当前位置:首页>文档>山东省聊城市2019年中考化学真题试题(含解析)_中考真题_5.化学中考真题2015-2024年_2019中考真题卷(140份)

山东省聊城市2019年中考化学真题试题(含解析)_中考真题_5.化学中考真题2015-2024年_2019中考真题卷(140份)

  • 2026-04-08 17:22:06 2026-02-22 16:09:03

文档预览

山东省聊城市2019年中考化学真题试题(含解析)_中考真题_5.化学中考真题2015-2024年_2019中考真题卷(140份)
山东省聊城市2019年中考化学真题试题(含解析)_中考真题_5.化学中考真题2015-2024年_2019中考真题卷(140份)
山东省聊城市2019年中考化学真题试题(含解析)_中考真题_5.化学中考真题2015-2024年_2019中考真题卷(140份)
山东省聊城市2019年中考化学真题试题(含解析)_中考真题_5.化学中考真题2015-2024年_2019中考真题卷(140份)
山东省聊城市2019年中考化学真题试题(含解析)_中考真题_5.化学中考真题2015-2024年_2019中考真题卷(140份)
山东省聊城市2019年中考化学真题试题(含解析)_中考真题_5.化学中考真题2015-2024年_2019中考真题卷(140份)
山东省聊城市2019年中考化学真题试题(含解析)_中考真题_5.化学中考真题2015-2024年_2019中考真题卷(140份)
山东省聊城市2019年中考化学真题试题(含解析)_中考真题_5.化学中考真题2015-2024年_2019中考真题卷(140份)
山东省聊城市2019年中考化学真题试题(含解析)_中考真题_5.化学中考真题2015-2024年_2019中考真题卷(140份)
山东省聊城市2019年中考化学真题试题(含解析)_中考真题_5.化学中考真题2015-2024年_2019中考真题卷(140份)
山东省聊城市2019年中考化学真题试题(含解析)_中考真题_5.化学中考真题2015-2024年_2019中考真题卷(140份)
山东省聊城市2019年中考化学真题试题(含解析)_中考真题_5.化学中考真题2015-2024年_2019中考真题卷(140份)
山东省聊城市2019年中考化学真题试题(含解析)_中考真题_5.化学中考真题2015-2024年_2019中考真题卷(140份)
山东省聊城市2019年中考化学真题试题(含解析)_中考真题_5.化学中考真题2015-2024年_2019中考真题卷(140份)
山东省聊城市2019年中考化学真题试题(含解析)_中考真题_5.化学中考真题2015-2024年_2019中考真题卷(140份)
山东省聊城市2019年中考化学真题试题(含解析)_中考真题_5.化学中考真题2015-2024年_2019中考真题卷(140份)
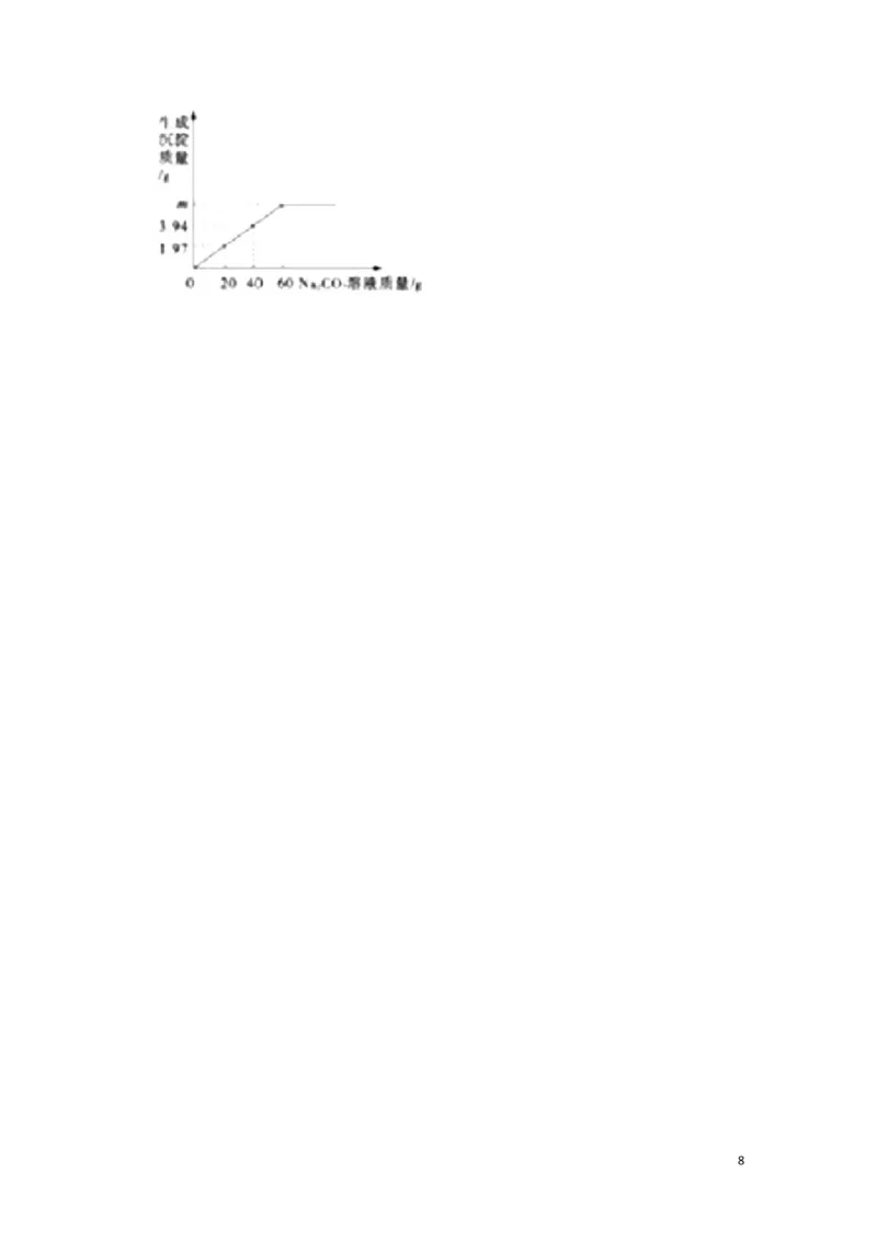
山东省聊城市2019年中考化学真题试题(含解析)_中考真题_5.化学中考真题2015-2024年_2019中考真题卷(140份)
山东省聊城市2019年中考化学真题试题(含解析)_中考真题_5.化学中考真题2015-2024年_2019中考真题卷(140份)
山东省聊城市2019年中考化学真题试题(含解析)_中考真题_5.化学中考真题2015-2024年_2019中考真题卷(140份)
山东省聊城市2019年中考化学真题试题(含解析)_中考真题_5.化学中考真题2015-2024年_2019中考真题卷(140份)

文档信息

文档格式
doc
文档大小
1.090 MB
文档页数
20 页
上传时间
2026-02-22 16:09:03

文档内容

