当前位置:首页>文档>广东省2018年中考化学真题试题(含解析)_中考真题_5.化学中考真题2015-2024年_2018中考真题卷(277份)

广东省2018年中考化学真题试题(含解析)_中考真题_5.化学中考真题2015-2024年_2018中考真题卷(277份)

  • 2026-04-24 06:51:09 2026-02-22 17:12:35

文档预览

广东省2018年中考化学真题试题(含解析)_中考真题_5.化学中考真题2015-2024年_2018中考真题卷(277份)
广东省2018年中考化学真题试题(含解析)_中考真题_5.化学中考真题2015-2024年_2018中考真题卷(277份)
广东省2018年中考化学真题试题(含解析)_中考真题_5.化学中考真题2015-2024年_2018中考真题卷(277份)
广东省2018年中考化学真题试题(含解析)_中考真题_5.化学中考真题2015-2024年_2018中考真题卷(277份)
广东省2018年中考化学真题试题(含解析)_中考真题_5.化学中考真题2015-2024年_2018中考真题卷(277份)
广东省2018年中考化学真题试题(含解析)_中考真题_5.化学中考真题2015-2024年_2018中考真题卷(277份)
广东省2018年中考化学真题试题(含解析)_中考真题_5.化学中考真题2015-2024年_2018中考真题卷(277份)
广东省2018年中考化学真题试题(含解析)_中考真题_5.化学中考真题2015-2024年_2018中考真题卷(277份)
广东省2018年中考化学真题试题(含解析)_中考真题_5.化学中考真题2015-2024年_2018中考真题卷(277份)
广东省2018年中考化学真题试题(含解析)_中考真题_5.化学中考真题2015-2024年_2018中考真题卷(277份)
广东省2018年中考化学真题试题(含解析)_中考真题_5.化学中考真题2015-2024年_2018中考真题卷(277份)
广东省2018年中考化学真题试题(含解析)_中考真题_5.化学中考真题2015-2024年_2018中考真题卷(277份)
广东省2018年中考化学真题试题(含解析)_中考真题_5.化学中考真题2015-2024年_2018中考真题卷(277份)
广东省2018年中考化学真题试题(含解析)_中考真题_5.化学中考真题2015-2024年_2018中考真题卷(277份)

文档信息

文档格式
doc
文档大小
0.537 MB
文档页数
14 页
上传时间
2026-02-22 17:12:35

文档内容

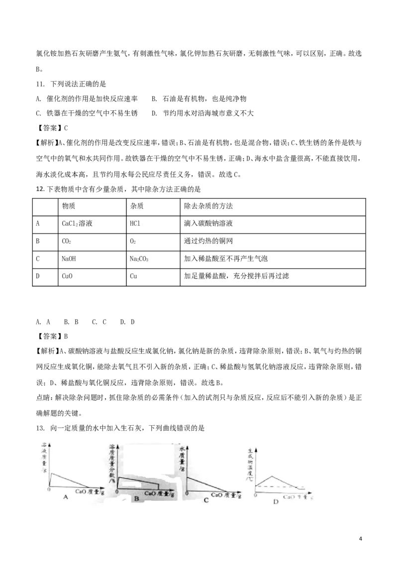
广东省2018年中考化学真题试题 可能用到的相对原子质量: H-1 Li-7 C-12 0-16 P-31 S-32 C1-35.5 Ca-40 Fe-56 一、选择题 1. 下图属“用后必须洗手”标志(贴在微毒或有毒的试剂瓶上)的是 A. A B. B C. C D. D 【答案】B 【解析】A、是节约用水的标志,错误;B、是“用后必须洗手”标志,正确;C、是禁止饮用的标志,错误;D、是腐 蚀品标志,错误。故选B。 点睛:熟悉各种标志表示的含义是解题关键。 2. 中华传统文化博大精深,下列古诗中不涉及化学变化的是 A. 梅须逊雪三分白,雪却输梅一段香 B. 