翻译(法律翻译实验班) ·一一· ·• 3 3 600 i~ 597 7~0 598 7 71. 7
~-U~`J
09 网络勹趼焊休 2 2 590 590 63 590 61
lO I商管理 ”“ 4 / 4 598 592 65 594. 8 67. 8
11 国际商务 2 591 591 64 591 , .6.4.
.
l2 公共事\Iv管埋 1 599 ,! 599 72 599 __ Li __ 72
01 哲学(拔尖创新人才培养实肣班) I I 64.-2 -6,4~ 2 84 642 I 84
02 法学(法学人才培养模式改革美验班) s s 657 6s 1 93 ”“~-6-54 i I 96
03 上学 25 : 25 6so 644 86 647. 4 I s9. 4
04 政治学与行政学 I 1 644 644 86 644 86_ —
05 『-思思政治教“一一育 ~22 -- 2 643 iI 641 83 642 84
06 汉语言文学 2 2 644 639 81 641 5 83 5
勹(l21 -~_~m __~.一..一- -
, 07 英语(法律英语实价卅) 4 4 648 . 637 79 640 82
08 翻译(法伴翻译实验班) 3 3 639 l 637 79 6377 79.7
_
09 网络勺斩媒体 _~ 2 2 G4_o_ I 639 __ s1 -— 639.s s1.s
10 「商管理 4 4 642 638 80 639,5 81.5
同际商务 2 2 642 64 l 83 64 l. 5 83 5
12 「~公且串_业管埋_ __ _.一 一1 1 638 638 80 638 上—竺!
01 法学(法学人才拓养模式改昂实肣班) 8 8 6s2 644 88 646 3 I 9o.,
02 )入学 26 26 644 637 81 639 3 ! 83, 3
03 政冶学与行政`f l l 637 637 ----8-l 637 : Sl
04 恩想政冶教育 2 2 636 635 79 635. 5 ; 79. 5
05 汉语言义学 2 2 637 636 80 636 5 80. 5
2020 06 英馅(法仲英语方回) 3 3 635 63:l 77 634. 3 78 3
07 伦语 2 2 633 633 n 633 I 11
I 08 鄱译(法律翻译方向) 2 2 634 633 77 633 5 ! 77. 5
i
09 网络与新媒体 2 2 636 634 i 78 635 [ 79
I 10 工商管理 2 2 634 634 78 634 I n
日 国际商务 1 1 636 636 j 80 636 [ 80
公共事\II,管理 1 1 636 636 80 636 80
1470 中国传媒大学
I 35 I j凶j;/J__)今丘竖-卜j-订',政羊(国家治理与政治传播力向) I, 一,3 3 595 589 一 1 62 -5-92 3 65飞
36 汉诣言文学 I 3 3 598 590勹I 63 594. 3 67 3
37 I 汉语同际教育 2 2 593 591 64 592 65
38 新闻学 2 2 606 602 75 604 i 77
2022 --3-9- --~丿-,告学 “--~2 -- 2 599 597 70 598 71
40 传播学(计算传播方向) 3 3 602 600 73 600. 7 | 73 7
41 I 传播学(舆悄分析方向) 2 2 597 --- 597 70 1--一·一597 | 70 -·一
--t
42 I悯管理 2 2 587 587 60 587 60
43 公共关系学 2 2 595 591 64 593 66
粒 政治学与行政学(国家冶理'j政治传播方侗?~) 1 3 ~ - 635 632 74 633 7 - 75 7
l
33 汉语言义学 2 2 634 634 76 634 76
34 汉语曰际教育 2 2 633 633 75 633 75
35 新闻学 2 2 646 639 ~---81- 642 5 -8-一4 5
2021 , 36 丿上.1;; ,学: 2 2 636 635 77 635, 5 Tl. 5
!i/ 3397 传插学 ”“~…,“~ ”~”~ -""" 2 ,'~” 2, ”“~ , 6~ 35 ·--~ 634 ··—76 .-· 634, -5 --76 5
网洛与新祝休(媒体创意方向) 77 636 3 78 3
丁商管理类 2 633 632 74 632. 5 74 5
40 公共关系学 2 2 634 632 74 633 75.
四、2020一2022 年河南省普通高校招生本科一批分专业录取情况统计表(文科) 303 •
年份 女业 录取分数统计
1 专业名称 公布计划 录取人数 最低分 平均分
代码 最阔分 最低分 与分数 平均分 I」分数
线差值 织芹仇
30 汉语言文学 2 2 626 624 68 625 69
31 汉语国际教育 2 2 626 622 66 624 68
32 新闻学 2 2 637 628 72 632. 5 76.5
33 广告学 2 2 628 627 71 627. 5 71. 5
2020 34 传播学 2 2 630 628 72 629 73
35 网络与新媒体(媒体创意方向) 3 3 632 629 73 630. 7 74. 7
36 上商管理类 3 3 624 622 66 623 67
37 行政管理(国家治理与政治传播方向) 3 3 629 625 69 626. 7 70. 7
38 公共关系学 2 2 , 625 624 68 624. 5 68. 5
1485 北京如空航天大学
;-l:· _, ~_
2022 I 03 社会科学试验班 10 10 613 607 80 610 83
2021 03 社会科学试验班 10 ·10 i 649 643'「I:$s滔 645. 8 87 8
1490 北京理丁大学 学-:,多' 夕`
2~.0.一2··2 ~? ~ 02 社会科学试验班(精品文科班) t i l l飞-:l二. 11 I 607 602 产 I ', 75~俨7俨_心咖 604. 1 77. I
2021 03 社会科学试验班 、~} 10 10 643; 634 76 636. 9 78. 9
2020 03 社会科学试验班(精品文科班) 10 10 631 629 73 629. 8 73. 8
1491 深圳北理莫斯科大学 --; 义--: - :\ 三 -?
Q1
2022 国际经济与贸易(中外合作办学) 3 3 530 528 I 529 2
2O2l 03 国际经济与贸易(中外合作办学) 。 9 582 558 。 563 5
1495 哈尔滨工业大学
一 I ! ` ` 0 ' 7 经济学 1 1 595 595 68 595 68
.. -
08 法学 1 1 595 595 68 595 68
09 I 国际组织与全球治理 3 3 592 569 42 581. 3 54 3
2022 编 10 社会学 1 l 597 597 70 597 70
11 I 思想政治教育 2 2 594 593 66 593. 5 66. 5
I l2 英语 3 3 598 593 66 595 68
13 建筑类(学制5年) 8 8 599 594 67 596. 9 69. 9
01 经济管理试验班(含AI联合培养班) 3 3 637 636 78 636. 3 78. 3
02 经济学 2 2 635 634 76 634. 5 76. 5
03 法学 I 1 634 634 76 634 76
2021 04 社会学 2 2 633 633 75 633 75
仁-炒 05 ,英语 4 2 632 631 73 631. 5 73, 5
06 建筑类(学制5年) 2 5 634 632 74 632. 4 74.4
I, _ ( )7 I 设计学类 4 3 I 638 632 76 3
[ 一` 01 ` ` `” 经济管理试验班 4 4 j 627 625 了68、飞~ 三 70 3
02 1 经济学 2 2 624 ! 624二坎 624 68
E:
03 '法学 l, 五 '. , 627 627 妥~ 71 己了` 义~.627 71
2020
04 I 社会学 ,2茫~: 2 624 623 '67歹\尸/已 623.5 67. 5
05 英语 '¥ - 3 3 623 623 67 623 67
06 设计学类 3 3 :623 623 67 623 67
~ ~
1500 哈尔滨工程大学 、
\'
01 法学、 \ 6 6 581 575 48 576. 3 49. 3
02 社会学 \ .,, •· :/> ~. 俨咖 , 7 7 574 573 46 573. 3 46. 3
2022
03 思想政治教育 2 2 578 575 48 576. 5 49 5
I 04 l 英语 4 4 574 573 46 573.5 46. 5
01 法学 7 7 612 610 52 611 53
02 社会学 9 9 610 609 51 609. 6 51 6
2021
03 思想政治教育 3 3 620 610 52 613.3 55 3
04 英语 7 7 oil 609 51 609. 9 51. 9
01 法学 7 7 604 601 45 602. 4 46会4
02 补会学 7 7 605 600 44 601 45
2020
03 思想政治教育 3 3 602 601 45 601. 7 45. 7
04 英语 7 7 604 600 44 601. 7 45. 7• 304 • 第三章录取统计
录取分数统计
专业 最低分 平均分
年份 专业名称 公布计划 录取人数
代码 最高分 最低分 与分数 平均分 与分数
线差值 线差值
1505 南京航空航天大学
01 金融学 2 2 589 588 61 588.5 61. 5
02 法学 4 4 591 587 60 588.3 61. 3
03 英语(民航业务、国际贸易) 2 2 596 587 60 591. 5 64.5
2022 04 日语 2 2 587 587 60 587 60
05 广播电视学 3 3 588 587 60 587. 3 60. 3
06 会计学 4 4 590 588 61 588. 8 61. 8
07 行政管理 5 s 589 587 60 587.6 60.6
01 经济与贸易类 10 10 627 623 65 624. 6 66. 6
02 英语(民航业务、国际贸易) 2 2 624 624 66 624 66
2021 03 日语 2 2 622 守~622 622 64
04 广播电视学 2 2 23 、了一五~亏622 622.5 64.5
05 工商管理类 10 10 / '12· 5 产622 64 623.2' 65. 2
01 政治学与行政学 3 3 飞17 6J6,了 ,,60了 616. 3 60. 3
02 英语(民航业务、国际贸易) 5 5 , 6l6 6占l2 - 56 614 58
2020 03 日语 , 2 c:` 了飞l5 612 56 613.5 57.5
04 1广播电 ';2 \ I?皇 22 616 616 60 616 60
4 4 618 614 58 615. 8 59. 8
5喊1,勹矗立?心!盂11兄-立湟 .、飞平'·
1 玄坛~-尸-丞孚·L亨讫'\-石,f七 : \~ § 七
(国贸、法学、行管) 8 8 597 592 65 593 66
二-O4了外国语言文学类 4 4 591 591 64 591 64
2021 节 \ `3 03 经济与贸易类(国贸与法学) 4 4 629 627 69 628. 3 70. 3
04 外国语言文学类 3 3 629 627 69 627. 7 69. 7
03 经济与贸易类(国贸与法学) 4 4 623 619 63 620. 8 64. 8
2020
04 外国语言文学类 3 3 622 615 59 618. 3 62. 3
1520 暨南大学
05 法学 3 3 592 591 64 591. 3 64. 3
06 国际事务与国际关系 2 2 588 588 61 588 61
07 历史学 2 2 591 589 62 590 63
08 会计学 2 2 596 592 65 594 67
2022
09 国际商务 2 2 588 587 60 587.5 60.5
10 行政管理 2 3 589 588 61 588. 3 61. 3
11 电子商务 2 2 589 588 61 尸、588.5-,了- 61. 5
12 酒店管理 2 2 587 587 6Qi.
05 法学 3 3 627
06 霆巠 `九沾心 6况,7 66.7
一关系二三二三[彗
07 汉语国际教育 l6245, 66.5
08 历史学 624 66
2021 09 会计学(注册会计师) 气'i6还 67 625. 7 67. 7
10 公共事业管理 \ 624 66 624 66
11 行l政管理/- \\`\~ _了 \一夕--于~;、`,,''_,`~ _,` \-,~ 森 ',今 l 2字义飞" 2 625 624 66 624. 5 66. 5
1 1 3 2 酒法电于店学'管商,务理-』召:·之匕\ : L : - 二 ,.· / '~ d - - . ` ' J.,;.,· , ,' 言,4` , 2 2 2 2 6 6 2 2 4 4 6 6 2 2 3 4 6 6 5 6 62 6 3 2 . 4 5 6 6 5 6 .5
05 3 3 619 618 62 618. 3 62. 3
06 日语~ 2 3 619 614 58 616 60
07 历史学 3 3 616 614 58 615 59
2020
08 会计学 2 2 622 620 64 621 65
09 电子商务 2 2 620 618 62 619 63
10 酒店管理 2 2 617 617 61 617 61
1550 北京工商大学
2022 02 新闻传播学类 5 5 571 565 38 568 41
2021 02 工商管理类 5 5 611 588 30 598. 2 40.2
1565 北京第二外国语学院
01 英语(英语教育) 2 2 574 571 44 572. 5 45.5
2022 02 德语(人文交流) 2 2 570 . 542 15 556 29
03 法语(入文交流) 1 1 549 549 22 549 22四、2020-2022年河南省普通高校招生本科一批分专业录取情况统计表(文科) • 305 •
录取分数统计
专业 最低分 平均分
年份 代码 专业名称 公布计划1录取人数
1 最高分 最低分 与分数 平均分 与分数
线差值 线差值
542-568-553-543-542-549-543-544-539-541-612
0 西班牙语 2 15 5 29.5
-
4 - 日 日语 语 ( ( 同 人 声 文 传 交 译 流 ) ) 1 - 1 2 41 6 昙5 2 41 6
0 越 意大 南 利 语 语(旅游休闲) 1 1 一 一 1 1 6 5 5 6 1 1 5 6
2022 5 翻译(中英西复语) 1 - 一 22 4 - 22
- 翻译(中英法复语) 1 - 16 16
0 翻译(中英阿复语) 1 - 17 2 5 17
6 新闻学(融媒体国际新闻) 2 - 12 17
旅游管理(旅游规划与开发) 2 - 14 - 6 16
- 2
英语(英语教育) - 54.5
0 德语(人文交流) 1 - 2 5 8 56
7 法语(人文交流) - 2 63
2021 - 阿拉伯语(中东外交) - 2 4 52
0 印地语(人文交流) - 2 - 9 49
新闻学(融媒体国际新闻) 2 57.5
8 2
三 - 旅游管 - 2 - 2 卢 卿 - - 5 5 1 1
0 - 2 6 5 52
9 2 49.5
0 4 47.5
-
46. 5
1 学 7 3
0 0 芒 治教育 2 2-2-2-2-5277--257l62-5-7225l-27546--925-76-212-25--76211--152-669-1-256-1-62f1 5 -1 7 6- - 1 5 61 . 1 5 -06 -1610-86-1600-66-a16040-746--06a604-462 0-55-46-0533 -55-a-52-51
2022 1 0 1 - 1 颐 瞳 际 畛 教 教 教 育 育 育 2 l 2 - 2 一 5 5 7 7 - 6 51 4 .5
0 1 妇 治 - 2 - 6 5 1 6 0 4 2 9
- 2
2 旺政际 6141
2021 0 3 1 2 嘘 国 管 政 2 - 2 - 一 6 6 1 1 8 - -0 3 . 5
0- 颐国 管 畛 2 - 2 61 5 0
41 瞳 教 - 2 6067
03 龋 治 际教 育 育 l 2 - 60 0 45.5
2020 1- 2
旺 畛 4
00 5
归 2 一 5
1635
『2
0
1
- 颐 5
_- -
38-35-36-33-33-32-33-39-38-38-36-35-37-40-a35-33-33-a35
0
30 瞳 』 竺 a6 5
2022 3 - 0 4 0 4 0 2 - 0 硉 2-4-2-6-4-2-2-4- 5 2 60 6 -5 - 6 2 1- - 5 4 59 - - 2 56 - 1 2 - - 5 5 - 9 6 2 8 -600-597-594-50 3 4 3 9 5 6 - 3-598-597-597-591-590-589-591-592
- 0 5 3 6 - -3
0
5 -1 - i 6-
00 0 法学
2021 6 - 2 4 外 汉 国 语 语 言 言 文 文 学 学类(英语) 2 5 15
00- 26
日语
730
工商管理类
- -0
0
8
0
4
5
- 法
经
学
济与金融 -- 一
6-
- 00 汉语言文学 主 5
2020 0 外国语言文学类 15
256 9
- 日语
0 - 工商管理 5 4 1 6
30 会计学
- 7 - - 0
0
4- 6-
5
-0 6
0 25
51 8
- 15
0 9
6 0 -9
- -
0
7 6 5 -
-
0 - 1 85
2
- 0 96
0
3 - -0
- 5
0 6
4
5-
- 0
0
95
5 6 7
- 09
0
-
6 -7
-
6
0 0 5-
7
- 1 95
0
8 5
19
-
-
6
-
5
5
9
5 6
-
5
9
9
4
-
-
5
5 9
3
-
6
5
9
0
5
-
- 5
9
6
5
9
7
-
5
9
4
-
5
9
5
-
5
9
4
-
5
9
3
-
5
9
3
-
5
9
5
-
5
9
1
-
5
9
1
-
5
8
9
-
5
8
9
-
5
9
0
-
5
9
1· 306 · 第三章录取统计
:
录取分数统计
专业 公布计划\取人数1 最门分 1 最低分!勹/I均分
年份 代码 右业名称
-l 线汁伯 线差俏
1640 石家庄铁追大学
—卢』气芒望易类 ~ 2 2 S46 543 f--- 16 544 5 17 5
04 法学 2 1 2 1 ss6 1 553 1 26 1 ss4. s 1 21. s
2022 I os i 汉语言义学 2 I 2 I 555 I 551 i 24 I 553 I 26
/0 关语
2 2 552 548 21 550 23
07 i _丁商管理类 2 I 2 I 546 I 544 i 11 I 545 I 1s
03 经济勹贸易类 2 I 2 I 579 I 579 I 21 I 579 I 21
'` ___ 0 . 4 -u.立学 . `u - `` -—__ _, 2 ` -- I ? U 2 I一 581 I_ ss 1 ; 23 I ss 1 I 23
2021 I os 汉语言义学 2 I 2 I 590 I 584 I 26 I 587 I 29
--1—:`--+`管押类 +: : ::: ::一 :: 5:』飞5`—
-
2:55
05 国际经济勹贸易 ! 2 ! 2 I 578 I 578 I 22 I 578 I 22
-..
J ~06 法学 2 I 2 I 588 I 582 I 26 I 585 I 29
2020 I 01 汉语言文学 1 2 __2 _ 581_ _ _ _5_7 _9 .___ 23 _580_ _—24 --
os I 英语 勹__ 2 I 2 I 584 I 581 I 25 I 582. 5 I 26. 5
f------ - 09 ·一- I L-商—管-珅—类-- __.-------- _ ----- L! _2 2 __ L 22_ __ L_58~0 I 5 5 7 7 8 8 I 2 2 2 2 I 5 5 7 7 9 9 I 23
1660 山西大学
勹-—一一 厂-~---l-3566 565 38 565. 3 38,3
I 5 i 5 I 568 I 567 I 40 I 567合6 I 40. 6
政冶子类 5 I 5 I 565 I 565 I 38 I 565 I 38
中国门言文学类(义科初民试验班) 3 I 3 I 567 I 566 I 39 I 566. 3 I 39. 3
戊语百,义学 飞 3
”--
I 567 I
-- -
5 67 I
-
40 -I ”567 一I 40
新闻传播学类 4 I 4 I 566 I 566 I 39 I 566 I 39
历史学 4 I 4 I ^ 5 - 6 6 I 565 - i, 38 - I - 5 65. 8 I - 38. 8 -
哲学类 + 2 2 596 593 35 594, 5 36. 5
.^
L 04 认学 2 I 2 I 599 I 597 I 39 I 598 I 40
05 政治乍类 5 I 5 I 594 I 592 I 34 I 593. 4 I 35. 4
t~
06 教育学 3 I 3 I 596 1. 595 I 37 I 595. 3 I 37. 3
2021 中国语言文学类(文科初民试验班) 2 I 2 I 597 I 597 I 39 I 597 I 39
08 汉语言文亨 l I 1 I 597 I 597 I 39 I 597 I 39
I '-- -一0^9 .^法语 ^ ^ 仁- ^ 1 一I --I -!I - 59 - 4 I 594 I 36 I 594 I 36
10 新闻传播学类 5 I 5 I 597 I 593 I 35 I 595. 6 I 37. 6
, 11 历史学 2'1 2 \ 601 I s91 I 39 I 599 _ I 41
! 12 考古学 2 I 2 I 595 I 592 I 34 I 593. 5 I 35. 5
05 哲学类 2 I 2 : 590 I I 590 I 34 I 590 I 34
06 法学 2 I 2 I 592 I 591 I 35 I 591. s I 35. s
0 0 7 8 政 社 冶 会 学 」 类 作 一 2 2 —-- I I - - 2 2 I I I ”` 5 5 9 8 - 9 4 - - I I - 5 5 9 8 1 9 `"` I I— --_3 3 3 5 I I __ _ 59 5 2 8 : 9 5 u - I I 36 3 . 3 s
I
09 教育学 2 I 2 : s90 I_ s90 I 34 I s90 I 34
f-------二10 文中国语学言文学类(文科初民试验班) 二I 594594 38594 35
6 6 596 590 I 34 I 592. 3 I 36. 3
2020 1 II 1 I I 591 I 591 I 35 i 591 I 35
丿 1 I I i 591 I 591 I 35 ! 591 I 35
14 日语 1 I I I 591 I 591 I 35 ] 591 ! 35
正 勹斤信而擂孚丞 2 I 2 I s90 I 590 I 34 I s90 I 34
16 I 历史学 2, ' --- 2 - -- I C --- 5 - 9 -- 0 - ---- I - -+ - 5 - 9 - 0 - --I 炒w 34 il 590 - _ _ - I - W3 4
11 I 考古学 1---2_±±=±严 5 89 口二三 3 35
厂1'8 -I 旅-游管理 2 I 590 I 589 I 33 i, 589. 5 I 33, 5
1680 内蒙古人学 二
卜—·-r··- 0 · 1 一 哲学 1 564-57155693577414-5-4/6745-462 8- 44-40-41
l
02 学 2 -
了检监察 1
i
2022 i卜 一 04 冶学 言一 行政学 1 l 2
勹语 学
05 诏与 『 勹勹
06
戊一 [ 1
07 义
语
央 I
-
俄.
四、2020一2022年河南省普通高校招生本科一批分专业录取情况统计表(文科) 307 •
录取分数统计
专业 最低分 i 平均分
年份 专叶名称 公布计划 录取人数
代码 最高分 最低分 与分数 平均分 与分数
线差值 线差值
08 日语 1 1 567 567 40 567 40
09 舒闻学 1 1 567 567 40 567 40
2022
10 网络与新媒体 1 1 568 568 41 568 41
11 历史学 1 1 569 569 42 569 42
01 哲学 1 1 605 605 47 605 47
02 法学 2 2 606 606 48 606 48
03 政治学与行政学 1 1 605 605 47 605 47
04 汉语言文学 I 1 609 609 51 609 51
05 英语 2 2 609 605 47 607 49
2021
06 俄语 l 1 604 604 46 604 46
07 H诏 1 I 604 &`/~ ; 6~~~二 04 46 604 46
08 新闻学 1 l ” 一`、~607 `?七户 心;6~心~07 49 607 49
09 网络勹剖媒体 1 l 三 习504 604 46 604 46
10 历史学 .五~2 I l / 勹607 607 49 607 49
01 哲学 I l 1 594 594 38 594 38
02 法学 ' e 2 2 597 596 40 596. 5 40, 5
03 政治学与行政学 fl 1 594 594 38 594 38
04 汉语言文学 1 1 598 598 42 598 42
已
~ ~ 05 英语 ~ 1 1 597 597 41 597 41
202, \( \)~ , , 06 尸俄'语 1 1 593 593 37 593 37
`,m芦.\ 江日语 I I 593 593 37 I 593 37
\ \已/,08 新用学 l 1 594 594 38 594 38
09 网络勹斩媒体 1 I 596 596 40 596 40
10 历史学 I I 596 596 40 I 596 40
1690 辽宁大学
01 哲乍 2 2 576 576 49 - - i! 576. 49
02 经济学类 4 4 584 581 54 582. 5 55. 5
03 金融学类 2 2 581 579 52 580 53
04 国际经济与贸易 1 1 577 577 50 577 50
05 法学 2 2 585 585 58 585 58
06 国际政治 2 2 577 577 50 577 50
07 马克思主义理论 2 2 578 578 51 578 51
08 汉语言文平 2 I 2 579 578 51 578三5产令茫:.三51.5 二
09 汉语国际教育 3 I 3 576 575 48 I 575
10 俄语 I 1 48 i 57
11 f慰诏 1 1 胪 48 575. ,产,船
12 讫、玄_,、_石归_ 2 2 赁 48 575 5§ 48.5
13 日诘 1 夕 1 , 49 576 49
飞
14 新闻学 \?~ / 3 3 577 576 49 576. 3 49. 3
2022 15 广告学 Y - \ \ \ 1 , 1', 577 577 50 577 50
16 编辑出版学 ..~ \ \ I \2 2 576 575 48 575. 5 48. 5
17 历L吏\学L \''\,'. ,:夕-.,,''},• :,','·-'\1} ,'-` '· '\
\
3 3 578 576 49 577 50
18 考古学 1 1 575 575 48 575 48
"
19 」.商管垀类 \ 2 l 2 578 576 49 577 50
i
20 会计沪 I 2 I 2 586 581 ! 54 583 5 56,5
21 个政管理 I 2 2 575 575 48 575 48
22 肖案学 2 2 576 575 48 575. 5 48.5
23 金像学(中外合作办学) 1 I 563 563 36 563 36
24 l商管理(中外合1巳小子) 2 2 563 559 32 561 34
25 市场营销(中外合作办学) 1 l 559 559 32 559 32
26 会计学(中外合作办学) 3 3 562 559 32 560. 7 33. 7
27 会计学(中外合作办学) 1 1 565 565 38 565 38
28 国际商务(中外合作办学) 1 1 562 562 35 562 35
29 广播电视编导 2 2 564 555 28 559. 5 32.5· 308 • 第三章录取统计
录取分数统计
专业 最低分 平均分
年份 专业名称 公布计划 录取人数
代码 最高分 最低分 与分数 平均分 与分数
线差值 线差值
01 哲学 2 2 611 610 52 610.5 52. 5
02 经济学类 4 4 622 612 54 614. 5 56. 5
03 金融学久 2 2 619 612 54 615. 5 57.5
04 国际经济与贸易 1 I 612 612 54 612 54
05 法学 2 2 619 618 60 618. 5 60.5
06 国际政治 3 3 612 611 53 611. 7 53. 7
07 马克思主义理论 1 I 613 613 55 613 55
08 汉语言文学 2 2 615 613 55 614 56
09 汉话国际教育 3 3 613 610 52 611. 3 53, 3
10 俄语 1 1 611 611 53 611 53
11 德语 2 2 610 610 52 610 52
12 法语 2 2 616 611 53 613. 5 55. 5
2021 13 H语 3 3 • 612 610 52 611 53
14 新闻学 3 3 612 611 53.. 611. 7 . 53. 7
;
15 广告学 | 2 2 614 l 613 55 613 5 55. 5
16 编辑出版羊 • • • . • 勹七 2 610 610 52 610 52
17 壮历史学 产-~ 4 4 612 611 53 611. 8 53. 8
i勹--l8一-~ 了考古学 卢..•六.. 2 2 611 611 53 611 53
歹2-` \\ 户19了才i 工商管理类 2 2 611 611 53 611 53
\- - -夕,,I( -.",俨-,2_O,._,', 夕了 工商管理(中外合作办学) 2 2 599 598 40 598, 5 40. 5
` 21 市场咎销(中外合作办学) I 1 593 593 35 593 35
22 会计学 2 2 618 617 59 617. 5 59. 5
23 会计学(中外合作办学) 2 2 602 599 41 600.5 42. 5
24 行政管理 2 2 610 610 52 610 52
25 档案学 2 2 611 611 53 611 53
01 哲学 2 2 603 603 47 603 47
02 经济学艾 4 4 610 607 51 608, 3 52. 3
- -
03 金融学类 2 2 611 609 53 610 54
04 国际经济勹贸易 L 1 i 609 609 53 609 53
05 法学 2 2 614 611 55 612, 5 56. 5
06 国际政治~~` 3 3 606 604 48 604 7 48. 7
07 汉语言义学 2 2 607 606 50 606. 5 50. 5
08 汉语国际教育 3 3 605 604 48 604. 3 I~< ~ 48. 3
09 俄语 2 2 604 603 47 603. 5' 47. 5
10 德语 2 2 604 604 48 I 604 48
2020 11 法语 2 2 606 603 47 604. 5 48. 5
12 日语 3 3 605 603 47 604 48
1 1 3 4 新 广 闻 告 学 学 -: / 忍~ ~' - ~ ~ 分 :'; ; 虔 2 3 . 3 2 6 6 0 0 5 3 I : ~ 6 60 0 5~ 3 , ~ ` 二 乌·4 47 9 \ l 6 6 0 0 5 3 4 47 9
?
15 编辑出版学 亡~飞 2 ! 2 604 603 47 i 603 5 47.5
1 1 6 7 考 历 古 史 学 学 扣 古 三 ,, i'.: !."' I'4 2 I 4 2 6 6 0 04 4 6 6 0 0 3 4 4 4 7 8 6 6 0 0 3 4 5 4 4 7 8 . 5
18 工商管理类 :卢编.;~ J ~ 2 2 605 605 49 605 49
19 会计学 2 2 608 607 51 607. 5 51. 5
20 行政管理 2 2 605 604 48 604. 5 48. 5
21 档案学 2 2 604 604 48 604 48
1695 辽宁上程技术大学
01 法学 3 3 538 535 8 536 9
02 英语 5 5 540 531 4 534. 4 7. 4
2022 03 广播电视学 2 2 535 534 7 534. 5 7.5
04 会计学 5 ~ ~ ~ ~ ~ 5 540 532 5 534 4 7.4
05 财务管理 2 2 532 531 4 531. 5 4. 5
01 法学 3 3 573 572 14 572. 3 14. 3
2021 02 英语 5 5 I 573 567 9 570 8 、~ 12. 8
03 广播电视学 2 2 1 572 570 12 571 13
04 会计学 5 5 570 568 10 568. 8 10. 8四、2020—2022 年河南省普通高校招生本科一批分专业录取情况统计表(文科) . 309 •
~录,.取^^~. 分……数~^”~~统·计
专业 平均分
年份 专业名称 公计划 录取人数
代码 最高分 最低分 与分数 平均分 与分数
线差值 线差值
01 法学 3 3 569 569 13 ! 569 13
02 英语 5 5 569 564 8 I s66. 6 10.6
2020 03 广播电视学 2 2 565 565 9 i 565 9
04 会计学 5 5 572 566 10 569 13
1725 东北财经大学
01 经济学 1 l 574 574 47 574 47
02 金融学类 2 2 587 573 46 580 53
03 日语 2 2 560 559 32 559. 5 32. 5
04 商务英语 I I 562 562 35 i 562 35
05 工商管理类 1 1 590 590 63 590 63
2022 06 会汁学(让册会计师方向) l 39 I 566 39
07 会计学(国际会计方向) I 6乾哼 35 562 35
08 公共管理类 l 40 567 40
09 工商管理(中外合作办学) 霓 6 2 550. 5 23. 5
10 财务管理(中外合作办学) 5 {从、l5 560 553 26 555. 8 28. 8
11 旅游管理(中外合作办学) 、\ 3 ,1 ;;, 528 528 1 528 1
0 01 2 金 经 融 济 学 学、飞 类 : l \ \ \I ~ ,\ \ \, \ ,、 t{,\ 1 2 \俨\ ', 1 2 6 6 1 2 8 6 6 6 1 1 8 9 6 61 0 6 6 2 1 2 8 . 5 64 6 . 0 5
0$ 国际经济与贸易 l 1 613 613 55 613 55
04 ',法严子另','','`'`, ' \' ,,'\\,.“ , l I 617 617 59 617 59
\-
1)Q5了~\` 习日语 2 2 599 595 37 597 39
\ `'尸\,o6 新闻传播学类 I 1 605 605 47 605 47
07 工商忤理类 I 1 622 622 64 622 64
2021
08 工商管理(中外合作办学) - 4 - 4 596 592 34 594 36
09 会计学(国际会计方向) 1 1 615 615 57 615 57
会计学(注册会计师方向和创新人才培养
10 1 1 629 629 71 629 71
实验班)
11 财务管理(中外合作办学) 3 3 602 599 41 600. 7 42. 7
12 公共管理类 1 1 613 613 55 613 55
13 旅游管理(中外合作办学) 3 3 592 591 33 591. 3 33. 3
01 经济学 1 1 612 612 56 612 56
02 金砸学类 2 2 616 613 57 614. 5 58. 5
03 国际经济与贸易 l I 607 607 51
6腐左
04 法学 1 I 613 613 57 613
05 日语 2 2 51 608
06 商务英语 I l 酶 56 612 ,年'人,胚
2020 m 工商管理类 1 1 r 57 613 戍 “'-57
08 上商管理(中外合作办学) 5 5 \ \28 585.2 29.2
09 会 实验 计 班 学 ) (注册 ./ 会 {• ` 、 计 、,\ \ 师 \I 方向和创新人才培养 、/1 $t .泛产;'',,:;夕; 1_-一占 上,' 616 616 60 616 60
10 会计学僵国际会计方向) \1 t- i. 1,亡卢 ' 1 615 615 59 615 59
11 财务管理伺沙卜合作办学) 3 3 593 585 29 588. 7 32. 7
12 旅游管理(中外合作办学) 3 3 583 580 24 581.3 25. 3
1740 延边大学
02 经济学类 2 2 570 568 41 569 42
03 法学 3 3 570 569 42 569. 3 42.3
04 中同语言文学类 3 3 572 567 40 570. 3 43.3
05 英语 2 2 572 566 39 569 42
06 俄沿 2 2 563 561 34 562 35
2022 07 日语 2 2 566 561 34 563.5 36. 5
08 朝鲜语 2 2 559 559 32 559 32
09 心理学(师范) 3 3 566 558 31 561. 7 34. 7
10 下商管理类 2 2 566 565 38 565.5 38. 5
II 旅游管理 2 2 566 564 37 565 38
12 经济学(中外合作办学) 2 2 560 529 2 544.5 17. 5· 310 · 第三章录取统计
录取分数统计
年份 飞业 专业名称 公布计划 录取人数1!i 取门的'分 最低分 平均分
代码 最低分 与分数 平均分 与分数
线左值 线左值
02 经济学失 2 2 608 608 50 608 50
03 咚济学(中外合仵办学) 2 2 596 593 35 594. 5 36, S
04 法子 3 3 608 605 47 606 48
05 中囚出言文学类 4 4 606 602 44 604 46
06 英语 2 2 607 604 46 605, 5 47. 5
2021
07 俄语 2 2 602 602 44 602 44
08 日讯 2 2 604 603 45 603, 5 45. 5
09 朝鲜语 2 I 2 605 603 45 604 46
,
10 工曲管理失 2 , 2 605 603 45 604 46
11 旅游管理 2 2 601 601 43 601 43
02 经济学类 2 2 599 599 43 599 43
03 经济学(中外合作办学) 2 I 2 581 581 25 581 25
04 法学 3 3 595 593 37 594. 3 38 3
i
05 中国语言文学类 2 I 2 599 595 39 597 41
06 英语 2 2 595 593 37 594 38
2020
07 俄语 2 i 2 592 591 35 591. 5 35. 5
08 日语 2 ; I 2 591 591 35 591 35
09 I 朝阱语 2 } 2 598 594 38 596 40
10 I 丁商管理类 2 2 594 593 37 593. 5 37. 5
11 I 旅游管理 2 I 2 591 ! 591 35 591 35
1745 长春埋L大学
03 让学 2 2 554 548 21 551 24
04 汉语国际教育 1 I 544 544 17 544 17
2022
05 朝鲜语 2 2 53] 527 。 529 2
06 翻译 2 i 2 544 537 10 ! 540, 5 13. 5
03 法学 2 2 59,1 580 22 587 29
2021 04 从语国际教育 1 I 577 !} 577 19 i 577 19
05 朝鲜点 2 2 579 i 577 19 ! 578 20
06 酣译 2 ; 2 580 , 577 19 ! 578. 5 20. 5
03 法f 2 2 -5-7-3- ':I 573 17 573 17
04 i /义出国1;了教育 I I 572, 572 16 572 16
2020 05 朝鲜语 2 I 2 ? ? " " 571 571 15 571 15
东I北农。§\II'_大___:学_翻译 2 2 576 }, 572 16 574 18
-1-7-60
---5-6--9 ----4 --
05 i 令融子类 II 11 573 568 41 42. 4
06 i 法学 2 2 576 I 571 44 573. 5 46. 5
2022
...咖 07 ,义语国1外教育 4 4 571 ! 568 41 569. 8 42 8
08 行政管珅 2 2 571 567 40 569 42
I 05 金陪学类 ------ 11 11 606 605 47 605. 4 47. 4
06 法'J: 2 2 607 605 47 606 48
2021 -- - ----- ------
07 汉语国际教育 4 4 607 605 I 47 606 48
08 行政管理 2 2 605 604 46 604 5 46 5
05 法学类 3 3 599 597 41 597 7 41 7
06 汉语川际教育 4 4 598 596 40 5%. 8 40. 8
2020 07 处沿 3 3 596 596 40 596 40
08 丁尚管珅类 9 9 598 595 39 596 40
09 行政管珅 4 4 596 595 39 595. 3 39. 3
~ ~
1765 哈尔浓作和大学
01 认学 3 3 547 542 15 544. 3 17. 3
2022 02 护理学 6 6 541 535 8 539 12
03 公只串叶管理 4 4 537 5飞5 8 535. 5 8, 5
01 .{z、十、'、rV,· I 3 飞 I 气l4 574 16 579 3 21. 3
2021 02 护JI卫';一 7 7 572 569 II 汀(,96 11 6
03 咖..公.·丿I一,-1i \I I f 1 a i j il' 5 5 I 575 570 12 5 7 2 14四、2020一2022 年河南省普通高校招生本科一批分专业录取情况统计表(文科) . 311 ·
诀取分数统计
飞业 敢任分 ^『均分
勺份 女业名称 公在计划 录取人数
代仍 最的分 最低分 勹分数 早均分 勹分数
线差值 哎差仇
01 让字 3 3 576 567 11 570. 3 14. 3
2020 02 扩理学 2 2 572 569 13 570 5 14 5
- - ..~咖.. 03 公共韦业管理 5 5 570 564 8 565. 8 9 8
1790 -Il向 大学 I
i思!会想学政治类教育 6 6 596 593 66 594 2 67 2
1121
2 2 S92 592 65 592 65
l3 英沿 2 2 593 592 65 592. 5 65 5
2022
14 历史学类 5 5 592 591 64 591. 4 64 4
15 旧归经济与贸易(中外合作办学) 3 3 584 572 45 579 52
16 丁商管押(中外合作办字) 2 2 584 582 55 583 56
18 闰阮经济勹贸易(中外合作办学) 3 3 625 624 66 624 7 66 7
l9 仁会学类(人文社和类) 6 6 633 629 71 I 630 7 72 7
20 思想政冶教育 2 2 628 627 69 ! 621. s 69. 5
2021
21 英语 2 2 630 629 71 629, 5 7l. 5
22 历史学类 5 ! 5 631 626 68 628 70
23 T一商管理(中外合作办学) 2 2 625 623 65 I 624 66
--. 13 如何经济与贸易(中外合作办学) 2 ! 2 620 619 63 I 619. s 63 5
14 矿会子类(代表人文村科类) 10 10 628 622 66 1 624 8 68 8
2020 15 思炟政治教育 2 2 621 620 64 620. 5 64. 5
16 历吏学 3 3 620 -`”, U ~ 620 64 620 64
17 工商管理(中外合作力心勹 2 2 617 617 61 617 61
1795 I海理!大学
01 - - 经济忤理试聆班 - - 14 14 570 562 35 564. 9 飞7.9
02 英出(科技翻译) 2 I 2 561 559 32 560 33
03 产诏 2 I 2 563 560 33 561. 5 34 5
04 门才 2 2 566 559 32 562. 5 35, 5
2022
05 祈闻传播产忔 8 8 568 562 35 9 37 9
-- --
06 英语(中外合作办学、中美合仵) 3 I 3 563 559 32 560. 3 33, 3
0 08 7 会 1商 展纾 管 济 押 与 ( 管 中 理 外 ( 合仵办 勹 学 J中午艾,中合英合什作) ` - 2 勹~ / -` i} tI ` `…勹 2 _ _ `` ~`巳 5 55 5 1 7 `` ` ` 5 5 5 4 4 0 2 1 7 3 · · 一 5 5· 5 4 5 5 ·· 5 5 -· · 一 2 l~ 8 5 5
01 纾济管理试验班 14 I 17 605 599 41 601 5 43. 5
02 裴语(科技翻译) 2 2 602 602 44 602 44
~----
03 英-语(-中外合作刀孕中美合作) 飞 I 3 598 595 17 5 96 '.18
04 介1心布、':t" 1 勹 2 602 601 43 I 601 s 43 5
2021 0 -- 5 --- - .i 日语炒 -- ----------- ------- ------------- - 2 - - 2 601 600 42 I 600. s 42 5
06 祈闻传播学类 8 9 607 599 4j i 601. s 43 8
07 丁尚俘理(中外合仵办羊,中入合什) 2 2 ` ` 599 599 """" 41 599 41
08 会展经济守忤理(中外合仵力汗,中英合作) 2 2 599 596 38 597. 5 39. S
01 经济符珅试聆班 14 14 599 591 35 594. 6 38_ 6
()2 央语(科技昢译) 2 2 598 594 38 596 40
03 英咱(中外合作办学,中艾合作) 3 3 595 592 36 593 3 37 3
04 :祀匹矿1五IJ 2 2 594 594 38 594 38
2020
05 日语 2 2 596 593 37 594. 5 38 5
I 06 新闻""传"""播" ";""~"" " 8 8 607 592 36 597. 8 11 8
07 1向管理(中外合仵办宁,中美合什) 2 I 2 594 590 34 592 36
08 会展经济与管理(中外合作办学,中英合仵) 2 2 589 588 32 588 5 32. 5
l 805 1_ ,1 好对外经贸大学
Ul 金殴子 2 2 --——, 576 ---- 572 ..一 45 574 47
02 保险奇俨 2 2 559 558 31 558, 5 31 5
03 国旰经济勹贸易(伞英诏) 2 2 569 568 41 568 5 41. 5
04 肛]际经济与贸易 2 2 57 3 570 43 571. 5 4 5
2022 05 让、J、/c(Ii寸让,方,',]) 2 2 567 567 40 567 ,10
06 hi1勺:子贸规则 2 2 574 561 34 567. 5 40. 5
07 贞计: 2 2 ,“ 564 562 35 563 伈
08 让,出(向务止i.行方回) 2 2 559 559 32 I 559 32
09 n出(同务方向) 2 2 558 558 } 31 558 31· 312 · 第三章录取统计
录取分数统计
公布计划
年份 专
代
业
码
专\Iv名称 I,iI 录取人数 最高分
最低分
最
勹
低
分
分
数 平均分
平
与
均
分数
分
I 线差值 线差悄
10 商务英语 3 3 565 560 33 563 36
11 新闻学(经济新闻报道方回) 2 2 564 559 32 561. 5 34. 5
12 i _L商管理尖 ! 6 6 566 I 557 30 560, 7 33. 7
13 财务管理 2 2 584 i 57! 44 577. 5 50. 5
2022
14 资产评估 3 3 565 i 561 34 562. 7 35 7
i
15 旅游管理 2 2 558 I 557 30 557 5 30 5
16 英语(中外合作办学,中英合作) 3 3 567 i 557 30 561. 3 34. 3
17 财务管理(中外合作办学,中加合作) 3 3 s64 I 553 26 557 30
01 金副学 2 2 619 I 619 61 619 61
02 保险学 2 2 614 I 610 52 612 54
03 匡际经济与贸易 2 2 618 617 59 617 5 59. 5
04 匡际纾济与贸易(全英语) 2 2 604 596 38 600 42
05 法学(匡际经济法方向) 4 4 615 611 53 613 55
06 法学(商法方向) 2 2 614 i 613 55 613, 5 55. 5
07 匡际政治 3 3 615 1 59 1 33 602 44
08 汉语国际教育(商务汉语方向) 3 3 609 558 。 579 21
09 ! 1 _央+,.、·诏 • I 2 2 617 ! 611 59 617 59
2021 10 , ii} 英 中 比 英合 ( 作 中 ) 外合作办学,国际商务英出方向, 3 3 I I 611 595 37 603, 7 45. 7
\
11 !法语(商务法语方向) 2 2 I 618 610 52 614 56
12 !日语(商务门语方向) i 4 4 I 616 607 49 609. 8 51 8
1
1
4
3
i
新
I商
闻
.-一
学
管·--
(
理
经
类
济新
-
闻报道方向) ,i -勹
6
一 ----
6
2 6
6
1
1
2
4
6
6
1
0
1
9
5
51
3 6
6
1
1
1
0
. 5
8 5
53
2
. 5
8
15 财务管珅 ! 2 2 I 620 618 60 619 61
16 财务管珅(中外合仵办学,中加合作) 3 3 610 601 43 605 47
17 !资产评估 3 3 I 607 563 5 590 3 32, 3
- -
18 旅游符理
I
2
,··· 22
·1卡-一-6-60-1 5-3— 5 67 9 586 28
01 令剧学 i 2 1 612 56 612 5 56 5
02 保险学 I 2 2 I : 612 608 52 610 54
03 国归经济与贸易(令英诏) ! 2 2 I 616 612 56 614 58
04 国际经济与贸易 ! 2 2 616 611 55 613. 5 57. 5
05 法法学学((商匡法际方经济向``法`方``向` } 2 2 611 611 55 611 55
I ~`
06
) ` `~ )
4 4
` "
612 609 53 610 54
07 i 忭II外政冶 2 2 606 605 49 605 5 49 5
08 心行国际教育(商务汉诏方向) ! 2 2 608 606 50 607 51
2020 ,e英-法中语-英语合-(商(中-作外务-)合法--作语--方力--学向--)--国一-一阿一--商--务--英--语-方-同 一一一一一一 3 609 603 47 605 49
/ 0109 -- ,- --liI - 23
2 607 605 49 606 50
11 1 日市(商务日语方向) I 4 4 606 I 603 47 604, 3 48, 3
12 新闻学(经济新间报道方向) i 2 2 610 I 609 53 609. 5 53 5
13 工商管理类 i 6 6 611 i 606 50 608 7 52. 7
14 财务眢理 2 2 612 i 611 55 611. 5 55. 5
15 财务管理(中外合; 皿,中加合作) 3 3 606 I 603 47 604. 7 48. 7
16 资产评估 3 3 612 609 53 610 54
17 旅游管理 2 2 607 605 49 606 50
1810 华东政法大学
01 纾济学类 15 I 15 588 { 577 50 581 9 54. 9
02 认'J'(刑事口j法) 2 2 592 I s91 64 591. 5 64. 5
03 法学(刑巾法律) 2 2 600 585 58 592. 5 65. 5
04 法学(国1伈金1牡法) I I 594 594 67 594 67
05 法学(网济与信皂法) 2 2 587 585 ! 58 586 59
2022
06 法学(经济认) 5 5 604 590 63 594, 8 67, 8
07 法学(民曲认伴) 6 6 595 592 ! 65 593 66
_---·---
08 丛',归(国II示乡甘齐1-去) 5 ”“.俨,_5 588 581 ! 54 584 2 57. 2
09 政治学与行政学 I I 590 590 63 590 63
! 10 社会学类 ^ ^ ^ 6 6 583 573 46 576, 7 49, 7四、2020—2022年河南省普通高校招生本科一批分专业录取情况统计表(文科) . 313 ·
录取分数统计
乓业 岐低分 平均分
年份 炉II,名称 公布计划 录取人数
代码 最的分 最低分 勹分数 i 1'均分 与分数
线差值 线差值
11 汉语百义学 2 2 585 585 58 585 58
12 新闻学 2 2 587 579 52 583 56
l 3 网络厅祈焊体 2 2 585 581 54 583 56
2022
14 文化产\W管珅 2 2 574 574 47 574 47
15 公共管理类 7 7 590 567 40 572. 7 4 5, 7
16 公共聿\II'耸即 2 i 2 585 564 37 574 5 i; 47. 5
01 经济学类 ]] 11 627 623 65 624. 9 66. 9
02 法学类 26 26 639 628 70 632 3 74. 3
03 知识产权(卓越入才头捡班) 3 3 636 630 72 632 3 74. 3
04 政治学勹行政学 2 2 628 627 69 627. 5 ,i 69. 5
05 社会学类 5 5 623 622 64 622 6' 64. 6
2021
06 I 新闻传播督类 3 3 624 623 65 623. 7 65. 7
07 I 会计学 2 2 623 623 65 623 65
08 文化产业管珅 3 3 623 623 65 623 65
09 公共管理类(双学位呫养项目) 4 I 4 627 625 67 625. 8 67. 8
10 公共事业管珅 2 2 622 622 64 6- 2-2 - - 64
01 绎济学类 心--~-~--- 11 11 618 615 %一% 59 616. 5 60. 5
02 法学类 27 27 631 619 63 624. 8 68 8
03 知识产权(卓越人才实捡班) 3 3 623 618 62 619. 7 63. 7
04 政冶学与行政学 2 2 616 616 60 616 60
05 补会孕类 4 4 615 615 59 615 59
2020
06 『I 新闻传播-户失 3 3 617 615 59 616. 3 60 3
07 I le]官埋奀 4 4 ` ` ` ` ` 615 `“` ` " 614 58 614 3 58 3
08 义化产业符理 3 3 614 613 57 613. 3 57 3
09 公共管理类(双学伈培养项目) 4 4 616 616 60 6 l 6 60
10 公共事业管理 2 3 614 613 57 613. 3 一 57 3 一一一一一一一一·
1830 苏州大学
10 4i斤i总--,- 2 2 592 589 62 590. 5 63. 5
11 法学 2 2 594 593 66 593. 5 66. 5
12 补会寸 2 i' 2 591 590 63 590 5 63, 5
13 教育了(厅范) 2 2 592 平91 64 591. 5 64 5
14 中同语言又'~f类 2 2 596 596 69 596 69
15 英语(帅泣) 2 2 590 590 63 ”“ 590 -- 63
2022
16 法话(学制5钉) 2 2 593 589 62 591 64
17 日出 2 2 590 589 62 589 5 62 5
18 朝鲜语 3 3 588 588 61 588 61
l 9 翻译 2 I 2 595 588 61 591 5 64. 5
20 斩同传播学类 2 2 592 590 63 591 64
21 才劳门斤}动'、才一右~ 勹补会保哼 2 2 589 588 61 588. 5 61. 5
JO ` ` ` ··f··· 1 I 625 625 ` 6" 7 1-- 62 """ 5 "" """"" 67
II 法学 1 2 638 633 75 635, 5 77. 5
12 知识产权 1 2 630 630 72 630 72
l 3 社会学 1 I 631 631 73 631 73
14 思想政古教有(师范) l l 628 628 70 628 70
15 教育学(帅池) 1 I 628 628 70 628 70
16 中国诏言文学类 3 3 634 631 73 632, 3 74. 3
17 英语(帅范) 1 I 629 629 71 629 71
2021 18 法语(,r夕制5年) I I 629 629 71 629 71
l9 H语 l I 628 628 70 -—,---- 628-~ 巫炒一研八} "砐 70
20 翻译 l 2 628 625 67 626 5 68. 5
21 新闻传插学类 l 1 634 634 76 634 76
22 历史孚(帅范) 2 2 627 624 66 625 5 67. 5
23 护理学 1 I 624 624 66 624 66
24 管理科学' I I 624 624 66 , 624 66
25 .」.尚管理尖 l I 627 627 69 I 627 69
26 i 劳动与社会保障 I 1 628 628 70 i 628 70· 314 · 第三章录取统计
亡业
钉份 代码 右业名称
27 城市管理
28 图书情报与档案管珅娄
2021
3 29 0 旅 物 游 血管 管 珅 理
公才廿1、十戈
『 录取 妏
11 哲学
最局分
国624624626624621622625635622619619619623622621621619621625620621623625622623621619622
录取最与线分666668666566697低96663636367666分565-6365696465差67696667656066妏分数值统1、y
12 金阰学 62幻6426256662626124662211626262235663526252662216226062193662526222662216121662192
13 国际经济与贸易 `62166226252635立6620466196263622621262166251625666216236626236266216 66扇676866656669796664363766吐656563656926567696667565』66
14 法学
15 知,只产权
16 补会学类
17 思想政治教育(师范)
I 8 教育学(帅范)
19 中同语言义学类
20 英语(帅罩)
21 法语('j一制5年)
122]]]111111111l2ljl1l12311]l
2020 22 口语 :`I`~:'~,I-;`
23 朝鲜语
l2lllllll22]131ll)2112]llll22l
24 勋译
25 新闻传播学类
26 历史学(师池)
27 信理科学
28 工商管理
29 财务管理
30 一为动与礼会一一保口障一一 口
31 城市管理
32 图书悄报与怕案忏珅类
33 物副管理
34 旅游管埋
'
1835 扬川大学
,
07 经济学 2 2 566 566 39 566 39
08 舍恐学 2 2 571 565 38 568 , 41
09 思想政台教育(师范) 4 4 567 562 35 564 一一37
10 汉语言文学(帅范) 3 3 57] 565 38 568, 7 41. 7
11 粒书学 2 2 566 562 35 564 37
2022 12 广播电视学 4 4 567 562 35 563 8 36 8
:/-! 历史学(帅范) 2 2 565 565 j 38 565 38
巾场营销 3 3 564 ` `` 562 35 563 36
财务管理 4 4 567 561 34 564, 5 37. 5
农林约济管理 4 4 561 558 31 559, 3 32 3
17 旅游管珅类 5 5 561 559 32 56IJ, 6 33. 6
07 经济学 2 I 2 605 605 47 605 47
... .......
