当前位置:首页>文档>2025年中考数学几何模型综合训练(通用版)专题07三角形中的重要模型之平分平行(平分射影)构等腰、角平分线第二定理模型解读与提分精练(教师版)_02中考总复习(2026版更新中)

2025年中考数学几何模型综合训练(通用版)专题07三角形中的重要模型之平分平行(平分射影)构等腰、角平分线第二定理模型解读与提分精练(教师版)_02中考总复习(2026版更新中)

  • 2026-03-01 08:41:46 2026-03-01 07:33:28

文档预览

2025年中考数学几何模型综合训练(通用版)专题07三角形中的重要模型之平分平行(平分射影)构等腰、角平分线第二定理模型解读与提分精练(教师版)_02中考总复习(2026版更新中)
2025年中考数学几何模型综合训练(通用版)专题07三角形中的重要模型之平分平行(平分射影)构等腰、角平分线第二定理模型解读与提分精练(教师版)_02中考总复习(2026版更新中)
2025年中考数学几何模型综合训练(通用版)专题07三角形中的重要模型之平分平行(平分射影)构等腰、角平分线第二定理模型解读与提分精练(教师版)_02中考总复习(2026版更新中)
2025年中考数学几何模型综合训练(通用版)专题07三角形中的重要模型之平分平行(平分射影)构等腰、角平分线第二定理模型解读与提分精练(教师版)_02中考总复习(2026版更新中)
2025年中考数学几何模型综合训练(通用版)专题07三角形中的重要模型之平分平行(平分射影)构等腰、角平分线第二定理模型解读与提分精练(教师版)_02中考总复习(2026版更新中)
2025年中考数学几何模型综合训练(通用版)专题07三角形中的重要模型之平分平行(平分射影)构等腰、角平分线第二定理模型解读与提分精练(教师版)_02中考总复习(2026版更新中)
2025年中考数学几何模型综合训练(通用版)专题07三角形中的重要模型之平分平行(平分射影)构等腰、角平分线第二定理模型解读与提分精练(教师版)_02中考总复习(2026版更新中)
2025年中考数学几何模型综合训练(通用版)专题07三角形中的重要模型之平分平行(平分射影)构等腰、角平分线第二定理模型解读与提分精练(教师版)_02中考总复习(2026版更新中)
2025年中考数学几何模型综合训练(通用版)专题07三角形中的重要模型之平分平行(平分射影)构等腰、角平分线第二定理模型解读与提分精练(教师版)_02中考总复习(2026版更新中)
2025年中考数学几何模型综合训练(通用版)专题07三角形中的重要模型之平分平行(平分射影)构等腰、角平分线第二定理模型解读与提分精练(教师版)_02中考总复习(2026版更新中)
2025年中考数学几何模型综合训练(通用版)专题07三角形中的重要模型之平分平行(平分射影)构等腰、角平分线第二定理模型解读与提分精练(教师版)_02中考总复习(2026版更新中)
2025年中考数学几何模型综合训练(通用版)专题07三角形中的重要模型之平分平行(平分射影)构等腰、角平分线第二定理模型解读与提分精练(教师版)_02中考总复习(2026版更新中)
2025年中考数学几何模型综合训练(通用版)专题07三角形中的重要模型之平分平行(平分射影)构等腰、角平分线第二定理模型解读与提分精练(教师版)_02中考总复习(2026版更新中)
2025年中考数学几何模型综合训练(通用版)专题07三角形中的重要模型之平分平行(平分射影)构等腰、角平分线第二定理模型解读与提分精练(教师版)_02中考总复习(2026版更新中)
2025年中考数学几何模型综合训练(通用版)专题07三角形中的重要模型之平分平行(平分射影)构等腰、角平分线第二定理模型解读与提分精练(教师版)_02中考总复习(2026版更新中)
2025年中考数学几何模型综合训练(通用版)专题07三角形中的重要模型之平分平行(平分射影)构等腰、角平分线第二定理模型解读与提分精练(教师版)_02中考总复习(2026版更新中)
2025年中考数学几何模型综合训练(通用版)专题07三角形中的重要模型之平分平行(平分射影)构等腰、角平分线第二定理模型解读与提分精练(教师版)_02中考总复习(2026版更新中)
2025年中考数学几何模型综合训练(通用版)专题07三角形中的重要模型之平分平行(平分射影)构等腰、角平分线第二定理模型解读与提分精练(教师版)_02中考总复习(2026版更新中)
2025年中考数学几何模型综合训练(通用版)专题07三角形中的重要模型之平分平行(平分射影)构等腰、角平分线第二定理模型解读与提分精练(教师版)_02中考总复习(2026版更新中)
2025年中考数学几何模型综合训练(通用版)专题07三角形中的重要模型之平分平行(平分射影)构等腰、角平分线第二定理模型解读与提分精练(教师版)_02中考总复习(2026版更新中)
2025年中考数学几何模型综合训练(通用版)专题07三角形中的重要模型之平分平行(平分射影)构等腰、角平分线第二定理模型解读与提分精练(教师版)_02中考总复习(2026版更新中)
2025年中考数学几何模型综合训练(通用版)专题07三角形中的重要模型之平分平行(平分射影)构等腰、角平分线第二定理模型解读与提分精练(教师版)_02中考总复习(2026版更新中)
2025年中考数学几何模型综合训练(通用版)专题07三角形中的重要模型之平分平行(平分射影)构等腰、角平分线第二定理模型解读与提分精练(教师版)_02中考总复习(2026版更新中)
2025年中考数学几何模型综合训练(通用版)专题07三角形中的重要模型之平分平行(平分射影)构等腰、角平分线第二定理模型解读与提分精练(教师版)_02中考总复习(2026版更新中)
2025年中考数学几何模型综合训练(通用版)专题07三角形中的重要模型之平分平行(平分射影)构等腰、角平分线第二定理模型解读与提分精练(教师版)_02中考总复习(2026版更新中)
2025年中考数学几何模型综合训练(通用版)专题07三角形中的重要模型之平分平行(平分射影)构等腰、角平分线第二定理模型解读与提分精练(教师版)_02中考总复习(2026版更新中)
2025年中考数学几何模型综合训练(通用版)专题07三角形中的重要模型之平分平行(平分射影)构等腰、角平分线第二定理模型解读与提分精练(教师版)_02中考总复习(2026版更新中)
2025年中考数学几何模型综合训练(通用版)专题07三角形中的重要模型之平分平行(平分射影)构等腰、角平分线第二定理模型解读与提分精练(教师版)_02中考总复习(2026版更新中)
2025年中考数学几何模型综合训练(通用版)专题07三角形中的重要模型之平分平行(平分射影)构等腰、角平分线第二定理模型解读与提分精练(教师版)_02中考总复习(2026版更新中)
2025年中考数学几何模型综合训练(通用版)专题07三角形中的重要模型之平分平行(平分射影)构等腰、角平分线第二定理模型解读与提分精练(教师版)_02中考总复习(2026版更新中)
2025年中考数学几何模型综合训练(通用版)专题07三角形中的重要模型之平分平行(平分射影)构等腰、角平分线第二定理模型解读与提分精练(教师版)_02中考总复习(2026版更新中)
2025年中考数学几何模型综合训练(通用版)专题07三角形中的重要模型之平分平行(平分射影)构等腰、角平分线第二定理模型解读与提分精练(教师版)_02中考总复习(2026版更新中)
2025年中考数学几何模型综合训练(通用版)专题07三角形中的重要模型之平分平行(平分射影)构等腰、角平分线第二定理模型解读与提分精练(教师版)_02中考总复习(2026版更新中)
2025年中考数学几何模型综合训练(通用版)专题07三角形中的重要模型之平分平行(平分射影)构等腰、角平分线第二定理模型解读与提分精练(教师版)_02中考总复习(2026版更新中)
2025年中考数学几何模型综合训练(通用版)专题07三角形中的重要模型之平分平行(平分射影)构等腰、角平分线第二定理模型解读与提分精练(教师版)_02中考总复习(2026版更新中)
2025年中考数学几何模型综合训练(通用版)专题07三角形中的重要模型之平分平行(平分射影)构等腰、角平分线第二定理模型解读与提分精练(教师版)_02中考总复习(2026版更新中)
2025年中考数学几何模型综合训练(通用版)专题07三角形中的重要模型之平分平行(平分射影)构等腰、角平分线第二定理模型解读与提分精练(教师版)_02中考总复习(2026版更新中)
2025年中考数学几何模型综合训练(通用版)专题07三角形中的重要模型之平分平行(平分射影)构等腰、角平分线第二定理模型解读与提分精练(教师版)_02中考总复习(2026版更新中)
2025年中考数学几何模型综合训练(通用版)专题07三角形中的重要模型之平分平行(平分射影)构等腰、角平分线第二定理模型解读与提分精练(教师版)_02中考总复习(2026版更新中)
2025年中考数学几何模型综合训练(通用版)专题07三角形中的重要模型之平分平行(平分射影)构等腰、角平分线第二定理模型解读与提分精练(教师版)_02中考总复习(2026版更新中)
2025年中考数学几何模型综合训练(通用版)专题07三角形中的重要模型之平分平行(平分射影)构等腰、角平分线第二定理模型解读与提分精练(教师版)_02中考总复习(2026版更新中)
2025年中考数学几何模型综合训练(通用版)专题07三角形中的重要模型之平分平行(平分射影)构等腰、角平分线第二定理模型解读与提分精练(教师版)_02中考总复习(2026版更新中)
2025年中考数学几何模型综合训练(通用版)专题07三角形中的重要模型之平分平行(平分射影)构等腰、角平分线第二定理模型解读与提分精练(教师版)_02中考总复习(2026版更新中)
2025年中考数学几何模型综合训练(通用版)专题07三角形中的重要模型之平分平行(平分射影)构等腰、角平分线第二定理模型解读与提分精练(教师版)_02中考总复习(2026版更新中)
2025年中考数学几何模型综合训练(通用版)专题07三角形中的重要模型之平分平行(平分射影)构等腰、角平分线第二定理模型解读与提分精练(教师版)_02中考总复习(2026版更新中)
2025年中考数学几何模型综合训练(通用版)专题07三角形中的重要模型之平分平行(平分射影)构等腰、角平分线第二定理模型解读与提分精练(教师版)_02中考总复习(2026版更新中)
2025年中考数学几何模型综合训练(通用版)专题07三角形中的重要模型之平分平行(平分射影)构等腰、角平分线第二定理模型解读与提分精练(教师版)_02中考总复习(2026版更新中)

文档信息

文档格式
docx
文档大小
3.000 MB
文档页数
47 页
上传时间
2026-03-01 07:33:28

文档内容

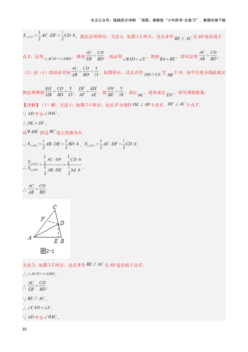