爆竹声中一岁除,春风送暖入屠苏 C. 爝火燃回春浩浩,洪炉照破夜沉沉 D. 千锤万凿出深山,烈火焚烧若等闲 【答案】A 【解析】A、梅须逊雪三分白,雪却输梅一段香的意思是梅花须逊让雪花三分晶莹洁白,雪花却输给梅花一段清 香(即梅不如雪白,雪没有梅香),无新物质生成,属于物理变化,正确;B、爆竹爆炸过程中有新物质二氧化碳 等生成,属于化学变化,错误;C、煤炭燃烧过程中有新物质二氧化碳等生成,属于化学变化,错误;D、高温煅 烧石灰石过程中有新物质氧化钙等生成,属于化学变化,错误。故选A。 点睛:物理变化和化学变化的根本区别在于是否有新物质生成。如果有新物质生成,则属于化学变化;反之, 则是物理变化。 3. 下列水果中酸度最强的是 A. 菠萝pH=4.1 B. 木瓜pH-5.5 C. 草莓pH=3.2 D. 柠檬pH=2.3 【答案】D 1【解析】pH越小,酸性越强。2.3<3.1<4.1<5.5。故选D。 4. 下列说法正确的是 A. 溶液都是均一、稳定、无色透明的 B. 金刚石、石墨、活性炭性质相同 C. 排放CO 是引起酸雨的主要原因 2 D. 空气中O 的体积约占21% 2 【答案】D 【解析】A、溶液不一定都是无色的,如硫酸铜溶液是蓝色的,错误;B、金刚石、石墨、活性炭化学性质性质相同, 错误;C、排放SO 是引起酸雨的主要原因,错误;D、空气中O 的体积约占21%,正确。故选D。 2 2 5. 下列物质不属于复合材料的是 A. 塑料 B. 玻璃钢 C. 碳素陶瓷 D. 钢筋混凝土 【答案】A 【解析】A、塑料属于合成材料,正确;B、玻璃钢属于复合材料,错误;C、碳素陶瓷属于复合材料,错误;D、钢筋 混凝土属于复合材料,错误。故选A。 6. 下列操作正确的是 A. A B. B C. C D. D 【答案】D 点睛:熟悉各种仪器的用途及使用注意事项、常见化学实验基本操作的注意事项是解答此类试题的关键。 7. 下列属于分解反应的是 2A. 2HO 2H↑+O↑ B. CO+2NaOH=NaCO+HO 2 2 2 2 2 3 2 C. C+HO CO+H D. NH+CO+HO=NHHCO 2 2 3 2 2 4 3 【答案】A 【解析】A、反应物一种,生成物两种,符合“一变多”的形式,属于分解反应,正确;B、反应物有两种,生成物 两种,不符合“一变多”的形式,不属于分解反应,错误;C、反应物有两种,生成物两种,不符合“一变多” 的形式,不属于分解反应,错误;D、反应物有两种,生成物三种,不符合“一变多”的形式,不属于分解反应, 错误。故选A。 点睛:掌握分解反应的特征是解题关键。 8. 有一混合气体通过澄清石灰水无明显现象,剩余气体经浓硫酸洗气后点燃,在火焰上方罩上干冷烧杯,内 壁出现水雾。符合上述现象的气体组合是 A. H、CO、CO B. N、O、CO C. H、CH、CO D. H、CH、CO 2 2 2 2 2 2 4 2 4 2 【答案】C 【解析】· 通过澄清石灰水无明显现象,说明无二氧化碳;经浓硫酸洗气后点燃,在火焰上方罩上干冷烧杯,内壁出现水 雾,说明该气体组合中含有氢元素。故选C。 9. 下表中知识的归纳正确的是 2O表示两个氧元素 有机物都易燃,都要远离火源 A用语 B安全 2O 表示两个氧分子 安全封闭房间烧含 碳燃料要防CO中毒 2 生活垃圾集中焚烧用于发电 儿童需补钙是因为缺乏微量元素钙 C环保 D生活 新制木家具通风放置让甲醛挥发 糖类、 脂肪、蛋白质和水都是营养素 A. A B. B C. C D. D 【答案】C 【解析】A、2O表示两个氧原子,错误;B、有机物不一定都易燃,如CCl,错误;C、生活垃圾集中焚烧,用于发电; 4 新制木家具通风放置,让甲醛挥发,正确;D、钙是人体内的常量元素,错误。