当前位置:首页>文档>2023年广东省中考地理真题(解析卷)_❤广东中考真题备考2026_9.广东中考地理2008-2025

2023年广东省中考地理真题(解析卷)_❤广东中考真题备考2026_9.广东中考地理2008-2025

  • 2026-04-09 09:01:39 2026-02-25 01:34:35

文档预览

2023年广东省中考地理真题(解析卷)_❤广东中考真题备考2026_9.广东中考地理2008-2025
2023年广东省中考地理真题(解析卷)_❤广东中考真题备考2026_9.广东中考地理2008-2025
2023年广东省中考地理真题(解析卷)_❤广东中考真题备考2026_9.广东中考地理2008-2025
2023年广东省中考地理真题(解析卷)_❤广东中考真题备考2026_9.广东中考地理2008-2025
2023年广东省中考地理真题(解析卷)_❤广东中考真题备考2026_9.广东中考地理2008-2025
2023年广东省中考地理真题(解析卷)_❤广东中考真题备考2026_9.广东中考地理2008-2025
2023年广东省中考地理真题(解析卷)_❤广东中考真题备考2026_9.广东中考地理2008-2025
2023年广东省中考地理真题(解析卷)_❤广东中考真题备考2026_9.广东中考地理2008-2025
2023年广东省中考地理真题(解析卷)_❤广东中考真题备考2026_9.广东中考地理2008-2025
2023年广东省中考地理真题(解析卷)_❤广东中考真题备考2026_9.广东中考地理2008-2025
2023年广东省中考地理真题(解析卷)_❤广东中考真题备考2026_9.广东中考地理2008-2025
2023年广东省中考地理真题(解析卷)_❤广东中考真题备考2026_9.广东中考地理2008-2025
2023年广东省中考地理真题(解析卷)_❤广东中考真题备考2026_9.广东中考地理2008-2025
2023年广东省中考地理真题(解析卷)_❤广东中考真题备考2026_9.广东中考地理2008-2025
2023年广东省中考地理真题(解析卷)_❤广东中考真题备考2026_9.广东中考地理2008-2025
2023年广东省中考地理真题(解析卷)_❤广东中考真题备考2026_9.广东中考地理2008-2025
2023年广东省中考地理真题(解析卷)_❤广东中考真题备考2026_9.广东中考地理2008-2025

文档信息

文档格式
docx
文档大小
4.004 MB
文档页数
17 页
上传时间
2026-02-25 01:34:35

文档内容

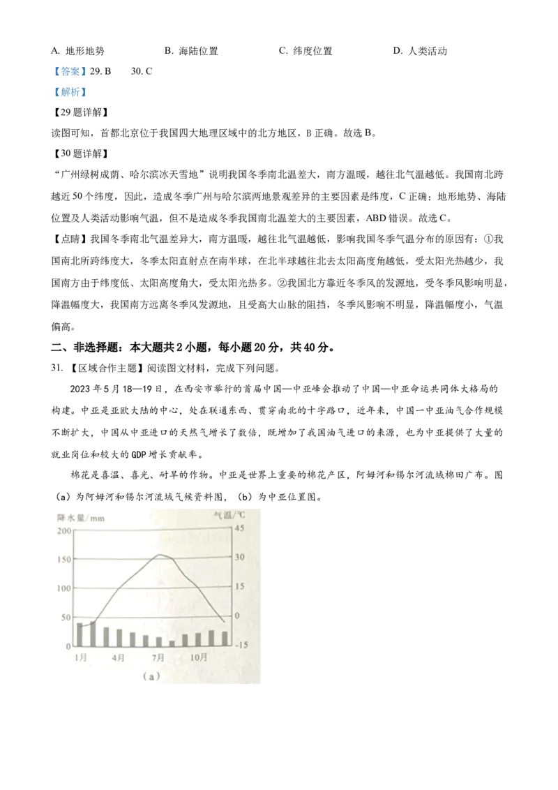
2023 年广东省初中学业水平考试 地理 一、选择题:本大题共30小题,每小题2分,共60分。在每小题给出的四个选项中,只有 一项是符合题目要求的。 【地球地图+极地地区主题】近20年来,科学家对北极海冰、植被和格陵兰冰川进行了监测,发现全 球增温使北极地区的冰雪与植被分布发生了快速变化,夏季尤为明显。黄河站是我国在北极地区的首个科 考站。图为北极地区图。完成下面小题。 1. 黄河站的经纬度是( ) A. (11°56′E,78°55′N) B. (78°55E,11°56′S) C. (11°56′W,78°55′N) D. (78°55′W,11°56′S) 2. 导致近20年北极冰雪与植被分布发生快速变化的主要原因是( ) A. 