2019年山东省聊城市中考化学试卷 一、选择题本题包括16个小题,共40分.每小题只有一个选项符合题意.1~8小题每题2分, 9~16小每题3分) 1.(2分)下列生产生活中发生的变化属于化学变化的是( ) A.分离液态空气 B.酒精挥发 C.煤气燃烧 D.水果榨汁 2.(2分)下列说法正确的是( ) A.明矾可以区分硬水和软水 B.利用汽油的乳化作用可以除去衣服上的油污 C.饱和溶液不一定比不饱和溶液含溶质多 D.均一、稳定的液体一定是溶液 3.(2分)某同学在点燃蜡烛时,提出固体石蜡可能变成蒸气才能燃烧。就此看法而言,应属 于科学探究环节中的( ) A.提出问题 B.猜想与假设 C.进行实验 D.获得结论 4.(2分)下列做法不符合“共享水城碧水蓝天”理念的是( ) A.禁止燃放烟花爆竹 B.工业废水经处理达标后排放 C.增大绿化面积,美化居住环境 D.生活垃圾集中后露天焚烧 5.(2分)下列关于微观粒子说法不正确的是( ) A.分子的质量一定比原子的质量大 B.同种原子可以构成不同种分子 C.所有原子都由原子核和核外电子构成 D.原子得到或失去电子变成离子 6.(2分)下列有关燃烧和灭火的说法正确的是( ) A.物质跟氧气的反应就是燃烧 B.通过降低可燃物的着火点可以灭火 C.可燃性气体中混有空气,遇明火一定发生爆炸 D.煤加工成粉末状,可使煤燃烧更充分 7.(2分)下列有关实验现象描述正确的是( ) A.电解水时,与正极和负极相连的玻璃管中产生气体的体积比是2:1 1B.铁丝在氧气中剧烈燃烧,火星四射,生成黑色固体 C.CO 气体通入紫色石蕊试液中,试液变成蓝色 2 D.把硫酸铵和氢氧化钙固体混合研磨,释放出有刺激性气味的氨气 8.(2分)稀土是现代工业的维生素。如图是稀土元素铈在元素周期表中的信息。下列说法不 正确的是( ) A.铈原子核内中子数是58 B.铈元素属于金属元素 C.铈元素的元素符号是Ce D.铈的相对原子质量是140.1 9.(3分)规范的实验操作是实验成功的保证。下列实验操作正确的是说法正确的是( ) A. 连接仪器 B. 读取液体体积 C. 称量食盐 2D. 蒸发食盐水 10.(3分)豆腐中含有多种人体所需的氨基酸,其中含量最多的是亮氨酸(化学式CH NO), 6 13 2 下列说法正确的是( ) A.亮氨酸属于无机物 B.亮氢酸中氢元素的质量分数最小 C.亮氨酸中碳、氢元素的质量比为6:13 D.亮氨酸由6个碳原子、13个氢原子,1个氮原子,2个氧原子构成 11.(3分)下列符号和数字与描述不相符的是( ) A.一个铁离子:Fe3+ B.两个镁原子:2Mg C.三个氢气分子:3H 2 D.NaCoO 中Co元素的化合价:Na O 2 2 12.(3分)归纳是化学学习过程中常用的方法,下列归纳中不正确的是( ) A.单质:氩气、液氧、铝粉 B.常量元素:钙、碳、氧 C.铵态氮肥:尿素、氯化铵、硝酸铵 D.新能源:氢能、太阳能,核能 13.(3 分)如图是某化学反应的微观模型示意图,据此分析正确的是( ) A.反应前后分子个数不变 B.反应物和生成物均为氧化物 C.反应前后各元素的化合价均没有变化 D.生成物中丙和丁分子个数比为2:1 14.(3分)下列实验操作不能达到实验目的是( ) 3选项 实验目的 实验操作 A 除去CaCl 溶液中混有少量 加入过量的氢氧化钙溶液 2 的HCl B 除去CO 中少量的CO 将混合气体通过灼热氧化铁 2 粉末 C 鉴别棉线和羊毛线 点燃后,闻气昧 D 鉴别NaCl和NHNO 固体 分别加少量水溶解 3 4 A.A B.B C.C D.D 15.(3分)逻辑推理是一种重要的化学思维方法。下列推理合理的是( ) A.在同一化合物中,金属元素显正价,则非金属元素一定显负价 B.化学变化伴随着能量的变化,则有能量变化的一定是化学变化 C.蜡烛燃烧生成二氧化碳和水,则蜡烛组成中一定含有碳元素和氢元素 D.催化剂的质量在反应前后不变,则在反应前后质量不变的物质一定是该反应的催化剂 16.(3分)下列图象不能正确反应其对应变化关系的是( ) A. 相同质量的炭粉分别在足量的氧气和空气中燃烧 B. 浓硫酸长期露置在空气中 C. 向表面生锈的铁钉中滴加过量的稀盐酸 D. 向一定量氯化铜溶液中滴加氢氧化钠溶液 4二、填空题{本包括4个小题,共28分) 17.(8分)物质世界处处离不开化学。从氧化钙、硝酸钾、氮气、碳酸氢钠中选取合适的物质, 将其化学式填写在下列横线上。 (1)常作保护气的物质 ; (2)可作食品干燥剂的物质 ; (3)用作发酵粉的物质 ; (4)用作化肥的物质 。 18.(6分)根据所给氯化钠和碳酸钠的溶解度及溶解度曲线的信息,回答下列问题: 温度 0℃ 10℃ 20℃ 30℃ 40℃ 氯化钠 35 35.5 36 36.5 37 溶解度/g 碳酸钠溶解 6 10 18 36.5 50 度/g (1)t℃时,NaCl的溶解度是 g。 