故选C。 10. 区别下列物质的方法错误的是 A. 羊绒与棉花(灼烧) B. 醋酸与盐酸(滴入酚酞) C. 硬水与软水(加入肥皂水) D. 氯化钾与氯化铵(加熟石灰研磨) 【答案】B 【解析】A、灼烧羊毛有烧焦羽毛的气味,灼烧棉花没有,可以区别,正确;B、醋酸与盐酸都显酸性,滴入酚酞溶 液,都不变色,错误;C、硬水加肥皂水,起浮渣、泡沫少,软水加肥皂水无浮渣、泡沫丰富,可以区别,正确;D、 3氯化铵加熟石灰研磨产生氨气,有刺激性气味,氯化钾加熟石灰研磨,无刺激性气味,可以区别,正确。故选 B。 11. 下列说法正确的是 A. 催化剂的作用是加快反应速率 B. 石油是有机物,也是纯净物 C. 铁器在干燥的空气中不易生锈 D. 节约用水对沿海城市意义不大 【答案】C 【解析】A、催化剂的作用是改变反应速率,错误;B、石油是有机物,也是混合物,错误;C、铁生锈的条件是铁与 空气中的氧气和水共同作用。故铁器在干燥的空气中不易生锈,正确;D、海水中盐含量很高,不能直接饮用, 海水淡化成本高,且节约用水每公民应尽责任义务,错误。故选C。 12. 下表物质中含有少量杂质,其中除杂方法正确的是 物质 杂质 除去杂质的方法 A CaCl 溶液 HCl 滴入碳酸钠溶液 2 B CO O 通过灼热的铜网 2 2 C NaOH NaCO 加入稀盐酸至不再产生气泡 2 3 D CuO Cu 加足量稀盐酸,充分搅拌后再过滤 A. A B. B C. C D. D 【答案】B 【解析】A、碳酸钠溶液与盐酸反应生成氯化钠,氯化钠是新的杂质,违背除杂原则,错误;B、氧气与灼热的铜 网反应生成氧化铜,能除去氧气且不引入新的杂质,正确;C、稀盐酸与氢氧化钠溶液反应,违背除杂原则,错 误;D、稀盐酸与氧化铜反应,违背除杂原则,错误。故选B。 点睛:解决除杂问题时,抓住除杂质的必需条件(加入的试剂只与杂质反应,反应后不能引入新的杂质)是正 确解题的关键。 13. 向一定质量的水中加入生石灰,下列曲线错误的是 4A. A B. B C. C D. D 【答案】D 【解析】A、氧化钙与水反应生成氢氧化钙,溶液质量增加。当溶液饱和后溶液质量最大,继续加入氧化钙,氧 化钙与水继续反应,当水反应完后,溶液质量为0,正确;B、氧化钙与水反应生成氢氧化钙,溶质质量分数增 大。当溶液饱和后,溶质质量分数最大;继续加入氧化钙,氧化钙与水继续反应,溶液温度升高,氢氧化钙溶 解度变小,溶质质量分数减小,当水反应完后,溶液质量分数为0,正确;C、氧化钙与水反应生成氢氧化钙,当 加入氧化钙达到一定量时恰好与水完全反应,此时水的质量为0,正确;D、氧化钙与水反应温度升高,当氧化 钙恰好与水完全反应后温度最高,此后温度开始降低,但不会低于反应前的温度,错误。故选D。 点睛:要准确解答此类题,关键要对化学反应的知识熟练掌握,并能结合图象的数学意义,综合考虑;图象的 意义要抓住三点:①抓图象的起点,②抓图象的终点,③抓图象的变化过程。 14. 利用盐酸和硝酸银探究铁、铜、银的金属活动顺序,下列实验可以不需要进行的是 A. 铁+稀盐酸 B. 铜+稀盐酸 C. 银+稀盐酸 D. 