08 金礁学 2 I 2 608 606 48 607 49
09 思想政冶教育(帅池) 4 , 4 605 599 41 601 3 43 3
10 戊诏言文学(师范) 3 , 飞 610 607 49 609 51
2021 1 1 1 2 秘 广 书 捕 学 屯视学 3 4 ` `口1I !` ` ` `-- 4 3 `` `` ` ` - 6 6 0 0U 1 4 I U---- 6 60 0 U 1 0 编`` 4 43 2 ( 6 ) 0 () 2 () . 5 7 4 4 2 4. 会 7 5
~ -
13 历史学(师范) 2 2 602 I 602 44 602 44
14 市场营销 3 3 601 I 599 41 599. 7 41 7
15 i 财务管珅 4 4 607 , 601 43 603 8 45 8
16 农林纾济管理 4 4 606 600 42 601 5 43, 5
f-----+ 17 1 旅游管理类 5 i 5 604 I 598 40 '600 2 42 2
07 二 2 2 603 ; 599 43 601 45
08 思想政治教育(师范) 1 l 599 599 43 599 43
------------
09 柲书学 2 3 598 595 39 596, 3 40, 3
2020
10 英语(帅范) 3 3 599 597 41 597, 7 41. 7
11 历史学(师范) 2 2 598 596 40 597 41
12 农林经济管理 2 3 596 594 l 38 595 39四、2020-2022年河南省普通高校招生本科一批分专业录取情况统计表(文科) • 315 •
录取分数统计
专业 最低分 平均分
年份 专业名称 公布计划 录取人数
代码 最高分 最低分 与分数 平均分 与分数
线差值 线差值
1840 江苏大学
07 保险学 2 2 558 535 8 546.5 19.5
08 市场营销 2 2 566 564 37 565 38
2022 09 财务管理 2 2 568 566 39 567 心
10 人力资源管理 2 2 562 561 34 561. 5 34. 5
11 公共事业管理 2 2 547 542 15 544.5 17.5
07 保险学 2 2 605 603 45 604 46
08 市场营销 2 2 607 607 49 607 49
2021 09 财务管理 2 2 608 607 49 607.5 49.5
10 人力资源管理 2 2 608 606 48 607 49
11 公共事业管理 2 2 605 603, 水45 604 46
(Y7 金融学 2 2 600 森 $^ _ 600 44
08 保险学 2 2 597.5 41.5
09 国际经济与贸易 3 599 4'.l,~" 599.3 43. 3
10 法学 2 2 气03 602; : -\布` 602.5 46.5
11 思想政治教育(师范 _ 3 呤 3 纽:,J; 597 41 599.3 43. 3
12 汉语言文学(师 1 ,; \,Jl亡\ 603 603 47 603 47
13/ f汉语言釭文学、 立 仁,\,:s'2\,_, 2 602 601 45 601. 5 45.5
2020
\ `r \ 夕 r-/1牛舌 ,汉语国固发育 心 心`己心卢 2 2 599 597 41 598 42
\^ 2 \\r \\ L-1,5L二 厂英语(师范) ,`',;了;乏,,心`'玄右``'喊' l 1 597 597 41 597 41
\\, i,)_ ,之
亡飞飞亡 市场营销了r口·~、- 5 5 600 597 41 597.8 41. 8
\,.心: 170_( 卢 1 1 601 601 45 601 45
产 \\ ;,1b 财务管理 2 2 600 600 - 44 600 44
19 人力资源管理 2 2 599 598 42 598.5 42. 5
20 公共事业管理 2 2 599 597 41 598 42
1845 南京工业大学
03 法学 2 2 567 564 37 565,5 38.5
04 知识产权 3 3 561 552 25 557.3 30.3
2022
05 工商管理类 4 4 561 529 2 542 15
06 公共管理类 2 2 564 555 28 559.5 32.5
03 法学 2 2 602 602 44 602 44
04 知识产权 3 3 603 600 42 601. 3 43. 3
2021
05 工商管理类 2 2 601 600 42 600.5 42.5
06 公共管理类 2 2 600 599 41 599.5 寸``41. 5
03 法学 4 4 599 596 40 ,\596.tl 三召0.8
04 知识产权 3 3 595 594--社、`尸勹 38; 94.1t ; \i38. 7
2020 05 社会工作 3 3 5 ,',, 37 .3 37.3
06 工商管理类 4 J” 5 二. 5 38 5,95(3S .^·'', 39. 3`
1砬南京师m:范大学公$共廿:埋$夫产范非卿t 如呼妇需 ; 5 594 |',三-3矿 '594.5 38,5
; s:} ~ `
2 3 I`592, 590 63 591 64
,5 99'
` 2`生气 591 590 63 590.5 63.5
09 尝小前学教教育育t(I?气范,) ,2立 轧'3今 3 589 585 58 587.3 60.3
10 -~ 产3'二气", ri %` -\、巳.尸' `"' 二--` 3 3 587 584 57 585.3 58.3
2022 11 中国语瓦文学类二勹沪~·夕' 5 5 603 591 64 595 68
12 古典文献学 2 2 589 587 60 588 61
13 英语(双外语,学制5年) 2 2 593 590 63 591. 5 64.5
14 新闻传播学类 3 3 590 589 62 589.3 62. 3
15 地理科学类 3 3 590 587 60 588. 3 61. 3
06 思想政治教育 2 2 626 626 68 626 68
07 教育学(师范) 2 2 627 627 69 627 69
08 学前教育(师范) 3 3 626 624 66 625 67
09 小学教育(师范) 3 3 627 624 66 625. 7 67. 7
2021 10 中国语言文学类 3 3 632 631 73 631. 7 73. 7
11 古典文献学 3 3 629 625 67 626. 7 68. 7
12 英语(双外语,学制5年) 2 2 630 626 68 628 70
13 新闻传播学类 3 3 631 630 72 630.3 72.3
14 地理科学类 3 3 630 628 70 629 71· 316 · 第三章录取统计
录取分数笐计~
专业 最低分 平均分
什份 专业名称 公介iii戈lJ 录取人数
代码 最高分 最低分 与分数 平均分 与分数
线差值 线差值
05 学前教百(帅池) 3 3 618 618 62 618 62
06 小学教盲(师范) 3 3 619 618 62 618. 3 62. 3
07 中国语舌文学类 2 2 622 622 66 622 66
2020 08 古典文献学 2 2 622 621 65 621. 5 65. 5
09 历史学类 2 2 619 619 63 619 63
10 地理科学类 2 2 621 619 63 620 64
11 丁商管理类 2 2 620 619 63 619. 5 63. 5
1860 南乐信息丁程大学
01 金融工和 3 3 I 574 572 45 573 46
02 保险牛 2 2 1 569 568 41 568 5 41.5
03 国际经济与贸易 2 2 ! 570
-`.
570 乞六~: 43 570 43
04 法学 3 3 574 ·口 二,,,夕J,_-,'-,_ '矗,5 , ,72 '' 45 573 3 46. 3
05 汉语言文学 3 I 3 俨;:夕_5俨: 3 75 c·573 心 46 574 47
2022 06 汉语口文孚(师范) , 2 2 II ,' 4 -' - 569 569 - 42 569 42
07 汉语国际教育 5 5 571 568 41 569. 8 42. 8
08 英语 2 2 577 572 45 574. 5 47. 5
09 英语(师范) 3 3 570 569 42 569. 3 42. 3
10 日语 2 2 568 567 40 567. 5 40. 5
\ 11 ^「商管理类 5 5 574 570 43 571. 6 44. 6
01 金载工程 ', 3 3 610 608 50 608. 7 50. 7
02 保险学 2 2 606 605 47 605. 5 47. 5
03 国际鍔济与贸易 2 2 607 607 49 607 49
04 法学 3 3 609 608 50 608 7 so. 7
___ _
05 汉语口义字 3 ! 3 608 607 49 607.飞 49.3
2021 06 汉语口义羊(帅范) 2 ; 2 607 607 49 607 49
07 汉评国际教育 5 s 607 605 47 605. 6 47. 6
08 英语 2 2 608 607 49 607. 5 49. 5
09 英语(师范) 3 3 607 605 47 605. 7 47. 7
10 日语 2 2 608 606 48 607 49
11 工曲管理类 5 5 607 606 48 606.4 48. 4
01 金触工程 2 2 605 604 48' 604. 5 48. 5
02 国际纾济与贸易 2 2 600 600 44 600 44
03 法学 3 3 600 599 43 599. 7 !卢召今43.7
2020 04 汉语言义开 3 3 603 600 44 i 601 I二;:45
05 汉语口文学(师范) 2 2 599 599茫`尸比心一编乍C?,
: 43
-1i二 5999
9
l 了~'~3
0 07 6 英 工 语 商 ( 管 帅 即 池 1 ) 、 ·· 3 4 ; , I . 4 3 6 6 0 O , 0 . l 娑. ; ,编尸•- 」 -- 15:'. 5 59 9 9 9; 4 43 3,3 43 4 . 4 3
1880 宁波大学
_一
04 经济学类 1 _一 1 573 573 46 573 46
05 英语 4 4 572 571 44 571. 8 44. 8
2022
06 日语 4 4 568 567 40 567. 5 40 5
07 旅游管理(中外合作办学,中法合作) 6 6 562 547 20 552 25
02 思想政治教育(师范) 1 1 610 610 52 610 52
03 英语 4 4 610 608 50 609 51
2021 04 日语 2 2 610 608 50 609 51
05 物流行理 3 3 608 608 50 608 50
06 旅游符f川(中列了寸个办-产,中法合作) 5 5 588 584 26 585. 8 27. 8
03 思想政冶教育(师范) 2 2 601 599 43 600 44
04 英语 3 3 612 601 45 605 49
05 日语 I 1 599 599 43 599 43
06 历史学 2 2 602 602 46 602 46
2020
07 地理科学(师范) 2 2 605 603 47 604 48
08 行政管理 2 2 603 600 44 601. 5 45. 5
09 物流管理 2 2 598 597 41 597. 5 41. 5
10 旅游管理(中外合作办学,中法合作) 3 3 599 577 21 584. 7 28. 7.
四、2020-2022年河南省普通高校招生本科一批分专业录取情况统计表(文科) 317 •
录取分数统计
专业 最低分 平均分
年份 专业名称 公布计划 录取人数
代码 最高分 最低分 与分数 平均分 与分数
线差值 线差值
1885 安徽大学
10 经济学 3 5 583 579 52 580.6 53. 6
11 财政学 3 3 582 579 52 580. 7 53. 7
12 法学类 2 2 584 583 56 583.5 56.5
13 社会学类 2 2 578 578 51 578 51
14 思想政治教育 2 2 578 578 51 578 51
2022 15 日语 3 3 578 577 50 577.3 50.3
16 新闻传播学类 4 4 588 579 52 581.5 54.5
17 历史学类 5 5 577 577 50 577 50
18 应用心理学 3 3 578 578 51 57.8 51
19 工商管理类 5 5 580 578. 8 51. 8
20 行政管理 2 2 77 577 50
4 __i 心L
10 哲学类 4 14 ~ 54 613 55
11 经济学类 卫 5 5 19 6l6 午;l飞8,\”-多 617.2 59.2
12 法学类 §心、V 2 $ 2 ,62'O”炉-~?归 ,{$勹\ 6S左1尸8 一` 60 619 61
13 社会学类 产、,,歹-玉,二 陪; .,功2 ', “,2 ;,气飞》t一 S 612 612 54 612 54
14 思想政治教育 三 歹''夕 一飞沧己心 2 614 612 54 613 55
20I2_ ',二1\,\,
-
-
i
4,、\
I
`
\
/_
“
.
均
1
:
5
:
:
:
:
:
子
.
法语冷 c:·1 li~; 心_气 2
3
2
3
6
6
1
1
3
5
6
6
1
1
3
2
5
5
5
4
6
6
1
1
3
3
5
5
5
5
·> 三二历历史学类
,/17口 4 4 616 615 57 615.3 57.3
' 垃2 ' 2 5 613 607 49 610.6 52.6
,心· 乙,飞19 工商管理类 6 6 616 613 55 614 56
20 公共管理类 2 2 614 613 55 613.5 55.5
11 哲学类 2 2 606 606 50 606 50
12 经济学类 2 4 610 606 50 607.5 51. 5
13 法学类 2 2 613 611 55 612 56
14 政治学类 3 3 606 605 49 605. 3 49.3
15 思想政治教育 2 2 605 605 49 605 49
2020 16 法语 2 2 608 607 51 607.5 51. 5
17 日语 2 2 605 605 49 605 49
18 新闻传播学类 2 2 608 606 50 607 51
19 历史学类 2 3 606 605 49 605.3 49.3
20 管理科学与工程类 4 4 606 605 49 605.3 ,49. 3
21 工商管理类 2 2 607 605 49, 6 。
1895 福州大学 `-, 心一 沪
03 财政学 2 2 5 49 .5 、~ §,525
04 法学 2 5 57, 了5跺;~5' :, 57.5
2022 05 汉语言文学 5 57&.;飞 ,' 芢f免51` 七一`歹``, `飞 581 54
06 日语 寸、,辛 匀1叮\、:占\l 5'76' 49 576.5 49.5
07 公共管理类\-夕夕心.飞 r;气, 芸 2 . : 2斗;;,汒4'心577 575 48 576 49
03 法财学政心学一\-` ,-,?“二i/一C ~~ “--`L-气 ``K ' ,_ r 1 \ ; \ 心L` 芍 飞'\\ 2 :,飞t、、;T、2 619 618 60 618. 5 60. 5
04 、产六,_汒__:_-:一- 2 2 620 620 62 620 62
2021 05 汉语言文学 二 :;,,: 2 2 618 617 59 617.5 59.5
06 日语沁" 飞`` -夕, C:: \ 也' 2 2 615 615 57 615 57
07 公共管理类 2 2 616 615 57 615.5 57.5
03 财政学 2 2 613 611 55 612 56
04 法学 2 2 614 612 56 613 57
2020 05 汉语言文学 2 2 611 610 54 610.5 54.5
06 日语 2 2 609 609 53 609 53
07 公共管理类 2 2 611 610 54 610.5 54. 5
1910 南昌大学
19 经济学 3 3 579 578 51 578.3 5 1.3
20 法学类 6 6 584 579 52 581 54
2022 21 中国语言文学类 4 4 580 579 52 579.3 52.3
22 英语(英日) 3 3 578 578 51 578 51
23 新闻传播学类 7 7 579 578 51 578.3 51. 3• 318 • 第三章录取统计
求取分数统计
」,
年份 II 专业名称 公布计划 录取人数 最低分 平均分
(\砃 最高分 最低分 1I 与分数 平均分 与分数
线差值 线差值
24 历史学 2 2 579 578 51 578.5 51. 5
25 !丁截管理 4 4 578 577 50 577. 3 50 3
2022 26 公共管理类 5 5 578 577 50 577. 2 50. 2
27 公共关系学 2 2 577 577 50 577 50
28 旅游简理类 3 3 577 577 50 577 50
18 经济学 3 3 614 614 56 614 56
19 法学类 2 2 618 615 57 616. 5 58, 5
20 中国语言文学类 5 5 617 613 55 614 56
3 3 614 613 55 613. 3 55. 3
二23 历史古学五
} 7 7 615 612 5乙 612. 9 54. 9
2021 2 2 613 612 a~a:5; 612. 5 54. 5
:
24 1商管理(中法实验班) 2 1 已. 612 612 , 2~ "匕~又54¥ 612 54
25 丁贲管理 2., 咖-2 _ 613 612 54 612. 5 54. 5
. 26 公共管理类 3 社<- 3 ::.612 612 54 ; 612 54
27 公共关系学 3 3 612. 尸 612 54 612 54
28 旅游管理类 , 2 3 612 612 54 612 54
17 经济学 3 3 613 610 54 612 56
, 18 法学类 2 2 611 609 53 610 54
; 19 中国语言文学类 5 5 607 605 49 605. 4 49.4
\ \ 20 新闻传播学类 5 5 605 605 49 605 49
历史学 2 3 606 605 49 605. 3 49. 3
2020 『'__口2212
L商管理 2 2 608 607 51 607. 5 51 5
I 23 工商管理(中法实验班) 4 1 607 607 51 607 51
24 会计学(国际会计师) 1 1 607 607 51 607 51
I 卜 一25 公共管理类 3 4 612 I 6os 49 607. 8 5l 8
26 公共关系学 3 4 605 605 49 605 49
27 旅游管理类 3 3 605 605 49 605 49
1915 江西财经大学
06 财政学 l 1 574 574 47 574 47
07 金融学(国际投资与金融) 2 2 559 559 32 559 32
08 金融学 1 I 577 577 50 577 50
09 国际经济与贸易(CITF方向) I 1 555 555 , 28 555 2 8
10 汉巾国际教育(商务方向) 2 2 563 556 29 559.5 32, 5
??
11 商务英语 2 2 554 552 25 1俨 553 26
12 祈闻学(经济新闻) 2 2 570 555 28 562. 5 编令 35 . 5
i 13 「程管理(投资与造价) 2 2 574 562 35 568 41
14 历地产开发与管理(投资与讨估) 1 1 1, 553 553 26 ,:553 C 26
c
2022 15 工商管理(智能商务) 2 2 567 559 1, 32 563 36
16 市场营销(数字营销) _ 1 1 555 555 28 555 28
17 会计学(CIMA) - \~ ~; ,'~勹- I 1 562 562 35 562 35
18 会计学 1 I 575 575 48 575 48
19 会计学(注册会计师) 1 1 578 578 51 578 51
I 1 550 550 23 550 23
I厂加?I五?飞 l,飞国打人际动收丿虹饬与商社务理妇(会(四数保l妇钰'(障(方务康向戍金养)融)
1 1 554, 554 27 554 27
) -)
1 1 552 552 25 552 25
1 1 550 550 23 550 23
24 旅游管理(数字文旅) 1 1 55.I 551 24 551 24
06 经济学类 2 2 615 611 53 613 55
07 I 财政学类 1 1 610 610 52 610 52
08 金融学类 2 2 609 609 51 609 51
09 金融学(国际投资与金融) 2 2 569 567 9 568 10
2021 10 国际经济与贸易(CITF方向) I 1 607 607 49 607 49
11 汉语国际教育 2 2 603 589 31 596 38
12 商务英语 2 2 606 559 1 582. 5 24. 5
i 13 新闻学 2 2 606 606 48 606 48
i 14 皊珅科学与工程类 3 3 605 604 46 604. 3 46. 3.
四、2020-2022年河南省普通高校招生本科一批分专业录取情况统计表(文科) 319 •
录取分数统计
专业 最低分 平均分
年份 专业名称 公布计划 录取人数
代码 最高分 最低分 与分数 平均分 与分数
线差值 线差值
15 工商管理类 4 4 608 602 44 605.5 47.5
16 工商管理类 2 2 610 608 50 609 51
17 会计学(CIMA方向) 2 2 609 604 46 606.5 48.5
2021
18 国际商务 2 2 605 604 46 604. 5 46.5
19 公共管理类 2 2 608 607 49 6ITT. 5 49.5
4勹己`{\' 旅游管理 1 2 J丘卢I,On 559 1 568.5 10.5
06 经济学类 1 1 604 604 48 604 48
07 财政学类 2 2 605 604 48 604.5 48. 5
08 金融学类 2 2 605 604 48 604.5 48.5
09 金融学(国际投资与金融) 2 2 603 601 45 602 46
气户
10 国际经济与贸易(cm勺r向) 1 1 603 603 47
11 中国语言文学类 2 2 3 602 46
i
12 外国语言文学类 2 2 2 46 602 46
2020 13 新闻传播学类 丁飞 2 2 2 6Q八2·,·,;~` ., 必飞夺才4`.,书 切,6气了,-丁一~忒 602 46
14 管理科学与工程类 2 2 "' 603,\,,,,立, \\的1' 45 602 46
15 工商管理类 ~ ~坛 2 :七”;2已 飞勹6凶 601 45 602.5 46.5
16 -二 工 ',\心俨t:
A飞它2
612 605 49 608.5 52. 5
. I二--1飞』'』" ,工商 ,<,,;\ ;()\ 3 3 604 602 46 603 47
I-~ \. : h\I\ \ ,, 了 S 了 : 贮;18言 4会 (CIMA方向) 今,心泛了飞'义};七,、 2 2 610 604 48 607 51
I、:\\I9 \/ 归管理类二i) 2 2 601 601 45 601 45
c 心2O三百勹 习旅游管理类 1 2 601 601 45 601 45
1930 湘潭大学
07 哲学 2 2 576 573 46 574.5 47.5
08 经济学类(韶峰班) 2 2 575 575 48 575 48
09 金融学 3 3 574 573 46 573. 3 46. 3
10 法学(卓越班) 2 2 577 576 49 576.5 49.5
11 法学 3 3 577 576 49 576. 3 49.3
12 政治学与行政学 2 2 572 567 40 569.5 42.5
13 社会学 2 2 568 566 39 567 40
14 中国共产党历史 3 3 567 567 40 567 40
15 思想政治教育 2 2 571 571 44 571 44
16 马克思主义理论 2 2 575 569 42 572 45
17 汉语言文学 3 3 573 570 43 571. .3
18 汉语国际教育 3 3 567 567 40 40
19 英语 4 4 574 5 -- 41 . 8
2022 20 德语 3 3 5 39 . 7. 夕,,跳7
21 法语 2 5 5 39 梦6;53 `士仁士的.5
<,, <~
22 西班牙语 566齿 56_ 6c;- `勺沪t 566 39
2 2 3 4 新 广 闻 告 学 学 -\ /飞4,尸『编\\ 2 , 2、尸它§ '" 飞 $ 5 " , ~ 6 6"'• 9' 9 ~'~ 3 ~ _ ',"·吓' ' t 千 竺飞- 5 5~6 6 9 9 ` _ 4 4 2 2 5 5 6 6 9 9 4 4 2 2
25 历史学夕~:户,江尸4 \ \ :; 咋'S43i l', 4 572 567 40 568.5 41.5
26 卫商管理三.~:之 产,勹忙二.?,亨- 2 2 568 567 40 567.5 40.5
27 财务管理\ ``.-二/;尸~.乙矿/飞~^ ,\归\气勹归 2 2 570 569 42 569.5 42.5
28 人力资源管理' 4 4 569 566 39 567.5 40.5
29 文化产业管理 2 2 566 566 39 566 39
30 公共管理类(韶峰班) 2 2 572 566 39 569 42
31 行政管理 2 2 569 566 39 567.5 40.5
32 图书馆学 3 3 571 566 39 569 42
33 档案学 2 2 568 567 40 567.5 40.5
07 哲学 2 2 606 604 46 605 47
08 经济学类(韶峰班) 2 2 610 607 49 608.5 50,5
09 经济学 2 2 606 606 48 606 48
2021 10 金融学 2 2 607 604 46 605.5 47.5
11 法学类 3 3 613 611 53 612 54
12 法学(卓越班) 2 2 619 613 55 616 58
13 社会学 2 3 604 602 44 603 45· 320 · 第三章录取统计
录取分数统计
年份 专业 专业名称 公布计划 录取人放 最低分 I 平均分
代码 最高分 最低分 与分数 平均分 与分数
线芹值 线差值
14 中国共产党历史 3 3 604 601 43 602 7 44. 7
15 思想政冶教育 2 2 603 601 43 602 44
16 汉语言文学 2 2 606 605 47 605. 5 47. 5
17 汉语国际教育 2 2 601 601 43 601 43
18 英语 2 2 605 604 46 604. 5 46 5
19 德语 2 2 604 601 43 602. 5 44. 5
20 法语 2 2 600 600 42 600 42
21 西班牙语 2 2 601 600 42 600. 5 42 5
22 新闻'f 2 2 606 606 48 606 48
2021 23 广告学 604 600 42 602 44
24 历史学 32 ,I l 33 603 601 I 43 602 44
25 工商符理 2 2 603 _ 601' < 43 602 44
26 财务管埋 2 2 600 600 1--- 42 6”“0”“0”“ 42
27 人力资源管理 2 I 2 三603 ?. 60\产.2、 牡 60-2-- -5· ,一一 44.5
28 文化产业管理 ,_ l,· 2 2 600 600' 42 600 42
29 公共管理类(韶峰班) 2 2 605 604 46 604. 5 46. 5
30 行政管理 2 2 606 602 44 604 46
31 图书馆学 2 2 602 600 42 601 43
32 档案学 2 2 602 600 42 601 43
\ \~ , 07. 哲学 - 3 3 597 595 39 595. 7 39. 7
,,''-,, 08 心 经济学类(韶峰班) 2 2 601 599 43 600 44
,_ ,. 一09召尸~古T 尸:经济学” “ 2 2 600 598 42 599 43
} _, 10七 金融于 2 2 599 597 41 598 42
11 法学 2 2 603 601 45 602 46
12 法学(卓越阱) 2 2 604 603 47 603. 5 47.5
13 社会学 2 2 594 592 36 593 37
14 中国共产党历史 2 2 598 594 38 596 40
15 思想政治教育 2 2 596 594 38 595 39
16 汉语百文学 2 2 604 595 39 599. 5 43. 5
17 汉语国际教育 2 2 594 593 37 593. 5 37. 5
18 英语 2 2 598 598 42 598 42
19 德语 3 3 594 594 38 594 38
2020
20 法语 2 2 595 592 36 593. 5 37. 5
21 西班牙才 2 I 2 593 591 35 592 36
22 新闻学 2 2 598 597 41 597 5 41. 5
23 广告学 3 3 596 595 39 595 7 39. 7
24 历史学 飞 3 593 592 36 592 7 36. 7
25 工商管理 2 2 597 .-.·口 5-9--6 40 596 5 40. 5
26 财务管理 2 ! 2 597 596 40 596 5 40. 5
27 人力资源管理 2 2 593 591 35 592 36
2
28 文化产业管理 ,一 2 592 591 35 591. 5 35 5
29 公共管理类( : 韶 峰班) 2 2 599 597 41 598 42
30 行政管理 2 2 598 595 39 596. 5 40 5
-
31 图书馆学 2 2 591 591 35 591 35
32 档案学 2 2 595 593 37 594 38
1935 湖南师范大学 忙
14 哲学 2 2 584 583 56 583, 5 56. 5
15 经济学类 4 4 585 581 54 582. 3 55. 3
16 法学 4 4 589 585 58 5一87 w 60
17 政治学勹行政学 2 580 53 580 53
22 1I 558804
18 思想政冶教育(师池) 2 583 56 583 5 56. 5
19 汉语言文学(师范) 4 4 588 586 59 587. 3 60. 3
2022
20 汉语国际教育(师范) 2 2 583 582 55 582. 5 55. 5
21 外国语言文学类 3 3 585 584 57 584. 3 57. 3
22 新闻传播学类 4 4 590 586 59 587. 3 60. 3
23 历史学(师范) 4 4 584 581 54 582 55
24 地理科学(师范) 2 2 587 580 53 583. 5 56. 5
25 工商管珅贞 4 4 585 582 55 583 5 56. 5.
四、2020-2022年河南省普通高校招生本科一批分专业录取情况统计表(文科) 321 •
录取分数统计
专业 最低分 平均分
年份 专业名称 公布计划 录取人数
代码 最高分 最低分 与分数 平均分 与分数
线差值 线差值
20 哲学 2 2 620 620 62 620 62
21 经济学类 2 2 625 623 65 624 66
22 政治学与行政学 2 2 620 620 62 620 62
23 思想政治教育(师范) 2 2 623 620 62 621. 5 63.5
2021 24 汉语言文学(师范) 2 2 624 623 65 623.5 65.5
25 新闻传播学类 4 4 622 621 63 621. 3 63. 3
26 历史学(师范) 2 2 621 620 62 620. S 62.5
27 护理学 2 2 619 619 61 619 61
28 工商管理类 2 2 622 620 62 621 63
21 法学 2 2 615 614 `,5心8 614.5 58. 5
22 思想政治教育(师范) 2 2 613 12 612.5 56.5
23 汉语言文学(师范) 4 4 5 13 613. 8 57. 8
:
2020 24 新闻学 2 2 ` 2 56 612 56
25 编辑出版学 2 2 18 6~`- 1··~ 1-·. 六屯\尸;夕?了5~5`-\-立? 614.5 58.5
26 历史学(师范) 2 2 心§6均辽:一I士,; 6,于1'2 户 56 612.5 56.5
27 心理学 ) 飞玉 2 令'.. ,.2 ,已心 ' 6t 1,· 2 611 55 611. 5 55. 5
1960 广东外语外贸大学 岂\``\ 蚐V汽七凡3飞 :'`:
.r,姐玄:经济 .,巴订.``已 1 l 569 569 42 569 42
::
\I --·! .' l\\砬3,:土f',`金融 ]令尸` 1 1 559 559 32 559 32
\飞3\_- 一法学f令心飞二\ 1 1 576 576 49 576 49
Q4:乏了 也学类 3 3 566 564 37 565 38
\:-1 飞八)5 中国语言文学类 2 2 575 574 47 574.5 47.5
06 汉语言文学(师范) 1 1 572 572 45 572 45
2022 07 汉语国际教育(师范) 1 1 569 569 42 569 42
08 英语 1 1 574 574 47 574 47
09 朝鲜语 1 1 561 561 34 561 34
10 乌尔都语 2 2 559 558 31 558.5 31. 5
11 意大利语 1 l 559 559 32 559 32
12 工商管理类 1 1 576 576 49 576 49
13 行政管理 3 3 564 558 31 560 33
03 经济学 1 1 610 610 52 610 52
04 金融学类 1 1 608 608 50 608 50
05 法学 l 1 608 608 50 608`丘/沁 扫,,50
06 政治学类 3 3 610 599 41 04擘夺'`\斗`令 矿喜-'46
.st
07 中国语百文学类 2 2 607 60 4 I',只\`K45.5
2021 08 英语 1 1 61 54 12 产、产154
09 朝鲜语 1 心于 605 47 飞;.605:,书、 ;'`-47
10 乌尔都语 607蓉 59~ 2-2 飞扫归诏沪 599. 5 41. 5
11 意大利语 §l7`\ 叶617 59 617 59
12 工商管理类(,会计学院) 1
•
-七.•,`l六~气`'豆_注一\a`6仅-5 606 48 606 48
13 行政管理二叮三,, '\ I夕,心包i 琴'''3 607 596 38 600. 7 42. 7
01 经济学\`三,1三: U,_::, ,,,,.:, 忆贮尸,飞气丸氐和 1 1 605 605 49 605 49
02 金融学类'\ -丸~二产』``名兑 l 1 609 609 53 609 53
03 政法学治学汃类[`斗 1 1 603 603 47 603 47
04 2 2 604 603 47 603.5 47.5
05 中国语言文学类 3 3 605 602 46 603 47
2020 06 英语 2 2 610 6W 51 608.5 52.5
07 朝鲜语 1 1 605 605 49 605 49
08 乌尔都语 1 1 611 611 55 611 55
09 意大利语 1 1 609 609 53 609 53
10 工商管理类 1 1 612 612 56 612 56
11 行政管理 2 2 603 601 45 602 46
1965 深圳大学
01 国际经济与贸易 3 3 586 586 59 586 59
2022 02 法学 4 4 586 583 56 584. 8 57. 8
03 社会学 1 1 581 581 54 581 54· 322 · 第三章录取统计
求取分数统计
公布计划
年份 .,,业 | 分勹l 酘 最低分 平均分
专业名称 录取人数
代码 辰的 低分与分数平均分 勹分数
线差值 线养估
} 04 戊出言文学 I 1 1 584 5 84 57 584 57
05 英泊 1 1 584 584 57 584 57
06 德语(德英) I l 580 580 53 580 53
07 西班牙语 1 1 581 581 54 581 54
2022 08 广告学 2 2 582 582 55 582 55
09 工商管理 3 3 581 580 53 580. 7 53. 7
10 丁商管理(全英班) 2 2 584 581 54 582. 5 55. 5
l l 会计学 2 2 582 581 54 581. 5 54. 5
12 行政管理 1 1 586 586 59 586 59
01 国际经济与贸易 3 3 628 622 64 624 66
02 法学 3 3 623 622 创 622. 7 64 7
03 补会学 1 l .•. 621 621 63 621 63
04 汉诸言文学 i 1 ~-心'1 i 621 621 63 621 63
05 ').',';上1、士,i' '1 勹咖 ,,'\ l r4 620 620 '` 62' 620 62
-
2021 06 德语(德英) ?气 1 1 619 619 61 619 61
07 新闻学 2 2 622 620 62 621 63
08 广告学 1 I 621 621 63 621 63
l 0 o 9 工商管理 4 4 621 619 61 620. 5 62. 5
」
\ ~ \' 、尸 会计学 2 2 623 622 64 622. 5 64. 5
11 行政管理 2 2 621 620 62 620. 5 62.5
\
01 国向经济与贸易 3 3 6155厂 •! 66115 59 615 59
02 沾学 2 2 61 5 59 615 59
03 社会学 1 1 61 3 57 613 57
04 戊语舌文学 1 l 614 614 58 614 58
05 英语 1 1 618 618 62 618 62
2020
06 悠谄 1 1 613 613 57 613 节
07 广告学 2 2 614 614 58 614 58
08 T商管理 3 3 615 614 58 614. 7 58. 7
09 会计学 2 2 616 616 60 616 60
10 行政管理 2 2 615 613 57 614 58
1966 深圳技术大学
I 01 英沔 4 4 554 ! 550 23 552. 3 25 3
02 4 4 557 552 I 25 554. 3 27 3
2022 I『 ()3 巾场营销 2 2 575 守59 32 567 1 40
04 财务管理 2 2 556 555 28 555. 5 1, 28. 5
05 物流管理 4 4 557 553 26 554. 3 27 3
01 英卤 3 , 3 600 592 •· 34 595~ J ~~ 37
2021 02 德语 ?~ 4 4 596 590 ::卢3`2刁 + \ 591. 8 33. 8
03 物流管理 _义 3 3 589 588 30 588. 3 30. 3
01 商务英语 i 2 2 595 587 31 591 35
2020 02 国际商务 4 4 593 582 26 586. 3 30. 3
03 物流管理 、编尸 2 2 590 581 25 585. 5 29. 5
1970 华南农业大学 \
07 社会工作\ 了- 一夕 3 3 598 594 36 595. 7 37 7
2021 08 房地产开发与管理 2 2 596 596 38 596 38
09 公共管理类 I 5 5 611 596 38 602.2 44. 2
07 才口斤'-,乌户 1 1 591 591 35 591 35
08 同际经济与贸易 1 1 591 591 35 591 35
09 籵会工作 3 3 590 589 33 589. 7 33 7
10 汉语言文学 l 1 598 598 42 598 42
11 英语 1 1 595 595 39 595 39
2020
12 历史学 1 I 590 590 34 590 34
13 房地产开发勹管理 1 l 591 591 35 591 35
14 工商管理类 I I 594 594 38 594 38
15 公共管理类 2 2 594 591 35 592 5 36. 5
16 土地资源管理 I 1 1 59飞 593 37 593 37.
四、2020一2022年河南省普通高校招生本科一批分专业录取情况统计表(文科) 323 •
录取分数统计
年份 专业 女业名称 公布计划 录取人数 i 最低分 平均分
代码 最高分 最低分 勹分数 平均分 与分数
线差值 线差值
1975 广州中医药大学
01 肋用心理学 l I I 568 568 41 568 41
02 中医学(学制5年) 2 2 579 573 46 576 49
03 针炎推拿学(学制5年) 1 1 570 570 43 570 43
04 中医养生学(学制5年) 1 1 568 568 41 568 41
2022
^UcJ 康复治疗学 1 1 J<丘U勹, ~ 2 585 585 58 585 58
, 06 ` 法学 \ \ \ 2 2 588 586 59 587 60
202 \\ \ 2 \ , \ \ \ '` 0 0 8 7 'l ' 外 新 国 闻 语 传 言 播 文 学 学 类 类 8 \ \,\ \ ` 3 2 3 2 5 5 8 8 5 5 5 5 8 8 3 3 5 5 6 6 5 5 8 8 4 4 5 5 7 7
?09` t历史学类 4 4 586 582 55 583. 3 56. 3
\ \ i`';;) 10 考古学 2 2 599 590 63 594. 5 67. 5
11 工商符理类 4 4 586 582 55 583. 3 56. 3
04 经济学(基地班) 2 2 626 626 68 626 68
05 国际经济与贸易 2 2 622 622 64 622 64
06 法学 2 2 622 621 63 621. 5 63. 5
07 外国语百文学类 5 5 621 620 62 620. 6 62. 6
2021
08 新闻传播学类 2 2 625 623 65 624 66
09 历史学类 4 4 625 621 63 623. 3 65. 3
10 考古学 2 2 630 629 71 629. 5 71. 5
11 工商管理类 5 5 624 621 63 621. 8 63. 8
04 哲学 2 2 612 611 55 611. 5 55. 5
05 杜会丁作 2 2 612 612 56 6三12 对§气I 56
06 以诸百义学 2 2 614 614 58 61
2020 07 汉语国们教育 2 , 2 614 614、 I 58 61
0 0 8 9 祈 考 闻 古 传 学 播学类 2 l 2 1 T丛 - - 飞;、 6 6 l 1 3 7一 r ~乡 , __ 二 ,' 气六 6 61 l3 7 尘乒 i 11 5 61 7 6 6 1 1 3 7 茂贷 a \ a . 飞 .". 巳 · e 5 6 •户 1 7.