1 (2)t℃时,将40g NaCO 固体加入50g水中,充分溶解后所得NaCO 溶液中溶质与溶剂 2 2 3 2 3 的质量比为 。 (3)若NaCO 中混有少量的NaCl,提纯NaCO 应采取的方法是 (填“降温结晶” 2 3 2 3 或“蒸发结晶”) 19.(8分)社会在进步,我们的生活进入了新时代,请从化学的视角回答下列生活中的相关 问题: (1)网购已成为人们生活的一部分,小刚通过“美团”网站订购了外卖套餐:红烧排骨、 西红柿鸡蛋、米饭,其中富含糖类的食物是 。 (2)常食用黑木耳、绿叶蔬菜可补充人体所需的铁元素,铁元素摄入不足可能会引起的疾 病是 症。 (3)饮用水的质量越来越被人们所关注,目前市场上出售的净水器中的活性炭主要起 5作用。 (4)“中国高铁”已成为我国的一张新名片,其车身主要采用的镍铬奥氏体不锈钢属于 (填序号) A.无机非金属材料B.金属材料C.有机合成材料D.复合材料 20.(6分)A、B、C、D、E是初中化学中常见物质。A、B是两种单质,D是蓝色溶液,E是世界产量 最多的金属,它们之间的关系如图所示。试回答: (1)A的化学式 ; (2)写出D→B的化学方程式 ,属于 反应(填基本反应类型)。 三、实验探究题(本题包括2个小题,共22分) 21.(10分)请结合如图装置图回答问题: (1)仪器①的名称是 。 (2)把装置A制取的某气体从装置B的a端通入,B中蜡烛燃烧更旺,则装置A中发生反应 的化学方程式是 。你认为下列哪些物质不能单独作为制取该气体的反应物 (填序号)。 A.NaCl B.KMnO C.HO D D.CH 4 2 4 (3)用装置A、C制取并收集该气体,当装置C中的导管口有气泡 冒出时,再把导管 口伸入盛满水的集气瓶里。在收集过程中发现装置A中有大量气泡产生,而装置C中只有 少量气泡冒出。你认为实验过程中忘记了什么操作 。 22.(12分)聊城市某学校2019年实验操作模拟训练的一个题目是:鉴别稀硫酸,稀盐酸和氢 氧化钠三种无色溶液。小组的同学把标有序号1、2、3的三种溶液分别滴入标有对应序号 的三支试管中,向三支试管中滴加酚酞试液,如甲图,鉴别出1号溶液,再向另两支试管中 6滴加BaCl 溶液,如乙图。 2 请回答: (1)1号试管中是 溶液。 (2)乙图中2号试管发生化学反应的实质是 (填微粒名称)结合生成白色沉淀。把 该试管反应后的物质进行过滤,得到滤液。 【提出问题】除含有酚酞外,滤液中溶质的成分是什么? 【猜想假设】猜想一:HCl;猜想二:HCl和 ;猜想三:HCl和BaCl。 2 【进行实验】①取一定量的滤液于试管中,向试管中滴加NaSO 溶液,有白色沉淀生成,猜 2 4 想 正确。 ②为了验证该滤液的酸碱性,将一片pH试纸放在干燥的玻璃片上,用 蘸取该滤液, 滴到试纸上,立即将试纸显示的颜色与pH标准比色卡进行对照,读出pH=5。 【交流拓展】2号试管中滤液显酸性,要将该滤液调至中性,可向滤液中加入适量 (填序号)。 A.铁粉 B.氯化钙溶液 C.石灰石 四、计算题(本题包括1个小题,共10分) 23.(10分)向200g NaCl和BaCl 的混合溶液中加入NaCO 溶液。反应过程中滴加NaCO 溶 2 2 3 2 3 液的质量与生成沉淀的质量关系如图所示。请计算: (1)m的值是 g; (2)原混合溶液中BaCl 的质量分数是多少? 2 782019年山东省聊城市中考化学试卷 参考答案与试题解析 一、选择题本题包括16个小题,共40分.每小题只有一个选项符合题意.1~8小题每题2分, 9~16小每题3分) 1.【分析】有新物质生成的变化叫化学变化,没有新物质生成的变化叫物理变化,分离液态空 气、酒精挥发、水果榨汁都属于物理变化。化学变化的特征是:有新物质生成。判断物理变 化和化学变化的依据是:是否有新物质生成。 【解答】解:A、分离液态空气没有新物质生成,属于物理变化;故选项错误; B、酒精挥发没有新物质生成,属于物理变化;故选项错误; C、煤气燃烧生成二氧化碳,属于化学变化;故选项正确; D、水果榨汁没有新物质生成,属于物理变化;故选项错误; 故选:C。 