铜+硝酸银溶液 【答案】C 二、 非选择题 15. “下图”是部分元素的离子结构示意图和元素周期表的一部分。 请回答: (1)图①、②中属于阴离子的是___(填序号),该元素的质子数为_____;13号元素原子的最外层电子数为 _____。 (2)由表中原子序数为1、8、13的元素组成物质的化学式为_____。 【答案】 (1). ② (2). 17 (3). 3 (4). Al(OH) 3 【解析】(1)根据质子数小于电子数解答;根据原子中质子数等于电子数解答;(2)根据1、8、13号元素分析解 答。(1)图①中质子数大于电子数,属于阳离子;图②中质子数小于电子数,属于阴离子,故选②;该元素的质 5子数为17;13号元素原子的最外层电子数为13-2-8=3;(2)1、8、13号元素分别为H、O、Al,它们组成物质的 化学式为Al(OH)。 3 16. “如图”表示元素的化合价与物质类别关系。若它表示氮元素的部分关系图。则: (1)A点对应的物质类别是_____;B点表示物质的化学式为______。 (2)某化合物的化学式为KNO,它代表的点是_______(填字母);写出由D点表示的物质与水发生反应生成E 3 的化学方程式___________。 【答案】 (1). 单质 (2). NO (3). F (4). NO+HO=2HNO 2 5 2 3 【解析】(1)根据单质的化合价为0解答;根据B点中氮的氧化物中氮元素的化合价为+2价解答;(2)根据KNO 3 属于盐及KNO 中氮元素的化合价分析解答;根据D点中氮的氧化物中氮元素显+5价及E点表示的酸中氮元 3 素的化合价为+5价分析解。(1)A点时氮元素的化合价为0,对应的物质类别是单质;B点中氮的氧化物中氮 元素的化合价为+2价,氧元素通常显-2价,故B点表示物质的化学式为NO;(2)KNO 属于盐;KNO 中钾元素显 3 3 +1价,氧元素显-2价,根据化合物中各元素正负化合价代数和为0可得氮元素的化合价为+5价,故它代表的 点是F;D点表示+5价氮的氧化物NO,E点表示的酸中氮元素显+5价,即为HNO;NO 与HO反应生成HNO, 2 5 3 2 5 2 3 反应的化学方程式为NO+HO=2HNO。 2 5 2 3 17. 2017年冬天,某小伙子为了取暖在卫生间里贴满了“暖宝宝”(该产品的部分说明书为:“暖身更暖心, 升温快。发热成分:高纯度铁粉、水、盐……;发热时间: 10小时;平均温度:52℃),他把门窗关闭以防暖气 泄漏。几分钟后,他失去意识而倒地,幸而被门外的朋友及时救起。请回答: (1)铁氧化发热,主要生成物的化学式为______;盐是催化剂,其质量和_____不变。 (2)该小伙子失去意识并不是温度过高和身体本身的原因,而是_____。 【答案】 (1). FeO (2). 化学性质 (3). 铁氧化消耗氧气,导致缺氧 2 3 【解析】(1)根据铁与氧气和水反应生成氧化铁解答;根据催化剂在化学反应中质量和化学性质都不变解答; (2)根据铁氧化发热需要消耗氧气解答。(1)铁与氧气和水反应生成氧化铁,化学式为FeO;盐是催化剂,其 2 3 质量和化学性质不变;(2)该小伙子失去意识并不是温度过高和身体本身的原因,而是铁氧化消耗氧气,导致 缺氧。 18. 下图为两物质的溶解度曲线。请回答: 6(1)50℃时,NaCrO 的溶解度为______g;60℃时溶解度:NaCrO_______NaSO(填“<”、“=”、“>”)。 