10 工商管理类 i 2 2. ,飞f,615性 613 i,57 614 58
2095 陕西科技大学 ,\' 之 '
04 英语 2 2 559 554 27 556.5 29. 5
05 市场营销 ' ,3 ,' 3 553 549 22 551. 7 24. 7
2022
06 会计.学·.s ' , 3 3 563 554 27 557. 7 30. 7
07 行政管理 2 2 559 549 22 554 27
04 英沿 2 2 594 591 33 592.5 34.5
05 巾场片销 3 3 589 588 I 30 588. 7 30. 7
2021
06 会计学 3 3 592 590 32 591 33
07 行政价珅 I 2 2 589 589 31 589 31
04 英语 2 2 585 582 26 , 583. 5 27.5
05 巾场营销 I 3 3 585 582 26 ! 58}. 3 27.3
2020
06 会计学 3 3 587 584 28 585. 3 29. 3
07 行政管理 2 2 583 582 26 582. 5 26. 5
2100 四安建筑科技大学
06 汉语言文学 2 2 562 558 31 560 33
2022 07 英语 2 2 562 559 32 560.5 33. 5
08 公共管理类 2 2 558 556 29 557 30• 326 • 第三章录取统计
录取分数统计
专业 最低分 平均分
年份 专业名称 公布计划 录取人数
代码 最高分 最低分 与分数 平均分 与分数
线差值 线差值
06 汉语言文学 2 2 599 595 37 597 39
2021 07 英语 2 2 597 590 32 593.5 35.5
08 公共管理类 2 2 593 589 31 591 33
06 汉语言文学 2 2 595 591 35 593 37
07 英语 2 2 595 590 34 592.5 36.5
2020 08 建筑学(学制5年) 1 1 603 603 47 603 47
09 风景园林(学制5年) 1 1 606 606 50 606 50
10 公共管理类 2 2 599 592 36 595.5 39.5
2105 西安邮电大学
02 国际经济与贸易 2 2 551 543 16 547 20
03 英语 1 1 556 伈,5、5)06 }寸 `.i'-,气气``-飞`2&`八~9`` , 556 29
04 商务英语 1 1 3 _了; ',、\ `, -宁 今 -:: 、 §``5 3 ~级i赞 553 26
05 网络与新媒体 2 -丘~ 产'2 9 飞飞56 哀. 29 557.5 30. 5
06 工商管理 姿 : 2 2 “令 ,俨556 546 夕--- `19已占 551 24
20龙 m 市场营销 2 2 552心亡飞-- 5·'"·4-8" - 21 550 23
08 会计学 • 心1 t il ·;咖:气 产566 566 39 566 39
I'天飞;:lf` .'1 558 558 31 558 31
·---今\卢;亨 2 2 555 555 28 555 28
一\\:\戈,. `IE -I\二
叮,飞:子-`\ : 1 1 555 555 28 555 28
飞\\、 心义T1 、-..-:;} \ 2 2 597 592 34 594.5 36.5
,.;-0怎《漁f务英语 1 1 596 596 38 596 38
。s,,,飞e' 1 归04 网络与新媒体 2 2 597 596 38 596. 5 38.5
05 市场营销 1 1 587 587 29 587 29
2021 06 会计学 1 1 602 602 44 602 44
m
财务管理 l 1 598 598 40 598 40
08 公共事业管理 2 2 593 591 33 592 34
09 行政管理 2 2 594 592 34 593 35
10 电子商务 2 2 595 593 35 594 36
02 英语 2 2 596 592 36 594 38
03 商务英语 1 1 591 591 35 591 35
04 网络与新媒体 2 2 593 591 35 592 36
05 市场营销 1 1 591 591 35 591 35
2020 `<
06 会计学 1 1 593 593 37 593 1,令,
37
07 财务管理 l 1 592 三35岱没 591.5屯 ?,$,``` 一`俨 二:\心36
08 公共事业管理 2 2 592 心 59 、 2 归34'''|590 矿产空35.5
09 行政管理 2 2 590尸r`L,竺占`”^'”` 一,• , 34
2110 西安外国语大学 勹,'上, 飞 '` - 产心夕, \也,分`; 俨
0 0 6 7 经 汉语 济 国 学 际教育 心 l ;, 式 匀 57 0 2" 、 飞;_己 5 5 5 ?7 1 0 , 沪霆》2 43 4 2-,1 5 55 7 8 0 4 31 3
08 英语 了\ i,r, \ 切 4 宁.._ii,. i'-1 $., 心勺飞·5,7> 3' - 560 33 566.5 39. 5
2022 09 英语(师范)仁三I')1, 书$令,': 寸飞,l`;.` ,占\ l 579 579 52 579 52
10 法网语络、二与I新\I\二媒体,\::::'-:L广产二凸、':,§,,“§ 心4a ?;\ `` ¥七、,`亡" 1仁i,千;','C- •! 1 l 568 568 41 568 41
12 1 1 575 575 48 575 48
06 经济学:n` 泸 1 1 608 608 50 608 50
07 外交学 1 l 612 612 54 612 54
08 汉语国际教育 1 1 605 605 47 605 47
2021 09 英语 3 3 611 610 52 610. 7 52. 7
10 阿拉伯语(中外合作办学) 6 6 593 565 7 574.8 16. 8
11 商务英语 1 1 605 605 47 605 47
12 酒店管理 1 1 604 604 46 604 46
07 经济学 1 2 602 602 46 602 46
08 外交学 1 1 602 602 46 602 46
09 汉语言文学 1 1 602 602 46 602 46
2020
10 汉语国际教育 1 1 602 602 46 602 46
11 英语 3 3 603 602 46 602. 3 46. 3
12 阿拉伯语(中外合作办学) 3 3 589 586 30 587. 3 3 1. 3四、2020一2022年河南省普通高校招生本科一批分专业录取情况统计表(文科) . 327 •
录取分数统计
公Iµ计划1I吹取人数
专业 最低分 平均分
年份 专\W名称
代码 最高分 最低分 I J分数 ·1均分 与分数
线汇伯 线差值
13 诸言学 1 I 602 602 46 602 46
14 广播电视孚 I 1 603 603 47 60飞 47
2020
15 ,尸且口皿子 l l 601 601 45 601 45
16 旅游管理 1 l 601 601 45 601 45
2115 西北政法大学
04 哲学 2 2 578 578 51 578 51
05 经济学类 5 5 581 578 51 579 52
06 法学(经济法) 5 5 584 583 56 583.4 56. 4
07 法学(民商法) 5 5 586 585 58 585. 2 58.2
08 法学(刑聿法) 4 4 586 582 55 583、8 56. 8
09 丛字(行政法) 4 4 582 -5-82 55 582 55
10 法学(国际法) 3 3 , 582 : 乏飞579 52 581 54
11 去学(反恐怖主义法) 1 l 乙已:/心'`…:、-`5-贮81-'; 58I 54 581 54
2022 12 盂了(公共安全法) 2 I 2 -' "~581 581 54 i 581 54
13 英语 I 1 581
5L\ 二8-1
54 581 54
14 新闻学 1 l 580 580 53 580 53
--
15 编辑出版学 I L 1, 1 579 579 52 579 52
l6 网络与新媒体 1 1 579 579 52 579 52
17,' T商管理类 4 4 580 563 36 574. 8 47. 8
\ \\ , 1 8 公共事业管理 l 1 579 579 52 579 52
\
\ } 夕`飞,l.,'h土\ 行政管埋 L 1 578 578 51 578 51
2o
,一i气r [ '',,'4'? 屯子商务及认律 2 I 2 578 578 SI II 5-78 51
04 哲学 2 2 616 616 58 616 58
05 经济学类 3 3 617 616 58 616. 7 58. 7
06 法学(民悯法) 5 ,i 5 624 622 --- 6-4' _J1 623 65
07 法学(经济法) 5 5 622 620 62 621 63
08 法学(刑事法) 4 4 623 618 60 620 62
09 法学(行政法) 4 5 619 618 60 618. 2 60. 2
10 法学(国际法) 3 3 621 619 61 619. 7 61. 7
11 法学(反恐怖主义法) 1 I 617 617 59 617 59
2021 12 法学(公共安全法) 3 3 616 614 56 614. 7 56. 7
13 英语 1 1 617 617 59 617 59
14 新佣学 I 1 615 615 ; 57 l 615, 气气 57
I
15 编钥出版学 1 I 617 617 59 617趴三::''59
t t;
16 网络与新媒体 l l 615 615 I, 57 615 -57
17 I商管理类 4 I 4 6琦二 i 616 I 呐 616. 8 58.8
18 打政倌卫j! I 1 今玄3' 6-1-4''·•三、书-~ 614 ! 56 614, I\. 56
19 片``动 与计会保障 21~ , _ \ ]心 兄 614·沁·\ 614 1 56 614 56
20 电子商务及法律 2 617 616 58 616. 5 58. 5
`
04 哲学 尸丫 2 2 605 605 49 605 49
05 金融学 -' 2匕 飞 、. 2 606 605 49 605. 5 49. 5
\'
06 国际经济与贸易 1 1 606 606 50 606 50
07 法学(刑事法) 4 4 609 608 52 608. 3 52. 3
08 法学(经济法) 5 5 611 609 53 609 8 53. 8
09 法字(民商法) 5 5 612 611 55 611.2 55.2
10 法'J:(行政法) --'--—-—4- 一-- 4 608 607 51 607. 5 51. 5
11 让、,户(反恐怖主义法) I I 607 607 51 607 51
2020 12 法学(国际法) 3 3 613 607 51 610 54
13 英语 1 1 607 607 51 607 51
14 新闻学 1 1 606 606 50 606 50
15 编辑出版学 1 1 606 606 50 606 50
16 网络与新媒体 l 1 605 605 49 605 49
17 审计学 5 5 609 606 50 607 51
18 公共事业管理 1 1 606 606 50 606 50
19 行政管理 1 1 607 607 51 607 51
20 屯子商务及法律 2 2 607 606 50 i 606. 5 50. 5• 328 • 第三章录取统计
录取分数统计
专业 最低分 平均分
年份 专业名称 公布计划 录取人数
代码 最高分 最低分 与分数 平均分 与分数
线差值 线差值
2120 新疆大学
03 法学 4 4 571 568 41 569. 5 42.5
04 政治学与行政学 4 4 568 562 35 564. 3 37.3
05 国际政治 2 2 573 562 35 567.5 40. 5
06 社会学 3 3 565 562 35 563 36
07 思想政治教育 2 2 575 569 42 572 45
08 汉语言文学 9 9 568 564 37 565. 9 38. 9
09 汉语国际教育 6 6 564 561 34 562.2 35. 2
10 英语 2 2 565 565 38 565 38
2022
11 俄语 6 6 564 561 34 561.8 34. 8
12 新闻传播学类 6 6 565 4.561 9 仅气34 563. 7 36. 7
13 历史学 5 5言罩: 嘉泡斗飞 563. 6 36. 6
14 考古学 4 C 34 562 35
15 行政管理 1 41 5 J 飞 `\` 句,7`,'之`"'', 564 37
16 劳动与社会保障 3 、3 ,'567\ |f 562 35 564 37
17 旅游管理 夺 '3 l, ` i 3 B \ { ` 5 63 561 34 561. 7 34. 7
18 r酒店 、^,书`八\、!}'; `t3 561 537 10 553 26
飞赔之` ,1、法学 , ”“' 占'i$沁```\亨 6 6 606 602 44 603. 8 45. 8
文'心\ O4(三,i
\ \\ {\\ \\ \ ” \\ !;,书一政国士一际会治甘学敃学与洽行仅•政1学m '.,` 4 4 601 598 40 598. 8 40. 8
斗贮,仗-o5\ \ 2 2 598 597 39 597. 5 39.5
\,, .\.. ,~ 10.6习 4 4 598 596 38 596. 8 38. 8
许1,.\, `0 7 民族学 4 4 596 596 38 596 38
08 思想政治教育 4 4 603 596 38 598. 8 40.8
09 汉语言文学 9 9 603 598 40 600.4 42.4
2021 10 汉语国际教育 9 9 596 595 37 595. 8 37. 8
·11 英语 2 2 600 600 42 600 42
12 俄语 6 6 602 595 37 597.5 39.5
13 新闻传播学类 8 8 601 599 41 599. 6 41. 6
14 历史学 5 5 603 596 38 597. 8 39. 8
15 劳动与社会保障 3 3 597 595 37 596 38
16 旅游管理 4 4 596 595 37 595. 3 37. 3
17 酒店管理 2 2 595 594 36 594. 5 36. 5
03 法学 7 7 598 591 35 592. 9心立 '` ,心36.9
?
04 政治学与行政学 4 4 591 586 30,、占 兮'587.8 ` L `、、-31. 8
06 社会学 2 2 587 584乌仁 28气`、,:', .尸一、,5,.`8气`5. 5` 己 `` 书'2`勺~.5
\
0 0 8 7 汉 思 语 想 言 政 文 治 学 教育 6 6 沁~ 6 6 ,又 5 5 9 8 2 9 . . .氐心. ~ 它.` 4 ~矗$`编 心.”? ` , 、 : 1 5 5 8 8 8 3 霆 ., 2 3 7 2 奇 `15 5 8 8 9 5 ; 3 ` 4 s,3 2 3 9 . 3
09 汉语国际教育 飞尸 6千,二l 591 `1 5 85, ~ \、多`,29户S 587. 2 31. 2
2020 10 英语 -令刁 二`;:、产 5三心 5 气尸 够9 ` `| 584 28 586.2 30.2
11 俄语 --- `5 肛`砬 7 乒7 c\ 2 \5,8,9 Y . 584 28 586. 3 30. 3
12 :行,了政管理气\i ;尸了 五气`s'tO上i;\ I l0 593 586 30 587. 8 31. 8
13 `\ ,··.f\ •··' 6 6 589 584 28 585. 7 29. 7
i4 5 5 590 585 29 588 32'
15 旅游管理尸夕$夕 4 4 592 583 27 586 30
16 酒店管理 4 4 584 583 27 583. 3 27. 3
2125 青海大学
01 国际经济与贸易 2 2 567 565 38 566 39
2022 02 工商管理类 8 8 565 557 30 560. 3 33. 3
03 旅游管理 8 8 561 557 30 559.4 32.4
01 国际经济与贸易 4 4 608 600 42 602. 3 44. 3
2021 02 工商管理类 8 8 599 592 34 596 38
03 旅游管理 8 . 8 595 592 34 593.,3 35. 3
01 国际经济与贸易 8 8 594 587 31 589.1 33, 1
2020 02 工商管理类 8 8 587 585 29 585. 9 29. 9
03 旅游管理 4 4 585 585 29 585 29.
四、2020-2022 年河南省普通高校招生本科一批分专业录取情况统计表(文科) 329 •
r
求取分数吮i
I厂 {"i栈JII求取人数
专业 最低分 平均分
年份 方业名称
代码 最高分 最低分 r丿二尸 与分数
夕`/又P之工江、 线差值
2130 石河子大学
08 法学 4 4 567 561 34 563 8 36. 8
09 政治学与行政学 8 8 561 557 30 558. 9 31. 9
10 社会工作 6 6 557 556 29 556. 5 29. 5
11 教育学(师范) 2 2 559 557 30 558 31
,1 夕勹 学前教育(师范) 4 4 'i'i7 555 28 556 29
13 小学教育(师范) 4 4 558 556 29 556. 5 29. 5
2022 14 汉语言文学(师范) 2 2 564 562 35 563 36
15 英语 2 2 564 559 32 561 5 34.5
16 俄语 4 4 560 556 29 I 557 3 30. 3
17 阿拉伯语 2 2 555 ,-.555 28 I 555 28
18 历史学(帅池) 4 4 561 尸-.`-尸-尸、俨\`}; 559 32 560 33
19 护理学 4 c'飞-已俨.557 , 555 28 555. 5 28.5
} 4 "·
2O 应芭管理 2 i 2 562 561 34 561. 5 34. 5
02 法学 4' 4 601 594 36 596 38
03 政治学与行政学 8 8 594 591 33 592 34
04 社会工作 8 8 591 588 30 589. 1 31. l
05 教育学(师范) 3 3 592 590 32 591 33
\ 06 学前教育(师范) 4 4 591 590 32 590. 5 32. 5
\ . 0· 7 小学教育(师范) 2 2 589 588 30 588. 5 30. 5
\.今08~
t'"
:-勹`又语言义`学 4 >! 601 593 35 596 8 38. 8
'乒,, t } 乙 `S少 ;\它 09--歹 英讯 3 3 597 591 33 593 3 35. 3
2021 lO 俄语 2 i ,- 591 590 32 590 5 32. 5
11 波斯语 2 2 591 590 I 32 590 5 32.5
12 新闻传播学类 2 2 594 594 36 594 36
13 历史学(师范) 4 i 4 590 589 31 589 8 31. 8
14 应用心理学 2 2 595 592 34 593. 5 35. 5
15 护理学 4 4 591 589 31 589. 8 31. 8
16 应急管理 3 3 591 588 30 589. 3 31. 3
17 农林经济管理 3 3 595 589 31 592. 7 34. 7
18 旅游管理 2 2 588 588 30 588 30
01 法学 4 4 588 583 27 584. 8 28, 8
02 政冶学勹行政学 4 4 582 580 24 58l 3 25. 3
03 籵会工作 8 8 584 578 22 580 1 ••2 4. 1
04 教育学(师范) 3 飞 582 580 24 580 7~ ',,. 尸站.7
IO` ,..~
05 学前教育(师范) 10 582 578 22 579 23
06 中闱讯言文学类 4 4 589 1_ 580飞 24 583 27
07 英语 3 3 飞' . 587七-:- . 586 30 ??咖 586. 7 '· 30. 7
2020 08 俄语 七勹 勹 ` 一尸二_ 579 ,_ 578 -一 22 578. 5 22. 5
09 新闻传播学类 3 3 582 580 24 580. 7 24. 7
10 历史学 2 2 582 581 25 581. 5 25 5
11 应用心理学 ; 2 , 2 600 582 26 591 35
12 护理学\\ ' .'4 4 578 578 22 578 22
13 衣林经济管理 4 4 582 579 23 580. 5 24. 5
14 公共事业管理 6 __, 6 581 579 23 579. 5 23. 5
15 旅游管理 4 4 587 578 22 58 l 8 25. 8
2205 青岛大学
01 金融学 } 2 564 564 ~3兑 : :7 I/ 37
—
02 认学 I I 565 565 5S65” 38
03 法语 ?.“ 2 ? ·· 2 562 560 61 34
04 西班牙语 2 2 561 559 60 33
05 日语 2 2 562 559 32 560. 5 33, 5
2022
06 朝鲜语 2 2 563 562 35 562. 5 35. 5
07 新闻学 1 1 563 563 36 563 36
08 工商管理 4 4 563 562 35 562, 3 35. 3
09 会计学 3 3 563 563 36 563 36
10 旅游秤理 2 ! 2 561 545 18 553 26· 330 · 第三章 录取统计
求取分数统计
专寸1! 最低分 平均分
年份 { \码 七\II1名称 公布计划i录取人妏 最高分 最低分 与分数 平灼分 勹分数
线芳伯 线苀俏
2_ ____ , __2_ L_I __59_6 595 I
|
37 595, 5 37 5
3 I 3, 597 597 i 39 597 39
I I I I 605 605 47 605 47
l I I 595 37 595 37
,
I I 一l ;! 595 37 595 37
2021 ~:
2 I 2 I 599 I 595 37 597 飞9
2 I 2 I 595 ! , 594 36 594. 5 36. 5
I I 1 I 597 I 597 39 597 39
4 I 4 I 599 I 593 35 594, 8 36. 8
一 2 · ·-- I I ~ 2 - ---+ I . - 5 ~ 9 · 6 - · + , -- 5 ~ 9 - 5 - 37 595. 5 37. 5
I
I
:^三匈 l_ 594 1 38 595, 5 39. 5
2 I 2 I 597 I 594 38 595, 5 39. 5
I I I 16001600 44 600 44
2 I 2 I 592 I 592 36 592 36
^^
I I 1 I 594 I 594^- 38 ^5 94 38
2020 I I l I 591 I, 591 35 591 35
2 I 2 I 595 I 590 34 592. 5 36. 5
^ 2 I I I 一 2 1 I I 一5 60 9 3 6 I I 5 5 9 9 6 3 -4 4 37 0 -—l 5 5 9 98 6 4 4 2 0
I
2 I 2 I 593 I 593 37 593 37
3 I 3 I 591 33 590, 3 34. 3
2210 湖北人学
566 39
566. 7 ,- - 39. 7
566 I 566 39 I 566 39
--
570 j : 567 40 I 568 41
2-23-6-332--23-{36一5 -一6 -2 8 3 --22i,2 -33 5 -2“6 2 6 - -22--32--83” 3 - 9 23 -22^- I -33- 5 82 6 ^ 7 -- 3j--52-35--22 40 35 5-5-5-5 2
2022 567 ,! 566 39 I 566. 5 39. 5
565 乎 ! , 一 565 一38 ^一I 565 3 8
566 I 565 38 I 565. 3 38. 3
566 ! 565 38 I 565. 7 38. 7
565 ! 565 38 I 565 38
566 | 565 38 I 565. 3 38. 3
598 ! 598 40 I 598 40
602 ! 602 44 I 602 牡
三/
厂 37 I 595. 5 .
601 ! 598 40 I 599 I 41
二一 39 I 597 I 39
2021 41 I 600. s I 42. s
37 I 595. 7 i 37. 7
一— -I
38 I 597. 3 I 39. 3
二
/
2020
..
间伈插,“类
史宁类 _
尸一~ 卜-“ /.~
失四、2020一2022 年河南省普通高校招生本科一批分专业录取情况统计表(文科) . 331 ·
录取分数统计
年份』 专业
1 代们 专业名利 公布计划 录取人数 最茼分 最低分 最 与 低 分数 分 平均分 与 ! 分 ;均 奻 分
线差值 线上值
F-~-—--人- -—- L
2215 中匡民航大学
01 法学(航空法) 2 2 三l 554 27 562.5 35 5
02 思想政治教育 1 l 559 559 32 559 32
2022
03 英语(民航外语) 4 4 567 555 28 562. 3 35. 3
04 翻译 1 1 550 550 23 550 23
01 法学(航窄法) 2 2 602 602 44 602 44
2021 02 英语(民航外语) 5 5 601 596 38 598. 6 40. 6
03 公共事业管理 I I 595 595 37 595 37
01 法学(航空法) 3 3 597 595 39 595. 7 39, 7
2020 02 英语(民航外语) 6 7 592 591 35 591. 3 35. 3
03 公共事业管理 4 3 I 593 591 巧 591. 7 35. 7
2220 武汉科技大学 六、一今-泸
02 经济与贸易类 6 7 567 563 36 564.9 37. 9
03 法学类 9飞立斗,三 9 568 563 ;~ ` 36卢2 565. I 38, 1
2022 04 外国语言文学类 \ 导,~ 4 \; 竺§奇 4 569 564,· ,' 37 565. 5 38. 5
05 上商管理类 , 10 10 ,569 562 35 564, 1 37. 1
06 行政管理 ~~ 2 2 563 562 35 562. 5 35. 5
02~ ~ 夕 ~~ 经济与贸易类 6 8 598 595 37 596 38
0一3,\ ,\ 法学类 9 9 602 596 38 598. 6 40.6
、\ 一了 一
202\'\ l'\ ' |” 0-5; 1 /尸~ 外 工 国 商 语 管 言 理 文 类 学类 `', 1 4 5 1 4 5 6 6 0 0 3 0 5 59 9 5 6 3 3 8 7 5 5 9 9 6 8 . . 9 8 4 3 0 8 . 9 8
06 公共管理类 2 3 602 595 37 598. 7 40. 7
02 投资学 4 4 596 590 34 592. 8 ~ ~3咖6. 8
03 国际经济与贸易 2 4 591 589 33 590. 5 34. 5
04 法学 ?~ ?~ 6 6 5勹91 35 593. 2 37 2
591
05 社会工作 3 3 5 589 33 590 34
2020 06 英语 4 4 59l 590 34 590. 3 34. 3
07 上商管理类 10 12 597 590 34 591. 6 35. 6
08 物业管理 3 3 589 589 33 589 33
09 行政管理 2 2 591 590 34 590. 5 34.5
10 物流管理 2 2 591 590 34 590. 5 34. 5
2225 首都师范大学
()() 国际经济与贸易 2 2 58 l 580 53 580. 5 I 53 5
2022 07 英语 2 2 585 583 56 584 57
08 心理学 2 2 580 580
三61 $节:
06 国际经济与贸易 2 2 620 619 61 5
2021 08 英语 2 2 620 6l9厂 2; 6'.19. 5 i 65 ]3 S
0 0 7 9 心 国 理 际 学 经济与贸易 2 2 2 2 ` ~ 芯”~”“”“”“~ - 661200 i!I 660—189 '6 5"~ 1 2 , ~、s \ 6E 60 入 9 5 6 5 1 3 5
08 马克思主义理论 .. 2 2 612 610 54 611 55
2020
09 英语 2 2 609 608 52 608. 5 52. 5
'
10 考占学 2 2 611 610 54 610. 5 54. 5
2230 天津财经大学
.一
05 金融学类 3 3 568 565 38 566. 3 39. 3
06 国际经济与贸易 2 2 563 556 29 559. 5 32 5
07 法学"; 子 2 2 ! 569 569 42 569 42
08 英语 2 2 552 25 556. 5 29 5
09 日语 5 5 562 527 Q 540. 8 l3 8
10 商务英语 3 3 ·· 562 528 1 545 18
1 1 广播电视学(财经新加 2 2 563 561 34 562 芍
2022 - -
12 广告学 3 3 561 528 1 542. 7 15. 7
13 丁商管理类 2 2 565 564 37 564.5 37. 5
14 会计学 l 1 564 564 37 564 37
15 会计学(注册会计师) 2 2 568 566 39 567 40
16 公共眢理类 2 2 559 556 29 557. 5 30. 5
17 旅游管理类 3 3 550 534 7 541. 7 14. 7
18 金融学(中外合作办学,能源金融) 2 2 565 560 33 562. 5 35 5· 332 • 第三章录取统计
录取分数统计
专业 最低分 平均分
年份 专业名称 公布计划 录取人数
代码 最高分 最低分 与分数 平均分 与分数
线差值 线差值
05 金礁学类 3 3 611 608 50 609. 7 51. 7
06 金融学(中外合作办学,能源金融) 2 2 601 595 37 598 40
m 国际经济与贸易 2 2 i 608 606 48 607 49
08 法学 2 2 604 604 46 604 46
09 英语 2 2 604 601 43 602 5 44.5
10 日语 5 5 600 598 40 599 41
11 商务英谄 3 3 601 598 40 599 41
2021 - -几--·' -- 尸,几人
12 广播电视学(财经新闻) 2 2 603 601 43 602 44
13 广告学 3 3 601 601 43 601 43
14 1商管理类 2 2 607 605 47 606 48
15 会计学(注册会计师) 2 2 612 611 尸>二夕5夕3~ 611. 5 53. 5
16 会计学 1 1 610 610 52 610 52
17 公共管理类 2 ` -: 2 乙了1:602 601 43 601. 5 43. 5
18 旅游管理类 1 3 ; 夕- 3 >601 位Q"心 42 600. 3 42. 3
05 金融学类 合作办学气`,-能-源金玄丐 3 3 6凶飞佥厂 601 七~ 45 602. 7 46. 7
06 金融学(中外 2 2 594 592 36 593 37
07 国际经济与贸易 \. u 3 3 602 599 43 601 45
亡部c;::'法i 学 夕屯立!\-启飞乏飞飞之 3 3 602 600 44 600, 7 44. 7
, :::丿一英语 ; Y 3 3 601 597 41 598 7 42. 7
V10工 日_~语 5 5 597 597 41 597 41
11 商务英语 3 3 599 598 42 598. 3 42. 3
2020 12 广播电视学(财经新闻) 6 6 600 597 41 598. 2 42. 2
13 广生口严子 3 3 601 599 43 600 44
14 丁商管理类 2 2 602 601 45 601. 5 45. 5
15 会计学(注册会计师) 2 2 608 602 46 605 49
16 会计学 I I 602 602 46 602 46
17 公共管理类 2 2 600 600 44 6()() 44
18 物流管珅 2 2 599 598 42 598, 5 42.5
19 旅游管理失 3 3 597 596 40 596 7 40. 7
22的南京审计大学
01 财政学 3 3 575 572 45 573 46
02 税收学 2 2 575 570 43 572. 5 45. 5
03 保险学 3 3 566 563 36 564.3 户r: 37_ 3
04 投资学 3 3 573 563 36 567. 7 40. 7
05 信用管理 2 2 566 566 . 39 -亡 '5,66 39
06 国际经济与贸易 4 4 571 564. 37 566 39
07 贸易经济 2夕 2 566 563 36 564. 5 37. 5
08 法学 5 5 571乒丿 565,'夕心 ,匕、l\'2 38 567. 6 i 40.6
09 法学(法务金泡) 2 2 匀2:I)- : 566 39 569 I 42
2022
10 法学(法务会计) 4 4 571 565 38 567. 3 40. 3
11 汉汉语语国言向文教学育 匕'户;;编`\ 4 4 571 564 37 566. 5 39. 5
12 ,<3 : 2 2 565 562 35 563. 5 36.5
13 工商管埋 $g /a七3斗”姿, 尸石上 3 3 567 563 飞6 565 38
14 会计学 ; --. 4 4 577 575 48 576 49
15 财务管理 3 3 575 570 43 572. 3 45. 3
16 审计学 2 2 580 577 50 578. 5 51. 5
17 行政管理 4 4 569 565 38 566. 5 39. 5
18 审计学(中外合作办学) 2 2 576 572 45 574 47
01 财政学 3 3 609 607 49 607. 7 49. 7
02 税收学 2 2 ! 606 606 48 606 48
03 保险学 3 3 I 604 604 46 604 46
04 投资学 2 2 i 608 606 48 607 49
2021
05 信用管理 2 尸 2 603 45 604 46
2 1I 660055
06 国际经济勹贸易 2 603 45 604 46
07 贸易经济 2 2 603 602 44 602. 5 44.5
08 法学类(法务会计) 3 3 606 604 46 605 47四、2020一2022年河南省普通高校招生本科一批分专业录取情况统计表(文科) . 333 ·
录取分数统计
I
女业 最低分 'I均分
年份 专业名称 公布计划 录取人妏
代砃 最低分 与分数 平均分 厉分数
线差值 线差值
09 法学类(法务金融) ·· 2 2 604 603 45 603. s I 45 s
10 法学 6 6 608 605 47 606. 2---+ ~——
11 政治学、经济学与哲学 ^^ 2 2 604 602 44 603 45
12 汉语言文学 3 3 605 603 45 603. 7 45. 7
13 汉语国际教育 2 2 602 602 44 602 44
14 英语 2 2 603 602 44 602. 5 44. 5
2021
15 工商管理 4 4 612 602 44 604, 8 46. 8
16 会计学 4 4 617 611 53 613 55
17 财务管理 3 3 610 608 50 608. 7 50. 7
18 审计学 2 2 I 62s 622 64 625 67
19 审计学(中外合作办学) 2 2 616 607 t 611. 5 53. 5
20 行政管理 3 3 602 l 602 602 44
01 金融学 2 2, l 603 603 . 47 603 47
02 保险学 心凡动 3 ,- 3 593 593 矿}、|$订衍·.玄 593 I 37
0
0
3
4
投
信
资
用
学
管理 \ / ~'、、、'`,V` ;
\
,、 ~,、
\
;:~, 、'、六\ ,
\, 2
2
t ,
2
2
』' \ \
,·
\5
59
9
{.
5
8\ \ \八 ~ {\ 5
5
9
9 3
7 4
3
1
7
59
5
7
9
.
4
S 4
3
1
8
.5
05 夕, 国际经济与贸易 \ \ 2; ·•· i, 2 601 594 38 597. 5 41.5
'
I ,\', ,仅06 \ !,,1\贸易经济 人认'\'\,l\ \ 2 2 594 593 37 593. 5 37. 5
\ \\ \I\ \\ '\\t 07\ I法学 t, I\ 2 2 603 601 45 602 46
\ 08\ \、 法学(,法务会计) 2 2 600 595 39 597. 5 41. 5
09 法学(法务金融) 2 2 594 594 38 594 38
2020
10 汉语言文学 3 3 593 592 36 592, 7 36. 7
11 汉语国际教育 2 2 594 592 36 593 37
12 英语 2 2 603 594 38 598. s I 42. 5
13 工商管理 2 2 602 600 44 601 45
14 会计学 6 6 612 595 39 601. 2 45, 2
15 财务管理 3 3 599 595 39 597. 3 41. 3
16 审计学 2 2 609 606 50 607. 5 51.5
17 审计学(中外合作办学) 2 2 596 594 38 595 39
18 劳动与社会保障 3 3 592 592 36 592 36
2250 天津外国语大学
05 金融学 1 2 566 558 31 562 35
06 国际经济与贸易 1 1 556 556 29 556 29
07 法学 1 2 561 560 33. 5
言产又
08 国际政治 1 1 555 28
09 外交学 2 3 563 . 5. 63 个菜 36 563 36
10 国际组织与全球治理 1 l,1; 560 560 莘0 33 ,4560 33
11 汉沔言文学 ',2'`'仑 2-. 已~令 , 562 562 祜它,众 562 35
.·.
12 汉语国际教育 _ 2 2 555 550 23 552. 5 25. 5
13 外国语言文学类(英语类) 6 6 567 560 33 563 36
14 俄语 \ 1 1 560 560 33 560 33
15 德语 t, 2 2 567 565 38 566 39
~\
2022 16 法语 2 2 563 558 31 560. 5 33. 5
17 西班牙语\ 2 2 564 563 36 563. 5 36. 5
19 日语' 5 6 575 555 28 559令8 32 8
··---.
21 i 葡萄牙语 1 1 554 554 27 554 27
22 意大利语 1 1 553 553 26 553 26
23 广告学 1 l 553 553 26 553 26
24 网络与新媒体 1 1 563 563 36 563 36
25 丁商管理类 5 3 557 548 21 551. 3 24. 3
26 经济学(中外合作办学) 5 5 553 548 21 550. 2 23. 2
27 印度尼西亚语 l l 563 563 36 563 36
28 缅甸语 1 1 553 553 26 553 26
29 匈牙利语 1 l 551 551 24 551 24· 334 · 第三章录取统计
! Ii II 录取分数统计
年份 f 专 \ 寸 码 1I 专业名称 公布计划录取人数 !i I 最高分 最低分 勹 最 分 低 妏 分 平均分 平 日 均 分 分 数
线无值 线养值
05 经济t(中外合作办学) 5 5 I 587 58 J 23 584. 2 ! 26. 2
I 06 令阰学 2 3 1 598 596 38 596. 7 38 7
07 法学 2 2 ! 5 9 8 597 39 597 5 39 5
08 川际政治 I l I 594 594 36 594 36
09 外父学 2 1 594 594 36 594 36
! 10 议诸口文学 2 3 599 597 39 597. 7 39, 7
11 汉语国际教育 2 2 597 595 37 596 38
12 外国巾言义羊类(英语类) 5 5 609 602 I 44 604 4 46, 4
13 俄由 2 2 604 597 39 600. 5 42, 5
14 德语 2 2 '602 596 38 599 4!
法语 2 2 604 597 I 39 600, 5' 42. 5
加2/
西珩牙语 2 2 595 595 I 37 595 37
l8 门语 ! 3 3 601 599 i 41 599 7 41 7
印度尼四亚申 I l 582 582 24 582 24
19 印地由 1 l 589 589 i 31 589 31
10 豪萨语 I I 578 578 i 20 578 20
21 斯几希里申 I I I 577 577 I t9 577 l 9
,
I 22 保加利亚诏 l l 590 590 32 590 32
23 葡萄牙出 I I 595 595 37 595 37
?? 24 犁尔缩业怡 ! l 1 603 603 I 45 603 45
26 广告羊 i I 1 599 599 I 41 599 41
i
27 丁尚管理类 3 4 596 594 1 ,i6 594. 8 I 36. X
28 l 行政-管理 2 l 597 597 I 39 597 39
05 经济学(中外合作办孚) } 5 5 585 576 20 581 25
06 令凇学 I 593 59飞 I 37 593 37
07 法学 卜一 2 2 596 591 35 593. 5 37 5
08 外因I$交了政学治 l l 589 589 I 33 589 33
09 2 2 590 34
590 59~, +34
lO 汶沼Fi文学 I 2 2 591 I 59 34 平905 飞45
11 --汉市国妳教育 一 I , 52 一-- 2 593 591 35 592 36
12 外国南言文学类 5 600 592 36 596, 4 40 4
13 俄出 -1 2 2 592 591 35 591 5 35 5
14 t还I,i:H-hi• 2 2 598 593 37 595 5 39 5
2020
l 5 法语 2 601 600 44 600. 5 44. 5
16 四班牙才 2 2 三599 厂! 598 42
559927- +I- 4361
l 8 ll语 4 4 594 3 --· 飞 口 8 --3
~”“” 19 朝鲜由 l 1 590 590 \{ 34 ,一一 590 34
20 葡萄牙语 I I 597 i 597 41 597 41
21 惑人利巾 j I 39 595 39
--- 595 1I,I - - 559905
22 汪间传播学类 3 6 595 34 590. 8 34. 8
23 广估J 1 l 591 591 飞亡 591 35
.-
24 丁尚管理类 5 2 590 590 34 590 34
25 行政管珅 2 3 590 589 飞3 589. 3 33. 3
l 225-5` 浙,?1理- 1大-学- - - -
.
09 经济勹贸易类 2 ,1 2 『 564 561 34 ”“~一562. 5奴 咖 35. 5 ?”“~
10 外国巾言义学类 1 I 561 561 34 561 34
2022 11 斩闻传播学类 """ 2 2 573 563 36 'i68 :41
12 丁商管理类 2 2 i 561 553 26 557 30
! l飞 公共符理类 I 2 ! 2 I 572 536 ' 9 i二 554 ] I 5
} 07 经济勹贸易类 2 2 ! 605 604 46
08 法学类 2 2 604 604 46 604 46
09 外同治言义早类 4 4 602 599 41 599 8 ; 41. 8
2021
10 新闻传播学类 4 4 603 600 42 601. 5 l 43 5
II 丁尚管押类 2 2 603 601 43 602 I 44
12 们政悖埋 2 2 600 599 41 599. 5 i 41. 5.
四、2020一2022 年河南省普通高校招生本科一批分专业录取情况统计表(文科) 335 •
录取分数统计
飞,亚 ~尸 最低分 .f均分
年份 专业名称 公布计划 录取人数
代砃 最高分 最f[(分 与分数 平均分 与分数
线差值 线y们
07 经济与贸易类 2 2 596 596 40 596 40
08 法学类 2 2 596 594 38 595 39
09 外国语言文学类 2 2 593 593 37 593 37
2020
10 新闻传播学类 2 2 595 595 39 595 39
11 上商管理类 2 2 604 596 40 600 44
12 行政管理 2 2 593 593 37 593 37
2265 南乐财经大学
03 经济学类 2 2 572 571 44 571. 5 44. 5
04 财政学类 3 3 579 570 43 573. 3 46. 3
!,iI 0065 金融学类 3 3 569 566 : 3 ; 9 567. 3 ! 40 3
国际经济与贸易 2 2 567 566 566. 5 39 5
07 法学 4 4 578 566, 569. 8, 42. 8
座09_ 英语 2 2 566 564 565 I 38
2022 /1 新闻传播学类 4±4 567 565 ?”38 尸 566 i 39
10 工商管理类 笭 / 4 4 574 571 分' 572.3 45 3
11 市场营销 _ 2 2 5,_6 5 -- 564 37 564.5 37. 5
12 人力资源管理 3 3.,, 565 563 36 564 37
13 ,~ ~、 劳动与社会保降 -, 2 2 565 565 38 565 38
\ l4~ 旅游管理 3 3 563 563 36 563 36
~夕 ,
\ \ O3 经济学类 2 2 615 611 53 613 55
` 夕.04'\. 财政学类 2 2 609 608 50 608. 5 50. 5
05 金融学类 3 3 616 609 51 611. :, 节3
06 国际经济与贸易 2 丿i 61)网6 604 46 605 47
07 法学 4 422 1 056 606 48 607. 5 49. 5
08 英语 2 604 46 604. 5 46. 5
2021 09 新闻传播学类 4 4 604 598 40 602. 3 i 44 3
10 工商管理类 4 4 612 606 48 608. 5 50. 5
11 市场营销 2 2 603 603 45 603 45
12 人力资源管理 3 3 607 603 45 605 47
13 劳动与社会保障 2 2 597 596 38 596. 5 38. 5
14 旅游管理 3 3 607 600 42 603 45
03 财政学 2 2 603 603 47 603 47
04 税收学 2 2 611 603 47 607 51
05 金融学 2 2 604 603 47 603. 5 47. 5
06 国际经济与贸易 2 2 603 46, 5
07 法学 .. 3 3 605 ! 6 6髯0 氓2, 文岭L编 亟妞. 48
2020 08 网络与新媒体 4 4 602 , 5了~ .歹召、 ,, 5, - 45 5
09 市场营销 2 2 605 48
10 会计学 2俨t了、-~ 2它 607 666 ', ,0` , 50 S
4[
11 人力资源性理 .~',之 ,L :`~~ ~~仁 4 604 602 、4f.?~6~ ?-T 602. 5 46.5
12 审计学 \ 2 2 603 603 47 603 47
13 旅游管理 3 3 l 601 601 45 601 45
2270 江苏科技大学 t ' / -
01 经济学 \ - J 亡 L 2 2 555 555 28 555 28
02 金融工秤 2 2 555 555 28 555 28
03 政治学与行政学 2 2 561 II 555 28 558 31
04 外国语言文学类 6 6 556 S53 26 554 27
2022
。《 俄语 1 1 553 553 26 553 26
06 会计学 3 3 558 , 557 30. 557. 3 30 3
07 公共事业管理 2 2 5节 553 26 554 27
08 旅游管理 2 2 竺3 j俨 5节 26 553 26
I) l 经济学 2 2 590 590 32 590 32
02 金融丁程 2 2 591 589 31 590 32
03 政治学与行政学 2 2 591 589 31 590 32
04 外国语百义学类 6 6 594 589 31 590. 3 32, 3
2021
05 俄语 1 1 587 587 29 587 29
06 ...L商管理类 3 3 595 591 33 592. 7 34. 7
07 公共事业管理 2 2 588 588 30 588 30
08 旅游管理 2 2 588 588 30 588 30• 336 • 第三章录取统计
录取分数统计
专业 最低分 平均分
年份 专业名称 公布计划 录取人数
代码 最高分 最低分 与分数 平均分 与分数
线差值 线差值
01 经济学 2 2 591 588 32 589.5 33. 5
02 金融工程 5 5 587 582 26 584. 6 28. 6
03 政治学与行政学 2 2 583 583 27 583 27
04 外国语言文学类 6 6 585 580 24 583 27
2020
05 俄语 1 1 580 580 24 580 24
06 工商管理类 7 7 588 580 24 583.3 27.3
07 公共事业管理 2 2 582 581 25 581. 5 25. 5
08 旅游管理 2 2 580 580 24 580 24
2280 北京建筑大学
01 法学(国际工程法实验班) 2 2 599 595 39 591 41
2020
02 社会工作 2 2 591 590 寸忙,34, 590. 5 34.5
2285 沈阳建筑大学 六.<千飞尸 涕立屯冷性;,洼立'
\-, ,"七.('C_:·'
05 英语 亡2 飞户二,咕 飞 ~,5立 5 532 5
2022 2532
2021 05 英语 气:式 2 §妇574 56`9 只丸1 571. 5 13. 5
\ \
22 2 9 0 0 20 中国计 05 量 大学 英语 舒::-心、罕-```:: '飞,,' ` ` `;', 奇 ` 咖C \令` `` 守 ` ~心 穸过'~^`"油 ` ,如飞 ` , ` ` ; 罩 `?: 尸 -<卒• .飞、' 2 . ,又` f r众 飞 ,, 5, - 7 - '3 ` , 、 1 568 12 570. 5 14.5
20”2--2 \ \--00 ? 1 飞 、 l、I,标工商准化管理工程类·` :,·\'1 ; ` 寸 t ,,)”` \, \\\21 产, . 21 556588 555685 3318 5 5 66 5 . 8 5 39 31 . 5
20订\ 叮0l口)1,芷商管埋类 \ ·\· `` 1 1 605 605 47 605 47
\\ I七I`“lO 2 \』'人 ,标法准学化类玉程''` 1 l 598 598 40 598 40
\_一` ` \Ol泣't 1 1 599 599 43 599 43
2O20 `'§ 心,,,
c
S'
一
,
')。2 工商管理类 1 1 598 598 42 598 42
03 标准化工程 1 1 598 598 42 598 42
2295 南华大学
02 法学 2 2 558 556 29 557 30
03 汉语言文学 2 2 557 555 28 556 29
2022 04 风景园林 3 1 555 555 28 555 28
05 护理学 2 1 546 546 19 546 19
06 工商管理类 2 5 sss 548 21 550. 8 23. 8
02 法学 2 2 592 590 32 591 33
03 汉语言文学 2 2 585 582 24 583. 5 25.5
2021 04 风景园林 3 7 583 577 19 580.1 22.1
05 护理学 2 2 581 扫俨
06 工商管理类 2 2 583
02 法学 2 2 585
2020 03 汉语言文学 2 2 气`,全 583-\` 勹` `r 六夺-L
04 护理学 2- ; -} ,`2气主飞" ? 、 ' ' i 5804r `一~: 恐 576 |2 20,:5邓 22
05 工商管理类 ~2 六:4 2^ • 589- 584,.\.1吵了28-' 586. 5 30.5
2300 长沙理工大学 _ 玄``C`飞 ,-,,气产 : , 已 ~,气 - 心 心 ,心否 气 沁 于…:` : 气` ;':,81 L`
05 金融学 沪\\ 'J` 立\三S沁一飞丙 勹出一,气忑 2 1 1` 2、入 ••'5·、63 561 34 562 35
06 法学\/勹`~'SC!,, 勹 ' .了心 .心· ·\.2. ? ,; · ”"'2 563 561 34 562 35
07 汉语言文学'己::;'.,,"' ,- ·,'',:;` `产 3 3 559 558 31 558. 7 31. 7
08 英语 `、\ i r ' \一又S 气 2 2 558 558 31 558 31
09 翻译, 产\`^飞 2 2 558 558 31 558 31
20立 10 新闻学 2 2 563 562 35 562.5 35. 5
11 新闻学(卓越班) 1 1 565 565 38 S6S 38
12 网络与新媒体 2 2 564 562 35 563 36
13 工商管理 2 2 562 558 31 560 33
14 会计学 4 4 565 562 35 563 36
15 人力资源管理 2 2 559 557 30 558 31
03 金融学 2 2 599 598 40 598.5 40.5
04 法学 2 2 598 598 40 598 40
05 汉语言文学 3 3 597 595 37 596 38
2021
06 英语 2 2 598 597 39 597.5 39. 5
07 翻译 2 2 594 594 36 594 36
08 新闻学 2 2 595 594 36 594.5 36. 5四、2020-2022年河南省普通高校招生本科一批分专业录取情况统计表(文科) . 337 ·
礼取分数统计
专业 』 最低分丁~ 平均分
年份 代码 4了 业名称 公如I划录取人数 最高分最低} H分数 1'均分 与分数
哎兑仇 线差值
09 网络与新媒体 2 2 596 594 36 I s9s 37
10 I商管理 2 2 597 594 36 595. 5 37. 5
2021 —尸-
11 会计学 2 2 599 599 41 599 41
12 人力资源管理 2 2 594 593 35 593. 5 35. 5
07 金融学 2 2 590 590 34 590 34
08 法学 2 2 589 588 32 588. 5 32. 5
09 汉语百文学 3 3 588 587 31 587. 7 31. 7
2020 10 央开抇宝 2 2 587 586 30 586. 5 30. 5
11 翻译 2 2 587 586 30 586. 5 30. 5
12 新闻学 2 2 589 589 飞3 589 33
13 会计学 2 ~ 2 594 589 i 33 - 591 5 35. 5
-1
14 A)J跻fi!~[,门才开! 2 2 587 • /587 31 587 31
.:-•
2305 贵州大学 6;}~
06 经济勹贸易类 3 3 了ft"今俨J 76 573 46 575 48
'.~-
07 法学 ,a 、~l 4 - 4 -575 573 46 574 47
08 汉语言文学 4 4 574 572 45 573. 3 46. 3
09 英语 ? ; t-1 ,- 、• 4 ·.,. 4 574 570 43 572 45
2022 10 日语 夕_ 3 3 570 570 43 570 43
,` l l 历史学 I 3 l 3 574 570 43 572 45
l2 工商管理类 3 3 572 570 43 571. 3 44. 3
\\编 \2 l3 沪荽旅游影理(中外合作办学) 7 7 552 544 , 17 549. 4 22. 4
,:1o'tU:c兑 财政学尖 4 'f 610 609 51 609. 3 51. 3
05 经济勹贸易类 3 3 616 610 I s2 612 s4
06 i大学c i 2 2 614 613 55 613 5 55. 5
2021 07 汉语言文学 2 2 609 609 51 609 51
08 英语 , 4 ! 55 608 608 ' 50 608 50
09 日语 2 2 611 608 50 一卜 609.5 51.5
10 工商管理类 3 3 610 608 50 608. 7 50. 7
11 旅游管理(中外合作办学) 7 7 595 583 25 588. 1 30. 1
`
03 财政学类 4 4 604 602 46 603. 3 47. 3
04 金融学(121项目) 4 4 586 567 11 573. 8 17. 8
05 经济与贸易类 2 2 2 604 602 46 603 47
06 法学 2 i 3 605 605 49 605 49
汉语言文学
2
2020 07 602 602 46
08 英语 2 2 602 602 46
09 121 J贞目) 2 一 2 573 566, Ill 5
^^
10 日语 2 2 的1`已
<
.,令,士_俨:
,.
