当前位置:首页>文档>❤重难点04二次函数中的平移、翻折、对称、旋转、折叠问题(解析版)_02中考总复习(2026版更新中)_02-数学-中考总复习_2024年中考复习资料_一轮复习资料_重难点突破_解析版

❤重难点04二次函数中的平移、翻折、对称、旋转、折叠问题(解析版)_02中考总复习(2026版更新中)_02-数学-中考总复习_2024年中考复习资料_一轮复习资料_重难点突破_解析版

  • 2026-03-03 04:01:44 2026-03-03 04:00:25

文档预览

❤重难点04二次函数中的平移、翻折、对称、旋转、折叠问题(解析版)_02中考总复习(2026版更新中)_02-数学-中考总复习_2024年中考复习资料_一轮复习资料_重难点突破_解析版
❤重难点04二次函数中的平移、翻折、对称、旋转、折叠问题(解析版)_02中考总复习(2026版更新中)_02-数学-中考总复习_2024年中考复习资料_一轮复习资料_重难点突破_解析版
❤重难点04二次函数中的平移、翻折、对称、旋转、折叠问题(解析版)_02中考总复习(2026版更新中)_02-数学-中考总复习_2024年中考复习资料_一轮复习资料_重难点突破_解析版
❤重难点04二次函数中的平移、翻折、对称、旋转、折叠问题(解析版)_02中考总复习(2026版更新中)_02-数学-中考总复习_2024年中考复习资料_一轮复习资料_重难点突破_解析版
❤重难点04二次函数中的平移、翻折、对称、旋转、折叠问题(解析版)_02中考总复习(2026版更新中)_02-数学-中考总复习_2024年中考复习资料_一轮复习资料_重难点突破_解析版
❤重难点04二次函数中的平移、翻折、对称、旋转、折叠问题(解析版)_02中考总复习(2026版更新中)_02-数学-中考总复习_2024年中考复习资料_一轮复习资料_重难点突破_解析版
❤重难点04二次函数中的平移、翻折、对称、旋转、折叠问题(解析版)_02中考总复习(2026版更新中)_02-数学-中考总复习_2024年中考复习资料_一轮复习资料_重难点突破_解析版
❤重难点04二次函数中的平移、翻折、对称、旋转、折叠问题(解析版)_02中考总复习(2026版更新中)_02-数学-中考总复习_2024年中考复习资料_一轮复习资料_重难点突破_解析版
❤重难点04二次函数中的平移、翻折、对称、旋转、折叠问题(解析版)_02中考总复习(2026版更新中)_02-数学-中考总复习_2024年中考复习资料_一轮复习资料_重难点突破_解析版
❤重难点04二次函数中的平移、翻折、对称、旋转、折叠问题(解析版)_02中考总复习(2026版更新中)_02-数学-中考总复习_2024年中考复习资料_一轮复习资料_重难点突破_解析版
❤重难点04二次函数中的平移、翻折、对称、旋转、折叠问题(解析版)_02中考总复习(2026版更新中)_02-数学-中考总复习_2024年中考复习资料_一轮复习资料_重难点突破_解析版
❤重难点04二次函数中的平移、翻折、对称、旋转、折叠问题(解析版)_02中考总复习(2026版更新中)_02-数学-中考总复习_2024年中考复习资料_一轮复习资料_重难点突破_解析版
❤重难点04二次函数中的平移、翻折、对称、旋转、折叠问题(解析版)_02中考总复习(2026版更新中)_02-数学-中考总复习_2024年中考复习资料_一轮复习资料_重难点突破_解析版
❤重难点04二次函数中的平移、翻折、对称、旋转、折叠问题(解析版)_02中考总复习(2026版更新中)_02-数学-中考总复习_2024年中考复习资料_一轮复习资料_重难点突破_解析版
❤重难点04二次函数中的平移、翻折、对称、旋转、折叠问题(解析版)_02中考总复习(2026版更新中)_02-数学-中考总复习_2024年中考复习资料_一轮复习资料_重难点突破_解析版
❤重难点04二次函数中的平移、翻折、对称、旋转、折叠问题(解析版)_02中考总复习(2026版更新中)_02-数学-中考总复习_2024年中考复习资料_一轮复习资料_重难点突破_解析版
❤重难点04二次函数中的平移、翻折、对称、旋转、折叠问题(解析版)_02中考总复习(2026版更新中)_02-数学-中考总复习_2024年中考复习资料_一轮复习资料_重难点突破_解析版
❤重难点04二次函数中的平移、翻折、对称、旋转、折叠问题(解析版)_02中考总复习(2026版更新中)_02-数学-中考总复习_2024年中考复习资料_一轮复习资料_重难点突破_解析版
❤重难点04二次函数中的平移、翻折、对称、旋转、折叠问题(解析版)_02中考总复习(2026版更新中)_02-数学-中考总复习_2024年中考复习资料_一轮复习资料_重难点突破_解析版
❤重难点04二次函数中的平移、翻折、对称、旋转、折叠问题(解析版)_02中考总复习(2026版更新中)_02-数学-中考总复习_2024年中考复习资料_一轮复习资料_重难点突破_解析版
❤重难点04二次函数中的平移、翻折、对称、旋转、折叠问题(解析版)_02中考总复习(2026版更新中)_02-数学-中考总复习_2024年中考复习资料_一轮复习资料_重难点突破_解析版
❤重难点04二次函数中的平移、翻折、对称、旋转、折叠问题(解析版)_02中考总复习(2026版更新中)_02-数学-中考总复习_2024年中考复习资料_一轮复习资料_重难点突破_解析版
❤重难点04二次函数中的平移、翻折、对称、旋转、折叠问题(解析版)_02中考总复习(2026版更新中)_02-数学-中考总复习_2024年中考复习资料_一轮复习资料_重难点突破_解析版
❤重难点04二次函数中的平移、翻折、对称、旋转、折叠问题(解析版)_02中考总复习(2026版更新中)_02-数学-中考总复习_2024年中考复习资料_一轮复习资料_重难点突破_解析版
❤重难点04二次函数中的平移、翻折、对称、旋转、折叠问题(解析版)_02中考总复习(2026版更新中)_02-数学-中考总复习_2024年中考复习资料_一轮复习资料_重难点突破_解析版
❤重难点04二次函数中的平移、翻折、对称、旋转、折叠问题(解析版)_02中考总复习(2026版更新中)_02-数学-中考总复习_2024年中考复习资料_一轮复习资料_重难点突破_解析版
❤重难点04二次函数中的平移、翻折、对称、旋转、折叠问题(解析版)_02中考总复习(2026版更新中)_02-数学-中考总复习_2024年中考复习资料_一轮复习资料_重难点突破_解析版
❤重难点04二次函数中的平移、翻折、对称、旋转、折叠问题(解析版)_02中考总复习(2026版更新中)_02-数学-中考总复习_2024年中考复习资料_一轮复习资料_重难点突破_解析版
❤重难点04二次函数中的平移、翻折、对称、旋转、折叠问题(解析版)_02中考总复习(2026版更新中)_02-数学-中考总复习_2024年中考复习资料_一轮复习资料_重难点突破_解析版
❤重难点04二次函数中的平移、翻折、对称、旋转、折叠问题(解析版)_02中考总复习(2026版更新中)_02-数学-中考总复习_2024年中考复习资料_一轮复习资料_重难点突破_解析版
❤重难点04二次函数中的平移、翻折、对称、旋转、折叠问题(解析版)_02中考总复习(2026版更新中)_02-数学-中考总复习_2024年中考复习资料_一轮复习资料_重难点突破_解析版
❤重难点04二次函数中的平移、翻折、对称、旋转、折叠问题(解析版)_02中考总复习(2026版更新中)_02-数学-中考总复习_2024年中考复习资料_一轮复习资料_重难点突破_解析版
❤重难点04二次函数中的平移、翻折、对称、旋转、折叠问题(解析版)_02中考总复习(2026版更新中)_02-数学-中考总复习_2024年中考复习资料_一轮复习资料_重难点突破_解析版
❤重难点04二次函数中的平移、翻折、对称、旋转、折叠问题(解析版)_02中考总复习(2026版更新中)_02-数学-中考总复习_2024年中考复习资料_一轮复习资料_重难点突破_解析版
❤重难点04二次函数中的平移、翻折、对称、旋转、折叠问题(解析版)_02中考总复习(2026版更新中)_02-数学-中考总复习_2024年中考复习资料_一轮复习资料_重难点突破_解析版
❤重难点04二次函数中的平移、翻折、对称、旋转、折叠问题(解析版)_02中考总复习(2026版更新中)_02-数学-中考总复习_2024年中考复习资料_一轮复习资料_重难点突破_解析版
❤重难点04二次函数中的平移、翻折、对称、旋转、折叠问题(解析版)_02中考总复习(2026版更新中)_02-数学-中考总复习_2024年中考复习资料_一轮复习资料_重难点突破_解析版
❤重难点04二次函数中的平移、翻折、对称、旋转、折叠问题(解析版)_02中考总复习(2026版更新中)_02-数学-中考总复习_2024年中考复习资料_一轮复习资料_重难点突破_解析版
❤重难点04二次函数中的平移、翻折、对称、旋转、折叠问题(解析版)_02中考总复习(2026版更新中)_02-数学-中考总复习_2024年中考复习资料_一轮复习资料_重难点突破_解析版
❤重难点04二次函数中的平移、翻折、对称、旋转、折叠问题(解析版)_02中考总复习(2026版更新中)_02-数学-中考总复习_2024年中考复习资料_一轮复习资料_重难点突破_解析版
❤重难点04二次函数中的平移、翻折、对称、旋转、折叠问题(解析版)_02中考总复习(2026版更新中)_02-数学-中考总复习_2024年中考复习资料_一轮复习资料_重难点突破_解析版
❤重难点04二次函数中的平移、翻折、对称、旋转、折叠问题(解析版)_02中考总复习(2026版更新中)_02-数学-中考总复习_2024年中考复习资料_一轮复习资料_重难点突破_解析版
❤重难点04二次函数中的平移、翻折、对称、旋转、折叠问题(解析版)_02中考总复习(2026版更新中)_02-数学-中考总复习_2024年中考复习资料_一轮复习资料_重难点突破_解析版
❤重难点04二次函数中的平移、翻折、对称、旋转、折叠问题(解析版)_02中考总复习(2026版更新中)_02-数学-中考总复习_2024年中考复习资料_一轮复习资料_重难点突破_解析版
❤重难点04二次函数中的平移、翻折、对称、旋转、折叠问题(解析版)_02中考总复习(2026版更新中)_02-数学-中考总复习_2024年中考复习资料_一轮复习资料_重难点突破_解析版
❤重难点04二次函数中的平移、翻折、对称、旋转、折叠问题(解析版)_02中考总复习(2026版更新中)_02-数学-中考总复习_2024年中考复习资料_一轮复习资料_重难点突破_解析版
❤重难点04二次函数中的平移、翻折、对称、旋转、折叠问题(解析版)_02中考总复习(2026版更新中)_02-数学-中考总复习_2024年中考复习资料_一轮复习资料_重难点突破_解析版
❤重难点04二次函数中的平移、翻折、对称、旋转、折叠问题(解析版)_02中考总复习(2026版更新中)_02-数学-中考总复习_2024年中考复习资料_一轮复习资料_重难点突破_解析版
❤重难点04二次函数中的平移、翻折、对称、旋转、折叠问题(解析版)_02中考总复习(2026版更新中)_02-数学-中考总复习_2024年中考复习资料_一轮复习资料_重难点突破_解析版
❤重难点04二次函数中的平移、翻折、对称、旋转、折叠问题(解析版)_02中考总复习(2026版更新中)_02-数学-中考总复习_2024年中考复习资料_一轮复习资料_重难点突破_解析版
❤重难点04二次函数中的平移、翻折、对称、旋转、折叠问题(解析版)_02中考总复习(2026版更新中)_02-数学-中考总复习_2024年中考复习资料_一轮复习资料_重难点突破_解析版
❤重难点04二次函数中的平移、翻折、对称、旋转、折叠问题(解析版)_02中考总复习(2026版更新中)_02-数学-中考总复习_2024年中考复习资料_一轮复习资料_重难点突破_解析版
❤重难点04二次函数中的平移、翻折、对称、旋转、折叠问题(解析版)_02中考总复习(2026版更新中)_02-数学-中考总复习_2024年中考复习资料_一轮复习资料_重难点突破_解析版
❤重难点04二次函数中的平移、翻折、对称、旋转、折叠问题(解析版)_02中考总复习(2026版更新中)_02-数学-中考总复习_2024年中考复习资料_一轮复习资料_重难点突破_解析版
❤重难点04二次函数中的平移、翻折、对称、旋转、折叠问题(解析版)_02中考总复习(2026版更新中)_02-数学-中考总复习_2024年中考复习资料_一轮复习资料_重难点突破_解析版
❤重难点04二次函数中的平移、翻折、对称、旋转、折叠问题(解析版)_02中考总复习(2026版更新中)_02-数学-中考总复习_2024年中考复习资料_一轮复习资料_重难点突破_解析版
❤重难点04二次函数中的平移、翻折、对称、旋转、折叠问题(解析版)_02中考总复习(2026版更新中)_02-数学-中考总复习_2024年中考复习资料_一轮复习资料_重难点突破_解析版
❤重难点04二次函数中的平移、翻折、对称、旋转、折叠问题(解析版)_02中考总复习(2026版更新中)_02-数学-中考总复习_2024年中考复习资料_一轮复习资料_重难点突破_解析版
❤重难点04二次函数中的平移、翻折、对称、旋转、折叠问题(解析版)_02中考总复习(2026版更新中)_02-数学-中考总复习_2024年中考复习资料_一轮复习资料_重难点突破_解析版
❤重难点04二次函数中的平移、翻折、对称、旋转、折叠问题(解析版)_02中考总复习(2026版更新中)_02-数学-中考总复习_2024年中考复习资料_一轮复习资料_重难点突破_解析版
❤重难点04二次函数中的平移、翻折、对称、旋转、折叠问题(解析版)_02中考总复习(2026版更新中)_02-数学-中考总复习_2024年中考复习资料_一轮复习资料_重难点突破_解析版
❤重难点04二次函数中的平移、翻折、对称、旋转、折叠问题(解析版)_02中考总复习(2026版更新中)_02-数学-中考总复习_2024年中考复习资料_一轮复习资料_重难点突破_解析版
❤重难点04二次函数中的平移、翻折、对称、旋转、折叠问题(解析版)_02中考总复习(2026版更新中)_02-数学-中考总复习_2024年中考复习资料_一轮复习资料_重难点突破_解析版
❤重难点04二次函数中的平移、翻折、对称、旋转、折叠问题(解析版)_02中考总复习(2026版更新中)_02-数学-中考总复习_2024年中考复习资料_一轮复习资料_重难点突破_解析版
❤重难点04二次函数中的平移、翻折、对称、旋转、折叠问题(解析版)_02中考总复习(2026版更新中)_02-数学-中考总复习_2024年中考复习资料_一轮复习资料_重难点突破_解析版
❤重难点04二次函数中的平移、翻折、对称、旋转、折叠问题(解析版)_02中考总复习(2026版更新中)_02-数学-中考总复习_2024年中考复习资料_一轮复习资料_重难点突破_解析版
❤重难点04二次函数中的平移、翻折、对称、旋转、折叠问题(解析版)_02中考总复习(2026版更新中)_02-数学-中考总复习_2024年中考复习资料_一轮复习资料_重难点突破_解析版
❤重难点04二次函数中的平移、翻折、对称、旋转、折叠问题(解析版)_02中考总复习(2026版更新中)_02-数学-中考总复习_2024年中考复习资料_一轮复习资料_重难点突破_解析版
❤重难点04二次函数中的平移、翻折、对称、旋转、折叠问题(解析版)_02中考总复习(2026版更新中)_02-数学-中考总复习_2024年中考复习资料_一轮复习资料_重难点突破_解析版
❤重难点04二次函数中的平移、翻折、对称、旋转、折叠问题(解析版)_02中考总复习(2026版更新中)_02-数学-中考总复习_2024年中考复习资料_一轮复习资料_重难点突破_解析版
