当前位置:首页>文档>2015年广东省中考地理真题(空白卷)_❤广东中考真题备考2026_9.广东中考地理2008-2025

2015年广东省中考地理真题(空白卷)_❤广东中考真题备考2026_9.广东中考地理2008-2025

  • 2026-04-10 08:04:07 2026-02-25 00:41:40

文档预览

2015年广东省中考地理真题(空白卷)_❤广东中考真题备考2026_9.广东中考地理2008-2025
2015年广东省中考地理真题(空白卷)_❤广东中考真题备考2026_9.广东中考地理2008-2025
2015年广东省中考地理真题(空白卷)_❤广东中考真题备考2026_9.广东中考地理2008-2025
2015年广东省中考地理真题(空白卷)_❤广东中考真题备考2026_9.广东中考地理2008-2025
2015年广东省中考地理真题(空白卷)_❤广东中考真题备考2026_9.广东中考地理2008-2025
2015年广东省中考地理真题(空白卷)_❤广东中考真题备考2026_9.广东中考地理2008-2025
2015年广东省中考地理真题(空白卷)_❤广东中考真题备考2026_9.广东中考地理2008-2025
2015年广东省中考地理真题(空白卷)_❤广东中考真题备考2026_9.广东中考地理2008-2025
2015年广东省中考地理真题(空白卷)_❤广东中考真题备考2026_9.广东中考地理2008-2025
2015年广东省中考地理真题(空白卷)_❤广东中考真题备考2026_9.广东中考地理2008-2025
2015年广东省中考地理真题(空白卷)_❤广东中考真题备考2026_9.广东中考地理2008-2025
2015年广东省中考地理真题(空白卷)_❤广东中考真题备考2026_9.广东中考地理2008-2025
2015年广东省中考地理真题(空白卷)_❤广东中考真题备考2026_9.广东中考地理2008-2025

