当前位置:首页>文档>2025年中考数学几何模型综合训练(通用版)专题06三角形中的倒角模型之平行线+拐点模型解读与提分精练(教师版)_02中考总复习(2026版更新中)_02-数学-中考总复习_2025中考复习资料

2025年中考数学几何模型综合训练(通用版)专题06三角形中的倒角模型之平行线+拐点模型解读与提分精练(教师版)_02中考总复习(2026版更新中)_02-数学-中考总复习_2025中考复习资料

  • 2026-03-01 08:15:40 2026-03-01 07:30:46

文档预览

2025年中考数学几何模型综合训练(通用版)专题06三角形中的倒角模型之平行线+拐点模型解读与提分精练(教师版)_02中考总复习(2026版更新中)_02-数学-中考总复习_2025中考复习资料
2025年中考数学几何模型综合训练(通用版)专题06三角形中的倒角模型之平行线+拐点模型解读与提分精练(教师版)_02中考总复习(2026版更新中)_02-数学-中考总复习_2025中考复习资料
2025年中考数学几何模型综合训练(通用版)专题06三角形中的倒角模型之平行线+拐点模型解读与提分精练(教师版)_02中考总复习(2026版更新中)_02-数学-中考总复习_2025中考复习资料
2025年中考数学几何模型综合训练(通用版)专题06三角形中的倒角模型之平行线+拐点模型解读与提分精练(教师版)_02中考总复习(2026版更新中)_02-数学-中考总复习_2025中考复习资料
2025年中考数学几何模型综合训练(通用版)专题06三角形中的倒角模型之平行线+拐点模型解读与提分精练(教师版)_02中考总复习(2026版更新中)_02-数学-中考总复习_2025中考复习资料
2025年中考数学几何模型综合训练(通用版)专题06三角形中的倒角模型之平行线+拐点模型解读与提分精练(教师版)_02中考总复习(2026版更新中)_02-数学-中考总复习_2025中考复习资料
2025年中考数学几何模型综合训练(通用版)专题06三角形中的倒角模型之平行线+拐点模型解读与提分精练(教师版)_02中考总复习(2026版更新中)_02-数学-中考总复习_2025中考复习资料
2025年中考数学几何模型综合训练(通用版)专题06三角形中的倒角模型之平行线+拐点模型解读与提分精练(教师版)_02中考总复习(2026版更新中)_02-数学-中考总复习_2025中考复习资料
2025年中考数学几何模型综合训练(通用版)专题06三角形中的倒角模型之平行线+拐点模型解读与提分精练(教师版)_02中考总复习(2026版更新中)_02-数学-中考总复习_2025中考复习资料
2025年中考数学几何模型综合训练(通用版)专题06三角形中的倒角模型之平行线+拐点模型解读与提分精练(教师版)_02中考总复习(2026版更新中)_02-数学-中考总复习_2025中考复习资料
2025年中考数学几何模型综合训练(通用版)专题06三角形中的倒角模型之平行线+拐点模型解读与提分精练(教师版)_02中考总复习(2026版更新中)_02-数学-中考总复习_2025中考复习资料
2025年中考数学几何模型综合训练(通用版)专题06三角形中的倒角模型之平行线+拐点模型解读与提分精练(教师版)_02中考总复习(2026版更新中)_02-数学-中考总复习_2025中考复习资料
2025年中考数学几何模型综合训练(通用版)专题06三角形中的倒角模型之平行线+拐点模型解读与提分精练(教师版)_02中考总复习(2026版更新中)_02-数学-中考总复习_2025中考复习资料
2025年中考数学几何模型综合训练(通用版)专题06三角形中的倒角模型之平行线+拐点模型解读与提分精练(教师版)_02中考总复习(2026版更新中)_02-数学-中考总复习_2025中考复习资料
2025年中考数学几何模型综合训练(通用版)专题06三角形中的倒角模型之平行线+拐点模型解读与提分精练(教师版)_02中考总复习(2026版更新中)_02-数学-中考总复习_2025中考复习资料
2025年中考数学几何模型综合训练(通用版)专题06三角形中的倒角模型之平行线+拐点模型解读与提分精练(教师版)_02中考总复习(2026版更新中)_02-数学-中考总复习_2025中考复习资料
2025年中考数学几何模型综合训练(通用版)专题06三角形中的倒角模型之平行线+拐点模型解读与提分精练(教师版)_02中考总复习(2026版更新中)_02-数学-中考总复习_2025中考复习资料
2025年中考数学几何模型综合训练(通用版)专题06三角形中的倒角模型之平行线+拐点模型解读与提分精练(教师版)_02中考总复习(2026版更新中)_02-数学-中考总复习_2025中考复习资料
2025年中考数学几何模型综合训练(通用版)专题06三角形中的倒角模型之平行线+拐点模型解读与提分精练(教师版)_02中考总复习(2026版更新中)_02-数学-中考总复习_2025中考复习资料
2025年中考数学几何模型综合训练(通用版)专题06三角形中的倒角模型之平行线+拐点模型解读与提分精练(教师版)_02中考总复习(2026版更新中)_02-数学-中考总复习_2025中考复习资料
2025年中考数学几何模型综合训练(通用版)专题06三角形中的倒角模型之平行线+拐点模型解读与提分精练(教师版)_02中考总复习(2026版更新中)_02-数学-中考总复习_2025中考复习资料
2025年中考数学几何模型综合训练(通用版)专题06三角形中的倒角模型之平行线+拐点模型解读与提分精练(教师版)_02中考总复习(2026版更新中)_02-数学-中考总复习_2025中考复习资料
2025年中考数学几何模型综合训练(通用版)专题06三角形中的倒角模型之平行线+拐点模型解读与提分精练(教师版)_02中考总复习(2026版更新中)_02-数学-中考总复习_2025中考复习资料
2025年中考数学几何模型综合训练(通用版)专题06三角形中的倒角模型之平行线+拐点模型解读与提分精练(教师版)_02中考总复习(2026版更新中)_02-数学-中考总复习_2025中考复习资料
2025年中考数学几何模型综合训练(通用版)专题06三角形中的倒角模型之平行线+拐点模型解读与提分精练(教师版)_02中考总复习(2026版更新中)_02-数学-中考总复习_2025中考复习资料
2025年中考数学几何模型综合训练(通用版)专题06三角形中的倒角模型之平行线+拐点模型解读与提分精练(教师版)_02中考总复习(2026版更新中)_02-数学-中考总复习_2025中考复习资料
2025年中考数学几何模型综合训练(通用版)专题06三角形中的倒角模型之平行线+拐点模型解读与提分精练(教师版)_02中考总复习(2026版更新中)_02-数学-中考总复习_2025中考复习资料
2025年中考数学几何模型综合训练(通用版)专题06三角形中的倒角模型之平行线+拐点模型解读与提分精练(教师版)_02中考总复习(2026版更新中)_02-数学-中考总复习_2025中考复习资料
2025年中考数学几何模型综合训练(通用版)专题06三角形中的倒角模型之平行线+拐点模型解读与提分精练(教师版)_02中考总复习(2026版更新中)_02-数学-中考总复习_2025中考复习资料
2025年中考数学几何模型综合训练(通用版)专题06三角形中的倒角模型之平行线+拐点模型解读与提分精练(教师版)_02中考总复习(2026版更新中)_02-数学-中考总复习_2025中考复习资料
2025年中考数学几何模型综合训练(通用版)专题06三角形中的倒角模型之平行线+拐点模型解读与提分精练(教师版)_02中考总复习(2026版更新中)_02-数学-中考总复习_2025中考复习资料
2025年中考数学几何模型综合训练(通用版)专题06三角形中的倒角模型之平行线+拐点模型解读与提分精练(教师版)_02中考总复习(2026版更新中)_02-数学-中考总复习_2025中考复习资料
2025年中考数学几何模型综合训练(通用版)专题06三角形中的倒角模型之平行线+拐点模型解读与提分精练(教师版)_02中考总复习(2026版更新中)_02-数学-中考总复习_2025中考复习资料
2025年中考数学几何模型综合训练(通用版)专题06三角形中的倒角模型之平行线+拐点模型解读与提分精练(教师版)_02中考总复习(2026版更新中)_02-数学-中考总复习_2025中考复习资料
2025年中考数学几何模型综合训练(通用版)专题06三角形中的倒角模型之平行线+拐点模型解读与提分精练(教师版)_02中考总复习(2026版更新中)_02-数学-中考总复习_2025中考复习资料
2025年中考数学几何模型综合训练(通用版)专题06三角形中的倒角模型之平行线+拐点模型解读与提分精练(教师版)_02中考总复习(2026版更新中)_02-数学-中考总复习_2025中考复习资料
2025年中考数学几何模型综合训练(通用版)专题06三角形中的倒角模型之平行线+拐点模型解读与提分精练(教师版)_02中考总复习(2026版更新中)_02-数学-中考总复习_2025中考复习资料
2025年中考数学几何模型综合训练(通用版)专题06三角形中的倒角模型之平行线+拐点模型解读与提分精练(教师版)_02中考总复习(2026版更新中)_02-数学-中考总复习_2025中考复习资料
2025年中考数学几何模型综合训练(通用版)专题06三角形中的倒角模型之平行线+拐点模型解读与提分精练(教师版)_02中考总复习(2026版更新中)_02-数学-中考总复习_2025中考复习资料
2025年中考数学几何模型综合训练(通用版)专题06三角形中的倒角模型之平行线+拐点模型解读与提分精练(教师版)_02中考总复习(2026版更新中)_02-数学-中考总复习_2025中考复习资料
2025年中考数学几何模型综合训练(通用版)专题06三角形中的倒角模型之平行线+拐点模型解读与提分精练(教师版)_02中考总复习(2026版更新中)_02-数学-中考总复习_2025中考复习资料
2025年中考数学几何模型综合训练(通用版)专题06三角形中的倒角模型之平行线+拐点模型解读与提分精练(教师版)_02中考总复习(2026版更新中)_02-数学-中考总复习_2025中考复习资料
2025年中考数学几何模型综合训练(通用版)专题06三角形中的倒角模型之平行线+拐点模型解读与提分精练(教师版)_02中考总复习(2026版更新中)_02-数学-中考总复习_2025中考复习资料
2025年中考数学几何模型综合训练(通用版)专题06三角形中的倒角模型之平行线+拐点模型解读与提分精练(教师版)_02中考总复习(2026版更新中)_02-数学-中考总复习_2025中考复习资料
2025年中考数学几何模型综合训练(通用版)专题06三角形中的倒角模型之平行线+拐点模型解读与提分精练(教师版)_02中考总复习(2026版更新中)_02-数学-中考总复习_2025中考复习资料
2025年中考数学几何模型综合训练(通用版)专题06三角形中的倒角模型之平行线+拐点模型解读与提分精练(教师版)_02中考总复习(2026版更新中)_02-数学-中考总复习_2025中考复习资料
2025年中考数学几何模型综合训练(通用版)专题06三角形中的倒角模型之平行线+拐点模型解读与提分精练(教师版)_02中考总复习(2026版更新中)_02-数学-中考总复习_2025中考复习资料
2025年中考数学几何模型综合训练(通用版)专题06三角形中的倒角模型之平行线+拐点模型解读与提分精练(教师版)_02中考总复习(2026版更新中)_02-数学-中考总复习_2025中考复习资料
2025年中考数学几何模型综合训练(通用版)专题06三角形中的倒角模型之平行线+拐点模型解读与提分精练(教师版)_02中考总复习(2026版更新中)_02-数学-中考总复习_2025中考复习资料
2025年中考数学几何模型综合训练(通用版)专题06三角形中的倒角模型之平行线+拐点模型解读与提分精练(教师版)_02中考总复习(2026版更新中)_02-数学-中考总复习_2025中考复习资料
2025年中考数学几何模型综合训练(通用版)专题06三角形中的倒角模型之平行线+拐点模型解读与提分精练(教师版)_02中考总复习(2026版更新中)_02-数学-中考总复习_2025中考复习资料
2025年中考数学几何模型综合训练(通用版)专题06三角形中的倒角模型之平行线+拐点模型解读与提分精练(教师版)_02中考总复习(2026版更新中)_02-数学-中考总复习_2025中考复习资料
2025年中考数学几何模型综合训练(通用版)专题06三角形中的倒角模型之平行线+拐点模型解读与提分精练(教师版)_02中考总复习(2026版更新中)_02-数学-中考总复习_2025中考复习资料
2025年中考数学几何模型综合训练(通用版)专题06三角形中的倒角模型之平行线+拐点模型解读与提分精练(教师版)_02中考总复习(2026版更新中)_02-数学-中考总复习_2025中考复习资料
2025年中考数学几何模型综合训练(通用版)专题06三角形中的倒角模型之平行线+拐点模型解读与提分精练(教师版)_02中考总复习(2026版更新中)_02-数学-中考总复习_2025中考复习资料
2025年中考数学几何模型综合训练(通用版)专题06三角形中的倒角模型之平行线+拐点模型解读与提分精练(教师版)_02中考总复习(2026版更新中)_02-数学-中考总复习_2025中考复习资料
2025年中考数学几何模型综合训练(通用版)专题06三角形中的倒角模型之平行线+拐点模型解读与提分精练(教师版)_02中考总复习(2026版更新中)_02-数学-中考总复习_2025中考复习资料
2025年中考数学几何模型综合训练(通用版)专题06三角形中的倒角模型之平行线+拐点模型解读与提分精练(教师版)_02中考总复习(2026版更新中)_02-数学-中考总复习_2025中考复习资料
2025年中考数学几何模型综合训练(通用版)专题06三角形中的倒角模型之平行线+拐点模型解读与提分精练(教师版)_02中考总复习(2026版更新中)_02-数学-中考总复习_2025中考复习资料