❤重难点04二次函数中的平移、翻折、对称、旋转、折叠问题(解析版)_02中考总复习(2026版更新中)_02-数学-中考总复习_2024年中考复习资料_一轮复习资料_重难点突破_解析版
❤重难点04二次函数中的平移、翻折、对称、旋转、折叠问题(解析版)_02中考总复习(2026版更新中)_02-数学-中考总复习_2024年中考复习资料_一轮复习资料_重难点突破_解析版
❤重难点04二次函数中的平移、翻折、对称、旋转、折叠问题(解析版)_02中考总复习(2026版更新中)_02-数学-中考总复习_2024年中考复习资料_一轮复习资料_重难点突破_解析版
❤重难点04二次函数中的平移、翻折、对称、旋转、折叠问题(解析版)_02中考总复习(2026版更新中)_02-数学-中考总复习_2024年中考复习资料_一轮复习资料_重难点突破_解析版
❤重难点04二次函数中的平移、翻折、对称、旋转、折叠问题(解析版)_02中考总复习(2026版更新中)_02-数学-中考总复习_2024年中考复习资料_一轮复习资料_重难点突破_解析版
❤重难点04二次函数中的平移、翻折、对称、旋转、折叠问题(解析版)_02中考总复习(2026版更新中)_02-数学-中考总复习_2024年中考复习资料_一轮复习资料_重难点突破_解析版
❤重难点04二次函数中的平移、翻折、对称、旋转、折叠问题(解析版)_02中考总复习(2026版更新中)_02-数学-中考总复习_2024年中考复习资料_一轮复习资料_重难点突破_解析版
❤重难点04二次函数中的平移、翻折、对称、旋转、折叠问题(解析版)_02中考总复习(2026版更新中)_02-数学-中考总复习_2024年中考复习资料_一轮复习资料_重难点突破_解析版
❤重难点04二次函数中的平移、翻折、对称、旋转、折叠问题(解析版)_02中考总复习(2026版更新中)_02-数学-中考总复习_2024年中考复习资料_一轮复习资料_重难点突破_解析版
❤重难点04二次函数中的平移、翻折、对称、旋转、折叠问题(解析版)_02中考总复习(2026版更新中)_02-数学-中考总复习_2024年中考复习资料_一轮复习资料_重难点突破_解析版
❤重难点04二次函数中的平移、翻折、对称、旋转、折叠问题(解析版)_02中考总复习(2026版更新中)_02-数学-中考总复习_2024年中考复习资料_一轮复习资料_重难点突破_解析版
❤重难点04二次函数中的平移、翻折、对称、旋转、折叠问题(解析版)_02中考总复习(2026版更新中)_02-数学-中考总复习_2024年中考复习资料_一轮复习资料_重难点突破_解析版
❤重难点04二次函数中的平移、翻折、对称、旋转、折叠问题(解析版)_02中考总复习(2026版更新中)_02-数学-中考总复习_2024年中考复习资料_一轮复习资料_重难点突破_解析版
❤重难点04二次函数中的平移、翻折、对称、旋转、折叠问题(解析版)_02中考总复习(2026版更新中)_02-数学-中考总复习_2024年中考复习资料_一轮复习资料_重难点突破_解析版
❤重难点04二次函数中的平移、翻折、对称、旋转、折叠问题(解析版)_02中考总复习(2026版更新中)_02-数学-中考总复习_2024年中考复习资料_一轮复习资料_重难点突破_解析版
❤重难点04二次函数中的平移、翻折、对称、旋转、折叠问题(解析版)_02中考总复习(2026版更新中)_02-数学-中考总复习_2024年中考复习资料_一轮复习资料_重难点突破_解析版
❤重难点04二次函数中的平移、翻折、对称、旋转、折叠问题(解析版)_02中考总复习(2026版更新中)_02-数学-中考总复习_2024年中考复习资料_一轮复习资料_重难点突破_解析版
❤重难点04二次函数中的平移、翻折、对称、旋转、折叠问题(解析版)_02中考总复习(2026版更新中)_02-数学-中考总复习_2024年中考复习资料_一轮复习资料_重难点突破_解析版
❤重难点04二次函数中的平移、翻折、对称、旋转、折叠问题(解析版)_02中考总复习(2026版更新中)_02-数学-中考总复习_2024年中考复习资料_一轮复习资料_重难点突破_解析版
❤重难点04二次函数中的平移、翻折、对称、旋转、折叠问题(解析版)_02中考总复习(2026版更新中)_02-数学-中考总复习_2024年中考复习资料_一轮复习资料_重难点突破_解析版
❤重难点04二次函数中的平移、翻折、对称、旋转、折叠问题(解析版)_02中考总复习(2026版更新中)_02-数学-中考总复习_2024年中考复习资料_一轮复习资料_重难点突破_解析版
❤重难点04二次函数中的平移、翻折、对称、旋转、折叠问题(解析版)_02中考总复习(2026版更新中)_02-数学-中考总复习_2024年中考复习资料_一轮复习资料_重难点突破_解析版
❤重难点04二次函数中的平移、翻折、对称、旋转、折叠问题(解析版)_02中考总复习(2026版更新中)_02-数学-中考总复习_2024年中考复习资料_一轮复习资料_重难点突破_解析版
❤重难点04二次函数中的平移、翻折、对称、旋转、折叠问题(解析版)_02中考总复习(2026版更新中)_02-数学-中考总复习_2024年中考复习资料_一轮复习资料_重难点突破_解析版

文档信息

文档格式
docx
文档大小
2.732 MB
文档页数
94 页
上传时间
2026-03-03 04:00:25

文档内容

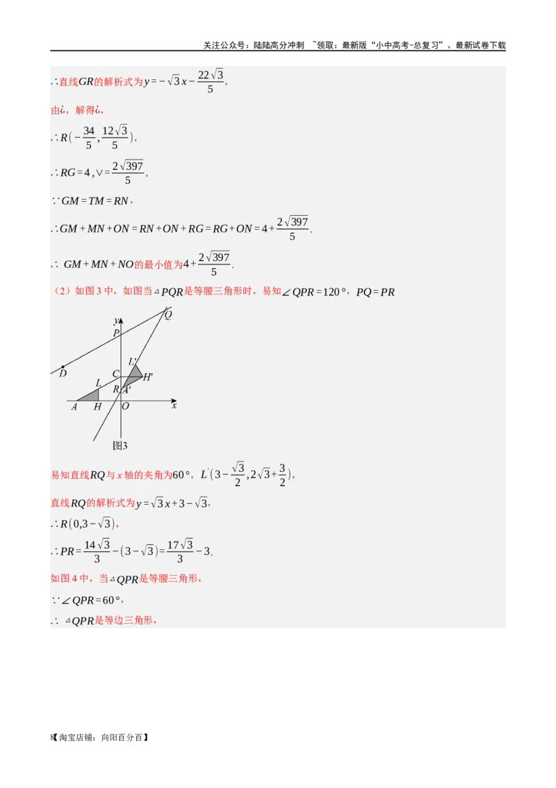
关注公众号:陆陆高分冲刺 ~领取:最新版“小中高考-总复习”、最新试卷下载 重难点突破 04 二次函数中的平移、翻折、 对称、旋转、折叠问题 目 录 题型01 二次函数平移问题 题型02 二次函数翻折问题 题型03 二次函数对称问题 题型04 二次函数旋转问题 题型05 二次函数折叠问题 【1 淘宝店铺:向阳百分百】关注公众号:陆陆高分冲刺 ~领取:最新版“小中高考-总复习”、最新试卷下载 题型 01 二次函数平移问题 1. 二次函数的平移变换 平移方式(n>0) 一般式y=ax2+bx+c 顶点式y=a(x–h) 2+k 平移口诀 向左平移n个单位 y=a(x+n)2+b(x+n)+c y=a(x-h+n) 2+k 左加 向右平移n个单位 y=a(x-n)2+b(x-n)+c y=a(x-h-n)2+k 右减 向上平移n个单位 y=ax2+bx+c+n y=a(x-h)2+k+n 上加 向下平移n个单位 y=ax2+bx+c-n y=a(x-h)2+k-n 下减 2.平移与增加性变化 如果平移后对称轴不发生变化,则不影响增减性,但会改变函数最大(小) 值. 只对二次函数上下平移,不改变增减性,改变最值. 只对二次函数左右平移,改变增减性,不改变最值. 1.(2023·上海杨浦·统考一模)已知在平面直角坐标系xOy中,抛物线y=ax2−2ax−3(a≠0)与x轴交于 点A、点B(点A在点B的左侧),与y轴交于点C,抛物线的顶点为D,且AB=4. (1)求抛物线的表达式; (2)点P是线段BC上一点,如果∠PAC=45°,求点P的坐标; (3)在第(2)小题的条件下,将该抛物线向左平移,点D平移至点E处,过点E作EF⊥直线AP,垂足为 1 点F,如果tan∠PEF= ,求平移后抛物线的表达式. 2 【2 淘宝店铺:向阳百分百】关注公众号:陆陆高分冲刺 ~领取:最新版“小中高考-总复习”、最新试卷下载 【答案】(1)y=x2−2x−3 (5 4) (2)P ,− 3 3 ( 17) 2 (3)y= x+ −4 9 【分析】(1)设点A的横坐标为x ,点B的横坐标为x ,根据对称轴,AB=4,列式 A B x +x A B=1,x −x =4,利用根与系数关系计算确定a值即可. 2 B A (2) 过点C作AC⊥MN于点C,交AC右侧的AP的延长线于点M,交AC左侧的AP的延长线于点N, 利用三角形全等,确定坐标,后根据解析式交点确定所求坐标即可. (3)设抛物线向左平移了t个单位,则点E(1−t,−4),过点F作x轴的平行线交过点P和y轴的平行线于 点H,交过点E和y轴的平行线于点G, 证明Rt△FGE∽Rt△PHF,根据相似三角形的性质得出 GE GF EF 1 = = = =2即可求解. HF HP FP tan∠PEF 【详解】(1)解:∵抛物线y=ax2−2ax−3(a≠0)与x轴交于点A、点B(点A在点B的左侧),与y轴 交于点C,抛物线的顶点为D,且AB=4, x +x ∴ A B=1,x −x =4, 2 B A 解得x =3,x =−1, B A −3 ∴ =3×(−1), a 解得a=1, 故抛物线的解析式为y=x2−2x−3. (2)过点C作AC⊥MN于点C,交AC右侧的AP的延长线于点M, ∵∠PAC=45°, 【3 淘宝店铺:向阳百分百】关注公众号:陆陆高分冲刺 ~领取:最新版“小中高考-总复习”、最新试卷下载 ∴AC=CM, 过点M作MT⊥y轴于点T, ∴∠ACO=90°−∠ECM=∠CMT ∵¿, ∴△AOC≌△CTM(AAS), ∴AO=CT,OC=EM, ∵抛物线的解析式为y=x2−2x−3,x =3,x =−1, B A ∴AO=CT=1,OC=TM=3,A(−1,0),C(0,−3),B(3,0), ∴OE=2,TM=3 ∴M(3,−2), 设AM的解析式为y=kx+b,BC的解析式为y=px+q ∴¿, 解得¿ 1 1 ∴AM的解析式为y=− x− ,BC的解析式为y=x−3, 2 2 ∴¿, 解得¿, (5 4) 故P ,− ; 3 3 (3)∵y=x2−2x−3=(x−1) 2−4,点D(1,−4), 设抛物线向左平移了t个单位,则点E(1−t,−4), 过点F作x轴的平行线交过点P和y轴的平行线于点H,交过点E和y轴的平行线于点G, 1 1 (5 4) 由(2)知,直线AP的表达式为:y=− x− ,P ,− 2 2 3 3 【4 淘宝店铺:向阳百分百】关注公众号:陆陆高分冲刺 ~领取:最新版“小中高考-总复习”、最新试卷下载 ( 1 1) 设F m,− m− 2 2 ∵∠EFP=90°, ∴∠GFE+∠HFP=90°, ∵∠GFE+∠GEF=90°, ∴∠GEF=∠HFP, ∴Rt△FGE∽Rt△PHF, GE GF EF 1 ∴ = = = =2, HF HP FP tan∠PEF 1 1 5 ∵¿= y −y =− m− +4,HF=x −x = −m,GF=x −x =m−(1−t), F E 2 2 P F 3 F G 1 1 4 HP= y −y =− m− + , F P 2 2 3 1 1 − m− +4 2 2 m−(1−t) ∴ = =2, 5 1 1 4 −m − m− + 3 2 2 3 26 解得:t= , 9 ( 26) 2 ( 17) 2 ∴y= x−1+ −4= x+ −4. 9 9 【点睛】本题为考查了二次函数综合运用,三角形全等和相似、解直角三角形、图象平移等,正确作辅助 线是解题的关键. √3 4√3 2.(2023·广东湛江·校考一模)如图1,抛物线y= x2+ x+2√3与x轴交于点A,B(A在B左 6 3 边),与y轴交于点C,连AC,点D与点C关于抛物线的对称轴对称,过点D作DE∥AC交抛物线于点 E,交y轴于点P. 【5 淘宝店铺:向阳百分百】关注公众号:陆陆高分冲刺 ~领取:最新版“小中高考-总复习”、最新试卷下载 (1)点F是直线AC下方抛物线上点一动点,连DF交AC于点G,连EG,当△EFG的面积的最大值时,直 线DE上有一动点M,直线AC上有一动点N,满足MN⊥AC,连GM,NO,求GM+MN+NO的最小 值; (2)如图2,在(1)的条件下,过点F作FH⊥x轴于点H交AC于点L,将△AHL沿着射线AC平移到点A 与点C重合,从而得到△A'H'L'(点A,H,L分别对应点A',H',L'),再将△A'H'L'绕点H'逆时针旋 转α(0°<α<180°),旋转过程中,边A'L'所在直线交直线DE于Q,交y轴于点R,求当△PQR为等腰三 角形时,直接写出PR的长. 2√397 【答案】(1)4+ 5 17√3 8√3 (2) −3或 3 3 √3 4√3 【分析】(1)作FH∥y轴交DE于H.设F(m, m2+ m+2√3),求出直线DE的解析式,联立 6 3 方程得到x=−3时,FH的值最大,求出答案;作点G关于DE的对称点T,TG交DE于R,连接OR交AC 于N,作NM⊥DE于M,连接TM,GM,此时GM+MN+NO的值最小,求出答案即可; (2)当△PQR是等腰三角形时,易知∠QPR=120°,易知直线RQ与x轴的夹角为60°,得到直线RQ的 解析式为y=√3x+3−√3,进而求出答案,当△QPR是等腰三角形,同理求出答案. √3 4√3 【详解】(1)如图1中,作FH∥y轴交DE于H.设F(m, m2+ m+2√3). 6 3 由题意可知A(−6,0),B(−2,0),C(0,2√3), ∵抛物线的对称轴x=−4,C,D关于直线x=−4对称, ∴D(−8,2√3), √3 ∴直线AC的解析式为y= x+2√3, 3 【6 淘宝店铺:向阳百分百】关注公众号:陆陆高分冲刺 ~领取:最新版“小中高考-总复习”、最新试卷下载 ∵DE∥AC, √3 14√3 ∴直线DE的解析式为y= x+ , 3 3 由¿,解得¿或¿, 16√3 √3 14√3 ∴E(2, ),H(m, m+ ), 3 3 3 ∵S ,△DEG的面积为定值, △≝¿=S +S ¿ △DEG △EFG ∴ △DEG的面积最大时,△EFG的面积最大, ∵FH的值最大时,△≝¿的面积最大, ∵FH的值最大时,△EFG的面积最大, √3 8√3 ∵FH=− m2−√3m+ , 6 3 ∵a<0.开口向下, √3 ∴x=−3时,FH的值最大,此时F(−3,− ). 2 如图2中,作点G关于DE的对称点T,TG交DE于R,连接OR交AC于N,作NM⊥DE于M,连接TM, GM,此时GM+MN+NO的值最小. √3 ∵直线DF的解析式为:y=− x−2√3, 2 由¿, 解得¿, 24 2√3 ∴G(− , ), 5 2 ∵TG⊥AC, 【7 淘宝店铺:向阳百分百】关注公众号:陆陆高分冲刺 ~领取:最新版“小中高考-总复习”、最新试卷下载 22√3 ∴直线GR的解析式为y=−√3x− , 5 由¿,解得¿, 34 12√3 ∴R(− , ), 5 5 2√397 ∴RG=4,∨= , 5 ∵GM=TM=RN, 2√397 ∴GM+MN+ON=RN+ON+RG=RG+ON=4+ . 5 2√397 ∴ GM+MN+NO的最小值为4+ . 5 (2)如图3中,如图当△PQR是等腰三角形时,易知∠QPR=120°,PQ=PR √3 3 易知直线RQ与x轴的夹角为60°,L' (3− ,2√3+ ), 2 2 直线RQ的解析式为y=√3x+3−√3, ∴R(0,3−√3), 14√3 17√3 ∴PR= −(3−√3)= −3. 3 3 如图4中,当△QPR是等腰三角形, ∵∠QPR=60°, ∴ △QPR是等边三角形, 【8 淘宝店铺:向阳百分百】关注公众号:陆陆高分冲刺 ~领取:最新版“小中高考-总复习”、最新试卷下载 同法可得R(0,2√3), 14√3 8√3 ∴PR=OP−OC= −2√3= 3 3 17√3 8√3 综上所述,满足条件的PR的值为 −3或 . 3 3 【点睛】本题属于二次函数证明题,考查了二次函数的性质,一次函数的应用,解题的关键是学会构建二 次函数解决最值问题,学会分类讨论的思想思考问题. 1 3.