关注公众号:陆陆高分冲刺 ~领取:最新版“小中高考-总复习”、最新试卷下载 专题07 三角形中的重要模型之 平分平行(平分射影)构等腰、角平分线第二定理模型 角平分线在中考数学中都占据着重要的地位,角平分线常作为压轴题中的常考知识点,需要掌握其各 大模型及相应的辅助线作法,且辅助线是大部分学生学习几何内容中的弱点,,本专题就角平分线的非全 等类模型作相应的总结,需学生反复掌握。 大家在掌握几何模型时,多数同学会注重模型结论,而忽视几何模型的证明思路及方法,导致本末倒 置。要知道数学题目的考察不是一成不变的,学数学更不能死记硬背,要在理解的基础之上再记忆,这样 才能做到对于所学知识的灵活运用,并且更多时候能够启发我们解决问题的关键就是基于已有知识、方法 的思路的适当延伸、拓展,所以学生在学习几何模型要能够做到的就是:①认识几何模型并能够从题目中 提炼识别几何模型;②记住结论,但更为关键的是记住证明思路及方法;③ 明白模型中常见的易错点, 因为多数题目考察的方面均源自于易错点。当然,以上三点均属于基础要求,因为题目的多变性,若想在 几何学习中突出,还需做到的是,在平时的学习过程中通过大题量的训练,深刻认识几何模型,认真理解 每一个题型,做到活学活用! .........................................................................................................................................................................................2 模型1.平分平行(射影)构等腰模型...........................................................................................................2 模型2.角平分线第二定理(内角平分线定理与外角平分线定理)模型...................................................7 ..................................................................................................................................................15 1关注公众号:陆陆高分冲刺 ~领取:最新版“小中高考-总复习”、最新试卷下载 模型1.平分平行(射影)构等腰模型 角平分线加平行线必出等腰三角形:由平行线得到内错角相等,由角平分线得到相等的角,等量代换构造 等腰。平行线、角平分线及等腰,任意由其中两个条件都可以得出第三个。 (简称:“知二求一”,在 以后还会遇到很多类似总结)。 角平分线加射影模型必出等腰三角形:由等角的余角相等和对顶角相等构造等腰。 1)角平分线加平行线必出等腰三角形. 图1 图2 图3 条件:如图1,OO’平分∠MON,过OO’的一点P作PQ//ON. 结论:△OPQ是等腰三角形。 证明:∵PQ//ON,∴∠1=∠3,∵OO’平分∠MON,∴∠2=∠1, ∴∠2=∠3,∴OQ=PQ,∴△OPQ是等腰三角形。 条件:如图2,△ABC中,BD是∠ABC的角平分线,DE ∥ BC。结论:△BDE是等腰三角形。 证明:∵DE ∥ BC,∴∠BDE=∠DBC,∵BD是∠ABC的角平分线,∴∠DBE=∠DBC, ∴∠DBE=∠BDE,∴BE=DE,∴△BDE是等腰三角形。 条件:如图3,在 中, 平分 , 平分 ,过点O作 的平行线与 , 分别 相交于点M,N.结论:△BOM、△CON都是等腰三角形。 证明:由题意得:MN ∥ BC,∴∠BOM=∠OBC,∵BO是∠ABC的角平分线,∴∠OBM=∠OBC, ∴∠BOM=∠MBO,∴BM=OM,∴△BOM是等腰三角形。同理可得:△CON也是等腰三角形。 2)角平分线加射影模型必出等腰三角形. 2关注公众号:陆陆高分冲刺 ~领取:最新版“小中高考-总复习”、最新试卷下载 C E × × F ○ × B D A→ ○ 图4 条件:如图4,BE平分∠CBA,∠ACB=∠CDA=90°. 结论:三角形CEF是等腰三角形。 证明:∵BE平分∠CBA,∴∠CBE=∠ABE,∵∠ACB=90°,∴∠CBE+∠CEB=90°, ∵∠CDA=90° ,∴∠ABE+∠BFD=90°,∵∠BFD=∠CFE,∴∠ABE+∠CFE=90°, ∴∠CEB=∠CFE,∴CF=CE,∴三角形CEF是等腰三角形。 例1.(2024·四川成都·中考真题)如图,在 中,按以下步骤作图:①以点 为圆心,以适当长为 半径作弧,分别交 , 于点 , ;②分别以 , 为圆心,以大于 的长为半径作弧,两弧 在 内交于点 ;③作射线 ,交 于点 ,交 延长线于点 .若 , ,下列结 论错误的是( ) A. B. C. D. 【答案】D 【分析】本题考查角平分线的尺规作图、平行四边形的性质、等腰三角形的判定以及相似性质与判定的综 合.先由作图得到 为 的角平分,利用平行线证明 ,从而得到 , 再利用平行四边形的性质得到 ,再证明 ,分别求出 , ,则各选项可以判定. 【详解】解:由作图可知, 为 的角平分,∴ ,故A正确; ∵四边形 为平行四边形,∴ , ∵ ∴ ,∴ , ∴ ,∴ ,故B正确; 3关注公众号:陆陆高分冲刺 ~领取:最新版“小中高考-总复习”、最新试卷下载 ∵ ,∴ ,∵ ,∴ , ∴ ,∴ ,∴ , ,故D错误; ∵ ,∴ ,故C正确,故选:D. 例2.(2024·贵州贵阳·模拟预测)如图,在 中, , 和 的平分线相交于点 , 过点 作 的平行线交 于点 ,交 于点 ,若 的周长为14,则 的周长是( ) A.14 B.19 C.21 D.23 【答案】C 【分析】本题考查等腰三角形的判定,平行线的性质,角平分线定义.由角平分线的定义得到 ,由平行线的性质得到 ,因此 ,推出 ,同理: ,于是得到 ,由 的周长 ,即可求出 的周长 . 【详解】解: 平分 , , ∵ , , , , 同理: , , 的周长 , 的周长 .故选:C. 例3.(2023·广东·八年级期末)如图, ABCD中,AB=3cm,BC=5cm,BE平分∠ABC交AD于E点, ▱ CF平分∠BCD交AD于F点,则EF的长为 cm. 【答案】1 【分析】根据角平分线的概念、平行线的性质及等腰三角形的性质,可分别推出AE=AB,DF=DC,进而 推出EF=AE+DF-AD. 【详解】∵四边形ABCD是平行四边形,∴∠AEB=∠EBC,AD=BC=5cm, 4关注公众号:陆陆高分冲刺 ~领取:最新版“小中高考-总复习”、最新试卷下载 ∵BE平分∠ABC,∴∠ABE=∠EBC,则∠ABE=∠AEB, ∴AB=AE=3cm,同理可证:DF=DC=AB=3cm, 则EF=AE+FD﹣AD=3+3﹣5=1cm.故答案为:1. 【点睛】本题考查了平行四边形的性质,关键是运用角平分线的概念和平行线的性质,由等角推出等边. 例4.(2023春·四川达州·八年级校考阶段练习)如图,在Rt ABC中,∠ACB=90°,CD⊥AB,垂足为 D,AF平分∠CAB,交CD于点E,交CB于点F,则下列结论△成立的是( ) A.EC=EF B.FE=FC C.CE=CF D.CE=CF=EF 【答案】C 【分析】求出∠CAF=∠BAF,∠B=∠ACD,根据三角形外角性质得出∠CEF=∠CFE,即可得出答案; 【详解】∵在Rt ABC中,∠ACB=90°,CD⊥AB,∴∠CDB=∠ACB=90°, ∴∠ACD+∠BCD△=90°,∠BCD+∠B=90°,∴∠ACD=∠B, ∵AF平分∠CAB,∴∠CAE=∠BAF,∴∠ACD+∠CAE=∠B+∠BAF, ∴∠CEF=∠CFE,∴CE=CF.故选C. 【点睛】本题考查了直角三角形的性质,等腰三角形的判定,正确的识别图形是解题的关键. 例5.(2023.成都市青羊区八年级期中)如图,在 中, , 于点D, 的平 分线BE交AD于F,交AC于E,若 , ,则 _____________. 【答案】5 【详解】由角度分析易知 ,即 , ∵ ∴ ∵ ∴ 【点睛】这道题主要讲解角平分线加射影模型必出等腰三角形的模型. 例6.(2023九年级·广东·专题练习)如图1,在 中, 和 的平分线交于点O,过点O 作 ,交 于E,交 于F. 5关注公众号:陆陆高分冲刺 ~领取:最新版“小中高考-总复习”、最新试卷下载 (1)当 ,则 ___________;(2)当 时,若 是 的外角平分线,如图2,它 仍然和 的角平分线相交于点O,过点O作 ,交 于E,交 于F,试判断 , 之间的关系,并说明理由. 【答案】(1)8(2) ,见解析 【分析】本题主要考查了等腰三角形的判定与性质,平行线的性质,角平分线的定义等知识,利用角平分 线和平行线证明等腰三角形是解题的关键.(1)由平行线的性质和角平分线的定义可证 ,即可得出答案;(2)与(1)同理由平行线的性质和角平分线的定义可证. 【详解】(1)解:∵ ,∴ , ∵ 和 的平分线交于点O,∴ , ∴ ,∴ , ∴ ,故答案为:8; (2) ,理由如下:∵ 平分 ,∴ , ∵ ,∴ ,∴ , ∴ ,同理可得 ,∴ . 6关注公众号:陆陆高分冲刺 ~领取:最新版“小中高考-总复习”、最新试卷下载 模型2.角平分线第二定理(内角平分线定理与外角平分线定理)模型 角平分线第二定理:三角形一个角的平分线与其对边所成的两条线段与这个角的两边对应成比例。 该定理现在教材里面虽然没有讲,但它在实战确有很大的作用(可以避免去构造勾股定理或相似),很多 时候能起到事半功倍的良好效果。 1)内角平分线定理 条件:如图,在△ABC中,若BD是∠ABC的平分线。 结论: 证明:作 ,作DH AB垂足分别为F,H. ∵BD是∠ABC的平分线,∴DF=DH,则 = = (2)作BE CA垂足为E,则 = = ∴ = 2)外角平分线定理 图2 图3 条件:如图2,在△ABC中,∠BAC的外角平分线交BC的延长线于点D。 结论: . 证明:如图2,过C作 .交BA的延长线于E, ∵ ,∴ ,∠2=∠4,∠1=∠3,∵∠1=∠2,∴∠4=∠3,∴AE=AC,∴ . 7关注公众号:陆陆高分冲刺 ~领取:最新版“小中高考-总复习”、最新试卷下载 3)奔驰模型 条件:如图3, 的三边 、 、 的长分别是a,b,c,其三条角平分线交于点O,将 分 为三个三角形。结论: =c:a:b。 证明:过点 作 于点 ,作 于点 ,作 于点 . 由题意知: , , 是 的三条角平分线, , 于, , 的三边 、 、 长分别为a,b,c, . 例1.(2024·内蒙古呼伦贝尔·中考真题)如图,在 中, ,以点 为圆心,适当 长为半径画弧分别交 于点 和点 ,再分别以点 为圆心,大于 的长为半径画弧,两弧 交于点 ,连接 并延长交 于点 .若 的面积为8,则 的面积是( ) A.8 B.16 C.12 D.24 【答案】B 【分析】本题考查了尺规作图,含 的直角三角形的性质,等腰三角形的判定等知识, 由作图知 平 分 ,则可求 ,利用含 的直角三角形的性质得出 ,利用等角对等 边得出 ,进而得出 ,然后利用面积公式即可求解. 【详解】解: ∵ ,∴ ,由作图知: 平分 , ∴ ,∴ , , 8关注公众号:陆陆高分冲刺 ~领取:最新版“小中高考-总复习”、最新试卷下载 ∴ ,∴ ,∴ , 又 的面积为8,∴ 的面积是 ,故选B. 例2.(2023·四川泸州·八年级统考期中)如图, 的三边 、 、 长分别是10、15、20.其三 条角平分线交于点O,将 分为三个三角形, 等于( ) A. B. C. D. 【答案】C 【分析】过O点作 , , ,垂足分别为 , , ,根据角平分线的性质可知 ,再利用三角形的面积公式计算可求解. 【详解】解:过O点作 , , ,垂足分别为 , , , 的三条角平分线交于点O, , , , , .故选C. 【点睛】本题考查角平分线的性质,三角形的面积,利用角平分线的性质求得 是解题的关键. 例3.(23-24九年级上·吉林·期末)已知 , 是一条角平分线. 【探究发现】如图①,若 是 的角平分线.可得到结论: . 小红的解法如下:过点D作 于点E, 于点F,过点A作 于点G, ∵ 是 的角平分线,且 , ,∴______________. ∴ _____________.又∵ ,∴_____________. 9关注公众号:陆陆高分冲刺 ~领取:最新版“小中高考-总复习”、最新试卷下载 【类比探究】如图②,若 是 的外角平分线, 与 的延长线交于点D.求证: . 【答案】[探究发现] , , ;[类比探究]证明见解析 【分析】本题考查了角平分线的性质定理,等高三角形面积的关系.熟练掌握角平分线的性质定理是解题 的关键.