当前位置:首页>文档>06选填题之三角函数(原卷版)_2.2025数学总复习_2024年新高考资料_2.2024二轮复习_2024年高考数学二轮复习讲义题型归纳+专项训练(新高考专用)

06选填题之三角函数(原卷版)_2.2025数学总复习_2024年新高考资料_2.2024二轮复习_2024年高考数学二轮复习讲义题型归纳+专项训练(新高考专用)

  • 2026-03-23 10:38:47 2026-03-08 01:14:37

文档预览

06选填题之三角函数(原卷版)_2.2025数学总复习_2024年新高考资料_2.2024二轮复习_2024年高考数学二轮复习讲义题型归纳+专项训练(新高考专用)
06选填题之三角函数(原卷版)_2.2025数学总复习_2024年新高考资料_2.2024二轮复习_2024年高考数学二轮复习讲义题型归纳+专项训练(新高考专用)
06选填题之三角函数(原卷版)_2.2025数学总复习_2024年新高考资料_2.2024二轮复习_2024年高考数学二轮复习讲义题型归纳+专项训练(新高考专用)
06选填题之三角函数(原卷版)_2.2025数学总复习_2024年新高考资料_2.2024二轮复习_2024年高考数学二轮复习讲义题型归纳+专项训练(新高考专用)
06选填题之三角函数(原卷版)_2.2025数学总复习_2024年新高考资料_2.2024二轮复习_2024年高考数学二轮复习讲义题型归纳+专项训练(新高考专用)
06选填题之三角函数(原卷版)_2.2025数学总复习_2024年新高考资料_2.2024二轮复习_2024年高考数学二轮复习讲义题型归纳+专项训练(新高考专用)
06选填题之三角函数(原卷版)_2.2025数学总复习_2024年新高考资料_2.2024二轮复习_2024年高考数学二轮复习讲义题型归纳+专项训练(新高考专用)
06选填题之三角函数(原卷版)_2.2025数学总复习_2024年新高考资料_2.2024二轮复习_2024年高考数学二轮复习讲义题型归纳+专项训练(新高考专用)
06选填题之三角函数(原卷版)_2.2025数学总复习_2024年新高考资料_2.2024二轮复习_2024年高考数学二轮复习讲义题型归纳+专项训练(新高考专用)
06选填题之三角函数(原卷版)_2.2025数学总复习_2024年新高考资料_2.2024二轮复习_2024年高考数学二轮复习讲义题型归纳+专项训练(新高考专用)
06选填题之三角函数(原卷版)_2.2025数学总复习_2024年新高考资料_2.2024二轮复习_2024年高考数学二轮复习讲义题型归纳+专项训练(新高考专用)
06选填题之三角函数(原卷版)_2.2025数学总复习_2024年新高考资料_2.2024二轮复习_2024年高考数学二轮复习讲义题型归纳+专项训练(新高考专用)
06选填题之三角函数(原卷版)_2.2025数学总复习_2024年新高考资料_2.2024二轮复习_2024年高考数学二轮复习讲义题型归纳+专项训练(新高考专用)
06选填题之三角函数(原卷版)_2.2025数学总复习_2024年新高考资料_2.2024二轮复习_2024年高考数学二轮复习讲义题型归纳+专项训练(新高考专用)
06选填题之三角函数(原卷版)_2.2025数学总复习_2024年新高考资料_2.2024二轮复习_2024年高考数学二轮复习讲义题型归纳+专项训练(新高考专用)
06选填题之三角函数(原卷版)_2.2025数学总复习_2024年新高考资料_2.2024二轮复习_2024年高考数学二轮复习讲义题型归纳+专项训练(新高考专用)

文档信息

文档格式
docx
文档大小
0.523 MB
文档页数
16 页
上传时间
2026-03-08 01:14:37

文档内容

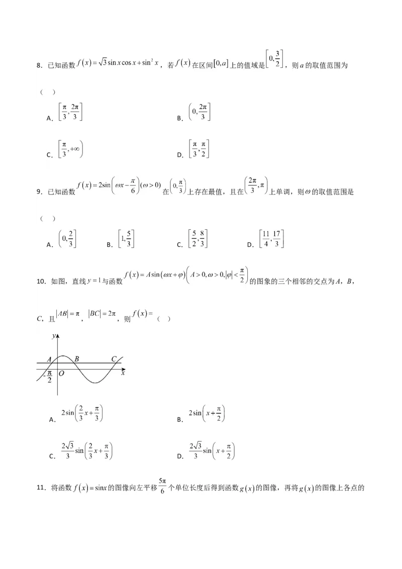
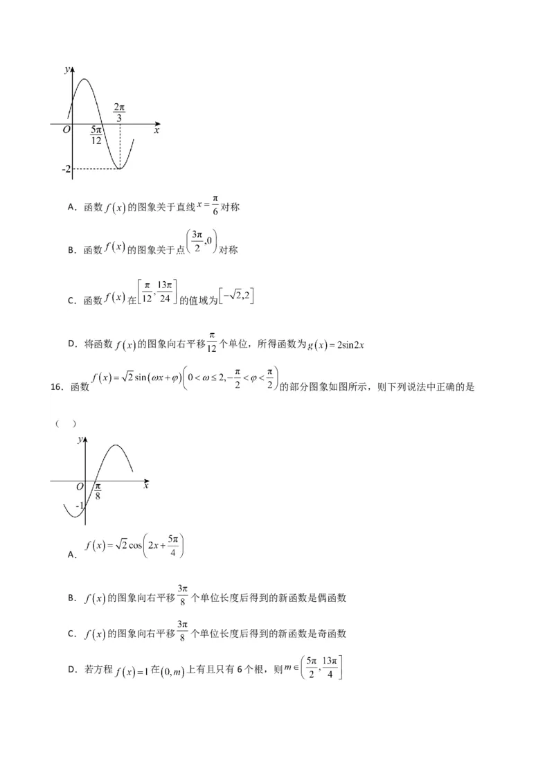
