当前位置:首页>文档>2023年高考押题预测卷03(甲卷理科)(参考答案)_2.2025数学总复习_2023年新高考资料_42023年高考数学押题预测卷

2023年高考押题预测卷03(甲卷理科)(参考答案)_2.2025数学总复习_2023年新高考资料_42023年高考数学押题预测卷

  • 2026-03-10 01:06:37 2026-03-10 01:06:37

文档预览

2023年高考押题预测卷03(甲卷理科)(参考答案)_2.2025数学总复习_2023年新高考资料_42023年高考数学押题预测卷
2023年高考押题预测卷03(甲卷理科)(参考答案)_2.2025数学总复习_2023年新高考资料_42023年高考数学押题预测卷
2023年高考押题预测卷03(甲卷理科)(参考答案)_2.2025数学总复习_2023年新高考资料_42023年高考数学押题预测卷
2023年高考押题预测卷03(甲卷理科)(参考答案)_2.2025数学总复习_2023年新高考资料_42023年高考数学押题预测卷
2023年高考押题预测卷03(甲卷理科)(参考答案)_2.2025数学总复习_2023年新高考资料_42023年高考数学押题预测卷
2023年高考押题预测卷03(甲卷理科)(参考答案)_2.2025数学总复习_2023年新高考资料_42023年高考数学押题预测卷
2023年高考押题预测卷03(甲卷理科)(参考答案)_2.2025数学总复习_2023年新高考资料_42023年高考数学押题预测卷
2023年高考押题预测卷03(甲卷理科)(参考答案)_2.2025数学总复习_2023年新高考资料_42023年高考数学押题预测卷
2023年高考押题预测卷03(甲卷理科)(参考答案)_2.2025数学总复习_2023年新高考资料_42023年高考数学押题预测卷
2023年高考押题预测卷03(甲卷理科)(参考答案)_2.2025数学总复习_2023年新高考资料_42023年高考数学押题预测卷
2023年高考押题预测卷03(甲卷理科)(参考答案)_2.2025数学总复习_2023年新高考资料_42023年高考数学押题预测卷
2023年高考押题预测卷03(甲卷理科)(参考答案)_2.2025数学总复习_2023年新高考资料_42023年高考数学押题预测卷
2023年高考押题预测卷03(甲卷理科)(参考答案)_2.2025数学总复习_2023年新高考资料_42023年高考数学押题预测卷
2023年高考押题预测卷03(甲卷理科)(参考答案)_2.2025数学总复习_2023年新高考资料_42023年高考数学押题预测卷
2023年高考押题预测卷03(甲卷理科)(参考答案)_2.2025数学总复习_2023年新高考资料_42023年高考数学押题预测卷
2023年高考押题预测卷03(甲卷理科)(参考答案)_2.2025数学总复习_2023年新高考资料_42023年高考数学押题预测卷
2023年高考押题预测卷03(甲卷理科)(参考答案)_2.2025数学总复习_2023年新高考资料_42023年高考数学押题预测卷