【点评】本考点考查了物理变化和化学变化的区别,基础性比较强,只要抓住关键点:是否 有新物质生成,问题就很容易解决。本考点主要出现在选择题和填空题中。 2.【分析】A、根据硬水和软水的检验方法,进行分析判断。 B、根据汽油能溶解油污,进行分析判断。 C、根据选项说法没有指明温度、溶液的质量,进行分析判断。 D、根据溶液是均一稳定的混合物,进行分析判断。 【解答】解:A、硬水和软水的区别在于所含的钙镁离子的多少,可用肥皂水来区分硬水和 软水,不能用明矾区分硬水和软水,故选项说法错误。 B、汽油能溶解油污,可以除去衣服上的油污,故选项说法错误。 C、选项说法没有指明温度、溶液的质量,饱和溶液不一定比不饱和溶液含溶质多,故选项 说法正确。 D、均一、稳定的液体不一定是溶液,如水,故选项说法错误。 故选:C。 【点评】本题难度不大,掌握饱和溶液的特征、溶液的特征、溶解原理、硬水和软水的检验 方法等是正确解答本题的关键。 3.【分析】学探究的主要环节有提出问题→猜想与假设→制定计划(或设计实验)→进行实验 →收集证据→解释与结论→反思与评价→拓展与迁移,据此结合题意进行分析判断。 【解答】解:根据题意,某同学在点燃蜡烛时,提出固体石蜡可能变成蒸气才能燃烧,提出 9固体石蜡可能变成蒸气才能燃烧是猜想与假设环节。 A、“某同学在点燃蜡烛时,提出固体石蜡可能变成蒸气才能燃烧”这一过程,属于科学探 究环节中的猜想与预测,不是提出问题,故选项错误。 B、“某同学在点燃蜡烛时,提出固体石蜡可能变成蒸气才能燃烧”这一过程,属于科学探 究环节中猜想与预测,故选项正确。 C、“某同学在点燃蜡烛时,提出固体石蜡可能变成蒸气才能燃烧”这一过程,属于科学探 究环节中的猜想与预测,不属于进行实验,故选项错误。 D、“某同学在点燃蜡烛时,提出固体石蜡可能变成蒸气才能燃烧”这一过程,属于科学探 究环节中的猜想与预测,不是获得结论,故选项错误。 故选:B。 【点评】本题难度不大,考查的是科学探究方法,是研究初中化学问题的重要方法,了解科 学探究的基本环节是正确解答本题的关键。 4.【分析】防止环境污染的措施有:工厂排放的废气经过处理再排放、工业废水经处理达标后 排放、植树造林、合理开发新能源、禁止燃放烟花爆竹等。 【解答】解:A、禁止放烟花爆竹,符合“共享水城碧水蓝天”理念;故选项错误; B、工业废水经处理达标后排放,符合“共享水城碧水蓝天”理念;故选项错误; C、增大绿化面积,美化居住环境,符合“共享水城碧水蓝天”理念;故选项错误; D、生活垃圾集中后露天焚烧生成有害气体和烟尘,不符合“共享水城碧水蓝天”理念;故 选项正确; 故选:D。 【点评】环保问题已经引起了全球的重视,关于“三废”的处理问题,是中考的热点问题, 化学上提倡绿色化学工艺,要从源头上杜绝污染。 5.【分析】A.根据分子和原子不能比较质量大小进行分析; B.根据原子构成分子的特点进行分析; C.根据原子的内部构成进行分析; D.根据离子的形成进行分析。 【解答】解:A.分子和原子不能比较质量大小,有的分子质量比有的原子的质量大,有的分 子的质量比有的原子的质量小,故A错误; B.同种原子可以构成不同种分子,如氧原子可以构成O 和O 两种不同的分子,故B正确; 2 3 C.原子核和核外电子可以构成原子,因此原子都由原子核和核外电子构成的,故C正确; D.离子是带电的原子,所以原子得到或失去电子就变成离子,故D正确。 10故选:A。 【点评】通过回答本题进一步熟悉了分子、原子和离子的区别和联系,属于基础知识的考 查。 6.【分析】A.根据氧气的性质来分析; B.根据灭火的原理来分析; C.根据发生爆炸的条件来分析; D.格局促进燃料燃烧的方法来分析。 【解答】解:A.缓慢氧化也是物质与氧气发生的反应,但不属于燃烧,故错误; B.着火点是可燃物的属性,人为不能降低,故错误; C.可燃性气体中混有空气,遇明火不一定发生爆炸,需要在爆炸极限范围内才会发生爆炸, 故错误; D.煤加工成粉末状,增大了煤与空气的接触面积,能使煤炭充分燃烧,故正确。 故选:D。 【点评】本题难度不大,掌握燃烧的条件、灭火的原理等并能灵活运用是正确解答本题的 关键。 7.【分析】A、根据电解水的现象和结论分析; B、根据铁丝在氧气中燃烧的现象分析; C、根据二氧化碳能与水化合生成了碳酸分析; D、根据硫酸铵与氢氧化钙的反应分析。 