2025年中考数学几何模型综合训练(通用版)专题06三角形中的倒角模型之平行线+拐点模型解读与提分精练(教师版)_02中考总复习(2026版更新中)_02-数学-中考总复习_2025中考复习资料

文档信息

文档格式
docx
文档大小
4.789 MB
文档页数
60 页
上传时间
2026-03-01 07:30:46

文档内容

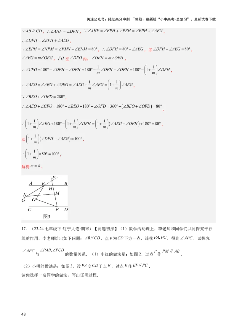
关注公众号:陆陆高分冲刺 ~领取:最新版“小中高考-总复习”、最新试卷下载 专题06 三角形中的倒角模型之平行线+拐点模型 近年来各地中考中常出现一些几何倒角模型,该模型主要涉及高线、角平分线及角度的计算(内角和 定理、外角定理等)。平行线+拐点模型在初中数学几何模块中属于基础工具类问题,也是学生必须掌握 的一块内容,熟悉这些模型可以快速得到角的关系,求出所需的角。本专题就平行线+拐点模型(猪蹄模 型(M型)、铅笔头模型、牛角模型、羊角模型、“5”字模型)进行梳理及对应试题分析,方便掌握。 拐点(平行线)模型的核心是一组平行线与一个点,然后把点与两条线分别连起来,就构成了拐点模型, 这个点叫做拐点,两条线的夹角叫做拐角。 通用解法:见拐点作平行线; 基本思路:和差拆分与等角转化。 .........................................................................................................................................................................................2 模型1.猪蹄模型(M型与锯齿型)...............................................................................................................2 模型2.铅笔头模型...........................................................................................................................................3 模型3.牛角模型...............................................................................................................................................4 模型4.羊角模型...............................................................................................................................................4 模型5.蛇形模型(“5”字模型)...................................................................................................................5 ....................................................................................................................................................6 模型1.猪蹄模型(M型与锯齿型) 1关注公众号:陆陆高分冲刺 ~领取:最新版“小中高考-总复习”、最新试卷下载 先说说这个名字的由来,为什么叫猪蹄模型呢?因为它长得像猪蹄,也有叫M模型或锯齿模型的,都是根 据外形来取的,只要你喜欢,叫什么都无所谓,掌握其中的核心才是关键。。 ①注意:拐角为左右依次排列;②若出现不是依次排列的,应进行拆分。 图1 图2 图3 条件:如图1,①已知:AM∥BN,结论:∠APB=∠A+∠B;②条件:∠APB=∠A+∠B,结论:AM∥BN. 证明:如图1,过点P作PQ∥AM, ∵PQ∥AM,AM∥BN,∴PQ∥AM∥BN,∴∠A=∠APQ,∠B=∠BPQ, ∴∠A+∠B=∠APQ+∠BPQ=∠APB,即:∠APB=∠A+∠B. 条件:如图2,已知:AM∥BN,结论:∠P+∠P=∠A+∠B+∠P 1 3 2. 证明:根据图1中结论可得,∠A+∠B+∠P=∠P+∠P, 2 1 3 条件:如图3,已知:AM∥BN,结论:∠P+∠P+...+∠P =∠A+∠B+∠P+...+∠P 1 3 2n+1 2 2n. 证明:由图2的规律得,∠A+∠B+∠P+…+P =∠P+∠P+∠P+…+∠P 2 2n 1 3 5 2n+1 例1.(2024·山西·二模)如图是一种卫星接收天线的轴截面示意图,卫星波束 与 平行射入接收天 线,经反射聚集到焦点 处,若 , ,则 的度数为( ) A. B. C. D. 2关注公众号:陆陆高分冲刺 ~领取:最新版“小中高考-总复习”、最新试卷下载 【答案】B 【分析】本题考查了利用平行线的性质求角的度数,作 ,则 ,结合得出 ,推出 ,最后由 ,即可得解. 【详解】解:如图,作 ,则 , , , , ,故选:B. 例2.(2024九年级下·辽宁·学业考试)如图, , ,则 的度 数为 . 【答案】 /80度 【分析】本题考查了平行线的性质、等边对等角等知识点,作 可得 ;根据 即可求解. 【详解】解:作 ,如图所示:∵ ,∴ ∵ ∴ ∴ ∵ ∴ 故答案为: 例3.(2023春·河南驻马店·九年级专题练习)已知 , , , 若 ,则 为( ) 3关注公众号:陆陆高分冲刺 ~领取:最新版“小中高考-总复习”、最新试卷下载 A.23° B.33° C.44° D.46° 【答案】C 【分析】如图(见解析),先根据平行线的性质、角的和差可得 ,同样的方 法可得 ,再根据角的倍分可得 ,由此即可得出答 案. 【详解】如图,过点E作 ,则 , ∴ , , 同理可得: , , ∴ , ,故选:C. 【点睛】本题考查了平行线的性质、角的和差倍分,熟练掌握平行线的性质是解题关键. 例4.(2023·广东深圳·校联考模拟预测)北京冬奥会掀起了滑雪的热潮,谷爱凌的励志故事也激励着我们 青少年,很多同学纷纷来到滑雪场,想亲身感受一下奥运健儿在赛场上风驰电掣的感觉,但是第一次走进 滑雪场的你,如果不想体验人仰马翻的感觉,学会正确的滑雪姿势是最重要的,正确的滑雪姿势是上身挺 直略前倾,与小腿平行,使脚的根部处于微微受力的状态,如图所示, ,当人脚与地面的夹角 时,求出此时上身 与水平线的夹角 的度数为( ) 4关注公众号:陆陆高分冲刺 ~领取:最新版“小中高考-总复习”、最新试卷下载 A. B. C. D. 【答案】A 【分析】延长 交直线 于点 ,利用平行线的性质得出 ,再由两直线平行,内 错角相等即可得出结果. 【详解】解:延长 交直线 于点 , , , 根据题意得 , ,故选:A. 【点睛】题目考查平行线的性质,理解题意,熟练掌握运用平行线的性质是解题关键. 例5.(23-24七年级下·广东云浮·期末)小明学习了角平分线的定义以及平行线的判定与性质的相关知识 后,对角之间的关系进行了拓展探究.如图,直线 ,直线 是直线 , 的第三条截线, , 分别是 , 的平分线,并且相交于点K. 问题解决: (1) , 的平分线 , 所夹的 的度数为______; 问题探究:(2)如图2, , 的平分线相交于点 ,请写出 与 之间的等量关系, 并说明理由; 拓展延伸:(3)在图3中作 , 的平分线相交于点K,作 , 的平分线相交于 点 ,依此类推,作 , 的平分线相交于点 ,求出 的度数. 5关注公众号:陆陆高分冲刺 ~领取:最新版“小中高考-总复习”、最新试卷下载 【答案】(1) ;(2) ,理由见解析;(3) 【分析】本题考查利用平行线的性质和平行公理的推论探究角的关系(拐点问题),角平分线的相关计算等 知识,掌握平行线的性质是解题的关键.(1)证明过点K作 ,则 ,利用平行线的 性质推出 ,继而推出 , 从而得到 ;(2)与(1)同理可得: ,继而得解;(3)由(2)得 ,同理得 , ,继而总结规律得 ,从而得解. 【详解】解:(1)如图,过点K作 ,则 , ∴ , ∵ , 分别是 , 的平分线,并且相交于点K,∴ , ∴ , ∴ ,故答案为: . (2) .理由:如图,过点 作 . , , , , . , 的平分线相交于点 , , , . 6关注公众号:陆陆高分冲刺 ~领取:最新版“小中高考-总复习”、最新试卷下载 由(1),知 , . (3)由(2),可知 .同理,可得 , ,…… . 当 时, . 例6.(2024·上海·八年级校考期中)已知,直线AB∥CD。(1)如图(1),点G为AB、CD间的一点, 联结AG、CG.若∠A=140°,∠C=150°,则∠AGC的度数是多少? (2)如图(2),点G为AB、CD间的一点,联结AG、CG.∠A=x°,∠C=y°,则∠AGC的度数是多少? (3)如图(3),写出∠BAE、∠AEF、∠EFG、∠FGC、∠GCD之间有何关系?直接写出结论. 【答案】(1)70°;(2)∠AGC=(x+y)°;(3)∠BAE+∠EFG+∠GCD=∠AEF+∠FGC. 【分析】(1)过点G作GE∥AB,利用平行线的性质即可进行转化求解.(2)过点G作GF∥AB,利用 平行线的性质即可进行转化求解.(3)过点E作EM∥AB,过点F作FN∥AB,过点G作GQ∥CD,利用 平行线的性质即可进行转化找到角的关系. 【详解】解:(1)如图,过点G作GE∥AB, ∵AB∥GE,∴∠A+∠AGE=180°(两直线平行,同旁内角互补). ∵∠A=140°,∴∠AGE=40°.∵AB∥GE,AB∥CD,∴GE∥CD. ∴∠C+∠CGE=180°(两直线平行,同旁内角互补). ∵∠C=150°,∴∠CGE=30°.∴∠AGC=∠AGE+∠CGE=40°+30°=70°. (2)如图,过点G作GF∥AB 7关注公众号:陆陆高分冲刺 ~领取:最新版“小中高考-总复习”、最新试卷下载 ∵AB∥GF,∴∠A=AGF(两直线平行,内错角相等). ∵AB∥GF,AB∥CD,∴GF∥CD.∴∠C=∠CGF. ∴∠AGC=∠AGF+∠CGF=∠A+∠C .∵∠A=x°,∠C=y°,∴∠AGC=(x+y)°. (3)如图所示,过点E作EM∥AB,过点F作FN∥AB,过点G作GQ∥CD, ∵AB∥CD,∴AB∥EM∥FN∥GQ∥CD. ∴∠BAE=∠AEM,∠MEF=∠EFN,∠NFG=∠FGQ,∠QGC=∠GCD(两直线平行,内错角相等). ∴∠AEF=∠BAE+∠EFN,∠FGC=∠NFG+GCD. ∵∠EFN+∠NFG=∠EFG,∴∠BAE+∠EFG+∠GCD=∠AEF+∠FGC. 【点睛】本题考查平行线的判定与性质,本题构造辅助线利用平行线的传递性结合平行线性质是解题关键. 模型2.铅笔头模型(子弹模型) 因为它长得像铅笔头或,也有叫子弹模型的,都是根据外形来取的,叫什么都无所谓,掌握其中的核心才 是关键。 ①注意拐角朝同一方向 ②若出现拐角不朝同一方向的,应进行拆分. 8关注公众号:陆陆高分冲刺 ~领取:最新版“小中高考-总复习”、最新试卷下载 图1 图2 图3 条件:如图1,已知:AM∥BN,结论:∠1+∠2+∠3=360°;(该结论和条件互换结果任然成立)。 证明:在图2中,过P作AM的平行线PF,∵AB∥CD,∴PF∥CD, ∴∠1+∠APF=180°,∠3+∠CPF=180°,∴∠1+∠2+∠3=360°; 条件:如图2,已知:AM∥BN,结论:∠1+∠2+∠3+∠4=540° 证明:在图2中,过P 作AM的平行线PE,过点P 作AM的平行线PF, 1 1 2 2 ∵AB∥CD,∴PE∥BN∥PF,∴∠1+∠APE=180°,∠PPE+∠PPF=180°,∠FPB+∠4=180°, 1 2 1 2 1 1 2 2 ∴∠1+∠2+∠3+∠4=540°; 条件:如图3,已知:AM∥BN,结论:∠1+∠2+…+∠n=(n-1)180°. 证明:在图3中,过各角的顶点依次作AB的平行线, 根据两直线平行,同旁内角互补以及上述规律可得:∠1+∠2+∠3+…+∠n=(n﹣1)180°. 例1.(2024·辽宁·模拟预测)如图,平行于主光轴 的光线 和 经过凸透镜的折射后,折射光线 和折射光线 交主光轴于点P,若 , ,则 °. 【答案】45 【分析】根据平行线的性质和对顶角的性质即可得到结论.此题主要考查了平行线的性质,准确识图,熟 练掌握平行线的性质是解决问题的关键. 【详解】解: , , , 又 , , , , , .故答案为:45. 例2.(2024·陕西咸阳·模拟预测)如图,直线 ,则 的度数为( ) 9关注公众号:陆陆高分冲刺 ~领取:最新版“小中高考-总复习”、最新试卷下载 A. B. C. D. 【答案】D 【分析】本题考查了平行线的性质,根据 ,得出 , 结合 ,代入数值进行计算,即可作答. 【详解】解:如图:∵ ∴ 则 ∵ ∴ 故选:D 例3.(2023下·江苏南通·七年级统考期末)如图,直线 ,点E,F分别是直线 上的两点, 点P在直线 和 之间,连接 和 的平分线交于点Q,下列等式正确的是( ) A. B. C. D. 【答案】A 【分析】过点P作 ,过点Q作 ,可得 ,从而得到 , , , 进而得到 ,再由角平分线的定义可得 ,即可求解. 【详解】解:如图,过点P作 ,过点Q作 , 10关注公众号:陆陆高分冲刺 ~领取:最新版“小中高考-总复习”、最新试卷下载 ∵ ,∴ , ∴ , , ,∴ , ∵ 和 的平分线交于点Q,∴ , ∴ , ∵ , ∴ .故选:A. 【点睛】本题考查平行线的性质,平行公理的推论,角平分线的定义,熟练掌握平行线的性质是解题关键. 