☆注:请用Microsoft Word2016以上版本打开文件进行编辑,用WPS等其他软件可能会出现乱码等现象. 高中数学二轮复习讲义——选填题部分 第 6 讲 三角函数 单独考查三角变换的题目较少,往往以解三角形为背景,在应用正弦定理、余 弦定理的同时,应用三角恒等变换进行化简,综合性比较强,但难度不大.也可能与三角函数等其他知识 相结合. 三角函数的考查重点是三角函数的定义、图象与性质,考查中以图象的变换、函数的单调性、奇偶性、 周期性、对称性、最值作为热点,并常与三角恒等变换交汇命题,难度为中档偏下. 题型一、三角恒等变换 考点1.同角之间的关系、诱导公式 1.已知角 的顶点与原点 O 重合,始边与 x 轴的正半轴重合,若它的终边经过点 P(2,1),则 α π tan(2α+ )=( ) 4 1 1 A.﹣7 B.− C. D.7 7 7 2.已知sin +cos =1,cos +sin =0,则sin( + )= . α3 β α β α β 3.若tan = ,则cos2 +2sin2 =( ) 4 α α α 64 48 16 A. B. C.1 D. 25 25 25 π 3 π 4.已知 是第四象限角,且sin( + )= ,则tan( − )= . 4 5 4 θ θ θ 考点2.两角和与差角公式、二倍角公式、辅助角公式 sinα+2cosα → → → → 1.已知向量 (1,sin ), (2,cos ),且 ∥ ,计算: = . a= b= a b cosα−3sinα α α 2 2 2.已知sinx﹣siny=− ,cosx﹣cosy= 且x,y为锐角,则tan(x﹣y)= . 3 3π π 3.已知sin +sin( + )=1,则sin( + )=( ) 3 6 θ θ θ 1 √3 2 √2 A. B. C. D. 2 3 3 2 π 2 π 4.已知 ( , ),并且sin +2cos = ,则tan( + )=( ) 2 5 4 α∈ π α α α 17 31 1 A.− B.− C.− D.﹣7 31 17 7 π β √3 α 1 5.若α,β∈(0, ),cos(α− )= ,sin( −β)=− ,则cos( + )的值等于( ) 2 2 2 2 2 α β √3 1 1 √3 A.− B.− C. D. 2 2 2 2 1 1 6.已知tan( ﹣ )= ,tanβ=− ,且 , (0, ),则2 ﹣ =( ) 2 7 α β α β∈ π α β π π 5π A. B. , 4 4 4 3π π 5π 3π C.− D. , ,− 4 4 4 4 π 7.已知α∈(0, ),2sin2 ﹣cos2 =1,则cos =( ) 2 α α α 1 √5 3 2√5 A. B. C. D. 5 5 5 5 α 8.若 (0, ),且sin ﹣2cos =2,则tan 等于( ) 2 α∈ π α α 1 1 A.3 B.2 C. D. 2 3 考点3.三角恒等变换综合 1.若sin =3sin(2 ﹣ ),则2tan( ﹣ )+tan 的值为 . β α β α β4 α π 3π 2.已知2+5cos2 =cos ,cos({2 + })= , (0, ), ( ,2 ),则cos 的值为( ) 5 2 2 α α α β α∈ β∈ π β 4 44 44 4 A.− B. C.− D. 5 125 125 5 3.若 ,则( )A. B. C. D. 4.若 , ,则 ( ) A. B. C. D. 5.已 ,且 则 等于( ) A. B. C. D. 6.已知角 ,且 , ,则 ( ) A. B. C. D.2 题型二、三角函数的图像 考点1.伸缩变换 π 1.要得到函数y=3sin(2x+ )的图象,只需要将函数y=3cos2x的图象( ) 3 π A.向右平行移动 个单位 12 π B.向左平行移动 个单位 12 π C.向右平行移动 个单位 6 π D.向左平行移动 个单位 6 2π 2.已知曲线C :y=cosx,C :y=sin(2x+ ),则下面结论正确的是( ) 1 2 3π A.把C 上各点的横坐标伸长到原来的2倍,纵坐标不变,再把得到的曲线向右平移 个单位长度,得 1 6 到曲线C 2 π B.