开展极地旅游 B. 开发极地资源 C. 全球气候变暖 D. 开展极地科考 3. 一般情况下,北极地区冰川融化速度最快的时段是( ) A. 1—2月 B. 3-4月 C. 8—9月 D. 11—12月 【答案】1. A 2. C 3. C 【解析】 【1题详解】 E代表东,W代表西,N代表北,S代表南。结合图中黄河站的位置可判断,黄河站的经纬度为11°56′E,78°55′N。故选A。 【2题详解】 由材料“发现全球增温使北极地区的冰雪与植被分布发生了快速变化”可知,导致近20年北极冰雪与植被 分布发生快速变化的主要原因是全球气候变暖。故选C。 【3题详解】 气温越高,冰川融化的速度越快。四选项所涉及时间段相比,北极地区8—9月气温最高。故选C。 【点睛】近20年来,由于全球增温及北极“放大效应”的影响,北极冰雪与植被正在发生快速变化,是全 球气候变化的风向标。 【跨学科研学主题】近期,广州市某学校地理小组就近开展了乡土地理研学活动。图为该地等高线地 形图。完成下面小题。 4. 研学路线上丙地与丁地的相对高度可能是( ) A. 180米 B. 280米 C. 350米 D. 480米 5. 研学路线所处的山体部位是( ) A. 陡崖 B. 鞍部 C. 山脊 D. 山谷 的 6. 甲、乙、丙、丁四地中,最可能有公交车站 是( ) A. 甲 B. 乙 C. 丙 D. 丁 【答案】4. B 5. D 6. A 【解析】 【4题详解】 读图可知,等高距为50米。丙地的海拔高度为300米-350米之间,丁地的海拔高度为600米,丙地与丁 地的相对高度范围在250米-300米之间,选项中只有B280米符合,B正确,ACD错误,故选B。 【5题详解】读图可知,研学路线等高线向海拔高处凸起为山谷,D正确,排除ABC,故选D。 【6题详解】 公交车站需要建在居民区附近,且要沿公路行驶,符合此条件的只有甲地,A正确;乙和丁海拔较高且远 离居民区,丙地附近无公路经过,排除BCD,故选A。 【点睛】等高线出现闭合的曲线,中间数值高的部位为山顶,中间数值低的部位为盆地;等高线重叠在一 起的部位为陡崖;等高线向海拔高处凸起的部位为山谷;等高线向海拔低处凸起的部位为山脊;两个山顶 之间的部位为鞍部。 【自然灾害与防御主题】土耳其是地震多发的国家。2023年2月6日,土耳其发生7.8级强烈地震, 人员伤亡严重。图为六大板块分布图。完成下面小题。 7. 土耳其地震多发的主要原因是该国位于( ) A. 亚欧板块、非洲板块和印度洋板块交界处 B. 环太平洋火山地震带 C. 亚欧板块、太平洋板块和印度洋板块交界处 D. 非洲板块与美洲板块交界处 8. 地震发生时,通常正确的做法有( ) 在 ① 高楼,尽快乘坐电梯下楼 ②在室外,迅速跑到空旷场地 ③被困时,保存体力,等待救援 ④在室内,迅速躲到三角区 A. ①②③ B. ②③④ C. ①②④ D. ①③④ 【答案】7. A 8. B 【解析】 【7题详解】 由图可知,根据六大板块分布图,可以判断出土耳其位于亚欧板块、非洲板块和印度洋板块交界处,因此 地壳运动活跃,多火山、地震等地质灾害,A正确,B、C、D错误。故选A。 【8题详解】 结合所学知识,地震是一种破坏力极强的地质灾害,当地震发生时会对我们的人身财产安全带来极大的威胁,但我们可以采取正确的避震措施来减轻地震对我们的负面影响,正确的做法主要有:在室外,迅速跑 到空旷场地;被困时,保存体力,等待救援;在室内,迅速躲到三角区等,②③④正确。