例4.(2023上·广东广州·八年级校考开学考试)如图①所示,四边形 为一张长方形纸片.如图② 所示,将长方形纸片剪两刀,剪出三个角( 、 、 ),则 (度); (1)如图③所示,将长方形纸片剪三刀,剪出四个角( 、 、 、 ),则 (度); (2)如图④所示,将长方形纸片剪四刀,剪出五个角( 、 、 、 、 ), 则 (度); (3)根据前面的探索规律,将本题按照上述剪法剪 刀,剪出 个角,那么这 个角的和是 (度). 【答案】 360 540 720 180n 【分析】过点 作 ,再根据两直线平行,同旁内角互补即可得到三个角的和等于 的 倍; (1)分别过 、 分别作 的平行线,根据两直线平行,同旁内角互补即可得到四个角的和等于 的 三倍;(2)分别过 、 、 分别作 的平行线,根据两直线平行,同旁内角互补即可得到四个角的和 等于 的四倍;(3)根据前三问个的剪法,剪 刀,剪出 个角,那么这 个角的和是 度. 【详解】过 作 (如图②). 11关注公众号:陆陆高分冲刺 ~领取:最新版“小中高考-总复习”、最新试卷下载 ∵原四边形是长方形,∴ , 又∵ ,∴ (平行于同一条直线的两条直线互相平行). ∵ ,∴ (两直线平行,同旁内角互补). ∵ ,∴ (两直线平行,同旁内角互补). ∴ , 又∵ ,∴ ; ( )分别过 、 分别作 的平行线,如图③所示, 用上面的方法可得 ; ( )分别过 、 、 分别作 的平行线,如图④所示, 用上面的方法可得 ; ( )由此可得一般规律:剪 刀,剪出 个角,那么这 个角的和是 度. 故答案为: ; ; ; . 【点睛】本题主要考查了多边形的内角和,作平行线并利用两直线平行,同旁内角互补是解本题的关键, 总结规律求解是本题的难点. 例5.(2023下·江苏南京·七年级统考期中)从特殊到一般是数学研究的常用方法,有助于我们发现规律, 探索问题的解. (1)如图1, ,点E为 、 之间的一点.求证: . (2)如图2, ,点E、F、G、H为 、 之间的四点.则 ______. (3)如图3, ,则 ______. 12关注公众号:陆陆高分冲刺 ~领取:最新版“小中高考-总复习”、最新试卷下载 【答案】(1)证明见详解;(2) ;(3) ; 【分析】(1)过点 作 ,可得 ,根据平行线的性质可得 , ,再计算角度和即可证明;(2)分别过点E、F、G、H作 的平行线,在两相邻平行 线间利用两直线平行同旁内角互补求得两角度和后,再将所有角度相加即可解答;(3)由(2)解答可知 在 、 之间每有一条线段便可求得一个180°角度和,结合图3找出n和线段条数的关系便可解答; 【详解】(1)证明:如下图,过点 作 , ∵ , ,∴ , 根据两直线平行同旁内角互补可得: , , ∴ ,∴ ; (2)解:如下图,分别过点E、F、G、H作 , , , , 结合(1)解答在两相邻平行线间可得: , , , , ,将所有角度相加可得: ; (3)解:由(2)解答可知在 、 之间每有一条线段便可求得一个180°角度和, 由图3可知:当 、 之间有2条线段时, ,当 、 之间有3条线段时, , 当 、 之间有4条线段时, ,当 、 之间有5条线段时, ,…, 当 、 之间有 条线段时, ,∴ ; 【点睛】本题考查了平行线公理的推论,平行线的性质,归纳总结的解题思路,通过作辅助线将角度按组 计算是解题关键. 13关注公众号:陆陆高分冲刺 ~领取:最新版“小中高考-总复习”、最新试卷下载 模型3.牛角模型 因为它长得像犀牛角,故取名牛角模型。 图1 图2 条件:如图1,已知:AB∥CD,且∠E= ,∠ABE= ,∠CDE= ,结论: . 证明:如图,延长AB交DE于点F,∵AB∥CD,∴∠BFE=∠CDF= , ∵∠ABE=∠BFE+∠E(外角定理),∴∠ABE=∠CDF+∠E,∴ ; 条件:如图2,已知:AB∥CD,且∠E= ,∠ABE= ,∠CDE= ,结论: . 证明:如图,延长AB交DE于点F, ∵AB∥CD,∴∠BFD=∠CDF= ,∴∠BFE=180°-∠BFD=180°- , ∵∠ABE=∠E+∠BFE(外角定理),∴∠ABE=∠E+180°-∠BFD,∴ ; 例1.(2024·山西·模拟预测)抖空竹是一种传统杂技节目,是国家级非物质文化遗产之一.如图1是某同 学“抖空竹”的一个瞬间,若将其抽象成图2的数学问题:在平面内,已知 , , ,则 的度数为( ) A. B. C. D. 14关注公众号:陆陆高分冲刺 ~领取:最新版“小中高考-总复习”、最新试卷下载 【答案】C 【分析】本题主要考查了平行线的性质,三角形外角的性质,延长 交 于F,根据两直线平行,同位 角相等得到 ,再由三角形外角的性质即可得到答案. 【详解】解:如图所示,延长 交 于F, ∵ , , ∴ , ∵ , ∴ , 故选:C. 例2.(2023·安徽滁州·校联考二模)如图,若 ,则( ) A. B. C. D. 【答案】A 【分析】如图所示,过点E作 ,则 ,由平行线的性质得到 ,进一步推出 . 【详解】解:如图所示,过点E作 , ∵ ,∴ ,∴ , ∴ , ∴ ,∴ ,故选A. 15关注公众号:陆陆高分冲刺 ~领取:最新版“小中高考-总复习”、最新试卷下载 【点睛】本题主要考查了平行线的性质,熟知两直线平行,同旁内角互补是解题的关键. 例3.(2022·湖北洪山·七年级期中)如图,已知AB∥CD,P为直线AB,CD外一点,BF平分∠ABP, DE平分∠CDP,BF的反向延长线交DE于点E,若∠FED=a,试用a表示∠P为______. 【答案】∠P=360°﹣2a 【分析】根据角平分线的性质得出∠1=∠2,∠3=∠4,平行线的性质得出∠1=∠5,∠6=∠PDC= 2∠3,进而根据三角形内角和得出∠5、∠FED,再得到∠P和a的关系,然后即可用 a表示∠P. 【详解】解:延长AB交PD于点G,延长FE交CD于点H, ∵BF平分∠ABP,DE平分∠CDP,∴∠1=∠2,∠3=∠4, ∵AB∥CD,∴∠1=∠5,∠6=∠PDC=2∠3, ∵∠PBG=180°﹣2∠1,∴∠PBG=180°﹣2∠5,∴∠5=90°﹣ ∠PBG, ∵∠FED=180°﹣∠HED,∠5=180°﹣∠EHD,∠EHD+∠HED+∠3=180°, ∴180°﹣∠5+180°﹣∠FED+∠3=180°,∴∠FED=180°﹣∠5+∠3, ∴∠FED=180°﹣(90°﹣ ∠PBG)+ ∠6=90°+ (∠PBG+∠6)=90°+ (180°﹣∠P)=180°﹣ ∠P,∵∠FED=a,∴a=180°﹣ ∠P∴∠P=360°﹣2a.故答案为:∠P=360°﹣2a. 【点睛】此题考查了角平分线的性质和平行线的性质及三角形内角和,有一定的综合性,认真找出角的关 16关注公众号:陆陆高分冲刺 ~领取:最新版“小中高考-总复习”、最新试卷下载 系是关键. 例4.(2023春·广东深圳·九年级校校考期中)已知直线 ,点 为直线 , 所确定的平面内 的一点,(1)问题提出:如图1, , .求 的度数: (2)问题迁移:如图2,写出 , , 之间的数量关系,并说明理由: (3)问题应用:如图3, , , ,求 的值. 【答案】(1) (2) ,理由见解析 (3) 【分析】(1)过点 作 ,易得 ,由平行线的性质可得 , ,即可求出 ;(2)过点 作 ,易得 ,根据平行线的性质可得 ; (3)过点 作 ,过点 作 ,易得 , ,根据平行线的性质可得 , ,再由已知等量代换,即可求得 的值. 【详解】(1)解:如图1所示,过点 作 , , , , , , . , , ; 17关注公众号:陆陆高分冲刺 ~领取:最新版“小中高考-总复习”、最新试卷下载 (2)解: ,理由如下: 如图2,过点 作 , , , , , , ; (3)解:如图3,过点 作 ,过点 作 , , , , , , , , , , , . 【点睛】本题考查了平行线的性质,熟练掌握平行线的性质,正确构造辅助线是解题的关键. 例5.(2023下·辽宁大连·七年级统考期末)如图, . (1)如图 ,求证 ;(2)如图 ,点 在 上, 平分 ,交 于点 , 探究 的数量关系,并证明你的结论;(3)在(2)的条件下,如图 交 延长线于点 ,求 的度数. 【答案】(1)见解析(2) ,见解析(3) 【分析】(1)证明:延长 交 于点 ,则 ,结合已知即可得出 , 据此即可得出结论;(2)设 , ,由角平分线的定义得 , , 18关注公众号:陆陆高分冲刺 ~领取:最新版“小中高考-总复习”、最新试卷下载 由(1)可知 ∥ ,则 , ,然后由 得 ,再四边形的内角和等于 得 ,即 ,据此可得出 , 的数量关系; (3)设 ,则 , ,由 ∥ 得 ,而 ,然后根据 得 ,据此可求出 ,则 ,最后根据周角的定义可求出 的度数. 【详解】(1)证明:延长 交 于点 , , , , ∥ . (2)解: , 的数量关系是: ,理由如下: 设 , , 平分 , , , , , 由(1)可知: ∥ , , , , , , 由四边形的内角和等于 得: , 即: , , . (3)解:设 , , ,由(1)可知: ∥ , , , , , , ,解得: , , ,根据周角的定义得: , . 【点睛】此题考查平行线的判定和性质,角平分线的定义等,解答此题的关键是准确识图,熟练掌握平行 线的判定及性质:两直线平行 同位角相等,两直线平行 内错角相等,两直线平行 同旁内角互补. 19关注公众号:陆陆高分冲刺 ~领取:最新版“小中高考-总复习”、最新试卷下载 模型4.羊角模型 因长像酷似山羊角,故取名羊角模型。 图1 图2 条件:如图1,已知:AB∥DE,且∠C= ,∠B= ,∠D= ,结论: . 证明:∵AB∥DE,∴∠AFC=∠D= , ∵∠AFC=∠B+∠C(外角定理),∴∠D=∠B+∠C,∴ ; 条件:如图2,已知:AB∥DE,且∠C= ,∠B= ,∠D= ,结论: . 证明:∵AB∥CD,∴∠BFD+∠D=180°∴∠BFD=180°-∠D=180°- , ∵∠BFD=∠B+∠C(外角定理),∴180°-∠D=∠B+∠C,∴ ; 例1.(2024·重庆江津·模拟预测)如图,已知 ,如果 , ,那么 的度数 为 . 20关注公众号:陆陆高分冲刺 ~领取:最新版“小中高考-总复习”、最新试卷下载 【答案】 /35度 【分析】本题考查平行线的性质,等腰三角形的性质,三角形的外角定理,熟练掌握知识点是解题的关键. 先根据平行线的性质得到 ,再根据等边对等角以及外角定理即可求解. 【详解】解:∵ ,∴ , ∵ ,∴ ,∵ ,∴ , ∵ ,∴ ,故答案为: . 例2.(2024·山东济南·中考真题)如图,已知 , 是等腰直角三角形, ,顶点 分别在 上,当 时, . 【答案】 /65度 【分析】本题考查等腰三角形的性质,平行线的性质,根据平行线的性质,得到 ,等边对等角, 得到 ,再根据角的和差关系求出 的度数即可. 【详解】解:∵ 是等腰直角三角形, ,∴ , ∵ ,∴ ,∴ ;故答案为: . 例3.(2023·河南·统考三模)如图,已知 , , ,则 的度数为 21关注公众号:陆陆高分冲刺 ~领取:最新版“小中高考-总复习”、最新试卷下载 ( ) A. B. C. D. 【答案】C 【分析】过点 作 ,则 ,根据平行线的性质可得到 , ,即可求得 . 【详解】如图,过点 作 , ∵ , ,∴ . ∴ ,. ∵ ,∴ . ∴ .故选C. 【点睛】本题主要考查了平行线的性质,正确作出辅助线,利用平行线的性质求解是解决问题的关键. 例4.(23-24七年级下·湖北武汉·期末)如图, 的角平分线 交 的角平分线的 反向延长线于点P,直线 交 于点N,若 ,则 ° 【答案】36 【分析】本题考查了角平分线的性质,三角形的外角定理,平行线的性质,解题的关键是熟练掌握相关的 性质定理, 根据角平分线的性质和 可得 ,再根据三角形的外角定理分别求 22关注公众号:陆陆高分冲刺 ~领取:最新版“小中高考-总复习”、最新试卷下载 出 , ,进而可求解 【详解】解:如图所示: 交 于点E, 由题意可知: 平分 , 平分 , , , ,即 , , , 是 的一个外角, 是 的一个外角, ,故答案为:36 例5.(2023七年级下·江苏·专题练习)已知 . (1)如图1,求证: ; (2)若F为直线 、 之间的一点, , 平分 交 于点G, 交 于点C. ①如图2,若 ,且 ,求 的度数;②如图3,若点K在射线 上,且满足 ,若 , ,直接写出 的度数. 【答案】(1)见解析(2)① ;② 或 【分析】(1)过E作 ,然后根据两直线平行,内错角相等进行解答即可;(2)①过F作 23关注公众号:陆陆高分冲刺 ~领取:最新版“小中高考-总复习”、最新试卷下载 ,交 于H点,过点 作 ,则 , ,根据平行线的性质 可得 ,根据角平分线的性质结合 ,从而得出 ,进而得出答案;②过点F作 ,设 ,则 , ,所以 , ,然后分当K在 上;当K在 延长线上两种情况进行 解答即可. 【详解】(1)解:如图,过E作 ,∴ , 又∵ ,∴ ,∴ ,即 ; (2)①如图,过F作 ,交 于H点,过点 作 ,则 , , ∵ ,∴ ,∴ , ∵ 平分 ,∴ ,∵ ,∴ , ∵ ,即 ,∴ , ∵ ,∴ , 即 ,∴ ; ②如图,过点F作 ,设 ,则 , , ∴ ,∴ , , 当K在 上, ,∴ , ∴ ,∴ ; 24关注公众号:陆陆高分冲刺 ~领取:最新版“小中高考-总复习”、最新试卷下载 当K在 延长线上时, , , ∴ ,∴ ,综上所述, 或 . 【点睛】本题考查了平行线的性质,角平分线的定义,角的和差倍分,熟练掌握平行线的性质、作出正确 辅助线、运用分类讨论的思想解题是关键. 模型5.蛇形模型(“5”字模型) 因模型像一条弯曲的水蛇,故取名蛇形模型。 图1 图2 条件:如图1,已知:AB∥DE,∠C= ,∠B= ,∠D= ,结论: . 证明:在图2中,过C作AB的平行线CF,∴∠BCF=∠B, ∵AB∥DE,∴CF∥DE,∴∠FCD+∠D=180°,∴∠BCF+∠FCD+∠D=∠B+180°, ∴∠BCD+∠D=∠B+180°,∴ . 