把C 上各点的横坐标伸长到原来的2倍,纵坐标不变,再把得到的曲线向左平移 个单位长度,得 1 12 到曲线C 2 1 π C.把C 上各点的横坐标缩短到原来的 ,纵坐标不变,再把得到的曲线向右平移 个单位长度,得到 1 2 6 曲线C 2 1 π D.把C 上各点的横坐标缩短到原来的 ,纵坐标不变,再把得到的曲线向左平移 个单位长度,得到 1 2 12 曲线C 2 3.已知函数f(x)=Asin( x+ )(A>0, >0,| |< )是奇函数,且f(x)的最小正周期为 ,将 y=f(x)的图象上所有ω点的φ横坐标伸长ω到原来的φ2倍π(纵坐标不变),所得图象对应的函数π为 g π 3π (x).若g( )=√2,则f( )=( ) 4 8 A.﹣2 B.−√2 C.√2 D.2 π π 4.函数y=cos(2x+ )(﹣ ≤ < )的图象向右平移 个单位后,与函数y=sin(2x+ )的图象重合, 2 3 φ π φ π 则 = . φ π π 5.若y=|3sin( x+ )+2|的图象向右平移 个单位后与自身重合,且y=tan x的一个对称中心为( 12 6 ω ω π ,0),则 的最小正值为 . 48 ω π 6.将函数f(x)=3sin2x的图象向右平移 (0< < )个单位后得到函数g(x)的图象,若对满足|f 2 φ φ π (x )﹣g(x )|=6的x ,x ,有|x ﹣x | = ,则 =( ) 1 2 1 2 1 2 min 6 φ 5π π π π A. B. C. D. 12 3 4 6 考点2.求解析式 π 5π 1.图是函数y=Asin( x+ )(x R)在区间[− , ]上的图象,为了得到这个函数的图象,只要将y 6 6 ω φ ∈=sinx(x R)的图象上所有的点( ) ∈ π 1 A.向左平移 个单位长度,再把所得各点的横坐标缩短到原来的 ,纵坐标不变 3 2 π B.向左平移 个单位长度,再把所得各点的横坐标伸长到原来的2倍,纵坐标不变 3 π 1 C.向左平移 个单位长度,再把所得各点的横坐标缩短到原来的 ,纵坐标不变 6 2 π D.向左平移 个单位长度,再把所得各点的横坐标伸长到原来的2倍,纵坐标不变 6 π 2.已知函数f(x)=Asin( x+ )(其中A, , 为常数,且A>0, >0,|φ|< )的部分图象如 2 ω φ ω φ ω 3 π 图所示,若f(α)= ,则sin(2α+ )的值为( ) 2 6 3 1 1 1 A.− B.− C. D. 4 8 8 3 π π 3.已知函数f(x)=Asin( x+ϕ),x∈R,A>0,0<ϕ< .y=f(x)的部分图象如图所示, 3 2 2π P,Q分别为该图象的最高点和最低点,PR垂直x轴于点R,R的坐标为(1,0),若∠PRQ= ,则f 3 (0)=( )1 √3 √3 √2 A. B. C. D. 2 2 4 4 π 4.已知函数f(x)=Atan( x+ )( >0,| |< )的部分图象如图所示,下列关于函数 g(x)= 2 ω φ ω φ Acos( x+ )(x R)的表述正确的是( ) ω φ ∈ π A.函数g(x)的图象关于点( ,0)对称 4 π 3π B.函数g(x)在[− , ]递减 8 8 π C.函数g(x)的图象关于直线x= 对称 8 π D.函数h(x)=cos2x的图象上所有点向左平移 个单位得到函数g(x)的图象 4 题型三、三角函数的最值、取值范围 1 π π 1.函数f(x)= sin(x+ )+cos(x− )的最大值为( ) 5 3 6 6 3 1 A. B.1 C. D. 5 5 5 2.已知函数f(x)=2sinx+sin2x,则f(x)的最小值是 . π π π π π 3.已知函数f(x)=2sin2( +x)−√3cos2x,x [ , ].若不等式|f(x)﹣m|<2在x [ , ]上恒成 4 4 2 4 2 ∈ ∈ 立,则实数m的取值范围为 .4.已知函数 ,下列说法错误的是( ) A. 是偶函数 B. 是周期为π的函数 C. 在区间 上单调递减 D. 的最大值为 题型四、三角函数的性质 考点1.