(2023·广东潮州·校考一模)如图,在平面直角坐标系中,抛物线y=− x2+bx+c与x轴交于 2 A(−2,0),B(4,0)两点(点A在点B的左侧),与y轴交于点C,连接AC、BC,点P为直线BC上方抛 物线上一动点,连接OP交BC于点Q. (1)求抛物线的函数表达式; PQ PQ (2)当 的值最大时,求点P的坐标和 的最大值; OQ OQ 1 (3)把抛物线y=− x2+bx+c沿射线AC方向平移√5个单位得新抛物线y',M是新抛物线上一点,N是新 2 抛物线对称轴上一点,当以M、N、B、C为顶点的四边形是平行四边形时,直接写出N点的坐标,并把求 其中一个N点坐标的过程写出来. 【9 淘宝店铺:向阳百分百】关注公众号:陆陆高分冲刺 ~领取:最新版“小中高考-总复习”、最新试卷下载 1 【答案】(1)抛物线的函数表达式为y=− x2+x+4 2 PQ 1 (2)当m=2时, 取得最大值 ,此时,P(2,4) OQ 2 ( 5) ( 11) ( 5) (3)N点的坐标为N 2, ,N 2,− ,N 2,− .其中一个N点坐标的解答过程见解析 1 2 2 2 3 2 【分析】(1)运用待定系数法即可求得答案; (2)运用待定系数法求得直线BC的解析式为y =−x+4,如图1,过点P作PD∥y轴交BC于点D,设 P ( m,− 1 m2+m+4 ) ,则D(m,−m+4),证明△PDQ∽△OCQ,得出: PQ = PD = 2 OQ OC 1 − m2+2m 2 1 1,运用求二次函数最值方法即可得出答案; =− (m−2) 2+ 4 8 2 (3)设M ( t− 1 t2+2t+ 9) ,N(2,s),分三种情况:当BC为▱BCN M 的边时;当BC为▱BCM N 2 2 1 1 2 2 的边时;当BC为▱BM CN 的对角线时,运用平行四边形性质即可求得答案. 3 3 1 【详解】(1)∵抛物线y=− x2+bx+c与x轴交于A(−2,0),B(4,0)两点(点A在点B的左侧), 2 ∴¿ 解得:¿, 1 ∴抛物线的函数表达式为y=− x2+x+4; 2 1 (2)∵抛物线y=− x2+x+4与y轴交于点C, 2 ∴C(0,4), ∴OC=4, 设直线BC的解析式为y=kx+d,把B(4,0),C (0,4)代入, 得:¿ 解得:¿, ∴直线BC的解析式为y=−x+4, 如图1,过点P作PD∥y轴交BC于点D, 设P ( m,− 1 m2+m+4 ) ,则D(m,−m+4), 2 【10淘宝店铺:向阳百分百】关注公众号:陆陆高分冲刺 ~领取:最新版“小中高考-总复习”、最新试卷下载 1 ∴PD=− m2+2m, 2 ∵PD∥OC, ∴△PDQ∽△OCQ, 1 − m2+2m PQ PD 2 1 1 ∴ = = =− (m−2) 2+ , OQ OC 4 8 2 PQ 1 ∴当m=2时, 取得最大值 ,此时,P(2,4). OQ 2 (3)如图2,沿射线AC方向平移√5个单位,即向右平移1个单位,向上平移2个单位, 1 13 1 9 ∴新的物线解析式为y'=− (x−2) 2+ =− x2 +2x+ ,对称轴为直线x=2, 2 2 2 2 设M ( t,− 1 t2+2t+ 9) ,N(2,s), 2 2 当BC为▱BCN M 的边时, 1 1 则BC∥MN,BC=MN, ∴¿ 解得:¿, ( 5) ∴N 2, ; 1 2 当BC为▱BCM N 的边时, 2 2 则BC∥MN,BC=MN, ∴¿ 解得:¿, ( 11) ∴N 2,− ; 2 2 【11淘宝店铺:向阳百分百】关注公众号:陆陆高分冲刺 ~领取:最新版“小中高考-总复习”、最新试卷下载 当BC为▱BM CN 的对角线时, 3 3 则¿, 解得:¿, ( 5) ∴N 2,− ; 3 2 ( 5) ( 11) ( 5) 综上所述,N点的坐标为:N 2, ,N 2,− ,N 2,− . 1 2 2 2 3 2 【点睛】本题是二次函数综合题,考查了待定系数法,二次函数的图象和性质,抛物线的平移,平行四边 形的性质,相似三角形的判定和性质,熟练掌握铅锤法、中点坐标公式,运用数形结合思想、分类讨论思 想是解题关键. 4.(2023·湖北襄阳·校联考模拟预测)坐标综合: (1)平面直角坐标系中,抛物线C :y =x2+bx+c的对称轴为直线x=3,且经过点(6,3),求抛物线C 的解 1 1 1 析式,并写出其顶点坐标; (2)将抛物线C 在平面直角坐标系内作某种平移,得到一条新的抛物线C :y =x2−2mx+m2−1, 1 2 2 【12淘宝店铺:向阳百分百】关注公众号:陆陆高分冲刺 ~领取:最新版“小中高考-总复习”、最新试卷下载 ①如图1,设自变量x在1≤x≤2的范围内取值时,函数y 的最小值始终等于−1.此时,若y 的最大值比最 2 2 1 小值大 m,求m的值; 2 1 ②如图2,直线l:y=− x+n(n>0)与x轴、y轴分别交于A、C两点.过点A、点C分别作两坐标轴的平行 2 线,两平行线在第一象限内交于点B.设抛物线C 与x轴交于E、F两点(点E在左边).现将图中的 2 △CBA沿直线l折叠,折叠后的BC边与x轴交于点M.当8≤n≤12时,若要使点M始终能够落在线段EF (包括两端点)上,请通过计算加以说明:抛物线C 在向抛物线C 平移时,沿x轴的方向上需要向左还是 1 2 向右平移?最少要平移几个单位?最多能平移几个单位? 【答案】(1)抛物线C 的解析式为y =x2−6x+3,抛物线C 的顶点坐标为(3,−6) 1 1 1 9−√15 (2)①m的值为2或 ;②抛物线C 在向抛物线C 平移时,沿x轴的方向上需要向右平移,最少平移2 4 1 2 个单位,最多平移7个单位 【分析】(1)根据对称轴为直线x=3,可得b=−6,再把把(6,3)代入,即可求解; (2)①根据配方可得当x=m时,函数有最小值−1,再由自变量x在1≤x≤2的范围内取值时,函数y 的 2 最小值始终等于−1,可得1≤m≤2,然后两种情况讨论,即可求解;②先求出点A,C的坐标,可得点B 5 的坐标,再根据图形折叠的性质可得CM=AM,在Rt△COM中,根据勾股定理可得CM= n,从而得 4 到点M的坐标,继而得到n的取值范围,然后根据点M始终能够落在线段EF(包括两端点)上,可得m 取值范围,即可求解. 【详解】(1)解:∵y =x2+bx+c的对称轴为直线x=3, 1 b ∴− =3, 2 解得:b=−6, 把(6,3)代入y =x2−6x+c,得3=62−6×6+c, 1 解得:c=3, ∴抛物线C 的解析式为y =x2−6x+3, 1 1 当x=3时,y =32−6×3+3=−6, 1 【13淘宝店铺:向阳百分百】关注公众号:陆陆高分冲刺 ~领取:最新版“小中高考-总复习”、最新试卷下载 ∴抛物线C 的顶点坐标为(3,−6); 1 (2)解:①∵y =x2−2mx+m2−1=(x−m) 2−1, 2 ∴抛物线C 的对称轴为直线x=m, 2 当x=m时,函数有最小值−1, ∵在1≤x≤2的范围内取值时,函数y 的最小值始终等于−1, 2 ∴1≤m≤2, 3 当1≤m≤ 时,x=2时y 有最大值为m2−4m+3, 2 2 1 ∴m2−4m+3+1= m, 2 9±√15 解得m= , 4 9−√15 ∴m= ; 4 3 当 ≤m≤2时,x=1时y 有最大值为m2−2m, 2 2 1 ∴m2−2m+1= m, 2 1 解得m=2或m= (舍), 2 9−√15 综上所述:m的值为2或 ; 4 1 ②直线l:y=− x+n与x轴的交点A(2n,0),与y轴的交点C(0,n), 2 ∴B(2n,n), ∵△CBA沿直线l折叠, ∴∠BCA=∠ACM, ∵∠BCA=∠CAM, ∴∠ACM=∠MAC, ∴CM=AM, 在Rt△COM中,CM2=CO2+OM2,即CM2=n2+(2n−CM) 2, 5 解得CM= n, 4 【14淘宝店铺:向阳百分百】关注公众号:陆陆高分冲刺 ~领取:最新版“小中高考-总复习”、最新试卷下载 3 ∴OM= n, 4 (3 ) ∴M n,0 , 4 ∵8≤n≤12, 3 ∴6≤ n≤9, 4 当x2−2mx+m2−1=0时,解得:x=m+1或x=m−1, ∴E(m−1,0),F(m+1,0), ∵点M始终能够落在线段EF上, ∴m+1≥6,m−1≤9, ∴5≤m≤10, ∵y =x2−6x+3=(x−3) 2−6,y =(x−m) 2−1, 1 2 当m=5时,抛物线C 沿x轴向右平移2个单位,向上平移5个单位, 1 当m=10时,抛物线C 沿x轴向右平移7个单位,向上平移5个单位, 1 ∴抛物线C 在向抛物线C 平移时,沿x轴的方向上需要向右平移,最少平移2个单位,最多平移7个单位. 1 2 【点睛】本题考查二次函数的图象及性质,熟练掌握二次函数的图象及性质,函数图象平移的性质,轴对 称图形的性质,勾股定理的应用是解题的关键. 5.(2023·浙江湖州·统考中考真题)如图1,在平面直角坐标系xOy中,二次函数y=x2−4x+c的图象与 y轴的交点坐标为(0,5),图象的顶点为M.矩形ABCD的顶点D与原点O重合,顶点A,C分别在x轴,y 轴上,顶点B的坐标为(1,5). (1)求c的值及顶点M的坐标, (2)如图2,将矩形ABCD沿x轴正方向平移t个单位(01, 17+5√201 ∴m= , 128 ( 17+5√201) ∴M 1, ; 128 当点M在BC的下方时,如图3, , 17−5√201 同理可得:m= , 128 【28淘宝店铺:向阳百分百】关注公众号:陆陆高分冲刺 ~领取:最新版“小中高考-总复习”、最新试卷下载 ( 17−5√201) ∴M 1, ; 128 ( 17+5√201) ( 17−5√201) 综上所述,M点坐标为 1, 或 1, . 128 128 【点睛】本题是二次函数综合题,考查了待定系数法求函数解析式,相似三角形的判定和性质,翻折变换 的性质,解直角 ,二次函数的图象和性质,涉及知识点多,难度较大,添加辅助线构造相似三角形是解 此题的关键. 9.(2023·江苏南京·南师附中新城初中校考二模)定义:若一个函数图象上存在横、纵坐标相等的点,则 称该点为这个函数图象的“等值点”.例如,点(−1,−1)是函数y=2x+1的图象的“等值点”. (1)分别判断函数y=x+2,y=x2−x的图象上是否存在“等值点”?如果存在,求出“等值点”的坐标; 如果不存在,说明理由; 3 (2)设函数y= (x>0),y=−x+b的图象的“等值点”分别为点A,B,过点B作BC⊥x轴,垂足为C. x 当△ABC的面积为3时,求b的值; (3)若函数y=x2−2(x≥m)的图象记为W ,将其沿直线x=m翻折后的图象记为W ,当W ,W 两部分组 1 2 1 2 成的图象上恰有2个“等值点”时,请直接写出m的取值范围. 【答案】(1)函数y=x2−x的图象上有两个“等值点”(0,0)或(2,2); (2)−2√3或4√3; 9 (3)当W ,W 两部分组成的图象上恰有2个“等值点”时,m<− 或−10)中,令x= , x x 解得:x=√3, ∴A(√3,√3), 在函数y=−x+b中,令x=−x+b, b 解得:x= , 2 (b b) ∴B , , 2 2 ∵BC⊥x轴, (1 ) ∴C b,0 , 2 1 ∴BC= |b|, 2 ∵△ABC的面积为3, 1 1 | 1 | ∴ × |b|× √3− b =3, 2 2 2 当b<0时,b2−2√3b−24=0, 解得:b=−2√3, 当0≤b<2√3时,b2−2√3b+24=0, ∵Δ=(−2√3) 2 −4×1×24=−84<0, ∴方程b2−2√3b+24=0没有实数根, 当b≥2√3时,b2−2√3b−24=0, 解得:b=−2√3或b=4√3, 综上所述,b的值为−2√3或4√3; (3)令x=x2−2, 解得:x =−1,x =2, 1 2 ∴函数y=x2−2的图象上有两个“等值点”(−1,−1)或(2,2), ①当m<−1时,W ,W 两部分组成的图象上必有2个“等值点”(−1,−1)或(2,2), 1 2 W :y=x2−2(x≥m), 1 W :y=(x−2m) 2−2(x2时,W ,W 两部分组成的图象上没有“等值点”, 1 2 9 综上所述,当W ,W 两部分组成的图象上恰有2个“等值点”时,m<− 或−1 时,若最高点与最低点的纵坐标的差为 ,直接写出m的值. 2 4 【答案】(1)y=x2−6x+5;点P的坐标为(3,−4) 7 2+√15 7 2+√31 (2)①y=−(x−3) 2+4;②y的取值范围为 ≤ y≤4;③m的值为 或 或 4 2 2 2 【分析】(1)两点式求出函数解析式,进而求出点P的坐标; 3 (2)①顶点式,写出函数解析式即可;②求出最大值和最小值,即可得出y的取值范围;③分 5五种情况进行讨论求解. 【详解】(1)解:∵抛物线y=x2+bx+c与x轴交于点A(1,0),B(5,0), ∴y=(x−1)(x−5)=x2−6x+5, ∵y=x2−6x+5=(x−3) 2−4, ∴点P的坐标为(3,−4). (2)①折叠后顶点变为:(3,4), ∴点A,B之间的函数图象所对应的函数解析式为y=−(x−3) 2+4; 故答案为:y=−(x−3) 2+4. 3 ②∵ ≤x≤4,顶点在AB之间的图象上, 2 抛物线开口向下,对称轴为直线x=3,抛物线上的点离对称轴越远,函数值越小, 3 7 ∴当x=3时,y =4;当x= 时,y = , 最大值 2 最小值 4 7 ∴y的取值范围为 ≤ y≤4. 4 3 ③∵m> , 2 7 ∴m+2> >3, 2 3 当m+2≤2×3−m,即:m≤2时,此时: 3时,m+2>5,当−(m−3) 2+4=(m+2) 2−6(m+2)+5时, 解得:m =2+√3,m =2−√3, 1 1 ∴当35时,如图: 【48淘宝店铺:向阳百分百】关注公众号:陆陆高分冲刺 ~领取:最新版“小中高考-总复习”、最新试卷下载 15 则:(m+2) 2−6(m+2)+5−m2+6m−5= , 4 47 解得:m= (舍去); 16 2+√15 7 2+√31 综上:m的值为 或 或 . 2 2 2 【点睛】本题考查二次函数的综合应用.正确的求出函数解析式,熟练掌握二次函数的图象和性质,利用 数形结合和分类讨论的思想进行求解,是解题的关键. 16.(2023·四川德阳·统考中考真题)已知:在平面直角坐标系中,抛物线与x轴交于点A(−4,0), B(2,0),与y轴交于点C(0,−4). (1)求抛物线的解析式; (2)如图1,如果把抛物线x轴下方的部分沿x轴翻折180°,抛物线的其余部分保持不变,得到一个新图象. 当平面内的直线y=kx+6与新图象有三个公共点时,求k的值; (3)如图2,如果把直线AB沿y轴向上平移至经过点D,与抛物线的交点分别是E,F,直线BC交EF于点 【49淘宝店铺:向阳百分百】关注公众号:陆陆高分冲刺 ~领取:最新版“小中高考-总复习”、最新试卷下载 DF H,过点F作FG⊥CH于点G,若 =2√5.