2 2 7 2 2 7 2 4 (2)在50℃时,把210gNaCrO 饱和溶液降温到10℃时,析出NaCrO______g (假设不含结晶水)。 2 2 7 2 2 7 【答案】 (1). 110 (2). > (3). 50 【解析】根据溶解度曲线分析解答。(1)由溶解度曲线可知,50℃时,NaCrO 的溶解度为110g;由溶解度曲线 2 2 7 可知,60℃时溶解度:NaCrO>NaSO;(2)由溶解度曲线可知,50℃时,NaCrO 的溶解度为110g;10℃时, 2 2 7 2 4 2 2 7 NaCrO 的溶解度为60g。在50℃时,把210gNaCrO 饱和溶液降温到10℃时,析出NaCrO50g 。 2 2 7 2 2 7 2 2 7 19. 天然气可以在一定条件下合成甲醇。 (1)请把下图中反应物的微观示意图补画齐全。 (2)该反应的化学方程式为_________,基本反应类型为_______。 【答案】 (1). (2). 2CH+O 2CHOH 化合反应 4 2 3 【解析】根据化学反应前后原子的质种类和数目不变解答。(1) 7(2)该反应的化学方程式为2CH+O 2CHOH;该反应符合“多变 4 2 3 一”的形式,属于化合反应。 20. 学习了单质、氧化物、酸、碱、盐的性质后,发现有很多不同类别的物质在发生反应时都有盐生成(其它物 质省略),如图所示。请回答: (1)若盐是硫酸钾,则①中发生反应的化学方程式为__________________。 (2)若盐是氯化亚铁,则在已显示的变化中可以通过置换反应来实现的有______(填序号)。 (3)若盐是硝酸铜,由⑦来实现的化学方程式为:_________。 (4)图中⑤处应补充的文字是_______(写一种,不能与图中已有信息重复)。 【答案】 (1). 2KOH+HSO=KSO+2HO (2). ④⑥ (3). Ba(NO)+CuSO=Cu(NO)+BaSO↓[或 2 4 2 4 2 3 2 4 3 2 4 2AgNO+CuCl=2AgCl↓+Cu(NO)] (4). 金属氧化物+酸 3 2 3 2 【解析】(1)根据酸碱中和生成氯酸钾和水分析解答;(2)根据一种单质与一种化合物反应生成另一种单质和 另一种化合物分析解答;(3)根据盐与盐之间的反应属于复分解反应分析解答;(4)根据金属氧化物与酸反应 生成盐和水解答。(1)酸碱中和生成氯酸钾和水,该反应的化学方程式为2KOH+HSO=KSO+2HO;(2)若盐是氯 2 4 2 4 2 化亚铁,可通过铁与盐酸反应得到,也可以通过铁与盐溶液反应得到,故选④⑥;(3)反应⑦是盐与盐之间的 反应,一种生成物是硝酸铜,另一种生成物必须是沉淀(硫酸钡或氯化银)。该反应的化学方程式为Ba(NO) 3 +CuSO=Cu(NO)+BaSO↓[或2AgNO+CuCl=2AgCl↓+Cu(NO)];(4)图中⑤处应补充的文字是金属氧化物 2 4 3 2 4 3 2 3 2 +酸。 21. 孔雀石主要成分为Cu(OH)CO(难溶于水),还含有少量SiO(难溶于水、不与稀硫酸反应)、FeO 等杂质。 2 2 3 2 2 3 现以孔雀石为原料制取胆矾(CuSO·5HO)的部分工艺流程如图。 4 2 8请回答: (1)滤渣b的化学式为______。 (2)溶液c中的溶质有(写化学式):HSO、______、_______。 