[探究发现]根据过程填写即可;[类比探究]证明过程同[探究发现] . 【详解】[探究发现]证明:∵ 是 的角平分线,且 , , ∴ .∴ .又∵ ,∴ . 故答案为: , , ; [类比探究] 证明:如图②,过点D作 于N,过点D作 于M,过点A作 于点 P. ∵ 平分 ,∴ .∴ , 又∵ .∴ . 例4.(23-24九年级上·湖南娄底·期末)一次数学综合实践活动课上,小慧发现并证明了关于三角形角平 分线的一个论证.如图1,已知 是 的角平分线,可证 .小慧的证明思路是:如图2, 10关注公众号:陆陆高分冲刺 ~领取:最新版“小中高考-总复习”、最新试卷下载 过点C作 ,交 的延长线于点E,构造相似三角形来证明 . (1)尝试证明:请参照小慧提供的思路,利用图2证明 ; (2)应用拓展:如图3,在 中, ,D是边 上一点.连接 ,将 沿 所在 直线折叠,点C恰好落在边 上的E点处. ①若 , ,求 的长;②若 , ,求 的长(用含k与 的代数式表示). 【答案】(1)见解析(2)① ;② 【分析】(1)过点C作 ,交 的延长线于点E,先证明 ,得到 ,再 根据角平分线的性质和等腰三角形的判定证得 ,进而可得结论; (2)①先由折叠性质得到 , , ,由(1)知, ,则 ,利用勾股定理求得 ,进而可求解;②由折叠性质得 , , ,由(1)得 ,利用正切定义得 ,则 ,进而可求解. 【详解】(1)证明:过点C作 ,交 的延长线于点E, ∴ , ,∴ ,∴ , ∵ ,∴ ,则 ,∴ ,∴ ; (2)解:①∵将 沿 所在直线折叠,点C恰好落在边 上的E点处. ∴ , , ,由(1)知, ,又 , , 11关注公众号:陆陆高分冲刺 ~领取:最新版“小中高考-总复习”、最新试卷下载 ∴ ,即 ,在 中, , , , ∴ ,∴ ,则 ,∴ ; ②由折叠性质,得 , , ,由(1)得 , ∵ ,∴ ,则 , 由 得: ,∴ ,∴ . 【点睛】本题考查相似三角形的判定与性质、角平分线的定义、平行线的性质、等腰三角形的判定、勾股 定理、折叠性质、锐角三角函数等知识,涉及知识点较多,综合性强,熟练掌握相关知识的联系与运用是 解答的关键. 例5.(2024·辽宁沈阳·模拟预测)【问题初探】 在数学活动课上,张老师给出如下问题:“如图1,在 中, 是 的角平分线,求证: ”,有两名同学给出了不同的解答思路: ①如图2,小丽同学从结论出发给出如下解题思路:过点C作 的平行线交 的延长线于点E,运用等 腰三角形和相似等知识解决问题. ②如图3,小强同学从“ 是 的角平分线”给出了另一种解题思路:在 上截取 ,连接 ,过点C作 的平行线交 的延长线于点G,也是利用相似等知识解决问题. (1)请你选择一名同学的解答思路,写出证明过程. 【类比分析】张老师发现之前两名同学都运用了转化思想,将两组线段比值问题转化为两三角形相似的对 应边的比.为了帮助学生更好地领悟这种转化思想,张老师将问题进行了改编,提出下面问题,请你解答. (2)如图4,若 的外角 平分线 交 的延长线于点D,求证: . 【学以致用】(3)如图5,在四边形 中, , , , 12关注公众号:陆陆高分冲刺 ~领取:最新版“小中高考-总复习”、最新试卷下载 平分 ,求 的长. 【答案】(1)小丽同学的解题思路;证明见解析(2)证明见解析(3) 【分析】此题考查了平行线分线段成比例定理、全等三角形的判定和性质、勾股定理、等腰直角三角形的 判定和性质等知识,熟练掌握平行线分线段成比例定理是解题的关键. (1)小丽同学,由平行线分线段成比例得到 ,再证 即可;小强同学,证明 ,则 ,得到 , , 则 , ,即可得到结论; (2)过点D作 交 于点M,则 , , ,由比例的性质得 到 ,证明 ,即可得到结论; (3)延长 交 的延长线于点F,求出 , , ,进一步得到 , .过点E作 于点G,证明 是等腰直角三角形, ,则 , ,求得 ,即可得到答案; 【详解】解:(1)证明:小丽同学,∵ ,∴ , ; ∵ 平分 ,∴ ,∴ ,∴ ,∴ . 小强同学,在 上截取 ,连接 ,过点C作 的平行线交 的延长线于点G, ∵ 平分 ,∴ , 又∵ ,∴ ,∴ , ∵ ,∴ , ,∴ , ,∴ . (2)证明:如图4,过点D作 交 于点M, 13关注公众号:陆陆高分冲刺 ~领取:最新版“小中高考-总复习”、最新试卷下载 ∴ , , ,∴ ,则 ; ∵ 平分 ,∴ ,∴ ,∴ ; (3)解:如图5,延长 交 的延长线于点F, ∵ ,∴ ,即 ,解得 ,∴ , ∵ ,∴ , ∵ 平分 ,∴ , .∴ 过点E作 于点G,∴ 是等腰直角三角形, , ∴ , ∴ ,解得 ,∴ . 1.(2024·湖南怀化·一模)如图,以直角 的一个锐角的顶点A为圆心,适当长为半径画弧,分别交 直角边 于点D,交斜边 于点E,再分别以点D,E为圆心,大于 的长为半径画弧,两弧交于点 F,作射线 交边 于点G,若 , ,用 表示 的面积(其它同理),则 = ( ) 14关注公众号:陆陆高分冲刺 ~领取:最新版“小中高考-总复习”、最新试卷下载 A. B. C. D. 【答案】C 【分析】本题考查了角平分线的性质定理和尺规作图,勾股定理等知识,解答时过点G作 于点 H,得到 ,再由勾股定理求出 ,再推出 ,则问题可解 【详解】解:如图,过点G作 于点H, 由尺规作图可知, 为 平分线,∵ ,∴ , ∵ , , ,∴ , ∴ ,故选:C. 2.(23-24八年级上·陕西西安·阶段练习)如图, 中, 与 的平分线交于点F,过点F 作 交 于点D,交 于点E,那么下列结论:① 和 都是等腰三角形;② ;③ 的周长等于 与 的和;④ ;⑤若 ,则 .其 中正确的有( ) 15关注公众号:陆陆高分冲刺 ~领取:最新版“小中高考-总复习”、最新试卷下载 A.①②③⑤ B.①③④⑤ C.①②④⑤ D.②③④⑤ 【答案】A 【分析】本题考查了等腰三角形的判定及角平分线的定义及平行线的性质.由角平分线的定义可得 , ,结合平行线的性质可知 , ,进而可得 , ,由等边对等角可得 , ,再根据等量代换逐项判断即 可.利用了两直线平行,内错角相等,及等角对等边来判定等腰三角形的;等量代换的利用是解答本题的 关键. 【详解】解:①∵ 是 的角平分线, 是 的角平分线,∴ , , ∵ ,∴ , ,∴ , , ∴ , ,∴ 和 都是等腰三角形,∴①选项正确,符合题意; ②∵ , , ,∴ ,∴②选项正确,符合题意; ③∵ 的周长为 ,∵ , ∴ 的周长为 ,∴③选项正确,符合题意; ④根据题意 的角度数不确定,故不能得出 ,∴④选项不正确,不符合题意; ⑤∵若 ,∴ , ∵ , ,∴ , ∴ ,∴⑤选项正确,符合题意; 故正确的有:①②③⑤.故选:A. 3.(2023春·山东淄博·九年级校考期中)如图, 中, ,点I为 各内角平分线的交 点,过I点作 的垂线,垂足为H,若 , , ,那么 的值为( ) 16关注公众号:陆陆高分冲刺 ~领取:最新版“小中高考-总复习”、最新试卷下载 A.1 B. C.2 D. 【答案】A 【分析】连接 、 、 ,过I作 于M, 于N,利用角平分线的性质,以及等积法求 线段的长度,即可得解. 【详解】解:连接 、 、 ,过I作 于M, 于N, ∵点I为 各内角平分线的交点, , , ,∴ , ∵ , , ,∴ , ∵ ,∴ , ∵ , , , ,∴ ,故A正确.故选:A. 【点睛】本题主要考查角平分线的性质,等积法求线段长度.熟练掌握角平分线的性质,利用等积法求线 段的长度是解题的关键. 4.(2023春·湖南岳阳·八年级统考期末)如图, 是 的角平分线, 相交于点 于 , ,下列四个结论:① ;② ;③若 的周长为 ,则 ;④若 ,则 .其中正确的结论有( )个. 17关注公众号:陆陆高分冲刺 ~领取:最新版“小中高考-总复习”、最新试卷下载 A. B. C. D. 【答案】C 【分析】根据三角形内角和定理可验证结论①;如图所示,在 上截取 ,可证 , ,根据全等三角形的性质可验证结论②;如图所示,连接 ,过点 分别作 于点 ,作 于点 ,根据角平分线的性质,三角形的面积计算方 法可验证结论③;结合结论②,③,图形结合,等面积法等知识可验证结论④. 【详解】解:结论① , ∵ , ,∴ , ∵ 是 的角平分线,∴ , , ∴ ,在 中, , ∴ ,故结论①正确; 结论② ,由结论①正确可知, , ∵ ,∴ , ∵ ,∴ ,如图所示,在 上截取 , ∵ 是 的角平分线,∴ , ∴在 中, ,∴ , ∴ ,∴ , 18关注公众号:陆陆高分冲刺 ~领取:最新版“小中高考-总复习”、最新试卷下载 ∴ , ,∴在 中, ,∴ ,∴ , ∴ ,故结论②正确;结论③若 的周长为 ,则 , 如图所示,连接 ,过点 分别作 于点 ,作 于点 , ∵ 是 的角平分线, , , ∴ 平分 , ,且 , ∵ , ∴ ,故结论③错误; 结论④若 ,则 , 如图所示,连接 ,过点 分别作 于点 ,作 于点 , ∵ , ,且 ,∴ , 如图所示,过点 作 于点 , ∴ , ,∴ ,且 , 19关注公众号:陆陆高分冲刺 ~领取:最新版“小中高考-总复习”、最新试卷下载 ∴ ,同理, ,如图所示, 由结论②正确可知, , ,且 ∴ , ∴ ,∴ ,∴ ,故结论④正确; 综上所述,正确的有①②④, 个,故选: . 【点睛】本题主要考查三角形的综合知识,掌握角的和差计算方法,角平分线的性质,三角形全等的判定 和性质,角平分线交的性质,线段之间比例的计算方法等知识的综合是解题的关键. 5.(2024·江苏宿迁·八年级校考期末)如图,在 中, ,垂足为D, 平 分 ,交 于点E,交 于点F.若 ,则 的长为( ) A. B.3 C. D. 【答案】A 【分析】根据三角形的内角和定理得出 ,根据角平分线和对顶 角相等得出 ,即可得出 ,再利用勾股定理得出 的长,即可得出答案. 【详解】解:过点F作 于点G, ∵ ,∴ ,∴ , ∵ 平分 ,∴ ,∴ ,∴ , ∵ 平分 , ,∴ , ∴ ,∴ ,∴ , ∵ ,∴ ,∴设 ,则 , 则 ,解得: ,即 的长为 .故选:A. 20关注公众号:陆陆高分冲刺 ~领取:最新版“小中高考-总复习”、最新试卷下载 【点睛】本题考查了直角三角形性质、等腰三角形的性质和判定,三角形的内角和定理以及相似三角形的 判定与性质等知识,关键是推出 . 6.(23-24山西八年级期中)如图在 中, 的角平分线 交 于 ,若 , , 则平行四边形 的周长为( ) A. B. C. D. 【答案】B 【分析】根据四边形ABCD是平行四边形,即可得到AD//BC,即∠AEB=∠CBE,再根据BE是∠ABC的角 平分线,即可得到∠ABE=∠CBE=∠AEB,即AB=AE,从而可以求解. 【详解】解:∵四边形ABCD是平行四边形,CD=3, ∴AD//BC,AB=CD=3,BC=AD,∴∠AEB=∠CBE, ∵BE是∠ABC的角平分线,∴∠ABE=∠CBE=∠AEB,∴AB=AE=3, ∵ED=2,∴AD=AE+DE=5,∴四边形ABCD的周长=AB+BC+CD+AD=2(AB+AD)=16,故选B. 【点睛】本题主要考查了平行四边形的性质,角平分线的性质,等腰三角形的判定,解题的关键在于能够 熟练掌握相关知识进判定△ABE是等腰三角形. 7.(2024·陕西宝鸡·二模)如图, 是 的中位线, 的角平分线交 于点F, , ,则 的长为( ) A.9 B.6 C.3 D.2 【答案】C 21关注公众号:陆陆高分冲刺 ~领取:最新版“小中高考-总复习”、最新试卷下载 【分析】本题考查的是三角形中位线定理、平行线的性质,解题的关键是掌握三角形的中位线平行于第三 边,且等于第三边的一半.先求出 和 ,再证明 ,即可求出 . 【详解】解:∵ 是 的中位线,∴ , , ,∴ , ∵ 是 的角平分线交,∴ ,∴ , ∴ ,∴ ,故选:C. 8.(24-25九年级上·广东·课后作业)如图,在 中, 平分 交 于点 .若 , ,则 . 