在高楼,不能乘 坐电梯下楼,因为可能会突然停电,被困在电梯里,陷入更加危险的处境,①错误。②③④正确,故选 B。 【点睛】地质学家经过长期研究,提出了板块构造学说。板块构造学说认为,地球岩石圈是由板块拼合而 成的,全球主要有六大板块,其中太平洋板块几乎全部是海洋,其余板块既包括大陆,又包括海洋.海洋 与陆地的相对位置是不断变化的。板块的内部比较稳定,板块与板块交界的地带,有的张裂拉伸,有的碰 撞挤压,地壳比较活跃,容易发生火山、地震。 【认识世界区域+交通主题】沙特阿拉伯第一条双线电气化高铁——麦麦高铁,是我国设计和承建的 首条速度达到360千米/时的海外高铁,途经地区沙漠广布、高温缺水。图为麦麦高铁位置示意图。完成下 面小题。 9. 麦麦高铁途经地区主要属于( ) A. 热带季风气候 B. 热带沙漠气候 C. 热带草原气候 D. 热带雨林气候 10. 修建麦麦高铁时遇到的困难有( ) ①风沙侵袭②高寒缺氧③高温缺水④昼夜温差大 A. ①②③ B. ②③④ C. ①②④ D. ①③④ 11. 麦麦高铁通车后,给当地带来的积极影响有( ) ①方便了人们出行②促进了文化交流③降低了能源运输成本④带动了经济发展 A. ①②③ B. ②③④ C. ①②④ D. ①③④ 【答案】9. B 10. D 11. C【解析】 【9题详解】 由题可知,麦麦高铁是沙特阿拉伯第一条双线电气化高铁,途经地区主要位于阿拉伯半岛,属于热带沙漠 气候。A、C、D错误,B正确。故选B。 【10题详解】 由上题可知,麦麦高铁途经地区主要位于阿拉伯半岛,属于热带沙漠气候,全年炎热干燥,以沙漠景观为 主,因此修建麦麦高铁时遇到的困难主要有风沙侵袭、高温缺水、昼夜温差大等,①③④正确;阿拉伯半 岛被北回归线穿过,气候炎热干燥,因此修建麦麦高铁时不会遇见高寒缺氧的现象,②错误。故选D。 【11题详解】 结合所学知识,麦麦高速铁路全长约480公里,自北向南分别途经麦地那、拉比格、吉达和麦加四座城市, 麦麦高铁通车后方便了人们出行、促进了文化交流、带动了经济发展等,①②④正确;麦麦高铁以客运为 主,通车后不能降低能源的运输成本,③错误。故选C。 【点睛】中东是指从地中海东部南部到波斯湾沿岸的部分地区,包括除阿富汗外的西亚的大部分与非洲的 埃及、地处于俄罗斯边界的外高加索地区。约23个国家与地区,1500多万平方千米,4.9亿人口。 气候 类型主要为热带沙漠气候(包括亚热带沙漠气候)、地中海气候、温带大陆性气候,其中热带沙漠气候分布 最广。地形以高原与平原为主。 【国际发展与合作主题】未来20年,中国客机需求量将持续增长。2023年4月,中法两国签署了总 价值超过1300亿元人民币的民用飞机订单。法国空客集团将在中国增设工厂。完成下面小题。 12. 中法两国签署飞机订单属于( ) A. 文化合作 B. 旅游合作 C. 教育合作 D. 经贸合作 13. 法国空客集团在中国增设工厂的主要原因是中国( ) ①消费市场广阔②技术基础良好③国家政策支持④闲置土地充足 A. ①②③ B. ②③④ C. ①②④ D. ①③④ 【答案】12. D 13. A 【解析】 【12题详解】 读材料可知,2023年4月,中法两国签署了总价值超过1300亿元人民币的民用飞机订单。由此可知,中 法两国签署飞机订单属于经贸合作,D正确,与文化合作、旅游合作、教育合作无关,排除ABC,故选 D。 