2 4 (3)盐溶液d的颜色为_______;实验室蒸发溶液时用到的玻璃仪器有_____(写1种)。 (4)在气体a生成CaCO 的过程中,发生反应:CO+CaCl+2NH+HO=CaCO↓+2X,X的名称为_______;孔雀石与 3 2 2 3 2 3 稀硫酸反应生成气体a的化学方程式为________。 【答案】 (1). SiO (2). CuSO (3). Fe(SO) (4). 蓝色 (5). 玻璃棒 (6). 氯化 2 4 2 4 3 铵 (7). Cu(OH)CO+2HSO=2CuSO+3HO+CO2↑ 2 2 3 2 4 4 2 【解析】(1)根据二氧化硅难溶于水、不与稀硫酸反应解答;(2)根据碱式碳酸铜与稀硫酸反应生成硫酸铜,氧 化铁与稀硫酸反应生成硫酸铁解答;(3)根据结晶后得到CuSO·5HO可知,盐溶液d是硫酸铜溶液解答;根 4 2 据实验室蒸发溶液时用玻璃棒进行搅拌解答;(4)根据质量守恒定律分析解答;根据碱式碳酸铜与稀硫酸反 应生成硫酸铜、水和二氧化碳解答。(1)二氧化硅难溶于水、不与稀硫酸反应,故滤渣b为二氧化硅,化学式 SiO;(2)Cu(OH)CO 与稀硫酸反应生成硫酸铜,氧化铁与稀硫酸反应生成硫酸铁。故溶液c中的溶质有 2 2 2 3 HSO、CuSO、Fe(SO);(3)盐溶液d为硫酸铜溶液,颜色为蓝色;实验室蒸发溶液时用到的玻璃仪器有玻璃 2 4 4 2 4 3 棒;(4)反应前后C、O、Ca、Cl、N、H的原子个数分别为1、3、1、2、2、8,1、3、1、0、0、0。反应前后Cl、N、H原子个 数相差2、2、8。又X前的化学计量数为2,故1个X分子中含有Cl、N、H原子个数为1、1、4,故X的化学式为 NHCl,名称为氯化铵;碱式碳酸铜与稀硫酸反应生成硫酸铜、水和二氧化碳,反应的化学方程式为 4 Cu(OH)CO+2HSO=2CuSO+3HO+CO2↑。 2 2 3 2 4 4 2 22. 根据下图”(省略夹持仪器)回答问题: (1)仪器e的名称是_______。 9(2)用高锰酸钾分解制取氧气的化学方程式为_________,制备并导出氧气的装置应选取的仪器是c、h、____ (填序号),收集氧气(用于做铁丝燃烧实验)应选取的仪器是_____(填序号)。 (3)用锌粒和稀盐酸制备H(可随时使反应发生或终止)应选取的仪器是____(填序号)。 2 (4)氢化钙(CaH) 常温下能与水反应生成H,是野外工作人员便携燃料的来源。课外小组同学利用(3)中产 2 2 生的H 与金属钙反应制取CaH (见图)。 2 2 请回答: ①洗气瓶中m、n应选下列试剂的_______、_______(填序号); I.NaHCO 溶液 II.NaOH溶液 III.浓硫酸。 3 ②为防止钙被氧化,在加热钙之前必须进行的操作是_______。 ③CaH 与水反应的化学方程式为________;为防止空气中的O、CO、水蒸气与玻璃管中Ca或CaH 反应,必须 2 2 2 2 在导管末端再连接的装置是(说出仪器名称及所装试剂)____。 【答案】 (1). 量筒 (2). 2KMnO KMnO+MnO+O↑ (3). a、i (4). b、o、l、g (5). c、j、 4 2 4 2 2 f、n (6). II (7). III (8). 先通一段时间氢气,排除装置内的空气 (9). CaH+2HO=2H↑+Ca(OH) (10). 