【答案】 【分析】此题考查了平行线分线段成比例,等角等对边性质,解题的关键是掌握以上知识点. 过点 作 交 的延长线于点 ,证明出 ,然后由 得到 ,然后等量代 换得到 ,然后代数求解即可. 【详解】如图,过点 作 交 的延长线于点 ,则 , 平分 , .故答案为: . 9.(23-24八年级上·四川绵阳·期末)如图,在等腰 ABC中,AB=BC=a,CE=b,∠BAC和∠ABC的平分 线分别为AD,BE相交于点O,AD交BC于点D,△BE交AC于点E,过点O作OF⊥AB于F,若OF=c,则 ABC的面积为 . △ 22关注公众号:陆陆高分冲刺 ~领取:最新版“小中高考-总复习”、最新试卷下载 【答案】(a+b)c 【分析】根据线段垂直平分线的性质得到OE⊥AC,AC=2CE=2b,根据角平分线的性质得到 OE=OF=OG=c,再利用三角形的面积公式即可求解. 【详解】解:∵AB=BC,BE平分∠ABC,∴OE⊥AC,AC=2CE=2b,连接OC,过点O作OG⊥BC于点 G, . ∵∠BAC和∠ABC的平分线分别为AD,BE相交于点O,且OF⊥AB,∴OE=OF=OG=c, ∴ ABC的面积为 AB×OF+ BC×OG+ AC×OE= ac+ ac+ ×2bc=ac+bc=(a+b)c.故答案为:(a+b)c. △ 【点睛】本题考查了等腰三角形的性质,角平分线的性质,熟记各图形的性质并准确识图是解题的关键. 10.(2023春·陕西咸阳·八年级校考阶段练习)如图,在 中, ,点 为 的边 上一点,点 分别在边 上,连接 ,若 ,则 的度数 为 . 【答案】 23关注公众号:陆陆高分冲刺 ~领取:最新版“小中高考-总复习”、最新试卷下载 【分析】根据角平分线的判定与性质可知 ,最后利用三角形的内角和定理即可解答. 【详解】解:过点 作 ,垂足为 ,过点 作 ,垂足为 , ∵ , ,∴ , ∵ ,∴ ,∴ 是 的角平分线,∴ , ∵ , ,∴ , ∴ ,∴ ,故答案为 . 【点睛】本题考查角平分线的判定与性质,三角形的内角和定理,掌握角平分线的判定与性质是解题关键. 11.(2024·天津·八年级校考期中)如图,在 中, 是 的平分线,延长 至E,使 ,若 , 的面积为9,则 的面积是 . 【答案】 【分析】由角平分线的性质可得 ,由三角形的面积关系可求解. 【详解】解:如图,过点 作 ,交 的延长线于 , 于 , 24关注公众号:陆陆高分冲刺 ~领取:最新版“小中高考-总复习”、最新试卷下载 ∵ 的面积为9,∴ , ∵ 是 的平分线, ,∴ , ∵ ,∴ ,∴ ,∴ ,故答案为: . 【点睛】本题考查了角平分线的性质,三角形的面积公式,添加恰当辅助线是解题的关键. 12.(2023·辽宁鞍山·八年级统考期中)如图,已知 ,点E是 上一点, 平分 , 平分 ,延长 交 的延长线于点F.① ;②E为 的中点;③若 , ,则 ;④若四边形 的面积为27,且 ,则 的长为18,其中正确的结论 有 . 【答案】①②③④ 【分析】①根据 平分 , 平分 , ,推出 ,进而得 ,证明 ;②通过 ,推出 为 的中点; ③由 ,推出 ,得出 的长; ④由①②③可得 的面积等于四边形 的面积为27,再根据 及面积公式求出 的长. 【详解】解: , , , , 平分 , 平分 , , , , , , ,①正确; , , , , , , , 为 的中点;②正确; 25关注公众号:陆陆高分冲刺 ~领取:最新版“小中高考-总复习”、最新试卷下载 , , ,③正确; 四边形 的面积为27,由①②③可得 的面积为27, , , , , , 的长为18, ④正确.故答案为:①②③④ 【点睛】本题考查全等三角形的判定与性质、角平分线性质,熟练掌握两个知识点的综合应用是解题关键. 13.(2023春·贵州毕节·八年级期末)如图, 的三边 长分别是20、30、40,其三条角 平分线将 分成三个三角形,则 等于 . 【答案】 【分析】由角平分线的性质可得,点O到三角形三边的距离相等,即三个三角形的 边上的高 相等,利用三角形面积公式即可求解. 【详解】解:如图所示,过点O作 于D, 于E, 于F, ∵O是 三条角平分线的交点,∴ , ∵ , ∴ .故答案为: . 【点睛】本题主要考查了角平分线的性质和三角形面积的求法,熟知角平分线上的点到角两边的距离相等 是解题的关键. 14.(23-24九年级下·江苏南京·自主招生)(1)若 为 的角平分线,求证: ; 26关注公众号:陆陆高分冲刺 ~领取:最新版“小中高考-总复习”、最新试卷下载 (2)已知, , , ,求证: . 【答案】(1)见解析;(2)见解析 【分析】(1)作 ,作 于 ,则 与 的面积比既等于 ,也等于 ,从而得出结论;(2)作 , ,先证明四边形 内接于 ,设 的半径 为 ,求得 ,再作 , ,证明 ,得到 ,设 ,求得 ,据此即可证明结论成立. 【详解】证明:(1)如图,作 于 ,作 于 , 平分 , , , , ; (2)作 , ,垂足分别为 ,∴ ,∴ ,∴ , ∵ , ,∴ 是等腰直角三角形,∴ , ∵ ,∴四边形 内接于 ,设 的半径为 ,则 , , ∵ ,∴ , , , 27关注公众号:陆陆高分冲刺 ~领取:最新版“小中高考-总复习”、最新试卷下载 ∵ ,∴ ,∴ ,作 , ,垂足分别为 , ∵ 是等腰直角三角形,∴ ,∴ ,∴ ,∴ , ∵ ,∴ , ,设 ,则 , , ∴ ,∴ ,∴ . 【点睛】本题考查了圆内接四边形的判定和性质,直角三角形的性质,勾股定理,相似三角形的判定和性 质,解题的关键是学会利用参数构建方程解决问题. 15.(22-23八年级上·浙江杭州·期末)如图,在 中, , , , 是 的角平分线,点E,F分别是边 , 上的动点(不与点A,B,C重合),连结 , . (1)若分别记 , 的面积为 ,求 的值. (2)设 , ,①若 ,求 的值. ②若 , ,请判断 的形状,并说明理由. 【答案】(1) (2)① ② 是直角三角形,见解析 【分析】(1)过D作 于G, 于H,根据角平分线的性质得到 ,根据三角形 的面积公式即可得到结论; (2)①根据三角形的面积公式列方程即可得到结论;②由(1)知, , , , 根据三角形的面积公式列方程得到 ,求得 ,根据 ,得到 , ,求得 28关注公众号:陆陆高分冲刺 ~领取:最新版“小中高考-总复习”、最新试卷下载 ,推出 是等腰直角三角形,得到 ,求出 ,推出点H与点F重 合,于是得到结论. 【详解】(1)解:(1)过D作 于G, 于H,如图所示: , ∵ 是 的角平分线, ∴ , ∴ ; (2)(2)①∵ , , ∴ , ∵ , ∴ , ∴ , ∵ , ∴ , ∴ ; ② 是直角三角形, 理由:由(1)知, , ∴ , ∴ , 29关注公众号:陆陆高分冲刺 ~领取:最新版“小中高考-总复习”、最新试卷下载 ∴ , ∵ , ∴ , ∴ , ∵ , ∴ , ∴ , ∴ , ∵ 是 的角平分线, ∴ , ∴ 是等腰直角三角形, ∴ , ∴ , ∴点H与点F重合, ∴ , ∴ , ∴ 是直角三角形. 【点睛】本题是三角形的综合题,考查了直角三角形的判定和性质,三角形的面积的计算,角平分线的性 质,正确地作出辅助线是解题的关键. 16.(2024·吉林长春·三模)如图①,AD是 的角平分线.数学兴趣小组发现结论: .经 过讨论得到如下 种证明思路: 思路 :过点 向 两边作垂线段,利用三角形的面积比证出结论; 思路 :过点 作AB的平行线,与AD的延长线相交,利用三角形相似证出结论; 思路 :过点 作 的平行线,与 的延长线相交,利用平行线分线段成比例证出结论. 30关注公众号:陆陆高分冲刺 ~领取:最新版“小中高考-总复习”、最新试卷下载 (1)请参考以上 种证明思路,选择其中一种证出结论; (2)在图①中,AD是 的角平分线.若 , , ,则BD的长度为_______; (3)如图②,在 中, , 的角平分线BD、CE相交于点 ,若 ,则 的值 为_______. 【答案】(1)选择思路1,见解析(2) (3) 【分析】(1)选择思路 :过点 向 两边作垂线段,利用三角形的面积比证出结论;选择思路 : 过点 作AB的平行线,与AD的延长线相交,利用三角形相似证出结论;思路 :过点 作 的平行线, 与 的延长线相交,利用平行线分线段成比例证出结论. (2)由(1)得 ,代入求解即可; (3)在 上取一点 ,使得 , 由 得 ,再证明 ,得 ,从而即可得解. 【详解】(1)解:选择思路 :过点 作 , 于 、 ,令 的 边上的高为 , ∵AD平分 , ∴ , ∴ , ∵ 的 边上的高为 , 31关注公众号:陆陆高分冲刺 ~领取:最新版“小中高考-总复习”、最新试卷下载 ∴ , ∴ ; 选择思路 :过点 作 交AD延长线于点 , ∴ , , ∴ , ∴ , ∵AD平分 , ∴ , ∴ , ∴ ; 选择思路 :过点 作 交 延长线于点 , ∴ , , , ∵AD平分 , ∴ , 32关注公众号:陆陆高分冲刺 ~领取:最新版“小中高考-总复习”、最新试卷下载 ∴ , ∴ ; (2)解:由( )得 , ∵ , , , ∴ , ∴ , 故答案为: ; (3)解:在 上取一点 ,使得 , ∵ , ∴ , ∴ , ∵ , ∴ , ∵ 的角平分线BD、CE相交于点 , ∴ , , , ∴ , ∴ , , ∵ , , ∴ , ∴ , 33关注公众号:陆陆高分冲刺 ~领取:最新版“小中高考-总复习”、最新试卷下载 ∴ , ∴ . 【点睛】本题主要考查了相似三角形的判定及性质,平行线的性质,全等三角形的判定及性质,角平分线 的定义以及平行线分线段成比例,熟练掌握相似三角形的判定及性质,平行线的性质以及全等三角形的判 定及性质是解题的关键. 17.(22-23九年级上·吉林长春·阶段练习)[感知]如图①所示,在等腰 中, ,AD平分 ,易得 (不需要证明) (1)[探究]如图②所示,李丽同学将图①的等腰 改为任意 ,AD平分 ,他通过观察、测 量,猜想 仍然成立,为了证明自己的猜想,他与同学进行交流讨论,得到了证明猜想的两种方 法: 方法1:过点D分别作 于点E, 于点F,利用 与 的面积比证明结论. 方法2:过点B作 交AD延长线于点E,利用 与 相似证明结论. 请你参考上面的两种方法,选择其中的一种方法完成证明. (2)[应用]如图③所示,在 中, , , ,AD平分 .若点E在边AB 上, ,CE交AD于点F,则 ______. 【答案】(1)证明见解析(2) 【分析】(1)方法1:如图2-1所示,过点D分别作 于点E, 于点F,根据角平分线的 性质得到 ,设 的边 边上的高为h,则 , 34关注公众号:陆陆高分冲刺 ~领取:最新版“小中高考-总复习”、最新试卷下载 ,据此证明即可;方法2:如图2-2所示,过点B作 交AD延长线于 点E,证明 ,得到 ,再证明 ,得到 ,即可证明 ; (2)由(1)的结论可知 ,如图所示,过点D作 交 于H,由平行线分线段成比 例定理得到 , ,则 ,求出 ,进而求出 ,即可得到答案. 【详解】(1)解:方法1:如图2-1所示,过点D分别作 于点E, 于点F, ∵ 平分 , ∴ , 设 的边 边上的高为h, ∵ , , ∴ , ∴ 方法2:如图2-2所示,过点B作 交AD延长线于点E, ∴ , ∴ , ∵ , ∴ , ∵ 平分 , 35关注公众号:陆陆高分冲刺 ~领取:最新版“小中高考-总复习”、最新试卷下载 ∴ , ∴ , ∴ , ∴ ; (2)解: ∵ 平分 , ∴由(1)的结论可知 , 如图所示,过点D作 交 于H, ∴ , , ∴ , ∵ , ∴ , ∴ , 故答案为: . 【点睛】本题主要考查了相似三角形的性质与判定,角平分线的性质,等腰三角形的性质与判定,平行线 分线段成比例定理等等,正确作出辅助线是解题的关键. 36关注公众号:陆陆高分冲刺 ~领取:最新版“小中高考-总复习”、最新试卷下载 18.