25关注公众号:陆陆高分冲刺 ~领取:最新版“小中高考-总复习”、最新试卷下载 条件:如图2,已知:AB∥DE,∠C= ,∠B= ,∠D= ,结论: . 证明:在图2中,过C作AB的平行线CF,∴∠B+∠BCF=180°, ∵AB∥DE,∴CF∥DE,∴∠FCD=∠D,∴∠B+∠BCF+∠FCD=∠D+180°, ∴∠BCD+∠D=∠B+180°,∴ . 例1.(2023·四川广元·统考三模)珠江流域某江段江水流向经过B、C、D三点,拐弯后与原来方向相同, 如图,若 ,则 等于( ) A.50° B.40° C.30° D.20° 【答案】D 【分析】过点C作 ,根据平行线的性质即可求出 的度数. 【详解】解:过点C作 ,∴ , ∵ ∴ ; ∵ ,∴ ; 由题意 ,∴ ,∴ .故选:D 【点睛】本题考查平行线的判断和性质,作出辅助线,灵活运用平行线的性质是解题的关键. 例2.(23-24七年级下·辽宁葫芦岛·期末)如图, , 的角平分线 的反向延长线和 的角平分线 交于点F, ,则 . 26关注公众号:陆陆高分冲刺 ~领取:最新版“小中高考-总复习”、最新试卷下载 【答案】 /104度 【分析】本题考查了角平分线的意义,平行线的性质,平角的意义,四边形内角和,先根据角平分线的意 义设 ,继而根据平角的意义得出 ,再由平行线的性质及四边 形内角和得出 ,结合 ,求解即可. 【详解】∵ 的角平分线 的反向延长线和 的角平分线 交于点F, ∴设 , ∴ ,过点F作 ,∴ , ∵ ,∴ ,∴ ,∴ , ∴ , 即 ,∵ ,∴ ,故答案为: . 例3.(23-24七年级下·湖北鄂州·期中)如图,已知点 , , 不在同一条直线上, . (1)求证 ;(2)如图2, , 分别为三等分 、 所在直线, , ,试探究 与 的数量关系;(3)如图3,在(2)的前提下, 27关注公众号:陆陆高分冲刺 ~领取:最新版“小中高考-总复习”、最新试卷下载 且有 ,直线 、 交于点 , ,请直接写出 _________. 【答案】(1)见解析(2) ,见解析(3) 【分析】(1)过点 作 ,则 ,可得 , , ,即可求解;(2)过点 作 ,则 ,可得 , ,再由 , ,可得 , , 可得 ,再由(1)中结论,即可求解;(3)根据 ,可得 ∠ACP=3∠AQB,再由AC∥BQ,可得∠PAC=∠AQB,∠PBQ=∠ACP,从而得到∠PAC=30°,进而得到 ∠QBP=∠ACP=90°,再由 , ,可得∠CAD=45°,∠EBC=135°,即可求 解. 【详解】(1)解:过点 作 ,则 , ∵ ,∴ , , , , (2)解:过点 作 ,则 , ∵ , ,∴ , , ∵ , ,∴ , 即 ,由(1)得: ,∴ . (3)解:∵ ,∠ACB+∠ACP=180°,∴∠ACP=3∠AQB, 28关注公众号:陆陆高分冲刺 ~领取:最新版“小中高考-总复习”、最新试卷下载 ∵AC∥BQ,∴∠PAC=∠AQB,∠PBQ=∠ACP,∴∠ACP=3∠CAP, ∵ ,∴∠PAC+∠ACP=120°,即∠PAC+3∠PAC=120°,解得:∠PAC=30°, ∴∠QBP=∠ACP=90°,∴∠ACB=90°,∵ ,∴∠PAC=2∠DAH,∴∠DAH=15°,即 ∠CAD=45°, ∵ ,∴∠EBQ=45°,∴∠EBC=135°, ∴ .故答案为: 【点睛】本题主要考查了平行线的判定和性质,熟练掌握平行线的判定和性质是解题的关键. 例4.(23-24七年级下·广东广州·期末)如图 , , . (1) 如果 ,求 的度数; 设 , ,直接写出 、 之间的数量 关系: ;(2)如图 , 、 的角平分线交于点 ,当 的度数发生变化时, 的度数是否发生变化?如果变化,请说明理由;如果不变,请求出 的度数; (3)在(2)的条件下,若 ,点 为射线 上的一个动点,过点 作 交直线 于点 ,连接 .已知 ,求 的度数. 【答案】(1) (2)不发生变化; ,理由见详解(3) 或 【分析】(1) 过点 作 ,则有 ,然后得到 , ,然后计算解题; 过点 作 ,则有 , ,再根据直角得到结论;(2)由 可得 , , 然后根据角平分线的定义得到 , ,然后利 用同 的推导过程得到结论;(3)由(2)可得 , , 29关注公众号:陆陆高分冲刺 ~领取:最新版“小中高考-总复习”、最新试卷下载 ,然后分点 在点 的左侧和点 在点 的右侧两种情况进行解题. 【详解】(1)解:过点 作 , , , , , 又 , , ; 过点 作 , , , , , 又 , , ,故答案为: ; (2)解:不发生变化; ,理由为:由 可得 , , 、 的角平分线交于点 , , , , 过 作 , , ; (3)由(2)得 , , , , , 过点 作 , , , , , , 当点 在点 的左侧时,如图,则 , , ; 30关注公众号:陆陆高分冲刺 ~领取:最新版“小中高考-总复习”、最新试卷下载 当点 在点 的右侧时,如图,则 , , . 综上所述, 或 . 【点睛】本题考查了平行线的性质、角的计算、角平分线的性质等知识点. 1.(2023·湖南长沙·九年级校联考期中)如图,若 , , ,则 的度数是 () A.115° B.130° C.140° D.150° 【答案】C 【分析】利用平行线的传递性作出辅助线 ,再通过平行线的性质即可解决问题. 【详解】解:过 作 的平行线 ,如图所示; , ∴ 故选C. 【点睛】本题考查了平行线的基本性质与平行的传递性,两直线平行,内错角相等、同旁内角互补,根据 传递性做出辅助线是解决问题的关键. 2.(2023·山西吕梁·校联考模拟预测)如图,这是路政工程车的工作示意图,工作篮底部与支撑平台平行 若 , ,则 的度数为( ) 31关注公众号:陆陆高分冲刺 ~领取:最新版“小中高考-总复习”、最新试卷下载 A. B. C. D. 【答案】C 【分析】过点 作 工作篮底部,根据平行线的性质及角的和差求解即可. 【详解】解:如图,过点 作 工作篮底部, , 工作篮底部与支撑平台平行, 工作篮底部 支撑平台, , , , , ,故选: . 【点睛】此题考查了平行线的性质,熟记“两直线平行,内错角相等”、“两直线平行,同旁内角互补” 是解题的关键. 3.(2024·陕西咸阳·模拟预测)如图,直线 .若 , ,则 ( ) A. B. C. D. 【答案】C 【分析】本题考查三角形外角性质,平行的性质,解题关键是熟练掌握并运用相关知识.根据 可 得, ,根据三角形外角性质结合 可得 ,即可求得 的 度数. 【详解】解:∵ , . 32关注公众号:陆陆高分冲刺 ~领取:最新版“小中高考-总复习”、最新试卷下载 又∵ , , .故选:C. 4.(2024·广东深圳·模拟预测)抖空竹是我国的传统体育,也是国家级非物质文化遗产之一.明代《帝京 景物略》一书中就有空竹玩法和制作方法的记述,明定陵亦有出土的文物为证,可见抖空竹在民间流行的 历史至少在 年以上.如图,通过观察抖空竹发现,可以将某一时刻的情形抽象成数学问题: , , ,则 的度数为( ) A. B. C. D. 【答案】A 【分析】本题考查了平行线的性质,延长 交 于点 ,先利用平行线的性质可得 , 然后利用三角形的外角性质进行计算,即可解答.根据题目的已知条件并结合图形添加适当的辅助线是解 题的关键. 【详解】解:延长 交 于点 ,∵ ,∴ , ∵ 是 的一个外角,∴ ,故选: . 5.(2023·广东佛山·模拟预测)如图,若 , , , ,那么 的度数 为( ) A. B. C. D. 【答案】D 33关注公众号:陆陆高分冲刺 ~领取:最新版“小中高考-总复习”、最新试卷下载 【分析】本题考查了根据平行线的性质求角的度数,由平行线的性质得出 , ,再结合 计算即可得出答案. 【详解】解:∵ , ,∴ , , ∴ ,∴ ,故选:D. 6.(24-25九年级上·湖北·课后作业)①如图①, ,则 ; ②如图②, ,则 ;③如图③, ,则 ; ④如图④,直线 ,点 在直线 上,则 .以上结论正确的是( ) A.①②③④ B.③④ C.①②④ D.②③④ 【答案】C 【分析】本题考查了平行线的性质,三角形的外角定理,正确添加辅助线,熟练掌握知识点是解题的关键. 对于“拐点”类问题,一般是过“拐点”作平行线,根据平行线的性质和三角形的外角定理即可求解判断 出角度之间的数量关系. 【详解】解:①,如解图①,过点 作 , , , , , ,故①正确; ②,如解图②,设 与 交于点 , , , 是 的一个外角, , , ,故②正确;③,由①可得: , , , ,故③不正确; ④ , , , , , ,故④正确; 34关注公众号:陆陆高分冲刺 ~领取:最新版“小中高考-总复习”、最新试卷下载 所以结论正确的是①②④,故选:C. 7.(2024·江苏徐州·模拟预测)如图,是某款婴儿车的几何示意图,若 , , , 则 的度数是 °. 【答案】 【分析】本题考查的是平行线的性质,三角形的外角的性质,先证明 , ,再利用三角形的外角的性质解答即可. 【详解】∵ , , ,∴ , , ∴ .故答案为: 8.(23-24七年级下·浙江杭州·期中)如图, , 的角平分线 的反向延长线和 的 角平分线 交于点 , ,则 . 【答案】 / 度 【分析】本题考查了平行线的性质,角平分线的定义,四边形内角和定理等.过 作 ,则 ,根据平行线的性质和角平分线的定义,可得 , ,进而可得 , ,利用四边形内角和 为 度,可得 ,再结合 即可求出 的度 数. 【详解】解:如图,过 作 , 35关注公众号:陆陆高分冲刺 ~领取:最新版“小中高考-总复习”、最新试卷下载 ∵ ,∴ , ∵ 的角平分线 的反向延长线和 的角平分线 交于点 , ∴可设 , , ∴ , , ∴四边形 中, ,即 ,① 又∵ ,∴ ,② ∴ ,解得 ,故答案为: . 9.(23-24七年级下·江苏无锡·期中)如图, , 为 上方一点, 、 分别为 、 上的 点, 、 的角平分线交于点 , 的角平分线与 的延长线交于点 ,若 , ,则 的度数等于 . 【答案】 /164度 【分析】此题考查了平行线的性质,角平分线的概念,三角形内角和定理和外角的性质, 首先根据角平分线的概念结合平角得到 ,进而利用三角形内角和定理求出 ,然后由 平行线的性质得到 ,然后根据三角形外角的性质得到 ,进而求解即可. 【详解】如图所示, 36关注公众号:陆陆高分冲刺 ~领取:最新版“小中高考-总复习”、最新试卷下载 ∵ 平分 , 平分 ∴ , ∴ ∵ ∴ ∵ ∴ ∴ ∵ 平分 ∴ ∴ .故答案为: . 10.(2023·江苏·八年级假期作业)如图,两直线 、 平行,则 . 【答案】900° 【详解】分别过E点,F点,G点,H点作L1,L2,L3,L4平行于AB 观察图形可知,图中有5组同旁内角, 则 故答案900° 【点睛】本题考查了平行线的性质,添加辅助线是解题的关键。 11.(2023·内蒙古鄂尔多斯·七年级校考期中)问题探究:如下面四个图形中, AB CD. (1)分别说出图1、图2、图3、图4中,∠1与∠2、∠3三者之间的关系. (2)请你从中任选一个加以说明理由. 37关注公众号:陆陆高分冲刺 ~领取:最新版“小中高考-总复习”、最新试卷下载 解决问题:(3)如图5所示的是一探照灯灯碗的纵剖面,从位于O点的灯泡发出两束光线OB、OC经灯 碗反射后平行射出.如果∠ABO=57°,∠DCO=44°,那么∠BOC=_______°. 【答案】(1) 图1:∠1+∠2=∠3; 图2:∠1+∠2+∠3= ; 图3:∠1=∠2+∠3; 图4:∠1+∠3 =∠2;(2)见解析;(3) 【分析】(1) 图1:首先过点P作PE AB,由AB CD,即可得AB PE CD,然后根据两直线平行,内 错角相等,即可求得答案; 图2:首先过点P作PE AB,由AB CD,即可得AB PE CD,然后根据两直线平行,同旁内角互补, 即可求得答案;图3:由AB CD,根据两直线平行,同位角线相等,以及三角形外角的性质,即可求得答 案;图4:由AB CD,根据两直线平行,同位角线相等,以及三角形外角的性质,即可求得答案. (2)选图1,过点P作PE AB,由AB CD,即可得AB PE CD,然后根据两直线平行,内错角相等, 即可求得答案;(3)利用图1结论进行求解 【详解】(1)图1:∠1+∠2=∠3; 图2:∠1+∠2+∠3= 图3:∠1=∠2+∠3;图4:∠1+∠3=∠2; (2)选择图1,如图所示:过点P作EP//AB 38关注公众号:陆陆高分冲刺 ~领取:最新版“小中高考-总复习”、最新试卷下载 ∵AB CD,EP AB∴AB EP CD∴∠1=∠APE,∠2=∠EPC 又∵∠3=∠APE+∠EPC∴∠1+∠2=∠3; (3)由图1可得:∠BOC=∠ABO+∠DCO, 又∵∠ABO=57°,∠DCO=44°,∴∠BOC=57°+44°=101° 【点睛】考查了平行线的性质与三角形外角的性质.解题的关键是掌握两直线平行,同旁内角互补,两直 线平行,内错角相等以及两直线平行,同位角相等定理的应用与辅助线的作法. 12.(2023春·湖北黄冈·七年级校考期中)如图,已知:点A、C、B不在同一条直线, (1)求证: :(2)如图②, 分别为 的平分线所在直线,试探究 与 的数量关系;(3)如图③,在(2)的前提下,且有 ,直线 交于点P, ,直接写出 . 【答案】(1)见解析(2) ,理由见解析(3) 【分析】(1)过点C作 ,则 ,根据平行线的性质可得出 、 ,据此可得;(2)过点Q作 ,则 ,根据平行线的性质、角平分线 的定义可得出 ,结合(1)的结论可得出 ;(3)由(2)的 结论可得出 ①,由 可得出 ②,联立①②可求出 的度数,再结合( 1)的结论可得出 的度数,将其代入 中可 求出结论. 【详解】(1)在图①中,过点C作 ,则 . 39关注公众号:陆陆高分冲刺 ~领取:最新版“小中高考-总复习”、最新试卷下载 ∵ ,∴ , ∴ . (2)在图2中,过点Q作 ,则 . ∵ ,∴ . ∵ 平分 , 平分 ,∴ , ∴ . ∵ ,∴ . (3)∵ ,∴ , ∴ . ∵ ,∴ . 又∵ ,∴ ,即 , ∴ ,∴ , ∴ ,故答案为: . 