【解答】解:A、电解水时,与正极和负极相连的玻璃管中产生气体的体积比是1:2,故A错 误; B、铁丝在氧气中剧烈燃烧,火星四射,生成黑色固体,故B正确; C、CO 气体通入紫色石蕊试液中,由于二氧化碳能与水化合生成了碳酸,碳酸显酸性,试液 2 变成红色,故C错误; D、把硫酸铵和氢氧化钙固体混合研磨,释放出有刺激性气味的气体,生成了氨气是结论不 是现象。故D错误。 故选:B。 【点评】本题难度不大,掌握常见物质燃烧的现象、性质等即可正确解答,在描述物质燃烧 的现象时,需要注意光和火焰、烟和雾、实验结论和实验现象的区别。 8.【分析】根据稀土元素铈在元素周期表中的相关信息,可以直接得到原子序数、元素符号、 元素名称及相对原子质量来解答。 11【解答】解:A.由图中的信息可知,原子序数为58,故A错误; B.由图中的信息可知,元素名称为“铈”,其偏旁部首为“金”,则属于金属元素,故B 正确; C.由图中的信息可知,铈元素的元素符号是Ce,故C正确; D.由图可知,名称下方的数字为相对原子质量,即相对原子质量为140.1,说法正确; 故选:A。 【点评】本题考查学生对元素周期表中的一个小格中信息的认识,学生应明确不同位置的 数字表示的意义,能根据名称判断元素的类别。 9.【分析】A、根据把橡皮塞塞进试管口的方法进行分析判断。 B、根据量筒读数时视线要与凹液面的最低处保持水平进行分析判断。 C、根据托盘天平的使用要遵循“左物右码”的原则进行分析判断。 D、根据蒸发操作的注意事项进行分析判断。 【解答】解:A、把橡皮塞慢慢转动着塞进试管口,切不可把试管放在桌上在使劲塞进塞子, 以免压破试管,图中所示操作错误。 B、量取液体时,视线与液体的凹液面最低处保持水平,图中视线没有与液体的凹液面最低 处保持水平,操作错误。 C、托盘天平的使用要遵循“左物右码”的原则,图中所示操作砝码与药品位置放反了,图 中所示操作错误。 D、蒸发时,应用玻璃棒不断搅拌,以防止局部温度过高,造成液体飞溅,图中所示操作正 确。 故选:D。 【点评】本题难度不大,熟悉各种仪器的用途及使用注意事项、常见化学实验基本操作的 注意事项是解答此类试题的关键。 10.【分析】根据化学式的意义进行相关的计算,注意要结合题目要求以及使用正确的相对原 子质量进行分析和解答。 【解答】解: A、亮氨酸(化学式CH NO)是含碳化合物且具有有机物的性质,属于有机物。错误; 6 13 2 B、亮氨酸(化学式CH NO)中碳氢氮氧元素质量比为(12×6):(1×13):14:(16×2)= 6 13 2 72:13:14:32,所以亮氨酸(化学式CH NO)中氢元素质量分数最小。正确; 6 13 2 C、6:13是亮氨酸(化学式CH NO)中碳氢原子个数比而非质量比。错误; 6 13 2 D、亮氨酸(化学式CH NO)是亮氨酸(化学式CH NO)分子构成而非原子直接构成。错误; 6 13 2 6 13 2 12故选:B。 【点评】根据化学式计算首先要确保化学式本身正确,其次过程中使用相对原子质量要准 确。 11.【分析】A、离子的表示方法,在表示该离子的元素符号右上角,标出该离子所带的正负电 荷数,数字在前,正负符号在后,带1个电荷时,1要省略。若表示多个该离子,就在其离子 符号前加上相应的数字。 B、原子的表示方法,用元素符号来表示一个原子,表示多个该原子,就在其元素符号前加 上相应的数字。 C、分子的表示方法,正确书写物质的化学式,表示多个该分子,就在其分子符号前加上相 应的数字。 D、根据在化合物中正负化合价代数和为零,进行分析判断。 【解答】解:A、由离子的表示方法,在表示该离子的元素符号右上角,标出该离子所带的正 负电荷数,数字在前,正负符号在后,带1个电荷时,1要省略。若表示多个该离子,就在其 离子符号前加上相应的数字,故一个铁离子可表示为Fe3+,故选项化学用语表示正确。 B、由原子的表示方法,用元素符号来表示一个原子,表示多个该原子,就在其元素符号前 加上相应的数字,故两个镁原子可表示为2Mg,故选项化学用语表示正确。 C、由分子的表示方法,正确书写物质的化学式,表示多个该分子,就在其分子符号前加上 相应的数字,则三个氢气分子可表示为3H,故选项化学用语表示正确。 