干燥管 碱石灰 2 2 2 2 【解析】 (1)根据常见仪器解答;(2)根据高锰酸钾在加热的条件下分解生成锰酸钾、二氧化锰和氧气解答;根 据实验中需要的仪器分析解答;(3)根据反应原理、反应要求分析解答;(4)①根据制取氢气过程中容易混有 氯化氢气体分析解答;②根据为防止钙被氧化必须先通一会儿氢气解答;③根据氢化钙与水反应生成氢气和 氢氧化钙解答;根据为防止空气中的O、CO、水蒸气与玻璃管中Ca或CaH 反应,必须用碱石灰进行干燥、除 2 2 2 杂解答。 (1)仪器e的名称是量筒;(2)高锰酸钾在加热的条件下分解生成锰酸钾、二氧化锰和氧气,反应的 化学方程式为2KMnO KMnO+MnO+O↑;制备并导出氧气的装置是酒精灯、试管、导管、单孔橡胶塞,应选取 4 2 4 2 2 的仪器是c、h、a、i;收集氧气(用于做铁丝燃烧实验)应选取的仪器是集气瓶、玻璃片、导管l、及水槽(集气 瓶底要留有少量水),故选b、o、l、g;(3)用锌粒和稀盐酸制备H(可随时使反应发生或终止)应选取的仪器是 2 c、j、f、n;(4)①制取氢气过程中容易混有氯化氢气体,应用氢氧化钠溶液除去,故m为氢氧化钠溶液,故选 10II,n为浓硫酸,故选III;②为防止钙被氧化,在加热钙之前必须进行的操作是先通一段时间氢气,排除装置 内的空气;③氢化钙与水反应生成氢气和氢氧化钙,反应的化学方程式为CaH+2HO=2H↑+Ca(OH);为防止 2 2 2 2 空气中的O、CO、水蒸气与玻璃管中Ca或CaH 反应,必须在导管末端再连接的装置是装有碱石灰的干燥管。 2 2 2 23. 请参与下列探究实验: 【实验探究】 步 实验操作 实验现象 结论或解释 骤 用玻棒分别蘸取95%的酒精、蒸馏水置 酒精_______,蒸馏水 结论:酒精是可燃物,水不是可 (1) 于火焰上。 _______。 燃物。 在铁片两端放大小相同的硬纸片、乒乓 乒乓球碎片先燃烧、硬纸片 结论:乒乓球碎片的________ (2) 球碎片,在铁片中间加热。 后燃烧。 比硬纸片的低。 在右图中打开分液漏斗的旋塞 ①溶液中产生气泡;②蜡烛 现象②的原因是:CO 不助燃; (3) 火焰a_____填“先于” 2 ___________。 “后于”)b熄灭。 用大烧杯罩住高低两支点燃的蜡烛。 ①烧杯底部变黑;②蜡烛火 CO 不助燃,蜡烛不完全燃烧;d (4) 2 焰d比c先熄灭。 先熄灭的原因是:_______。 【拓展】堆积的面粉不容易点燃,即使少量点燃也只是小火燃烧;如果把面粉撒向空中遇火星可能会发生爆炸。 “小火燃烧”和“发生爆炸”的原因分别是:_______________。 【答案】 (1). 燃烧 不燃烧 (2). 着火点 (3). 先于 (4). CO 密度比空气大 (5). 氧 2 气的密度较大,上方氧气含量较低 (6). “小火燃烧”的原因是:因为堆积的面粉与空气接触不充分 (7). “发生爆炸”的原因是:与空气接触面积大,燃烧比较剧烈,空气受热膨胀,发生爆炸 【解析】(1)根据酒精是可燃物,水不是可燃物解答;(2)根据乒乓球碎片先燃烧、硬纸片后燃烧解答;(3)根据 二氧化碳的密度比空气大解答;(4)根据氧气的密度比空气大,上方氧气含量较低解答;【拓展】根据面粉与空 气的接触面积不同分析解答。(1)由于酒精是可燃物,水不是可燃物,所以能观察到的实验现象是酒精燃烧, 蒸馏水不燃烧;(2)根据乒乓球碎片先燃烧、硬纸片后燃烧可知,乒乓球碎片的着火点比硬纸片的低;(3)打开 分液漏斗的旋塞,分液漏斗中的盐酸注入烧杯中,与烧杯中的碳酸钠溶液反应,生成二氧化碳,CO 不助燃且 2 密度比空气大。