【点睛】本题考查平行线的的判定与性质,解题的关键是熟练掌握平行线的性质、添加辅助线构建平行线. 13.(24-25七年级上·黑龙江哈尔滨·阶段练习)已知: ,点 在 上,点 、 在 上,点 在 、 之间,连接 、 、 , , ,垂足为点 . (1)如图1,求 的度数;(2)如图2, 平分 , 平分 , 、 交于点 ,求 的度数;(3)如图3,在(2)的条件下, 平分 交 于点 ,若 , 与 所在直线交于点 ,若射线 从射线 的位置开始绕着点 逆时针以每秒 的速度进行旋转, 射线 交直线 于点 ,旋转时间为 秒,当 为何值时, 第一次与 平行?并求此时 的度 40关注公众号:陆陆高分冲刺 ~领取:最新版“小中高考-总复习”、最新试卷下载 数. 【答案】(1) (2) (3) , 【分析】此题考查了平行线的判定与性质,角分线的性质.解题的关键是掌握拐点问题中的辅助线作法. (1)根据平行线的性质和判定解答即可; (2)过点 作 ,过点 作 ,根据平行线的判定和性质解答即可; (3)过点 作 ,先利用 ,设 , ,结合平行线的 性质求出 ,利用 ,结合平行线的判定与性质求出 ,利用 , ,结合平行 线的判定与性质求出 ,即可求出 ,即可求解. 【详解】(1)解: , , , , , , , ; (2)解:如图,过点 作 ,过点 作 , , , , , , , , , 平分 , , 平分 , , ; 41关注公众号:陆陆高分冲刺 ~领取:最新版“小中高考-总复习”、最新试卷下载 (3)解:如图,过点 作 , ∵ ,∴设 , , ∵ 平分 ,∴ , ∵ ,∴ , ∵ 平分 ,∴ , ∵ ,∴ ,解得: , ∴ , , 由(2)得 ,∴ ,∴ , ∵ , ,∴ , ∴ , , , ∴ , , ∵ , ,∴ ,∴ , ∴ , ∵点 逆时针以每秒 的速度进行旋转,∴ , 综上, 时, 第一次与 平行,此时 . 14.(24-25八年级上·四川泸州·开学考试)(1)如图1,已知 , , ,则 求 的度数;(2)如图2,在(1)的条件下, 平分 , 平分 ,则 的度 数. (3)如图2,已知 , 平分 , 平分 ,.当点P、M在直线AC同侧时,直接 写出 与 的数量关系: ; (4)如图3,已知 , 平分 , 平分 .当点P、M在直线 异侧时,直接写 出 与 的数量关系: . 42关注公众号:陆陆高分冲刺 ~领取:最新版“小中高考-总复习”、最新试卷下载 【答案】(1)70度;(2)35度;(3) ;(4) 【分析】本题主要考查了平行线的性质探究角的关系, 角平分线的计算,以及三角形外角的定义以及性 质等知识,掌握平行线的性质是解题的关键. (1)过P作 ,由平行线的性质可得出 , ,最后根据 即可得出答案. (2)延长 交 于点Q,则可得到 ,由(1)可得出 ,连接 并延长到点R,由三角形外角的定义可得 , ,相加可得出 ,等量代换可得 出 ,代入即可求出 .(3)由(2)可得: . (4)过P作 于Q, 于N,由平行线的性质可得出 , , , ,由角平分线的定义可得出 , ,最后根据 ,等量代换可得出 【详解】解:(1)如图1,过P作 ,∴ ,∵ ,∴ ,∴ , ∵ , ,∴ ; (2)如图2,延长 交 于点Q,则可得到 , 则 , 连接 并延长到点R,则可得 , , 43关注公众号:陆陆高分冲刺 ~领取:最新版“小中高考-总复习”、最新试卷下载 ∴ ,∴ ,∴ ; (3)由(2)可得: ,故答案为: ; (4)如图,过P作 于Q, 于N,则 , ∴ , , , , ∵ 平分 , 平分 ,∴ , , ∴ , 即 ,故答案为: . 15.(23-24七年级下·河北邯郸·期中)已知,直线 ,点 为平面上一点,连接 与 . (1)如图1,点 在直线 之间,当 , 时,求 的度数. (2)如图2,点 在直线 之间, 与 的角平分线相交于点 ,写出 与 之间 的数量关系,并说明理由.(3)如图3,点 落在 下方, 与 的角平分线相交于点 ,请直 接写出 与 的数量关系. 【答案】(1) (2) ,见解析(3) 【分析】(1)先过 作 ,根据平行线的性质即可得到 , ,再根据 进行计算即可; (2)过 作 ,根据 ,可得 , ,进而得到 ,同理可得, ,再根据角平分线的定义, 得出 ,进而得到 ; 44关注公众号:陆陆高分冲刺 ~领取:最新版“小中高考-总复习”、最新试卷下载 (3)过 作 ,根据 ,可得 , ,进而得到 ,同理可得, ,再根据角平分线的定义, 得出 ,进而得到 . 【详解】(1)解:如图1,过 作 , , , , , ; (2)解: ,理由如下: 如图2,过 作 , , , , , ,过 作 , , , , , , , 与 的角平分线相交于点 , , ; (3) .理由如下:如图3,过 作 , ∵ ,∴ ,∴ , , 45关注公众号:陆陆高分冲刺 ~领取:最新版“小中高考-总复习”、最新试卷下载 ∴ , 过 作 , , , , , , , ∵ 与 的角平分线相交于点K,∴ , , ∴ ,∴ . 【点睛】本题主要考查了平行线的性质以及角平分线的定义的运用,解决问题的关键是作平行线构造内错 角,依据两直线平行,内错角相等进行计算. 16.(23-24七年级下·湖北武汉·期中) ,点E、F分别在 、 上;点O在直线 、 之 间,且 (1)如图1,①若 ,求 的度数; ②若 ,请你直接写出 ________; (2)如图2,直线 分别交 、 的角平分线于点M、N,求 的值 (3)如图3, 在 内, ; 在 内, ,直线 分别交 、 分别于点M、N,且 ,直接写出m的值 【答案】(1)① ② (2) (3) 【分析】本题考查了平行线的性质,角平分线的性质及三角形的外角性质,熟练掌握平行线的性质、角平 分线的性质及三角形的外角性质并正确作出辅助线是解题关键. (1)如图1,过点 作 ,利用两直线平行,内错角相等的性质分别求得 , ,再根据 ,即可求出①②结论; (2)如图2,过点 作 ,过点 作 ,利用两直线平行,内错角相等的性质,得到 ,再根据角平分线的性质,得到 , ,进而可求出 的值; (3)如图3,设直线 交 于点 , 与 相交于点 ,由 得到 ,根据 三角形外角与内角关系得到 ,进而得到 , 46关注公众号:陆陆高分冲刺 ~领取:最新版“小中高考-总复习”、最新试卷下载 再由三角形外角与内角关系求得 ,即可得到 与 的关系,即 , 再由题意可求得 , ,然后由 ,化简可得方程 ,求解即可. 【详解】(1)解:如图1,过点 作 , , , , ① , , , , ; ② , , , , , ;故答案为: ; (2)解:如图2,过点 作 ,过点 作 , , , , , , , 平分 , 平分 , , , 又由(1)得 , , . (3)解:如图3,设直线 交 于点 , 与 相交于点 , 47关注公众号:陆陆高分冲刺 ~领取:最新版“小中高考-总复习”、最新试卷下载 , , , , , ,即 , , 在 内, , , , , , , 即 , , 解得 . 17.(23-24七年级下·辽宁大连·期末)【问题初探】(1)数学活动课上,李老师和同学们共同探究平行 线的作用.李老师给出如下问题: ,点 为 下方一点,连接 ,得到 ,试探究 与 的数量关系.(1)小红的做法是:如图2,过点 作 . (2)小明的做法是:如图3,设 交 于点 ,过点 作 . 请你选择一名同学的做法,写出证明过程. 48关注公众号:陆陆高分冲刺 ~领取:最新版“小中高考-总复习”、最新试卷下载 【归纳总结】(2)李老师和同学们发现,在解决题目的过程中,都运用了作平行线的方法,平行线起到 了构造等角的作用.为了帮助学生更好的体会平行线的作用,李老师提出了下面问题,请你解答. 如图4,直线 ,点 在 之间,点 在 下方,连 .延长 至 和 的角平分线相交于点 .探究 与 的数量关系; 【学以致用】(3)如图5, 和 的角平分线相交于点 .作 平分 交 的延长线于点 ,若 ,求 的度数. 【答案】(1)① ;② ;(2) ;(3) 【分析】本题考查了平行线的性质与判定,熟练掌握平行线的性质与判定是解答本题的关键.; (1)①过点 作 ,根据平行线的性质得出 ; ②设 交 于点 ,过点 作 .根据平行线的性质可得 , , 进而可得 ; (2)根据角平分线的定义可得 ,根据平行线的性质 可得 由(1)可得 ,即可求解. (3)过点H作 ,利用(1)中结论 ,利用平行线的性质、角平分线定义、 49关注公众号:陆陆高分冲刺 ~领取:最新版“小中高考-总复习”、最新试卷下载 邻补角和为 ,角与角之间的基本运算、等量代换等得出 , 进而用等量代换得出 .过点H作 ,由①的结论得 .利用平行线性质得 ,由 角平分线定义及邻补角可得 .继续使用等量代换可得 度数. 【详解】解:(1)①小红的做法是:如图2,过点 作 . ∵ ∴ ∴ ∵ ; ②小明的做法是:如图3,设 交 于点 ,过点 作 . ∴ , ∵ ∴ ∴ (2)如图所示,过点 作 ∵ 和 的角平分线相交于点 . ∴ ∵ ∴ ∴ 由(1)可得 ∴ 50关注公众号:陆陆高分冲刺 ~领取:最新版“小中高考-总复习”、最新试卷下载 (3)过点H作 ,如图, 由(1)可得 , 由图可知 , ∵ , ∴ , ∵ , ∴ . ∴ . ∴ . 又∵ , ∴ . 即 . ∵ , ∴ . ∴ . 过点H作 . ∵ , ∴ . ∴ , ∵ 平分 , ∴ . ∵ . ∴ . 51关注公众号:陆陆高分冲刺 ~领取:最新版“小中高考-总复习”、最新试卷下载 ∵ , ∴ , ∴ , ∴ , ∴ . 18.(22-23七年级下·湖北武汉·阶段练习)【问题背景】如图1, ,点P,Q位于 两侧,连 接 , , , ,直接写出① , , 的数量关系为______;② , , 的数量关系为______; 【尝试应用】如图2,在(1)的条件下,作 , 的角平分线交于点M,若 与 互补,试 写出 与 的数量关系,并证明:(【问题背景】中相关结论可以直接使用) 【拓展创新】如图3, ,点M,N位于 左侧,作 , 的角平分线交于点P, ;若 ,直接写出 的度数是______. 【答案】问题背景:① ;② ;尝试应用: ;拓展创新: 【分析】本题考查了平行线的性质,角平分线的定义,角度的和差计算,准确作出平行线利用平行线性质 证明即可. 问题背景:过点P作 ,根据两直线平行内错角相等求解,过点Q作 同旁内角互补进行求 解即可; 尝试应用:利用(1)中求出的角度间关系进行求解即可; 拓展创新:过点P作 ,过点M作 ,过点N作 ,利用平行线性质,结合角平分线 52关注公众号:陆陆高分冲刺 ~领取:最新版“小中高考-总复习”、最新试卷下载 定义进行角度间的换算即可. 【详解】解:(1)问题背景:①如图,过点P作 , , , , , , 故答案为: ; ②如图,过点Q作 , , , , , , , 故答案为: ; 尝试应用:由(1)可知: , , 是 , 的角平分线, , 整理得: , 由(1)可得: , , , , 53关注公众号:陆陆高分冲刺 ~领取:最新版“小中高考-总复习”、最新试卷下载 , 又 , ; 拓展创新:如图,过点P作 ,过点M作 ,过点N作 , , , , 又 平分 , , , , , , , 整理得: ,即 . 19.(23-24七年级下·重庆·期中)已知点A,B,C不在同一条直线上, . (1)如图①,求证: ;(2)如图②, 分别为 , 的角平分线所在 的直线, ,求 的度数.(3)如图③, 分别为 , 的角平分线所在的 直线,延长 交直线 于点P,且 , ,直接写出 的值为 . 54关注公众号:陆陆高分冲刺 ~领取:最新版“小中高考-总复习”、最新试卷下载 【答案】(1)见解析(2) (3) 【分析】本题主要考查了平行线的性质与判定,角平分线的定义,垂线的定义: (1)过点C作 ,则 ,根据平行线的性质可得出 、 ,据 此可得; (2)过点Q作 ,则 ,根据平行线的性质、角平分线的定义可得出 ,结合(1)的结论可得出 ,据此可得答案; (3)由(2)的结论可得出 ①,由 可得出 ②,联立①②可 求出 的度数,再结合( 1)的结论可得出 的度数,据此可求出结论. 【详解】(1)证明:如图所示,,过点C作 , ∵ , ∴ , ∴ , ∴ ; (2)解:如图所示,过点Q作 , ∵ ∵ , 55关注公众号:陆陆高分冲刺 ~领取:最新版“小中高考-总复习”、最新试卷下载 ∴ . ∵ 平分 , 平分 , ∴ , ∴ . ∵ , ∴ . (3)解:∵ , ∴ , ∴ . 由(2)可知 , ∴ , 又∵ , ∴ ,即 , ∴ , ∴ , ∴ , 故答案为:4. 20.(23-24七年级下·湖北武汉·期中)【问题原型】如图①和②, ,点M在如图所在位置,请分 别写出图①和②中 、 、 之间的关系并选择一个结论进行证明; 【推广应用】(1)如图, , 邻补角的平分线 与 的角平分线相交于点N,试探 56关注公众号:陆陆高分冲刺 ~领取:最新版“小中高考-总复习”、最新试卷下载 究 、 的数量关系并写出证明过程; (2)如图, , 和 的三等分角线交于点M, , , ,求 的度数. 【答案】[问题原型] 图①: ,证明过程见详解;图②: ,证明过程见详解; (1) ,证明过程见详解;(2) 【分析】本题考查了角平分线的性质以及平行线的判定与性质,正确掌握相关性质内容是解题的关键. [问题原型]图①先过点M作 ,根据两直线平行,同旁内角互补,列式化简即可作答.图②过点M 作 ,根据两直线平行,内错角相等,即可作答. (1)过点M作 ,过点N作 ,与[问题原型]同理,因为 邻补角的平分线 与 的角平分线相交于点N, ,再结合 ,代入化简即可作答.(2)分别过点M作 ,点G作 ,点F作 ,点E作 ,根据平行线的性质以及角平分线的定义,列式化简,即可作答. 【详解】解:(1)图①,过点M作 , ∵ ,∴ ,∴ , 57关注公众号:陆陆高分冲刺 ~领取:最新版“小中高考-总复习”、最新试卷下载 ∴ ; 图②,过点M作 ,如图所示: ∵ ,∴ ,∴ ,∴ ; (1) ,证明过程如下: 过点M作 ,过点N作 ,如图: ∵ ,∴ ,∴ , ∴ ; ∵ ,∴ ,∴ , ∵ 邻补角的平分线 与 的角平分线相交于点N, ∴ ∴ ;则 ; (2)如图:分别过点M作 ,点G作 ,点F作 ,点E作 , ∵ ∴ ∴ ∴ ∴ ∵ , , ,∴ ∴ 即 ∴ . 58关注公众号:陆陆高分冲刺 ~领取:最新版“小中高考-总复习”、最新试卷下载 59关注公众号:陆陆高分冲刺 ~领取:最新版“小中高考-总复习”、最新试卷下载 60