2 D、钠元素显+1价,氧元素显﹣2价,设钴元素的化合价是x,根据在化合物中正负化合价 代数和为零,可得:(+1)+x+(﹣2)×2=0,则x=+3价,故选项化学用语表示错误。 故选:D。 【点评】本题难度不大,掌握常见化学用语(原子符号、分子符号、化合价、离子符号等)的 书写方法、离子符号与化合价表示方法的区别等是正确解答此类题的关键。 12.【分析】A.根据单质的定义进行分析; B.根据常量元素和微量元素进行分析; C.根据铵态氮肥的定义进行分析; D.根据常见的新能源进行分类。 【解答】解:A.由同种元素组成的纯净物叫单质,氩气、液氧、铝粉都是单质,故A正确; B.钙、碳、氧都是常量元素,故B正确; C.由铵根离子和酸根离子构成的化合物叫铵态氮肥;铵态氮肥要有铵根,而尿素没有铵根, 不是铵态氮肥,故C错误; 13D.氢能、太阳能,核能、风能、地热能、潮汐能都属于新能源,故D正确。 故选:C。 【点评】本题考查了单质的概念、常量元素和微量元素、新能源和铵态氮肥等知识,综合性 较强,但难度不大,熟练掌握相应知识是解决本题的关键。 13.【分析】观察化学反应的微观模型示意图,分析反应物、生成物及反应的条件,写出反应的 化学方程式,据其意义分析判断回答有关的问题。 【解答】解:由化学反应的微观模型示意图可知,该反应的化学方程式是:2NO+2CO N+2CO。 2 2 A、由方程式可知,该反应每4个分子变化成了3个分子,反应前后分子个数发生了变化, 故A分析不正确; B、由物质的组成可知,生成物有一种是单质不是氧化物,故B分析不正确; C、该反应有单质生成,一定有化合价的变化,故C分析不正确; D、由方程式可知,生成物中丙和丁分子个数比为2:1,故D分析正确。 故选:D。 【点评】读懂表示分子构成的模拟图,是解答问题的基础;同种原子构成的分子为单质分 子,不同原子构成的分子为化合物分子。 14.【分析】A.根据加入加入过量的氢氧化钙溶液会使溶液中添加新杂质氢氧化钙进行分析; B.根据一氧化碳和灼热的氧化铁反应生成二氧化碳,二氧化碳不和灼热的氧化铁不反应 进行分析; C.根据棉线和羊毛线点燃后发出的气味不同进行分析; D.根据NHNO 固体溶于水吸热,氯化钠溶于水温度不变进行分析。 3 4 【解答】解:A.加入过量的氢氧化钙溶液虽然把盐酸除去了,却引入了新的杂质氢氧化钙, 故A错误; B.可将混有少量CO的CO 气体通过灼热氧化铁粉末把一氧化碳除去,故B正确; 2 C.点燃棉线的烧纸的气味,点燃羊毛线有烧焦羽毛的气味,故C正确; D.由于NHNO 固体溶于水吸热,氯化钠溶于水温度不变,可以通过分别加少量水溶解,把 3 4 二者分开,故D正确。 故选:A。 【点评】化学来源于生产、生活,也服务于生产、生活,与生产、生活相关的化学知识,关乎 我们的生存、健康和社会的发展,是中考热点之一。 1415.【分析】化学反应遵循质量守恒定律,即参加反应的物质的质量之和,等于反应后生成的 物质的质量之和,是因为化学反应前后,元素的种类不变,原子的种类、总个数不变。 【解答】解:A、在同一化合物中,金属元素显正价,非金属元素不一定显负价,例如氢氧化 钠中,氢元素化合价是+1,该选项说法不正确; B、有能量变化的不一定是化学变化,例如电灯通电时放热,不是化学变化,该选项说法不 正确; C、蜡烛燃烧生成二氧化碳和水,则蜡烛组成中一定含有碳元素和氢元素,该选项说法正确; D、在反应前后质量不变的物质不一定是该反应的催化剂,例如红磷在空气中燃烧时,氮气 反应前后质量不变,但是氮气不是催化剂,该选项说法不正确。 故选:C。 【点评】化学反应遵循质量守恒定律,即化学反应前后,元素的种类不变,原子的种类、总 个数不变,这是书写化学方程式、判断物质的化学式、判断化学计量数、进行相关方面计 算的基础。 16.【分析】碳燃烧生成二氧化碳; 浓硫酸能够吸收水蒸气; 盐酸和氧化铁反应生成氯化铁和水,和铁反应生成氯化亚铁和氢气; 氢氧化钠和氯化铜反应生成蓝色沉淀氢氧化铜和氯化钠。 