文档信息

文档格式
docx
文档大小
1.465 MB
文档页数
13 页
上传时间
2026-02-25 00:41:40

文档内容

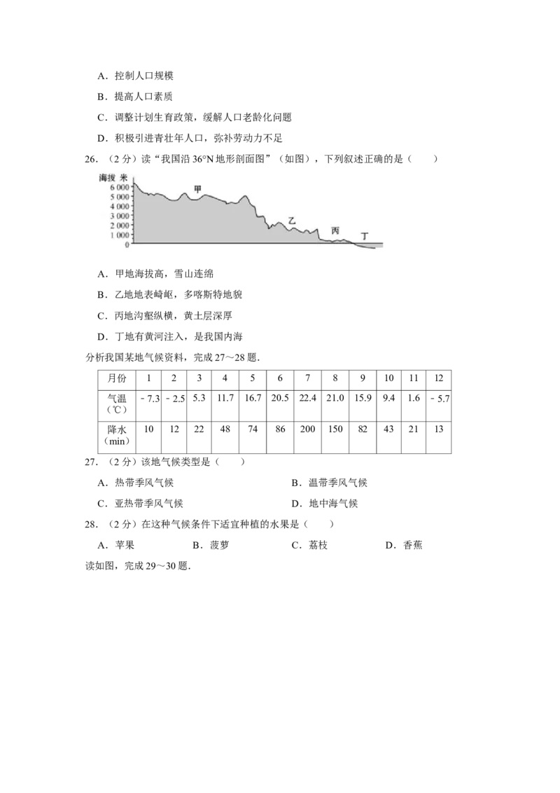
2015年广东省中考地理试卷 一、单项选择题(本大题50小题;每题2分,共100分;在每小题提供的四个选项中,只 有一项符合题目的要求) 竖版世界地图以崭新的视野展示世界.读图,完成1~3题. 1.(2分)甲、乙、丙、丁位于北半球的是( ) A.甲 B.乙 C.丙 D.丁 2.(2分)乙点所在的经纬度位置是( ) A.(30°S,105°E) B.(30°S,105°W) C.(30°S,75°E) D.(30°S,75°W) 3.(2分)甲、乙、丙、丁对应的地理区域,正确的是( ) A.甲﹣南美洲 B.乙﹣太平洋 C.丙﹣南极洲 D.丁﹣印度洋 读“地球绕日公转示意图”(如图所示),完成4~5题 4.(2分)图中春分点的位置是( ) A.① B.② C.③ D.④5.(2分)当地球运行至③时( ) A.太阳直射北回归线 B.北极圈以北出现极夜现象 C.北半球昼夜平分 D.北半球各地正午太阳下的物体没有影子 6.(2分)如图是广州某一天太阳东升西落的轨迹示意图,这一天可能是( ) A.3月21日 B.6月22日 C.9月23日 D.12月22日 读“东西半球分布图”(如图),完成7~8题. 7.(2分)关于世界海陆分布的叙述,正确的是( ) A.海洋主要分布在西半球、北半球 B.陆地主要分布在东半球、南半球 C.七分陆地、三分海洋 D.北极地区以海洋为主,南极地区以陆地为主 8.(2分)有关大洲、大洋的叙述,正确的是( ) A.亚洲是跨经度最多的大洲 B.太平洋是世界最大的海洋 C.苏伊士运河是亚洲与欧洲的分界线D.大洋洲全部位于南半球 读图,完成9~11题. 9.(2分)M观景台的海拔是( ) A.400~450米 B.450~500米 C.500~550米 D.550~600米 10.(2分)M、N两观景台的图上距离是2厘米,实地距离是( ) A.1千米 B.10千米 C.100千米 D.1000千米 11.(2分)N观景台的主要作用( ) A.仰望飞瀑 B.俯瞰奇峰 C.近观云雾 D.远眺群山 读图,完成12~13题. 12.(2分)今年4月,尼泊尔发生的8.1级地震对我国影响最大的省级行政区是( ) A.青海 B.西藏 C.新疆 D.云南 13.(2分)关于印度半岛自然地理特征的叙述,不正确的是( ) A.季风气候显著 B.地势南北高、中间低 C.半岛南部东、西高山对峙D.恒河自东向西流向海洋 14.(2分)下列地区有利于聚落形成与发展的是( ) A.河流三角洲地区 B.河流上游地区 C.热带雨林地区 D.热带沙漠地区 读图,完成15~17题. 15.(2分)以下地区全部位于“陆上丝绸之路经济带”的是( ) A.东亚、东南亚、西亚、西部欧洲 B.东亚、南亚、西亚、东部欧洲 C.中亚、西亚、东部欧洲、西部欧洲 D.西亚、东南亚、东部非洲、西部欧洲 16.(2分)“21世纪海上丝绸之路”经过的国家( ) A.多位于温带地区 B.多为发展中国家 C.多为黑色人种 D.多以平原为主 17.(2分)关于甲、乙、丙、丁地区的描述,正确的是( ) A.甲是撒哈拉以南的非洲,人口增长缓慢 B.乙是中东地区,淡水资源丰富 C.丙是欧洲西部,经济发达 D.丁是俄罗斯,轻工业发达 18.(2分)如图所示的自然景观,不可能出现在( )A.美国 B.俄罗斯 C.中国 D.泰国 19.(2分)美国许多电影大片在全球获得巨大的票房收入,其电影产业成功的主要原因 是( ) A.有发达的交通 B.有厚重的历史 C.有先进的技术和文化创新的意识 D.有众多的人口 20.(2分)关于南极地区的叙述,正确的是( ) A.煤炭、铁矿、水能资源丰富 B.科考的最佳时间是6、7、8月 C.企鹅、海豹、袋鼠的故乡 D.冰盖面积逐渐缩小 21.(2分)读图,对两地气候描述正确的是( ) A.气温年较差较大的是伦敦 B.两地降水都集中在夏季 C.北京的气候类型是亚热带季风气候 D.伦敦夏季凉爽冬季温和,各月降水较均匀 规划中的两洋铁路,是指横跨南美洲大陆,连接太平洋及大西洋的铁路建设项目,如图所 示,完成22~23题.22.(2分)关于“两洋铁路”修建意义的说法,正确的是( ) A.沟通东部太平洋与西部大西洋的陆上交通 B.将成为南美洲大陆南北交通大动脉 C.减轻巴拿马运河的运输压力 D.对巴拿马经济发展产生巨大的推动作用 23.(2分)关于修建“两洋铁路”可能遇到的问题,正确的说法是( ) A.巴西高原的冻土问题 B.亚马孙平原干旱缺水问题 C.热带雨林区的生态环境保护问题 D.防范野象群攻击的问题 读“广东人口年龄结构变化图”(如图),完成24~25. 24.(2分)1990年2010年广东省人口年龄结构变化的趋势是( ) A.劳动力人口比例不断增大 B.儿童比例不断增大 C.老年人口比例不断下降 D.人口年龄结构20年保持不变 25.(2分)针对广东省人口年龄结构的问题,可以采取的措施是( )A.