基本 文件 流程 错误 SQL 调试
  1. 请求信息 : 2026-03-01 09:40:40 HTTP/1.1 GET : https://www.yeyulingfeng.com/wendang/329979.html
  2. 运行时间 : 0.081228s [ 吞吐率:12.31req/s ] 内存消耗:6,156.63kb 文件加载:144
  3. 缓存信息 : 0 reads,0 writes
  4. 会话信息 : SESSION_ID=033357adc1f25096b1037220f688df63
  1. /yingpanguazai/ssd/ssd1/www/wwww.yeyulingfeng.com/public/index.php ( 0.79 KB )
  2. /yingpanguazai/ssd/ssd1/www/wwww.yeyulingfeng.com/vendor/autoload.php ( 0.17 KB )
  3. /yingpanguazai/ssd/ssd1/www/wwww.yeyulingfeng.com/vendor/composer/autoload_real.php ( 2.49 KB )
  4. /yingpanguazai/ssd/ssd1/www/wwww.yeyulingfeng.com/vendor/composer/platform_check.php ( 0.90 KB )
  5. /yingpanguazai/ssd/ssd1/www/wwww.yeyulingfeng.com/vendor/composer/ClassLoader.php ( 14.03 KB )
  6. /yingpanguazai/ssd/ssd1/www/wwww.yeyulingfeng.com/vendor/composer/autoload_static.php ( 6.05 KB )
  7. /yingpanguazai/ssd/ssd1/www/wwww.yeyulingfeng.com/vendor/topthink/think-helper/src/helper.php ( 8.34 KB )
  8. /yingpanguazai/ssd/ssd1/www/wwww.yeyulingfeng.com/vendor/topthink/think-validate/src/helper.php ( 2.19 KB )
  9. /yingpanguazai/ssd/ssd1/www/wwww.yeyulingfeng.com/vendor/ralouphie/getallheaders/src/getallheaders.php ( 1.60 KB )
  10. /yingpanguazai/ssd/ssd1/www/wwww.yeyulingfeng.com/vendor/topthink/think-orm/src/helper.php ( 1.47 KB )
  11. /yingpanguazai/ssd/ssd1/www/wwww.yeyulingfeng.com/vendor/topthink/think-orm/stubs/load_stubs.php ( 0.16 KB )
  12. /yingpanguazai/ssd/ssd1/www/wwww.yeyulingfeng.com/vendor/topthink/framework/src/think/Exception.php ( 1.69 KB )
  13. /yingpanguazai/ssd/ssd1/www/wwww.yeyulingfeng.com/vendor/topthink/think-container/src/Facade.php ( 2.71 KB )
  14. /yingpanguazai/ssd/ssd1/www/wwww.yeyulingfeng.com/vendor/symfony/deprecation-contracts/function.php ( 0.99 KB )
  15. /yingpanguazai/ssd/ssd1/www/wwww.yeyulingfeng.com/vendor/symfony/polyfill-mbstring/bootstrap.php ( 8.26 KB )
  16. /yingpanguazai/ssd/ssd1/www/wwww.yeyulingfeng.com/vendor/symfony/polyfill-mbstring/bootstrap80.php ( 9.78 KB )
  17. /yingpanguazai/ssd/ssd1/www/wwww.yeyulingfeng.com/vendor/symfony/var-dumper/Resources/functions/dump.php ( 1.49 KB )
  18. /yingpanguazai/ssd/ssd1/www/wwww.yeyulingfeng.com/vendor/topthink/think-dumper/src/helper.php ( 0.18 KB )
  19. /yingpanguazai/ssd/ssd1/www/wwww.yeyulingfeng.com/vendor/symfony/var-dumper/VarDumper.php ( 4.30 KB )
  20. /yingpanguazai/ssd/ssd1/www/wwww.yeyulingfeng.com/vendor/guzzlehttp/guzzle/src/functions_include.php ( 0.16 KB )
  21. /yingpanguazai/ssd/ssd1/www/wwww.yeyulingfeng.com/vendor/guzzlehttp/guzzle/src/functions.php ( 5.54 KB )
  22. /yingpanguazai/ssd/ssd1/www/wwww.yeyulingfeng.com/vendor/topthink/framework/src/think/App.php ( 15.30 KB )
  23. /yingpanguazai/ssd/ssd1/www/wwww.yeyulingfeng.com/vendor/topthink/think-container/src/Container.php ( 15.76 KB )
  24. /yingpanguazai/ssd/ssd1/www/wwww.yeyulingfeng.com/vendor/psr/container/src/ContainerInterface.php ( 1.02 KB )
  25. /yingpanguazai/ssd/ssd1/www/wwww.yeyulingfeng.com/app/provider.php ( 0.19 KB )
  26. /yingpanguazai/ssd/ssd1/www/wwww.yeyulingfeng.com/vendor/topthink/framework/src/think/Http.php ( 6.04 KB )
  27. /yingpanguazai/ssd/ssd1/www/wwww.yeyulingfeng.com/vendor/topthink/think-helper/src/helper/Str.php ( 7.29 KB )
  28. /yingpanguazai/ssd/ssd1/www/wwww.yeyulingfeng.com/vendor/topthink/framework/src/think/Env.php ( 4.68 KB )
  29. /yingpanguazai/ssd/ssd1/www/wwww.yeyulingfeng.com/app/common.php ( 0.03 KB )
  30. /yingpanguazai/ssd/ssd1/www/wwww.yeyulingfeng.com/vendor/topthink/framework/src/helper.php ( 18.78 KB )
  31. /yingpanguazai/ssd/ssd1/www/wwww.yeyulingfeng.com/vendor/topthink/framework/src/think/Config.php ( 5.54 KB )
  32. /yingpanguazai/ssd/ssd1/www/wwww.yeyulingfeng.com/config/alipay.php ( 3.59 KB )
  33. /yingpanguazai/ssd/ssd1/www/wwww.yeyulingfeng.com/vendor/topthink/framework/src/think/facade/Env.php ( 1.67 KB )
  34. /yingpanguazai/ssd/ssd1/www/wwww.yeyulingfeng.com/config/app.php ( 0.95 KB )
  35. /yingpanguazai/ssd/ssd1/www/wwww.yeyulingfeng.com/config/cache.php ( 0.78 KB )
  36. /yingpanguazai/ssd/ssd1/www/wwww.yeyulingfeng.com/config/console.php ( 0.23 KB )
  37. /yingpanguazai/ssd/ssd1/www/wwww.yeyulingfeng.com/config/cookie.php ( 0.56 KB )
  38. /yingpanguazai/ssd/ssd1/www/wwww.yeyulingfeng.com/config/database.php ( 2.48 KB )
  39. /yingpanguazai/ssd/ssd1/www/wwww.yeyulingfeng.com/config/filesystem.php ( 0.61 KB )
  40. /yingpanguazai/ssd/ssd1/www/wwww.yeyulingfeng.com/config/lang.php ( 0.91 KB )
  41. /yingpanguazai/ssd/ssd1/www/wwww.yeyulingfeng.com/config/log.php ( 1.35 KB )
  42. /yingpanguazai/ssd/ssd1/www/wwww.yeyulingfeng.com/config/middleware.php ( 0.19 KB )
  43. /yingpanguazai/ssd/ssd1/www/wwww.yeyulingfeng.com/config/route.php ( 1.89 KB )
  44. /yingpanguazai/ssd/ssd1/www/wwww.yeyulingfeng.com/config/session.php ( 0.57 KB )
  45. /yingpanguazai/ssd/ssd1/www/wwww.yeyulingfeng.com/config/trace.php ( 0.34 KB )
  46. /yingpanguazai/ssd/ssd1/www/wwww.yeyulingfeng.com/config/view.php ( 0.82 KB )
  47. /yingpanguazai/ssd/ssd1/www/wwww.yeyulingfeng.com/app/event.php ( 0.25 KB )
  48. /yingpanguazai/ssd/ssd1/www/wwww.yeyulingfeng.com/vendor/topthink/framework/src/think/Event.php ( 7.67 KB )
  49. /yingpanguazai/ssd/ssd1/www/wwww.yeyulingfeng.com/app/service.php ( 0.13 KB )
  50. /yingpanguazai/ssd/ssd1/www/wwww.yeyulingfeng.com/app/AppService.php ( 0.26 KB )
  51. /yingpanguazai/ssd/ssd1/www/wwww.yeyulingfeng.com/vendor/topthink/framework/src/think/Service.php ( 1.64 KB )
  52. /yingpanguazai/ssd/ssd1/www/wwww.yeyulingfeng.com/vendor/topthink/framework/src/think/Lang.php ( 7.35 KB )
  53. /yingpanguazai/ssd/ssd1/www/wwww.yeyulingfeng.com/vendor/topthink/framework/src/lang/zh-cn.php ( 13.70 KB )
  54. /yingpanguazai/ssd/ssd1/www/wwww.yeyulingfeng.com/vendor/topthink/framework/src/think/initializer/Error.php ( 3.31 KB )