(2023·浙江绍兴·模拟预测)小明在学习角平分线知识的过程中,做了进一步探究:如图1,在 中, 的平分线交 于点 ,发现 .小明想通过证明来验证这个结论.证明:延长 至 ,使得 , 请你完成上述证明过程: 结论应用:已知在 中, , , 边上有一动点 ,连结 ,点 关于 的对称 点为点,连结 交 于点 . (1)请你完成发现中的证明过程;(2)如图2当 , ,求 的值; (3)如图3当 , 与 的边垂直时,求 的值. 【答案】(1)见解析(2)2(3) 或 或1 【分析】(1)延长 至 ,使得 ,连接 ,可推出 ,从而 ,从而推出 ,进一步得出结论; (2)可推出 平分 ,从而得出 ; (3)分为三种情形:当 时,由(1)知: ,当 时,作 于 , 不妨设 ,则 , , ,从而得出 ,当 时,可得出 . 【详解】(1)证明:如图1, 37关注公众号:陆陆高分冲刺 ~领取:最新版“小中高考-总复习”、最新试卷下载 延长 至 ,使得 ,连接 , , , 平分 , , , ∴ , , ; (2)解: , , , , 点 关于 的对称点为点 , 平分 , ; (3)解:如图2, 38关注公众号:陆陆高分冲刺 ~领取:最新版“小中高考-总复习”、最新试卷下载 当 时, , 由(1)知: , 如图3, 当 时, 作 于 , 不妨设 ,则 , , , , 如图4, 39关注公众号:陆陆高分冲刺 ~领取:最新版“小中高考-总复习”、最新试卷下载 当 时, 可得 , , 综上所述: 或 或1. 【点睛】本题考查了轴对称的性质,角平分线的定义,解直角三角形,平行线分线段成比例定理等知识, 解决问题的关键是分类讨论. 19.(23-24九年级上·江苏泰州·阶段练习)“关联”是解决数学问题的重要思维方式.角平分线的有关联 想就有很多… 【问题提出】(1)如图①, 是 的角平分线,求证 . 小明思路:关联“平行线、等腰三角形”,利用“三角形相似”. 小红思路:关联“角平分线上的点到角的两边的距离相等”,利用“等面积 法”. 请根据小明或小红的思路,选择一种并完成证明. 【作图应用】(2)如图②, 是 的弦,在优弧 上作出点P,使得 . 要求:①用直尺和圆规作图;②保留作图的痕迹. 【结论应用】(3)在 中,最大角 是最小角 的2倍,且 ,求 . 40关注公众号:陆陆高分冲刺 ~领取:最新版“小中高考-总复习”、最新试卷下载 【答案】(1)证明见解析;(2)见解析;(3) 【分析】(1)小明思路,作 ,利用平行线分线段成比例定理得到 ,再利用等角对等边 求得 ,即可证明结论; 小红思路,作 ,利用面积法即可证明结论; (2)作弦 的垂直平分线,再作线段 的垂直平分线,利用垂径定理即可求解; (3)利用相似三角形 ,利用相似三角形的性质,即可求出 的长. 【详解】(1)解:小明思路:过点B作 交 的延长线于点D, ∴ , , ∵ 是 的角平分线, ∴ , ∴ , ∴ , ∴ ; 小红思路:分别过点P,C作 ,垂足为D,E,F, ∵ 是 的角平分线, ∴ , 41关注公众号:陆陆高分冲刺 ~领取:最新版“小中高考-总复习”、最新试卷下载 ∵ , , ∴ . ∴ ; (2)解:①作弦 的垂直平分线,交弦 于点D,交 点E, 由垂径定理得 , ②再作线段 的垂直平分线,交弦 于点C, ③连接 并延长交 点P, 点P即为所求; ∵ , ∴ 平分 , ∵ , ∴ , 由(1)的结论得 , 同理,点 也为所求; (3)如图所示,作 的平分线交 于点D, ∵ , , 42关注公众号:陆陆高分冲刺 ~领取:最新版“小中高考-总复习”、最新试卷下载 ∴ , ∴ , ∵ , , ∴ , 又∵ , ∴ , ∴ , ∴ 即 ∴ , ∴ (负值舍去). 【点睛】本题考查了角平分线的性质,线段垂直平分线的作法确定的圆的条件,平行线分线段成比例定理, 相似三角形的性质与判定等知识,解决问题的关键是掌握题意,正确的作出图形. 20.(23-24九年级上·山东济宁·阶段练习)如图1, 的角平分线 交 于点 . (1)①求证: ;②求证: ; (2)①在图2中,作出 的外接圆 ;(用尺规作图,不写作法,保留作图痕迹) ②延长 交 的外接圆于点 ,连接 ,请补充完图形,并利用此图证明 . 43关注公众号:陆陆高分冲刺 ~领取:最新版“小中高考-总复习”、最新试卷下载 【答案】(1)①证明见解析;②证明见解析 (2)①作图见解析,②补图见解析,证明见解析 【分析】(1)①如图 ,作 于 ,作 于 ,则 ,根据 ,证明即可;②如图 ,作 于 ,则 ,进而 结论得证; (2)①由题意知, 的外接圆的圆心为 垂直平分线的交点,作垂直平分线的交点确定圆心, 连接 , 为半径画圆,如图2, 即为所求;②证明 ,则 ,即 ,证明 ,则 ,即 ,根据 ,证明即可. 【详解】(1)①证明:如图 ,作 于 ,作 于 , ∵ 是 的角平分线, , , ∴ , ∴ , ∴ ; ②证明:如图 ,作 于 , 44关注公众号:陆陆高分冲刺 ~领取:最新版“小中高考-总复习”、最新试卷下载 ∴ , ∴ , ∵ , ∴ ; (2)①解:如图2,作 的垂直平分线,交点为 ,连接 ,以 为圆心, 为半径画圆, 即为所求; ②证明:补图如图3, ∵ , ∴ , ∵ , 45关注公众号:陆陆高分冲刺 ~领取:最新版“小中高考-总复习”、最新试卷下载 ∴ , ∴ ,即 , ∵ , ∴ , ∵ , ∴ , ∴ ,即 , ∴ ,∴ . 【点睛】本题考查了角平分线,角平分线的性质定理,三角形外接圆,作垂线,同弧所对的圆周角相等, 相似三角形的判定与性质.熟练掌握角平分线的性质定理,三角形外接圆,相似三角形的判定与性质是解 题的关键. 46关注公众号:陆陆高分冲刺 ~领取:最新版“小中高考-总复习”、最新试卷下载 47
基本 文件 流程 错误 SQL 调试
  1. 请求信息 : 2026-03-01 09:40:35 HTTP/1.1 GET : https://www.yeyulingfeng.com/wendang/329981.html
  2. 运行时间 : 0.080580s [ 吞吐率:12.41req/s ] 内存消耗:6,115.15kb 文件加载:144
  3. 缓存信息 : 0 reads,0 writes
  4. 会话信息 : SESSION_ID=d4ee0af752511cb608c46bcd15896ed9
  1. /yingpanguazai/ssd/ssd1/www/wwww.yeyulingfeng.com/public/index.php ( 0.79 KB )
  2. /yingpanguazai/ssd/ssd1/www/wwww.yeyulingfeng.com/vendor/autoload.php ( 0.17 KB )
  3. /yingpanguazai/ssd/ssd1/www/wwww.yeyulingfeng.com/vendor/composer/autoload_real.php ( 2.49 KB )
  4. /yingpanguazai/ssd/ssd1/www/wwww.yeyulingfeng.com/vendor/composer/platform_check.php ( 0.90 KB )
  5. /yingpanguazai/ssd/ssd1/www/wwww.yeyulingfeng.com/vendor/composer/ClassLoader.php ( 14.03 KB )
  6. /yingpanguazai/ssd/ssd1/www/wwww.yeyulingfeng.com/vendor/composer/autoload_static.php ( 6.05 KB )
  7. /yingpanguazai/ssd/ssd1/www/wwww.yeyulingfeng.com/vendor/topthink/think-helper/src/helper.php ( 8.34 KB )
  8. /yingpanguazai/ssd/ssd1/www/wwww.yeyulingfeng.com/vendor/topthink/think-validate/src/helper.php ( 2.19 KB )
  9. /yingpanguazai/ssd/ssd1/www/wwww.yeyulingfeng.com/vendor/ralouphie/getallheaders/src/getallheaders.php ( 1.60 KB )
  10. /yingpanguazai/ssd/ssd1/www/wwww.yeyulingfeng.com/vendor/topthink/think-orm/src/helper.php ( 1.47 KB )
  11. /yingpanguazai/ssd/ssd1/www/wwww.yeyulingfeng.com/vendor/topthink/think-orm/stubs/load_stubs.php ( 0.16 KB )
  12. /yingpanguazai/ssd/ssd1/www/wwww.yeyulingfeng.com/vendor/topthink/framework/src/think/Exception.php ( 1.69 KB )
  13. /yingpanguazai/ssd/ssd1/www/wwww.yeyulingfeng.com/vendor/topthink/think-container/src/Facade.php ( 2.71 KB )
  14. /yingpanguazai/ssd/ssd1/www/wwww.yeyulingfeng.com/vendor/symfony/deprecation-contracts/function.php ( 0.99 KB )
  15. /yingpanguazai/ssd/ssd1/www/wwww.yeyulingfeng.com/vendor/symfony/polyfill-mbstring/bootstrap.php ( 8.26 KB )
  16. /yingpanguazai/ssd/ssd1/www/wwww.yeyulingfeng.com/vendor/symfony/polyfill-mbstring/bootstrap80.php ( 9.78 KB )
  17. /yingpanguazai/ssd/ssd1/www/wwww.yeyulingfeng.com/vendor/symfony/var-dumper/Resources/functions/dump.php ( 1.49 KB )
  18. /yingpanguazai/ssd/ssd1/www/wwww.yeyulingfeng.com/vendor/topthink/think-dumper/src/helper.php ( 0.18 KB )
  19. /yingpanguazai/ssd/ssd1/www/wwww.yeyulingfeng.com/vendor/symfony/var-dumper/VarDumper.php ( 4.30 KB )
  20. /yingpanguazai/ssd/ssd1/www/wwww.yeyulingfeng.com/vendor/guzzlehttp/guzzle/src/functions_include.php ( 0.16 KB )
  21. /yingpanguazai/ssd/ssd1/www/wwww.yeyulingfeng.com/vendor/guzzlehttp/guzzle/src/functions.php ( 5.54 KB )
  22. /yingpanguazai/ssd/ssd1/www/wwww.yeyulingfeng.com/vendor/topthink/framework/src/think/App.php ( 15.30 KB )