6Ol<-<`-飞仁- 45 601 , ·. '心 4~丸4一5
11 丁商一忤珅类·· 2 2 6叫—,~·俨尸少已夕一夕.,一 603 47 60飞5` \ 47, 5
12 旅游管理(中外合作办学) 7 7 · 578 570 14 571. 6 15. 6
2310 南方医科大学
01 外国语言文学类, 2 7 557 547 20 551. 6 24. 6
02 中医学(名老中医传承班,学制5年) ,,1 l 560 560 33 560 33
03 针炎推拿学(学制5年) 2 2 587 561 34 574 47
2022 04 康复洽疗学 4 4 559 551 24 555 28
05 护珅学 6 5 557 546 19 552. 2 25. 2
06 护理学(卓越班) 2 2 559 559 32 559 32
07 助产学 5 1 555 555 28 555 28
01 外国语言文学类 2 2 606 583 25 594 5 36.5
02 )萄用心理学 2 2 597 597 39 __j 597 39
03 中医学(学制5匀) I 1 606 606 48 i 606 48
04 中医学(名老中医传承班,学制5年) 1 l 620 620 62 620 62
2021 05 针炎推拿学(学制5年) 1 1 606 606 48 606 48
06 康复治疗学 2 2 600 592 34 596 38
07 护理学 3 3 592 582 24 586. 3 28. 3
08 护理学(卓越班) 1 1 583 583 25 583 25
09 助产学 3 3 592 589 31 591 33
10 健康服务日忏理 2 2 591 589 31 590 32• 338 • 第三章录取统计
录取分数统计
专业 最低分 平均分
年份 专业名称 公布计划 录取人数
代码 最高分 最低分 与分数 平均分 与分数
线差值 线差值
01 法学(卫生法学) l 1 597 597 41 597 41
02 外国语言文学类 2 3 594 592 36 592. 7 36. 7
03 应用心理学 2 2 597 592 36 594. 5 38. 5
04 中医学(学制5年) 3 3 606 604 48 605 49
05 中医学(名老中医传承班,学制5年) 1 1 608 608 52 608 52
2020 06 针炎推拿学(学制5年) 1 1 602 602 46 602 46
07 康复治疗学 2 2 602 601 45 601. 5 45. 5
08 护理学 2 :2 597 : 592 36 594. 5 38.5
09 护理学(卓越班) 1 1 585 585 29 585 29
10 助产学 2 2 583 578 22 580. 5 24. 5
,: : ,-.41 597.5 41. 5
11 公共幸业管理 十I .$『1言?5郊.:」『如: t
2315 南京邮电大学 :f1
3 2 \
03 经济学类 " 44 572.5 45. 5
04 国际经济与贸易 勹39 567 40
05 社会工作 忐沪~仁 _. 36 565 38
06 英语 丁`/ -心·气 43 571.7 44. 7
2022 07 r日语 4夕~ 夕一~ 3飞·, 3 564 564 37 564 37
-」-0B--~ 翻'译.,,'夕-}~.,心 _ 2 2 566 565 38 565.5 38. 5
`~乒 二, 1 \ .飞 1 飞9 0 ,. \ 尸 _ a上,a ` , 广 公工 告 共商 学 管管理理类类 勹 干尸 2 3 2 3 5 5 7 7 2 0 5 5 6 65 9 4 3 2 8 57 5 0 6 . 8 5 43 41 . 5
. }l一.一户 3 3 564 563 36 563. 3 36. 3
'03 经济学类 4 4 612 610 52 611 53
04 国际经济与贸易 3 3 609 608 50 608. 3 50. 3
05 社会工作 3 3 609 607 49 608.3 50. 3
2021
06 外国语言文学类 5 5 608 605 47 606. 6 48. 6
07 日语 3 3 607 590 32 599.3 41. 3
08 公共管理类 5 5 607 596 38 602.4 44.4
03 经济学类(金融与经济) 4 4 605 603 47 603. 8 47. 8
04 外国语言文学类 5 5 603 601 45 601.6 45.6
2020 05 日语 3 3 602 601 45 601. 7 45. 7
06 工商管理类 6 6 603 601 45 601. 7 45. 7
07 公共管理类(公共治理与社会管理) 2 2 601 601 45 601 45
2320 北方工业大学 子-~.“一夕:.,c..
04 国际经济与贸易 2 2 558 557 30;二 a, 557 5~ 气“30.5
05 法学 2 2 571 566i泛了~ 39哼 ,、5 68 . 5, 41. 5
06 知识产权 1 l 558 558 31,7 .?5 58 31
2022 07 汉语言文学 言l 1 :矗:; 今 558 ~ ;1? 558 心~ 31 ~-558尸 31
08 英语 ·~ 544沁 54~ 1~ :~了 了 飞~,己14 542.5 15. 5
宁.
09 日语 产气尔 557 557 30 557 30
04 国际经济与贸易 I 2 ` 2.. ,} 603 602 44 602.5 44.5
1
05 法学尸一, ' 2,.2 - 俨已' 3 599 594 36 597.3 39. 3
2021 06 知识产权尸3--勹俨~-,_,/亡~勹~ ~"-哼 叮\夕 1 1 607 607 49 607 49
07 汉语言文学 飞``忍 1 l 605 605 47 605 47
08 英语 2 2 598 593 35 595.5 37. 5
03 国际经济与贸易 2 2 600 593 37 596.5 40.5
04 法学 1 l 594 594 38 594 38
05 知识产权 1 1 593 593 37 593 37
2020
06 汉语言文学 2 2 593 593 37 593 37
07 英语 2 2 594 592 36 593 37
08 日语 1 I 592 592 36 592 36
2325 华侨大学
04 哲学(中西人文综合试验班) 3 3 560 558 31 559 32
05 经济学类 2 2 561 558 31 559. 5 32.5
2022 经济学类(中美 121 双学位班,可接轨
06 3 1 557 557 30 557 30
CFA金融分析师)
07 法学 5 5 567 560 33 561. 8 34. 8四、2020—2022年河南省普通高校招生本科一批分专业录取情况统计表(文科) . 339 ·
求取分数统计-
专业 最低分 平均分
年份 专\V名称 公伈计划 录取人数
代码 最高分 最低分 勹分数 I均分 与分数
线泸们 线差值
08 中[``言义学类 , 4 4 565 559' 32 56l 34
09 汉由国1行教育 3 3 558 557 30 557. 3 30. 3
10 芙由 2 2 566 559 32 562. 5 35. 5
11 新闻传播学类 3 3 561 559 32 560 33
2022
12 工商管理类 2 3 559 557 30 558 31
13 财务管理 2 2 558 557 30 557. 5 30. 5
14 行政管理(数字政府治理、社会福利、公共 3 4 558 556 29 557 30
危机管理方向)
04 哲学(中西人文综合试验班) 2 2 594 591 33 592. 5 34. 5
05 侄济子类中芙121 双学位班) 2 4 594 586 28 588 8 30. 8
06 铲济学类 2 2 596 595 37 595. 5 37.5
07 认学 4 4 29 590 32
二已~
08 籵会户 2 2 '~ •• 31 589 31
2021 09 中[11泊厅义孚类 ;, 3 3 3 夕 588 5 586 28 586. 7 28. 7
10 汉由同际教育 3 .S. '589 5 88 30 58 8 3 30. 3
11 英语 2 2 597 588 30 592. 5 34. 5
12 新闻传播学类 3 (3' 594 593 35 593. 3 35. 3
13 工商管理类 3 1 591 591 33 591 33
14 财务管理 2 2 588 587 29 587.5 29. 5
15 , 公共管理类 2 2 587 587 29 587 29
04 经济学类 、- 2 2 596 596 40 596 40
巳;~ 05:上\ 法学 3 3 598 594 38 595. 3 39. 3
\仅06 补会羊 2 2 569 557 卜一 1 563 7
07 中1叮语言文于类 4 4 599 593 37 595. S 39.5
08 汉语国1飞教育 2 2 592 564 8 578, 22
2020
09 英诏 2 2 592 588 32 590 34
10 烁阮传播千类 2 2 594 582 26 588 32
II 工商管理类 3 3 596 594 38 595. 3 39 3
12 财务管理 2 2 595 594 38 594. 5 38. 5
13 公共管理类 3 3 575 563 7 570 14
2330 西安工业大学
06 汉语言文学 2 2 552 547 20 549. 5 22. 5
2022
07 工商管理类 2 2 549 548 21 548. 5 21. 5
06 汉语百义泸 2 2 586 586 28 586 28
2021
07 I育管理类 2 2 586 583 25 :589 卢
07 匡1,1经济与贸易 2 2 586 584 28
08 汉语言文'},i 2 2 33 ',;', 33
09 茂诏 3 I 3 髯 28 584 7 2&7
2020 10 网络与新媒休 “I一 29 588 贮~ 32
11 市场营销 ~/ 22 ! 22- ---- I 25 581 25
12 物流管理 3 3 583 582 26 582. 7 26. 7
2340 汕头大学
01 国际经济与贸易 2 2 565 560 33 562. 5 35. 5
02 法学(涉外法务英语特色班) 2 2 562 562 35 562 35
03 法学 3 3 565 561 34 562. 7 35. 7
04 权治j可文学 3 3 565 560 33 562 3 35. 3
2022
05 英诏 2 2 561 560 33 560. 5 33. 5
06 ), 一生I1 .-沪Ji于令 1 1 563 563 36 563 36
07 国际新闻与传播 2 2 562 560 33 561 34
08 在政管理(智慧城巾特色班) 2 2 560 559 32 559. 5 32.5
01 国向经济勹贸易 1 l 607 607 49 607 49
02 法学 3 3 598 592 34 595. 3 37 3
03 法学(涉外法务英语特色班) I 1 593 593 35 593 35
04 汉语言文学 3 3 607 592 34 599. 3 41. 3
2021
05 英语 2 2 592 591 33 591. 5 33. 5
06 广告学 1 1 590 590 32 590 32
07 国际新闻与传播 1 1 597 597 39 597 39
08 行政俨卉 3 3 607 590 32 596 38• 340 · 第三章录取统计
录取分数统计
专业 最低分 平均分
年份 专仲名称 公布计划 录取人数
代码 最高分 最低分 与分数 平均分 与分数
线差值 线差值
01 国际经济与贸易 1 I 600 600 44 600 44
02 法学 3 3 601 594 38 597. 7 41. 7
O飞 认学(涉外法务英语特色班) 1 1 602 602 46 602 46
旧 汶由言文学 3 3 603 589 33 596. 7 40. 7
2020
05 英语 2 2 585 582 26 583. 5 27 5
06 新闻学(国际新闻传播) ~ ~ ~ 1 1 597 597 41 597 41
07 广庄仁1砰一才上 1 1 589 589 33 589 33
08 行政管理 3 3 584 577 21 579. 3 23. 3
2345 宁波诺丁汉入学
01 经济学类(中外合作办学) 3 3 571 559 32 566, 3 39. 3
02 国际事务与国际关系(中外合作办学) 2 2 547 545 18 546 19
03 英语(中外合作办学) 2 2 553 , 547 ` ·/ 20 550 23
2022 04 英语(中外合作办学,2+2) I 1 579 579 52 579 52
05 传播学(中外合作办学) 5 5 558 534 7 542. 4 15, 4
06 财务管理(中外合作办学) 3 ,占 3 542 539 ; 12 540. 7 13 7
07 面荧同叫伯庥谦!、商经中(务务济外与与(中合贸揖外作易际合办关,,土作学貂办打冶)学吵)作1、办学) ~丛^~ ^ "6 -夕6' _\ 555 535 8 545. 3 18. 3
01 2 1.\\•.,2 606 600 42 603 45
02 合作办子) 立 2 596 579 21 587. 5 29. 5
03 2 2 592 590 32 591 33
气\ 04 传播学(中外合作办学) 5 5 588 577 19 579. 6 21. 6
05 财务管理(中外合作办学) 3 3 603 581 23 594 36
06 国际倘务(中外合作办学) 6 6 597 572 14 578. 8 20. 8
01 经济学(中外合作办学) 1 1 602 602 46 602 46
02 国际经济与贸易(中外合作办学) 1 I 586 586 30 586 30
03 国际亨务与国际关系(中外合作办学) 2 2 570 569 13 569. 5 13. 5
2020 04 英语(中外合作办学) 2 2 611 571 15 591 35
05 传播学(中外合作办学) 4 4 600 578 22 591. 5 35. 5
06 财务管理(中外合作办学) 3 3 604 572 16 590. 3 34. 3
07 国际商务(中外合作办学) 7 7 596 556 。 570 14
2350 大迕民族大学
2022 01 同际经济与贸易 8 8 541 536 9 538. 5 11.5
03 国际经济与贸易 3 3 576 570 12 573 15
2021
04 国匠经济与贸易(仅招少数民族考4) 5 7 574 558 。 563. l 5. 1
01 国际经济与贸易(仅招少数民族考生) 7 7 569 560 4 564. 1 8. 1
2020
02 国际经济与贸易 2 2 576 563 7 569.5 13. 5
2360 温州肯恩大学 夕
02 金融学(中外合作办学,国际金融方向) 2 2 527 527 i 0 527 。
2022 03 英语(中外合作办学) 2 2 529 527 ? - _ 。 528 1
04 传播学(中外合作办学) L 1 536 I 536 '"" 9 ,'536 9
08 会ll学(中外合作办学,国际会计方回) 2 2 -~, I 529 528 尸:才\1乒岁. 528.5 1.5
01 经济学(中外合作办学) 2~ ~之 2 564 560 2 562 4
f------一-·--一--一· 金减学(中外合作办学,国际金融方向) I 2 ` 2 I)'567 560 2 563, 5 5. 5
III ·0023- --
英诏(中外合作办学,国际应用方向) 2女;Ci. l 2 566 561 3 563.5 5 5
04 传播学(\中外合作办学) 2 2 569 564 6 566.5 8 5
05 建筑学(\中外合作办学) i 1 1 558 558 。 558 。
2021
忤理科学方(中向外:合作办学,国际供应链和
06 信息管理 ) 1 1 558 558 。 558 。
07 管理科学(中外合作办学,商业分析方向) 1 1 564 564 6 564 6
08 市场营销(中外合作办学,国际方向) 1 1 558 558 。 558 。
09 会计学(中外合作办学,国际会计方向) 2 2 566 558 。 562 4
01 经济学(中外合作办学) 1 l 568 568 12 568 12
02 金融学(中外合作办学,国际金融方向) 2 2 560 556 。 558 2
()3 英语(中外合作办学,国际I\,1川方同) 1 1 583 583 27 583 27
04 传播学(中外合作办学) 1 1 567 567 11 567 II
2020 05 吐筑学(中外合作办学) 2 7 565 557 1 559.1 3. 1
管理科学(中外合作办学国1订供应锐和
06 2 2 561 559 3 560 4
伈息管理方向)
07 市场营销(中外合作办学,国阿力向) 1 1 566 566 10 566 10
| 08 会计学(中外合作办学,国际会计方向) 1 I 565 565 9 565 9四、2020—2022年河南省苦通高校招生本科一批分专业录取情况统计表(文科) . 341 •
录取分数统计
专业 最低分 平均分
年份 专业名称 公布计划 录取人数
代码 最高分 最低分 与分数 平均分 与分数
纭差值 线沪值
I ~心”“气
2365 太原理工大学
12 法学 2 2 576 574 47 575 48
13 思想政治教育 2 2 577 573 46 575 48
2022 14 汉语国际教育 2 2 572 572 45 572 45
15 英语 2 2 574 572 45 573 46
16 允,J、七,的~合L旮,一邯 2 2 572 572 4'i 572 4'i
08 法学 2 2 61 l 610 52 610. s I「 52 5
'
09 思想政治教育 I 2 2 610 610 52 610 52
2021 10 汉语国际教育 2 2 609 609 51 609 51
11 英语 2 2 610 609 51 609. 5 51.5
12 行政管理 2 2 610 609 尸 51 609. 5 51. 5
13 法学 2 2 602 i 尸~~寸~ ~ ~~~ ~ .~_~~~ .?.^ .\ 、 6 ~:、 勹0俨1 45 601. 5 45 5
14 氐扫政冶教育 -勹 : I` /- 2 --- 6 -- 0 -- 0 600 44 600 44
2020 1 1 5 6 汉 英语 由国际教育 f-~ I II 2 2 |尸; 2 2 6 6 0 02 2 6 6 ` - 0 0\0 0 ~ . 2.: 4 44 4 6 60 0 1 1 4 4 5 5
17 行政管理 2 2 604 601 45 602. 5 46. 5
2375 东北石油大学 ,,',
-0~言 旧1行经济气贸易 ,飞飞 ~;' 3 3 537 535 I 8 536 9
的二_.和会「仵 七 5 4 4 538 535 8 536 9
O7`一~' ”、-,,\' 汉出百文字 4 4 545 538 i 11 541. 3 14 3
08 英语 5 5 536 535 8 535. 2 8.2
2022六、
09 俄语 4 4 538 534 7 535. 5 8. 5
10 t商管理类 3 3 546 537 10 541 14
__
11 行政管押 2 2 541 537 JO 539 12
12 旅游管捚 2 2 534 534 7 534 7
l 咖... 04 匡际经济与贸易 2 2 570 568 10 569 11
05 社会上作 4 4 571 567 9 568. 8 10. 8
06 汉语百文学 4 4 571 567 9 568. 5 10. 5
2021 07 货语 5 5 570 567 9 568. 2 10 2
08 俄!凸 4 4 575 565 7 568 10
09 丁间笘埋类 4 4 570 565 7 561. 5 9 5
10 行政管理 2 2 566 565 7 565. 5 7. 5
04 国际经济与贸易 2 2 576 576 20 576 20
05 社会工作 5 5 570 566 10 567. 6 11. 6
06 权渚言文学 2 2 575 575 I 19 谍575 19
2020 07 书2、1上, 1 2 2 570 r~ 5 6乙8_编尸` 12, 569 13
08 俄讯 4 4 568 / 564 8 - ;5651? 9. 8
09 工商管理类 4 4八 571 567 1 1 一己 569 13
10 行政管理 2 ;一 2 569 567 11 568 12
2380 北京信息科技大学
2022 01 翻怪 } ~_ \, \ 3 I 3 562 557 30 559. 3 I 32. 3
02 网洛与伍媒体二 5' 飞 3 567 564 37, 565 ! 飞8
01 乱译 习 3 3 597 595 37 596 I 飞8
2021 02 传播学 2 2 601 597 39 599 41
03 行政管理 1 1 597 597 39 597 39
01 翻译 2 2 597 590 34 593. 5 37.5
2020 02 新闻传插于类 2 2 593 589 33 591 i 35
03 行政管理 2 2 596 588 .LI 32 592 36
2385 安敕财经大学
04 经济学 2 2 555 553 26 554 27
05 金融学类 4 4 558 555 28 556. 3 29. 3
06 法学 4 4 556 552 25 553.5 26. 5
2022 07 日出· 3 3 551 538 11 543. 7 16. 7
08 商务萸丙 2 2 549 545 18 547 /、2.0.
09 新叫传抖丘类 3 3 557 555 28 556 29
10 丁商管理类 2 2 553 549 22 551 24· 342 • 第三章录取统计
录取分数统计
专业 最低分 平均分
年份 专业名称 公布计划 录取人数
代码 最高分 最低分 与分数 平均分 与分数
线差值 线差值
11 会计学 I 1 557 557 30 557 30
12 财务管理 2 2 557 556 29 556.5 29. 5
13 国际商务 2 2 549 549 22 549 22
14 审计学 1 I 560 560 33 560 33
2022 15 资产计估 2 2 I 553 551 24 552 25
16 公共管理类 2 2 552 549 22 55 0 5 23. 5
17 电子商务 l l 552 552 25 552 25
18 旅游管理 2 2 I 548 544 17 546 19
05 经济学类 2 2 592 590 32 591 33
06 财政学类 2 2 592 590 32 591 33
07 金融学类 2 2 593 589 31 591 33
08 金融学 1 1 591 591 33 591 33
09 经济与贸易类 2 2 ? •.5 91 588 30 589. 5 31. 5
10 法学 3 尸 3 591 59-1 33 591 33
L, .{
11 日语 勹 | 2 2 5~ 8-9 : ~ ,.“?`,夕 I" 588 30 588. 5 30.5
12 商务英语 I乙/ 2 2 589 589 31 589 31
13 新闻传插羊类 .夕 1 3 3 589 588 30 588.飞 30. 3
2021, 凶-?夕 二工商管理类 2 2 592 590 32 591 33
~; \.:1$尸 会计学 ,~ 1 1 592 592 34 592 34
'\仁产16, 财务管理 I 1 589 589 31 589 31
17 国际商务 2 2 588 587 29 587. 5 29. 5
18 审计学 1 1 590 590 32 590 32
19 资产评估 1 l 589 589 31 589 31
20 公共管理类 2 2 587 587 29 587 29
21 物流管理 1 1 587 587 29 587 29
22 电了商务 1 1 589 589 31 589 31
23 旅游管押 2 2 591 587 29 589 31
03 经济学类 3 3 591 584 28 588 3 32. 3
04 财政学类 2 2 588 587 31 587. 5 31. 5
05 金融学类 3 飞 584 583 27 583. 3 27. 3
06 金融学 2 2 595 586 30 590 5 34.5
07 经济与贸易类 3 3 585 582 26 583 27
08 法学 2 2 591 589 33 590 34
09 日语 1 1 583 583 27 583 27
10 商务英语 2 2 586 582 26', 584 28
11 新闻传播学类 2 2 585 582 26 583, 5 27. 5
2020
12 丁用商管理类 2 2 582 582 26 582 26
13 会计学 2 2 593 588, '; 3 2 590. 5 34. 5
尸一t ;~
14 财务管理 心 ,s"一~-r气令 2 2 5`~尸8 ~3 ` 尸582 26 582. 5 26. 5
15 国际商务 I 1 581 581 25 58] 25
16 审计学 -~^ ;:~ ;~ , j 1 587 587 31 587 31
17 资产评忙 '~';:- - 1 ! 585 585 29 585 29
18 公共管捚习已 心 2 2 587 582 26 584. 5 28. 5
19 物流管理 I 1 582 582 26 582 26
20 电子商务 1 1 584 584 28 584 28
2390 上海师范大学
02 经济学 6 6 577 567 40 570. 7 43. 7
03 法学 8 8 577 571 44 573. 5 46. 5
04 社会T作 9 9 565 531 4 540 13
05 思想政冶教窅(帅范) 7 7 572 567 40 570 43
06 学前教育(帅罩) 10 10 566 532 5 559 l 32.1
2022 -~
07 小学教育(师沁) 6 6 574 554 2 7 567, 5 40.5
08 汉语国1斥教育(师范) 5 5 577 569 42 571. 2 44.2
09 英语(帅范) 5 I 5 578 573 46 574 8 47. 8
10 日语 5 I 5 570 531 4 552. 2 25.2
]I 新闻传播学类 5 5 574 568 41 571. 8 44. 8四、2020一2022 年河南省普通高校招生本科一批分专业录取情况统计表(文科) . 343 •
录取分数统计
i公扣汁划,,'取人数
专业 最低分 平均分
年份 右\[[,名称
代码 最高分 最低分 与分数 十均分 与分数
线长伯 线差值
12 历史学(厅范) 5 5 575 573 ! 46 573 6 46.6
13 地理利字,师饱) 9 9 572 564 ! 37 568 41
14 上商管理类 10 10 567 538 11 555. 1 28. I
15 入力资源管理 12 12 565 538 11 549 22
2022 16 公共管理类 5 5 568 538 11 556. 8 29. 8
17 韵“P韶WJ砰口坪`~八来 6 6 536 530 3 533. 5 6. 5
18 经济学(中外合作办学,中芙合作) 7 7 565 538 11 550. 9 23. 9
19 广告学(中外合作办学,中法合作) 5 5 562 549 22 555.4 28.4
20 园艺(中外合作办学,中荷合作) 6 6 539 531 4 534. 8 7. 8
03 哲学 3 3 618 608 50 611 7 53. 7
04 经济学 6 6 610 '心 a~608, !, 50 609. 3 51. 3
05 经济学(中外合作办学,中法合作) 5 5 38 598 40
~勹勹.6气14中三
06 经济学(中外合作办学,中美合作) 7 7 夕一 39 598. 9 40. 9
610
07 法学 5 5 52 611 4 53.4
08 社会工作
矿i;/
I、 3 3 608 . 6.0.5. . 47 606. 3 48. 3
10
09 小学教育(师范) 尸、、 10 608 604 46 606. 2 48. 2
10 汉语言文学(光启实验班) 3 '3 611 611 53 611 53
l l 汉语言文学(师范) 2 2 613 611 53 612 54
. 12 汉语国际教育(师范) 8 8 609 607 49 607. 6 49. 6
3
; ~尸1~ ` 古典文献学 4 4 617 605 47 609. 3 51. 3
202、\-~ 夕 , 14 e-英语(师范) 8 8 621 608 50 61 l. 5 53.5
I玄'ile5:;;\ 豆日出 3 3 611 608 50 I 609 51
';飞
s ,夕16 新闻传播子类 6 6 614 609 51 I 610. 8 52. 8
`~
17 历史学(师范) 6 6 610 607 49 608 7 50. 7
18 世界史 4 4 611 607 49 609 3 51. 3
l9 地理籵学(师范) 8 8 610 604 46 605 9 47.9
20 园艺(中外合什办学,中荷合作) 3 3 595 593 35 594 36
21 工商管理类 8 8 609 605 47 606. 3 48. 3
22 人力资源管理 4 4 606 606 48 606 48
23 公共管理类 3 3 605 604 46 604. 7 46. 7
24 档案学 2 2 608 606 48 607 49
25 旅游管理类 10 IO 609 604 46 605. 2 47. 2
02 哲学 3 3 600 599 43 599. 3 43. 3
03 经济学 6 `'~ 6 606 602 46 602 7 了-46. 7
04 经济学(巾外合作办午,中美合作) `~ 7 7 597 590 34 593. 9 9
05 经济、4气币外合仵力学,中法合作) 5 5 597 589 ;c 33 591 2 2
06 法学 5 5 I6三05 2勹 46 603 2 47. 2
60,
07 社会」作 3 十I 3 43 600 r `勹44
-
08 思相政治教育(师范) 5 5' 42 600. 6 44.6
g
09 小学教育(师范) 3 3< 607 604 48 605 49
10 汉语言文学(基地班) 3 3 610 604 48 607. 3 51. 3
11 汉语言文学(师范) 3 3 606 602 46 604.3 48 3
12 汉语国际教育 I 6~ 6 604 600 44 601 45
13 古典文献学 ` 4 4 598 598 42 598 42
14 英语 4 4 602 600 44 600. 5 44. 5
2020
15 英诣(帅边) ! 4 4 603 601 45 602 3 46.3
16 日出 4 l 4 602 598 42 600 3 44. 3
17 新闻传播学类 5 5 604 602 46 602. 6 46.6
18 历史乍(师范) 6 6 603 599 43 601 45
19 世界史 3 3 601 601 45 60] 45
20 地理科,f(师范) 4 4 601 599 43 600 44
21 园艺(中外合作办学,中荷合作) 3 3 589 589 33 589 33
22 T商管理类 6 6 603 600 44 601. 7 45. 7
23 人力资源管理 4 4 604 600 44 601. 3 45. 3
24 文化产业管理 2 2 598 598 42 598 42
25 公共管理类 3 3 600 600 44 600 44
26 档案学 3 3 602 598 42 599. 3 43. 3
27 旅游管理娄 10 10 601 598 42 599. I 43. I· 344 · 第三章录取统计
录取分数统计
专业 岐低分 平均分
伴份 专业名称 公布计划 录取人数
代仍 最高分 最低分 日分数 平均分 与分数
线志仇 线差伯
2395 梨美大学
06 财政学 2 iI 2 565 561 34 I 563 36
07 今酌学 2 2 559 559 32 ! 559 32
08 闰们经济勹贸易 2 2 562 557 30 559 5 32 5
2022 09 ·{· 么1`. ,汉了.· 2 I 2 565 564 37 564 5 37. 5
10 n计}^ 2 i 2 559 556 29 i 557 5 30. 5
11 会计学 2 , : 2 560 560 33 560 33
12 旅游晋坪 3 '3 555 551 24 552. 7 25. 7
06 财政学 2 i 2 604 600 42 602 44
07 余配学 2 2 600 598 40 599 41
08 闰归经济勹贸易 2 I 2 602 602 44 602 44
2021 09 法学 2 2 601 601 I 43 601 43
10 日语 2 i 2 596 595 1 37 595. 5 37. 5
II 会计学 2 2 601 600 I 42 600 5 42 5
12 旅游管理 2 i 2 598 597 I 39 597. 5 39. 5
I 06 财政'、(' 2 2 599 595 39 597 41
If- ----00-87- I -- 令 目-妳 倍 经 学 --济-勹-贸--易 I I 2 2 I 2 2 ~ ` ` 5 5 9 9 7 6 5 5 9 9 6 4 i 4 38 0 5 5 9 9 6 5 5 4 3 0 9 5
I 09 法学 2 2 597 597 41 597 41
2020 i I 10 汉语口文学 3 3 596 594 38 595 3 39. 3
11 汉语国阮教育(师范) 2 2 59:i 593 37 594 38
12 日语 ! 2 2 595 593 37 594 38
13 会计户 2 2 595 594 38 594. 5 38 5
I
14 旅游竹理 2 2 595 594 38 594 5 38 5
L
24()() 北京物资学院
01 经济学(实吟班) 1 l 546 546 19 546 19
02 法辛 1 I 557 557 30 557 30
03 谎务处店(实驻班) I 1 554 554 27 554 27
04 市场营粕(数字化营怕) 1 I 544 544 17 544 17
05 会十字(l:1册会计帅) 2 2 549 548 21 548, 5 21. 5
2022 06 财行管理 j I 546 546 19 546 19
07 人力资旂管理 | I l 545 545 18 545 18
i 08 劳动灼补会保障 I I 551 551 24 551 24
09 物肌符埋 I I 539 539 12 539 12
10 采购管珅 ”“ I l 538 ,U-- `` 538 11 --l-- 538 11
II f丿应链忤理 j I 539 539 ]2 539 12
Ill 经济士()、,验班) I 1 596 596 38 596 38
02 认学 1 2 59.1 ,l 589 31 591 33
!,
03 曲务员语(实验班) 2 1 592 592 34 592 34
----- --------- - -- --
04 丁商忤埋(精萸文驴炒f) I I 595 595 37 595 37
05 巾场忖销(数宁化营怕) I 1 590 590 32 590 32
'`` ` 亡-u- ---
2021 06 会计学(管理会计) l l 594 594 36 594 36
07 会计、f(日册会计帅) I 1 591 59] 33 591 33
08 财..务-管-埋 I I 593 i 593 35 593 35
09 人力贡湘饥押` I I 585 585 27 585 27
10 为动与补会仇'|谛 1 1 579 579 21 579 21
II 物流忤珅勹I程类 2 2 593 593 35 593 35
01 纾济学(实验班) 1 1 591 591 35 591 35
(J2 同凡经济丿贸易 I I 601 601 45 601 45
03 法学 I I 590 590 34 590 34
04 商务英诏(义验班) 1 l I 589 ~·”“58丛9- 33 589 33
2020 05 I间行理类 卜一 I J 587 587 31 587 31
06 会计学(忤则会ii) 1 I 590 590 34 590 34
-------------
07 会计学(汁/册会计帅) 1 I 597 597 41 597 41
08 财务管埋 勹1 t 1 587 587 i 31 587 31
—--I
i 09 物流管即与 I程失 2 589 587 1 31 588 32四、2020—2022 年河南省普通高校招生本科一批分专业录取情况统计表(文科) . 345 ·
' 录取分数统计
i
C业 公布计划 最低分 1力分
什份 f飞砃 飞业名称 ,,, 录取人数 最裔分 最低分 与分数 平均分 勹分数
线差值 线差仇
2405 天冲帅范大学
24 国向经济与贸易 i 4 4 563 561 34 561 8 34. 8
25 法学 I 5 5 566 563 36 564 8 37. 8
26 政冶学与行政学 I 1 564 564 37 564 37
27 政治学与行政学(协雅班) 3 3 565 563 36 564 37
28 社会丁作 2 2 565 562 “^ 35 563. 5 36. 5
29 辔想政冶教育(师池) 4 4 564 563 36 563 3 36. 3
30 教育学类(师范) I 1 565 565 38 565 38
31 乍月IJ教育(师范) I 1 565 565 38 565 38
32 汉语言文学(师范) 7 7 574 566 I 39 569. 7 42. 7
33 英语(师范) 5 5 572 566 I 39 567. 4 40. 4
34 俄语 2 2 561 560 I 33 560. 5 33. 5
35 法语 2 2 562 562 35 562 35
2022 36 日语 2 2 560 560 33 560 33
37 丿播电视学 l 1 567 567 40 567 40
38 历史学(师范) 3 3 574 564 37 567. 3 40. 3
39 历史学 2 2 566 564 37 565 38
40 世界史 2 2 566 563 36 564. 5 37 5
41 世界吏(外语实验班) 2 2 565 563 36 564 37
42 !义犊与协物馆学 2 2 563 562 35 562. 5 35. 5
43 !地珅科学(师谊) 2 2 568 564 37 566 39
44 人文地理勹城乡规划 2 2 565 562 35 563. 5 36. 5
45 二商管埋 2 2 565 561 34 563 36
46 市场营销 4 4 563 561 34 561. 8 34 8
47 行政管理 2 2 562 562 35 562 35
48 档案学 I I 562 ?尸 562 35 562 芍
22 法学 5 5 607 606 48 606. 8 48. 8
23 政冶学勹行政于(搏雅班) 3 3 605 602 44 603 45
24 社会 1什 2 2 600 597 i 3 9 598 5 40. 5
25 思思政冶教育(帅范) 5 5 614 60] 43 604. 6 46. 6
26 }教育学类(师尨) 22 22 编”“`603 594 - ?一一一 36 597 7 39. 7
27 (又语白义生(师范) 8 8 609 602 44 605. 4 47. 4
28 英语(师范 6 6 614 602 44 606畸3 48 3
29 俄由 I I 594 594 36 594 36
30 丛南 2 2 601 597 I 39 599 41
卜一
31 II诣 4 4 605 594 36 'i98 40
2021 '.l2 历史羊(吓范) IO 10 604 599 41 600.9 42 9
33 历史学 2 2 606 601 43 603. 5 45 5
34 目界史 I I 602 602 44 602 44
35 世界史(外市文捡班) 2 2 608 604 46 606 48
36 文物与博物馆学 2 2 - 602- 595 37 598 5 40 5
37 池理科学(师范) 2 2 600 600 42 600 42
38 人文地理与城乡规划 2 2 600 594 36 597 39
39 l商管理 3 3 601 594 36 597. 3 39. 3
-----------
40 巾场忤销 5 5 598 595 37 596 38
'""
41 行政骨埋 3 3 598 596 38 597 39
42 档案学 2 2 598 597 39 597身5 39 5
--
22 法学 5 5 599 597 41 598 2 42. 2
2飞 政冶学与}i政韦(博雅班) 飞 3 599 597 41 598 42
24 卒l会丁作 2 2 595 594 38 :>94. 5 飞8.5
25 旯和政治教育(师范) ~.. 4 - -- 4- 598 595 39 596. 3 40 3
2020 26 汉语言文学 4 4 601 598 42 599 43
27 汉出国际教育 1 I 594 594 38 594 38
28 汉语同际教育(师范) 3 3 600 595 39 596. 7 40. 7
29 英中(师范) 2 2 601 600 44 600 5 44. 5
30 - 俄出 - 1 l 594 594 38 594 38· 346 · 第三章录取统计
平取方双 .i、t ~ '
年份 专寸 专\II,名称 公{',计划,',取人数 最低分 最勹低分数分 平均分
代码 最高分
i 线差伯 线差们
:i I 从语 2 I 2 597 595 i 39 596 40
32 日语 2 2 597 594 1 I 38 595 5 39 5
33 朝韶出 1 1 594 594 38 594 38
34 历史学 2 2 596 595 39 595. 5 39. 5
35 』界史 1 l 595 595 39 595 39
36 世界史(外语双学位实验班) 3 3 600 597 41 598 42
2020 37 文物与博物馆学 2 2 595 594 38 594 5 38 5
38 !地珅科学 I l 598 598 42 598 42
39 I 人文地理与城乡规划 1 l 594 594 I 38 594 38
40 「I岛管埋 l I 596 596 40 596 40
41 市场旮铅 3 3 595 594 38 594. 7 38. 7
42 行政管理 l 1 597 597 41 597 41
43 怕朵学 I l 598 598 42 598 42
2410 青岛理工人学
01 囚际努济与贸易 2 I 2 543 542 15 542. 5 15. 5
02 f1场昔销 l 1 548 548 21 548 21
2022
03 会计学 1 1 552 552 25 552 25
04 国际商务 I I 544 544 17 544 17
01 川际经济与贸易 1 I 588 588 30 588 30
02 叮场营销 l l 586 586 28 586 28
2021
03 会计学 l I 587 587 29 587 29
04 同匠向务 ] I 570 570 12 570 12
01 国际经济与贸易 I l 583 583 27 583 27
02 市场营销 I i I 583 583 27 583 27
2020 03 会计学 I l j 585 585 29 585 29
04 闰归商务 I I 584 584 28 584 28
2425 )制罚j,利技入学
10 法牛 3 3 562 557 30 559 32
II 教育学(师池) I I 554 5'i4 27 554 27
a”
12 教自技木学(帅泣) I I 546 546 19 546 19
13 /1心教行(师范) -------------- -- ,一 2 ~ - - - - 2 - - - - 553 538 II 545 5 18. 5
2022
1
15
4 汉
英
语
语
言文''f:(师范)
u--
-- i-] l _ _ I
I
5
节
57
6
5
5
5
5
7
6
3
29
0
5
5
5
57
6
3
29
0
16 加哥卞 I I 556 556 29 556 29
:”“ 17 卢用心埋、,':(帅茅) l 1 556 55(, 29 556 29
18 T商忤理 - I - I - --- -- 5 --- 5 - 7 -- -- 557 30 ----- 5 -- 57 30
'
19 会计学 - ` 俨心 l I 557 557 30 557 30
20 人力盗源管理 - - I 1 559 559 32 559 32
10 法、f+ 3 3 ! 594 591 33 592 34
11 教育学(帅池) 2 2 I s91 590 32 590 5 32. 5
13 新闻学 I 2 I 590 590 :l2 590 '.12
2021 14 [商管即 I 2 I s89 589 31 589 31
15 会计',j尸 1 J 590 590- 卜-^ 32 ”“” 590 32
16 人力资源节则 l 2 589 : 589 31 589 31
------
10 闰 - 阮经 - 济勹 - 贸易 I I 591 591 飞5 591 35
j j 沈学 ,3 3 587 585 29 586, 3 3 () 3
12 教育于(师范) 4 4 585 584 28 584. 3 28, 3
13 小'-f教育(帅沁) 2 2 584 i 584 28 :i84 28
14 新闻学 2 2 587 586 30 586 5 30. 5
2020
IS 地理科学(帅池) 3 3 588 584 28 585 3 29. 3
16 池珅信息,利学 l I 584 584 28 584 28
17 丁尚骨珅 l I 585 585 29 585 29
l 18 ,I 会计学 I I 588 588 32 588 rl2
19 人力资阶管理 ~俨 J` ~ I I 586 586 30 586 30.