求点F的坐标. HG 1 【答案】(1)y= x2+x−4 2 3 (2)1或 2 (3)(4,8) 【详解】(1)设抛物线的解析式为y=ax2+bx+c, ∵C(0,−4), ∴c=−4, y=ax2+bx−4, 把A(−4,0),B(2,0)代入y=ax2+bx+c,得:¿, 解得:¿, 1 ∴抛物线的解析式为y= x2+x−4 2 (2)∵直线表达式y=kx+6, ∴直线经过定点(0,6), ∴将过点(0,6)的直线旋转观察和新图象的公共点情况 1 ∵把抛物线x轴下方的部分沿x轴翻折180°,抛物线的解析式为y= x2+x−4, 2 1 1 ∴新图象表达式为:−40)交y轴 于点C,过点C作x轴的平行线交该抛物线于点D. (1)求点C,D的坐标; 1 (2)当a= 时,如图1,该抛物线与x轴交于A,B两点(点A在点B的左侧),点P为直线AD上方抛物线 3 上一点,将直线PD沿直线AD翻折,交x轴于点M(4,0),求点P的坐标; (1 ) (3)坐标平面内有两点E ,a+1 ,F(5,a+1),以线段EF为边向上作正方形EFGH. a ①若a=1,求正方形EFGH的边与抛物线的所有交点坐标; 5 ②当正方形EFGH的边与该抛物线有且仅有两个交点,且这两个交点到x轴的距离之差为 时,求a的值. 2 【答案】(1)C(0,2),D(5,2) (3 15) (2)P , 2 4 (3)①(1,6),(4,6),(5,2);②a=0.5 【分析】(1)先求出C(0,2),再求出抛物线对称轴,根据题意可知C、D关于抛物线对称轴对称,据 此求出点D的坐标即可; (2)先求出A(−1,0),如图,设DP上与点M关于直线AD对称的点为N(m,n),由轴对称的性质可 得AN=AM,DN=DM,利用勾股定理建立方程组¿,解得m=3或m=4(舍去),则N(3,3),求出 1 9 (3 15) 直线DP的解析式为y=− x+ ,然后联立¿,解得¿或¿,则P , ; 2 2 2 4 (3)分图3-1,图3-2,图3-3三种情况,利用到x轴的距离之差即为纵坐标之差结合正方形的性质列出方 程求解即可. 【详解】(1)解:在y=−ax2+5ax+2(a>0)中,当x=0时,y=2, ∴C(0,2), ∵抛物线解析式为y=−ax2+5ax+2(a>0), 【53淘宝店铺:向阳百分百】关注公众号:陆陆高分冲刺 ~领取:最新版“小中高考-总复习”、最新试卷下载 5a 5 ∴抛物线对称轴为直线x=− = , −2a 2 ∵过点C作x轴的平行线交该抛物线于点D, ∴C、D关于抛物线对称轴对称, ∴D(5,2); 1 1 5 (2)解:当a= 时,抛物线解析式为y=− x2+ x+2, 3 3 3 1 5 当y=0,即− x2+ x+2=0,解得x=−1或x=6, 3 3 ∴A(−1,0); 如图,设DP上与点M关于直线AD对称的点为N(m,n), 由轴对称的性质可得AN=AM,DN=DM, ∴¿, 解得:3m+n=12,即n=12−3m ∴m2+2m+1+144−72m+9m2=25, ∴m2−7m+12=0, 解得m=3或m=4(舍去), ∴n=12−3m=3, ∴N(3,3), 设直线DP的解析式为y=kx+b , 1 ∴¿, ∴¿, 1 9 ∴直线DP的解析式为y=− x+ , 2 2 联立¿,解得¿或¿ (3 15) ∴P , ; 2 4 (3)解:①当a=1时,抛物线解析式为y=−x2+5x+2,E(1,2),F(5,2), 【54淘宝店铺:向阳百分百】关注公众号:陆陆高分冲刺 ~领取:最新版“小中高考-总复习”、最新试卷下载 ∴EH=EF=FG=4, ∴H(1,6),G(5,6), 当x=1时,y=−12+5×1+2=6, ∴抛物线y=−x2+5x+2恰好经过H(1,6); 5 ∵抛物线对称轴为直线x= , 2 由对称性可知抛物线经过(4,6), ∴点(4,6)时抛物线与正方形的一个交点, 又∵点F与点D重合, ∴抛物线也经过点F(5,2); 综上所述,正方形EFGH的边与抛物线的所有交点坐标为(1,6),(4,6),(5,2); ②如图3-1所示,当抛物线与GH、GF分别交于T、D, 5 ∵当正方形EFGH的边与该抛物线有且仅有两个交点,且这两个交点到x轴的距离之差为 , 2 ∴点T的纵坐标为2+2.5=4.5, 1 ∴5− +a+1=4.5, a ∴a2+1.5a−1=0, 解得a=−2(舍去)或a=0.5; 如图3-2所示,当抛物线与GH、EF分别交于T、S, 5 ∵当正方形EFGH的边与该抛物线有且仅有两个交点,且这两个交点到x轴的距离之差为 , 2 【55淘宝店铺:向阳百分百】关注公众号:陆陆高分冲刺 ~领取:最新版“小中高考-总复习”、最新试卷下载 1 ∴5− =2.5, a 解得a=0.4(舍去,因为此时点F在点D下方) 如图3-3所示,当抛物线与EH、EF分别交于T、S, 5 ∵当正方形EFGH的边与该抛物线有且仅有两个交点,且这两个交点到x轴的距离之差为 , 2 (1) 2 1 ∴−a⋅ +5a⋅ +2=a+1+2.5, a a 1 ∴7− =a+3.5, a ∴a2−3.5a+1=0, 7+√33 7−√33 解得a= 或a= (舍去); 4 4 5 当x= 时,y=−ax2+5ax+2=6.25a+2, 2 7+√33 1 当 a= 时,6.25a+2>7− , 4 a 7+√33 ∴a= 不符合题意; 4 综上所述,a=0.5. 【点睛】本题主要考查了二次函数综合,勾股定理,轴对称的性质,正方形的性质等等,利用分类讨论和 数形结合的思想求解是解题的关键. 【56淘宝店铺:向阳百分百】关注公众号:陆陆高分冲刺 ~领取:最新版“小中高考-总复习”、最新试卷下载 18.(2023·河南新乡·统考二模)在平面直角坐标系xOy中,已知抛物线y=ax2−2ax+a−1经过原点. (1)求抛物线的解析式及顶点坐标. (2)将该抛物线在y轴右侧的部分记作W,将W绕原点O顺时针旋转180°得到W',W与W'组成一个新的函 数图像,记作G. ①点M,N为图像G上两点(点M在点N的左侧),且到y轴的距离分别为2个单位长度和3个单位长度, 点Q为图像G上点M,N之间(含点M,N)的一个动点,求点Q的纵坐标y 的取值范围; Q ②若点(m,y ),(m+1,y )在图像G上,且y . Q Q 2 2 【分析】(1)先根据抛物线经过原点,可求得a,进而求得抛物线解析式;然后再化成顶点式即可确定顶 点坐标; (2)①先画出函数图像,再根据点M的位置解答即可;②分点在抛物线当点在抛物线W和W'两种情况分 别求解即可. 【详解】(1)解:∵抛物线y=ax2−2ax+a−1经过原点 ∴0=a−1,即 a=1. ∴抛物线的解析式为y=x2−2x. ∵y=x2−2x=(x−1) 2−1. ∴抛物线的顶点坐标为(1,−1). (2)解:①根据题意,画出图像G,如图所示: ∵点M,N为图像G上两点,且到y轴的距离分别为2个单位长度和3个单位长度, ∴点M的坐标为(−2,0)或(2,0),点N的坐标为(3,3)或(−3,−3). 【57淘宝店铺:向阳百分百】关注公众号:陆陆高分冲刺 ~领取:最新版“小中高考-总复习”、最新试卷下载 又∵点M在点N的左侧, ∴点M的坐标为(−2,0)或(2,0),点N的坐标为(3,3). ∴当点M的坐标为(−2,0),点N的坐标为(3,3)时,点Q的纵坐标y 的取值范围为−1≤ y ≤3. Q Q 当点M的坐标为(2,0),点N的坐标为(3,3)时,点Q的纵坐标y 的取值范围为0≤ y ≤3. Q Q ②当两点均在y轴右侧时,即点在抛物线y=x2−2x上 ∵点(m,y ),(m+1,y )在图像G上,且y m2−2m,解得:m> 2 当两点均在y轴左侧时, ∵将W绕原点O顺时针旋转180°得到W' ∴抛物线W'的解析式为y=−x2−2x ∵点(m,y ),(m+1,y )在图像G上,且y −m2−2m,解得:m<− . 2 3 1 综上,出m的取值范围m<− 或m> . 2 2 【点睛】本题主要考查了求二次函数解析式、求抛物线的顶点坐标、二次函数的增减性等知识点,灵活运 用所学知识成为解答本题的关键. 19.(2023·湖南永州·统考二模)在平面直角坐标系中,二次函数y=−x2+2mx−m2+9的图象与x轴交于 A,B两点(点A在点B的左侧). (1)求A、B两点的坐标(用含m的式子表示); (2)将该二次函数图象在x轴下方的部分沿x轴翻折,其他部分保持不变,得到一个新的函数图象.若当 −3≤x≤−1时,这个新函数G的函数值y随x的增大而减小,结合函数图象,求m的取值范围; (3)已知直线l:y=1,点C在二次函数y=−x2+2mx−m2+9的图象上,点C的横坐标为2m,二次函数 【58淘宝店铺:向阳百分百】关注公众号:陆陆高分冲刺 ~领取:最新版“小中高考-总复习”、最新试卷下载 y=−x2+2mx−m2+9的图象在C、B之间的部分记为M(包括点C,B),图象M上恰有一个点到直线l 的距离为2,直接写出m的取值范围. 【答案】(1)A(m−3,0),B(m+3,0) (2)m≥2或−4≤m≤−3 (3)−√6√10 【分析】(1)当y=0时,−x2+2mx−m2+9=0,解方程即可求解; (2)画出函数图象,当−4≤m≤−3时,新函数G的函数值y随x的增大而减小;当m≥2时,新函数G的 函数值y随x的增大而减小; (3)由题可知,到直线y=1的距离为2的点在直线y=−1和y=3上,分别求出C(2m,9−m2), B(m+3,0),画出函数图象,分①当C点在B点左侧,同时C点在直线y=3上方时;②当C点在B点右 侧,且在y=−1的下方时,两种情况讨论. 【详解】(1)解:∵二次函数y=−x2+2mx−m2+9的图象与x轴交于A,B两点(点A在点B的左侧) 当y=0时,−x2+2mx−m2+9=0 即(x−m) 2=9 解得:x =m+3,x =m−3 1 2 ∴A(m−3,0),B(m+3,0) (2)解:当x=−1时,−1−2m−m2+9=0, 解得m=2或m=−4, ∵y=−x2+2mx−m2+9=−(x−m) 2+9, ∴抛物线的对称轴为直线x=m, 如图1,当−4≤m≤−3时,新函数G的函数值y随x的增大而减小; 【59淘宝店铺:向阳百分百】关注公众号:陆陆高分冲刺 ~领取:最新版“小中高考-总复习”、最新试卷下载 如图2,当m≥2时,新函数G的函数值y随x的增大而减小; 综上所述:m≥2或−4≤m≤−3时,新函数G的函数值y随x的增大而减小; (3)解:由题可知,到直线y=1的距离为2的点在直线y=−1和y=3上, 当x=2m时,y=9−m2, ∴C(2m,9−m2), 如图当C点在B点左侧,同时C点在直线y=3上方时,都符合题意,如图所示, 【60淘宝店铺:向阳百分百】关注公众号:陆陆高分冲刺 ~领取:最新版“小中高考-总复习”、最新试卷下载 当C(2m,9−m2)在y=3上时, ∴9−m2=3 解得:m=√6或m=−√6 ∴−√61; 25 (3)b=0或 12 【分析】(1)根据函数y =−a(x+1) 2+3(x≤0)的图象过原点,即可求出a的值,求出函数y 的解析式, 1 1 求出抛物线y 对称轴,顶点坐标;令−3(x+1) 2+3=0,解出x,把点(2,0)代入y =a(x−1) 2+3,即可求 1 2 出y 的解析式,即可; 2 (2)根据函数图象的增减性,即可; (3)结合图象,b=0时,直线与函数L有三个公共点,当直线与抛物线y =−3(x−1) 2+3相切时,直线 2 与函数L有三个公共点,结合图象,确定有3个公共点的条件,即可. 【详解】(1)∵函数y =−a(x+1) 2+3(x≤0)的图象过原点, 1 ∴0=−a(0+1) 2+3, ∴a=3; ∴y =−3(x+1) 2+3对称轴x=−1,抛物线的顶点为:(−1,3), 1 ∴令0=−3(x+1) 2+3, 【62淘宝店铺:向阳百分百】关注公众号:陆陆高分冲刺 ~领取:最新版“小中高考-总复习”、最新试卷下载 整理得:(x+1) 2=1, 解得:x =0,x =−2; 1 2 ∴抛物线y =−3(x+1) 2+3(x≤0)与x轴的交点为:(0,0),(−2,0), 1 ∵函数y =−3(x+1) 2+3沿y轴翻折,得到函数y 的图象, 1 2 ∴函数y 的图象与x轴的交点为:(0,0),(2,0),顶点坐标为:(1,3), 2 ∴y =a(x−1) 2+3, 2 把(2,0)代入函数y 中,得0=a(2−1) 2+3, 2 ∴a=−3, ∴y =−3(x−1) 2+3(x≥0), 2 ∴抛物线y 的解析式为:y =−3(x−1) 2+3(x≥0). 2 2 (2)由函数图象可知,y 的对称轴为:直线x=−1;y 的对称轴为:直线x=1, 1 2 在y =−3(x+1) 2+3(x≤0)中,当−11时(即F的右侧),y随x的增大而减小, 2 ∴函数L,当函数值y随x的增大而减小时,x的取值范围为:−11. (3)当b=0时,y=x与函数L有三个交点, ∵y=x+b与y=x平行, ∴当直线y=x+b与抛物线y =−3(x−1) 2+3(x≥0)相切时,直线y=x+b与函数L也有3个交点, 2 【63淘宝店铺:向阳百分百】关注公众号:陆陆高分冲刺 ~领取:最新版“小中高考-总复习”、最新试卷下载 ∴−3(x−1) 2+3=x+b, ∴Δ=(−5) 2−4×3×b=0, 25 解得:b= ; 12 25 ∴直线y=x+b与函数L的图象有3个公共点时,b的值为:b=0或b= . 12 【点睛】本题考查二次函数的知识,解题的关键是掌握二次函数的图象和性质,函数的平移,二次函数和 一次函数的交点问题. 21.(2023·江苏苏州·统考一模)如图,已知抛物线y=ax2+bx+c(a,b,c为常数,a≠0)交x轴于 A(1,0)、B(3,0)两点,交y轴于C(0,3),将该抛物线位于直线y=m(m为常数,m≥0)下方的部 分沿直线y=m翻折,其余部分不变,得到的新图像记为“图像W”. (1)求该抛物线的解析式; (2)若m=0时,直线y=x+n与图像W有三个交点,求n的值; (3)若直线y=x与图像W有四个交点,直接写出m的取值范围. 【答案】(1)抛物线的解析式为y=x2−4x+3; 3 (2)n的值为−1或− ; 4 3 5−√13 (3) 0, 3 解得m> , 8 当x= y时,有x=x2−4x+3, 5±√13 解得x= , 2 5−√13 故m< , 2 3 5−√13 即 0),建立方程,解方程即可求出m的值,即可得到答案; 2 (3)设A ( −m,− 1 m2) (m>0),B ( n,− 1 n2) (n>0),设y=kx+b,将A、B代入一次函数建立方程组, 2 2 1 根据①×n+②×m建立等式,化简等式即可得到b=− mn,再结合相似三角形的性质,可推算出 2 1 b=− ×4=−2,从而得到不论k为何值,直线AB恒过点(0,−2)的结论. 2 【详解】(1)解:设线段AB与y轴的交点为C,由抛物线的对称性可得C为AB中点, ∵OA=OB=2√2,∠AOB=90°, ∴AC=OC=BC=2, ∴B(2,−2) ∵将B(2,−2)代入抛物线y=ax2(a<0)得−2=4a, 1 解得a=− . 2 (2)解:过点A作AE⊥x轴于点E, 【75淘宝店铺:向阳百分百】关注公众号:陆陆高分冲刺 ~领取:最新版“小中高考-总复习”、最新试卷下载 ∵点B的横坐标为1, ( 1) ∴B 1,− , 2 1 ∴BF= . 2 又∵∠AOB=90°, ∴∠AOE=∠OBF, ∵∠AEO=∠OFB=90°, ∴ΔAEO∽ΔOFB, AE OF 1 = = =2 ∴OE BF 1 2 ∴AE=2OE 设点A ( −m,− 1 m2) (m>0),则OE=m,AE= 1 m2 , 2 2 1 ∴ m2=2m 2 1 ∴m=4,− m2=−8,即点A的坐标为(−4,−8) 2 (3)解:设A ( −m,− 1 m2) (m>0),B ( n,− 1 n2) (n>0), 2 2 设y=kx+b,则¿ 1 1 ①×n+②×m得,(m+n)b=− (m2n+mn2)=− mn(m+n), 2 2 1 ∴b=− mn 2 由图可得ΔAEO∽ΔOFB, 【76淘宝店铺:向阳百分百】关注公众号:陆陆高分冲刺 ~领取:最新版“小中高考-总复习”、最新试卷下载 AE OE ∴ = , OF BF 0.5m2 m ∴ = , n 0.5n2 ∴mn=4, 1 ∴b=− ×4=−2; 2 由此可知不论k为何值,直线AB恒过点(0,−2). 【点睛】本题考查二次函数的性质、旋转的性质和相似三角形的性质,解题的关键是灵活运行相似三角形 的相似比建立等式. 题型 05 二次函数折叠问题 3 26.