  23. /yingpanguazai/ssd/ssd1/www/wwww.yeyulingfeng.com/vendor/topthink/think-container/src/Container.php ( 15.76 KB )
  24. /yingpanguazai/ssd/ssd1/www/wwww.yeyulingfeng.com/vendor/psr/container/src/ContainerInterface.php ( 1.02 KB )
  25. /yingpanguazai/ssd/ssd1/www/wwww.yeyulingfeng.com/app/provider.php ( 0.19 KB )
  26. /yingpanguazai/ssd/ssd1/www/wwww.yeyulingfeng.com/vendor/topthink/framework/src/think/Http.php ( 6.04 KB )
  27. /yingpanguazai/ssd/ssd1/www/wwww.yeyulingfeng.com/vendor/topthink/think-helper/src/helper/Str.php ( 7.29 KB )
  28. /yingpanguazai/ssd/ssd1/www/wwww.yeyulingfeng.com/vendor/topthink/framework/src/think/Env.php ( 4.68 KB )
  29. /yingpanguazai/ssd/ssd1/www/wwww.yeyulingfeng.com/app/common.php ( 0.03 KB )
  30. /yingpanguazai/ssd/ssd1/www/wwww.yeyulingfeng.com/vendor/topthink/framework/src/helper.php ( 18.78 KB )
  31. /yingpanguazai/ssd/ssd1/www/wwww.yeyulingfeng.com/vendor/topthink/framework/src/think/Config.php ( 5.54 KB )
  32. /yingpanguazai/ssd/ssd1/www/wwww.yeyulingfeng.com/config/alipay.php ( 3.59 KB )
  33. /yingpanguazai/ssd/ssd1/www/wwww.yeyulingfeng.com/vendor/topthink/framework/src/think/facade/Env.php ( 1.67 KB )
  34. /yingpanguazai/ssd/ssd1/www/wwww.yeyulingfeng.com/config/app.php ( 0.95 KB )
  35. /yingpanguazai/ssd/ssd1/www/wwww.yeyulingfeng.com/config/cache.php ( 0.78 KB )
  36. /yingpanguazai/ssd/ssd1/www/wwww.yeyulingfeng.com/config/console.php ( 0.23 KB )
  37. /yingpanguazai/ssd/ssd1/www/wwww.yeyulingfeng.com/config/cookie.php ( 0.56 KB )
  38. /yingpanguazai/ssd/ssd1/www/wwww.yeyulingfeng.com/config/database.php ( 2.48 KB )
  39. /yingpanguazai/ssd/ssd1/www/wwww.yeyulingfeng.com/config/filesystem.php ( 0.61 KB )
  40. /yingpanguazai/ssd/ssd1/www/wwww.yeyulingfeng.com/config/lang.php ( 0.91 KB )
  41. /yingpanguazai/ssd/ssd1/www/wwww.yeyulingfeng.com/config/log.php ( 1.35 KB )
  42. /yingpanguazai/ssd/ssd1/www/wwww.yeyulingfeng.com/config/middleware.php ( 0.19 KB )
  43. /yingpanguazai/ssd/ssd1/www/wwww.yeyulingfeng.com/config/route.php ( 1.89 KB )
  44. /yingpanguazai/ssd/ssd1/www/wwww.yeyulingfeng.com/config/session.php ( 0.57 KB )
  45. /yingpanguazai/ssd/ssd1/www/wwww.yeyulingfeng.com/config/trace.php ( 0.34 KB )
  46. /yingpanguazai/ssd/ssd1/www/wwww.yeyulingfeng.com/config/view.php ( 0.82 KB )
  47. /yingpanguazai/ssd/ssd1/www/wwww.yeyulingfeng.com/app/event.php ( 0.25 KB )
  48. /yingpanguazai/ssd/ssd1/www/wwww.yeyulingfeng.com/vendor/topthink/framework/src/think/Event.php ( 7.67 KB )
  49. /yingpanguazai/ssd/ssd1/www/wwww.yeyulingfeng.com/app/service.php ( 0.13 KB )
  50. /yingpanguazai/ssd/ssd1/www/wwww.yeyulingfeng.com/app/AppService.php ( 0.26 KB )
  51. /yingpanguazai/ssd/ssd1/www/wwww.yeyulingfeng.com/vendor/topthink/framework/src/think/Service.php ( 1.64 KB )
  52. /yingpanguazai/ssd/ssd1/www/wwww.yeyulingfeng.com/vendor/topthink/framework/src/think/Lang.php ( 7.35 KB )
  53. /yingpanguazai/ssd/ssd1/www/wwww.yeyulingfeng.com/vendor/topthink/framework/src/lang/zh-cn.php ( 13.70 KB )
  54. /yingpanguazai/ssd/ssd1/www/wwww.yeyulingfeng.com/vendor/topthink/framework/src/think/initializer/Error.php ( 3.31 KB )
  55. /yingpanguazai/ssd/ssd1/www/wwww.yeyulingfeng.com/vendor/topthink/framework/src/think/initializer/RegisterService.php ( 1.33 KB )
  56. /yingpanguazai/ssd/ssd1/www/wwww.yeyulingfeng.com/vendor/services.php ( 0.14 KB )
  57. /yingpanguazai/ssd/ssd1/www/wwww.yeyulingfeng.com/vendor/topthink/framework/src/think/service/PaginatorService.php ( 1.52 KB )
  58. /yingpanguazai/ssd/ssd1/www/wwww.yeyulingfeng.com/vendor/topthink/framework/src/think/service/ValidateService.php ( 0.99 KB )
  59. /yingpanguazai/ssd/ssd1/www/wwww.yeyulingfeng.com/vendor/topthink/framework/src/think/service/ModelService.php ( 2.04 KB )
  60. /yingpanguazai/ssd/ssd1/www/wwww.yeyulingfeng.com/vendor/topthink/think-trace/src/Service.php ( 0.77 KB )
  61. /yingpanguazai/ssd/ssd1/www/wwww.yeyulingfeng.com/vendor/topthink/framework/src/think/Middleware.php ( 6.72 KB )
  62. /yingpanguazai/ssd/ssd1/www/wwww.yeyulingfeng.com/vendor/topthink/framework/src/think/initializer/BootService.php ( 0.77 KB )
  63. /yingpanguazai/ssd/ssd1/www/wwww.yeyulingfeng.com/vendor/topthink/think-orm/src/Paginator.php ( 11.86 KB )
  64. /yingpanguazai/ssd/ssd1/www/wwww.yeyulingfeng.com/vendor/topthink/think-validate/src/Validate.php ( 63.20 KB )
  65. /yingpanguazai/ssd/ssd1/www/wwww.yeyulingfeng.com/vendor/topthink/think-orm/src/Model.php ( 23.55 KB )
  66. /yingpanguazai/ssd/ssd1/www/wwww.yeyulingfeng.com/vendor/topthink/think-orm/src/model/concern/Attribute.php ( 21.05 KB )
  67. /yingpanguazai/ssd/ssd1/www/wwww.yeyulingfeng.com/vendor/topthink/think-orm/src/model/concern/AutoWriteData.php ( 4.21 KB )
  68. /yingpanguazai/ssd/ssd1/www/wwww.yeyulingfeng.com/vendor/topthink/think-orm/src/model/concern/Conversion.php ( 6.44 KB )
  69. /yingpanguazai/ssd/ssd1/www/wwww.yeyulingfeng.com/vendor/topthink/think-orm/src/model/concern/DbConnect.php ( 5.16 KB )
  70. /yingpanguazai/ssd/ssd1/www/wwww.yeyulingfeng.com/vendor/topthink/think-orm/src/model/concern/ModelEvent.php ( 2.33 KB )