四、2020-2022年河南省普通高校招生本科一批分专业录取情况统计表(文科) 347 •
录取分数统计
专业 最低分 平均分
年份 专业名称 公布计划 录取人数
代码 最高分 最低分 与分数 平均分 与分数
线差值 线差值
2430 南昌航空大学
14 经济学(金融与投资) 2 2 544 544 17 544 17
15 英语(外贸英语) 8 8 546 537 10 542.8 15. 8
16 英语(科技英语) 4 4 543 535 8 538.8 11. 8
17 新闻学 2 2 552 543 16 547.5 20. 5
2022
18 T程管理 2 2 537 533 6 535 8
19 工商管理(数字化营销) 2 2 544 544 17 544 17
20 公共事业管理 2 2 541 540 l3 540.5 13.5
21 电子商务(商务智能) 2 2 545 543 16 544 17
15 经济学(金融与投资) 2 2 586 580 一:户22 583 芶
16 英语(外贸英语) 4 4 580 579 t ^2l 579. 3 21. 3
17 英语(航空英语) 2 2 5-8-7· .多 ::尸'@79 荽2l度 583 25
2021 18 新闻学 1 l 产了 令588 ;,588 30 588 30
19 工商管理(数字化营销) 2 2,,5; 588 579 2i 583.5 25.5
20 公共事业管理 弓 2 2 , 5一7L7 ·,, “子= 飞 5矿'7贮~7 19 577 19
21 电子商务(商务 ~c ` - 产,,2 ; 2 ;厂"\ 'i;-- 勺}/9 578 20 578.5 20. 5
11 -- 经济 与 \ t;2,2 , 3 581 573 , l7 576. 7 20. 7
20\2\O 凡\ l, \ - ` -l2二`已”英~~ 语 “';\\云 2 3 579 577 21 578. 3 22.3
\二1趴 电子商务(商务智能)- 1 1 570 570 14 570 14
2435;\江西理工大学 ,夕飞`
04荽 召诏由学 2 2 551 540 13 545.5 18. 5
代\ 飞'~ 05 法学 5 5 542 540 13 541. 2 14. 2
06 会计学 2 2 543 543 16 543 16
2022
07 财务管理 2 2 539 538 • 11 538. 5 11.5
08 人力资源管理 2 2 536 535 8 535. 5 8. 5
09 行政管理 2 2 542 539 12 540. 5 13.5
04 金融学 2 2 587 573 15 580 22
05 法学 3 3 573 565 7 569 11
06 会计学 2 2 581 570 12 575.5 17. 5
2021
07 财务管理 2 2 577 566 8 571. 5 13. 5
08 人力资源管理 2 2 564 561 3 562.5 4. 5
09 行政管理 2 2 581 562 4 571.5 13. 5
04 金融学 2 2 578 574 18 576,/ t 20
05 法学 3 3 581 575 19咬三 22
06 会计学 2 2 578 575 1 0. 5
2020
07 财务管理 2 2 5764: ; 5 1 .5 l9. 5
08 人力资源管理 2 尸干 5 17 | L575匕占` 儿尸19. 5 7 09 574 ~l i矿 574 18
2440 长江大学 ___,\';
06 3 3 1'- 553 552 25 552. 7 25. 7
>>,
07 I子c ; 1 :怎 1 555 555 28 , 555 28
08 2 2 554 554 27 554 27
09 26 553. 5 26. 5
10 2 2 555 555 28 555 28
11 2 3 550 550 23 550 23
12 日语(语言、商务) 2 2 549 549 22 549 22
2022 13 新闻传播学类 l 1 556 556 29 556 29
14 历史学(师范) 3 3 554 552 25 552.7 25. 7
, 15 建筑类(学制5年) 2 2 549 549 22 549 22
16 园艺 1 1 548 548 21 548 21
17 园林(园林规划与设计) 2 2 550 548 21 549 22
18, 中西医临床医学(学制5年) 1 1 548 548 21 548 21
19 护理学 4 4 550 548 21 548.5 21. 5
20 工商管理类 8 8 558 550 23, 55 1. 9 24. 9· 348 · 第三章录取统计
录取分数统计
专业 最低分 平均分
年份 如1)1名称 公布计划 录取人数
代码 最高分 最低分 勹分数 平均分 与分数
线并值 线差值
08 法学类(含肘埜卓越法律人才协同育人计划) 1 l 595 595 37 595 37
09 思想政治教 --- 育(师 俨九 池 俨俨'"俨俨' ) " 一- 5 I 5 585 583 25 584 26
10 教育学类(师范) 4 4 589 584 26 585. 8 27. 8
11 中国语言文学类(师范) 1 l 587 587 29 587 29
12 外国语言文学类(师范) 2 2 593 590 32 591. 5 33. 5
13 日语(语言、商务) 2 2 587 586 28 586. 5 28. 5
14 新闻传播学类 1 1 586 586 28 586 28
2021 15 历史学(师范) 2 2 587 585 27 586 28
16 建筑类(学制5年) 2 2 585 583 25 584 26
17 风景园林 2 2 ! 583 581 23 582 24
I
18 园艺(都巾同艺) 4 5 587 二为81 愿扛 23 583. 2 25.2
19 园林(园林规划与设计,含教育部卓越农 2 2 I 乡衷;空二少邸7 芸翠 飞: 28 586 5 28.5
林人才计划)
20 护理学 仁栏 1无 4 .-, 5 忑86 58 1,`产,开I 23 582, 4 24.4
21 工商管理类 : 8 1<"'8 590, 583 25 586. 1 28. 1
09 法学类 s: _ _.'. - ^ 2 2, 583 581 25 582 26
10 思想政治教育(师范) i2 •.· '3 580 579 23 579. 3 23. 3
\
11 教育学类(师范) 2 2 580 579 23 579. 5 23. 5
\ 夕- 12 中国语言文学类(师范) 5 5 584 579 23 581.2 25. 2
\,13 ~日.:语:飞 1 1 579 579 23 579 23
s. l、4立 风景园林 I 1 580 580 24 580 24
一夕 心勹立 园艺(都市园艺,含教育部卓越农林、省荆
2020 15 飞 3 579 578 22 578. 3 22. 3
楚卓越)
园林(园林规划与设计,含教育部卓越农
16 2 2 579 578 22 578 5 22. 5
林培养计划)
17 护理学 3 3 587 579 23 582 26
18 管理科学与工程类 2 2 579 578 22 578.5 22. 5
19 工商管理类 2 2 583 581 25 582 26
20 农林经济管理 2 2 579 578 22 578. 5 22. 5
2450 成都理丁大学
08 法学 2 2 570 567 40 568. 5 41. 5
09 社会学 2 2 567 566 39 566. 5 39. 5
10 日语 2 2 563 563 36 563 沪, 36
2022
11 公共事业管理 2 2 565 565 38 565 王诏`兖今咚`\5 7,43.8 4
12 商务英语 5,; 5 霆加 56门
13 工商管理类 4 ! 4 31., 559 5 亡;“午3'么`:· 5
08 法学 2 2 44 ! 602, 5 尸-44.5
09 社会学 2 2 - 42 夕_, 600 42
2021 1 11 0 商 日 务 语 英语 \ ;一 \ 2 4 2 4 ,:. 七 5 6 9 0 2 2 , f 5 5 9 8 8 9 4 31 0 59 6 0 0 . 0 3 32 4 . 2 3
12 工商管理类' 4; `, 4 597 591 33 593. 3 35. 3
13 公共事业管理三(_,',,,- 2 2 599 598 40 598. 5 40. 5
06 法学 \ ,编_\., 2 2 592 591 35 591. 5 35. 5
07 社会学 2 2 595 591 35 593 37
08 英语 2 ! 2 592 591 35 591. 5 35.5
2020 09 日语 2 2 591 591 35 591 35
10 财务管押 4 4 587 579 23 584. 3 28. 3
11 人力资陈管珅 4 4 575 564 8 569. 8 13. 8
12 公共事业管理 2 2 590 590 34 590 34
2500 首都经济贸易大学
01 贸易经济 2 2 574 574 47 574 47
02 新闻传播学类 2 2 571 570 43 570. 5 43. 5
2022 03 工商管理类(工商学院) 2 2 582 572 45 577 50
04 资产评估(评估师) 1 1 569 569 42 569 42
05 公共管理类 2 2 570 567 40 568. 5 41. 5四、2020-2022年河南省普通高校招生本科一批分专业录取情况统计表(文科) • 349 •
录取分数统计
专业 最低分 平均分
年份 专业名称 公布计划 录取人数
代码 最高分 最低分 与分数 平均分 与分数
线差值 线差值
01 贸易经济 2 2 626 618 60 622 64
02 新闻传播学类 2 2 616 616 58 616 58
2021 03 工商管理类(工商学院) 2 2 617 617 59 617 59
04 资产评估(评估师) 1 1 617 617 59 617 59
05 公共管理类 2 3 615 609 51 611. 7 53. 7
01 新闻传播学类 2 2 609 印8 52 608. 5 52. 5
02 工商管理类(工商学院) 2 2 615 612 56 613.5 57.5
2020
03 资产评估(评估师) 2 2 612 611 55 611. 5 55.5
04 公共管理类 2 2 610 609 ;53 609.5 53. 5
2505 南京林业大学
02 社会工作 2 2 565 563 36
勹56l
2022 03 汉语国际教育 2 2 572 568 41
04 英语 三568 34 564.5 37. 5
二2
02 社会工作 2 辛 ~603 602 1” 602.5 44. 5
2021 03 中国语言文学类 6J)4\: \ 61:垒0~-3~三,;~- 45 603.5 45. 5
04 英语 户 产之 此'1气、 2 仁·..上;2\. ._ '\ ,.606 605 47 605.5 47. 5
02 社会工作七t r~?~ /~ ; ~ 卢;.勹-咖~'; 尸/'-~ ~;c 二贞\~~ \二•,~/ 心c,坴 . 2 598 596 40 597 41
20I`,I2'', ~O.\r,, 编 夕 \- \,, 飞 \ \ 」 叫: 编 : 埠 :/ 二 . i }勹 飞 英语 中 . 国 .. 语 . 言文学类 ::` 勹;,\ ~歹-乏;"含飞:飞\ :; 2 2 2 2 5 5 9 9 9 7 5 5 9 9 6 6 4 4 0 0 5 5 9 9 7 6 . . 5 5 4 4 1 0 . . 5 5
251矿西|南4科°0技4生大学1、国法学际经类济与贸易
3 3 548 548 21 548 21
3 3 553 548 21 551. 3 24. 3
05 思想政治教育 3 3 549 546 19 547.3 20. 3
2022
06 外国语言文学类 3 3 549 546 19 547. 3 20. 3
07 广播电视学 3 3 551 549 22 549. 7 22. 7
08 工商管理类 3 3 554 545 18 548. 3 21. 3
03 国际经济与贸易 3 3 582 581 23 581. 3 23. 3
04 法学类 , '令 3 4 590 586 28 588 30
05 思想政治教育 3 3 586 583 25 584. 7 26. 7
2021
06 外国语言文学类 3 3 582 581 23 581. 7 23. 7
07 广播电视学 3 3 583 582 24 582. 7 24. 7
08 工商管理类 3 3 587 584 26 585. 7 27. 7
03 国际经济与贸易 3 5 580 577 21 577. 6 21. 6
04 法学类 3 3 588 580 24 27
05 思想政治教育 3 2 577 57 - 20 0.5
2020
06 外国语百文学类 3 3 5, 22 . 3' 于25.3
07 广播电视学 3 5 577 21 577&3 '2, 1. 3
08 工商管理类 ` 580 578 亡l\ 22 飞 579 23
:
2515 西南石油大学 ' `、上一气' t ,L\ 尸~一` ' -上;
03 经济学 ,.,.f-...气夕,;_-, 又\ 2 ,产2~ | 567 566 39 566. 5 39. 5
04 ·· 国际经济与贸易 ¥ I -、\\:2 仑 2 566 566 39 566 39
'~
05 法\学,.:, 1'\` 勹夕-·· - .仁夕\二 • 1,”,勺乏; \'兮气 2 2 570 566 39 568 41
06 社会工作~ 2 2 565 564 37 564.5 37.5
07 思想政治教育 2 2 565 564 37 564.5 37. 5
2022
08 英语 2 2 565 565 38 565 38
09 俄语 3 3 564 564 37 564 37
10 工商管理类 2 2 566 565 38 : 565.5 38. 5
11 会计学 2 2 567 565 38 566 39
12 电子商务 2 2 565 564 37 564.5 37.5
02 经济学 2 2 603 601 43 602 44
03 国际经济与贸易 2 2 600 596 38 598 40
04 法学 , 5 5 600 597 39 598.2 40.2
. 2021
05 社会工作 4 4 596 595 37 595.8 37. 8
06 思想政治教育 3 3 599 597 39 597. 7 39. 7
07 英语 2 2 597 596 38 596. 5 38.5· 350 · 第三章录取统计
录取分数统计
`II' 最低分 平均分
年份 专业名称 公布计划 录取人数
代砃 最高分 最低分 与分数 平均分 与分数
线差值 线汒值
08 俄诏 7 7 595 595 37 595 37
09 L商管理类 3 3 598 597 39 597. 3 39. 3
2021 10 市场营销(中外高水平大学学生交流计划) 3 3 599 570 12 581 23
11 会计学 2 2 600 599 41 599. 5 41. 5
12 电子商务 2 2 597 596 38 596. 5 38. 5
02 经济学 2 2 589 589 33 589 33
03 国际经济与贸易 2 2 590 589 33 589. 5 33. 5
04 法学 6 6 594 589 33 590. 8 34. 8
05 补会工作 4 4 588 587 31 587.5 31. 5
2020 06 英平 5 5 589 588 ”、`3~~/2 588.4 32. 4
07 俄}自 2 2 588 卞! ·一.5一88 仁32 588 32
08 丁悯管理类 6 6 589 588 ,32 588. 2 l2. 2
10 会计学 2 ~,, 召_ 匕2 ?· 590 589 33 589. 5 33 5
11 电子商务 §;, 2 588 588 :32 ·· 588 32
2
2520 西安工程大学 i
05 法学 2 2 555 554 27 554. 5 27. 5
06 汉语舌文学 2 2 554 553 26 553, 5 26. 5
07尸-入 汉语国际教育 2 2 552 552 25 552 25
20,22 `' \ 0$ 英语 2 2 551 549 22 550 23
09 服装设计与工程 4 4 547 542 15 545. 3 18. 3
\ I 10 I 人力资源管理 2 2 S59 548 21 553. 5 26 5
! 11 行政管理 4 4 549 547 20 548 21
! 06 法学 3 3 589 586 28 587 29
07 汉语言文学 3 3 586 582 24 584 26
08 汉语国际教育 2 2 587 580 22 583.5 25. 5
2021 09 英诘 2 2 585 580 22 582. 5 24. 5
10 服装设计与丁程 4 4 590 582 24 584. 3 26, 3
11 人力资源管理 4 4 582 579 21 581 23
12 行政管理 4 4 581 580 22 580. 3 22. 3
07 国际经济与贸易 2 2 583 581 25 582 26
08 法学 2 2 586 586 30 586 30
09 汉语百文学 4 4 577 577 21 577 21
10 汉语国际教育 3 3 581 577 21 579.3 23. 3
2020
II 英馅 3 3 584 577 21 ~, , | 581位 灾~25
12 成裴设计与工程 5 5 587 579 23芒 | 582. 8'· 26. 8
13 人力资源管理 4 4 583 578 飞 22,,, 579.5 2丸5
14 行政管理 4 ,~ ` 4 I''581 577 21.. 578.-七3 t 22 3
l 2525 天^ ^ ~ 津 工业大学 乒,干"'
夕
12 法学 2 2 574 571 44 572. 5 45. 5
13 英语 \ , L , 2 2 570 565 38 567. 5 40. 5
2022 14 日语 , 2 2 566 565 38 565. 5 38. 5
15 广播电视学 夕~ 2 2 569 569 42 569 42
16 工商管理,类 2 2 566 565 38 565. 5 38. 5
15 法学 心; 2 2 605 602 44 603. 5 45. 5
16 英语 2 2 608 606 48 607 49
2021 17 II语 2 2 601 601 43 601 43
~-··
18 新间传播学类 2 2 602 602 44 602 44
19 l商管理类 2 2 603 602 44 602. 5 44 5
i 09 法宁 4 4 597 594 38 594. 8 38 8
10 英语 6 6 599 591 35 594. 2 38. 2
11 日语 4 4 591 591 35 591 35
2020
12 新闻传播学类 6 6 592 591 35 591. 5 35. 5
13 工商管理类 8 8 597 592 36 593 37
14 公共管理类 2 2 593 591 35 592 36.
四、2020-2022年河南省普通高校招生本科一批分专业录取情况统计表(文科) 351 •
录取分数统计
专业 最低分 平均分
年份 专业名称 公布计划 录取人数
代码 最高分 最低分 与分数 平均分 与分数
线差值 线差值
2530 中北大学
08 英语 3 3 547 544 17 545.3 18. 3
2022
09 广播电视学 2 2 545 545 18 545 18
08 英语 3 3 586 577 19 582. 3 24. 3
2021
09 广播电视学 3 3 580 577 19 578. 7 20. 7
08 英语 2 2 586 568 12 577 21
2020
09 广播电视学 1 1 587 587 31 587 31
2535 西安科技大学
02 英语 2 2 553 552 25 552.5 25. 5
2022 03 工商管理 2 2 鬟2 父赞 551. 5 24. 5
I 551 I _24
04 电子商务 2 2 554 27
02 英语 2 2 592.5 34.5
2021 03 工商管理 2 2'"" 591.5 33.5
04 电子商务 2 2 孚 590 32
02 工商管理 ,c2 :s `午 5乒~飞88八~心'~;' f、{气', 5,8玄3心-=`_ 27 585.5 29. 5
2020 03 电子商务 .,产 笭2 幻a2C)飞 许I-'',158”3,' 583 27 583 27
2550 北足联合大学 笠~- t. . \ 衵"~汽仁-勹 ', .,
忐?户咖t主印;对勹 二~: -",:~ :“女\;飞;芯 l 1 561 561 34 561 34
\ \\\\'飞.-“5~。,`飞2-歹-垒,l ,夕 ;飞:一飞\\飞`: 2 2 556 555 28 555. 5 28.5
,~'气\^'·``尸-L飞『\飞产 1 1 554 554 27 554 27
-
44:钰O大&"c-乙a, 斗J- 1: (博雅实验班) 2 2 554 553 26 553. 5 26.5
2021七',江 气•.'01 金融学 2 4 597 589 31 593. 3 35.3
02 会计学 2 3 596 592 34 594. 7 36. 7
01 金融学 1 1 603 603 47 603 47
02 会计学 1 1 591 591 35 591 35
2020
03 旅游管理 l l 588 588 32 588 32
04 旅游管理(博雅实验班) l 1 589 589 33 589 33
2565 南通大学
07 国际经济与贸易 3 3 562 557 30 559 32
08 法学 4 4 565 559 32 562 35
09 思想政治教育(师范) 2 2 564 564 37 564 37
10 学前教育(师范) 2 2 557 557 30 557 30
11 小学教育(师范) 4 4 560 558 31 558. 1.8
12 汉语言文学(师范) 1 1 566 566 39, 39
13 汉语国际教育 2 2 559 5 . 5
2022 14 秘书学 2 2 5 2.5. 3'35.』宁5
f, ~'3, 0.5
15 日语 2 5 5 30 ^立玄 \巧巩5飞 h, ,
16 翻译 5 558忙仁卜、了3,l芷 559. 5 32. 5
17 商务英语 ^ 565t \ 心§559; 32 561 34
18 新闻学 寸勺 ~r一飞\ 2 守~k2妇; 令汽§? `识环 562 35 563 36
19 工商管理三忙三:\ `,1-”` }卜 七1一 558 558 31 558 31
20 会学\二三u\:产 产工 :,5尸 4 4 560 558 31 559 32
21 行政管理一 了: 飞么1G;:,. 2 2 557 557 30 551 30
07 国际经济与贸易产 3 3 601 595 37 597 39
08 思想政治教育(师范) 2 2 593 592 34 592.5 34.5
09 小学教育(师范) 4 4 594 592 34 592. 8 34. 8
10 汉语言文学(师范) 1 1 595 595 37 595 37
11 汉语国际教育 2 2 594 594 36 594 36
12 秘书学 2 2 593 593 35 ~ ~ 593 35
2021 13 日语 2 2 593 592 34 592.5 34. 5
14 翻译 2 2 595 594 36 594.5 36. 5
,
15 商务英语 3 3 594 593 3.5 593.3 35. 3
16 新闻学 2 2 593 593 35 593 35
17 工商管理 1 1 594 594 36 594 · 36
18 会计学 4 4 594 593 35 593.3 35. 3
19 行政管理 2 2 595 593 35 594 36· 352 • 第三章录取统计
录取分数统计
飞业 公布计划1录取人数1 最高分 最低分 平均分
年份 专业名称
代码 最低分 与分数 平均分 勹分数
线差值 线芹值
3 3 588 587 31 587. 3 31. 3
2 2 586 585 29 585. 5 29 5
3 3 585 583 27 584 28
卢 7 7 590 585 29 587. 4 31. 4
2 2 585 585 29 585 29
5 5 585 584 28 584. 2 28. 2
1 I 590 590 34 590 34
2020
3 3 586 584 28 584. 7 28. 7
4 4 587 584 28 585 29
18 !商务英语 3 3 589 585 29 586. 7 30 7
2 2 587 586 4530 586, 5 30. 5
二三易类 1 1 587 587 :31 587 31
4 4 夕 ,cc. 587 585 29岱 585. 8 29. 8
i 4立二巨;_; 4' .-5 83 583 27,飞 583 27
.·
苍5之 :`飞?了
-— 2 2 573 , 570 43 571. 5 44. 5
3 3 573 572 45 572. 7 45. 7
11 思想政治教育(师范) 2 2 575 573 46 574 47
厂 1}一 学前教育(师范) 3 3 570 569 42 569. 3 42. 3
2022 : 1}_ -, 汉语言文学(师范) 2 2 579 573 46 576 49
14 外国语言文学类 4 4 573 569 42 571 44
15 历更学召面5 2 2 575 574 47 574.5 47. 5
I 16 丁商管理类 2 2 569 569 42 569 42
17 义化产业管理 3 3 569 567 40 568 41
09 见也政治教育(师范) 2 2 609 606 48 607.5 49 5
10 外日语言文学类 2 2 609 608 50 608.5 50 5
2021
11 历史学(师范) 2 2 607 606 48 606.5 48. 5
12 工商管理类 2 2 607 605 47 606 48
09 思想政治教育(师范) 3 3 598 597 41 597. 7 41. 7
2020 10 历史学(师范) 2 2 602 598 42 600 44
11 工商管理类 3 3 597 597 41 597 41
2600 天津中医药大学
7-3-1-2-17-
01 中国语言文学类 560 I 557 I 30 I 558. 1 I 31. 1
02 传播学 559 I 556 I 29 I 557. 3 1-, “' 30. 3
,;;,12
2022 I 03 应用心理学 \ 560 560 33 , 560; ,令 33
04 丁商管理类 f 557 I 556 I w茫;'编.,`-.,5,5,6卢. ,5心 ;, 29 5
05 公共管理类 — 559 559 - 3 乙 2 ` ` \ 尸 、;, ~?,5 、 5 9 ``、一 32
Ol 中同滔言文学类 ^^ I ?- 599 I 590 I'32 I,592,Tf 1编,一 34. 1
02 传播学 二 l-2-2-7 5 - 9 2 0 -2-3-5 58 8 30 豆``尸 n 58 9 , ' 3 1
2021 03 应用心理学 594 I 594 I 36 I 594 I 36
04 工商管理类 \ 592 590 I 32 I 591 I · 33
05 公共管理类 591 I 591 I 33 I 591 I 33
01 中国语言文学类 587 I 579 I 23 I 581. 3 I 25. 3
02 传学\ 589 I 584 I 28 I 586. 5 I 30. 5
:
2020 I m 应用心理学-三 2 589 I 589 2 I 3 5 3. I - · 5 2 89 3 I m 33
04 工商管理类 582 I 581 I 25 I 581. 7 I 25. 7
05 公共管理类 588 I 579 I 23 I 582.4 I 26. 4
I' —-- --
2610 琪龙汀中医药大学
5-3-2-2-53--34--23--22-5-3634- 4l~I-534-52-5-436- 552-603-勹591-589-594
O] 中医学(学制5年)
02 针矢推拿学(学制5年)
2022 03 中医康复学(学制5年)
04 中医骨伤科学(学制5年)
05 中西医临床医学(学制5年)
01 中医学(学制5年)
02 针炎推拿学(学制5年)
2021
03 中医骨伤科学(学制5年)
04 中西医临床医学(学制5年)四、2020—2022 年河南省普通高校招生本科一批分专业录取情况统计表(文科) . 353 ·
录取分数统计
才I份 ! 七廿' 飞IIV名称 公作ii划 录取人数 最低分 平均分
代码 取口向占分 鼓低分 I,i 勹分数 平均分 与分数
线差值 线差伯
01 中医学(学制豆f) 6 6 611 589 33 I 595. 3 39. 3
2020 02 针炎推拿早(学制5年) 3 3 587 586 30 586. 7 30. 7
03 中西[如伽J入1矢学(学制5年) 3 1 588 584 i, 28 586. 3 30 3
2615 湖南中区约大学
01 英沿 I I 538 538 11 538 11
I`J'勹4 ,沁口,田lJ . 广已、了I上ltl必丁 1 ! `<'A丁L立 -<,A丁K`' i 19, .<,~“,v 二 1上 0丿
03 中匡学(子制5年) 5 5 563 557 30 560 8 33. 8
04 中臣学(中越 l班,5+3 体化,学制5年) l I 569 569 42 569 42
05 中匡宁(中1欠儿科炉,5+3一体化,学制5住) 1 l 565 565 38 565 38
06 针失推拿`j户(学制5年) 2 2 553 546 19 549, 5 22. 5
2022 j 07 中匠康复学(学制5钉) 2 2 554 528 1 541 14
08 中区养生学(学制5什) 1 1 538 538 II 538 I 11
09 中医儿和车(羊制5年) l i I 545 545 18 545 18
10 中医门伤科丫(学制5年) I l 560 560 33 560 33
11 中西区临床俟学(学制5年) 2 3 550 537 10 544. 3 17. 3
12 护理学 5 4 535 530 3 532. 5 5 5
13 市场告悄 2 2 532 532 5 532 I 5
4 公共事业管理 2 2 535 532 5 533. 5 i 6 5
01 关由 l 1 591 591 33 591 33
02 应用心理学 l I 584 584 26 584 i 26
03 中医汽卓越 l班,5+3一体化,学肃j511) I l 604 604 46 604 46
04 中医学勹制5什) 4 4 600 594 36 597. 3 39. 3
05 中[矢学(卓越2班,5+3一休化,学制5年) I I 601 601 43 601 43
l
06 针矢推拿学(f,制5年) 2 2 598 596 38 597 39
U7 中佚康复'f(f制5年) 2 2 589 588 30 588. 5 30, 5
2021
08 中1欠养生学(丰制5年) 1 | 1 590 590 32 590 32
09 中世儿科学(学制5年) I | 2 589 589 31 589 31
to 中佚骨伤籵羊(学制5年) I | I 587 587 29 587 29
II 中四区临床臣,f(学制5年) 2 2 592 589 31 590 5 32. 5
12 护即学 4 4 587 585 27 586 28
13 市场营销 - -卜 I I 585 585 一,----27 585 27
14 公共事业符理 j I 584 584 26 584 26
01 英讯 1 2 586 584 28 585 29
02 应用心理学 l l I 597 597 41 597 41
03 中区'户户(学制5年) 4 4 600 586 30 591. 3 35.飞
04 中医臼卓越 I 班,5+3一休化,学制5年) l I 599 599 43 599 43
05 中队'了(卓越2班,5+3 体化千制5年) I 1 583 583 27 583 27
2020 0
0
6
7 ?? ~?~ ? ?
针中
“
~
~
~ 负杻
~
~
”
抖康复拿“-学学((学学制制5
5
句
年)
) 3
2
3
2
5
5
9
8
7
9
5
5
7
8
5
6 3
1
0
9
| 5
5
8
8
7
5.
. 5
7
3
29
L
.
5
7
08 中医养牛学(,卢fil]5年) l L 583 583 27 583 27
09 中西医临/木1矢学(因制5年) 3 3 599 591 35 I 596 40
10 护珅学 i 4 一·4 589 580 24 i 585 5 29 5
卜炒~~
l 2 "
"
小七 l l 585 585 29 585 29
丛六司工,lf 曰}土
2620 成都中队药大学
01 中医学(5+3 ·休化,冲制5年) 2 2 577 575 48 576 49
02 针矢推拿学(学制5钉) I 1 574 574 47 574 47
2022 03 护珅学 3 3 572 571 44 571. 7 44. 7
04 巾场营钠 2 2 , 573 571 44 572 45
05 公共事\II,管理 2 2 573 571 44 572 45
01 中作学(5+3 体化,字制5年 2 2 602 600 42 601 43
02 护理学 3 3 600 594 36 597 3 39. 3
2021
03 市场仪销 4 4 600 578 20 587合3 29. 3
卜w叩
04 公共韦业管垀 2 590 32 591 33
01 中医学( 一体化,学制5什) 2 2 I飞21 593 37 607 51
-----
02 针荧推拿学(学制5年) 2 2 590 586 30 588 32
2020
03 护珅学 2 2 588 585 29 586 5 30. 5
04 公共事\Il,管理 4 4 594 581 25 585 3 29 3· 354 · 第三章录取统计
录取分妏统计
专业 最低分 平均分
年份 专\IJ!名称 公布计划 录取人数
代码 最高分 最低分 勹分数 平均分 与分数
线差值 线差值
2630 山西医科大学
2022 01 护理学 3 3 1 533 529 2 530. 3 3.3
2655 湖北中医药大学
01 保险学 2 2 546 544 17 545 18
02 汉语国际教育 2 2 543 542 15 542. 5 15. 5
03 英语 2 2 545 542 15 543. 5 16. 5
04 商务英语 2 2 541 541 14 541 14
'05 应用心理学 2 2 551 540 13 545. 5 18. 5
中医学(针炎推拿方向,5+3一体化,学制
06 I I 563 563 36 563 36
5年)
07 中医学(5+3一体化,学制5年) 2 2 565 37 564.5 37.5
三匈
08 中医学(美容勹胀复方同,学制5年) l l ,~ ~5 47 ~ 了·r夕六、 歹 20 547 20
09 中医学(学制5年) 3 3 ,:563 33 561 3 34. 3
2022
10 针炎推拿学(学制5年) 窑咚|;三 3 3 干560 553, F 26 556 7 29. 7
11 针炎推拿学(针刀方向,学制5年) 1 1 555 555 28 555 28
12 中佚骨伤科学(学制5年) 2 2 554 551 24 552.5 25. 5
13 药事管理 1 , 1 546 546 19 546 19
凶- 护理学 3 3 552 543 16 546. 7 19. 7
, 15 助产学 2 2 540 538 11 539 12
I.夕.16 市场营销 2 2 538 538 11 538 1 l
l7 国际商务 1 1 537 537 10 537 10
了 18 公共事业倌押 2 2 535 535 8 535 8
19 公共事册管理(区事法学方向) 1 I 535 535 8 535 8
20 健康胀务勹管理 2 2 535 534 7 534 5 7.5
21 物流管理 2 2 i 534 532 5 533 6
01 保险学 2 2 582 575 17 578. 5 20. 5
02 汉语国际教育 2 2 584 582 24 583 25
03 英语 2 2 583 581 23 582 24
04 商务英语 2 2 585 579 21 582 24
05 应川心理学 2 2 586 580 22 583 25
06 中医学(学制5年) 3 3 583 582 24 582. 3 24, 3
07 中医学(芙容勹康复力向,学制5年) 1 I 591 591 33 591 33
08 中医学(忖伤方向,学制5年) 2 2 581 579 21 580 -勺 22
09 中医学(5+3 体化,学制5年) 2 2 596 590 32 593 于~35
-
中医卢5+3 休化,针矢推拿方向,学制
2021 10 5年) I I 产579气=579 ~ 590 32
夕
1 1 针炎推拿学(学制5年) 4 4 19 577 5 19. 5
12 针炎推拿学(针刀方向,学制5年) 1 1 - 21 579 21
13 护理学 4 4 ~ ? ~ 576 572 14 574. 5 16. 5
14 助产学 \. 一一I_,~ 2 1 570 570 12 570 12
15 市场营销 ` ,.一一 ,' 2 6 577 569 11 573. 3 15. 3
\
16 国际商务-尸~\\ ~_. 夕_ 1 1 579 579 21 579 21
17 公共事业管理 _- - 2 2 584 580 22 582 24
18 公共聿业管埋(伤中法学方向) 1 1 578 578 20 578 20
19 健康胀务与管理 2 2 578 577 19 577 5 19. 5
20 物流管理 2 2 578 577 19 577 5 19.5
01 保险学 2 2 578 577 21 577 5 21. 5
02 汉语国际教育 I I 579 579 23 579 23
·
03 英语 2 ·一- 2 584 575 19 579 5 23.5
04 商务英语 2 2 585 581 25 583 27
05 应用心理学 I 1 585 585 29 585 29
2020
06 中医学(美容与康复方向,学制5年) I 1 583 583 27 583 27
07 中囡学(学制5年) 2' 2 592 585 29 588. 5 32. 5
中医学(5+3一体化,针炎推拿方向,学制
08 2 2 590 587 31 588. 5 32. 5
5年)
09 中医汗(5+3一体化,学制5年) 2 2 594 594 38 594 38.
四、2020—2022年河南省普通高校招生本科一批分专业录取情况统计表(文科) 355 •
录取分数统计
专寸l' 最低分 平均分
年份 专业名称 公布计划1录取人数 最凶分
代码 最低分 与分数 平均分 勹分数
线差值 线差仇
10 针炎推拿学(针刀方向,学制5年) 1 1 585 585 29 585 29
11 I 针炎推拿学(学制5年) 2 2 584 582 26 583 27
12 护理学 3 3 579 578 22 578. 7 22. 7
13 助产学 I 1 577 577 21 577 21
14 市场性销 l 1 582 582 26 582 26
2020
15 国际商务 1 1 576 576 20 576 20
16 公共事业管理 1 1 577 577 21 577 21
17 公共事业管理(医事法学方向) 1 1 578 578 22 578 22
18 健康服务与管理 1 1 578 578 22 , 578 22
尸----i 19 J_ 物流管理 2 2 582 577 21 579.5 23. 5
2750 海南人学
勹、 金融学 8 9 1 577 573 ?:午,团缸 574. 9 I 47. 9
17 国际经济与贸易 8 ;;;,,::< 9 c I 580 I 5.7一1^ ^^ I'44 `少 I 574 I 47
18 法学 ·,去分 10飞 勺一 嘐 巧尸 王 泾 5 , ' , e , 产; ,, c . e , 1r • 0n. • I ' 5rn8,l I ' . 5-7~7~ 1 I 尸.:,-•\"<"京'n,丫S • '. '• 579. 3 52 3
19 思想政治教育 4 4 576. 574 47 575. 3 48. 3
20 汉语言文学 3 4,577 576 49 576, 8 49. 8
21 英语 L 15 16 576 568 41 570. 9 43. 9
l 22 俄语 3 I 3 I 575 I 510 I 43 I 572. 3 I 45. 3
\ 23 日语 ..一,一:'· s I 5 I 571 I 568 I 41 I 569 I 42
1 24 传播学 4 I 5 I 578 I 575 I 48 I 576 I 49
2022 I 2s 工商管理 s I 9 I 57 ^ 6 ', I 570 I 43 I 573. 4 i 46. 4
26 会计学 6 I 8 I 578 I 57 l I 44,, I 574. 4 47. 4
27 农林经济管理 6 I 7 I 577 I 568 I 41" I 571. 44
28 行政管理 4 I 5 I 573 i 567 · I 40.. I 569. 8 I 42. 8
29 旅游管理类 12 I 15 ti 573 |
|
549 I 22 I 565 ! Js
叨 戏剧影视文学 4 I 4, 573 I 568 I 41 · I 571 I 44
31 人文地理与城乡规划(中外合作办学) 8 I 9 I 564 I 550 I 23 I 556. 6 I 29. 6
32 行政管理(中外合作办学) 4 I 5 I 559 I 549 I 22. I 553 I 26
33 酒店管理(中外合作办学) 10 I 7 I 542 I 530 I 3 I 536. 6 I 9. 6
34 会展经济与管理(中外合作办学) 7 I 8 I 550 I 540 I 13 I 545. 8 I 18. 8
12 金融学 2 I 3 I 625 I 614 I 56 I 619. 3 I 61. 3
13 国际经济与贸易 2 I 2 ! 614 ! 614 I 56 I 614 I 56
,
14 法学 3 I 3 ! 621 ! 616 •I 58.. I 618.3 ,. I 60.3
15 思想政治教育 3 I 44 : 661l22 !I 661l1l I 5533.众,. -ttt~16i u11ll..3 I 53. 3
f--”^^ ^^ ^ 1 _ 6 _ _^ ^… 汉语言文学 5 5 6l6 613 古 55望',炙妇,!;?\4.6 I s6. 6
1 1 7 8 英 俄 语 语 1 2 0 , I 2 1 , 0 、 I I 6 61 2 3 2 1 I ; , 6 6 • 1 1 0 0 , ,~尸 飞 , ,$ 心 “ 芞 3 产 气 , ;; 飞 ·, 5 52 2吁 心 . ';已 口; 6 尸 I 6 1 n . : 6 5 5 5 3 3 . . 5 6
19 日语 4沁; 一欢 4于 令 -· ·-_. — 61 ` 2 - ,户 610 522 ,, ,气 k 610 七 . 8 52. 8
20 传播学 5 5 617 \ 610 52 6l2. 6 54. 6
2021 21 人文地理与城乡规划(中外合作办学) 3 I. 4.I • s91 I s90 I 32 I 590. 3 I 32. 3
22 IT商管理 - 3 • ·. I · 3 I 613 I 612 I 54 I 612. 3 I 54. 3
23 会计学 3 I 3 I 614 I 613 I 55 I 613. 7 I 55. 7
24 农林经济管理 1 I I I 611 I 611 I 53 I 611 I 53
25 行政管理,';尸亏夕 2 I 2 I 613 I 611 I 53 I 612 I 54
26 行政管理(中外合作办f) 2 I 3 I 595 I 589 I · 31 I 591. 7 I 33. 7
27 旅游管理类 6 I 6 I 61 I I 609 I 51 I 610>2 I 52. 2
1------
28 酒店管理(中外合作办羊) 6 I 8 l 591 586 · I · 28 • I.588. 1 I 30. 1
29 会展经济与管理(中外合什办宁) 4 I 4 I 594 I 591 I 33 I 592. 5 I 34. 5
>
30 戏剧影视文学 4 I 4 I 612 I 609 I 51 I 610. 3 I 52. 3
08 金融学 1 I 1 I 605 I 605 I 49 I 605 I 49
09 国际经济与贸易 2 I 3 I 605 I 604 I 48 I 604. 3 I 48. 3
10 法学 3 I 3 I 607 I 606 I 50 I 606. 3 I 50. 3
2020 11 思想政治教育 2 I 3 I 603 I 601 I 45 I 602 I 46
12 汉语言文学 8 I 9 I 606 I 602 I 46 I 603. 4 I 47. 4
13 英语 10 I 1116051601145 1602I 46
14 俄语 1 • I 1 I 601 I 601 I 45. I 601 I 45· 356 · 第三章录取统计
I 最低分T录矗取丿分了氏上才数J分r统厂计均分
仑\ll' 平均分
什份 女业名称 公布计划 录取人数
代码 最高分
线左伯
15 日语 4 4 602 602 46 602 46
16 传播学 5 5 606 I 603 ! 47 604 48
17 入义地埋与城乡规划(中外合作办学) 4 i 4 588 578 i 22 581. 8 25 8
18 !悯官埋尖 6 7 606 I 603 47 604. I 48, l
19 ,I ' ' ` , 一上-U, 口咖咖上E I I 602 602 46 602 46
20 行政管珅 3 3 602 i 601 45 601. 7 45 7
2020
21 行政管理(中外合作办学) 2 2 596 I 592 36 594 38
22 公共关系学 6 6 603 601 ^ ^/ 45 601 7 45. 7
23 旅游管钾类 7 7 605 601 45 602 46
24 泗估管理(中外;、作办学) 6 ~ ~ ~ ~ 7 585 576 20 578 7 22. 7
25 戏会展剧影经济视文局管学埋C I . , / . , H 'I<-人_;,,.,_' f')
I · · · -…
5
^ ^ ^^
5 592 579 ! 2飞 584 28
26 8 9 45 601 3 45. 3
2755 宁夏人学
03 金砚学 2 2 572 567 40 569. 5 42 5
法学 2 2 575 570 43 572. 5 45 5
I: 0054
思想政治教育(师范) 2 2 571 568 41 569. 5 42. 5
06 汉语言文学(文秘) 2 2 570 I s69 42 569. 5 42 5
07 英语(师范) 2 2 567 566 ; 39 566, 5 39向5
2022
08 阿拉伯语 2 2 568 566 39 567 40
新闻学(卓越新闻人才计划) 2 2 56() 569 42 569 42
lO 三~ii学 2 2 572 570 43 571 44
11 丁商管珅(英同,团等教育文凭面目) 4 4 558 554 27 555 8 28 8
12 会计宁(英国的等教育文凭项目) 4 4 1 564 555 28 558 5 31 5
02 ,经济学(金融) 2 2 607 607 49 607 49
03 法学 2 2 612 607 49 609. 5 51. 5
, 04 社会学 2 2 606 604 46 605 47
05 思想政治教育(帅池) 2 2 608 604 46 606 48
06 汉治曰义羊(义秘) 2 2 610 608 50 609 51
2021 1 °087 英语(帅范) 2 2 608 606 48 I 607^^ ”^ ^ 49
阿拉伯语 3 3 I 604 604 46 604 46
09 祈闻传播学类 2 2 606 604 46 605 47
10 丁商忤理类 3 3 606 604 46 605. 3 47. 3
11 上商管理(英国尚笘教育文凭项目) 4 4 i 588 586 28 587 29
12 会计学(英国高等教育文凭项目) 4 4 i 598 590 32 595. 3 37. 3
02 l 经济学(金现) 2 2 597 596 40 596 5 40 5
03 籵会学 2 2 595 595 39 595 39
04 思担政治教育(师范,教帅教育) 2 2 597 594 38 595, 5 39 5
05 汉治言文上(文秘) 2 2 599 597 41 598 42
06 英语(师范教帅教育) 2 2 594 594 飞8 594 38
I
2020 07 阿拉伯语 3 3 595 593 37 593 7 37, 7
08 新闻传播学类 2 2 595 594 38 594. 5 38 5
09 丁商管珅类 3 3 598 594 38 596 7 40 7
10 丁商管珅(英国的等教育文凭项目) 4 4 588 576 20 579 8 23. 8
11 会计学(英国高等教育义凭项目) 4 I 4 591 579 23 584, 3 28. 3
l2 物流管理 I 2 2 594 593 37 593 5 37, 5
2780 山东科技大学
--~-::2-,'
04 国协经济勹贸易 2 548 548 21 548 21
05 法学 2 2 548 548 21 548 21
....
2022 0 07 6 英 日 沿 语 2 2 2 2 5 5 5 4 7 9 5巳544 9 8 l ! I 2 2 1 2 5 5 5 4 2 9 5 ~ ~ ~ 2 2 5 2 5
朝鲜语 2 2 548 547 20 547. 5 20. 5
-----------
09 行政管理 4 4 555 546 i 19 550 3 23 3
10 金跳学(中外合作办学) 5 5 531 i 5 28 I I 529. 2 2. 2
04 金融学(•t'夕「口万`) 5 5 583 568 10 572 4 14 4
2021 1 05 旧际经济勹贸易 2 2 587 587 29 587 29
06 法学 2 2 589 589 31 589 31.
四、2020一2022 年河南省普通高校招生本科一批分专业录取情况统计表(文科) 357 •
录取分数统计
年份 专 {飞 业 iil 专业名称 公布计划 录取人数 最高分 最低分 最 与 低 分数 分 平均分 ! 线平均差值分
11
.~ 线差值
07 英语 2 2 590 585 27 587. 5 29 5
08 日语 2 2 582 582 24 582 24
-- --- -
09 朝鲜语 人- 2 2 584 582 24 583 25
2021
10 L商管理 2 2 587 584 26 585. 5 27. 5
11 会计学 2 2 590 587 29 588. 5 30. 5
12 行政管理 4 4 586 583 25 584, 5 26 5
04 金憩学(中外合作办学) 4 4 574 568 12 570 14
05 国际经济与贸易 2 2 587 583 27 585 29
06 法学 2 2 587 585 29 586 i 30 ·一
2020 07 英语 2 2 ^^^ ` ~ 588 · l 585 2_,9 586. 5 30. 5
08 日语 2 2 585 58昌3 584 28
09 朝鲜语 2 2 580 578 24 579 23
10 工商管理 2髻~子言 584 580 582 26
2
2785 闸北大学 ~-~ :室总气均知心 \ 一,又 ,'~一鸟§,1产 \飞”厂贬卫玄
03 财政学 ',II . 3 , 3 567 ~\ ~\ 飞; ,1 563\ 36 564. 7 37. 7
04 国际经济与贸易 ` 3 3 1. I \沉3 563 36 563 36
05 ,夕 1法学 言\\ 飞编 `"~ 3, 3 567 565 38 566 39
}。b ,中国语舌文学类 \'\ \ \ 2 2 564 564 37 564 37
平\\I\I 忙'07 \俨-r新闻传播学类 t,、,'I\凡',\ 3 3 566 564 37 565 38
', : \ `\ ,.08 _,1一\. 广,.田 庄子严,r.心妇 ', 3 3 567 563 36 564. 3 1 37. 3
09 会计学 3 3 i 566 565 38 565. 3 I 38. 3
~~
JO 财务管理 3 3 564 563. 36 563. 7 36. 7
i 03 财政学 3 3 599 595 37 596. 3 38, 3
04 国际经济与贸易 3 3 597 595 ` 37 595. 7 I 37. 7
05 法学 3 3 603 601 43 602 44
06 中国语言文学类 2 2 599 596 38 597.5 39. 5
2021
07 新闻传播学类 3 3 601 596 38 598. 3 40. 3
08 广告学 3 3 596 595 37 595. 3 37. 3
09 会计学 3 3 597 596 38 596. 7 38. 7
10 财务管理 3 3 597 595 37 596. 3 38. 3
03 财政学 3 3 592 590 34 590. 7 34. 7
04 国际经济与贸易 3 3 590 589 33 589.3 33. 3
05 法学 3 3 594 592 36 · 592. 7 36. 7
2020 I「 06 中国语言文学类 2 2 594 36
07 新闻传播学类 3 3 590 扣透 34
08 广告学 3 3 590 33. 3
09 会计学 3 千: 3艺 591 33. 7
10 财务管理 ,, 3 3 5 89 - 5 89 33 589 33
2795 沈阳工 0 业 1 大学 金融学 \ \ ~飞、俨~\'~~ 、.'七夕r, 4 \\ 5 :;S 心I\ , 5 ~ 4 飞 5 . , ; i' 53 歹 9 \ 12 542 15
2022 02 国际经济勹贸易 3 3 540 539 12 539. 3 12. 3
03 法学 l, \ ~ 、 i,`,'~ 5 5 546 542 15 544 17
01 令融学 --·八日二-,一一 从` 3 3 586 581 23 583. 7 25. 7
2021 02 国际经济与贸易 3 3 581 571 l3 577. 3 19. 3
03 法学L b a心 5 5 583 574 16 577. 4 19 4
01 金融学 2 3 576 575 19 575.7 19. 7
02 i 国际经济与贸易 2 2 576 576 20 576 20
2020
03 法学 2 3 578 576 20 576. 7 20. 7
04 广告学 1 1 588 588 32 ` 588 32
2800 中南林业科技大学
07 金融学类 8 8 550 543 16 546.3 19. 3
08 法学 2 2 548 546 19 547 20
09 外国语吕文学类 2 2 550 544 17 547 20
2022
10 俄语 2 2 535 531 4 533 6
11 法语 2 2 539 529 2 534 7
12 日语 2 2 540 529 2 534. 5 7. 5• 358 • 第三章录取统计
录取分数统计
专业 最低分 平均分
年份 专业名称 公布计划 录取人数
代码 最高分 最低分 与分数 平均分 与分数
线差值 线差值
13 工商管理类 8 8 542 529 2 535.5 8. 5
14 会计学 2 3 550 546 19 548. 3 21. 3
2022
15 行政管理 3 3 541 537 10 539. 3 12.3
16 旅游管理类 10 9 541 525 -2 529.9 2.9
07 金融学类 2 2 590 587 29 588. 5 30,5
08 金融学(CFA卓越班) 2 2 586 581 23 583.5 25.5
09 法学 2 2 587 585 27 586 28
10 外国语言文学类 2 2 589 589 31 589 31
11 俄语 ; 2 2 583 580 22 581.5 23.5
2021 12 法语 2 2 587 587 29 587 29
13 日语 2 2 585 于358 1 ``口~';嘐.2t.-.3尽,, ' 583 25
14 工商管理类 6 6 ` - ~人,5 85 佥`,之土了芍83 ;; 25户笭 583. 7 25. 7
15 七R,气心''上5--、,8 . 7 ` 咕580 户 22 583.5 25. 5
16 玉芍82 5,82卢“ ', 24',占 582 24
17 飞583\ ~、; 5,亡7`9` 一 21 580.4 22.4
08 卢587 581. 25 584 28
09 580 579 23 579.5 23. 5
飞4忆 586 581 25 583. 5 27.5
\炉\\::1ii言俄语 一五卢i:, 2 2 579 578 22 578.5 22.5
' 兑一~上12\爷§ 法语户`勹'.. 2 2 588 581 25 584.5 28. 5
}
-',tl3比《 勹日语 2 2 586 582 26 584 28
2020己吐 俨 乌3]4 翻译 2 2 591 580 24 585.5 29.5
15 会计学 2 2 580 579 23 579.5 23.5
16 人力资源管理 2 2 580 579 23 579. 5 23, 5
17 农林经济管理 2 2 584 580 24 582 26
18 行政管理 2 2 579 578 22 578.5 22.5
19 旅游管理类 4 4 579 578 22 578. 8 22. 8
2810 安徽工业大学
04 国际经济与贸易 2 2 546 545 18 545.5 18. 5
05 法学 2 2 549 542 15 545.5 18. 5
2022 06 外国语言文学类 3 3 544 539 12 541. 3 14. 3
07 财务管理 2 2 544 533 6 538.5 11. 5
08 行政管理 2 2 542 542 15 542 / L、气罩,,, 15
04 国际经济与贸易 2 2 581 578 20汽孕`579.乓$ 古:咐?1 5
05 法学 2 2 582 577嘉导 ~~ 19孚\,s 云气579.5-IP只215
2021 06 外国语言文学类 ,心 57乒5?..,己f ?心$, : 17 沪,、` 5` 75. 7 ` 173 7
07 财务管理 三:i 579 芯'21”一 炉580;1 | 22
08 行政管理 575 九已C `,.`` .七`"心 --气 -" 1 7 乒江`', 575.5 17.5
04 国际经济与贺易 `矿玄娱 f 翌 '祫炉只 . 踩节 . 宏 年 cj5`7` 5尸 19 575. 5 19.5
05 法学 /-,.厂 ` 574 18 574 18
2020 06 翻译伈乏f巧1)-` 1, `;:2 ;'\ -, 2574 573 17 573. 5 17. 5
07 财务简理::::~芦二;二. 已'`f·,`,,••'.• 泛 士b心 2 2 575 574 18 57'1-. 5 18. 5
2815 安徽医科大学尸飞 --一. ::: 巴"鸟主':•芒,心} 。¥ 安 )
2022 01 (中外合作办学) 2 2 530 528 1 529 2
2021 01 健康服务与管理(中外合作办学) 1 1 561 561 3 561 3
2850 广州大学
01 金融学 3 3 563 559 32 560. 7 33. 7
2022 02 网络与新媒体 3 3 572 566 39 568. 7 41. 7
03 地理科学 5 5 565 558 31 560.6 33.6
01 金融学 3 3 611 604 46 607. 3 49.3
2021 02 网络与新媒体 3 3 605 604 46 604. 3 46.3
03 地理科学 5 5 .601 590 32 595.4 37.4
01 金融学 3 3 606 600 44 602. 3 46. 3
2020
02 网络与新媒体 3 3 600 599 43 599. 7 43. 7.
