当前位置:首页>文档>2023年高考押题预测卷01(新高考Ⅰ卷)-数学(参考答案)_2.2025数学总复习_2023年新高考资料_42023年高考数学押题预测卷

2023年高考押题预测卷01(新高考Ⅰ卷)-数学(参考答案)_2.2025数学总复习_2023年新高考资料_42023年高考数学押题预测卷

  • 2026-04-17 15:56:51 2026-03-09 13:42:33

文档预览

2023年高考押题预测卷01(新高考Ⅰ卷)-数学(参考答案)_2.2025数学总复习_2023年新高考资料_42023年高考数学押题预测卷
2023年高考押题预测卷01(新高考Ⅰ卷)-数学(参考答案)_2.2025数学总复习_2023年新高考资料_42023年高考数学押题预测卷
2023年高考押题预测卷01(新高考Ⅰ卷)-数学(参考答案)_2.2025数学总复习_2023年新高考资料_42023年高考数学押题预测卷
2023年高考押题预测卷01(新高考Ⅰ卷)-数学(参考答案)_2.2025数学总复习_2023年新高考资料_42023年高考数学押题预测卷
2023年高考押题预测卷01(新高考Ⅰ卷)-数学(参考答案)_2.2025数学总复习_2023年新高考资料_42023年高考数学押题预测卷
2023年高考押题预测卷01(新高考Ⅰ卷)-数学(参考答案)_2.2025数学总复习_2023年新高考资料_42023年高考数学押题预测卷
2023年高考押题预测卷01(新高考Ⅰ卷)-数学(参考答案)_2.2025数学总复习_2023年新高考资料_42023年高考数学押题预测卷
2023年高考押题预测卷01(新高考Ⅰ卷)-数学(参考答案)_2.2025数学总复习_2023年新高考资料_42023年高考数学押题预测卷
2023年高考押题预测卷01(新高考Ⅰ卷)-数学(参考答案)_2.2025数学总复习_2023年新高考资料_42023年高考数学押题预测卷