  71. /yingpanguazai/ssd/ssd1/www/wwww.yeyulingfeng.com/vendor/topthink/think-orm/src/model/concern/RelationShip.php ( 28.29 KB )
  72. /yingpanguazai/ssd/ssd1/www/wwww.yeyulingfeng.com/vendor/topthink/think-helper/src/contract/Arrayable.php ( 0.09 KB )
  73. /yingpanguazai/ssd/ssd1/www/wwww.yeyulingfeng.com/vendor/topthink/think-helper/src/contract/Jsonable.php ( 0.13 KB )
  74. /yingpanguazai/ssd/ssd1/www/wwww.yeyulingfeng.com/vendor/topthink/think-orm/src/model/contract/Modelable.php ( 0.09 KB )
  75. /yingpanguazai/ssd/ssd1/www/wwww.yeyulingfeng.com/vendor/topthink/framework/src/think/Db.php ( 2.88 KB )
  76. /yingpanguazai/ssd/ssd1/www/wwww.yeyulingfeng.com/vendor/topthink/think-orm/src/DbManager.php ( 8.52 KB )
  77. /yingpanguazai/ssd/ssd1/www/wwww.yeyulingfeng.com/vendor/topthink/framework/src/think/Log.php ( 6.28 KB )
  78. /yingpanguazai/ssd/ssd1/www/wwww.yeyulingfeng.com/vendor/topthink/framework/src/think/Manager.php ( 3.92 KB )
  79. /yingpanguazai/ssd/ssd1/www/wwww.yeyulingfeng.com/vendor/psr/log/src/LoggerTrait.php ( 2.69 KB )
  80. /yingpanguazai/ssd/ssd1/www/wwww.yeyulingfeng.com/vendor/psr/log/src/LoggerInterface.php ( 2.71 KB )
  81. /yingpanguazai/ssd/ssd1/www/wwww.yeyulingfeng.com/vendor/topthink/framework/src/think/Cache.php ( 4.92 KB )
  82. /yingpanguazai/ssd/ssd1/www/wwww.yeyulingfeng.com/vendor/psr/simple-cache/src/CacheInterface.php ( 4.71 KB )
  83. /yingpanguazai/ssd/ssd1/www/wwww.yeyulingfeng.com/vendor/topthink/think-helper/src/helper/Arr.php ( 16.63 KB )
  84. /yingpanguazai/ssd/ssd1/www/wwww.yeyulingfeng.com/vendor/topthink/framework/src/think/cache/driver/File.php ( 7.84 KB )
  85. /yingpanguazai/ssd/ssd1/www/wwww.yeyulingfeng.com/vendor/topthink/framework/src/think/cache/Driver.php ( 9.03 KB )
  86. /yingpanguazai/ssd/ssd1/www/wwww.yeyulingfeng.com/vendor/topthink/framework/src/think/contract/CacheHandlerInterface.php ( 1.99 KB )
  87. /yingpanguazai/ssd/ssd1/www/wwww.yeyulingfeng.com/app/Request.php ( 0.09 KB )
  88. /yingpanguazai/ssd/ssd1/www/wwww.yeyulingfeng.com/vendor/topthink/framework/src/think/Request.php ( 55.78 KB )
  89. /yingpanguazai/ssd/ssd1/www/wwww.yeyulingfeng.com/app/middleware.php ( 0.25 KB )
  90. /yingpanguazai/ssd/ssd1/www/wwww.yeyulingfeng.com/vendor/topthink/framework/src/think/Pipeline.php ( 2.61 KB )
  91. /yingpanguazai/ssd/ssd1/www/wwww.yeyulingfeng.com/vendor/topthink/think-trace/src/TraceDebug.php ( 3.40 KB )
  92. /yingpanguazai/ssd/ssd1/www/wwww.yeyulingfeng.com/vendor/topthink/framework/src/think/middleware/SessionInit.php ( 1.94 KB )
  93. /yingpanguazai/ssd/ssd1/www/wwww.yeyulingfeng.com/vendor/topthink/framework/src/think/Session.php ( 1.80 KB )
  94. /yingpanguazai/ssd/ssd1/www/wwww.yeyulingfeng.com/vendor/topthink/framework/src/think/session/driver/File.php ( 6.27 KB )
  95. /yingpanguazai/ssd/ssd1/www/wwww.yeyulingfeng.com/vendor/topthink/framework/src/think/contract/SessionHandlerInterface.php ( 0.87 KB )
  96. /yingpanguazai/ssd/ssd1/www/wwww.yeyulingfeng.com/vendor/topthink/framework/src/think/session/Store.php ( 7.12 KB )
  97. /yingpanguazai/ssd/ssd1/www/wwww.yeyulingfeng.com/vendor/topthink/framework/src/think/Route.php ( 23.73 KB )
  98. /yingpanguazai/ssd/ssd1/www/wwww.yeyulingfeng.com/vendor/topthink/framework/src/think/route/RuleName.php ( 5.75 KB )
  99. /yingpanguazai/ssd/ssd1/www/wwww.yeyulingfeng.com/vendor/topthink/framework/src/think/route/Domain.php ( 2.53 KB )
  100. /yingpanguazai/ssd/ssd1/www/wwww.yeyulingfeng.com/vendor/topthink/framework/src/think/route/RuleGroup.php ( 22.43 KB )
  101. /yingpanguazai/ssd/ssd1/www/wwww.yeyulingfeng.com/vendor/topthink/framework/src/think/route/Rule.php ( 26.95 KB )
  102. /yingpanguazai/ssd/ssd1/www/wwww.yeyulingfeng.com/vendor/topthink/framework/src/think/route/RuleItem.php ( 9.78 KB )
  103. /yingpanguazai/ssd/ssd1/www/wwww.yeyulingfeng.com/route/app.php ( 3.52 KB )
  104. /yingpanguazai/ssd/ssd1/www/wwww.yeyulingfeng.com/vendor/topthink/framework/src/think/facade/Route.php ( 4.70 KB )
  105. /yingpanguazai/ssd/ssd1/www/wwww.yeyulingfeng.com/vendor/topthink/framework/src/think/route/dispatch/Controller.php ( 4.74 KB )
  106. /yingpanguazai/ssd/ssd1/www/wwww.yeyulingfeng.com/vendor/topthink/framework/src/think/route/Dispatch.php ( 10.44 KB )
  107. /yingpanguazai/ssd/ssd1/www/wwww.yeyulingfeng.com/app/controller/Index.php ( 10.53 KB )
  108. /yingpanguazai/ssd/ssd1/www/wwww.yeyulingfeng.com/app/BaseController.php ( 2.05 KB )
  109. /yingpanguazai/ssd/ssd1/www/wwww.yeyulingfeng.com/vendor/topthink/think-orm/src/facade/Db.php ( 0.93 KB )
  110. /yingpanguazai/ssd/ssd1/www/wwww.yeyulingfeng.com/vendor/topthink/think-orm/src/db/connector/Mysql.php ( 5.44 KB )
  111. /yingpanguazai/ssd/ssd1/www/wwww.yeyulingfeng.com/vendor/topthink/think-orm/src/db/PDOConnection.php ( 52.47 KB )
  112. /yingpanguazai/ssd/ssd1/www/wwww.yeyulingfeng.com/vendor/topthink/think-orm/src/db/Connection.php ( 8.39 KB )
  113. /yingpanguazai/ssd/ssd1/www/wwww.yeyulingfeng.com/vendor/topthink/think-orm/src/db/ConnectionInterface.php ( 4.57 KB )