四、2020一2022 年河南省普通高校招生本科一批分专业录取情况统计表(文科) 359 ·
三 I 呾正
公布计划1录取人数如_.五l最低分 最与分低数分 平均分 I 平与均分数分
专业名称
线差值 线羌值
了
6 6 558 554 27 554. 8 27. 8
6 6 590 581 23 586. 2 28. 2
3 3 581 577 21 579 23
3 3 586 583 27 584. 7 28, 7
0 』 824282214222524691257226526675425333234557262295663201655224631154 0546620460652 5 600002363460 108354359199475692550943064509769342352591955337546590973-54546593923525561 9432156394 235459523 9 423638336
5
1
0 乐劲 5
冷
、 2i
』 , 1, 4 云许 7
4
2021 二 竺
5
2 ~ ~ \
—- 夕~~ ?~ ~ -. ;_八 ; /、 > / 4
一 ~ ~ 9
— 5
0 \
观3
25
尸 ``,' 5 9
言 3
4 4-3-3-3-4-3-3-3l4-3-3-3 6
4 561 555 28 5557 I 30
.....
3 I 558 I 547 I 20 I 57594 I 27
0 3 I 5J I I 528 I 1 · I 56229 I 2
3 I 556 I 529 I 2 I 546. 7 I 19. 7
芷 0 0
4 二 4 I 595 I 592 I 34 I 593 I 35
1
3 I 597 I 593 I 35 I 594. 7 I 36. 7
2021
3 I 594 I 591 I 33 I 5962. 3 I 34. 3
0 3 I 591 I 590 I 32 I 5900. 7 I 32. 7
5 4 ! 589 I 586 I, 30 · I 587. 3 I 31飞
9
5 』 3 3 I ! 5 5 9 9 1 0 / ! 8 5 6 86 I 3 3 0 0乓 I 飞 5 8 8 5 8 8 . .3 7 I 3 32 2 , 7 3 ,
.
津
3 ~ 586 - 5 - 8 ` ` 6
,:,翠
30譬
无
夺
,
'卢
于
"
,
'
沁气
5986 3()
L010 气
$
`
泣:
卢
多§念
$凳了 夕
9
了 5 2 _ 5 3 '` _1i 卜 一5 54 3 空8 4 - ”5 5 3 2 4 8 “ 气七:, ”7 1 “i 5 5牲 3 6 ” 0. 7 4 I - 1 3 7 . ,— 7 4
2 『 二 7 - 7 · I _552_, J : 531 I 4 I 5307. 7 I 10. 7
2022 0 7 - -1- ”-: 'I •559 I · 548 I 21 I 5513. 9 I 26. 9
4
2 0 - 7 4 I 552 I 547 I 20 I 54 6 9. 8 I 22. 8
_ - 7 I 544 I 528 I 1 I 536. 9 I 9. 9
5 0
- 5 I 587 I 587 I 29 I 587 I 29
$ 3
20421 2 0
4 `
三 - 7 - 7
- 4
7
7
3 I
I
5 5
5
`
9
8 8
•
6 7
1
` ”“` I
I
5 5
5
8 8
8
5 6
9
I
I
- 2
3
28 7
1 .
I
I
5
5
5 8
9
83 5
9
5
1
6 .
.
. 6 3
3
I
I
2 2
3
8
3
7 .
,
6 3
3
- 4 I 594 I 592 I _ 34, ·,,. I 593. 3 i 35. 3
7
- 6 7 1 i - 591 I 587 I 29i. I 5589
, 0 - 4 6 I 586 I 580 · I._ 24 _ I 5583 ~ 27
20 6 20 作 ~ - 8 - 4 4 8 I I 5 58 8 5 4 I I 5 58 8 1 0 I I 2 25 4 I I 5 5 8 9 2 8 . 2 5 2 2 6 6 .5
5 - 8
8 4 I 586 I 584 I 28 I 584. 8 28. 8
g 8 I 583 I 580 I 24 I 5851. 8 25. 8
汉
9
』
+ 2
0
,
2 `
4 央
4· 360 · 第三章录取统计
L
专II1名: __j 公布计戈/厂人数1 勹5言:汇
I 最`[最低分 1 I 千均}/`
__ l.
.
/ i 2 I 2 I s66 I 566 I 39 I I s66 I 殴
I 4 I 4 568 I 563 I 36 I 564. 8 I 37. 8
3 飞 56I I 558 / 31 I 559 I 32
,
5 I 5 I 562 I 558 I 31 559. 8 I 32. 8
I 2 i 2 I 569 I 566 11 39 I 567. s I 40. s
飞飞 569 I 564 I 37 I 5566365 二I :39 5
4 4- 566 561 34 1
/ 2 1 2 1 562 1 s61 1 34 ! s61. s 1 34. s
:10 /I _10 I s59 I 550 I 23 I 553.s I 26.s
605601 43 603 45
4 I 4 I 601 I 599 I 41 I 599. s I 41. s
5 I! 5 I -598 I 595 37 I 597 I 39
4 4 595 593 35 594 36
10 I 10 I 598 I 588 I 30 I 591. 3 I 33. 3
/ i
I 2 I 2 I 602 I 600 I 42 601 I 43
:i I 3 I 602 I 594 I 36 I 598. 7 I 40. 7
4 I 4 I 601 I 598 I 40 I 599. 5 I 41. 5
,
2 II 22 II 660000 II 559999 II 4411 i 599. s I 41. 5
易 2 1 2 I 598 I 597 I 41 I 597. 5 I 41.5
气` _, 5 气一 I~ --5- ~I 59-8 -I ---5-94- ---I- ---3-8 --•1- -5-9-5 ---I -•-39- --
i
/ 6 I 6 I s9s I sn I 36 s93 I 37
5 i 5 I 593 I 593 1. 37 I 593 I 37
匡 商 _7 __ ,I 7 I 588 I 579 -- I 1- 2 - 3 - . - : l --- 5 - 8 - 3 -- . - - 1 - — I -- - 27` .- 1 -- -
2 1 2 I 602 I 598 I 42 I 600 I 44
2 ! 2 I 597 I 595 I 39 I 596 I 40
5 I 5 I 596 I 593 I 37 I 594. 4 I 38. 4
2, 2 ! 598 ! 594 I 38 ! 596 I 40
三
易 尸 : 2 4 勹 - : 2 4 - 5 5 5 ;- 4 0 `- 5 54 5 7 l -- 1 - 2 2 4 0 一 1 玉 55 飞 2 5 1 2 21 5 5 3 _ __
:一勹::二勹二二—
5 5 551 “五厂 22 549 6 22 6
m-
』 I I l I 557 I 557 I 30 I 557 I 30
I 3 ` 3 589 587.-29 587了 29-7
2011
. 理 ---1 /三丿
贸
易
/
符 /
一 1
』
/
-
埋
二 / / /
-丁
二
三
/
/
/
-.
四、2020一2022 年河南省普通高校招生本科一批分专业录取情况统计表(文科) 361 •
厂最商 录取分数统计
年份 专业 专业名称 公布计划 录取人数 分 最低分 最与线差低数分值分 平均分 平均分
代码 与分数
线差伯
08 英语 2 2 547 545 18 546 19
09 葡萄牙语 2 2 546 5牛 17 545 J 8
10 翻译 2 2 548 545 18 546. 5 19.5
2022 11 会计学 2 2 546 546 19 546 19
12 人力资源管理 2 2 546 545 18 545. 5 18. 5
13 公共事业管理 2 2 545 539 12 542 15
14 物流管理 2 2 538 532 5 535 8
04 金融学 2 2 589 587 29 588 30
05 国际经济与贸易 2 2 587 581 23 584 26
06 法学 2 2 591 588 30 589. 5 31. 5
07 知识产权 2 2 589 581 585 27
08 i 汉语百文学 2 2 584 583 583. 5 25, 5
09 英语 2 2 587 585 27 586 28
2021
10 葡萄牙语 艺硒齐甘贮,至 2 2 581 579 ,飞 `"丈 580 22
11 翻译 t' ' 2 2 ~~ ,^『5八~8" 4\”'、4、-- .., 583.- 25 583.5 25. 5
12 会计学 歹 : . 2 2, -585 585 27 585 27
13 一- ,人力资源管理 '~\, \、 召勺笥\;炉久 \尸、、尸~ 2 2 583 582 24 582.5 24.5
I-』/4礼二 公共事业管理 ~、-:--一"`牛 2 2 582 580 22 581 23
矿1\尸飞:飞巨;
\.尸15厂}物流管理 一飞归\:\'J'"' 2 2 581 580 22 580.5 22.5
\ ' 1一飞,飞5\~, 瓣金融经学济5贸'易 2 2 586 582 26 584 28
I 06 2 2 581 578 22 579. 5 23. 5
i 07 法学 2 2 587 583 27 585 29
08 知识产权 2 2 581 580 24 580. 5 i 24. 5
09 汉语言文学 2 2 586 583 27 584. 5 28. 5
202O 二,卫11_ 英语 2 2 586 580 24 583 27
葡萄牙语 2 2 586 578 22 582 26
12 翻译 2 2 580 578 22 579 23
13 市场营销 2 2 581 581 25 581 25
14 会计学 2 2 582 582 26 582 26
15 人力资源管理 2 2 582 581 25 581. 5 25. 5
16 公共事业管理 2 2 582 581 25 581.5 25. 5
17 物流管理 2 2 578 577 21 577. 5 2!. 5
.
2890 重庆丁商大学
IO 经济学 2 2 569 38
5辜啊
11 财政学类 2 2 ,'"5"6"0' 一- 5 i 33
12 金融学类 3 3 , 562 5 34
l”~ --
13 经济与贸易类 2 五芷 562 5 34
14 英语 t2\沁翠姿 s沪 560 558 f3l2\ "'5.5 9 ! 32
:::;,-· `
2022 15 商务英语 ~ ` __, 3 _ 3 556 ; 555 28 555. 7 28. 7
16 新闻传播学类 :_ _古乏忑夕`~芷 ?\ \S,·, .•:·.,- 3 3 '=} \ \ 5令62~,下;' 559 32 560, 3 33. 3
17 工程管理 i ` ·~ -L \ " ' - 扫~;“心心"气'~又'`夕~ ~}勹 ,,飞 3 3 559 557 30 558 31
18 工商管理类 ~夕, 凡\,\, 巳, 之\一夕尸' 夕~L. , 3 3 559 558 31 558. 7 31. 7
19 工商管理类(财会) 了芒\飞心\俨'\-心人 4 4 562 560 33 560. 5 33. 5
1 1 551 551 24 551 24
已经济学全二乙
2210 I 4 4 i 562 斗i” 556 29 558.3 31. 3
10 十 1 1 ! 603 ! 603 45 603 45
II 财政学类 2 2 1 594 i 594 36,' 594 36
l2 金融学类 3 3 597 594 36', 595 37
13 经济与贸易类 2 2 596 i 596 38 596 38
14 英语 2 2 594 593 35 593. 5 35. 5
15 商务英语 3 3 592 592 34 592 34
2021
16 新闻传播学类 2 2 594 593 35 593.5 35. 5
17 工程管理 3 3 593 592 34 592. 7 34. 7
18 工商管理类 3 3 595 594 36 594. 3 36. 3
19 工商管理类(财会) 3 3 599 594 36 596. 3 38. 3
20 物流管理 1 1 592 592 34 592 34
21 旅游管理类 4 4 593 592 34 592.5 34 5· 362 · 第= 录取统计
录 i
取分数统丿
最低分
年份 右业 荩W名称 公布计划1-录取人数1 与分数 平均分
代码 !最釉分 最低分 线差值 平均分 勹分数
线左值
08-09-1 经 0- 济 11 学 -12-13-14 / 595 - 3 595 39
财政学类 593 9 591 35
597 - 593. 5 37, 5
3
/ 589 589 33
/ 3
590 588. 5 32, 5
3
588 587 3l
5
597 594 38
3
2020 二 599 / 3 594. 8 38 8
588 - 588 32
-
588 3 587. 3 3 1. 3
叨
586 1 586 30
/ 初 f
19 人力盗旂管珅 586 二 - 33 586 30
2()上氝管珅 587 00 587 飞\
21 旅游管押类 587 33 586. 7 30 7
22 会展呤济'J竹理 , 587 51 587' 3 ·· 1
3-
2895 二
63
30
飞2.5
二 2- 35. 5
1 34
| 1 32. 5
33. 5
2022
35. 5
33
/
31
2 5三5
558 J]
593 35 593 35
/
IV,同冢人才培养创新文 勹七 594 594 36 594 //6-
2-2~ 2“2
597 593 35
2021 594 594 36
厂
2 2
595 594 36
I
35-35-32-29-29-3f 229-28
594 593 5~5
://言易头 2 - 2 - 593 593 』 593 i 35
2 i 2 - 588 588 588 | 32
- 2
/02 二汉门语国1外冢教育人4酰创新实]奇区) 2 - - 3 585 585 585 1, 25
3 - - 3 587 585 586 30
2020 3 - 1
- 2 2 590 588 589 i 33
2(三`尸- 587 585 尸
丿 户
2 587 584 585. 5 29. 5
`` .“`
_
2- 553-551551-554-550l~I548548-554-549-SSo-549549
金敞学 - 勹 26 I 5H 5 26. 5
2-2-4-2-2~4-6-2-2-22;l
04 旧际经济与贸易 24 I 55L 5 24. 5
- -
05 去学 26 I 5H 5 26. 5
06 27 I 554 27
07 二 23 550 5 23. 5
08 25 I 552, 5 25. 5
4
2022 09 / 21 I 548, 3 21. 3
- -
JO 21 I 548,3 21. 3
.
II 27 I 555 28
22 I 549 22
/ 23 550 5 2飞5
22 I 549 22
22 I 549 22.
四、2020一2022 年河南省普通高校招生本科一批分专业录取情况统计表(文科) 363 •
录取分数统计
年份 专业 专业名称 公布计划 录取人数 最低分 1 平均分
代码 最高分 最低分 局分数 平均分 勹分数
线差值 线差值
03 金融学 2 2 586 586 28 ^ ^-:. - 586 28
04 国际经济与贸易 2 2 583 581 23 582 24
—卜一
05 法学 2 2 587 583 25 585 27
06 中国语言文学类 4 4 588 582 24 585. 3 27. 3
07 外国语音文学类 4 4 584 580 22 582. 3 24. 3
08 新闻传播学类 2 2 589 589 31 | 589 31
2021 09 中医学(学制5年) 4 4 584 581 23 582 3 24 3
lO 护理学 4 I 6 581 I 579 21 579. 8 21. 8
11 工商管理类 2 2 586 586 28 586 28
12 财务管理 2 2 589 586 28 587. 5 29.5
13 公共管理类 2 2 583 582 24 582. 5 24. 5
14 物流管理 2 2 夕581 580 -厂-龙 580, 5 22. 5
15 旅游管理 2 i 2 / ^.俨、:,一J. C · ; 581 581 23 581 23
03 金融学 3§农汰气 2 C i 2 583 582于飞?l产已k' 飞气26 582, 5 26. 5
04 国际经济与贸易 , 2 \ 2 579 577 21 578 22
05 法学 2 3 586 583 27 584. 3 28. 3
06 中国语言文学类 -- 夕,~ _匕} 5' 5 582 579 23 580. 8 24. 8
,- 07 ',英语 z 2 2 586 583 27 584.5 28 5
} \ 08 法语 ;、$ t 2 i 2 578 577 21 577. 5 21. 5
\ I. 09 日语S' ,了 2 2 582 577 21 579.5 23. 5
2020 10 广播电视学 2 2 579 578 22 578. 5 22.5
11 中医学(学制5年) 2 2 580 577 21 578. 5 22.5
12 护理学 4 3 577 577 21 577 21
13 工商管理类 2 2 583 581 25 582 26
14 财务管理 2 2 581 580 24 580. 5 24 5
--
15 行政管理 2 2 581 578 22 579. 5 23. 5
16 物流管理 2 2 578 578 22 578 22
17 旅游管理 2 2 578 577 21 577. 5 21. 5
2910 四川外国语大学
- - --
02 金融学 2 2 558 558 31 558 31
03 ? ??炒 法学 1 1 558 F-` 558 31 558 3l
04 社会学类 1 1 550 550 23 550 23
05 教育学 1 1 552 552 25 552 25
06 学前教育(师范) l 1 549 549 22 549 22
2022 07 小学教育(帅范) 2 2 546 554568_亡;c.亡尸3.编.;飞 一气 19 546, , -19
` ` 08 中国语言义学类 2 2 5"60. … .:3 5 ;::! 31 ],已J2
09 英语 3, 3 - 572 558 l豆'31 564.3" .兑'37, 3
10 翻译 乞1 1 - -r 566 l 566 39 566 39
11 商务英语 1 1 556 556 29 556 29
12 新闻传播学类 2 2 557 554 27 555. 5 28. 5
02 金融学{ , \,\,叶,,,气 飞\,2,、, 2 598 594 36 596 38
?2
03 法学勹 1 l 602 602 44 602 44
勹气
04 社会学类 ; :\ \_义:',产 1 1 594 ! 594 36 594 36
05 教育学 1 ”“ 卜` 1 608 608 50 608 50
06 学前教育(师范) 2 2 594 594 36 594 36
2021 07 中国语百文学类 1 1 597 597 39 597 39
08 英语 5 已 608 603 45 605 6 47. 6
1--”“”“”0”“9. 翻译 3 i 3 607 602 44 604. 7 46, 7
!() 商务英语 1 l 602 602 44 ^^ " " " 602 44
11 新闻传播学类 3 3 600 599 41 599.3 41. 3
12 _l商管理类 I 1 592 592 34 592 34
01 国际经济与贸易 1 1 597 597 41 597 41
卜一 02 法学 1 I 597 597 41 597 41
2020 03 社会学类 1 l 596 L一596 40 596 40
04 学前教育(师范) 2 2 595 593 37 594 38
05 英语 2 2 601 600 44 600. 5 44. 5· 364 · 第三章录取统计
专llI I l从布计划 最高.分勹一最一低分 录取 最 分 低 数 分 统计 平均分
年份 专业名称 录取人数
代码 与分数 平均分 与分数
线差值 线[伯
---- -- -
06 翻译 人人 一 m 人俨一一 1 l 603 603 47 603 47
07 I 商务英语 l 1 598 598 42 598 42
2020 0 08 9 韵 新 务 闻 英 传 市 播 ( 学 中 类 外合作办学) 3 2 , 3 2 _ _^^ 5 5 8 9 5 8 : 5 5 ^ 9 8 3 5 3 2 7 9 l 5 5 9 8 5 5 3 29 9
10 !审计学 l I I 597 ,i 597 41 597 41
2915 西安石油大学
04 I!汉同何纾济勹贸易 - 2 I 2 553 I ss2 ^ 25人 尸'552 5 [ 2^ 5. ~ 5
05 俨-- 诏言义学 2 2 555 553 26 554 27
06 ,.英语 1 1 562 562 35 562 35
2022 07 俄诏 I l 551 551 24 551 24
l · · l -
()8 翻译 1 l 551 1 551 24 551 24
09 新闻学 2 2 556 553 I 26 554. 5 27, 5
10 _I商昝珅类 2 2 552 552 25 552 25
^
04 _国 际经济勹贸易 -- 2 2 586 585 27 [ 585. 5 27, 5
05 汉陷 _ 言 _ 义学 _人- 2 2 592 591 I 33 591、5 33. 5
-- ·· -
06 英诣 I I 595 595 37 595 37
2021 0 0 7 8 俄 翩 语 译 1 I m ` ` 1 1 尸 5 5 9 8 3 5 1- - 5 5 9 8 3 5 __ _ 3 2 5 7 5 5 9 8 3 5 F—- 3 2 5 7 - —
09 新闻学 2 2 589 588 30 588. 5 30. 5
10 工商管理类 2 2 585 5 85 |l 27 585 27
04 匡际经济与贸易 2 2 581 579 I 23 580 24
OS 汉语言义学 2 2 579 579 23 579 23
06 英巾 I ] 585 585 | 29 585 29
2020 07 俄语 ~^ 1 l 579 —少55· 7799 I | _ 2233 __ l 579 - 23
08 翻译 1 I 579 579 23
勹厂 新闻学 2 -—22 勹i ,58 4 2 582 26 582 26
厂[而而性珅亟 _,?”一 2 580 24 582 26
一2920 山厂西财五纾勹大学孕了一
1 1 563 563 -I- -36 — 563 36
03 财政学 2 2 557 30 559 5 32. 5
-L !
I ; 0 0 5 4 税 金融 收 学 学 、· I 2 1 2 J 、 5 5 5 5 8 9 .. 卜— 5 55 589 !i! _ 3 3 1 2 _ 5 5 5 58 9 3 31 2
2022 06 保险学 l I I 557 557 30 557 "" 30
,i 07 国际经济与贸易 1 l 557 557 30 557 30
08 法学 2 2 I 559 559 32 559 32
09 会计字 2 2 : 566 563 36 564. 5 37. 5
10 审计学 1 l 567 567 40 567 40
02 经济学 1 l 595 595 37 595 37
03 财政沪 2 ~ 2 “心..一卜 l 一^ ^^ 595 594 1--- 3 -- 6 - ' - 5 - 9 - 4 — . 5 36 5
04 税收学 —,“----:- -- -… 2 _ 2 1,- 593 592 34 592. 5 34. 5
05 金敞学 “m m -匕 2 2 595 593 35 594 36
2021 06 保防学 l 1 592 592 ,显 I 592 34
l ^0 7 国际经济与"贸.一易 I 2 2 593 593 ,__ 35 _[ I 593 35
08 法学 2 2 594 594 36 594 俨俨' 36 "俨俨
09 会计学 2 2 593 592 一二] 34 5
] () 审计学 1 1 广^^ 598 598 4340 598 5 40
[
02 经济学 ! I l 588 588 32 588 32
03 财政学 l I 588 588 32 I 588 32
04 税收…^学·一 " ! 2 2 588 588 32 588 32
l ^ 05 金融学 2 2 590 588 32 589 33
2020 0 07 6 1 保 国 险 际 学 经济与贸易 I l I 1 I 587 [! 58 7 3 3 1 2 5 5 8 8 7 8 3 3 1 2
588 , 558887
08 法';~ 2 2 588 31 587 5 31 5
09 会计学 2 2 591 590 34 590. 5 34. 5
10 审计学 - m --人 - · 1· 一 卜一 1 592 ! 592 36 592 36四、2020-2022年河南省普通高校招生本科一批分专业录取情况统计表(文科) • 365 •
录取分数统计
专业
最低分 平均分
年份 代码 专业名称 公布计划1录取人数
1 最高分 最低分 与分数 平均分 与分数
院 线差值 线差值
2925
19-23-28-25-28-172-226-2-268-3-11-82 5-30-17-27-28-20-22-27-36-30-28-31-30-22-46-41-49-34-39-30-32-32-39-36-39-i41-37-43-5
4 竺
5 一 5
-
4
- 1 5
l
3
- 3
1
-
, 3 - 一 -
1
-
2 冒
2022 - 55
1
理
理 45
78
8 亏
陑 --
了 3 声
室
r了1
l 1 - 4 - -
5
5 7 三 -
5
4
5
5
5
5 7 5 4 -
5 - 勋6- 1 5929
4
- 一05
2 』 9--
0 04
了 3 i
1
一 -9 -5 955
6
3 一 』 -55
l 1 -
2021 三
5
1 - 2 -
1
1
-
5 58 647
一 5
0--
3
1
荨 3 - 2 -
1 -
一 _ 邵
-
9 7
-5
5
9-
9 58 7
E
5
6
5
4
2 0 2 - 2 - 1 - 5 _ 邸 - 6 0 3 9 5 5 9 5 9- 7 7- - 5 3 - 4
99
-
5 95
5
2020 43
亚 8 - 75
6 - 39.5
豆 3 8 -7 39
-
0
3-3-4-2-5261l-656-02-5-6245--55749 -55-4599-65-35992-85-795-592-052-95-681-952-95-393-357 8-93-588-83-5583-803 -32-63-22-43-23 7-38-36-33-32-34
3 - 5 5 555-7
2022 3 9 5 553
- 4 2 55 8 1 5 .3
声 40 2
-
一 - 5985 5
2021 军 2 - 5 9 596
6 - 2 9 4 594-5. 7
- 589.5
3 2 0 5
2020 - 588.5
6 -
57
5
4
9
59 9 0.3
5-4-1-2 5-4-1-2 9537-545-5355-53452-5 38-535-85-3171 _8-1
5
0
30 6 9
三 7 540.5 一55
2022 , - - 5-35 旦8
- 五
5 539.5
0 5
0 0 9
4 9
5
- 5 0
5
6 9 -
8- 8 9
5
9
4
9
0 6 7
9
-
5
-
-
0 9
0
4
5
5 -
5
0
9 9
5 9
7
-
2 9
9
6
0
0 -
- 0
0
-
5 5
6
9
3
3 9 9
0
-
5
0 9
3 9
5
- -
-
4
6
0
5
1
0
9
5 5
-
5
9
9· 366 · 第三章录取统计
I 录取分数统订
^ • • •• •
年份 ! 心If~ 公布计划1录取人数[ 最凸分 最低分 1 最与分低数分 平均分 平与均分分数
i 代码
I 线养伯 线差值
~ ^ (! ^0 7 『经济学^^失. -勹.]勹69569 l1 569 11
2021 I i 08 I 法学 /4 4 570 568 10 _ 568 8 10 8
09 民族学 . -----t--567 566 1 8 __ 566 5 8. 5
-一--一-广”_ ___·一
000/“一m 2 I 2 I 567 I 567 I 9 I 567 I 9
71
7 I 590 556 ! 0 I 566. I I 10, 1
I j 577 557777 I I 21 I 577 I 21
『」/ll7o ::
0
9
/
0
595
2021 I巫^
3 596 38 598 7 40 7
::二一
3 + 37 595 7 37, 7
2 I 591 33 590 34
__ 55 59159 3 58589 0
气竺`片类 2-1-2 32 588, 8 32 8
2020 厂三:三 寸 一, 34 59] 6 35. 6
2
1
1
3
4 ]
I 会
财^
订
`务 -
学
俏埋 勹{
勹'~ 5
58
9
8
0 5
5
8
8
8
8
32 5
5
8
8
9
8 3
33
2
3035 中同劳动关系,享
三二/厂呻埋 ///三丿//三228
-555
~666i 677
I ~ ~;
勹勹/二 ::
-—
/
二一
2021
/ / / - /
8-6
536 535 535 7 8. 7
二/
3 l 54] 533 535, 7 8 7
2022
2 I 2 535 532 533. 5 6 5
- 1 2 |— 536 535 535. 5 8 5
01 思相政冶教育 i I I I 580 580 22 580 22
02 [商管理 ^ -^ ^ 1 ^— 2 - 578 568 10 573 15
2021 l-2-l-2-1
亡一一^ 0 03 4 - m~ 公 巾 八 场 事 芦 ^ \ 销 II,管 -… 理 , 』 566 5 5 6 6 5 6 5 5 6 6 8 6 1 8 0
01 尸思商想管政珅冶教育 567 567 11
2020 02 —2-
-+
576 571 5 15, 5
03 巾场营销 1 ^^ 566 566 10.
四、2020一2022年河南省普通高校招生本科一批分专业录取情况统计表(文科) 367 •
录取分数统计
专l“1I ^ ^ ~
最低分
年份 专业名称 公布计划 录取人数
代码 最的分 最低分 与分数 平均分
线差值 线差值
3175 北京印刷学院
05 新闻传播学类 4 4 560 557 30 558. 5 31. 5
06 传播学(国际出版实验班) 2 2 557 556 29 556. 5 29. 5
2022
07 编辑出版学(韬奋实验班) 2 2 563 562 35 562. 5 35. 5
08 T商管理类 9 9 555 536 9 551 2 24.2
~1书1 新闻传播学类 4 4 591 587 29 588 30
12 传播学(国际出版实验班) 2 2 591 588 30 589. 5 31. 5
2021
13 绢辑出版学(韬奋实验班) 2 2 593 593 35 593 35
14 i 工商管理类 8 8 587 584 26 585. 6 27. 6
09 新闻传播学类 4 4 587 585 29
l 585. 8 t--~306.
10 1 传播学(国际出版实性班) 2 2 587 586 586.
2O20
II 编辑出版学(韬奋实验班) 2 2 , 586 584 585, 29
12 工商管理类 -----"丛心% 一一 丛丛,丛丛`'`' 8 忍乏8 584 582 1/ 26 582. 5 26 5
3200 人津科技大学 巨·飞;一~ 宅/歹芯 '"',', `\ f,\凡夕扫
/ ~
13 金融学类 \ 尸 6 6 557 551 24 553. 3 26. 3
14 国际经济与贸易 .. · 3 3 t 548 547 20 547. 3 20. 3
15 法学类 6 6 562 553 26 558. 8 31. 8
I, 1 6歹 汉语国际教育 e,_ ` 8 11 559 531 4 546. 6 19. 6
l7 英语 9 9 560 552 25 554. 8 27. 8
尸 ,:· .1 ,8,, , ? R语;~序, 10 8 555 539 12 545. 5 18 5
------ ----
19 翻译 10 9 554 528 1 541. 9 14 9
20 财务管理 2 2 557 556 29 556. 5 29 5
21 人力资源管理 3 3 556 551 24 553. 3 26 3
22 公共事业管理 5 5 555 542 15 547. 6 20. 6
23 财务管理(中外合作办子) 6 6 548 544 17 546. 3 19 3
15 金融学类 5 5 595 592 34 593.4 35. 4
16 国际经济与贸易 3 3 592 591 33 591. 7 33. 7
17 法学类 8 8 597 593 35 594.4 36. 4
18 汉语国际教育 8 8 592 587 29 589. 8 31. 8
19 英语 7 7 592 591 33 591. 3 33. 3
2021 20 日语 5 5 593 587 29 589. 6 31. 6
21 翻译 7 7 593 i 587 29 589. 6 31 6
22 财务管理 3 3 595 595 37 595 37
23 财务管理(中外合作办幻 5 5 590 581 23乓 \583. 2 25. 2
24 人力资源管理 4 4 592 5飞9 言 32. 8
25 公共事业管理 4 4 592, 58 32
14 金融学类 4 勺?飞; 4:宅 ,590 58 33
15 国际经济与贸易 2 2 588 588 32 588 32
夕
16 法学类 4 4 590 588 32 588. 8 32. 8
17 汉语国际教育 3 3 、人587 587 31 587 31
丫、
18 秘书学 5 5 588 586 30 586. 8 30. 8
19 英语 \ \、~ 7 7 588 587 31 587. 3 31. 3
2020 20 日语 , s 夕~尸 5 5 588 585 29 586.4 30. 4
21 翻译飞夕`、`飞亡'一~护:了3 七/ 4 4 590 587 31 587. 8 31 8
22 财务管理 3 3 I 593 588 32 589. 7 33 7
23 财务管理(中外合作办学) 5 5 584 576 20 579.4 23.4
24 人力资源管理 2 2 588 587 31 587,5 31. 5
25 公共事业管理 3 3 587 585 29 586 30
26 行政管理 2 2 587 586 30 586.5 30. 5
27 会展经济与管理 2 2 587 587 31 587 31
3240 天津商业大学
07 经济学类 20 20 559 548 21 551. 4 24.4
08 法学 7 7 556 552 25 553. 3 26. 3
2022 09 英语 8 8 554 548 21 549. 9 22.9
10 日语 5 5 547 535 8 543. 8 16. 8
II 工商管理类 10 10 553 547 20 549.4 22. 4· 368 · 第三章录取统计
`;
录取分数统计
年份 专业名称 公布计划 录取人数 最低分 平均分
, 最的分 最低分 与分数 平均分 勹分数
l
线差伯 线差值
12 会计学 4 4 557 551 24 553 26
13 !财务行理 4 4 555 552 25 553. 5 26. 5
l4 公共管理类 10 JO 550 544 17 546. 6 19. 6
2022
15 !物流忏理 4 4 547 534 7 537. 5 10. 5
16 I 旅游管埋类 6 6 望7 547 20 547 20
17 会展经济勹管埋(卓越会展师实验班) 5 5 550 544 17 547 4 20. 4
/08—勹!经五济学类 20 20 594 586 28 589. 2 31. 2
-- - — -- 5 5 592 588 30~~ ? 589 8 31. 8
09 英语(应用翻译方向) 5 5 585 585 27 585 27
10 英出 6 6 589 584 26 586. 2 28 2
11 日语 4 4 587 583 2'i 584 3 26. 3
12 -『曲忤坪一类 12 12 588 584 26 585. 3 27. 3
2021
13 会计学 4 4 595 591 33 593 8 35. 8
14 财务管埋 5 5 588 587 [ 29 587. 6 29. 6
/\
15 乙六曰 砒 丿 气r 一 m 大 计, 9 9 590
一· ~
`583- 1I 一2百5 一 584, 7 26. 7
16 物沉管理 4 4 585 583, 5 25. 5
卜__ 17 , JJ氏、职、官埋~、'尖, 6 , 6 584 584 26 584 26
~
l8 会展经济与管理(卓越会展师实验班) 6 6 585 582 ! 24 583, 5 25. 5
'07 经济羊类 20 20 594 S81 25 584, 6 28. 6
08 法学 6 6 590 582 26 584, 7 28. 7
09 英语 ll 11 585 578 22 580. 4 24. 4
10 II语 4 4 581 577 21 578, 5 22. 5
11 工商管理类 ^· 14 l 14 585 578 I 22 579. 9 23. 9
2020
l
1132 !li
财
会
务
计
忤
学
理 5
4 4
5 5
5
9
9
5
0 5
58
8
0
2 2
2
6
4
5
5
8
8
6
4 2
3
8
0
'~^
14 公共管理类 9 9 585 578 22~ 579 23
-—
—「物旅~游流管管理理类--~ 4 4 580 577 l 21 578, 3 22. 3
1156 i
” ”~ 6 6 581 578 22 579 23
17 会展经济勹管珅 4 4 580 578 22 578, 8 22. 8
3280 河北师范大学
10 马克思主义理论类 2 2 564 559 32 561. 5 34. 5
11 中国语百义学类 2 2 559 558 31 558. 5 31. 5
2022 12 外国语言义学类 2 2 558 558 31 558 31
13 新佣传播学类 2 2 562 558 31 560 33
14 历史学类 3 3 559 558 31 558, 7 31. 7
05 马克思主义理论类 2 2 592 592 34 592 34
06 中国语曰义学类 2 I 2 601 '595 i 37 598 40
2021 07 外国语口文学类 i 2 2 607 596 i 38 601. 5 43. 5
08 新闻传播学类 I 二 2 I 2 593 59922 』i - 34 592 5 l 34. 5 -
09 历史学类 ! 3 3 595 5 34 593. 7 35 7
···~---...
03 马克思主义理论类 4 I 4 585 , 583 27 584 28
04 中国语巨文学类 8 8 588 , 584 28 585, 8 29 8
2020 0 0 5 6 外 斩 - 国 闻 -- 语 传 - 百 播 - 文 学类 学 ,丛丛口口 类 --- ` ~~ 4 5 ~? 4 5 5 5 8 8 9 4 i 5 5 8 8 3 7 2 31 7 5 5 8 8 7 3 3 8 `` 3 27 1 , . 3 8 ~
07 历史学类 6 6 588 i 584 28 585 7 29, 7
i
08 丁商管珅类 4 I 4 588 ___l_583 27 -- -585-.- 3- --~2-9 3
3310 华北理丁入学
01 护理学 :』. 5竺_ 6 533. 3 6. 3
2022 02 [商竹理
3
3
/4-
6
- -t-
535 8
·--——
53
—
5
-
.
- …
3
—
L
—-
8飞
03 公共半业忤理 3 3 534 533 6 533. 7 6. 7
01 护理学 3 3 567 564 6 565. 3 7. 3
2021 02 工商管理 2 2 574 571 13 572. 5 14. 5
03 i 公只事\[jr管珅 2 2 569 568 10 568, 5 10. 5
2020 01 耟息管理勹伈息系统 4 4 583 569 l 3 573. 3 17, 3四、2020-2022年河南省普通高校招生本科一批分专业录取情况统计表(文科) • 369 •
录取分数统计
年份 专 代 业 码 专业名称 公布计划1录取人数 笠i 平均分
二 最高分 最低分 平均分 与分数
线差值 线差值
2-2-2 2-2l2 33-34-32
561 560.5 33.5
55
制 的 593 592.5 34.5
制 蚐 590 589 33
5-8-10-11-12-21-18-15-13-19-19-19-16
2 532 532
2一 539 535.5
-
2022 2 538 537. 5
3一 546 538.3
-
2 - 541 539
2
582 519
飞
576
2021
573
571. 5
575
` 575
575
512
559-564-561-557-556-56362-5-3647--53550--52558--51583--53439--52683--52486--53514--25569--25516
1 1 5 3
- 1 - 1
呻竺与国际关系 - 2 2 一 5 2
04-05-0
醴
6-0
谥
7-0学
教
8-育09-10-11-12-13-14-15-16-17-18-
3 -
1一9-20-21-
3 4
-01-02-03-04-05-06-07-08-09-10-11-1
9
2-13-14-1-5-16
4 - - 4 3
颐 4 - 4 - 4 - - -7
- 1
昙 1 I 1 5 空-2
昙_ 1 - 1 一 I 1 - 2 6 33 8-
2022 归 毗 租 2 - 4 - 2 - 1 一 4 - 2 - 1 王 5 5 4 - 1 - 2 2 - 2
睬 丽 言 - 7 - 4 - 1 7 - 4 - 一 7 5 5 了 6 - 8 -
1 - 2
釭了g
9
2
5 1 4
畴g 4-16-38--40 三 -38-37-3-4-36-31-44-49-42-27-32-3533-32-35
妞三 4 5 -
5 3
596-598-600-602-559964--559986--559962--569052--569027--569040--558895--650920--6360073--650901--558950--569003- 593-591-590-593
1
印 l23444111124217 0
国謹 皇 1 - 2 - 5 』 - 6
一 5
汉 归 3 - 5 4 1
卢 4 - - 4
4 5
5 - 4 5 -
-
1 4
- 2
2021 1 5
- 3
1 7
西班牙语 1
西班牙语(中外合作办学)
1一
-
阿拉伯语 2 - - 』
4
日语 -
朝鲜语 2 - 5 - 5
1
意大利语 - 7 6 』
翻译
3
9
- 5
5
5 1
9
9
-
-
5
6
5
5
5
-
-
5
9
5
8
5
0
-
5
5 9
3
8
-
5
9
8
-
5
9
8
-
5
9
3
-
5
9
5
-
5
9
0
-
6
0
2
-
6
0
7
-
6
0
0
-
5
8
5
-
5
9
0· 370 · 第三章录取统计
录取分数统计
年 份 _ I , . 代 , 码 ,业 专业名称 公布计划 录取人数 I 最低分 平均分
最高分 最低分 与分数 平均分 与分数
线差值 线差值
17 商务英语 4 4 593 592 34 592 3 34 3
18 新闻学 I I 594 594 36 594 36
2021 19 巾场性销 I 1 590 590 32 590 32
20 财务管理 … "人人 一…斤 4 4 594 咖.589尸 ^ 31 591 尸--33 -
21 旅游管埋 2 2 592 589 31 590. 5 32. 5
>-----
01 夕-人i、{、J文 I千足七 I I 595 595 39 595 39
02 国际经济勹贸易 l l 593 593 37 593 37
03 国卧巾务勹国际关系 2 2 605 593 37 599 43
04 汉语言文学 贮^ ^ 3 3 593 589 33 591 l 35 ·
05 汉南国际教育 I I 589 589 33 589 33
06 央"户,m五 4 4 595 I 593 37 594 3 38. 3
07 俄申 2 2 596 594 38 595 39
0 0 8 9 彼 ,{L.,、J么 由 、扣上 1 1 l l 5 59 9 7 4 5 5 9 9 7 4 _. l 4 3 1 8 - 5 5 9 9 7 4 +-... 4 3 一 1 8
10 四班牙语 2 2 599 589 33 594 38
2020
II 阿拉伯语 2 2 591 591 35 591 35
12 日语 4 4 603 599 43 600. 3 44, 1
--------
13 朝鲜诏 2 2 600 591 35 595 5 39, 5
14 意人利语 I 1 597 i 597 41 597 41
15 翻译 4 4 40 597 41
59982 1} 596
l 6 商务英哥 II 4 4 5 583 27 588 3 32, 3
17 斩同学 --} l 产3.+!-593 37 593 37 -—
18 市场营销 -— I 583 583 27 583 尸- 27
1 +
旅财务游管管坪理 4 592 583 27 589 33
2109 - 24
2 5^9^2 上I 583 21 587 s 31 s `
俨俨
,
俨俨石俨 俨俨mm 3665 长春中尪药入孕
2022 : 0 ll 1 2 —/ 勹 1 针 中 负 医 怢推 学 儿 ( f拿^1 学 ` 学 制 (学制 5 ^ 年 ^ ) 5 I,卜) I 3 3 - --尸-心人 3 3 _ _ _ 5 54 中 6 l 仁- 5 5 4 4 · 3 2 1 1 5 6 5 54 4 3 3 , 3 3 F——- 1 1 6 6 3 3 --—
03 学(学制5年) 2 2 545 542 15 543. 5 16, 5
01 针炎拚拿学(学制5年) 3 3 575 i 57 1 13 572 7 14, 7
2021
()2 |针中1关矢儿科学(羊制5什) 2 2 576 I s71 13 5 7 `}.5 15 5
01 推拿学(学制5年) 3 3 569 563 7 565. 7 9 7
2020
02 ]中区儿科学(羊制5年) ! 2 2 583 i 574 18 578 5 22. 5
3690 ,片林财经大学
ii —3 --—
01 i.经^济学 __m 3 547 1 -5 -4 5 18 545 7 I 8. 7
_ 0_2 l Il 税收学 - --』 2 2 550 550 23 550 23
03 金恐学 :' 3, 3 545 !, 545 18 545 18
- 04 .二法归学否济勹贸易- 2 2 546 544 17 545 18
05 ~ ~.一L! - 2 +2 549 , 548 2 · 1 · S48. S 21 5
06 英由 3 3 546 545 18 545 7 18 7
l.
2022 0 0 7 8 三l 商忤产即 - 2 2 2 2 5 5 4 5 3 0 - L 5 5 .一4 4 .7 3 2 1 0 6 , 5 5 4 4 8 - 3 · 5 2 1 1 6 5
- ^
09 会计学 3 II 3 ,I 548 545 18 547 20
I
10 人力资阶管押 3 I 勹 1 543 16 544 3 17. 3
32 ,;i 55-4 9 I~ I~
I ll ,, l i计学 2 547 20 548 21
12 行政管理 2 I 2 544 543 16 543 5 16. 5
i 13 金叫罕(中外合什办学) 3 3 537 534 i 7 536 9
会计学(中外合作办学) 2 i 2 5 53 4, 5 7. 5
I 1154 -- - - I 553312 II!