控制人口规模 B.提高人口素质 C.调整计划生育政策,缓解人口老龄化问题 D.积极引进青壮年人口,弥补劳动力不足 26.(2分)读“我国沿36°N地形剖面图”(如图),下列叙述正确的是( ) A.甲地海拔高,雪山连绵 B.乙地地表崎岖,多喀斯特地貌 C.丙地沟壑纵横,黄土层深厚 D.丁地有黄河注入,是我国内海 分析我国某地气候资料,完成27~28题. 月份 1 2 3 4 5 6 7 8 9 10 11 12 气温 ﹣7.3 ﹣2.5 5.3 11.7 16.7 20.5 22.4 21.0 15.9 9.4 1.6 ﹣5.7 (℃) 降水 10 12 22 48 74 86 200 150 82 43 21 13 (min) 27.(2分)该地气候类型是( ) A.热带季风气候 B.温带季风气候 C.亚热带季风气候 D.地中海气候 28.(2分)在这种气候条件下适宜种植的水果是( ) A.苹果 B.菠萝 C.荔枝 D.香蕉 读如图,完成29~30题.29.(2分)关于黄河流经地形区的叙述,正确的是( ) A.源头位于唐古拉山脉 B.上游全部流经青藏高原 C.中游主要流经黄土高原 D.下游流经江淮平原 30.(2分)黄河径流量较小的主要原因是( ) A.长度较短,结冰期较长 B.中游为地上河,没有支流注入 C.流域内降水量小,蒸发量大 D.含沙量大,汛期较短 读“我国四大区域图”(如图),完成31~32题. 31.(2分)①区域与③区域相比具有的优势是( ) A.水能资源丰富 B.地热资源丰富 C.天然气资源丰富 D.太阳能资源丰富 32.(2分)北方地区与南方地区分别以小麦、水稻为主,造成这种差异的主要因素是( ) A.热量 B.降水 C.土壤 D.光照读“我国四大工业区”(如图),完成33~34题. 33.(2分)目前国家重点振兴的老工业区是( ) A.甲工业区 B.乙工业区 C.丙工业区 D.丁工业区 34.(2分)丁工业区针对近年来出现的“用工荒”问题,采取的合理措施是( ) A.吸引海外务工人员 B.产业升级和设备更新 C.减小企业投资规模 D.延长工人工作时间 35.(2分)今年4月公布的全国空气“十佳”城市,珠江三角洲占一半.这源于珠江三 角洲( ) A.发展经济的同时重视环境保护 B.全面关停污染企业 C.禁止外地机动车进入 D.单一发展轻工业 读“南水北调中线一期工程示意图”(如图),完成36~37题. 36.(2分)输水总干渠经过的省级行政中心有( ) A.邯郸、石家庄 B.郑州、石家庄 C.南阳、邯郸 D.郑州、南阳 37.(2分)南水北调工程对北京的作用是( )A.可以解决水资源季节分配不均的问题 B.可以解决水资源空间分布不均的问题 C.可以缓解经济发展和水资源不足的矛盾 D.可以缓解环境保护与水资源污染的矛盾 读“贵广高铁示意图”(如图),完成38~39题. 38.(2分)贵广高铁的桥梁和隧道特别多,主要原因是( ) A.地形复杂 B.降低成本 C.气候多变 D.保护耕地 39.(2分)贵广高铁的开通,便于我们( ) A.观海潮 B.登泰山 C.游漓江 D.看大漠 40.(2分)如图所示信号灯顶部的装置是把( )转化为电能. A.太阳能 B.沼气能 C.风能 D.核能 41.(2分)国务院发布的《中国制造2025》提出来我国汽车耗油量降一半的要求。为实 现这一目标,我们要大力发展( ) A.电动汽车 B.大排量汽车 C.柴油汽车 D.无人驾驶汽车42.(2分)新疆的喀什被誉为“中国的西大门”,其设立经济特区的优势是( ) A.我国陆上通往中亚的唯一通道 B.土地资源丰富,海陆交通便利 C.科技力量雄厚,经济发达 D.位于西北边陲,利于邻国经济贸易往来 读“我国某地区农业土地利用变化过程示意图”(如图),完成43~44题. 43.(2分)该地区位于( ) A.珠江三角洲 B.江淮平原 C.黄河三角洲 D.东北平原 44.(2分)该地区土地利用变化的主要原因是( ) A.气温不断升高 B.降水不断减少 C.市场需求变化 D.土壤肥力下降 45.(2分)我国大陆游客到台湾“自由行”,直接利于台湾( )的发展. ①工农业 ②旅游业 ③金融业 ④餐饮业. A.①② B.③④ C.①③ D.②④ 民间把农历五月初五端午节前后(一个月左右的时间内)的较大降水过程称为“龙舟水” 据此完成46~47题. 46.(2分)每年“龙舟水”期间,广东开展的民俗活动有( ) A.猜灯谜,吃汤圆 B.赛龙舟,吃粽子 C.赏明月,吃月饼 D.逛花市,买鲜花 47.(2分)“龙舟水”期间广东可能出现的自然灾害有( ) ①沙尘暴 ②泥石流 ③寒潮 ④雷暴冰雹。 A.①②③ B.①④ C.①③ D.②④ 48.(2分)广东省发布的气象灾害预警信号中,提示中小学生停课的是( )A. B. C. D. 49.(2分)位于南海之滨的国际金融中心,素有“购物天堂”之称的城市是( ) A.高雄 B.澳门 C.基隆 D.香港 50.(2分)下列有关海洋资源开发活动正确的是( ) ①海水淡化 ②石油开发 ③煤炭开发 ④珊瑚礁开发 ⑤旅游观光 ⑥海水养殖 A.①②③④ B.②③④⑤ C.①③④⑤ D.①②⑤⑥