(2023·山西大同·校联考模拟预测)如图1,在平面直角坐标系中,直线y= x−9与x轴、y轴分别 4 1 交于B,C两点,抛物线y= x2+bx+c经过B,C两点,与x轴的另一个交点为A. 4 (1)求B,C两点的坐标及抛物线的解析式,并直接写出点A的坐标; (2)如图1,点D在线段OB上运动,连接CD,沿直线CD折叠△BCD得到△B'CD,当B'D⊥x轴时,求 ∠BDC的度数及点D的坐标; (3)如图2,连接AC,作∠COE=∠ACO,OE交△ABC的边于点E,请直接写出CE的长. 1 9 【答案】(1)B(12,0),C(0,−9),抛物线的解析式为y= x2− x−9,A(−3,0) 4 4 (2)∠BDC的度数为135°,D(9,0) 3√10 (3)CE的长为 或3 2 【77淘宝店铺:向阳百分百】关注公众号:陆陆高分冲刺 ~领取:最新版“小中高考-总复习”、最新试卷下载 【分析】(1)利用待定系数法解答即可; (2)利用翻折的性质可得:BD=B'D,S =S ;设D(m,0),利用点的坐标表示出线段BD, △BCD △B'CD B'D,OC,OD的长度,再利用三角形的面积公式列出关于m的方程,解方程即可得出结论; (3)利用分类讨论的思想方法分两种情形讨论解答:①当点E在AC边上时,利用直角三角形的性质和直 角三角形的斜边上的中线,勾股定理解答即可;②当点E在BC边上时,利用平行线的判定与性质,相似三 角形的判定与性质和勾股定理解答即可得出结论. 【详解】(1)解:令x=0,则y=−9, ∴C(0,−9), 3 令y=0,则 x−9=0, 4 ∴x=12, ∴B(12,0), 1 ∵抛物线y= x2+bx+c经过B,C两点, 4 ∴ ¿, 解得:¿, 1 9 ∴抛物线的解析式为y= x2− x−9. 4 4 1 9 令x=0,则 x2− x−9=0, 4 4 ∴x=−3或x=12, ∴A(−3,0); (2)解:∵沿直线CD折叠△BCD得到△B'CD, ∴△BCD≌△B'CD, ∴BD=B'D,S =S . △BCD △B'CD 设D(m,0),m>0, ∴OD=m, ∵C(0,−9),B(12,0), ∴OC=9,OB=12. ∴BD=BD'=12−m. 【78淘宝店铺:向阳百分百】关注公众号:陆陆高分冲刺 ~领取:最新版“小中高考-总复习”、最新试卷下载 1 1 ∵ S = BD⋅OC,S = B'D⋅OD, △BCD 2 △B'CD 2 1 1 ∴ (12−m)×9= (12−m)⋅m. 2 2 解得:m=9或m=12(不合题意,舍去), ∴m=9, ∴D(9,0). ∴OD=9, ∴OD=OC=9, ∴∠OCD=∠ODC=45°, ∴∠BDC的度数=180°−∠ODC=135°; (3)解:①当点E在AC边上时,如图, ∵∠AOC=90°, ∴∠ACO+∠CAO=90°,∠EOA+∠COE=90°, ∵∠COE=∠ACO, ∴∠CAO=∠EOA, ∴EA=EO, ∵∠COE=∠ACO, ∴EO=EC, 1 ∴AE=CE= AC. 2 ∵A(−3,0),C(0,−9), ∴OA=3,OC=9, ∴AC=√OA2+OC2=3√10, 1 3√10 ∴CE= AC= ; 2 2 【79淘宝店铺:向阳百分百】关注公众号:陆陆高分冲刺 ~领取:最新版“小中高考-总复习”、最新试卷下载 ②当点E在BC边上时,如图, ∵∠COE=∠ACO, ∴OE∥AC, ∴△BOE∽△BAC, BO BE ∴ = . BA BC ∵OA=3,OB=12, ∴AB=OA+OB=15. ∵BC=√OB2+OC2=√122+92=15, 12 BE ∴ = , 15 15 ∴BE=12, ∴CE=BC−BE=3. 3√10 综上,当∠COE=∠ACO,OE交ΔABC的边于点E,CE的长为 或3. 2 【点睛】本题主要考查了二次函数的图象与性质,抛物线上点的坐标的特征,待定系数法,一次函数的图 象与性质,一次函数图象上点的坐标的特征,折叠的性质,垂直的性质,平行线的判定与性质,利用点的 坐标表示出相应线段的长度是解题的关键. 27.(2023·安徽芜湖·校考一模)已知抛物线y=ax2+2x+c(a≠0)与x轴交于点A(−1,0)和点B(3,0),与 y轴交于点C,连接BC,点O与点D关于线段BC对称. 【80淘宝店铺:向阳百分百】关注公众号:陆陆高分冲刺 ~领取:最新版“小中高考-总复习”、最新试卷下载 (1)求抛物线的解析式. (2)如图1,P为AD上方的抛物线上的一个动点,连接PB交AD于点E.当△ABD的面积被直线BP分成 1:3的两部分时,求点P的坐标. (21 ) (3)如图2,若直线AD沿过点D的直线m折叠后恰好经过点M ,0 ,请直接写出直线m与抛物线的交 4 点Q的坐标. 【答案】(1)y=−x2+2x+3 ( 3 15) (5 63) (2)P − , 或P , 4 16 4 16 (√109−5 7√109−71) (−√109−5 −7√109−71) (3)y=7x−18,Q , 或Q , 2 2 2 2 【分析】(1)待定系数法求出解析式即可; 1 (2)根据△ABD的面积被直线BP分成1:3的两部分,得到AE= DE或AE=3DE,求出E点坐标,进 3 而得到直线BE的解析式,联立直线和抛物线的解析式,求出P点坐标即可; (3)求出直线DM的解析式,进而求出点A的对应点A'的坐标,进而求出A,A'的中点坐标,该点在直线 m上,进而求出直线m的解析式,联立直线m和抛物线的解析式,求出点Q的坐标即可. 【详解】(1)解:∵抛物线y=ax2+2x+c(a≠0)与x轴交于点A(−1,0)和点B(3,0), ∴¿,解得:¿, ∴y=−x2+2x+3; (2)∵y=−x2+2x+3,当x=0时,y=3, ∴C(0,3), ∴OC=3, ∵B(3,0), 【81淘宝店铺:向阳百分百】关注公众号:陆陆高分冲刺 ~领取:最新版“小中高考-总复习”、最新试卷下载 ∴OB=3=OC, ∴△OBC是等腰直角三角形, ∵点O与点D关于线段BC对称, ∴BC是OD的垂直平分线, 设OD交BC于点F, 则OF⊥BC, ∴F为BC的中点, (3 3) ∴F , , 2 2 又F为OD的中点, ∴D(3,3), △ABD的面积被直线BP分成1:3的两部分时,有两种情况: 1 ①S = S , △ABE 3 △DBE ∵S :S =AE:DE, △ABE △DBE ∴AE:DE=1:3, ∴AE:AD=1:4, ∴点E为点A,D的中点与点A的中点, ( 3) ∵A,D的中点坐标为: 1, , 2 ( 3) ∴E 0, , 4 设BE的解析式为:y=kx+b, ∴¿,解得:¿, 1 3 ∴y=− x+ , 4 4 【82淘宝店铺:向阳百分百】关注公众号:陆陆高分冲刺 ~领取:最新版“小中高考-总复习”、最新试卷下载 联立¿,解得:¿或¿, ( 3 15) ∴P − , , 4 16 ②当S =3S 时, △ABE △DBE 同法可得:点E为点A,D的中点与点D的中点, ( 9) ∴E 2, , 4 设直线BE的解析式为:y=mx+n, ∴¿,解得:¿, 9 27 ∴y=− x+ , 4 4 联立¿,解得:¿或¿, (5 63) ∴P , ; 4 16 ( 3 15) (5 63) 综上:P − , 或P , . 4 16 4 16 (3)设直线DM的解析式为:y=k x+b , 1 1 则:¿,解得:¿, 4 ∴y=− x+7, 3 设点A关于直线m的对称点为A', 则:A'在直线DM上,DA=DA', 设A'( t,− 4 t+7 ) , 3 ∵DA=DA',D(3,3),A(−1,0), ∴(3+1) 2+32=(t−3) 2+ ( − 4 t+7−3 ) 2 , 3 解得:t=6或t=0(舍掉), ∴A'(6,−1), ∵点A关于直线m的对称点为A', (5 1) ∴A,A'的中点 ,− 在直线m上, 2 2 设直线m的解析式为:y=k x+b , 2 2 【83淘宝店铺:向阳百分百】关注公众号:陆陆高分冲刺 ~领取:最新版“小中高考-总复习”、最新试卷下载 (5 1) ∵D(3,3),点 ,− 在直线m上, 2 2 ∴¿,解得:¿, ∴直线m的解析式为:y=7x−18, 联立¿,解得:¿或¿, (√109−5 7√109−71) (−√109−5 −7√109−71) ∴Q , 或Q , . 2 2 2 2 【点睛】本题考查二次函数的综合应用,正确的求出函数解析式,利用数形结合和分类讨论的思想进行求 解,是解题的关键. 1 28.(2023·江苏苏州·校考二模)如图,二次函数y= x2+bx+c与x轴交于O(0,0),A(4,0)两点,顶点 2 为C,连接OC、AC,若点B是线段OA上一动点,连接BC,将△ABC沿BC折叠后,点A落在点A'的位 置,线段A'C与x轴交于点D,且点D与O、A点不重合. (1)求二次函数的表达式; DB (2)①求证:△OCD∽△A'BD;② 的最小值; BA (3)当S =8S 时,求直线A'B的解析式. △OCD △A'BD 1 【答案】(1)y= x2−2x 2 √2 (2)①证明见解析;② 2 4 (3)y=− x+4 3 【分析】(1)利用待定系数法直接求解即可得出二次函数的表达式; 【84淘宝店铺:向阳百分百】关注公众号:陆陆高分冲刺 ~领取:最新版“小中高考-总复习”、最新试卷下载 OC CD BD CD (2)①根据两角相等的两个三角形相似即可证明;②由△OCD∽△A'BD得出 = ,则 = , A'B BD AB OC BD 所以CD最小, 的值最小,求出此时CD=2,即可得出答案; AB (3)先求出点A'和B的坐标,再利用待定系数法求解即可. 1 【详解】(1)∵二次函数y= x2+bx+c与x轴交于O(0,0),A(4,0)两点, 2 ∴¿, 解得:¿, 1 ∴二次函数的表达式y= x2−2x. 2 (2)①由翻折得:∠OAC=∠A', 1 ∵二次函数y= x2+bx+c与x轴交于O(0,0),A(4,0)两点,顶点为C, 2 ∴点O、A关于对称轴对称. ∴OC=AC. ∴∠COA=∠CAO=∠A'. ∵∠CDO=∠A'DB, ∴△OCD∽△A'BD. ②∵△OCD∽△A'BD, OC CD = ∴ . A'B BD ∵AB=A'B, BD CD ∴ = . AB OC BD CD ∴ 的最小值就是 的最小值. AB OC 1 1 ∵y= x2−2x= (x−2) 2−2, 2 2 ∴C(2,−2). ∴OC=2√2. BD ∴当CD⊥OA时,CD最小, 的值最小. AB 此时D(2,0),CD=2, 【85淘宝店铺:向阳百分百】关注公众号:陆陆高分冲刺 ~领取:最新版“小中高考-总复习”、最新试卷下载 BD 2 √2 ∴ 的最小值是 = . AB 2√2 2 (3)连接A A',过点A'作A'G⊥OA于G,延长CB交A A'于点H,设抛物线的对称轴与x轴交于点F, 如图所示: ∵△OCD∽△A'BD,S =8S , △OCD △A'BD ∴ S △OCD = ( OC ) 2 =8. S A'B △A'BD ∵OC=2√2, ∴AB=A'B=1. ∴OB=OA−AB=4−1=3,BF=2−1=1. ∴B(3,0). 由翻折知,CH⊥A A', ∵∠CFB=∠AHB=90°,∠FBC=∠HBA, ∴∠BCF=∠BAH. BF 1 ∵tan∠BCF= = , CF 2 A'G 1 ∴tan∠BAH= = . AG 2 设A'G=a,则AG=2a,BG=2a−1, 在Rt△A'GB中,由勾股定理得:BG2+A'G2=A'B2, ∴(2a−1) 2+a2=12. 4 解得:a =0(舍去),a = , 1 2 5 【86淘宝店铺:向阳百分百】关注公众号:陆陆高分冲刺 ~领取:最新版“小中高考-总复习”、最新试卷下载 4 8 ∴A'G= ,AG= . 5 5 12 ∴OG=OA−AG= . 5 ∴A'(12 , 4) . 5 5 设直线A'B的解析式为y=kx+b ,把A'(12 , 4) 和B(3,0)代入得: 1 5 5 ¿, 解得:¿, 4 ∴直线A'B的解析式为y=− x+4. 3 【点睛】本题是二次函数的综合,考查了待定系数法求解析式,抛物线的对称性,相似三角形的性质和判 定,勾股定理的应用,熟练掌握二次函数的图象及性质,数形结合是解本题的关键. 29.(2023·浙江湖州·统考一模)一张矩形纸片ABCD(如图1),AB=6,AD=3.点E是BC边上的一 个动点,将△ABE沿直线AE折叠得到△AEF,延长AE交直线CD于点G,直线AF与直线CD交于点Q. 初步探究 (1)求证:△AQG是等腰三角形; (2)设FQ=m,当BE=2CE时,计算m的值; 深入探究 (3)将矩形纸片放入平面直角坐标系中(如图2所示),点B与点О重合,边OC、OA分别与x轴、y轴正 半轴重合.点H在OC边上,将△AOH沿直线AH折叠得到△APH. ①当AP经过CD的中点N时,求点P的坐标; ②在①的条件下,已知二次函数y=−x2+bx+c的图象经过A、D两点.若将直线AH右侧的抛物线沿AH 对折,交y轴于点M,请求出AM的长度. 【答案】(1)见详解 【87淘宝店铺:向阳百分百】关注公众号:陆陆高分冲刺 ~领取:最新版“小中高考-总复习”、最新试卷下载 (2)m=1 (3)①P(3√2,6−3√2);②AM=4√2 【分析】(1)由题意易得AB∥CD,然后根据折叠的性质及平行线的性质可进行求证; EL FL EF 1 (2)过点F作FK∥CD,交AD,BC于点K、L,由题意易证△AKF∽△FLE,则有 = = = , KF AK FA 3 设DK=CL=x,则有AK=3+x,EL=1+x,然后利用勾股定理可建立方程求解; (3)①过点P作PJ∥CD,交x轴于点J,交AD于点T,由题意易得AD=DN=3,则有 ∠OAP=∠DAN=45°,然后根据矩形的性质及等腰直角三角形的性质可求解;②设AP与抛物线 y=−x2+bx+c的交点为M',连接M M',根据折叠性质可知点M与点M'关于AH对称,由①及折叠的性 质可知∠OAH=∠M' AH=22.5°,则有∠MAM'=45°,把点A、D的坐标代入求得二次函数解析式, 过点M'作M'R⊥y轴于点R,则M'R=AR,设点M'(a,−a2+3a+6),然后根据折叠的性质及等腰直角 三角形的性质可进行求解. 【详解】(1)解:∵四边形ABCD是矩形, ∴AB∥CD, ∴∠BAG=∠G, 由折叠的性质可知∠BAG=∠QAG, ∴∠G=∠QAG, ∴AQ=GQ, ∴△AQG是等腰三角形; (2)解:过点F作FK∥CD,交AD,BC于点K、L,如图所示: ∵四边形ABCD是矩形, ∴∠ADC=∠BCD=∠B=90°,AD=BC=3, ∵BE=2CE, ∴BE=2,CE=1, ∵FK∥CD, 【88淘宝店铺:向阳百分百】关注公众号:陆陆高分冲刺 ~领取:最新版“小中高考-总复习”、最新试卷下载 ∴∠K=∠L=∠KDC=∠DCL=90°, ∴四边形DKLC是矩形, ∴DK=CL, 由折叠的性质可知∠B=∠AFE=90°,AB=AF=6,BE=EF=2, ∵∠AFK+∠FAK=∠AFK+∠EFL=90°, ∴∠FAK=∠EFL, ∴△AKF∽△FLE, EL FL EF 1 ∴ = = = , KF AK FA 3 设DK=CL=x,则有AK=3+x,EL=1+x, 1 1 ∴FL= AK=1+ x, 3 3 在Rt△EFL中,由勾股定理得 ( 1+ x) 2 +(1+x) 2=4, 3 3 解得:x= (负根舍去), 5 18 ∴AK= , 5 AK 3 ∴cos∠FAK= = , AF 5 AD ∴AQ= =5, cos∠FAK ∴m=FQ=AF−AQ=1; (3)解:①过点P作PJ∥CD,交x轴于点J,交AD于点T,如图所示: 在矩形ABCD中,AO=CD=6,AD=OC=3,∠OAD=∠ADC=∠OCD=90°, ∴同理(2)可得△ATP∽△PJH,四边形ATJO是矩形, ∴AT=OJ,AO=TJ=6, 【89淘宝店铺:向阳百分百】关注公众号:陆陆高分冲刺 ~领取:最新版“小中高考-总复习”、最新试卷下载 ∵AP经过CD的中点N时, ∴AD=DN=3, ∴∠DAN=45°, ∴∠OAP=45°,△ATP是等腰直角三角形, ∴△PJH也为等腰直角三角形, ∴AT=PT,PJ=HJ, 1 由折叠的性质可得AO=AP=6,∠OAH=∠PAH= ∠OAP=22.5°, 2 √2 ∴AT=PT= AP=3√2,PJ=HJ=6−3√2, 2 ∴AT=OJ=3√2, ∴P(3√2,6−3√2); ②设AP与抛物线y=−x2+bx+c的交点为M',连接M M',根据折叠性质可知点M与点M'关于AH对称, 如图所示: ∴AM=AM', 由AO=6,AD=3可得点A(0,6),D(3,6),代入二次函数y=−x2+bx+c得: ¿, 解得:¿, ∴y=−x2+3x+6, 由①可知∠MAM'=45°,过点M'作M'R⊥y轴于点R, ∴△ARM'是等腰直角三角形, ∴AR=M'R, 设点M'(a,−a2+3a+6),则AR=M'R=a,∨=−a2+3a+6, ∴AR=AO−∨=a2−3a, 【90淘宝店铺:向阳百分百】关注公众号:陆陆高分冲刺 ~领取:最新版“小中高考-总复习”、最新试卷下载 ∴a2−3a=a, 解得:a =4,a =0(不符合题意,舍去), 1 2 ∴AR=M'R=4, ∴AM'=√2AR=4√2=AM. 