电子^商务.(中外合作办学) 2 2 532 4 531. 5 4 5
经济学 3 飞 598 582 i 24 590, 7 32. 7
_J
02 财政学 2 2 583 5838 25 583 25
03 税收学 ”“”“俨人 :人人 2 2 591 58 30 589. 5 31. 5
2021 04 金陌学中外合作办学) 2 2 573 573 15 ! 573 15
l ~ --- -- -
05 国际经济勹贸易 2 2 584 581 24. 5
23 /I,, 5 588 2.5
06 法学 2 2 588 585 27 6. 5 28 5
07 央',,)、什 i 3 3 581 i 580 22 1 580. 3 22 3四、2020一2022年河南省普通高校招生本科一批分专业录取情况统计表(文科) . 371 ·
录取分数统计
专业 最低分! 平均分
年份 妇W名称 公布计划 录取人数
代码 最高分 最低分 勹分妏 1'灼分 与分数
线方值 线差值
--~
08 日泊 2 2 585 585 27 i 585 27
09 朝鲜出 2 2 579 579 I 21 579 21
10 广告学 i 2 2 586 580 22 583 25
11 Ti商管理 2 2 581 581 23 581 23
12 会计学 3 3 592 588 30 590 32
,~/)`'^勹“1易 13 会计学(中外合作办学) 2 2 572 57? 14 572 14
14 财务管理 2 2 580 580 22 580 22
15 人力资源管理 2 2 581 578 20 579. 5 21 5
16 审计学 2 2 588 581 23 584. 5 26. 5
17 行政管理 2 I 2 579 578 20 578 5 20.5
18 跨境电子商务 2 2 583 江`579 2] 581 23
01 经济学 3 3 584 4;产`仁\口5·,仁82 26 583 27
02 财政学 2 2 ; 二勹上`亡,4尸',,^节二 编夕`才L夕5气81 b':' 亡竺俨芒匈 25 581 25
03 税收于 --r圣气 2 I 2 " 二沉5 585 29 585 29
04 金融学 '1 1 582 582 26 582 26
05 金融学(中外合作办学) 2 2 575 575 19 575 19
06 保险学 ,卢 ',月2, 2 580 580 24 580 24
07 •, 国际经济与贸易 2 2 583 582 26 582. 5 26. 5
· 08 法学 2 2 579 579 23 579 23
',0 9 英语 ' \.- 3 3 583 578 22 580 24
2020:
vi i, 1 l 1 1 0 心\' \;: 朝 11 解 语 出 l 2 2 2 2 5 57 7 8 9 5 5 7 7 9 8 2 2 3 2 5 5 7 7 9 8 2 2 3 2
12 广庄「7严子 ! 2 2 581 580 24 5 8( ), 5 24.5
13 丁商管理 2 2 582 581 25 581 5 25.5
14 会才学 3 3 585 584 28 584. 3 28. 3
15 会汁学(中外合作办了) 2 2 574 566 10 570 14
16 财务管理 I l 586 586 30 586 30
17 入力资源管理 2 2 583 579 23 581 25
18 审计学 1 I 579 579 23 579 23
3695 黑龙江大学
OJ 法学 7 7 568 563 36 564. 7 37. 7
02 政治学与行政学 ! 7 7 562 552 25 556. 1 29.1
03 社会学 12 12 558 547 20 5荨52 6 二了25,6
04 权冶"文学 4 4 564 559 32 560.
2022
05 汉语日卧教育 10 10 558 548立, 21 552
06 翻译(俄语) 2 2 曰562它 5;5了5 26 557 , 30
07 商务英谄 11 1 1 f l 3 549. 5 , _,22.5
08 行政管理 t 3, 3夕 . 平 4 27 558 31
5 ,,
01 法学 5 609 597 39 602.2 44. 2
02 政治学与行政学 ,, 7 8 595 589 31 591. 8 33. 8
`'
03 社会学 \ -5 尸已 6 591 588 30 589.2 3l. 2
04 汉语言文学, 3 3 597 595 37 596. 3 38. 3
2021
05 汉语国际教育 10 10 594 587 29 589. 8 31. 8
06 外国语言义学娄 3 4 597 594 36 595 37
07 商务英治 9 9 596 589 31 592. 4 34.4
08 行政节现 3 3 596 593 飞5 594. 3 36. 3
01 法学 4 4 592 589 33 !,, 590 34
02 政治学与行政孕 7 7 593 582 26 I s86 30
03 木1会冲 s 5 589 582 26 I 585 2 29.2
2020 04 汉语言文学 6 6 591 588 32 589.3 33. 3
05 汉语国际教育 10 10 589 582 26 585. 1 29. 1
06 商务英语 9 9 589 583 27 587 31
07 行政管理 5 5 589 585 29 587 31• 372 · 第三章 录取统计
录取分数统计
专业 .
最低
.
分 平均分
年份 代码 专业名称 公布计划1录取人数
最高分 最低分 与分数 平均分 与分数
飞 线差值 线差值
`
3705
4-5-8-3 540-547-541-533
4 534.5 7.5
5一 535.4 8.4
2022 -
8 - 533.9 6. 9
3
勹 531 4
3725
3-1_4-2-8-2-4-2-l-2-2-8-3-2-2-2-2-1-2-2-8-2l2-2-2
5 1
1
荨院
院
)
)
学
学
共
)
归
4 9
”合学劂
2022 “合院 -
院" 如6
1 ) 1
共 共 劂 - 5 - 5 - _8
1 ) 学 ) 2 5 4 空2-
院
院
) 』
-
4
1
21
1
-
2 』 院) 582-581-582-584-579-58 1 1-582-579-598 4 0-579-577-5一71 86-576-585-579
2021 1 - - 5 军 - -2-
i 3 - 5 - 211
3 幸
2
- 2 -
髻5
5
巴
3
2
4 7
2 57 _
- -
1 言 i 2 - 1 - 2 - 8 89 4 5 主 - 2 2 5 1 5
4 2 0- 1-
2020 8 - 一 1 -5 5 2 -
2 1
1 - 4
2
-
57 3
4
2
- 4 -
『5 - 2 89
叩 - 2
0
』 1-
3
二2022
1 -5 -
邱
9 5 58 2
3 1 4371. 3
13-21_8-15-5-15-17-7-34-28-27-25-30-14-25-27-26-24-24-31-11-25
『今刮8厂灭, I* -
0 器 7 13_4-8-1 53 2 9 -5 _ 2-34-28-125-23-27-11-19-27-26-24-23-27_6-24
2022 1 』 噩 53 5 2 4 - 5. 2 7 9
1 1
550-548-5詈40-592-586-587-585-593
5
-
4
5
2
8
5
1
.
-
8
5 89-583-58
-
2-581-582-594-573-583
一 9 544 8 . 8
4
1
办
办
7-1-1-3-2-5-7-7-2-1-2-3-4-6-5 5347
0
. 7 1
办 5 592 9
5 1 9 2 - 5 58 89 - 5 6 -
2021
-
58- 53 2
588.2
0 2 三 学 学 中 中 力 力 们 作 5 8 5 5 5 7 8 2 5 7 7 3 . 9 0 -
1 6 5893
2
- 5872
4 3 5 580 - . 5 7
2020 _8 7 580- 5 . 7 -
587. 3
0
H 、,', 知
一
5
6
3
-
5
5
6
8
7
1
5
7
8.
.
5
4
2
2
B 2 5 8 0
- 8 5
5
1
` 51
8- -
6
05 -
5
0 8
5 7
1
-
6 5 5 5
0
6 -
9
0 1 了 5
- 7
5 7
1 7
7 6
7
9
1 - -
5
0 5
2 8
3 - 8
1 -
8 严 3
5
3 8 -
5
2
0
- 5
1
5
7
5 4 8 8
0 8
-
1
5
0 己
7 1
5
9
6
1
-
6
0
5
7
7
0
8 9
0
-
9
5
1
8
0
0
0
4 -
0
5
5
8
0
0
6
-
0
7 5
0
7
8
9
0
-
9
5
1
0 7
8
-
5
7
6
-
5
7
3
-
5
7
5
-
5
7
6
-
5
8
1
-
5
7
7.
四、2020—2022 年河南省普通高校招生本科一批分专业录取情况统计表(文科) 373 •
哀取分数统计-
专业 枭低分' 平均分
年份 专业名称 公布计划 录取人数
代码 最高分 最低分 与分数 平均分 与分数
线差值 线差值
3835 南京中医药大学
中队学(中医袚尖创新人才培养模式改
01 l 1 592 592 65 592 65
革,5+3一体化,学制5年)
02 中佚学(学制5年) 6 6 587 583 56 584. 7 57. 7
2022
03 中医康复学(学制5年) 3 3 582 578 51 580. 7 53. 7
04 护理学 6 6 578 569 42 574. 7 47. 7
05 养老服务管理 4 4 577 569 42 572. 8 45. 8
01 食品卫生与营养学 4 4 609 605 47 607. 3 49. 3
02 中俟学(5+3 -体化,学制5年) I I 619 619 61 1 619 61
2021 03 中医尿复学(学制5年) 4 4 613 610 52 I 612 54
04 中西佚阶床佚学(学制5年) 3 3 616 \{i,13 I 55 614. 3 56. 3
05 护理学 8 勹曰:<它言飞权的的4 3 I 46 608 50
01 中[入字(本仰连读.5+3一体化,学制5年) 1 47 603 47
2020 02 中偌康复学(旁制5年) 炉3 2 2 : 三三2;;:598 597夕 41 597 5 41. 5
03 中西医临床医学(学制5年) 夕: 4 4 602 , 597 41 599. 5 43. 5
04 护理学 s/ - ?一 l~ 9 9 596 591 35 593 37
3860 汀苏泡洋大学 ,沁;- t
05 国际经济与贸易 6 6 542 540 13 541 14
2022
\ -06' :_ 汉语言文学 3 3 544 541 14 542 15
t . 07 国际经济与贸易 3 3 566 566 8 566 8
202L
\ ,千,.,卞O`! 1 b 3 \ ~ ~ `汉语言文学 |' 3 3 572 569 I 11 570. 3 12. 3
3880 南京工程学院
02 国际经济勹贸易 3 3 550 547 20 548 21
03 衬会工作 4 4 552 546 19 549 22
04 俨息管埋勹信息系统 3 3 549 546 19 547. 3 20. 3
2022 05 会计学 4 4 550 548 21 549 22
06 财务管理 3 3 548 548 21 548 21
07 劳动与社会保障 4 4 547 545 18 545. 8 18. 8
08 物流管理 4 4 547 545 18 546 19
02 国际经济与贸易 3 3 586 580 22 582.3 24. 3
03 社会工作 3 3 580 579 21 579.3 21. 3
04 工程管理 3 3 580 579 21 579. 7 21. 7
2021 05 工程选价 3 3 585 581 23 5三81 "享芞 25
06 会计学 3 3 582 580 22
07 财务管押 3 3 583 58巨 23
08 劳动与籵会保幛 3 3 王57,6岂卢 20 578. 3 二王~20;3
09 物流符理 3 3 :宁~ 20 578''sl \丛'3'沪2O
01 国际经济与贸易 5 5尸 575 Is 19 575. 2 19. 2
02 社会工作 -4它 4 581 572 16 574. 8 18. 8
03 信息管理与信息系统 5 5 577 574 18 575 19
04 丁程造价~_} l ~_蠡;?::“ ^ \ `, 5、了 5 578 572 16 575 19
2020 05 市场营销二·.,.-,· 5 5 574 572 16 573 17
06 会计学1 5 5 577 574 18 575 19
07 财务管理 4 4 576 573 17 574 5 18. 5
08 劳动与杆会们障 6 6 576 571 15 573 17
09 物流符珅 5 5 590 571 15 575. 2 19.2
3890 苏州科技大学
09 金剖_丁程 2 i 2 559 551 30 I 55s 31
10 籵会l仆 3 3 557 555 28 555. 7 28. 7
11 思想政治教育(师范) 4 4 563 556 29 558 31
12 汉语言文学(师范) 2 2 562 560 33 561 34
2022 13 汉语国际教育 3 3 561 557 30 558. 7 31. 7
14 英语(师范) 2 2 558 557 30 557. 5 30. 5
15 日语 4 4 557 555 28 556 29
16 广播电视学 4 4 556 556 29 556 29
17 历史学(师池) 3 3 559 557 30 557 7 30. 7· 374 · 第三章录取统计
录取分数统计
专业 最低分 平均分
年份 专业名称 公布计划 录取人数
代码 最扁分 最低分 与分数 平均分 与分数
线差值 线差值
18 上商管理 2 2 557 555 28 556 29
19 财务管理 2 2 562 562 35 562 35
2022 20 劳动与计会保障 2 2 555 555 28 555 28
21 物流管理 2 2 559 555 28 557 30
22 旅游忏理 2 I 2 555 554 27 554. 5 27. 5
09 金融工程 2 ! 2 595 593 35 594 36
10 社会上作 3 3 591 590 32 590 7 32. 7
11 思想政治教育(师范) 4 4 594 591 33 592 34
12 汉语百文字(师范) 2 2 596 593 35 594. 5 36. 5
13 汉语国际教育 3 3 592 591 33 591. 7 33. 7
14 英语(师范) 4 4 594 592 34 592. 8 34. 8
15 H语 4 4 594 591 33 592. 3 34. 3
2021
16 广播电视学 2 2 597 596 38 596. 5 38. 5
17 历史学(师范) 3 3 592 591 33 591. 3 33. 3
18 丁商管理 2 2 595 591; 七` - 33 593 35
咚
19 财务管珅 ,~ 2 2 5~~ 9夕~3' ~: _ 592 34 592 5 34.5
20 劳动与社会保障 2 2 591 590 32 590, 5 32.5
I i, : 'c虚:: 2 2,2 L 一 一- C一-,' ,; : } 物 旅 流 游 管 管 理 理 .. 二 乙 ~; _了,二 ) #, 仁 2 2 | 2 2 I I s 5 9 91 0 5 5 9 9 0 0 3 3 2 2 59 5 0 9 . 0 5 3 3 2 2 .5
,- ~ !\ m-“08二 金融I-程- 2 2 i 587 585 29 586 30
了
\'09'··尸~ 社泾宁1仵 2 2 '584 584 28 584 28
10 思想政治教育(师范) 2 2 591 585 29 588 32
11 汉语丙文学(师范) 2 2 587 585 29 586 30
12 汉语国际教育 2 2 586 585 29 585. 5 29. 5
13 英语(师范) 2 2 586 585 29 585. 5 29. 5
14 英语 2 2 588 587 31 587. 5 31. 5
15 日语 2 2 ! 587 584 28 585 5 29. 5
2020
16 广播电视学 2 2 588 585 29 586, 5 30. 5
17 历史于(师范) 2 2 588 583 27 585. 5 29. 5
18 工商管理 2 2 586 586 30 586 30
19 财务符珅 2 2 - - 592 589 33 590. 5 34. 5
20 人力资府管埋 2 2 585 585 29 585 29
21 劳动与社会保障 2 2 583 583 27 583 27
22 物流管理 2 2 584 583 27 583. 5 27. 5
23 旅游管理 2 2 583 583 27- -- 583 / - 27
3960 浙江传媒学院
37 广播电视学 2 2 559 555 28 557 30
2022 38 编辑出版学 2 2 , 554. 554 27 '554 27
39 文化产仲管理 5 5 564 552 I `~ 25 556. 2 29. 2
4010 浙江科技学院 炉'~; ~、
01 英语 _ 3 3 546 543 16 544. 3 17. 3
2022
02 工`商\管理类 -,n 呈\' 6 6 550 543 16 544. 7 17. 7
2021 01 邓趴文学 g C;.仁~ 3 3 585 577 19 581 23
02 汉语言文学 乏 3 3 570 568 12 569 3 13. 3
2020 03 英语 6 6 570 565 9 566. 7 10. 7
04 工商管理类 6 6 567 565 9 566 10
4025 浙江农林大学
01 国际经济与贸易 I 1 555 555 28 555 28
02 法学 3 3 566 559 32 562 35
03 汉语百文学 2 2 558 557 30 557. 5 30, 5
04 英语 4 , 4 559 555 28 556 5 29. 5
05 广告学 1 1 556 556 29 556 29
2022
06 工商管理 2 2 556 555 28 555 5 28. 5
I.Y7 会计学 l I 556 556 29 556 29
08 文化产\W管押(茶文化) I 1 I 551 557 30 557 30
09 衣林经济管珅 飞 3 556 553 26 554 7 27. 7
10 城市管理 2 2 553 552 25 552. 5 25 5.
四、2020—2022年河南省普通高校招生本科一批分专业录取情况统计表(文科) 375 •
求取分数统)1
专业 最低分 平均分
年份 仁业名称 公布计划 录取人妏
代码 最高分 最低分 勹分数 平均分 与分数
线差值 线差值
01 国际经济气贸易 I l 589 589 31 589 31
i
02 法学 4 4 594 590 i 32 591. 5 33.5
03 汉语言文学 2 2 589 588 30 588. 5 30. 5
04 英语 4 4 590 588 30 588. 5 30. 5
05 广告学 I 1 590 590 32 590 32
2021 06 丁商管理 2 2 590 589 31 589.5 31. 5
07 会计学 l 1 591 591 33 591 33
08 文化产业管理(茶文化) l 1 588 588 30 588 30
09 农林经济骨理 l l 588 588 30 588 30
10 城市管理 I I 588 588 30 588 30
11 旅游管理 l 5 归 30 588 30
l 588 ~CS88 ;
01 国际经济与贸易 l 24 580 24
02 法学 5 26 584. 8 28. 8
0 0 3 4 汉 英 末 语 百文学 s尽i /俨 ~; ~ ~6 2 飞~、: 6 2 589 579 ,` 2 2 3 6 i 58 5 1 8 . 2 7 2 2 5. 6 7
05 广告学 1 l 580 580 24 580 24
2020 06 丁商管理 ,一 ~ ~ ..) 5 ,5 581 579 23 579. 6 23. 6
07 ~ ~ 会计学 1 1 585 585 29 585 29
08. 文化产业管理(茶文化) 1 1 579 579 23 579 23
09' 农林经济管理' 1 1 586 586 30 586 30
.'忒1,0、` \城巾管卉 1 l 590 590 34 590 34
4040 湖州师范学院
01 思想政治教育(师范) 5 5 546 545 18 545. 4 18.4
02 小学教育(帅范) 2 2 548 547 20 547. 5 20.5
2022 03 中国语言文学类 4 4 548 546 19 547 20
04 英诸(师范) 3 3 549 547 20 i 548. 3 21. 3
05 历史学(师范) 2 2 546 545 18 545. 5 18. 5
01 思想政治教育(师范) 2 2 576 576 18 576 18
02 小学教育(师范) 3 3 584 576 18 579. 7 21. 7
2021 03 中国语百文学类 4 4 580 577 19 577. 8 19. 8
04 英语(师范) 3 3 584 579 21 581 23
05 历史学(师范) 2 2 579 576 18 577. 5 19. 5
01 思但政治教育(帅池 2 2 580 577 21 三-·-一妇-立5
02 小羊教育(师范) 2 2 570 570 14 578 ? /
2020 03 中口语言文学生 4 4 574 57:\;乌 15
04 英语(帅范) 2 2 57t:: 15
05 历史字(帅也) 2 2', 3 5 570 14 574. 5.,''✓18. 5
4055 杭州师范大学 `干 飞了 “
02 经济学 4 4 566 563 36 565 38
03 金融工程 ,- 2 2, 563 562 35 562.5 35. 5
04 法学 '',尸',,,'·· ,尸'气',,.、,`',户,了亡,,,.:'',', \ , ' \ 1 8 8 568 561 34 564.6 37. 6
05 社会工作~ 4 4 560 532 5 541. 5 14. 5
06 汉语国际教育 1 1 561 561 34 561 34
07 日语 2 2 565 561 34 563 36
2022
08 朝鲜语 ! 2 2 554 530 3 542 15
09 国际商务 6 6 560 530 3 548 21
·····I..
10 文化产叶管埋 5 5 561 531 I 4 537. 6 10.6
11 公共书叶管狸(卫牛事业管理方向) I 1 559 559 32 559 32
12 行政竹珅 i 8 8 561 543 16 554 27
13 健康服务与管理 l 1 537 537 10 537 10
02 经济学类 4 4 608 602 44 604. 5 46. 5
03 法学类 6 6 610 604 46 606.3 48. 3
04 中国语言文学类 7 7 610 603 45 605. 7 47. 7
2021
05 H语 3 3 604 599 41 601 43
06 朝鲜语 3 3 599 598 40 598. 7 40. 7
07 翻译 4 4 608 601 43 604. 3 46. 3· 376 • 第三章录取统计
录取分数统计
专寸l, 最低分 平均分
年份 专业名称 公布计划 录取人数
代码 最高分 最低分 与分数 平均分 与分数
线差值 线差值
08 国际商务 4 4 602 599 41 600 42
09 义化产业管理 4 4 602 598 40 599. 8 41. 8
2021
10 公共忤理类 2 2 601 600 42 600 5 42. 5
11 电子商务 6 6 602 598 40 600, 2 42.2
04 经济学类 1 I 599 599 43 599 43
05 法学类 3 3 609 600 牡 603 47
06 社会学类 5 5 598 597 41 597. 6 41. 6
2020
07 中国韬言义学类 5 5 601 598 42 599 43
08 外国语言文学类 4 4 600 598 42 598. 8 42. 8
09 护珅学 1 1 597 597 41 597 41
4060 浙江工商大学
01 经济学类 5 5 - 575 571 44 572. 8 45. 8
02 经济统计学 1 1 •. .. • 578 578 51 578 51
03 保险学 1 I : 1 566 566 39 566 39
04 社会1作 占, 令: 1 I 567 1 %7 40 567 40
2022 05 阿拉伯吾 3 3 564 558 31 561. 7 34. 7
夕 长
06 新闻传播学类 上· 1 l 571 571 44 571 44
, -\,. {O.,7飞, / ~~..-,~ ./ . 1工商骨珅类 ••• , • :, ''. 八士:/上\~ \ 飞~. l 1 571 571 44 571 44
/\ 阳广。8一二 会计学 I l 575 575 48 575 48
i\ _,; 飞'`}勹 _.~J咖0二9`~'\, 公共管理类 5 5 570 563 36 565 8 38. 8
01 经济学类 1 I 612 612 54 612 54
02 经济统计学 1 1 617 617 59 617 59
03 保险学 1 1 608 608 50 608 50
04 村会工作 1 1 608 608 50 608 50
2021 05 阿拉伯语 1 1 608 608 50 608 50
06 新闻传播学类 1 I 609 609 51 609 51
07 工商管珅类 I j 611 611 53 611 53
08 会计学 l I 612 612 54 612 54
09 公共管埋类 3 3 605 601 43 603 45
01 经济学类 1 l 604 604 48 604 48
02 经济统计学 2 2 609 604 48 606, 5 50. 5
03 金融学类 2 2 606 605 49 605.5 49. 5
04 保险学 2 2 602 600 44 601 45
2020 05 社会工作 1 1 601 601 45 601 入 , ~ ~ 45
06 阿拉伯语 1 1 601 601 45 601 45
07 新闻传播学类 I 1 606 606 50. 606 50
08 会计学 1 l 608 608 52 608 52
09 公共忤埋类 气咖~·,夕俨·., 2 2 601 600~~ _ ` '44 600. 5 44.5
4065 浙江财经大学 冬~于了 产勹勹~ 夕、气..\ 夕夕?'
01 财政学尖 气,勹 夕,: I ---- --- l -- 575 575 48 575 48
02 金融学类 §泛,才~c 哼--. 2 2 572 · 571 44 571 5 44.5
03 经济与贸易类 `乒夕~ \ 于~飞. 2 2 574 571 44 572 5 45. 5
04 法学类 心孕 I I 566 566 39 566 39
05 外国语言文学类 1 2 564 563 36 563. 5 36, 5
06 新闻传播学类 1 1 569 569 42 569 42
2022 07 建筑类 1 1 566 566 39 566 39
08 工商管理类(财会类) 5 5 569 560 33 564.4 37. 4
09 公共管理类 1 1 560 560 33 560 33
10 电子商务类 1 1 565 565 38 565 38
11 金融学(中外合仵办学) 1 I 557 557 30 557 30
12 市场营销(中外合作办学) 3 3 556 553 26 554 27
13 会计学(中外合仆办学) 1 I 566 566 39 566 39
01 财政学类 l 1 607 607 49 607 49
02 金融学(中外合作办学) I I ! 597 597 39 597 39
2021
03 经济与贸易失 1 l i 609 609 51 609 51
04 法学类 1 1 609 609 51 609 51.
四、2020—2022 年河南省普通高校招生本科一批分专业录取情况统计表(文科) 377 •
录取分数统计
片业 最低分
钉份 乓业名称 公布计划 录取人数
代码 最皊分 最低分 与分数 平均分 勹分数
线差值 线差值
05 !外匡语言文学类 1 l 604 604 46 604 46
1
06 !斩同传播学类 1 l 607 607 49 607 49
2021 07 建筑类 I I 607 607 49 607 49
08 市场营销(中外合作办学) 3 3 596 575 17 587. 7 29. 7
09 公共管理类 1 1 605 605 47 605 47
111 财政学类 1 1 598 ,()8 4? 598 4?
02 金剧学(中外合作办学) 1 1 594 594 38 594 38
03 经济与贸易类 I I 600 600 44 600 44
04 !法学类 I l 599 599 43 599 43
2020 05 i 外国语言文学类 l 3 597 597 41 597 41
06 新闻传播学类 1 1 599 599 43 599 43
07 建筑类 1 1 597 597 41 597 41
08 市场营销(中外合作办学) 3 3 590 589 33 589. 7 33 7
09 公共管理类 I 2 598 597 4l 597. 5 41. 5
4090 安徽农\Iv入学
01 I 法学 3 3 552 543 16 547. 7 20, 7
02 I 衬会工作 3 3 545 543 16 543. 7 16, 7
2022
03 英语 3 3 549 543 16 545 18
04 法语 3 4 543 541 14 541. 8 l4. 8
01 从学 2 2 576 573 15 574. 5 16 5
,"--- 02 社会l作 ~ 气 I 一··尸气·`?· 2 ·一 ·一 2 - -- 572 572 i 14 572 ---- - - 1 -- 4 - --
2021
03 英沿 2 2 572 571 | 13 571. 5 13 5
04 法话 2 2 572 571 13 571 5 13. 5
01 法学 2 2 571 564 i 8 567 5 11. 5
2020
02 杀学(朵文化与贸易) 1 I 579 579 23 579 23
4100 安徽帅范大学
02 法学 2 2 560 560 ! 33 560 33
03 补会学类 2 2 561 561 I 34 561 34
04 思拒政治教育(师范) 2 2 563 562 35 562. 5 35 5
05 中国语言义学类 2 4 565 562 35 563. 5 36 5
十一一一一一一 一一一一一一- - - 汉中百文学(帅范) .....咖.. 06 2 2 566- - 565 I 38 565才5 38. 5
2022 07 斩闻传播学类 2 2 564 s62 I 35 563 36
08 人力资阁眢理 2 2 559 558 ! 31 558. 5 ,?? ·一- 31 - - 5 - --
09 行政管珅 2 2 561 557 引O 559 32
10 士地资源眢理 2 2 558 558 I 31 558 31
l ll • · · 气供应??链·• 管.~· · ? 理 • • 2 --- 2 -- - -------- 561 558 I 31 559. 5 32 5
12 旅游罚珅 2 2 557 卜一557
i
!i 30 557 30
01 纾济学类 2 2 593 589 31尸· 591 33
02 法学 2 3 592 590 32 591. 3 ,. 33 3
03 社”思“会想-政平-类冶-“教”育… 师m-”池“ 2 2 591 590 32 590. 5 32, 5
04 m - m “ -( ” -m ) - 4 4 593 590 飞2 591 5 33 5
05 教育学类(帅范) 2 3 594 591 33 5 9 2. 3 34. 3
06 中国语言义学类 2 2 596 595 37 595 5 37 5
07 汉诏言文乍(师范) 2 2 594 594 36 594 36
2021
08 新闻传播学类 2 2 594 593 35 593. 5 35. 5
09 丿力史学(帅范) 2 2 593 590 32 591 5 33. 5
10 世界史 2 2 591 590 32 590. 5 32 5
11 丁商管埋尖 2 2 592 590 32 591 33
12 行政管理 2 2 591 591 33 591 33
13 十地资源忏理 2 2 589 589 31 589 31
14 旅游管理 2 2 590 589 31 589. 5 31. 5
..
I 0 01 2 礼 思相 会 政 学 治 类 教育(师池) ---· - - 3 2 -丛 一一 人~ 2 3 --- 5 5 8 8 7 9 5 58 8 7 6 ! I, 3 31 0 5 5 8 8 6 7. . 5 7 3 30 1 , . 5 7
2020 03 学前教育(师范) 2 2 587 586 30 586. 5 30 5
l”^
04 中国才,于文学类 2 3 591 589 33 590 34
,^ …
05 新闻传播学类 2 2 591 588 32 589 5 33. 5· 378 · 第三章录取统计
录取分数统计
公,们计划I哀取人数
专\llr 最低分 ,I'均分
牛份 炉II,名称
代码 取自向占·分 最低分 与分数 平均分 与分数
I 线方伯 线汇值
06 朸史学类 3 3 588 587 I 31 587 7 31 7
07 丁的管捚类 2 2 588 s88 I 32 588 32
2020
08 行政管理 2 2 587 'i87 31 587 31
09 旅游符理 2 2 587 586 30 586 5 30 5
4125 安徵建筑大学
07 经济羊 L l I 547 547 20 547 20
08 法勹令 l l I s40 540 13 540 13
i
09 丁程造价 1 ! I 1 s48 548 21 548 21
10 会计学 I i l I 549 549 22 549 22
2022
11 财务管埋 1 i l ! s42 542 i! 15 542 15
12 资产评估 I | I I s41 541 ! 14 541 14
13 劳动与补会保障 1 1 ,I 542 542 15 542 15
'
14 上地资府管理 l 1 I 541 541 14 541 14
08 经济学 I l 1 576 576 18 576 18
09 法; I I I I 575 575 17 575 17
10 丁程造价 1 I 581 581 23 581 23
11 会计学 1 } l I 575 575 17 575 17
2021
12 财务管理 1 l i 574 574 16 574 16
13 赉产评估 1 , I I s16 576 18 576 18
14 劳动勹社会保障 1 ! 1 I 573 573 15 573 15
15 土地资阴符埋 1 ! I I 573 573 15 573 15
08 夕仁又,_,,们了文上产 1 I i 571 571 15 571 15
09 法学 I I i 576 576 20 576 20
10 工程造价 1 1 i 576 576 20 576 20
II 会计f产 1 ! I 577 577 21 577 21
2020
12 财务忏垀 l | 1 575 575 19 575 19
13 资丿1,讨估 1 I 573 573 17 573 17
14 劳动勹社会保障 1 I 571 571 15 571 15
I'i 土地资拊笥押 l l 572 572 16 572 16
4195 福建衣林大学
2022 01 农业经济恓郖类 2 ! 2 543 538 11 540, 5 13. 5
2021 01 农业经济管郖类 2 | 2 574 573 i 15 573. 5 15. 5
2020 01 农-.11,经济管埋尖 2 2 570 554 -2 562 6
---
4200 福建医科大学 -U
01 礼会1作 3 3 ! 542 537 IO 538 7 II 7
2022 02 运动/隶复 2 2 547 537 10 542 l 5
03 公共-卜业悄理 :1 3 543 5:16 9 539 12
01 礼会 1.作 ___ __________.ti - 3 2 3 - 57 - 7 - 5 -- 7 -- 0 -- - -- - 12 - -- 574, 3 16 3
02 应用心理学 2 595 580 22 587. 5 29气
2021 03 护理学 I 3 3 574 572 -- 14 573 15
04 助产学 2 2 ` ` 571 ` `` ` - - 571 - 1- - 13 编-` ` 571 13
05 公共串1阴性珅 3 3 572 570 12 571 13
01 社会工仵 3 3 576 571 15 572 7 16, 7
2020
02 公共事业管理 4 4 572 56飞 7 567飞 11. 3
4205 伽建师范大学
06 经济学 ! 3 3 567 565 38 566. 3 39 3
07 !金惯学类 4 4 566 560 33 562. 8 35, 8
------0-8---7 忱语 3 3 566 565 38 565. 7 38. 7
! 09 Ii治 3 r} 562 : 560 13 561 34
2022 I , JIO 1 副 历史 译 学^(^帅~池^^^^) 6 2 6 2 5 5 6 67 5 s 5 c 6 ,o 7 4 33 0 5 5 6 6 1 7 3 一 ~ 34 4 . 0 3
12 地珅科羊(帅范) 3 3 566 563 36 564 3 37 3
--------- ---- ------ ----------------
13 心珅学类(师范) 3 3 565 563 36 563_ 7 36. 7
14 丁商竹珅类 2 2 567 559 32 563 36
15 学前教台(中外合作办学,师范) 8 8 556 531 4 539. 9 12 9.
四、2020-2022年河南省普通高校招生本科一批分专业录取情况统计表(文科) 379 •
录取分数统计
专业 最低分 平均分
年份 专业名称 公布计划 录取人数
代码 最高分 最低分 与分数 平均分 与分数
线差值 线差值
06 经济学(含国家人才培养基地) 3 3 603 601 43 602 44
07 金融学类 4 4 601 597 , 39 598.5 40.5
08 教育学类(师范) 3 3 602 596 38 598.3 40. 3
09 学前教育(中外合作办学,师范,中美合作 8 8 587 569 II 575.4 17.4
办学项目)
10 英语 3 3 602 600 42 601.3 43. 3
2021
11 日语 3 3 596 594 36 595.3 37. 3
12 翻译 4 4 597 594 36 595.3 37. 3
13 历史学(师范) 2 2 602 601 43 601. 5 43. 5
14 地理科学(师范) 6 6 607 594 36 598. 3 40. 3
15 心理学类(师范) 6 6 597 亨、5兴 595. 3 37.3
16 工商管理类 2 2 疗e烙哎、S',~-,-S口:? 5、,9`5 597 39
06 经济学(含国家人才培养基地) 3 3 6 ~ 巨;593 37 594.3 38. 3
07 金融学类 3 3 2 59 1口,`了气' l`-ltS尸 591. 7 35. 7
08
学
办学
前
项
教
目
育
)
(中外合作办学,
8 ','\ ;8 5`-,飞',
沁,\究2.,..·\工飞尸又, \令仑.
5
“\
5 8
:
.
-
· 2 569. 8 13. 8
09 英语 飞\谗少` \”、3 597 595, 39 596 40
飞_;印;;少尸用语 ,_,立 `心 3 3 592 590, 34 590. 7 34. 7
叩\,行\J
\尸几立匕:;翻-新历一译史闻学传~心播(师学范类\) 己-心五社”飞- 4 4 595 592 36, 593. 3 37. 3
飞叮2尸 - ,\ 6 6 593 589 33 590.5 34.5
..`41,3乌·\. 2 2 595 595 39 595 39
',寸`上
\~ 14 心理学类(师范) 4 4 595 、590 34 592 36
15 工商管理类 4 4 593 590 34 591. 3 35. 3
4260 江西师范大学
09 经济学 1 1 561 561 34 561 34
10 金融学 1 1 563 563 36 563 36
11 国际经济与贸易(数字贸易) 1 1 559 559 32 559 32
12 法学 1 l 564 564 37 564 37
13 思想政治教育(师范) l 1 566 566 39 566 39
14 学前教育(师范) 1 1 558 558 31 55& 31
15 小学教育(师范) 2 2 559 558 31 558.5 31. 5
16 中国语言文学类 I 1 1 564 564 37 564 37
17 英语(师范) 1 1 564 564 37 564 37
18 俄语 2 2 560 558 3 1-} 32
19 法语 2 2 561 5 31. 5
20 日语 1 1 5 5 `5、58. 亡1:J 3l
21 朝鲜语(朝英双语) l , 5 558 31 ' - 千2558: '. 31
2022 22 新闻传播学类 5 t 56t ' I: 令科: 561 34
23 历史学类 , 562,飞 562 35 562 35
24 地理科学类了气-&,S\ 1 畸 了飞l一`i :,~ ` `以 兮62 562 35 562 35
25 归§S1f§飞比 'J 1 566 566 39.. 566 39
26 尝工商管理.(组织人事管理) 江 1 1 556 556 29 556 29
27 l 1 556 556 29 556 29
28 6 6 559 557 30 557. 7 30. 7
29 I 1 557 557 30 557 30
30 工商管理(大数据营销) 2 2 560 557 30 558.5 31. 5
31 工商管理(互联网创业) 1 1 558 558 31 558 31
32 文化产业管理(文化策划与管理) 1 1 555 555 28 555 28
33 公共事业管理(师范) 1 1 561 561 34 561 34
34 行政管理(大数据治理) 1 1 559 559 32 559 32
35 电子商务(跨境电商) 1 1 558 558 31 558 31
36 旅游管理(数智健康文旅) 1 1 556 556 29 556 29
09 经济学 1 l 599 599 41 599 41
10 金融学 1 1 593 593 35 593 35
2021
11 国际经济与贸易 1 1 592 592 34 592 34
12 法学 3 3 594 593 35 593.7 35. 7· 380 · 第三章录取统计
录取分数统计
专业 最低分 平均分
年份 七业名称 公布计划 录取人数
代码 最高分 最低分 与分数 平均分 与分数
线差伯 线差值
13 社会丁作 1 1 591 591 33 591 33
14 思想政冶教育(师范) 1 1 593 593 35 593 35
15 教育学类(师范) 1 3 594 592 34 593 35
16 学前教育(师范) 1 1 591 591 33 591 33
17 特殊教育(师范) 1 I 591 591 33 591 33
18 中国语言文学类 5 5 597 594 36 594. 8 36. 8
19 英语(师范) 2 2 602 596 38 599 41
20 俄语 1 1 591 591 33 591 33
21 法语 2 2 593 590 32 591. 5 33. 5
22 日语 2 3 596 590 32 592 3 34. 3
23 朝鲜语(朝英双语方向) 1 1 592 :; -~- 5·;9 -2 f` “~; 34 592 34
24 新闻传播学类 3 4 3 35 593. 8 35. 8
25 历史学类 2 2 5 37 595 37
26 地理科学类 'l I了 2 593 592 , 34 592. 5 34. 5
2021 2
27 心理学类 2 __ ·:.-~_ :尸七 593 593 35 593 35
~ ~
28 建筑学(学制5年) 1 1 591 591 33 591 33
29 城乡规划(景观规划设计方向,学制5年) 1 l 592 592 34 592 34
30 城乡规划(国土空间规划方向,学制5年) 1 1 592 592 34 592 34
\ ~ ; 3 ` 1. 管理科学与工程类 1 1 591 591 33 591 33
-了:32,, s六~工4工-商商,管管~理理((企业忤埋方向) l 2 592 591 33 591. 5 33.5
3,3勹 组织人韦管理方向) I I 594 594 36 594 36
~歹 七 34 工商倌理(互联网创业方向) 1 I 594 594 36 594 36
35 工商管珅(大数据营销方向) I 1 590 590 32 590 32
36 文化产业眢珅 J I 590 590 32 590 32
- -
37 公共事业筒理(帅范) I I 593 593 35 593 35
38 行政管理 2 2 591 590 32 590. 5 32. 5
39 电子商务 I 1 591 591 33 591 33
40 旅游管理 1 1 591 591 33 591 33
23 经济学 1 2 590 587 31 588. 5 32. 5
24 金融学 1 2 588 588 32 588 32
25 国际经济与贸易 3 3 589 587 31 588 32
26 法学 l l 589 589 33 589 33
27 社会丁什 I 1 586 586 30 586 1.. 30
28 思想政冶教育(帅范) I 2 589 588 32 588 5 1,~:32, 5
29 教育学类(帅范) 3 3 588 587, 31 587. 7 乏3l.7
30 中国语言文学类 5 5 589王严 33 589 4 33.4
31 英语(帅泣) 2 2 589"''' 3飞 589 5 33. 5
32 俄语 1 ", 1 , 585 585 29 585 29
33 法语 l - 1 587 587 ,_一`31 587 31
34 H语 l - 2 588 588 32 588 32
35 朝鲜语(朝英双语方 `, 向 一 ) 1 " ?- 1~ 587 587 31 587 31
36 新闻传播学类 \,\ \,1 ' 1 587 587 31 587 31
2020 37 历史学(师范) , 1 1 588 588 32 588 32
38 文物与博物馆学 1 1 586 586 30 586 30
39 地理科学类 2 2 i 590 588 32 589 33
40 心理学类 I l 585 585 29 585 29
41 建筑学(归胪年) ] 1 586 586 30 586 30
42 城乡规划(学制5年) I 1 586 586 30 586 30
43 风景阳林 I 1 586 586 ',' 30 "' ,',' 586 30
44 管理利学与丁程类 1 1 586 586 "俨俨俨, 30 ,俨俨',' 586 30
45 工商管理类 4 6 589 585 29 587. 2 31. 2
46 会计学 1 2 589 587 31 588 32
47 文化产业管理 1 1 588 588 32 588 32
48 公共管理类 1 1 587 587 31 587 31
49 公共事业管理(师范) 1 1 588 588 32 588 32
50 电子商务 l 1 587 587 31 587 31
51 旅游俘珅 I 1 589 589 33 589 33四、2020-2022年河南省普通高校招生本科一批分专业录取情况统计表(文科) . 381 ·
录取分数统计
专业 最低分 平均分
年份 专业名称 公布计划 录取人数
代码 最高分 最低分 与分数 平均分 与分数
线差值 线差值
4275 东华理工大学
01 法学 3 3 546 539 12 541. 7 14. 7
2022 02 汉语言文学(对外文化交流方向) 3 3 545 538 11 540. 7 13. 7
03 广告学 4 4 541 537 10 538. 5 11. 5
01 汉语言文学(对外文化交流方向) 3 3 575 561 3 569.3 11. 3
02 英语(外贸方向) 3 3 585 575 17 578. 7 20. 7
2021
03 广告学 3 3 580 574 16 578 20,
04 工商管理类 4 4 578 574 16 576. 3 18. 3
01 法学 2 2 577 577 21 577 21
02 汉语言文学(对外文化交流方向) 2 2 576 575.5 19.5
勹:5,5面77555 尸飞叮l99恙
2020 03 英语(外贸方向) 3 3 576 575. 7 19. 7
04 广告学 2 2 :,578 产千飞 576. 5 20. 5
05 工商管理类 6"飞""玄子止二烹 6 二 582 ;睾576 占 20 577.5 21. 5
4300 江西中医药大学 飞',.., 否;三 -石气,六吓;巧乒
血 针比中还医推学飞氏(学制(学5?:斜\年J;5.妇:年;芝) ,,:女妇仁守怎, 节$四 鸟知\, 如 545. 5 18. 5
0032 , 尸 22 22 .),\ i己,产”,590 587 2189 588. 5 30.5
2 0 2 1 '
03',' \,立`` '2 581 580 22 580.5 22. 5
\- -^亡OL3,_二一: :;t.j、` ,,\ l 1 2 570 569 13 569.5 13.5
2O2\0,-`-i, \ :四了二 针炎推拿学(学制5年),f1\\>. 1 2 561 561 5 561 5
4305\\赣南师范大学广
<,Q7;e:.广 ,教育学(师范) 5 5 543 540 13 541.4 14.4
2022~.)
1 08 英语(师范) 8 8 541 538 11 539. 8 12. 8
08 教育学(师范) 3 4 574 572 14 572. 8 14. 8
2021
09 英语(师范) 5 5 585 573 15 576. 8 18. 8
10 教育学(师范) 2 2 572 572 16 572 16
2020
11 英语(师范) 5 5 574 566 10 569.2 13.2
4310 江西科技师范大学
09 国际经济与贸易 1 3 543 542 15 542.3 15. 3
10 思想政治教育(师范) 2 2 548 543 16 545.5 18. 5
11 汉语言文学(师范) 1 1 544 544 17 544 17
2022 12 英语(师范) 3 3 543 542 15 542.3 15. 3
13 历史学(师范) 1 1 543 543 16 543 16
14 会计学(国际会计) 1 1 546 546 19 546 19
15 财务管理 l 1 545 545 18岗, 18
08 国际经济与贸易 1 3 571 57 l 飞叮3
09 思想政治教育(师范) 2 2 5 .5 , • .· ?少 1545
10 汉语言文学(师范) 1 57 13 '心' 芢匀2闪 I ·;五·-14
2021 11 英语(师范) 57L
$
穴式$,沁I护贮 575.5 17.5
12 历史学(师范) 多赏 了`戍言贷氐;,沁~心农湿言 572`\IJ;$ 57 14 572 14
1 13 4 会 财务 计 管 学 理 ( / 国 ' 际 \ 会 3 计 ! ) -- \ , , t 浓L切岛`\`毡心`:;婓`炉\ . !六气\、r1 1 3,t. . l 已勺• "仑3 1 只 尸\i?七 5 5 7 7 1 4 5 57 7 1 2 1 13 4 5 5 7 7 3 1 1 13 5
05 国酌臣济与贸易(实验班) S户\, 它 已 2 3 569 566 10 567. 3 11. 3
06 英汉语语言(师文范学,师(师范范实消验潇班实)验班) 2 4 570 568 12 568.8 12. 8
2020 07 2 3 579 565 9 573. 7 17. 7
08 会计学(国际会计) 2 3 566 565 9 565. 3 9. 3
09 财务管理(实验班) 2 3 569 564 8 `` 566 10
4345 南昌工程学院
2022 04 审计学 10 10 542 537 10 539.1 12. 1
2021 03 审计学 10 10 573 569 11 571.1 13. 1
2020 03 审计学 10 10 573 566 10 568. 2 12. 2
4350 济南大学
04 经济学类 2 2 560 559 32 559.5 32.'.:
05 法学 3 3 563 561 34 562 35
2022 06 社会工作 2 2 560 559 32 559.5 32.5
07 思想政治教育(师范) 2 2 561 561 34 561 34
08 特殊教育(师范) 2 2 558 558 31 558 31· 382 · 第三章录取统计
录取分数统计
专业 最低分 平均分
年份 专\II,名称 公布计划 录取人数
代码 最高分 最低分 与分数 平均分 与分数
线差仇 线差值
09 中国计丘文学类(师他) 2 2 564 561 34 562. 5 35.5
10 外国祜n文学类 2 2 561 559 32 560 33
11 英语 2 2 562 559 32 560. 5 33. 5
12 新闻传播学类 2 2 560 560 33 560 33
2022 13 应用心理学(师范) 2 2 560 558 31 559 32
14 工商管理类 2 2 561 558 31 559. 5 32. 5
15 公共管理类 2 2 560 557 30 558. 5 31. 5
16 公共事业管理 2 2 561 559 32 560 33
17 旅游管理类 3 3 559 557 30 558 31
04 经济学类 l l 597 39 597 39
1l 559974
05 法学 2 2 594 36 594 36
06 社会l仵 1 1 594 -'-, -气5`94 36 594 36
07 思想坟冶教育(师范) 2 ! 2 !I Ji95 593 35 594 36
,
08 特殊教育(帅范) 尸,、--"上 . 2 594 593 35 593. 5 35. 5
09 中国语言文学类(师范) 3 3 593 592 34 592. 7 34. 7
10 外国语言文学类 2 2 595 592 34 593. 5 35. 5
2021
11 英语 2 2 596 595 37 595. 5 37. 5
'
12 新闻传播学类 3 3 594 594 36 594 36
\
` 13 应用心理学(师范) 2 2 593 593 35 593 35
\ 飞 14 工商忤埋类 2 i 2 596 595 37 595. 5 37. 5
”-·· _ 15夕,飞 公共忤埋类 2 2 594 594 36 594 36
-` • ` 16 公共聿业管理 2 2 593 592 34 592. 5 1 34.5
17 旅游管理类 2 2 592 592 34 592 34
04 经济牛类 2 2 592 591 35 591. 5 35.5
05 法学 2 2 592 591 35 59]. 5 [ 35. S
06 社会工作 2 2 589 588 32 588. 5 32. 5
07 思想政治教育(师范) 2 2 591 589 33 590 34
08 中国语舌文学类 4 4 597 589 33 591. 8 35. 8
09 外国语百文学类 4 4 590 589 33 589. 8 33. 8
2020 JO 英语(师范兼非师范) 2 2 591 591 35 591 35
II 新闻传播学类 4 4 591 589 33 590. 3 34. 3
12 应用小押学(师他) 2 2 590 590 34 590 34
13 工商忤理奀 2 2 592 591 35 591 5 35.5
14 公共管理炎 2 2 590 588 32 589 p 33
15 公共扩111忏珅 2 2 588 588
~,
32 588
,,l ', 32
16 旅游管珅类 2 l 2 588-S 588沪 .\ •' 32 588 32
`
4370 山东理工大学 `" 勹书'-1:千::心 飞
01 经济学 2 2 546 544 17 545 18
02 国际经济与贸易 2 2 542 539 12 540. 5 13. 5
03 法学 \ '\ 2 2 544 543 16 543. 5 16. 5
04 衬会工作 \ ,' 1 \ \ 2 2 541 537 10 539 12
2022 05 英\语\ ' \ 2 2 544 539 12 541. 5 14. 5
06 日语 I 2 2 539 537 10 538 11
07 广告学 2 2 541 541 14 541 14
!”