【13题详解】 读材料可知,未来20年,中国客机需求量将持续增长,说明中国的消费市场广阔,①正确;中国是世界工 厂,工业技术基础良好,②正确;法国空客集团在中国增设工厂是中法两国共同的决定,获得了国家政策支持,③正确;故A正确;飞机制造属于高新技术产业,大概率会建在我国的东部地区,东部地区工业技 术基础良好,闲置土地不多,④错误,排除BCD,故选A。 【点睛】影响工业区位的主要因素:自然因素:土地、水源; 社会经济条件:原料、运输、劳动力、市 场、动力、政府政策等。 【民居与环境主题】“A”形茅屋是巴布亚新几内亚的传统民居,因其外形酷似字母“A”而得名。图 (a)为巴布亚新几内亚气候资料图,(b)为“A”形茅屋景观图,完成下面小题。 14. 巴布亚新几内亚的气候特征是( ) A. 夏季高温少雨,冬季温和多雨 B. 全年高温多雨 C. 夏季高温多雨,冬季温和少雨 D. 全年温和湿润 15. “A”形茅屋的外形设计主要是考虑( ) A. 保暖 B. 防风 C. 防潮 D. 排水 【答案】14. B 15. D 【解析】 【14题详解】 依据图示信息,全年最冷月的平均气温在15℃以上,全年高温,依据降水柱状图,全年降水多,属于终年 高温多雨的热带雨林气候,B正确;夏季高温少雨,冬季温和多雨为地中海气候,夏季高温多雨,冬季温 和少雨为亚热带季风气候,全年温和湿润为温带海洋性气候,ACD错误;故选B。 【15题详解】 “A”形茅屋的外形设计主要是考虑是排水,因为当地属于热带雨林气候,终年高温多雨;保暖、防风,尖 顶防潮作用不明显,故A、B、C错误。故选D。 【点睛】观察气候资料图时,可以先看横坐标轴,它表示月份,再看左侧纵坐标轴表示气温,最后根据气 温曲线上的点估出各月气温值。降水柱状图的判读和气温曲线图的判读一样,只不过降水是估算各月长方 形柱状的数值。【资源调配主题】引汉江水入渭河流域的水利工程——“引汉济渭”,跨黄河、长江两大流域。其主 体工程秦岭输水隧洞穿越秦岭,沿线山体岩石坚硬,地质灾害频发,施工难度创造多项世界纪录。图为 “引汉济渭”线路示意图。完成下面小题。 16. “引汉济渭”主体工程施工难度大的主要原因是( ) A. 输水路线长 B. 植被分布广 C. 沿途水库多 D. 地质条件复杂 17. “引汉济渭”工程建设有利于( ) ①改善渭河流域的生态环境 ②解决黄河流域的缺水问题 ③减轻汉江流域的洪涝灾害 ④缓解渭河流域的缺水状况 A. ①②③ B. ②③④ C. ①②④ D. ①③④ 【答案】16. D 17. D 【解析】 【16题详解】 由题干可知,主体工程秦岭输水隧洞穿越秦岭,沿线山体岩石坚硬,地质灾害频发,可见地质条件复杂是 主体工程施工难度大的主要原因,D正确。ABC不是其主要原因。故选D。 【17题详解】 引汉济渭工程建成后,汉江水将被调引至关中渭河流域,缓解渭河流域的缺水状况。随着渭河流域水量的 增加,渭河流域的生态环境可以得到改善。引汉济渭工程让汉江汛期多余的水成为有用的水资源,减轻汉 江流域的洪涝灾害。①③④正确。引汉济渭工程不能解决黄河流域的缺水问题,黄河流域的缺水问题需要 从生态保护、植树造林、绿色发展以及工程措施等多方面着手,②错误。故选D。 【点睛】“引汉济渭”为陕西省的“南水北调”工程,该工程是将汉江水引入渭河以补充西安、宝鸡、咸阳等5个大中城市的给水量。引汉济渭工程是由汉江向渭河关中地区调水的省内南水北调骨干工程,是缓 解关中渭河沿线城市和工业缺水问题的根本性措施。 【新能源+工业主题】近年来,我国出台了购置补贴、税收减免,技术创新等方面的政策支持新能源 汽车产业发展壮大。