文档信息

文档格式
docx
文档大小
0.518 MB
文档页数
9 页
上传时间
2026-03-09 13:42:33

文档内容

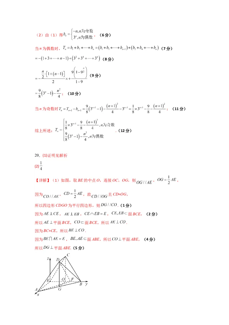
2023 年高考押题预测卷 01【新高考Ⅰ卷】 数学·参考答案 1 2 3 4 5 6 7 8 9 10 11 12 B C D D A D C C AC BD BC CD 13. 14. 15. 或 (只填写一个即可) 16 /5.75 【解答题评分细则】 17.(1)补全的 列联表见解析;有关; (2)①分布列见解析; ;② 【详解】(1)由题意,抽取的100人年龄在50周岁及以下的有60人,则年龄在50周岁 以上的有40人,补全的 列联表如下: 不满 满意 总计 意 50周岁及以下 5 55 60 50周岁以上 15 25 40 总计 20 80 100 (1分) 则 . (4分,其中列出 给1分,正确计算出 给1分,能找到 与10.828比较给1分) 所以在犯错误的概率不超过0.001的情况下认为对全省实施景区门票减免活动是否满意与 年龄有关联.(5分) (2)①由题意可得,游客至少去过两个及以上景区的概率为0.9, 则 , 的所有可能取值为0,1,2,3,(6分) , , , , 所以 的分布列如下: 0 1 2 3(8分其中如果能正确写出 中的两个概率给1分,完整列出分布列给2分) 因为 ,所以数学期望 .(9分) ② .(10分) 18.(1) (2) 【详解】(1)选①,由余弦定理得: ,(1分) 又 ,所以 ,(2分) 得 ,(3分) 因为 ,所以 .(4分) 选②,因为 ,由正弦定理得: ,(1分) 整理得: ,(2分) 由余弦定理得: ,(3分) 因为 ,所以 .(4分) 选③,因为 ,由正弦定理得: , 即 ,(1分) 又因为 , 所以 , 所以 ,(2分) 因为 ,所以 , 所以 ,(3分) 因为 ,所以 , 所以 ,即 .(4分)(2)在 中,设 , 由正弦定理得 ,(5分) 所以 ,(6分) ,(7分) ∴ ,(9分) (10分) 其中 , 当 时取等号,(11分) 所以 的最大值是 .(12分) 19.(1) (2) 【详解】(1)∵ ,则有: 当 时, ,解得 ;(1分) 当 时,则 , 两式相减得 ,(2分) 即 ;(3分) 注意到 ,故 ,(4分,此处如考生为检验 ,不得 此分) ∴ 是首项为3,公比为3的等比数列, 故 .(5分)(2)由(1)得 ,(6分) 当n为偶数时, (7分) (8分) (9分) ;(10分) 当n为奇数时 ;(11分) 综上所述: .(12分) 20.(1)证明见解析 (2) 【详解】(1)如图,取BE的中点O,连接OC,OG,则 , , 因为 , ,故 且CD=OG, 所以四边形CDGO为平行四边形,则 .(1分) 因为 , , , 面BCE,(2分) 所以 平面BCE, 面BCE,所以 . 因为BC=CE,所以 . 因为 , 面ABE,所以 平面ABE,(4分) 所以 平面ABE.(5分)(2)如图,过点E作直线 ,则直线 面ABE, 面ABE, 又 ,所以直线l,EA,EB两两相互垂直, 以E为坐标原点,建立如图所示的空间直角坐标系,(6分) 则 , , , , 设 ,则 , , .(7分) 设面ADF的一个法向量为 ,则 ,令 ,则 .(9分) 设面ABD的一个法向量为 ,则 ,令 ,则 ,(10分) 所以 ,(11分) 解得 或8(舍去),故 .(12分) 21.(1) ; (2)存在 ,使得 成立. 【详解】(1)依题意,笔尖到点 的距离与它到直线 的距离相等, 因此笔尖留下的轨迹为以 为焦点, 为准线的抛物线,设其方程为 (1 分) 则 ,由 ,得 ,(2分)由 得点 的横坐标 ,而抛物线的准线方程为 ,则 , 解得 ,(3分) 所以轨迹 的方程为 .(4分) (2)假设存在 ,使得 ,设 ,直线 的方程为 , (5分) 由 消去y得: ,(6分) 而 , , ,(7分) ,(8分) 由 得 ,即 ,于是 ,(9分) 令 , ,(10分) 因此 ,又 ,即 ,解得 或 ,(11分) 所以存在 ,使得 成立.(12分)22.(1) (2) 【详解】(1)当 时, ,其定义域为(0,+∞), 且 ,所以 ,(1分) 所以 , 令 ,得 ;令 ,得 , 所以 在 上单调递增,在 上单调递减.(2分) ①当 ,即 时, 在[t,t+1]上单调递增, 所以 ; ②当 ,即 时, ; ③当 时,g(x)在[t,t+1]上单调递减, 所以 ,(4分) 综上所述 (5分) (2)因为 ,所以 , 由题意知 的定义域为 , 故 是关于x的方程 的两个根,(6分) 所以 , 即 , 所以 , 等价于 .(7分)因为 ,所以原式等价于 , 又 ,作差,得 , 即 ,所以原式等价 ,(8分) 因为 ,所以 恒成立. 令 ,则 , 故不等式 在 上恒成立,(9分) 令 . 又因为 , 当 时,得 ,所以 在 上单调递增, 又 ,所 在 上恒成立,符合题意;(10分) 当 时,可得 时, , 时, , 所以 在 上单调递增,在 上单调递减, 又因为 , 所以 在 上不能恒小于0,不符合题意,舍去.(11分) 综上所述,若不等式 恒成立, 只需满足 ,又 ,故 , 即正数m的取值范围为 .(12分)