08 工商管理 2 2 543 541 14 542 15
09 市场营稍 2 .一 2 538 536 9 537 10
01 经济学 2 2 576 576 18 576 18
02 国际经济与贸易 2 2 575 575 17 575 17
03 法学 2 2 587 583 25 585 27
04 社会工作 2 2 582 574 16 578 20
2021 05 英语 2 2 577 574 16 575. 5 17. 5
06 日语 2 2 575 573 15 574 16
07 广告学 2 2 582 578 20 580 22
08 工商管理 2 2 574 574 16 574 16
09 市场营销 2 2 574 572 14 573 15四、2020-2022年河南省普通高校招生本科一批分专业录取情况统计表(文科) • 383 •
录取分数统计
年份 专 代 业 码 专业名称 公布计划l录取人数1 最低分 骂名
最高分 最低分 与分数 平均分
线差值 线差值
2-2-2-22-2-2l2-l22--22-5-2727- -257-72-5-7285--75257 -55-7577-85-7587-55-7547-65-7557-75-7517-55 75-570-573
19 576 20
21 577 21
22 578 22
18 574.5 18.5
2020 19 576.5 20.5
15 573 17
19 575.5 19.5
14 573.5 17.5
17 574 18
4385
5 1
3
4
2022 勹 _-
0
巴1
-
巴
11
_5
1-
5
-9
厂 主 5 3 7- 1
: 8 3 7
尸\'、商1 经济学类 7 _
2020 I 02 工商管理类 - 3 - 6里 -
03 衣林经济管理 主 5 51-
5
4395 山东师范大学 - 4
566-565-564-564-566-566-566-564-6564-597
03 法学 5 56
5
35 3
-
8
04 思想政治教育(师范) 6 5615 38 飞
05 学前教育(师范) 4 56 7 64 · 317
06 小学教育(师范) - 563.5 365.5
-
2022 07 中国语言文学类 5 5606 3 - 9
08 新闻传播学类 6 56 5 6 39
09 历史学(师范) 56 - 4.8 371. 8
5
10 工商管理类
-
563 53. 5
11 公共管理类
03 法学 5 69 -
荔
6 5
04 思想政治教育(师范)
05 小学教育(师范)
·
4
8- 38-41-40-39-38-37-33-35-335-36-33-34-a33-33-34
10-- 1
2021 06 中国语言文学类 森5 - 5
07 新闻传播学类 5
一9
08 历史学类 、,-气rr.,\ 56 39. I 5973. 7
09 工商理类勹矿尸\ } 9 6 3 38、 ,596
10 么 吐匀气三 7 - - 37 · I 59 7 5.8
0 0 5 4 法 哲\ J门丫 豆已 心 - 5 5 9 5 6 3 35 3 . . 1 I 5 5 8 9 - 9 1
06 思想政治教育(师范) 9 9 34 59O5. 5
6
07 教育学类(师范) 6 35. I 591
08 中国语言文学类 - 36 I 5932
-
2020 09 汉语国际教育(师范) 5 33 589.7
5 8
10 新闻学 6 34 590. 5
9
11 历史学类 6 34 590-. 3
5
12 工商管理类 - 33 589. 5
13 公共管理类 - 5 33 I 5859
14 旅游管理 5 6 34 I 590
8 7
4
9
- 5
-
5
5
6
9
3
1
-
-
5
5
6
9
2
0
-
-
5
5
99
16
-
5
9
2
-
5
8
9
-
5
9
0
-
5
9
0
-
5
8
9
-
5
8
9
-
5
9
0· 384 · 第三章录取统计
录取分数统计
年份 专lII 专业名称 公布计划 录取人数 最低分 平均分
代码 且严:3,,,百、,.I疗飞 最低分 与分数 平均分 与分数
线差值 线差值
4400 曲阜帅范入学
! 04 岂想政治教育(师范) 3 3 558 556 29 556. 7 29, 7
05 教育学(师范) 2 2 555 555 28 555 28
06 汉语言文学(师范) 3 3 557 555 28 556 29
2022 07 英语(师范) 5 5 557 555 28 555. 6 28. 6
08 商务英语 2 2 555 554 27 554. 5 27. 5
09 历史学(师范) 2 2 559 559 32 559 32
10 工商管理 4 4 555 553 26 553. 8 26, 8
.
04 法学 2 2 593 I 589 31 591 33
05 思灼政治教育(师范) 3 3 591 588 30 589 31
06 教育学(师范) 2 2 590 590 32 590 32
07 汉治言文学(师范) 3 3 59:l 589 31 591 33
2021
08 英语(师范) 3 ~ 3., 589 i 589 I 31 589 31
--
09 商务英语 4 七"` 4 少 596 588 飞双) ' 591 5 33. 5
10 历史学(师范) ' 2 2 589 588 30 588. 5 30. 5
11 工商管理 2 2 588 587 29 587. 5 29. 5
05 法学 3 3 580 580 24 580 24
\,
,\, 0
0一
~7
6 '
'
\ 思
教
想
育
政
学
治
(师
教
范
育
)
(师范) ?,~ 3
2 2
3 5
5
8
8
2
2
5
5
8
8
1
2 2
25
6 '
58
5
1
8
.
2
7 25
2
.
6
7
202~ \ 08 ' 从语言文学 3 3 588 585 29 586. 7 30 7
09 英语(师范) 2 2 584 582 26 583 27
JO 商务英语 2 2 582 581 25 581. 5 25 5
II 历史学(师范) 3 3 591 580 24 583. 7 27. 7
4415 山东钮筑大学
01 英诏 3 3 537 531 4 533 6 ~ ~ ~
2022 02 工程造价 2 2 554 554 27 554 27
03 土地资源管理 2 2 549 537 10 543 16
2021 01 工程造价 2 2 591 587 29 589 31
,
2020 01 T月程造价 2 2 583 580 24 581 5 25. 5
4420 齐鲁工业大学
02 金融学 5 5 544 542 15 543. 2 16. 2
2022
03 I商管理类 7 7 543 541 14 541. 9 14 9
02 令剧学 6 6 583 575 ' 17 577. 5 1 19. s
i
2021 03 寸/t,_必干 6 6 578 575 17 576 i 8
04 工曲管理类 10 10 577 573 15 574. 5 | 16 5
02 金融学 5 5 577 572 16 573. 6 17. 6
2020 03 J阎管理类 10 . 1() 578 569 13 572~ ~ 16
4485 山东财经大学
03 经济学类 ~ ~ 2 2 567 567 40 567 40
04 经济统计学 1 I 566 566 39 566 39
05 财政学类 3 3 566 564 37 565. 3 38. 3
06 金融学 4' 4 572 566 39 568 41
07 保险学 2 2 562 560 33 561 34
'"'''·' 夕,-·, -·
08 经济与贸易类 2 2 566 566 39 566 飞()
一:—]法学 1 1 565 565 38 565 38
2022 外同i吾百文学类 1 1 5(,5 565 38 565 38
ll 会丁商计炒?管学理类 5 5 566 562 35 564 37
!~
12 2 2 574 570 43 572 45
...
} 13 财务管理 2 2 环5 562 35 563. 5 l6. 5
14 审计学 2 2 570 567 40 568 5 41. 5
15 文化产业营理 I 1 560 560 33 560 33
16 体育经济与管理 2 2 564 562 35 563 36
17 公共管理类 6 6 562 560 33 561 34
03 经济学类 3 3 603 600 42 601 7 43. 7
2021 04 财政学类 3 3 604 598 40 600, 7 42 7
05 金融学类 4 4 611 604 46 606. 8 48 8四、2020-2022年河南省普通高校招生本科一批分专业录取情况统计表(文科) • 385 •
录取分数统计
专业 最低分 m
年份 代码 专业名称 公布计划1录取人数
1 最高分 最低分 与分数 平均分
线差值 -
言
06 保险学 4 37 5
07 经济与贸易类 - 41 3 声
08· 法学 2 39 9 一4
- ,
2021 0 1 9 0 外 工 国 商 语 管 言 理 文 类 学类 2 - 5 - 一 言 3 3 8 9 6 _ 83 -
11 工商管理类 26 41 -
12 文化产业管理 - 37 启3
0
1
3
3 公
经
共
济
管
学
理
类
类 4 -
1
3
38
6 _
吉
6 E
3
9-
0 05 4 金 财 融 政 学 学 类 类 1 - 3 0 - 1 一 37 三 - 0 0 5 9 8 - 3
06 经济与贸易类 53 -
9
07 法学 - 3
9
2020 08 汉语言文学
7
0
1
9
0
外
新闻
国
学
语言文学类 _3 6
-
0
11 工 曰 罕- a
\歹`h判 I 冯 t l ' `, 』 一?,飞 5 9 _ -5 5 95 1 3
石
20
颂
22 ~ 尸
立
; I \ 30 心
-
0 o 1 7 s 9 0 殴
f
了
-
主 法 英 工 会
.I
学 语 计 商 学 管理 5 5 - 5 - 5 5 一 一 5 - 5 - 5 - 5 5一
1
- 5 9 2
551-554-5635-5505-05-5515-35-55082-853-55-029-045-5-5128-535
声 声 -
_-9
0 -
1 8
9
-
5 9 5 5 0 5 5 5 5 -
8-5208-315--852284-45--852182-15 7
- a a 2 3 - 2
--825074-55--825073-55--265828-2-52 720--51626--51647- 10-1
07 金融学 - 1 - 1 - 55 7 40 3 5
08 法学 0 0 _89- 3
2021 0 1 11 9 0 会 英 工 计 商 语 学 管理 - 1 0 - - 1 0 - 髻 5 105 一 主 i 32 - 2
06 金融学 1 1
--9
63
7
0 0 8
07 法学 -
45250酝20 _ _ 557 --
08 英语 5 5 1 2
- - 88- 31
1
0
1
0
-
二
573
- - 596 匀 --
5 -
1 1
0 0 0 5 3 12 2
2022
-
1
-
1
28-262527
2
635
言
34313
3 65
8433333030292929293229
0 0 5525535935925895 3 9259 』 15915--88586585585585585588585
- - 1 - 1 5545935925915955935925915
-
-8758 - 758512 587585589586
52-2-2-25-2-2-2-2-2-2-2-2-2-2 5
05 金 - - 5 33
06 国际 • - 2 2 5 3 -
07 汉语 6 6 7 9 4 3 -
2021 08 英语 5 2
5 3
09 商务英语 2 5 7
2
10 工商管理类
11 行政管理 - 3-
05 金融学 5 52
06 国际经济与贸易 5
34
07 汉语国际教育 6 -
4
2020 08 英语
09 商务英语 9 _ 3
10 工商管理类 3
3
11 行政管理
5 3
1
厂 3
- 0
5 3
0
2
5 9
6 3
0
2
9 9
-
5
2
9
3
5
-
5
5
3
9
2
-
5
9
0
-
5
9
3
-
5
9
2
-
5
9
1
-
5
8
9
-
~
-
5
8
6
-
5
8
5
-
5
8
6
-
5
8
5· 386 · 第三章录取统计
K4 录取分数统计
年份 专 代 !” 专业名称 公布计划1录取人数1 最司 , 方 I I 最低介 1 最与低分分数!平均分 平均分
与分数
线差值 线差值
4575 武汉纺织大学
11 金融学类 3 I 3 I 548 丿 191617 5 1 4 7 7 1 91717 2 1 0 8 2220191919202320201714-1611161111
12 国际经济与贸易 2121544 543. 5 16晕5
13 英语 3 I 3 I 546 ` 545 18
14 商务英语 3 I 3 I 545 544. 3 17. 3
2022
15 会计学(注册会计师) 6 I 6 I 556 549. 3 22. 3
/
16 财务管理(CMA方向) 4141546 545 18
17 物流管理 2121544 544 17
/1 8 电千商务 2121546 _ 545.5 18. 5
l2 金融学类 : 3 5 591 582. 6 24. 6
13 匡们经济与贸易 2 I 2 I 579 识 579 21
… u iii ”… 3 I 3 582 5 竺 58 1. 3 23. 3
! 3 3 -令夕 :;%勺<\ 581 巠 579. 3 - 2 - 1 . 3
6亿-名/沁亡俨 8 590 5 8 580. 9 22. 9
?编:/ ;`、'3. ,'I 3 I 587 580. 3 22. 3
, ' 俨- 2 2 579 7 0 578 20
/ J -尸一、2 I 2 I 578 578 20
7 5
,,',,,,,C' 2 I 2 I 581 580 24
2121578 577 21
5
8
3 I 3 I 578 576. 7 20. 7
2 I 2 I 575 7 574 18
3 J 3 I 580 0 576.3 20. 3
2020
3 I 3 I 586 7 577 21
2 I 2 I 576 5I71. 5 1 5. 5
6 I 6 I 582 5 577.2 21. 2
4141588 578 22
2 I 2 I 575 7 571 15
3-3-勹3-3-3-3-3-375-4335-342-534-135 43575:569566567572
3
3
5
3
3 7
3
t
3 8
2021
3 了
3 8 5
3
--泾
三 巨 7
-
二 ___ 9
3 3 1 5 1 546. 3 19. 3
户 2 - 2 - 2 昙 I - 7 6 - 4一 533. 5 6. 5
2 554 I 549 55 1. 5 24" 5
3 2 3 - 2 - 一 : ` 5.4_7 ` 厂 t』 飞 -5 而 3 6 3 6 2 2 - 一 5 54 4 3 0 1 1 3 6
2022 I 06 风景园林 2 2 - 545 i 5536 -1 540.5 13. 5
2 | 93
07 丁商管理类 2 - 2 - 543.5 16. 5
Il8 农业经济管理类 2 - 3 7 1 546 19
0 1 9 0 公 土 共 地 管 资 理 游 类 管理 3 2 - 2 - 3 - / 6 6 - 1 53 5 7 4 . 4 5 10 1 . 7 5
]] 电子商务 3 3 - 8 535. 3 8. 3
01 金融学 3 2 - 2 5 _ 9 586 28
2021 02 投资学 2 - 2 7 - 580. 5 22. 5
03 法学 2 8 587.5 29. 5
04 风炽园林 2 - 585.5 27. 5 ""
3 7
-
5 2
6
-
7 2
2
0 -
2
7
5 -
2
7 6
2
5
6
7
5
7
2
5
6
7
5
6
7四、2020一2022 年河南省普通高校招生本科一批分专业录取情况统计表(文科) . 387 ·
录取分数统计
专业 最低分 平均分
年份 专业名称 公布计划 录取入数
代码 最高分 最低分 勹分数 平均分 与分数
线差值 线差值
05 工商管理类 2 2 586 585 27 585. 5 27. 5
06 农业经济管理类 2 2 583 581 23 582 24
2021 07 公共管理类 3 3 583 582 24 582. 3 24. 3
08 土地资源管理 I 2 2 580 580 · 22 580 22
09 电子商务 3 i 3 581 580 22 580. 3 22. 3
U^ 1` 蓝人国古户心子上 3 3 0,~/'~、 J严~/r0 fLUf 577. 7 L^ L` _I
02 投资学 2 2 575 575 19 575 19
03 法学 5 I 5 582 578 22 579. 8 23. 8
04 风景园林 2 2 578 578 22 578 22
2020 05 工商忤理类 2 2 577 576 20 576. 5 20, 5
06 农业经济管理类 2 2 588 578 22 583 27
07 公共管理类 3 3 577 576 20 576. 7 20, 7
08 土地资质管理 2 i 2 577 575 19 576 20
09 电子商务 3 _,: 3 576 575 19 575. 3 19. 3
4735 湖南工业大学
26 金融工程 2 i 2 546 546 19 546 19
27 国际绎济勹贸易 1 1 546 546 19 546 19
28 法学 2 2 555 552 25 553. 5 26. 5
29 汉语百文学 2 2 549 549 22 549 I 22
,
30 英语(师范) 2 2 546 544 17 545 18
31 英语 2 2 550 544 17 547 : 20
32 R诣 1 I 542 542 15 542 15
2022 33 翻译 I 1 546 546 19 546 19
34 新闻传播学类 2 2 551 550 23 550. 5 23. 5
35 上商管理类 3 3 549 547 20 547. 7 20. 7
36 丁商管理 3 3 552 544 17 546. 7 l9 7
37 会计学 l I 548 548 21 548 21
38 财务管理 2 2 七“` 547 545 18 546., 19
39 金融丁程 2 2 542 536 9 539 I 12
40 会计学 2 2 549 536 9 542. 5 15 5
22 金敞上程 1 I 584 584 26 584 26
23 金副!一程(CF\们新实验班) 1 5 582 573 l5 575. 4 17. 4
24 旧际经济与贸易 ~ • • ··俨··一 1 r 2 58-1 - 579 ----- 2 -- 1 - --, 580 22
25 法学 I I 1 579 579 21 579 21
26 汉诏舌义学 2 I 2 585 581 23 583 25
27 日语 1 I I 580 580 22 580 22
2021
28 I 新翻闻译传播学类 l I 588 588 30 588 30
l 29 2” “” 3 “一'""" 583 580 22 581. 3 '""" 23 3
30 I商俏理类 1 I 580 580 22 580 22
31 丁曲眢埋 1 I 580 580 22 580 22
32 会计乒(A(_、CA 创新文价班) 2 5 586 570 12 574.4 16. 4
33 财务管埋 I 1 581 581 23 581 23
·- ---- -----
22 令儒l程 1 3 577 576 20 576. 3 20 3
24 同凡经济与贸易 I I 577 577 21 577 21
25 法学 1 1 579 579 23 579 23
26 汉语言义学 2 2 577 576 20 576 5 20 5
27 IJ语 I I 578 578 22 578 22
2020 28 翻译 I - 1 - 578 578 22 578 22
29 新闻传捕子类 4 4 581 578 22 579会8 23. 8
.....
30 广1仁;么f严^ I 1 579 579 23 579 23
32 I商管抖」 I I 575 575 19 575 19
33 会II沪 I 2 580 577 21 - 57 -- 8 - 5 .人人 22 5
35 财务忏理 I 2 575 t--- 575 -- ---. ---- 19 I 575 19· 388 · 第三章录取统计
,柏点分 辰低分录1 取霄归分数'f统1l平|均分 线甘差-糜值
女业
年份 专业名称 公Ml戈', 录取人数 -
代码
4770 湖南理丁学院
01 思想政治教育(师范) ! 3 3 542, 540 13 541. 3 14. 3
2022 02 汉语言义学 3 3 I s47 I 543 16 544. 7 17. 7
03 英语(师范) 1 l I 542 I 542 15 542 15
07 汉治言文学 I 1 1 i 575 575 17 575 17
2021
08 英语(帅范) I 1 4 1 572 I 572 14 572 14
01 思想政冶教育(师范) ! l 3 573 i 560 4 564. 3 8.飞
2020 02 汉语言文学 I 1 2 I s6o 560 4 560 4
03 英语(师范) ! 1 1 i 567 1 567 11 567 11
4775 湖南_[商大学
06 金恐学类 1 I i 552 I 552 25 552 25
I
07 汉语言文学 i 1 1 , 552 552 25 552 25
08 法语 1 l 551 551 24 551 24
09 人文地理与城乡规划 3 3 I 555 1 544 17 551 3 24. 3
2022 10 工商管理类 4 4 I 550 542 15 546. 5 19. 5
11 会计学 1 1 558 558 31 558 31
12 审计学 i 1 I 556 556 29 556 29
13 行政管理 1 1 552 552 25 552 25
14 健康服务与管埋 1 I 539 539 12 539 12
-.入 07 .尸 金敝学类 一-- -- I 1 591 591 33 591 --- 3 -- 3 ------
08 社会工1个 i 1 I 588 588 30 588 30
09 汉语弓义学 I 1 l 588 588 30 588 30
10 法语 i 1 1 589 589 31 589 31
2021 1 11 2 人 工 文 商 地 骨 理 理 勹 类 城乡规划 ! i 2 1 2 1 5 5 8 8 7 9 5 5 8 8 9 7 2 31 9 5 5 8 87 9 3 2 1 9
13 会计学 1 1 589 589 31 589 31
14 国际商务 l 1 589 589 31 589 31
15 审计学 i I 1 589 589 31 589 31
16 行政管理 I 1 588 5R8 30 588 30
'- ....
07 金隐学类 3 3 592 586 30 588. 3 32 3
08 了商管理类 I 3 3 584 583 27 583 7 27. 7
2020
09 会计学 3 3 583 582 26 582 7 26 7
10 物流管理 2 2 581 581 25 581 25
, 4880 广东财经大学
07 法学 2 2 565 562 35 563 5 36 5
2022 08 丁商管珅 ! 2 2 562 559 32 560. 5 33. 5
09 会计学 2 2 560 560 l 一33 l-``` 560 33
09 法学 3 3 591 587 29 588. 3 30 3
10 工商管理 ! 2 2 587 586 28 586 5 28, 5
2021
11 会计学 飞 3 591 590 32 590. 3 32. 3
--
12 一泊店管理·· ···一-
----- - ----- -----------
--I' ----2 2 586 586 28 586 28
4890 北乐帅范入学-香港浸会人学联合国际学院
I! 0012 "1"I--经外___济国_"学诏_言(_中文"__外学"_-类合"""什"(- 办"中_"外学___合_"_)_作_办_学___) "- --" - ---- 3 3 -- -------- ,'-33' , _, -”“I1,, s 5 4 5 1 9 5 54 3 1 7 1 1 4 0 5 53 4 9 8 . 7 7 2 1 1 2 . , 7 7
2022 03 !新闻传播学类(中外合作办学) 4 4 !: 547 538 JI 542, 5 15 5
04 !会计学(中外合作办学) 2 2 l 551 537 10 544 17
05 工商管理类(中外合作办学) 4 4 554 i 535 8 542 1.5
01 I 经济学(中外合什办学) 3 3 I 594 i 583 25 588, 7 30. 7
02 1 外同南言文学类(中外合作办学) 2 2 I 589 I 585 27 587 29
2021 0
0
3
4
新
会
闻
计学
传
(
播
中
学
外
类
合
(
作
中
办
外
学
合
)
作办学) 3
2
3
2
I
5
58
8
7
4
i i}` 557715 一
1
1
3
7 5
5
8
7
1
7
.
, 5
7 2
1
3
9
.
. 5
7
05 工商管理类(中外合作办学) 4 4 575 570 12 572 14
01 经济学(中外合仵办学) 3 3 593 577 21 585. 7 29. 7
02 外国语言文学类(中外合作办学) 2 2 583 571 15 577 21
2020 03 1... 新闻传播学类(中外合作办学) - - 2 2 590 588 32 589 33
04 会计学(中外合仵办学) 2 2 585 577 21 581 25
05 工商管理类(中外合作办学) 4 4 575 570 14 571. 5 15 5四、2020一2022年河南省普通高校招生本科一批分专业录取情况统计表(文科) . 389 ·
录取分数统计
专业 最低分 平均分
年份 专业名称 公布计划 求取入数
代码 最高分 最低分 与分数 平均分 与分数
线芹俏 线差值
4925 桂林电子科技入飞子
05 怯羊类 6 ! 13 540 531 4 533 2 6.2
06 汉语国际教育 4 4 532 530 3 530. 5 3. 5
07 英语 6 7 536 531 4 533. 9 6. 9
08 H语 2 2 530 530 3 530 3
2022
09 ^云j"-L坚于 6 7 545 536 9 538. 7 11. 7
10 财务管理 4 4 538 530 3 534.5 7. 5
11 人力资源管理 4 3 531 530 3 530. 3 3. 3
12 电子商务 5 3 538 532 5 534 7
5010 海南师范大学
11 经济学类 6 , 18 548. 8 21. 8
觑6
12 法学 3 21 550. 3 23.3
13 思想政冶教育(师范) 3 i 19 547 20
14 教育学类(师范) 蕊 13 ! 16 544. 5 17. 5
1 15 6 教 小 育 学教 技 育 术 ( 学 师 ( 范 师 , 范 中 ) 文/与社会方向 ; \I \飞 ) ' ' , , 久,焚 入 , \ ', : ,,六'; 2 6 \ I/ \, , '; 6 2 , \尸 尸, \ 5 54 4" 5 3, \ l\l 5 5 4 43 3, ~ 1 1 6 6 5 5 4 43 4 1 17 6
17 小学教育(师范,英语教育方向) I\ \\'S\11、贞 \ 3 545 544 17 544. 3 17. 3
2022 1, 8 \. 汉语言文学(师范) , 20 20 554 546 19 547. 9 20. 9
, 19 汉语国际教育(师范) 11 11 547 544 17 544. 6 17. 6
'..,. 2 0'' 英语(师范) 16 16 554 545 18 548. 1 21.l
2L \ \ H语 2 2 547 546 19 546, 5 19.5
飞 ', ~ ;·,;;,,2' ` 2 新间传播学类 12 12 551 544 17 545, 9 18.9
23 历史学(师池) 10 lO 550 545 18 545. 9 18. 9
24 共L卫旦平寸-''J:(1]什i),也) 2 2 547 546 19 546. 5 19. 5
,~ 25 上商忤理类 3 3 547 544 17 545. 3 18. 3
10 经济学类 7 7 596 578 20 582. 4 24.4
11 法学 3 3 586 585 27 585. 3 27. 3
12 思想政治教育(师范) 3 3 576 576 18 576 18
13 教育学类(师范) 11 11 589 575 17 577. 9 19. 9
14 教育技术学(师范) 2 2 575 575 17 575 17
15 小学教育(师范,英语教育方向) 3 3 579 576 18 577 19
16 小学教育(师池,中文与社会方向) 5 5 575 575 , 17 575 17
2021 17 权治言文学(帅范) 20 20 588 577 19 5。8 霍
18 ?义市·国1沂孝父育(帅而他) 9 9 583 575 , } 17 57
19 英语(师范) 14 14 588 577,』| 19 581
20 R诘 2 2 571},;交;梦谈; I' 18 ! 576, 5, I ~7记,`“垃5
21 新闻传播学类 12 12 ::; '57 576 ! 18 576. 6飞\,· '\ `,一18 . 6
22 历史学(师范) :10 10/ k; 585 576, '\ :18' 578. 6 20. 6
23 地理科学(师范) 4 4 577 576 18 576. 3 18. 3
24 工商管理类 \ ' 5 5 579 577 19 577.4 19. 4
08 经济学类 \ 8上\ 8 577 572 16 574. 5 18. 5
09 法学.. \ 飞 \'尸..·••· .\ 8 8 577 574 18 575. 9 19. 9
10 思想政治教育(师范) 5 5 574 572 16 572.4 16. 4
11 教育学类(师范) 13 ]3 586 570 14 ! 572. 8 16. 8
12 小学教育(师范,中文与社会方向) 3 3 571 570 I 14 570, 3 14. 3
13 小学教育师范,英沿教育方向) 4 4 570 570 14 570 14
14 汉语言文学(帅池~~~) ~~ 20 20 586 572 16 575. 5 19.5
2020
15 权占国们教育(帅范) 9 9 580 570 14 572. 2 16.2
16 英佴(师沁) 13 13 582 572 16 574. 5 18. 5
17 日语 2 2 572 571 15 571. 5 15, 5
18 新闻传播学类 9 9 575 570 14 572 16
19 历史学(师范) 5 5 578 573 17 575.2 19. 2
20 地理科学(师范) 5 5 572 570 14 571. 2 15. 2
21 工商管理类 6 6 577 571 15 572. 5 16. 5· 390 · 第三章录取统计
录取分数统计
作份 代 飞 码 业 I 1 专业名称 公布计划 录取人妏 最釉分! I 岐低分 最 与分 低 数 分 平均分 平 与 均 分 分 数
线差值 线差值
5035 重庆理工人学
02 纾济学 2 2 556 550 23 553 26
03 国际经济与贸易 2 2 553 549 22 551 24
2022
04 丁商管理类 5 I 5 545 1 541 14 543. 2 16. 2
05 会计学 4 4 557 554 27 556 29
02 经济学 2 i 2 592 591 33 591. 5 33 5
03 国际经济勹贸易 2 2 590 590 32 590 32
2021
04 工商管理类 3 3 590 589 31 589. 7 31. 7
05 会计学 3 3 596 592 34 593. 7 35. 7
02 经济学 2 I 2 586 584 28 585 29
03 国际经济与贸易 2 2 583 583 27 583 27
2020
04 工商管理类 2 ! 2 585 583 27 584 28
05 会计学 4 4 592 585 29 587 31
5055 重庆师范大学 - -
03 思想政治教育(师范) 3 3 565 563 36 564 37
04 教育学类(师范) 4 4 561 560 33 560, 3 33. 3
05 小学教育(师范) 3 3 561 - 560- - 33 560』7 33. 7
06 中国语言文学类 4 4 577 564 37 568 5 41. 5
07 外国语吕文学类 2 2 562 560 33 561 34
_、 08 英语(师范) 3 3 563 562 35 562 7 '.15, 7
2022 09 新闻传播学类 ` ` 2 2 566 565 38 565, 5 38. 5
10 伪史学(帅范) 3 3 566 564 37 565 3 38. 3
11 文物与博物馆学 3 3 563 559 32 560. 3 33, 3
12 地理科学类 2 2 564 561 34 562, 5 35, 5
13 应用心理学 2 2 567 562 35 564 5 37 5
14 丁商管理类 2 2 565 560 33 562 5 35, 5
03 思想政冶教育(帅范) 3 3 596 59~ 飞7 595 3 37. 3
04 教育学类(师范) 4 4 595 594 36 594. 3 36 3
05 小学教育(师范) 3 飞 597 594 36 595 37
06 中匡语言文学类 5 5 600 596 38 597. 8 39, 8
07 外国语言文学类 I 3 3 595 593 35 594 36
2021 08 英语(师范) 2 2 597 596 i 38 596. 5 38』5
09 新闻传播 --- 学 ---- 类 ---------千____ __ 2 2 599 596 I 38 597. 5 39. 5
10 朸史学(帅范) i ,3 ; 595 595 I 37 595 37
11 文物与博物馆学 2 2 594 594 36 594 36
I 12 应用心理学 2 2 602 594 36 598 40
i i , 0 l 4 3 工 思想 商 政 骨 治 理 教 婓 育(师范) 3 3 3 3 `” , _" " 5 5 9 9 6 0 5 5 9 8 4 9 `` `` i 3 3 3 6 5 5 9 8 4 9 , . 7 3 卜-- - 3 3 - 6 3 - . . - 7 3 -
OS - 学 - 前教 - 育 - ( - 师范 - ) ------------- - 4 4 589 588 32 588. 3 32. 3
06 小学教育(帅范) 3 3 588 588 32 588 32
I 07 汉语言文学(帅范) 3 3 591 591 35 591 35
08 汉语国1百迁 2 2 591 590 34 590. 5 34. 5
09 英语(师范) 2 2 592 591 35 591. 5 35. 5
2020
10 H语 2 2 590 589 33 589. 5 33. 5
I l 新闻学 2 2 590 590 - - - 34 590 34
12 f-历-文--史物--学与一-一搏·(师·-··物· ·范··馆一-·)学-一·-•· 一--- 3 3 I s91 590 34 590 3 34 3
l 3 2 2 588 588 32 588 32
I
14 应用心理学 2 2 I 59 ] 588 32 589. 5 33. 5
5080 四川帅 1 范 5 大学 I商管理类 3 3 1 590 589 33 · 589 - — 7 ——-- 3 - 3 — . 7 - -
17 哲学 1 l 559 559 32 559 32
18 经济学 l l 5-6 - 0 - 560 - 33 560 芍
19 法学 I I I 564 564 37 ! 564 37
2022 20 思想政治教育 2 2 564 563 36 I 563. s 36. 5
21 学前教育 I I 562 562 飞$ 562 飞5
22 小学教育 I I 562 562 35 562 35.
四、2020—2022 年河南省普通高校招生本科—批分专业录取情况统计表(文科) 391 •
录取分数统计
专业 最低分 平均分
什份 专业名称 公布计划 录取人数
代码 最的分 最低分 与分数 平均分 勹分数
线差值 线养值
23 汉语言文学 2 2 567 .卜·· 565 38 566 39
24 汉语国际教育 2 2 560 560 33 560 ! 33
25 秘书学 2 2 562 560 33 561 34
26 英语 1 1 564 564 37 564 37
27 俄语 1 1 559 559 32 559 32
,(,,0o 1',上十' " ' 1 1 559 559 32 `ss`a' 32
29 广播电视学 1 1 560 560 33 560 33
30 网络与新媒体 I 1 566 566 39 566 39
飞l 历史学 2 2 565 564 37 564. s I 37. 5
2022
32 地理科学类 2 2 562 562 35 562 35
33 心理学 1 1 563 563 36
34 工商管理 1 1 , 562 5 5 6 6 3 2 -- 562 35
3
35
6 会
市
计
场营
学
销
I尸J
l
1 飞芒
-
詈
气仁 l
1
--1 5
5
6
63
2
5
56
6
2
3 ,', 1,\\3
35
6
5
56
6
3
2 3
3
5
6
心心
37 财务管理 \ 1 ;' I 559 \ 559 32 559 32
38 审计学 1 1.:
~尸-5
,
64
564 37 564 37
.
39 旅游管理 1 1 559 559 32 559 32
40' 会计学 l I 555 555 28 555 28
: :
\ \
飞\\一\' 21 经济学 1 I 599 599 41 599 41
'22 法学',. 2 2 599 598 40 598. 5 40. 5
t V
23 思想政治教育 2 2 600 597 39 598. 5 40 5
24 学前教育 1 1 597 597 39 597 39
25 小学教育 1 1 594 594 36 594 36
26 汉语言文学 2 2 600 599 41 599. 5 41. 5
27 汉语国际教育 2 2 597 595 37 596 38
i 28 秘书学 2 2 597 597 39 597 39
29 英语 2 2 600 597 39 598. 5 40, 5
30 网络与新媒体 1 1 597 597 39 597 39
2021
31 历史学 2 2 597 596 38 596. 5 38. 5
32 地理科学类 2 2 596 596 38 596 38
33 心理学 1 1 598 598 40 598 40
34 丁商管理 1 1 595 595 37 595 37
35 市场营销 1 1 595 595 37 595 37
I 36 会计学 1 1 598 598 40 598 40
I 37 财务管理 1 1 597 39
1 1 597 5硐97 39
/飞s8 ^/审洪计事学业管理
1 1 594 594 36
1:
旅游管理 1 595 595 37
31 经济学 ;1长;气 r 595 •---595 3 9仁 595 39
~一、
32 法学 ',\~ 1 1 592 r 592 36 592 36
33 思想政治教育 2 2 、、~ 59i 591 35 591 35
34 教育学 、 2 2 591 591 35 591 35
35 学前教育 i:: 尸 1 I 591 591 35 591 35
36 小学教育 \ 1 1 590 590 34 590 34
37 汉语臣文学__ 兑 2 2 599 596 40 597. 5 41 5
飞8 汉语国际教育 2 2 59 l 591 35 591 35
, 卜^^^ .39. . 秘书学 2 2 595 590 34 592. 5 36 5
40 英语 1 1 594 594 38 594 38
2020
41 广播电视学 1 1 刊() 590 34 590 I 34
42 网络与新媒体 1 1 591 591 35 591 35
43 历史学 2 2 591 590 34 590. 5 34 5
44 心理学 1 1 591 591 35 591 35
45 丁商忤理 1 1 590 590 34 590 34
46 市场仵销 I 1 590 590 34 590 34
47 会计学 I 1 591 591 35 591 35
48 财务管理 I 1 590 590 34 590 34
49 审计学 1 1 595 595 39 595 39
l 50 ^ ^ 旅游管理 1 1 590 590 34 590 34· 392 · 第三章录取统计
录取分数统计
年份 专业 专业名称 公布计划 录取人数 最低分 平均分
代码 最高分 最低分 与分数 平均分 与分数
线差值 线差值
5095 成都信息工程大学
01 中国语言文学类 1 1 556 556 29 556 29
2022
02 英语 2 2 551 551 24 551 24
01 国际经济与贸易 2 2 584 583 25 583. 5 25. 5
02 中国语言文学类 2 2 586 584 26 585 27
2021 03 英语 2 2 581 581 23 581 23
04 财务管理 1 1 582 582 24 582 24
05 旅游管理 2 3 580 580 22 580 22
01 国际经济与贸易 1 1 582 582 26 582 26
02 社会工作 1 1 578 578 22 578 22
气
03 汉语言文学 1 1 584 584 28
归
04 汉语国际教育 1 1 76 付心 576 20
05 英语 I ,\ 1' 581 25
06 翻译 恁 1'、 1 双7犬,"',' ``\`· \ 2'1'`、·己.·``- 寸 577 21
0 0 7 8 市 会 场 计 营 学 销 1 1 ;心,1, 1 1 i\、飞 ` `'\ 亡 ` ` 5 5' 7 8"3 5 ~\ \~`\ 5 5 、 8 7 3 5` 2 1 7 9 5 5 7 8 5 3 2 1 7 9
2020 1
09 贞财务 \、: 588 588 32 588 32
\尸^.1肛奀'\,从力 丛可,m
\`1``$'
1 589 589 33 589 33
I`-,
向\\\a 1}心启敃 ,~ ,:、`了`` 1 1 578 578 22 578 22
队l卒飞·1·2 \-}· i./$ \ t 吐 1 1 580 580 24 580 24
令八阜忒 \:, 管理 1 1 581 581 25 581 25
\ `,14 电子商务 1 1 583 583 27 583 27
、 15 旅游管理 1 1 578 578 22 578 22
16 会展经济与管理 1 1 577 577 21 577 21
5100 西华大学
01 经济学 2 2 561 560 33 560, 5 33. 5
02 法学 2 2 560 559 32 559.5 32. 5
03 中国语言文学类 4 4 558 558 31 558 31
2022 04 网络与新媒体 2 2 559 558 31 558.5 31. 5
05 工商管理 4 4 558 557 30 557.3 30. 3
06 财务管理 2 2 560 558 31 559 32
07 电子商务 2 2 557 557 30 557 30
01 经济学 2 2 597 593 35 595, |'\飞穴 37
02 法学 2 2 595 592 34 屯,子 `,593. 5:汽 | `3,、35.5
03 中国语言文学类 4 4 592 592) , 34气 |`,': 592 、 、“'义,''3 & ` 4
2021
04 网络与新媒体 2 2 593, ` 591俨` ^§~ I女\芞 33 f 592 s.34
05 59、·1r,` \.r`~ ”`^ -`-二` \` · `` , 、\; 590 冷'32 ,590,5 '32. 5
06 叩 财务管 理 理 言日亨]守 2芩立i ;,'$ 592 591 \ ` 33了4 591. 5 33. 5
07 审计学 2 `梦lS义 591 33 591 33
08 电子商务 /,- 产,'尸, 一飞2 产口'590 590 32 590 32
01 经济学广气乏芢\\ 2 586 585 29 585.5 29.5
02 国际经游与贸易趴,二 气_了,\\巨-·二,.·,,一 4 4 589 584 28 585. 8 29. 8
03 法学'-皂'-\心 `夕产;-\\J'-0,心飞” 2 2 587 587 31 587 31
04 中国语言文学类-~ 4 4 588 585 29 586. 3 30. 3
2020
05 会计学 2 2 587 587 31 587 31
伙i 财务管理 4 4 586 584 28 584. 5 28.5
07 资产评估 4 4 585 584 28 584. 5 28.5
08 物流管理 2 2 587 586 30 586. 5 30. 5
5105 四川轻化工大学
03 国际经济与贸易 2 2 543 541 14 542 15
2022
04 会计学 2 2 541 538 11 539. 5 12. 5
03 国际经济与贸易 2 2 576 576 18 576 18
2021
04 会计学 2 2 573 572 14 572. 5 14.5
06 国际经济与贸易 2 2 563 562 6 562. 5 6. 5
2020
07 会计学 2 2 567 564 8 565. 5 9. 5四、2020-2022年河南省普通高校招生本科一批分专业录取情况统计表(文科) • 393 •
专业 平均分
年份 代码 专业名称 公布计划1录取人数 1 最高分 平均分 与 线 分 差 数 值
10-10-10
:巨 10 536.3 9.3
10 . 569.2 11.2
10 563.3 7.3
31333153533595ll3i8971618186776 867
06 法学 铝 1
00000
07 思想政治教育(师范) 。 7
主
08 学前教育(师范)
-
2022 09 小学教育(师范) 5
-
10 历史学(师范) 1
4 一
11 会计学 岊 6
,~ E
12 行政管理 立4 2 口1
0 0 3 4 法 思想 学 政治教育(师范) O 讫 L}“女OO 二 矛 3 . . 三 3 8 三 一 5 - - 5 - 1
7 -
20 夕 21 工 I 部 I 0 0 0 5 6 7 二 ` ` ` 教 历 中 顽 育 国 史 学 韵 语 学 类 言 f ( 习 文 J 师 ; 范) 沿~ 臼钰2``芦 } 飞` 乓豆飞 } · 》 . 尸 。飞 c 如 8 0 5 8 5 7 厂 声 5 7 5 巴 2 0 1 7 5 - 1 1 6 -
\\- 二式的",- 09 8 - 5
甘-飞厂息想政治教育e师范) 5 1
-
2O2 \已"气,.,Q5之t t冲国语言文学类 7 -
7
了心06 历史学(师范) 5 1
07 行政管理 5 5 - 9
7
5230 昆明理工大学 1
皇 2558-558-5975-5559-35-5559-45-85982-858-85-992-058-85-683-415 8-743-158-38-05-529 8-2392-_239 -33-a-34-30-33-10
11 法学 3 3 556.3
2022 - - 5 5
2021
4
- 3 - 3 - 2
4
3 - 3 一 7 9 5 5 5 9 9
5
1 0
55
- . .
6
7 7 - 5
- 590
2一 2 7 58 5 6 -
2020 - - 4
3 2 5 58 7 9.3 1
- 1 - 3 7 566.5 5
0 - 8 3
-
1 5
2021 0 6 - 1
5390 9 ,3027a3024302731a262721232551919
292829
匈
155219257239258526727521822322283128159 555
妇 a
03 税收学 孕 -
57
2022 04 会计学 1
5
05 审计学 0
554593586554923558877558855558875558768545884155885855787555757865577855 79574575
06' ,一``二
O2 鳍资\\: 6-2-4-4-4-2-6-2-4-4-4-2 5- -
24442624442 5
03 税学飞 5
04 的五\飞3 心V 75
2021 5
05 审计学
7
06 行政管理 5
07 旅游管理 7 1
02 经济学 5
03 税收学 5-
04 会计学 5
2020 5
05 审计学 8
06 行政管理 8 7
07 旅游管理 5
81
5
5-
8
5
9
57
8
61
5
-
8
45
5
86
5
8
7
7
5
7
9
5
8
1
5
8
2
5
7
5
5
7· 394 · 第三章录取统计
录取分数统计
年份 勹 公布计划,录取人数1 最高分 1 最低分[:::丁一平均分 平均分
专业名称
1 勹分数
线差值 线差值
54l0 西北师范大学
4_4-2-3-555_5546-015_52455-53640-53555-79355-583382-55725937-0305525-833685-3538097-2653569-8202795-53839281-5335908 13753588269855388191255888632505828862552795812555882195258281725257828025 28 3578578
04 思想政冶教育(师范) 4 554. 8 卢
05 汉语言文学(师池) 4 558, 5 - 3
2022 06 俄语(师范) 2 553. 5 2 1 -
07 历史学(师范) 3 558. 3 6
08 心理学类(师范) 5 554. 8
07 I 法学 4 587. 8 -
08 思想政治教育(师范) l 590 3
09 小学教育(师范) 2 588
1
10 汉语言文学(师范) 3 592. 7
2021
11 俄语(师范) 3 586. 7 -
_12 历史学(师范) 3 590
2
13 人文地理与城乡规划 3 586. 3
14 会计学 2 588. 5 7
07 法学 3 580 -
08 思想政冶教育(帅范) 3 581. 3
2
09 汉出言文学(师范,卓越教帅培养计划) 3 583. 3 /
2020 582. 3 9
586
-
580
578. 7 3
上
1-1-勹2- 2
l 538 | 11
三2022 二 l 2 1 1 540, , 13 3
2 .__
540, 13 0
]- 566 I 8
202 1 l-2-2 -
三
559, 3 3
2
勹
55