截至2022年底,我国新能源汽车保有量占全球的一半以上,推动了我国能源消费结构 绿色转型。完成下面小题。 18. 促成我国近年新能源汽车产业发展壮大的主要因素是( ) A. 政策 B. 市场 C. 劳动力 D. 交通 19. 与传统汽车相比,新能源汽车的生态效益优势在于( ) A. 就业机会较多 B. 生产成本较低 C. 出行效率较高 D. 污染物排放较少 20. 我国发展新能源汽车产业的意义有( ) ①推动汽车产业升级②优化能源消费结构③促进国家节能减排④解决城市交通拥堵 A. ①②③ B. ②③④ C. ①②④ D. ①③④ 【答案】18. A 19. D 20. A 【解析】 【18题详解】 由材料可知,促成我国近年新能源汽车产业发展壮大的主要因素是国家政策的支持,我国出台了购置补贴、 税收减免、技术创新等方面的政策支持,故A正确。市场、劳动力和交通不是主要因素,排除BCD,故选 A。 【19题详解】 新能源汽车使用清洁能源,与传统汽车相比,生态环境优势在于污染物减少,故D正确。就业机会、生产 成本和出行效率等不是生态效益,而且生产成本也不会低,与出行效率无关,排除ABC,故选D。 【20题详解】 新能源汽车产业是技术密集型产业,可推动产业升级,①正确;使用清洁能源,可以化能源消费结构,改 善大气环境,实现节能减排,②③正确;发展新能源车产业无法避免交通拥堵,④错误。故选A。 【点睛】新能源汽车产业是符合未来发展方向的新兴产业,也是高新技术产业,上海发展新能源汽车产业, 可改善大气环境,实现节能减排,还能推动产业结构向高新尖技术方向升级。 【农业+乡村振兴主题】森林是宝贵的“粮库、水库、钱库、碳库”,可提供良好的生态环境和丰富 的食物。近年来,贵州省黄平县转变发展理念,由单一林业向“林药、林蜂、林菌、林鸡”的复合型产业 发展,促进了乡村振兴。完成下面小题。 21. 促使黄平县林业产业转变的主要原因是( ) A. 气候适宜 B. 土壤肥沃 C. 劳动力丰富 D. 理念转变 22. 森林“粮库”的优势有( )①提高林地利用率②筑牢粮食安全③扩大林地面积④开发多元化食物 A. ①②③ B. ②③④ C. ①②④ D. ①③④ 【答案】21. D 22. C 【解析】 【21题详解】 由题可知,近年来,贵州省黄平县转变发展理念,由单一林业向“林药、林蜂、林菌、林鸡”的复合型产 业发展,促进了乡村振兴,因此促使黄平县林业产业转变的主要原因是理念转变。A、B、C错误,D正确。 故选D。 【 22题详解】 在森林中发展种植业以及获取食物,能提高林地的利用率的同时也有利于筑牢粮食安全,①②正确;根据 材料分析可知,当地是利用森林粮库的优势,在森林中获取食物,而不是要扩大林地面积,③错误;森林 中自然条件与耕地不同,且生物种类更多,可利用森林来开发多元化食物,④正确。故C正确,ABD错误。 故选C。 【点睛】推广复合生态经营模式激发森林食品产量潜力。根据森林的自然环境和地理位置,利用复合型间 作套种技术和生态养殖技术,因地制宜合理种植适应当地的森林食品品种,既能提高林地生产力,还能实 现森林食品的可持续经营。同时,引导农户加入合作社,推广生态化生产经营方式,激发森林“粮库”潜 力,不断开发森林食品新产品,提高森林食品加工附加值。 【人口发展主题】人口发展是关系中华民族伟大复兴的大事。图为2010—2022年我国年末总人口数及 人口自然增长率变化图。完成下面小题。 23. 