【解答】解:A、炭粉在氧气、空气中燃烧都生成二氧化碳,在氧气中燃烧速率较快,反应需 要时间短,最终生成二氧化碳质量相等,该选项对应关系正确; B、浓硫酸能够吸收水蒸气,溶质质量分数变小,都是不能减小到0,该选项对应关系不正 确; C、向表面生锈的铁钉中滴加过量的稀盐酸,稀盐酸先和氧化铁反应生成氯化铁和水,后和 铁反应生成氯化亚铁和氢气,该选项对应关系正确; D、向一定量氯化铜溶液中滴加氢氧化钠溶液,氢氧化钠和氯化铜反应生成蓝色沉淀氢氧 化铜和氯化钠,氯化铜完全反应后沉淀质量不再变化,该选项对应关系正确。 故选:B。 【点评】本题主要考查物质的性质,解答时要根据各种物质的性质,结合各方面条件进行 分析、判断,从而得出正确的结论。 二、填空题{本包括4个小题,共28分) 17.【分析】首先根据题意确定物质的化学名称,然后根据书写化学式的方法和步骤写出物质 的化学式即可。 15【解答】解:(1)氮气的化学性质不活泼,是常作保护气的物质,其化学式为:N。 2 (2)氧化钙能与水反应生成氢氧化钙,是可作食品干燥剂的物质,其化学式为:CaO。 (3)碳酸氢钠可用作发酵粉,其化学式为:NaHCO。 3 (4)硝酸钾含有氮元素和钾元素,可用作化肥,其化学式为:KNO。 3 故答案为: (1)N; 2 (2)CaO; (3)NaHCO; 3 (4)KNO。 3 【点评】本题难度不大,熟练掌握常见物质的性质、用途、组成及化学式的书写是正确解答 此类题的关键所在。 18.【分析】根据题目信息和溶解度曲线可知:氯化钠和碳酸钠两种固体物质的溶解度,都是 随温度升高而增大,而碳酸钠的溶解度随温度的升高变化不氯化钠大;(1)t℃时,NaC1 1 的溶解度是36.5g; (2)有关的计算要准确; (3)若NaCO 中混有少量的NaCl,提纯NaCO 应采取的方法是:降温结晶。 2 3 2 3 【解答】解:(1)t℃时,NaC1的溶解度是36.5g,因为在该温度下氯化钠和碳酸钠两种固 1 体物质的溶解度相等;故答案为:36.5; (2)t℃时,将40gNaCO 固体加入50g水中,充分溶解后所得NaCO 溶液中溶质与溶剂的 2 2 3 2 3 质量比=20g:50g=2:5;故答案为:2:5; (3)若NaCO 中混有少量的NaCl,提纯NaCO 应采取的方法是:降温结晶;因为碳酸钠的 2 3 2 3 溶解度随温度的升高变化不氯化钠大;故答案为:降温结晶; 【点评】本考点考查了溶解度曲线及其应用,通过溶解度曲线我们可以获得很多信息;还 考查了有关溶液的计算和溶液结晶的方法等,有关的计算要准确,本考点主要出现在选择 题和填空题中。 19.【分析】(1)根据人体所需六大营养素的食物来源进行分析; (2)根据微量元素对人体的影响进行分析; (3)根据活性炭具有吸附性进行分析; (4)根据物质的分类进行分析。 【解答】解:(1)红烧排骨富含油脂;西红柿鸡蛋富含维生素和蛋白质;米饭富含糖类; (2)铁元素摄入不足可能会引起的疾病是缺铁性贫血症; 16(3)活性炭具有疏松多孔结构,目前市场上出售的净水器中的活性炭主要起吸附作用; (4)车身主要采用的镍铬奥氏体不锈钢属于金属材料。 故答案为: (1)米饭; (2)缺铁性贫血症; (3)吸附; (4)B。 【点评】生活处处有化学,学会用所学的化学知识,解决生活中的实际问题。 20.【分析】根据A、B、C、D、E是初中化学中常见物质。A、B是两种单质,D是蓝色溶液,E是世 界产量最多的金属,所以E是铁,C和硫酸反应生成D,所以D是硫酸铜,硫酸铜和铁反应 生成硫酸亚铁和铜,所以B是铜,A和B反应生成C,所以C是氧化铜,A是氧气,然后将推 出的物质进行验证即可。 【解答】解:(1)A、B、C、D、E是初中化学中常见物质。A、B是两种单质,D是蓝色溶液,E是 世界产量最多的金属,所以E是铁,C和硫酸反应生成D,所以D是硫酸铜,硫酸铜和铁反 应生成硫酸亚铁和铜,所以B是铜,A和B反应生成C,所以C是氧化铜,A是氧气,经过验 证,推导正确,所以A的化学式是O; 2 (2)D→B的反应是铁和硫酸铜反应生成硫酸亚铁和铜,化学方程式为:CuSO+Fe= 4 FeSO+Cu,属于置换反应。 4 故答案为:(1)O; 2 (2)CuSO+Fe=FeSO+Cu,置换。 4 4 【点评】在解此类题时,首先将题中有特征的物质推出,然后结合推出的物质和题中的转 化关系推导剩余的物质,最后将推出的各种物质代入转化关系中进行验证即可。 三、实验探究题(本题包括2个小题,共22分) 21.