故能观察到蜡烛火焰a先于b熄灭。(4)d 先熄灭的原因是氧气的密度比空气大,上方氧气 11含量较低;【拓展】“小火燃烧”的原因是因为堆积的面粉与空气接触不充分;“发生爆炸”的原因是与空气 接触面积大,燃烧比较剧烈,空气受热膨胀,发生爆炸。 24. 大型电动车使用的磷酸亚铁锂(LiFePO)电池,具有“体积小、成本低、充电快、输出功率高、循环寿命 4 长”等优点。回答问题: (1)磷酸亚铁锂中非金属元素的原子个数比为_______。 (2)磷酸亚铁锂中锂、磷元素的质量比为_______。 (3)磷酸亚铁锂中铁元素的质量分数为________(精确到0.1%)。 【答案】 (1). P:O=1:4 (2). 7:31 (3). 35.4% 【解析】根据磷酸亚铁锂的化学式计算解答。(1)根据磷酸亚铁锂的化学式为LiFePO,其中P、O属于非金属元 4 素,故磷酸亚铁锂中非金属元素的原子个数比为P:O=1:4;(2)磷酸亚铁锂中锂、磷元素的质量比为7:31; (3)磷酸亚铁锂中铁元素的质量分数为 ×100%=35.4%。 25. 用煤直接做燃料如果不进行处理,会因煤中的硫生成SO 气体造成大气污染。 2 (1)现有南方产的一种煤含硫8%。某火力发电厂燃烧100t这种煤,假设燃烧时煤中的硫全部转化为SO,则产 2 生SO 的质量是________? 2 (2) 如在煤中混入粉末状的石灰石,则燃烧产生的SO 会与CaCO 反应生成CaSO 进入炉渣而减少大气污染。 2 3 3 取50g此炉渣(含24%CaSO)逐滴加入20%的盐酸,请在图坐标中画出相应的曲线图(纵坐标为盐的质量,请设 3 定具体物质;并标出曲线中必要的数据)。 ________________ [已知]①设炉渣已不含石灰石,炉渣其它成分不与盐酸反应; ②CaSO 和盐酸反应类似于CaCO 3 3 (3)向燃烧后的烟气喷洒石灰浆也可吸收SO 生成CaSO。现用一万元分别购买两种原料来除去SO,相关数据 2 3 2 如下表: 方法 物质 相对分子质量 纯度 价格 (元/t) 除SO 的量 (t) 2 A 石灰石 100 90% 200 14.4 B 熟石灰 74 94% 500 14.6 12方法B比方法A除SO 的量略大,而且工业上多数采用方法B。其原因分别是:_________。 2 【答案】 (1). 16t (2). (3). ①单位价格(即10000元)氢氧化钙吸收二氧化硫的量更多;②石灰浆纯度较高,吸收二氧化硫气体更加充分 【解析】根据反应的化学方程式计算解答。(1)设生成二氧化硫的质量为x。 S+O SO 2 2 32 64 100t×8% x x=16t 答:生成二氧化硫的质量为16t。 (2) 设纵坐标为氯化钙的质量(或为亚硫酸钙的质量)。炉渣中CaSO 的质量为50g×24%=12g。设生成氯化 3 钙的质量为y,反应消耗盐酸的质量为m。 CaSO+2HCl=CaCl+SO↑+HO 3 2 2 2 120 73 111 12g y m y=7.3g m=11.1g 反应消耗盐酸溶液的质量为7.3g÷20%=36.5g。相关曲线图为: 13(3)由表中数据可知,①14.6>14.4;单位价格(即10000元)氢氧化钙吸收二氧化硫的量更多;②94%> 90%,石灰浆纯度较高,吸收二氧化硫气体更加充分。 14