2010-2022年,我国人口总数减少的年份是( ) A. 2012年 B. 2016年 C. 2021年 D. 2022年 24. 近年来,我国人口自然增长率下降的主要原因有( )①人口政策调整②养老观念转变③生育观念转变④育儿成本增加 A. ①②③ B. ②③④ C. ①②④ D. ①③④ 25. 为扭转我国人口自然增长率持续下降的趋势,应采取的合理措施是( ) A. 优化生育政策 B. 完善养老制度 C. 实施延迟退休 D. 加快城市化进程 . 【答案】23 D 24. B 25. A 【解析】 【23题详解】 读图中柱状图代表的年末总人口数可知,2022年年末总人口14.118亿,低于2021年末总人口,说明2022 年我国人口总数减少。其余年份人口总数均有增长。ABC错误,D正确,故选D。 【24题详解】 近年来,随着经济发展,育儿成本在增加,生育观念、养老观念的转变,使得我国人口自然增长率下降。 ②③④符合。我国依据人口发展变化形势,先后作出实施单独两孩、全面两孩、三孩政策,这些政策是为 了减缓人口自然增长率的下降,①不符合。故选B。 【25题详解】 为了扭转我国人口自然增长率持续下降的趋势,缓减人口老龄化,我国应进一步优化生育政策,从而改善 我国人口结构、保持我国人力资源禀赋优势。A正确。BCD无关,故选A。 【点睛】我国依据人口发展变化形势,先后作出实施单独两孩、全面两孩政策。近年来人口老龄化程度加 深,为了进一步优化生育政策,实施一对夫妻可以生育三个子女政策及配套支持措施,有利于改善我国人 口结构、落实积极应对人口老龄化国家战略、保持我国人力资源禀赋优势。 【特色农业+科技兴农主题】陕西省千阳县生态环境良好,其矮砧苹果的苗木培育技术国内领先,生 产管理科学,产品质量优良、安全性高。2022年,矮砧苹果搭乘货运飞船进入“天宫”,成为中国航天员 的美味食品。完成下面小题。 26. 千阳县矮砧苹果能够成为中国航天员的美味食品的主要原因是( ) A. 包装精致 B. 储存容易 C. 品质优良 D. 外表美观 27. 先进的苗木培育技术在千阳县矮砧苹果生产过程中的主要作用是( ) A. 增加产品销量 B. 扩大种植面积 C. 促进品种改良 D. 拓宽销售渠道 28. 千阳县发展苹果产业对当地的有利影响有( ) ①带动经济发展②增加就业机会③提高农民收入④扩大土地面积 A. ①②③ B. ②③④ C. ①②④ D. ①③④ 【答案】26. C 27. C 28. A 【解析】【26题详解】 读材料可知,陕西省千阳县生态环境良好,其矮砧苹果的苗木培育技术国内领先,生产管理科学,产品质 量优良、安全性高。故千阳县矮砧苹果能够成为中国航天员的美味食品的主要原因是品质优良,C正确; 与包装精致、储存容易、外表美观无关,排除ABD,故选C。 【27题详解】 读材料可知,陕西省千阳县生态环境良好,其矮砧苹果的苗木培育技术国内领先,生产管理科学,产品质 量优良、安全性高。可知,先进的苗木培育技术在千阳县矮砧苹果生产过程中的主要作用是促进品种改良, 使得品质量优良、安全性高,C正确;与增加产品销量、扩大种植面积、拓宽销售渠道无关,排除ABD, 故选C。 【28题详解】 千阳县发展苹果产业可以增加就业机会,提高当地居民的就业率;提高农民收入;进而带动当地经济发展, A①②③正确;千阳县发展苹果产业并不能扩大土地面积,④错误,排除BCD,故选A。 【点睛】影响农业的主要区位因素分为自然因素和人为因素:气候、地形、水源、土壤、市场、技术、交 通运输、政策、劳动力等。 