三角函数的单调性 π 1.函数y=sin(−2x+ )的单调递减区间为 . 3 π π 2.已知 >0,函数 f(x)=sin( x+ )在区间( , )上单调递减,则实数 的取值范围是 4 2 ω ω π ω ( ) 1 5 1 3 1 A.[ , ] B.[ , ] C.(0, ] D.(0,2] 2 4 2 4 2 ωx ωx π 2π 3.已知函数f(x)=4sin •cos ( >0)在区间[− , ]上是增函数,且在区间[0, ]上恰好取 2 2 2 3 ω π 得一次最大值,则 的取值范围为( ) ω 3 1 3 A.(0,1] B.(0, ] C.[ , ] D.[1,+∞) 4 2 4 考点2.三角函数的奇偶性 1.已知f(x)=sin(x+ )+cos(x+ )为奇函数,则 的一个取值是( ) π φ π φ π φ π A. B.− C. D.− 2 2 4 4 π 2.已知f(x)=3sin2x+acos2x,其中a为常数.f(x)的图象关于直线x= 对称,则f(x)在以下区间上 6 是单调函数的是( ) 3 1 7 1 1 1 1 A.[− ,− ] B.[− ,− ] C.[− , ] D.[0, ] 5 6 12 3 6 3 2 π π π π π π π 3.已知函数f(x)=sin x+cos x( >0),x R,若函数f(x)在区间(﹣ , )内单调递增,且函数 y=f(x)的图象关于直ω线x=ω 对ω称,则 的∈值为 . ω ω ω ω 考点3.三角函数的周期性与对称性π π π 1.已知函数f(x)=sin( x+ )( >0)在( , )上有最大值,但没有最小值,则 的取值范围 4 12 3 ω ω ω 是 π 2.已知函数f(x)=2sin( x+ )( >0)的图象在区间[0,1]上恰有3个最高点,则 的取值范围为 4 ω ω ω ( ) 19π 27π 9π 13π 17π 25π A.[ , ) B.[ , ) C.[ , ) D.[4 ,6 ) 4 4 2 2 4 4 π π π π 3.设函数f(x)=Asin( x+ )(A, , 是常数,A>0, >0)若f(x)在区间[ , ]上具有单调 6 2 ω φ ω φ ω π 2π π 性,且f( )=f( )=﹣f( ),则f(x)的最小正周期为 . 2 3 6 π π π 4.已知函数f(x)=sin(ωx+φ)(ω>0,|φ|≤ ),x=− 为 y=f(x)图象的对称轴,x= 为 f 2 4 4 π π (x)的零点,且f(x)在区间( , )上单调,则 的最大值为( ) 12 6 ω A.13 B.12 C.9 D.5 π π π 5.已知函数f(x)=sin( x+ ),其中 >0,| |≤ ,− 为f(x)的零点:且f(x)≤|f( )|恒 2 4 4 ω φ ω φ π π 成立,f(x)在区间(− , )上有最小值无最大值,则 的最大值是( ) 12 24 ω A.11 B.13 C.15 D.17 π 6.已知 >0,函数f(x)=acos2 x﹣4cos x+3a,若对任意给定的a [﹣1,1],总存在x ,x [0, ] 1 2 2 ω ω ω ∈ ∈ (x ≠x ),使得f(x )=f(x )=0,则 的最小值为( ) 1 2 1 2 A.2 B.4 ω C.5 D.6 题型五、三角函数的零点 1 π 1.已知函数f(x)=√3sin xcos x+cos2 x− ,( >0,x R),若函数f(x)在区间( ,π)内没有 2 2 ω ω ω ω ∈ 零点,则 的取值范围( ) ω5 5 5 11 A.(0, ] B.(0, ]∪[ , ] 12 12 6 125 5 11 C.(0, ] D.(0, ]∪[ ,1) 8 6 12 π π √3 π 2.已知函数f(x)=2sin( x− )sin( x+ )( >0),若函数g(x)=f(x)+ 在[0, ]上有 6 3 2 2 ω ω ω 且只有三个零点,则 的取值范围为( ) 11 ω 11 7 10 7 10 A.[2, ) B.(2, ) C.[ , ) D.