【点睛】本题主要考查折叠的性质、二次函数的综合、矩形的性质、等腰直角三角形的性质与判定、相似 三角形的性质与判定及三角函数,熟练掌握折叠的性质、二次函数的综合、矩形的性质、等腰直角三角形 的性质与判定、相似三角形的性质与判定及三角函数是解题的关键. 30.(2023·山东枣庄·校考模拟预测)已知:如图,抛物线y=−x2+bx+c经过原点O,它的对称轴为直线 x=2,动点P从抛物线的顶点A出发,在对称轴上以每秒1个单位的速度向下运动,设动点P运动的时间为 t秒,连接OP并延长交抛物线于点B,连接OA,AB. (1)求抛物线解析式及顶点坐标; (2)当三点A,O,B构成以为OB为斜边的直角三角形时,求t的值; (3)将△PAB沿直线PB折叠后,那么点A的对称点A 能否恰好落在坐标轴上?若能,请直接写出所有满足 1 条件的t的值;若不能,请说明理由. 【答案】(1)y=−x2+4x;(2,4) (2)1秒 (3)能,(5− √5 )秒或2 √5秒或(5+ √5 )秒 【分析】(1)根据抛物线过原点,对称轴为直线x=2,待定系数求解析式即可求解; (2)设B(x,−x2+4x).三点A,O,B构成以为OB为斜边的直角三角形,勾股定理得出 5 15 3 OA2+AB2=OB2,B( , ).继而得出直线OB的解析式为y= _ x,当x=2时,y=3,得出 2 4 2 AP=4−3=1,进而即可求解; 【91淘宝店铺:向阳百分百】关注公众号:陆陆高分冲刺 ~领取:最新版“小中高考-总复习”、最新试卷下载 (3)分三种情况讨论,①点A 在x轴正半轴上;②点A 在y轴负半轴上,③点A 在x轴负半轴上,分别画 1 1 1 出图形,根据轴对称的性质,勾股定理即可求解. 【详解】(1)解:由题意得¿, 解得¿, ∴抛物线的解析式为y=−x2+4x; ∵y=−x2+4x=−(x−2) 2+4, ∴顶点A的坐标为(2,4); (2)如图1, 设B(x,−x2+4x). ∵三点A,O,B构成以OB为斜边的直角三角形, ∴ OA2+AB2=OB2, 即22+42+(x−2) 2+(−x2+4x−4) 2=x2+(−x2+4x) 2, 整理,得2x2−9x+10=0, 5 解得x = ,x =2(舍去), 1 2 2 5 15 ∴B( , ). 2 4 5 15 设直线OB的解析式为y=kx,则 k= , 2 4 3 解得k= _, 2 3 ∴y= _ x. 2 【92淘宝店铺:向阳百分百】关注公众号:陆陆高分冲刺 ~领取:最新版“小中高考-总复习”、最新试卷下载 当x=2时,y=3, ∴AP=4−3=1, ∴t=1÷1=1(秒); (3)分三种情况: ①若点A 在x轴正半轴上,如图2, 1 可得PD2+A D2=PA 2 , 1 1 即(4−t) 2+(2 √5 −2) 2=t2, 解得t=5− √5; ②若点A 在y轴负半轴上,如图3,连接A A 交OB于E. 1 1 可得OA =OA=2√5, 1 ∴∠OA A=∠OA A , 1 1 ∵OA ∥AP, 1 ∴∠OA A=∠A AP, 1 1 ∴∠OA A =∠A AP, 1 1 【93淘宝店铺:向阳百分百】关注公众号:陆陆高分冲刺 ~领取:最新版“小中高考-总复习”、最新试卷下载 ∵A A ⊥OP, 1 ∴∠OEA=∠PEA=90°. 在△OAE与△PAE中, ¿, ∴△OAE≌△PAE(ASA), ∴OA=PA=2 √5, ∴t=2 √5; ③若点A 在x轴负半轴上,如图4. 1 可得PD2+A D2=PA 2 , 1 1 即(t−4) 2+(2√5+2) 2=t2, 解得t=5+ √5; 综上所述,所有满足条件的t的值为(5− √5 )秒或2 √5秒或(5+ √5 )秒. 【点睛】本题考查了二次函数综合问题,特殊三角形问题,轴对称的性质,勾股定理,掌握二次函数的性 质是解题的关键. 【94淘宝店铺:向阳百分百】
基本 文件 流程 错误 SQL 调试
  1. 请求信息 : 2026-03-03 04:02:19 HTTP/1.1 GET : https://www.yeyulingfeng.com/wendang/330960.html
  2. 运行时间 : 0.101041s [ 吞吐率:9.90req/s ] 内存消耗:6,220.88kb 文件加载:144
  3. 缓存信息 : 0 reads,0 writes
  4. 会话信息 : SESSION_ID=a5c210ff4d57bc95f93003af5e60d600
  1. /yingpanguazai/ssd/ssd1/www/wwww.yeyulingfeng.com/public/index.php ( 0.79 KB )
  2. /yingpanguazai/ssd/ssd1/www/wwww.yeyulingfeng.com/vendor/autoload.php ( 0.17 KB )
  3. /yingpanguazai/ssd/ssd1/www/wwww.yeyulingfeng.com/vendor/composer/autoload_real.php ( 2.49 KB )
  4. /yingpanguazai/ssd/ssd1/www/wwww.yeyulingfeng.com/vendor/composer/platform_check.php ( 0.90 KB )
  5. /yingpanguazai/ssd/ssd1/www/wwww.yeyulingfeng.com/vendor/composer/ClassLoader.php ( 14.03 KB )
  6. /yingpanguazai/ssd/ssd1/www/wwww.yeyulingfeng.com/vendor/composer/autoload_static.php ( 6.05 KB )
  7. /yingpanguazai/ssd/ssd1/www/wwww.yeyulingfeng.com/vendor/topthink/think-helper/src/helper.php ( 8.34 KB )
  8. /yingpanguazai/ssd/ssd1/www/wwww.yeyulingfeng.com/vendor/topthink/think-validate/src/helper.php ( 2.19 KB )
  9. /yingpanguazai/ssd/ssd1/www/wwww.yeyulingfeng.com/vendor/ralouphie/getallheaders/src/getallheaders.php ( 1.60 KB )
  10. /yingpanguazai/ssd/ssd1/www/wwww.yeyulingfeng.com/vendor/topthink/think-orm/src/helper.php ( 1.47 KB )
  11. /yingpanguazai/ssd/ssd1/www/wwww.yeyulingfeng.com/vendor/topthink/think-orm/stubs/load_stubs.php ( 0.16 KB )
  12. /yingpanguazai/ssd/ssd1/www/wwww.yeyulingfeng.com/vendor/topthink/framework/src/think/Exception.php ( 1.69 KB )
  13. /yingpanguazai/ssd/ssd1/www/wwww.yeyulingfeng.com/vendor/topthink/think-container/src/Facade.php ( 2.71 KB )
  14. /yingpanguazai/ssd/ssd1/www/wwww.yeyulingfeng.com/vendor/symfony/deprecation-contracts/function.php ( 0.99 KB )
  15. /yingpanguazai/ssd/ssd1/www/wwww.yeyulingfeng.com/vendor/symfony/polyfill-mbstring/bootstrap.php ( 8.26 KB )
  16. /yingpanguazai/ssd/ssd1/www/wwww.yeyulingfeng.com/vendor/symfony/polyfill-mbstring/bootstrap80.php ( 9.78 KB )
  17. /yingpanguazai/ssd/ssd1/www/wwww.yeyulingfeng.com/vendor/symfony/var-dumper/Resources/functions/dump.php ( 1.49 KB )
  18. /yingpanguazai/ssd/ssd1/www/wwww.yeyulingfeng.com/vendor/topthink/think-dumper/src/helper.php ( 0.18 KB )
  19. /yingpanguazai/ssd/ssd1/www/wwww.yeyulingfeng.com/vendor/symfony/var-dumper/VarDumper.php ( 4.30 KB )
  20. /yingpanguazai/ssd/ssd1/www/wwww.yeyulingfeng.com/vendor/guzzlehttp/guzzle/src/functions_include.php ( 0.16 KB )
  21. /yingpanguazai/ssd/ssd1/www/wwww.yeyulingfeng.com/vendor/guzzlehttp/guzzle/src/functions.php ( 5.54 KB )
  22. /yingpanguazai/ssd/ssd1/www/wwww.yeyulingfeng.com/vendor/topthink/framework/src/think/App.php ( 15.30 KB )
  23. /yingpanguazai/ssd/ssd1/www/wwww.yeyulingfeng.com/vendor/topthink/think-container/src/Container.php ( 15.76 KB )
  24. /yingpanguazai/ssd/ssd1/www/wwww.yeyulingfeng.com/vendor/psr/container/src/ContainerInterface.php ( 1.02 KB )
  25. /yingpanguazai/ssd/ssd1/www/wwww.yeyulingfeng.com/app/provider.php ( 0.19 KB )
  26. /yingpanguazai/ssd/ssd1/www/wwww.yeyulingfeng.com/vendor/topthink/framework/src/think/Http.php ( 6.04 KB )
  27. /yingpanguazai/ssd/ssd1/www/wwww.yeyulingfeng.com/vendor/topthink/think-helper/src/helper/Str.php ( 7.29 KB )
  28. /yingpanguazai/ssd/ssd1/www/wwww.yeyulingfeng.com/vendor/topthink/framework/src/think/Env.php ( 4.68 KB )
  29. /yingpanguazai/ssd/ssd1/www/wwww.yeyulingfeng.com/app/common.php ( 0.03 KB )
  30. /yingpanguazai/ssd/ssd1/www/wwww.yeyulingfeng.com/vendor/topthink/framework/src/helper.php ( 18.78 KB )
  31. /yingpanguazai/ssd/ssd1/www/wwww.yeyulingfeng.com/vendor/topthink/framework/src/think/Config.php ( 5.54 KB )
  32. /yingpanguazai/ssd/ssd1/www/wwww.yeyulingfeng.com/config/alipay.php ( 3.59 KB )
  33. /yingpanguazai/ssd/ssd1/www/wwww.yeyulingfeng.com/vendor/topthink/framework/src/think/facade/Env.php ( 1.67 KB )
  34. /yingpanguazai/ssd/ssd1/www/wwww.yeyulingfeng.com/config/app.php ( 0.95 KB )
  35. /yingpanguazai/ssd/ssd1/www/wwww.yeyulingfeng.com/config/cache.php ( 0.78 KB )
  36. /yingpanguazai/ssd/ssd1/www/wwww.yeyulingfeng.com/config/console.php ( 0.23 KB )
  37. /yingpanguazai/ssd/ssd1/www/wwww.yeyulingfeng.com/config/cookie.php ( 0.56 KB )
  38. /yingpanguazai/ssd/ssd1/www/wwww.yeyulingfeng.com/config/database.php ( 2.48 KB )
  39. /yingpanguazai/ssd/ssd1/www/wwww.yeyulingfeng.com/config/filesystem.php ( 0.61 KB )
  40. /yingpanguazai/ssd/ssd1/www/wwww.yeyulingfeng.com/config/lang.php ( 0.91 KB )