【中国区域差异主题】大型纪录片《航拍中国》跨越我国大江南北,从东北林海雪原到西北胡杨大漠, 从青藏雪域高原到江南鱼米之乡,记录了我国四大地理区域绚烂多姿的自然和人文景观,书写了祖国恢宏 壮阔的山河史诗。图为中国四大地理区域分布图。完成下面小题。 的 29. 首都北京位于我国四大地理区域中 ( ) A. 南方地区 B. 北方地区 C. 青藏地区 D. 西北地区 30. 冬季,广州绿树成荫、哈尔滨冰天雪地,造成两地景观差异的主要因素是( )A. 地形地势 B. 海陆位置 C. 纬度位置 D. 人类活动 【答案】29. B 30. C 【解析】 【29题详解】 读图可知,首都北京位于我国四大地理区域中的北方地区,B正确。故选B。 【30题详解】 “广州绿树成荫、哈尔滨冰天雪地”说明我国冬季南北温差大,南方温暖,越往北气温越低。我国南北跨 越近50个纬度,因此,造成冬季广州与哈尔滨两地景观差异的主要因素是纬度,C正确;地形地势、海陆 位置及人类活动影响气温,但不是造成冬季我国南北温差大的主要因素,ABD错误。故选C。 【点睛】我国冬季南北气温差异大,南方温暖,越往北气温越低,影响我国冬季气温分布的原因有:①我 国南北所跨纬度大,冬季太阳直射点在南半球,在北半球越往北去太阳高度角越低,受太阳光热越少,我 国南方由于纬度低、太阳高度角大,受太阳光热多。②我国北方靠近冬季风的发源地,受冬季风影响明显, 降温幅度大,我国南方远离冬季风发源地,且受高大山脉的阻挡,冬季风影响不明显,降温幅度小,气温 偏高。 二、非选择题:本大题共2小题,每小题20分,共40分。 31. 【区域合作主题】阅读图文材料,完成下列问题。 2023年5月18—19日,在西安市举行的首届中国—中亚峰会推动了中国—中亚命运共同体大格局的 构建。中亚是亚欧大陆的中心,处在联通东西、贯穿南北的十字路口,近年来,中国一中亚油气合作规模 不断扩大,中国从中亚进口的天然气增长了数倍,既增加了我国油气进口的来源,也为中亚提供了大量的 就业岗位和较大的GDP增长贡献率。 棉花是喜温、喜光、耐旱的作物。中亚是世界上重要的棉花产区,阿姆河和锡尔河流域棉田广布。图 (a)为阿姆河和锡尔河流域气候资料图,(b)为中亚位置图。(1)简述中亚的地形地势特征。 (2)简述阿姆河和锡尔河流域棉花种植的有利自然条件。 (3)从地理位置、交通、能源等方面,说出中亚发展经济的有利条件。 (4)中亚与中国的能源合作对双方意义重大,选择其中一方说出积极影响。 【答案】(1)中亚地形以平原、丘陵为主,地势东南高、西北低 (2)阿姆河和锡尔河流域位于河谷地区,地势低平;位于河流沿岸,为发展棉花种植提供了丰富的灌溉 水源;位于温带大陆性气候地区,气候干旱,光照充足,昼夜温差大,利于有机质积累,作物品质高;距 海洋较远,水汽达到少,降水少,利于棉花采摘等。 (3)从地理位置方面分析,中亚是亚欧大陆的中心,处在联通东西、贯穿南北的十字路口,地理位置优 越。从交通方面分析,中亚地区陆上交通便利,有利于与各邻国进行贸易往来。从能源方面分析,中亚地 区石油、天然气等矿产资源十分丰富。 (4)对于中亚来说,有利于促进中亚的经济发展、带动当地的就业、提高当地居民的经济收益等。对于 我国来说,有利于缓解我国的能源紧张、改善我国的能源结构、保护我国的生态环境等。 【解析】 【分析】本题以阿姆河和锡尔河流域气候资料图和中亚位置图为材料,共设4个小题,主要考查同学们对 中亚的地形地势、河流、农业、经济发展等相关知识点的掌握程度。 