  55. /yingpanguazai/ssd/ssd1/www/wwww.yeyulingfeng.com/vendor/topthink/framework/src/think/initializer/RegisterService.php ( 1.33 KB )
  56. /yingpanguazai/ssd/ssd1/www/wwww.yeyulingfeng.com/vendor/services.php ( 0.14 KB )
  57. /yingpanguazai/ssd/ssd1/www/wwww.yeyulingfeng.com/vendor/topthink/framework/src/think/service/PaginatorService.php ( 1.52 KB )
  58. /yingpanguazai/ssd/ssd1/www/wwww.yeyulingfeng.com/vendor/topthink/framework/src/think/service/ValidateService.php ( 0.99 KB )
  59. /yingpanguazai/ssd/ssd1/www/wwww.yeyulingfeng.com/vendor/topthink/framework/src/think/service/ModelService.php ( 2.04 KB )
  60. /yingpanguazai/ssd/ssd1/www/wwww.yeyulingfeng.com/vendor/topthink/think-trace/src/Service.php ( 0.77 KB )
  61. /yingpanguazai/ssd/ssd1/www/wwww.yeyulingfeng.com/vendor/topthink/framework/src/think/Middleware.php ( 6.72 KB )
  62. /yingpanguazai/ssd/ssd1/www/wwww.yeyulingfeng.com/vendor/topthink/framework/src/think/initializer/BootService.php ( 0.77 KB )
  63. /yingpanguazai/ssd/ssd1/www/wwww.yeyulingfeng.com/vendor/topthink/think-orm/src/Paginator.php ( 11.86 KB )
  64. /yingpanguazai/ssd/ssd1/www/wwww.yeyulingfeng.com/vendor/topthink/think-validate/src/Validate.php ( 63.20 KB )
  65. /yingpanguazai/ssd/ssd1/www/wwww.yeyulingfeng.com/vendor/topthink/think-orm/src/Model.php ( 23.55 KB )
  66. /yingpanguazai/ssd/ssd1/www/wwww.yeyulingfeng.com/vendor/topthink/think-orm/src/model/concern/Attribute.php ( 21.05 KB )
  67. /yingpanguazai/ssd/ssd1/www/wwww.yeyulingfeng.com/vendor/topthink/think-orm/src/model/concern/AutoWriteData.php ( 4.21 KB )
  68. /yingpanguazai/ssd/ssd1/www/wwww.yeyulingfeng.com/vendor/topthink/think-orm/src/model/concern/Conversion.php ( 6.44 KB )
  69. /yingpanguazai/ssd/ssd1/www/wwww.yeyulingfeng.com/vendor/topthink/think-orm/src/model/concern/DbConnect.php ( 5.16 KB )
  70. /yingpanguazai/ssd/ssd1/www/wwww.yeyulingfeng.com/vendor/topthink/think-orm/src/model/concern/ModelEvent.php ( 2.33 KB )
  71. /yingpanguazai/ssd/ssd1/www/wwww.yeyulingfeng.com/vendor/topthink/think-orm/src/model/concern/RelationShip.php ( 28.29 KB )
  72. /yingpanguazai/ssd/ssd1/www/wwww.yeyulingfeng.com/vendor/topthink/think-helper/src/contract/Arrayable.php ( 0.09 KB )
  73. /yingpanguazai/ssd/ssd1/www/wwww.yeyulingfeng.com/vendor/topthink/think-helper/src/contract/Jsonable.php ( 0.13 KB )
  74. /yingpanguazai/ssd/ssd1/www/wwww.yeyulingfeng.com/vendor/topthink/think-orm/src/model/contract/Modelable.php ( 0.09 KB )
  75. /yingpanguazai/ssd/ssd1/www/wwww.yeyulingfeng.com/vendor/topthink/framework/src/think/Db.php ( 2.88 KB )
  76. /yingpanguazai/ssd/ssd1/www/wwww.yeyulingfeng.com/vendor/topthink/think-orm/src/DbManager.php ( 8.52 KB )
  77. /yingpanguazai/ssd/ssd1/www/wwww.yeyulingfeng.com/vendor/topthink/framework/src/think/Log.php ( 6.28 KB )
  78. /yingpanguazai/ssd/ssd1/www/wwww.yeyulingfeng.com/vendor/topthink/framework/src/think/Manager.php ( 3.92 KB )
  79. /yingpanguazai/ssd/ssd1/www/wwww.yeyulingfeng.com/vendor/psr/log/src/LoggerTrait.php ( 2.69 KB )
  80. /yingpanguazai/ssd/ssd1/www/wwww.yeyulingfeng.com/vendor/psr/log/src/LoggerInterface.php ( 2.71 KB )
  81. /yingpanguazai/ssd/ssd1/www/wwww.yeyulingfeng.com/vendor/topthink/framework/src/think/Cache.php ( 4.92 KB )
  82. /yingpanguazai/ssd/ssd1/www/wwww.yeyulingfeng.com/vendor/psr/simple-cache/src/CacheInterface.php ( 4.71 KB )
  83. /yingpanguazai/ssd/ssd1/www/wwww.yeyulingfeng.com/vendor/topthink/think-helper/src/helper/Arr.php ( 16.63 KB )
  84. /yingpanguazai/ssd/ssd1/www/wwww.yeyulingfeng.com/vendor/topthink/framework/src/think/cache/driver/File.php ( 7.84 KB )
  85. /yingpanguazai/ssd/ssd1/www/wwww.yeyulingfeng.com/vendor/topthink/framework/src/think/cache/Driver.php ( 9.03 KB )
  86. /yingpanguazai/ssd/ssd1/www/wwww.yeyulingfeng.com/vendor/topthink/framework/src/think/contract/CacheHandlerInterface.php ( 1.99 KB )
  87. /yingpanguazai/ssd/ssd1/www/wwww.yeyulingfeng.com/app/Request.php ( 0.09 KB )
  88. /yingpanguazai/ssd/ssd1/www/wwww.yeyulingfeng.com/vendor/topthink/framework/src/think/Request.php ( 55.78 KB )
  89. /yingpanguazai/ssd/ssd1/www/wwww.yeyulingfeng.com/app/middleware.php ( 0.25 KB )
  90. /yingpanguazai/ssd/ssd1/www/wwww.yeyulingfeng.com/vendor/topthink/framework/src/think/Pipeline.php ( 2.61 KB )
  91. /yingpanguazai/ssd/ssd1/www/wwww.yeyulingfeng.com/vendor/topthink/think-trace/src/TraceDebug.php ( 3.40 KB )
  92. /yingpanguazai/ssd/ssd1/www/wwww.yeyulingfeng.com/vendor/topthink/framework/src/think/middleware/SessionInit.php ( 1.94 KB )
  93. /yingpanguazai/ssd/ssd1/www/wwww.yeyulingfeng.com/vendor/topthink/framework/src/think/Session.php ( 1.80 KB )
  94. /yingpanguazai/ssd/ssd1/www/wwww.yeyulingfeng.com/vendor/topthink/framework/src/think/session/driver/File.php ( 6.27 KB )
  95. /yingpanguazai/ssd/ssd1/www/wwww.yeyulingfeng.com/vendor/topthink/framework/src/think/contract/SessionHandlerInterface.php ( 0.87 KB )
  96. /yingpanguazai/ssd/ssd1/www/wwww.yeyulingfeng.com/vendor/topthink/framework/src/think/session/Store.php ( 7.12 KB )
  97. /yingpanguazai/ssd/ssd1/www/wwww.yeyulingfeng.com/vendor/topthink/framework/src/think/Route.php ( 23.73 KB )
  98. /yingpanguazai/ssd/ssd1/www/wwww.yeyulingfeng.com/vendor/topthink/framework/src/think/route/RuleName.php ( 5.75 KB )
  99. /yingpanguazai/ssd/ssd1/www/wwww.yeyulingfeng.com/vendor/topthink/framework/src/think/route/Domain.php ( 2.53 KB )
  100. /yingpanguazai/ssd/ssd1/www/wwww.yeyulingfeng.com/vendor/topthink/framework/src/think/route/RuleGroup.php ( 22.43 KB )
  101. /yingpanguazai/ssd/ssd1/www/wwww.yeyulingfeng.com/vendor/topthink/framework/src/think/route/Rule.php ( 26.95 KB )
  102. /yingpanguazai/ssd/ssd1/www/wwww.yeyulingfeng.com/vendor/topthink/framework/src/think/route/RuleItem.php ( 9.78 KB )
  103. /yingpanguazai/ssd/ssd1/www/wwww.yeyulingfeng.com/route/app.php ( 3.52 KB )
  104. /yingpanguazai/ssd/ssd1/www/wwww.yeyulingfeng.com/vendor/topthink/framework/src/think/facade/Route.php ( 4.70 KB )
  105. /yingpanguazai/ssd/ssd1/www/wwww.yeyulingfeng.com/vendor/topthink/framework/src/think/route/dispatch/Controller.php ( 4.74 KB )