  114. /yingpanguazai/ssd/ssd1/www/wwww.yeyulingfeng.com/vendor/topthink/think-orm/src/db/builder/Mysql.php ( 16.58 KB )
  115. /yingpanguazai/ssd/ssd1/www/wwww.yeyulingfeng.com/vendor/topthink/think-orm/src/db/Builder.php ( 24.06 KB )
  116. /yingpanguazai/ssd/ssd1/www/wwww.yeyulingfeng.com/vendor/topthink/think-orm/src/db/BaseBuilder.php ( 27.50 KB )
  117. /yingpanguazai/ssd/ssd1/www/wwww.yeyulingfeng.com/vendor/topthink/think-orm/src/db/Query.php ( 15.71 KB )
  118. /yingpanguazai/ssd/ssd1/www/wwww.yeyulingfeng.com/vendor/topthink/think-orm/src/db/BaseQuery.php ( 45.13 KB )
  119. /yingpanguazai/ssd/ssd1/www/wwww.yeyulingfeng.com/vendor/topthink/think-orm/src/db/concern/TimeFieldQuery.php ( 7.43 KB )
  120. /yingpanguazai/ssd/ssd1/www/wwww.yeyulingfeng.com/vendor/topthink/think-orm/src/db/concern/AggregateQuery.php ( 3.26 KB )
  121. /yingpanguazai/ssd/ssd1/www/wwww.yeyulingfeng.com/vendor/topthink/think-orm/src/db/concern/ModelRelationQuery.php ( 20.07 KB )
  122. /yingpanguazai/ssd/ssd1/www/wwww.yeyulingfeng.com/vendor/topthink/think-orm/src/db/concern/ParamsBind.php ( 3.66 KB )
  123. /yingpanguazai/ssd/ssd1/www/wwww.yeyulingfeng.com/vendor/topthink/think-orm/src/db/concern/ResultOperation.php ( 7.01 KB )
  124. /yingpanguazai/ssd/ssd1/www/wwww.yeyulingfeng.com/vendor/topthink/think-orm/src/db/concern/WhereQuery.php ( 19.37 KB )
  125. /yingpanguazai/ssd/ssd1/www/wwww.yeyulingfeng.com/vendor/topthink/think-orm/src/db/concern/JoinAndViewQuery.php ( 7.11 KB )
  126. /yingpanguazai/ssd/ssd1/www/wwww.yeyulingfeng.com/vendor/topthink/think-orm/src/db/concern/TableFieldInfo.php ( 2.63 KB )
  127. /yingpanguazai/ssd/ssd1/www/wwww.yeyulingfeng.com/vendor/topthink/think-orm/src/db/concern/Transaction.php ( 2.77 KB )
  128. /yingpanguazai/ssd/ssd1/www/wwww.yeyulingfeng.com/vendor/topthink/framework/src/think/log/driver/File.php ( 5.96 KB )
  129. /yingpanguazai/ssd/ssd1/www/wwww.yeyulingfeng.com/vendor/topthink/framework/src/think/contract/LogHandlerInterface.php ( 0.86 KB )
  130. /yingpanguazai/ssd/ssd1/www/wwww.yeyulingfeng.com/vendor/topthink/framework/src/think/log/Channel.php ( 3.89 KB )
  131. /yingpanguazai/ssd/ssd1/www/wwww.yeyulingfeng.com/vendor/topthink/framework/src/think/event/LogRecord.php ( 1.02 KB )
  132. /yingpanguazai/ssd/ssd1/www/wwww.yeyulingfeng.com/vendor/topthink/think-helper/src/Collection.php ( 16.47 KB )
  133. /yingpanguazai/ssd/ssd1/www/wwww.yeyulingfeng.com/vendor/topthink/framework/src/think/facade/View.php ( 1.70 KB )
  134. /yingpanguazai/ssd/ssd1/www/wwww.yeyulingfeng.com/vendor/topthink/framework/src/think/View.php ( 4.39 KB )
  135. /yingpanguazai/ssd/ssd1/www/wwww.yeyulingfeng.com/vendor/topthink/framework/src/think/Response.php ( 8.81 KB )
  136. /yingpanguazai/ssd/ssd1/www/wwww.yeyulingfeng.com/vendor/topthink/framework/src/think/response/View.php ( 3.29 KB )
  137. /yingpanguazai/ssd/ssd1/www/wwww.yeyulingfeng.com/vendor/topthink/framework/src/think/Cookie.php ( 6.06 KB )
  138. /yingpanguazai/ssd/ssd1/www/wwww.yeyulingfeng.com/vendor/topthink/think-view/src/Think.php ( 8.38 KB )
  139. /yingpanguazai/ssd/ssd1/www/wwww.yeyulingfeng.com/vendor/topthink/framework/src/think/contract/TemplateHandlerInterface.php ( 1.60 KB )
  140. /yingpanguazai/ssd/ssd1/www/wwww.yeyulingfeng.com/vendor/topthink/think-template/src/Template.php ( 46.61 KB )
  141. /yingpanguazai/ssd/ssd1/www/wwww.yeyulingfeng.com/vendor/topthink/think-template/src/template/driver/File.php ( 2.41 KB )
  142. /yingpanguazai/ssd/ssd1/www/wwww.yeyulingfeng.com/vendor/topthink/think-template/src/template/contract/DriverInterface.php ( 0.86 KB )
  143. /yingpanguazai/ssd/ssd1/www/wwww.yeyulingfeng.com/runtime/temp/10a0c909b6afa23b5a52a2e2d58c3c0f.php ( 21.70 KB )
  144. /yingpanguazai/ssd/ssd1/www/wwww.yeyulingfeng.com/vendor/topthink/think-trace/src/Html.php ( 4.42 KB )
  1. CONNECT:[ UseTime:0.000518s ] mysql:host=127.0.0.1;port=3306;dbname=wenku;charset=utf8mb4
  2. SHOW FULL COLUMNS FROM `fenlei` [ RunTime:0.000604s ]
  3. SELECT * FROM `fenlei` WHERE `fid` = 0 [ RunTime:0.000285s ]
  4. SELECT * FROM `fenlei` WHERE `fid` = 63 [ RunTime:0.000310s ]
  5. SHOW FULL COLUMNS FROM `set` [ RunTime:0.000512s ]
  6. SELECT * FROM `set` [ RunTime:0.000214s ]
  7. SHOW FULL COLUMNS FROM `wendang` [ RunTime:0.000581s ]
  8. SELECT * FROM `wendang` WHERE `id` = 329981 LIMIT 1 [ RunTime:0.000532s ]
  9. UPDATE `wendang` SET `liulancishu` = 3 WHERE `id` = 329981 [ RunTime:0.001765s ]
  10. UPDATE `wendang` SET `lasttime` = 1772329235 WHERE `id` = 329981 [ RunTime:0.000630s ]
  11. SELECT * FROM `wendang` WHERE `id` < 329981 ORDER BY `id` DESC LIMIT 1 [ RunTime:0.000584s ]
  12. SELECT * FROM `wendang` WHERE `id` > 329981 ORDER BY `id` ASC LIMIT 1 [ RunTime:0.000465s ]
  13. SELECT * FROM `wendang` WHERE `id` <> 329981 ORDER BY `id` DESC LIMIT 10 [ RunTime:0.001174s ]
  14. SELECT * FROM `wendang` WHERE `id` <> 329981 ORDER BY `id` DESC LIMIT 10,10 [ RunTime:0.001515s ]
  15. SELECT * FROM `wendang` WHERE `id` <> 329981 ORDER BY `id` DESC LIMIT 20,10 [ RunTime:0.001323s ]
0.082104s