  41. /yingpanguazai/ssd/ssd1/www/wwww.yeyulingfeng.com/config/log.php ( 1.35 KB )
  42. /yingpanguazai/ssd/ssd1/www/wwww.yeyulingfeng.com/config/middleware.php ( 0.19 KB )
  43. /yingpanguazai/ssd/ssd1/www/wwww.yeyulingfeng.com/config/route.php ( 1.89 KB )
  44. /yingpanguazai/ssd/ssd1/www/wwww.yeyulingfeng.com/config/session.php ( 0.57 KB )
  45. /yingpanguazai/ssd/ssd1/www/wwww.yeyulingfeng.com/config/trace.php ( 0.34 KB )
  46. /yingpanguazai/ssd/ssd1/www/wwww.yeyulingfeng.com/config/view.php ( 0.82 KB )
  47. /yingpanguazai/ssd/ssd1/www/wwww.yeyulingfeng.com/app/event.php ( 0.25 KB )
  48. /yingpanguazai/ssd/ssd1/www/wwww.yeyulingfeng.com/vendor/topthink/framework/src/think/Event.php ( 7.67 KB )
  49. /yingpanguazai/ssd/ssd1/www/wwww.yeyulingfeng.com/app/service.php ( 0.13 KB )
  50. /yingpanguazai/ssd/ssd1/www/wwww.yeyulingfeng.com/app/AppService.php ( 0.26 KB )
  51. /yingpanguazai/ssd/ssd1/www/wwww.yeyulingfeng.com/vendor/topthink/framework/src/think/Service.php ( 1.64 KB )
  52. /yingpanguazai/ssd/ssd1/www/wwww.yeyulingfeng.com/vendor/topthink/framework/src/think/Lang.php ( 7.35 KB )
  53. /yingpanguazai/ssd/ssd1/www/wwww.yeyulingfeng.com/vendor/topthink/framework/src/lang/zh-cn.php ( 13.70 KB )
  54. /yingpanguazai/ssd/ssd1/www/wwww.yeyulingfeng.com/vendor/topthink/framework/src/think/initializer/Error.php ( 3.31 KB )
  55. /yingpanguazai/ssd/ssd1/www/wwww.yeyulingfeng.com/vendor/topthink/framework/src/think/initializer/RegisterService.php ( 1.33 KB )
  56. /yingpanguazai/ssd/ssd1/www/wwww.yeyulingfeng.com/vendor/services.php ( 0.14 KB )
  57. /yingpanguazai/ssd/ssd1/www/wwww.yeyulingfeng.com/vendor/topthink/framework/src/think/service/PaginatorService.php ( 1.52 KB )
  58. /yingpanguazai/ssd/ssd1/www/wwww.yeyulingfeng.com/vendor/topthink/framework/src/think/service/ValidateService.php ( 0.99 KB )
  59. /yingpanguazai/ssd/ssd1/www/wwww.yeyulingfeng.com/vendor/topthink/framework/src/think/service/ModelService.php ( 2.04 KB )
  60. /yingpanguazai/ssd/ssd1/www/wwww.yeyulingfeng.com/vendor/topthink/think-trace/src/Service.php ( 0.77 KB )
  61. /yingpanguazai/ssd/ssd1/www/wwww.yeyulingfeng.com/vendor/topthink/framework/src/think/Middleware.php ( 6.72 KB )
  62. /yingpanguazai/ssd/ssd1/www/wwww.yeyulingfeng.com/vendor/topthink/framework/src/think/initializer/BootService.php ( 0.77 KB )
  63. /yingpanguazai/ssd/ssd1/www/wwww.yeyulingfeng.com/vendor/topthink/think-orm/src/Paginator.php ( 11.86 KB )
  64. /yingpanguazai/ssd/ssd1/www/wwww.yeyulingfeng.com/vendor/topthink/think-validate/src/Validate.php ( 63.20 KB )
  65. /yingpanguazai/ssd/ssd1/www/wwww.yeyulingfeng.com/vendor/topthink/think-orm/src/Model.php ( 23.55 KB )
  66. /yingpanguazai/ssd/ssd1/www/wwww.yeyulingfeng.com/vendor/topthink/think-orm/src/model/concern/Attribute.php ( 21.05 KB )
  67. /yingpanguazai/ssd/ssd1/www/wwww.yeyulingfeng.com/vendor/topthink/think-orm/src/model/concern/AutoWriteData.php ( 4.21 KB )
  68. /yingpanguazai/ssd/ssd1/www/wwww.yeyulingfeng.com/vendor/topthink/think-orm/src/model/concern/Conversion.php ( 6.44 KB )
  69. /yingpanguazai/ssd/ssd1/www/wwww.yeyulingfeng.com/vendor/topthink/think-orm/src/model/concern/DbConnect.php ( 5.16 KB )
  70. /yingpanguazai/ssd/ssd1/www/wwww.yeyulingfeng.com/vendor/topthink/think-orm/src/model/concern/ModelEvent.php ( 2.33 KB )
  71. /yingpanguazai/ssd/ssd1/www/wwww.yeyulingfeng.com/vendor/topthink/think-orm/src/model/concern/RelationShip.php ( 28.29 KB )
  72. /yingpanguazai/ssd/ssd1/www/wwww.yeyulingfeng.com/vendor/topthink/think-helper/src/contract/Arrayable.php ( 0.09 KB )
  73. /yingpanguazai/ssd/ssd1/www/wwww.yeyulingfeng.com/vendor/topthink/think-helper/src/contract/Jsonable.php ( 0.13 KB )
  74. /yingpanguazai/ssd/ssd1/www/wwww.yeyulingfeng.com/vendor/topthink/think-orm/src/model/contract/Modelable.php ( 0.09 KB )
  75. /yingpanguazai/ssd/ssd1/www/wwww.yeyulingfeng.com/vendor/topthink/framework/src/think/Db.php ( 2.88 KB )
  76. /yingpanguazai/ssd/ssd1/www/wwww.yeyulingfeng.com/vendor/topthink/think-orm/src/DbManager.php ( 8.52 KB )
  77. /yingpanguazai/ssd/ssd1/www/wwww.yeyulingfeng.com/vendor/topthink/framework/src/think/Log.php ( 6.28 KB )
  78. /yingpanguazai/ssd/ssd1/www/wwww.yeyulingfeng.com/vendor/topthink/framework/src/think/Manager.php ( 3.92 KB )
  79. /yingpanguazai/ssd/ssd1/www/wwww.yeyulingfeng.com/vendor/psr/log/src/LoggerTrait.php ( 2.69 KB )
  80. /yingpanguazai/ssd/ssd1/www/wwww.yeyulingfeng.com/vendor/psr/log/src/LoggerInterface.php ( 2.71 KB )
  81. /yingpanguazai/ssd/ssd1/www/wwww.yeyulingfeng.com/vendor/topthink/framework/src/think/Cache.php ( 4.92 KB )
  82. /yingpanguazai/ssd/ssd1/www/wwww.yeyulingfeng.com/vendor/psr/simple-cache/src/CacheInterface.php ( 4.71 KB )
  83. /yingpanguazai/ssd/ssd1/www/wwww.yeyulingfeng.com/vendor/topthink/think-helper/src/helper/Arr.php ( 16.63 KB )
  84. /yingpanguazai/ssd/ssd1/www/wwww.yeyulingfeng.com/vendor/topthink/framework/src/think/cache/driver/File.php ( 7.84 KB )
  85. /yingpanguazai/ssd/ssd1/www/wwww.yeyulingfeng.com/vendor/topthink/framework/src/think/cache/Driver.php ( 9.03 KB )
  86. /yingpanguazai/ssd/ssd1/www/wwww.yeyulingfeng.com/vendor/topthink/framework/src/think/contract/CacheHandlerInterface.php ( 1.99 KB )
  87. /yingpanguazai/ssd/ssd1/www/wwww.yeyulingfeng.com/app/Request.php ( 0.09 KB )
  88. /yingpanguazai/ssd/ssd1/www/wwww.yeyulingfeng.com/vendor/topthink/framework/src/think/Request.php ( 55.78 KB )
  89. /yingpanguazai/ssd/ssd1/www/wwww.yeyulingfeng.com/app/middleware.php ( 0.25 KB )
  90. /yingpanguazai/ssd/ssd1/www/wwww.yeyulingfeng.com/vendor/topthink/framework/src/think/Pipeline.php ( 2.61 KB )
  91. /yingpanguazai/ssd/ssd1/www/wwww.yeyulingfeng.com/vendor/topthink/think-trace/src/TraceDebug.php ( 3.40 KB )
  92. /yingpanguazai/ssd/ssd1/www/wwww.yeyulingfeng.com/vendor/topthink/framework/src/think/middleware/SessionInit.php ( 1.94 KB )
  93. /yingpanguazai/ssd/ssd1/www/wwww.yeyulingfeng.com/vendor/topthink/framework/src/think/Session.php ( 1.80 KB )
  94. /yingpanguazai/ssd/ssd1/www/wwww.yeyulingfeng.com/vendor/topthink/framework/src/think/session/driver/File.php ( 6.27 KB )
  95. /yingpanguazai/ssd/ssd1/www/wwww.yeyulingfeng.com/vendor/topthink/framework/src/think/contract/SessionHandlerInterface.php ( 0.87 KB )
  96. /yingpanguazai/ssd/ssd1/www/wwww.yeyulingfeng.com/vendor/topthink/framework/src/think/session/Store.php ( 7.12 KB )
  97. /yingpanguazai/ssd/ssd1/www/wwww.yeyulingfeng.com/vendor/topthink/framework/src/think/Route.php ( 23.73 KB )
  98. /yingpanguazai/ssd/ssd1/www/wwww.yeyulingfeng.com/vendor/topthink/framework/src/think/route/RuleName.php ( 5.75 KB )
  99. /yingpanguazai/ssd/ssd1/www/wwww.yeyulingfeng.com/vendor/topthink/framework/src/think/route/Domain.php ( 2.53 KB )