【分析】(1)锥形瓶是常用的反应容器; (2)制取装置包括加热和不需加热两种,如果用双氧水和二氧化锰制氧气就不需要加热, 如果用高锰酸钾或氯酸钾制氧气就需要加热。氧气的密度比空气的密度大,不易溶于水, 因此能用向上排空气法和排水法收集。实验室制取CO,是在常温下,用大理石或石灰石和 2 稀盐酸制取的,碳酸钙和盐酸反应生成氯化钙和水和二氧化碳,因此不需要加热。二氧化 碳能溶于水,密度比空气的密度大,因此只能用向上排空气法收集。 (3)用排水法收集较纯净氧气的适宜时间是:当导管口有连续均匀气泡冒出时;在收集过 程中发现装置A中有大量气泡产生,而装置C中只有少量气泡冒出,我认为实验过程中忘 17记了检查装置的气密性。 【解答】解:(1)锥形瓶是常用的反应容器,故答案为:锥形瓶; (2)把装置A制取的某气体从装置B的a通入,B中蜡烛燃烧更旺,则装置A中生成额是氧 气,过氧化氢在二氧化锰做催化剂的条件下生成水和氧气,要注意配平;故答案为:2HO 2 2 2HO+O↑;AC; 2 2 (3)用排水法收集较纯净氧气的适宜时间是:当导管口有连续均匀气泡冒出时;在收集过 程中发现装置A中有大量气泡产生,而装置C中只有少量气泡冒出,我认为实验过程中忘 记了检查装置的气密性;故答案为:检查装置的气密性; 【点评】本考点主要考查了仪器的名称、气体的制取装置和收集装置的选择,同时也考查 了化学方程式的书写等,综合性比较强。气体的制取装置的选择与反应物的状态和反应的 条件有关;气体的收集装置的选择与气体的密度和溶解性有关。本考点是中考的重要考点 之一,主要出现在实验题中。 22.【分析】(1)无色酚酞溶液遇酸性溶液不变色,遇碱性溶液变红,进行分析解答。 (2)乙图中2号试管中氯化钡溶液能与稀硫酸反应生成硫酸钡白色沉淀和盐酸,进行分析 解答。 【猜想假设】氯化钡溶液能与稀硫酸反应生成硫酸钡白色沉淀和盐酸,根据反应物氯化钡、 稀硫酸可能有剩余,进行分析解答。 【进行实验】①取一定量的滤液于试管中,向试管中滴加NaSO 溶液,有白色沉淀生成,生 2 4 成的白色沉淀是硫酸钡,进行分析解答。 ②根据用pH试纸测定未知溶液的pH的方法,进行分析解答。 【交流拓展】根据酸的化学性质,进行分析解答。 【解答】解:(1)无色酚酞溶液遇酸性溶液不变色,遇碱性溶液变红,1号试管颜色变红色, 说明显碱性,1号试管中是氢氧化钠溶液。 (2)乙图中2号试管中氯化钡溶液能与稀硫酸反应生成硫酸钡白色沉淀,发生化学反应的 实质是钡离子和硫酸根离子结合生成硫酸钡白色沉淀。 【猜想假设】氯化钡溶液能与稀硫酸反应生成硫酸钡白色沉淀和盐酸,猜想二可以是HCl 和HSO。 2 4 【进行实验】①取一定量的滤液于试管中,向试管中滴加NaSO 溶液,有白色沉淀生成,生 2 4 成的白色沉淀是硫酸钡,说明溶液中含有钡离子,则猜想三正确。 18②用pH试纸测定未知溶液的pH时,正确的操作方法为取一片pH试纸放在玻璃片或白瓷 板上,用玻璃棒蘸取少量待测液滴在干燥的pH试纸上,与标准比色卡对比来确定pH。 【交流拓展】2号试管中滤液显酸性,要将该滤液调至中性,铁粉、石灰石能与稀硫酸反应, 但稀硫酸与块状石灰石反应生成微溶于水的硫酸钙,会覆盖在石灰石表面,阻止反应的进 行,可向滤液中加入适量铁粉。 故答案为: (1)氢氧化钠; (2)钡离子和硫酸根离子; 【猜想假设】HSO; 2 4 【进行实验】①三;②玻璃棒; 【交流拓展】A。 【点评】本题有一定难度,熟练掌握酸碱盐的化学性质、无色酚酞溶液的性质是正确解答 本题的关键。 四、计算题(本题包括1个小题,共10分) 23.【分析】根据前两次数据和m对应的第三次也是恰好完全反应分析m的数值,进而结合对 应的化学方程式求算原混合溶液中BaCl 的质量分数。 2 【解答】解: 根据前两次可以看出每20g碳酸钠溶液对应1.97g沉淀,且加入60g碳酸钠溶液恰好氯 化钡完全沉淀对应质量为m,所以m=3×1.97g=5.91g 原混合溶液中BaCl 的质量分数为x 2 BaCl+NaCO=BaCO↓+2NaCl 2 2 3 3 208 197 200gx 5.91g = x=3.12% 故答案为: (1)5.91; (2)3.12%。 【点评】根据化学方程式计算时,第一要正确书写化学方程式,第二要使用正确的数据,第 三计算过程要完整。 1920