  106. /yingpanguazai/ssd/ssd1/www/wwww.yeyulingfeng.com/vendor/topthink/framework/src/think/route/Dispatch.php ( 10.44 KB )
  107. /yingpanguazai/ssd/ssd1/www/wwww.yeyulingfeng.com/app/controller/Index.php ( 10.53 KB )
  108. /yingpanguazai/ssd/ssd1/www/wwww.yeyulingfeng.com/app/BaseController.php ( 2.05 KB )
  109. /yingpanguazai/ssd/ssd1/www/wwww.yeyulingfeng.com/vendor/topthink/think-orm/src/facade/Db.php ( 0.93 KB )
  110. /yingpanguazai/ssd/ssd1/www/wwww.yeyulingfeng.com/vendor/topthink/think-orm/src/db/connector/Mysql.php ( 5.44 KB )
  111. /yingpanguazai/ssd/ssd1/www/wwww.yeyulingfeng.com/vendor/topthink/think-orm/src/db/PDOConnection.php ( 52.47 KB )
  112. /yingpanguazai/ssd/ssd1/www/wwww.yeyulingfeng.com/vendor/topthink/think-orm/src/db/Connection.php ( 8.39 KB )
  113. /yingpanguazai/ssd/ssd1/www/wwww.yeyulingfeng.com/vendor/topthink/think-orm/src/db/ConnectionInterface.php ( 4.57 KB )
  114. /yingpanguazai/ssd/ssd1/www/wwww.yeyulingfeng.com/vendor/topthink/think-orm/src/db/builder/Mysql.php ( 16.58 KB )
  115. /yingpanguazai/ssd/ssd1/www/wwww.yeyulingfeng.com/vendor/topthink/think-orm/src/db/Builder.php ( 24.06 KB )
  116. /yingpanguazai/ssd/ssd1/www/wwww.yeyulingfeng.com/vendor/topthink/think-orm/src/db/BaseBuilder.php ( 27.50 KB )
  117. /yingpanguazai/ssd/ssd1/www/wwww.yeyulingfeng.com/vendor/topthink/think-orm/src/db/Query.php ( 15.71 KB )
  118. /yingpanguazai/ssd/ssd1/www/wwww.yeyulingfeng.com/vendor/topthink/think-orm/src/db/BaseQuery.php ( 45.13 KB )
  119. /yingpanguazai/ssd/ssd1/www/wwww.yeyulingfeng.com/vendor/topthink/think-orm/src/db/concern/TimeFieldQuery.php ( 7.43 KB )
  120. /yingpanguazai/ssd/ssd1/www/wwww.yeyulingfeng.com/vendor/topthink/think-orm/src/db/concern/AggregateQuery.php ( 3.26 KB )
  121. /yingpanguazai/ssd/ssd1/www/wwww.yeyulingfeng.com/vendor/topthink/think-orm/src/db/concern/ModelRelationQuery.php ( 20.07 KB )
  122. /yingpanguazai/ssd/ssd1/www/wwww.yeyulingfeng.com/vendor/topthink/think-orm/src/db/concern/ParamsBind.php ( 3.66 KB )
  123. /yingpanguazai/ssd/ssd1/www/wwww.yeyulingfeng.com/vendor/topthink/think-orm/src/db/concern/ResultOperation.php ( 7.01 KB )
  124. /yingpanguazai/ssd/ssd1/www/wwww.yeyulingfeng.com/vendor/topthink/think-orm/src/db/concern/WhereQuery.php ( 19.37 KB )
  125. /yingpanguazai/ssd/ssd1/www/wwww.yeyulingfeng.com/vendor/topthink/think-orm/src/db/concern/JoinAndViewQuery.php ( 7.11 KB )
  126. /yingpanguazai/ssd/ssd1/www/wwww.yeyulingfeng.com/vendor/topthink/think-orm/src/db/concern/TableFieldInfo.php ( 2.63 KB )
  127. /yingpanguazai/ssd/ssd1/www/wwww.yeyulingfeng.com/vendor/topthink/think-orm/src/db/concern/Transaction.php ( 2.77 KB )
  128. /yingpanguazai/ssd/ssd1/www/wwww.yeyulingfeng.com/vendor/topthink/framework/src/think/log/driver/File.php ( 5.96 KB )
  129. /yingpanguazai/ssd/ssd1/www/wwww.yeyulingfeng.com/vendor/topthink/framework/src/think/contract/LogHandlerInterface.php ( 0.86 KB )
  130. /yingpanguazai/ssd/ssd1/www/wwww.yeyulingfeng.com/vendor/topthink/framework/src/think/log/Channel.php ( 3.89 KB )
  131. /yingpanguazai/ssd/ssd1/www/wwww.yeyulingfeng.com/vendor/topthink/framework/src/think/event/LogRecord.php ( 1.02 KB )
  132. /yingpanguazai/ssd/ssd1/www/wwww.yeyulingfeng.com/vendor/topthink/think-helper/src/Collection.php ( 16.47 KB )
  133. /yingpanguazai/ssd/ssd1/www/wwww.yeyulingfeng.com/vendor/topthink/framework/src/think/facade/View.php ( 1.70 KB )
  134. /yingpanguazai/ssd/ssd1/www/wwww.yeyulingfeng.com/vendor/topthink/framework/src/think/View.php ( 4.39 KB )
  135. /yingpanguazai/ssd/ssd1/www/wwww.yeyulingfeng.com/vendor/topthink/framework/src/think/Response.php ( 8.81 KB )
  136. /yingpanguazai/ssd/ssd1/www/wwww.yeyulingfeng.com/vendor/topthink/framework/src/think/response/View.php ( 3.29 KB )
  137. /yingpanguazai/ssd/ssd1/www/wwww.yeyulingfeng.com/vendor/topthink/framework/src/think/Cookie.php ( 6.06 KB )
  138. /yingpanguazai/ssd/ssd1/www/wwww.yeyulingfeng.com/vendor/topthink/think-view/src/Think.php ( 8.38 KB )
  139. /yingpanguazai/ssd/ssd1/www/wwww.yeyulingfeng.com/vendor/topthink/framework/src/think/contract/TemplateHandlerInterface.php ( 1.60 KB )
  140. /yingpanguazai/ssd/ssd1/www/wwww.yeyulingfeng.com/vendor/topthink/think-template/src/Template.php ( 46.61 KB )
  141. /yingpanguazai/ssd/ssd1/www/wwww.yeyulingfeng.com/vendor/topthink/think-template/src/template/driver/File.php ( 2.41 KB )
  142. /yingpanguazai/ssd/ssd1/www/wwww.yeyulingfeng.com/vendor/topthink/think-template/src/template/contract/DriverInterface.php ( 0.86 KB )
  143. /yingpanguazai/ssd/ssd1/www/wwww.yeyulingfeng.com/runtime/temp/10a0c909b6afa23b5a52a2e2d58c3c0f.php ( 21.70 KB )
  144. /yingpanguazai/ssd/ssd1/www/wwww.yeyulingfeng.com/vendor/topthink/think-trace/src/Html.php ( 4.42 KB )
  1. CONNECT:[ UseTime:0.000419s ] mysql:host=127.0.0.1;port=3306;dbname=wenku;charset=utf8mb4
  2. SHOW FULL COLUMNS FROM `fenlei` [ RunTime:0.000849s ]
  3. SELECT * FROM `fenlei` WHERE `fid` = 0 [ RunTime:0.000371s ]
  4. SELECT * FROM `fenlei` WHERE `fid` = 63 [ RunTime:0.000279s ]
  5. SHOW FULL COLUMNS FROM `set` [ RunTime:0.000538s ]
  6. SELECT * FROM `set` [ RunTime:0.000261s ]
  7. SHOW FULL COLUMNS FROM `wendang` [ RunTime:0.000682s ]
  8. SELECT * FROM `wendang` WHERE `id` = 329979 LIMIT 1 [ RunTime:0.000571s ]
  9. UPDATE `wendang` SET `liulancishu` = 3 WHERE `id` = 329979 [ RunTime:0.001503s ]
  10. UPDATE `wendang` SET `lasttime` = 1772329240 WHERE `id` = 329979 [ RunTime:0.000676s ]
  11. SELECT * FROM `wendang` WHERE `id` < 329979 ORDER BY `id` DESC LIMIT 1 [ RunTime:0.000481s ]
  12. SELECT * FROM `wendang` WHERE `id` > 329979 ORDER BY `id` ASC LIMIT 1 [ RunTime:0.000434s ]
  13. SELECT * FROM `wendang` WHERE `id` <> 329979 ORDER BY `id` DESC LIMIT 10 [ RunTime:0.001486s ]
  14. SELECT * FROM `wendang` WHERE `id` <> 329979 ORDER BY `id` DESC LIMIT 10,10 [ RunTime:0.002629s ]
  15. SELECT * FROM `wendang` WHERE `id` <> 329979 ORDER BY `id` DESC LIMIT 20,10 [ RunTime:0.001835s ]
0.082992s