【小问1详解】 由图可知,根据中亚位置图,可以判断出中亚地形以平原、丘陵为主,地势东南高、西北低。 【小问2详解】结合所学知识,阿姆河和锡尔河流域棉花种植的有利自然条件主要有:阿姆河和锡尔河流域位于河谷地区, 地势低平;位于河流沿岸,为发展棉花种植提供了丰富的灌溉水源;位于温带大陆性气候地区,气候干旱, 光照充足,昼夜温差大,利于有机质积累,作物品质高;距海洋较远,水汽达到少,降水少,利于棉花采 摘等。 【小问3详解】 结合所学知识,从地理位置方面分析,中亚是亚欧大陆的中心,处在联通东西、贯穿南北的十字路口,地 理位置优越。从交通方面分析,中亚地区陆上交通便利,有利于与各邻国进行贸易往来。从能源方面分析, 中亚地区石油、天然气等矿产资源十分丰富。 【小问4详解】 结合所学知识,对于中亚来说,有利于促进中亚的经济发展、带动当地的就业、提高当地居民的经济收益 等。对于我国来说,有利于缓解我国的能源紧张、改善我国的能源结构、保护我国的生态环境等。 32. 【海洋资源开发+粮食安全主题】阅读图文材料,完成下列问题。 材料一:2023年4月10日,习近平总书记在广东省考察时指出:“中国是一个有着14亿多人口的大 国,解决好吃饭问题、保障粮食安全,要树立大食物观,既向陆地要食物,也向海洋要食物,耕海牧渔, 建设海上牧场、‘蓝色粮仓’。” 材料二:广东省拥有我国最长海岸线,海域辽阔,海水优质,是我国重要的水产养殖、加工和出口基 地。目前,广东省发挥高校和科研机构众多的优势,着力加快培育万亿级现代化海洋牧场(海上牧场)产 业群。 材料三:现代化海洋牧场是指采用科学技术,投放人工鱼礁,为贝、藻、鱼类提供栖息和繁育场所的 特定海域。其养殖过程无须投喂人工饵料,养殖密度是传统网箱的4~6倍,养殖周期缩短至3/4以内,受 近岸海域生态环境影响较小。截至2022年底,广东省已建成15个国家级海洋牧场示范区,牧场及周边海 域鱼类的种类和数量均呈递增趋势。 材料四:图为广东省国家级海洋牧场示范区分布图(1)列举两种以上的海洋资源。 (2)简述现代化海洋牧场养殖与传统近海养殖相比的优势。 (3)分析广东省建设现代化海洋牧场的有利条件。 (4)简述广东省建设现代化海洋牧场的重要意义。 【答案】(1)海洋生物资源、海洋矿产资源等 (2)效率高、周期短、污染少等。 (3)海域、滩涂、海水养殖等面积广阔;经济基础雄厚,建设资金充足;水产养殖、工程技术先进,管 理方式更先进。 (4)有利于减少对海洋资源的污染及破坏;增加渔民收入等 【解析】 【分析】该题结合图文材料,设计四个小题,考查海洋资源的开发和保护、农业的区位选择和影响因素、 可持续发展下的生态环境保护、区域合作和发展等相关知识,培养学生人地协调观和地理实践运用能力。 【小问1详解】 海洋是一个巨大的资源宝库,如海洋生物资源中的鱼类,海洋矿产资源中的石油、海盐等,还包括海洋空 间资源等。 【小问2详解】 由材料三可知,现代化海洋牧场养殖密度大、生产效率高,周期短、对附近海岸的影响小等。 【小问3详解】 有图文可知,海洋空间资源上:广东海岸线长,海域广阔、滩涂较多;经济实力上:广东省位于珠江三角地区,经济发达,工业基础雄厚,资金充足;技术人才上:拥有众多高等院校,人才众多,拥有先进的管 理模式,因此提升速度快。 【小问4详解】 广东省建设现代化海洋牧场有利于提高开发海洋资源的效率,减少污染及对海洋资源的破坏等,有利于提 高渔民收入,实现乡村振兴、实现共同富裕等。