  100. /yingpanguazai/ssd/ssd1/www/wwww.yeyulingfeng.com/vendor/topthink/framework/src/think/route/RuleGroup.php ( 22.43 KB )
  101. /yingpanguazai/ssd/ssd1/www/wwww.yeyulingfeng.com/vendor/topthink/framework/src/think/route/Rule.php ( 26.95 KB )
  102. /yingpanguazai/ssd/ssd1/www/wwww.yeyulingfeng.com/vendor/topthink/framework/src/think/route/RuleItem.php ( 9.78 KB )
  103. /yingpanguazai/ssd/ssd1/www/wwww.yeyulingfeng.com/route/app.php ( 3.63 KB )
  104. /yingpanguazai/ssd/ssd1/www/wwww.yeyulingfeng.com/vendor/topthink/framework/src/think/facade/Route.php ( 4.70 KB )
  105. /yingpanguazai/ssd/ssd1/www/wwww.yeyulingfeng.com/vendor/topthink/framework/src/think/route/dispatch/Controller.php ( 4.74 KB )
  106. /yingpanguazai/ssd/ssd1/www/wwww.yeyulingfeng.com/vendor/topthink/framework/src/think/route/Dispatch.php ( 10.44 KB )
  107. /yingpanguazai/ssd/ssd1/www/wwww.yeyulingfeng.com/app/controller/Index.php ( 9.50 KB )
  108. /yingpanguazai/ssd/ssd1/www/wwww.yeyulingfeng.com/app/BaseController.php ( 2.05 KB )
  109. /yingpanguazai/ssd/ssd1/www/wwww.yeyulingfeng.com/vendor/topthink/think-orm/src/facade/Db.php ( 0.93 KB )
  110. /yingpanguazai/ssd/ssd1/www/wwww.yeyulingfeng.com/vendor/topthink/think-orm/src/db/connector/Mysql.php ( 5.44 KB )
  111. /yingpanguazai/ssd/ssd1/www/wwww.yeyulingfeng.com/vendor/topthink/think-orm/src/db/PDOConnection.php ( 52.47 KB )
  112. /yingpanguazai/ssd/ssd1/www/wwww.yeyulingfeng.com/vendor/topthink/think-orm/src/db/Connection.php ( 8.39 KB )
  113. /yingpanguazai/ssd/ssd1/www/wwww.yeyulingfeng.com/vendor/topthink/think-orm/src/db/ConnectionInterface.php ( 4.57 KB )
  114. /yingpanguazai/ssd/ssd1/www/wwww.yeyulingfeng.com/vendor/topthink/think-orm/src/db/builder/Mysql.php ( 16.58 KB )
  115. /yingpanguazai/ssd/ssd1/www/wwww.yeyulingfeng.com/vendor/topthink/think-orm/src/db/Builder.php ( 24.06 KB )
  116. /yingpanguazai/ssd/ssd1/www/wwww.yeyulingfeng.com/vendor/topthink/think-orm/src/db/BaseBuilder.php ( 27.50 KB )
  117. /yingpanguazai/ssd/ssd1/www/wwww.yeyulingfeng.com/vendor/topthink/think-orm/src/db/Query.php ( 15.71 KB )
  118. /yingpanguazai/ssd/ssd1/www/wwww.yeyulingfeng.com/vendor/topthink/think-orm/src/db/BaseQuery.php ( 45.13 KB )
  119. /yingpanguazai/ssd/ssd1/www/wwww.yeyulingfeng.com/vendor/topthink/think-orm/src/db/concern/TimeFieldQuery.php ( 7.43 KB )
  120. /yingpanguazai/ssd/ssd1/www/wwww.yeyulingfeng.com/vendor/topthink/think-orm/src/db/concern/AggregateQuery.php ( 3.26 KB )
  121. /yingpanguazai/ssd/ssd1/www/wwww.yeyulingfeng.com/vendor/topthink/think-orm/src/db/concern/ModelRelationQuery.php ( 20.07 KB )
  122. /yingpanguazai/ssd/ssd1/www/wwww.yeyulingfeng.com/vendor/topthink/think-orm/src/db/concern/ParamsBind.php ( 3.66 KB )
  123. /yingpanguazai/ssd/ssd1/www/wwww.yeyulingfeng.com/vendor/topthink/think-orm/src/db/concern/ResultOperation.php ( 7.01 KB )
  124. /yingpanguazai/ssd/ssd1/www/wwww.yeyulingfeng.com/vendor/topthink/think-orm/src/db/concern/WhereQuery.php ( 19.37 KB )
  125. /yingpanguazai/ssd/ssd1/www/wwww.yeyulingfeng.com/vendor/topthink/think-orm/src/db/concern/JoinAndViewQuery.php ( 7.11 KB )
  126. /yingpanguazai/ssd/ssd1/www/wwww.yeyulingfeng.com/vendor/topthink/think-orm/src/db/concern/TableFieldInfo.php ( 2.63 KB )
  127. /yingpanguazai/ssd/ssd1/www/wwww.yeyulingfeng.com/vendor/topthink/think-orm/src/db/concern/Transaction.php ( 2.77 KB )
  128. /yingpanguazai/ssd/ssd1/www/wwww.yeyulingfeng.com/vendor/topthink/framework/src/think/log/driver/File.php ( 5.96 KB )
  129. /yingpanguazai/ssd/ssd1/www/wwww.yeyulingfeng.com/vendor/topthink/framework/src/think/contract/LogHandlerInterface.php ( 0.86 KB )
  130. /yingpanguazai/ssd/ssd1/www/wwww.yeyulingfeng.com/vendor/topthink/framework/src/think/log/Channel.php ( 3.89 KB )
  131. /yingpanguazai/ssd/ssd1/www/wwww.yeyulingfeng.com/vendor/topthink/framework/src/think/event/LogRecord.php ( 1.02 KB )
  132. /yingpanguazai/ssd/ssd1/www/wwww.yeyulingfeng.com/vendor/topthink/think-helper/src/Collection.php ( 16.47 KB )
  133. /yingpanguazai/ssd/ssd1/www/wwww.yeyulingfeng.com/vendor/topthink/framework/src/think/facade/View.php ( 1.70 KB )
  134. /yingpanguazai/ssd/ssd1/www/wwww.yeyulingfeng.com/vendor/topthink/framework/src/think/View.php ( 4.39 KB )
  135. /yingpanguazai/ssd/ssd1/www/wwww.yeyulingfeng.com/vendor/topthink/framework/src/think/Response.php ( 8.81 KB )
  136. /yingpanguazai/ssd/ssd1/www/wwww.yeyulingfeng.com/vendor/topthink/framework/src/think/response/View.php ( 3.29 KB )
  137. /yingpanguazai/ssd/ssd1/www/wwww.yeyulingfeng.com/vendor/topthink/framework/src/think/Cookie.php ( 6.06 KB )
  138. /yingpanguazai/ssd/ssd1/www/wwww.yeyulingfeng.com/vendor/topthink/think-view/src/Think.php ( 8.38 KB )
  139. /yingpanguazai/ssd/ssd1/www/wwww.yeyulingfeng.com/vendor/topthink/framework/src/think/contract/TemplateHandlerInterface.php ( 1.60 KB )
  140. /yingpanguazai/ssd/ssd1/www/wwww.yeyulingfeng.com/vendor/topthink/think-template/src/Template.php ( 46.61 KB )
  141. /yingpanguazai/ssd/ssd1/www/wwww.yeyulingfeng.com/vendor/topthink/think-template/src/template/driver/File.php ( 2.41 KB )
  142. /yingpanguazai/ssd/ssd1/www/wwww.yeyulingfeng.com/vendor/topthink/think-template/src/template/contract/DriverInterface.php ( 0.86 KB )
  143. /yingpanguazai/ssd/ssd1/www/wwww.yeyulingfeng.com/runtime/temp/10a0c909b6afa23b5a52a2e2d58c3c0f.php ( 21.72 KB )
  144. /yingpanguazai/ssd/ssd1/www/wwww.yeyulingfeng.com/vendor/topthink/think-trace/src/Html.php ( 4.42 KB )
  1. CONNECT:[ UseTime:0.000378s ] mysql:host=127.0.0.1;port=3306;dbname=wenku;charset=utf8mb4
  2. SHOW FULL COLUMNS FROM `fenlei` [ RunTime:0.000546s ]
  3. SELECT * FROM `fenlei` WHERE `fid` = 0 [ RunTime:0.001499s ]
  4. SELECT * FROM `fenlei` WHERE `fid` = 63 [ RunTime:0.002440s ]
  5. SHOW FULL COLUMNS FROM `set` [ RunTime:0.000507s ]
  6. SELECT * FROM `set` [ RunTime:0.000221s ]
  7. SHOW FULL COLUMNS FROM `wendang` [ RunTime:0.000542s ]
  8. SELECT * FROM `wendang` WHERE `id` = 330960 LIMIT 1 [ RunTime:0.000592s ]
  9. UPDATE `wendang` SET `liulancishu` = 2 WHERE `id` = 330960 [ RunTime:0.000883s ]
  10. UPDATE `wendang` SET `lasttime` = 1772481739 WHERE `id` = 330960 [ RunTime:0.001140s ]
  11. SELECT * FROM `wendang` WHERE `id` < 330960 ORDER BY `id` DESC LIMIT 1 [ RunTime:0.000513s ]
  12. SELECT * FROM `wendang` WHERE `id` > 330960 ORDER BY `id` ASC LIMIT 1 [ RunTime:0.000410s ]
  13. SELECT * FROM `wendang` WHERE `id` <> 330960 ORDER BY `id` DESC LIMIT 10 [ RunTime:0.002281s ]
  14. SELECT * FROM `wendang` WHERE `id` <> 330960 ORDER BY `id` DESC LIMIT 10,10 [ RunTime:0.009119s ]
  15. SELECT * FROM `wendang` WHERE `id` <> 330960 ORDER BY `id` DESC LIMIT 20,10 [ RunTime:0.010081s ]
0.102581s