( , ) 3 3 3 3 3 3 π π π 3.函数f(x)=2sin(2x+ ),g(x)=mcos(2x− )﹣2m+3>0,m>0,对任意x [0, ],存在 1 3 6 4 ∈ π x [0, ],使得g(x )=f(x )成立,则实数m的取值范围是 . 2 1 2 4 ∈ 4.设函数 在区间 恰有三个极值点、两个零点,则 的取值范围是( ) A. B. C. D. 一、单选题 1.已知 ,则 ( ) A. B. C. D. 2.函数 的图像可能是( ) A. B.C. D. 3.在平面直角坐标系中,角 的顶点为坐标原点,始边在x轴的正半轴上,终边过点 ,且 ,则 ( ) A. B. C. D. 4.设 ,若 ,则 ( ) A. B. C. D. 5.函数 的最小正周期是( ) A. B. C. D. 6.将函数 ( )的图象向左平移 个单位长度,得到偶函数 的图象,则 ( ) A. B. C. D. 7.将函数 的图象向左平移 个单位长度后得到函数 的图象,若直线 是 图象的一条对称轴,则 的值可能为( ) A. B. C. D.8.已知函数 ,若 在区间 上的值域是 ,则a的取值范围为 ( ) A. B. C. D. 9.已知函数 在 上存在最值,且在 上单调,则 的取值范围是 ( ) A. B. C. D. 10.如图,直线 与函数 的图象的三个相邻的交点为A,B, C,且 , ,则 ( ) A. B. C. D. 11.将函数 的图像向左平移 个单位长度后得到函数 的图像,再将 的图像上各点的纵坐标不变、横坐标变为原来的 ( )倍,得到函数 的图像,且 在区间 上恰有两个 极值点、两个零点,则 的取值范围为( ) A. B. C. D. 12.已知函数 ,则下列说法中正确的是( ) A.若函数 的最小正周期为π,则 在 上不单调 B.若函数 的最小正周期为π,则直线 是函数 图象的一条对称轴 C.若函数 在 上恰有3个极值点,则 D.若函数 在 上单调,则 13.将函数 图象上所有点的横坐标缩小为原来的 ,再向右平移 个单位长度,得到函数 的图象,若 在 上有两个不同的零点 , ,则 ( ) A. B. C. D. 14.已知函数 ,若函数 的最小正周期为 ,且 对任意的 恒成立,则 的最小值为( ) A. B. C. D. 二、多选题 15.已知函数 的部分图象如图所示,则下列说法正确的是( )A.函数 的图象关于直线 对称 B.函数 的图象关于点 对称 C.函数 在 的值域为 D.将函数 的图象向右平移 个单位,所得函数为 16.函数 的部分图象如图所示,则下列说法中正确的是 ( ) A. B. 的图象向右平移 个单位长度后得到的新函数是偶函数 C. 的图象向右平移 个单位长度后得到的新函数是奇函数 D.若方程 在 上有且只有6个根,则17.已知函数 ,则( ) A. 为偶函数 B. 是 的一个单调递增区间 C. D.当 时, 18.已知函数 ,则( ) A. 的图象关于直线 轴对称 B. 的图象关于点 中心对称 C. 的所有零点为 D. 是以 为周期的函数 19.已知函数 , , , ,它们的最小正周期均为 , 的一个零点为 ,则( ) A. 的最大值为2 B. 的图象关于点 对称 C. 和 在 上均单调递增 D.将 图象向左平移 个单位长度可以得到 的图象20.已知点 是函数 的图象的一个对称中心,则( ) A. 是奇函数 B. , C.若 在区间 上有且仅有 条对称轴,则 D.若 在区间 上单调递减,则 或 三、填空题 21.已知函数 , ,且 ,都有 ,若函数 在 上有且只有一个零点,则 的最大值为 . 22.若 ,则 . 23.已知函数 ( )的图象与 的图象的两相邻公共点间的距离为 ,将 的图象向左平移 ( )个单位长度得到 的图象,则 的最小值为 . 24.已知函数 在 上是增函数,且 ,则 的取值的集 合为 . 25.已知函数 在区间 上有且仅有3个对称中心,给出下列四个结论: ① 的值可能是3; ② 的最小正周期可能是 ;③ 在区间 上单调递减; ④ 图象的对称轴可能是 . 其中所有正确结论的序号是 .