文档信息

文档格式
docx
文档大小
1.103 MB
文档页数
17 页
上传时间
2026-03-10 01:06:37

文档内容

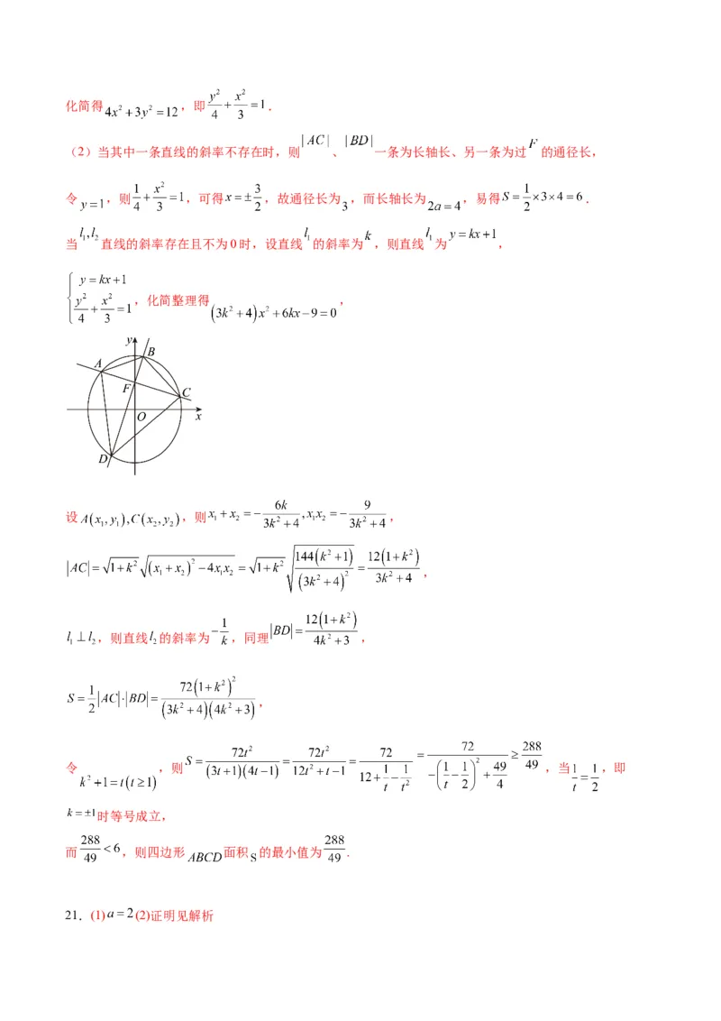
2023年高考押题预测卷03【全国卷甲卷】 理科数学·参考答案 1 2 3 4 5 6 7 8 9 10 11 12 D C C B C B D A B B A B 参考答案: 1.D【详解】解:由题意得 , ,故选:D. 2.C【详解】因为复数 , 所以复数z在复平面内所对应的点为 , 该点位于第三象限.故选:C. 3.C【详解】 ,当结果为偶数时,输出,直到 ,则 当 时,输出 ;当 时,输出 ; 当 时,输出 ;当 时,输出 ; 当 时,输出 ;当 时,输出 ; 当 时, ,输出 ,结束.故选:C. 4.B 【详解】解:由频率分布直方图可知,前3组的频率分别为 ,第4组的频率为 所以,中位数 ,即 满足 ,对应的评价是良好. 故选:B. 5.C 【分析】先找出两个三角形外接圆的圆心及外接球的球心,通过证明 , 可得 四边形 为平行四边形,进而证得BC⊥面APC,通过勾股定理可求得PB的值. 【详解】如图所示,由题意知, , 所以 , , 所以AB的中点即为△ABC外接圆的圆心,记为 , 又因为 , 所以 , , 所以在 中,取AC的中点M,连接PM,则△APC的外心必在PM的延长线上,记为 , 所以在 中,因为 , ,所以 为等边三角形, 所以 , (或由正弦定理得: ) 所以 , 在 中, , , , 设外接球半径为R,则 ,解得: , 设O为三棱锥P-ABC的外接球球心,则 面ABC, 面APC. 所以在 中, , 又因为在 , , 所以 , , 所以四边形 为平行四边形, 所以 , 又因为 ,所以 , 又因为 面APC, 所以BC⊥面APC, 所以 , 所以 ,即: . 故选:C. 6.B【分析】根据 ,结合双曲线的结合性质求得 ,进而求得双曲线的渐近线方程. 【详解】由题意知,双曲线 的离心率为 , 可得 ,即 ,解得 , 所以双曲线 的渐近线方程为 . 故选:B. 7.D 【分析】利用抽象函数的轴对称与中心对称性的性质,得出函数 的对称轴和中心对称点及周期,利用 相关性质得出具体函数值,即可得出结果. 【详解】∵ ,∴ 关于 对称, ∵ 为奇函数,∴由平移可得 关于 对称,且 , ,即上两式比较可得 ∴函数 是以4为周期的周期函数. , , ∴ , ∴ . 故选:D. 8.A 【分析】根据三视图得到该四棱台腰长为 ,上底长为4,下底长为2的正四棱台求解. 【详解】解:由三视图可知该四棱台为正四棱台,且腰长为 , 因为上底长为4,下底长为2, 所以该棱台的高为 , 棱台的体积 , 故选: . 9.B【分析】分甲取打扫 区域和甲去打扫 或 区域两种情况,结合分步乘法计数原理和分类加法计数 若甲去打扫 区域,则甲的安排方法只有一种,再安排乙,丙,丁三人共 种安排方法,由分步乘法计数 原理可得有 种安排方法, 若甲去打扫 区域或 区域,则甲的安排方法只有两种,再安排乙,由于乙不能去打扫 区域,故乙的安 排方法有两种,再安排丙,丁两人,共 种安排方法,由分步乘法计数原理可得有 种安排方 法, 由分类加法计数原理可得共有 种安排方法.故选:B. 10.B 【分析】利用导数研究各函数的单调性,结合奇偶性判断函数图象,即可得答案. 【详解】A: ,即 在定义域上递增,不符合; B: , 在 上 ,在 上 ,在 上 , 所以 在 、 上递减, 上递增,符合; C:由 且定义域为 ,为偶函数, 所以题图不可能在y轴两侧,研究 上性质: ,故 递增,不符合; D:由 且定义域为R,为奇函数, 研究 上性质: ,故 在 递增, 所以 在R上递增,不符合; 故选:B 11.A【详解】根据题意可知,每次挖去的三角形面积是被挖三角形面积的 , 所以每一次操作之后所得图形的面积是上一次三角形面积的 , 由此可得,第 次操作之后所得图形的面积是 , 即经过4次操作之后所得图形的面积是 .故选:A 12.B【分析】令 ,结合 , 判断AC;将不等式 转化为 , ,再构造函数求解最值即可判断B;借助特殊值 判断D. 【详解】解:令 ,则 ,且 , , 当 , ,∴存在一个较小的正数 使得 都有 , 当 时, ,∴存在一个较小的正数 使得 都有 , 故A,C都不正确, 对于选项B,当 ,则显然成立,当 时,即证明 , 也即证明 , , 令 ,则 , 所以, 时, , 单调递增, 时, , 单调递减, 所以, 的最小值为 , 令 ,则 , 所以, 时, , 单调递减, 时, , 单调递增, 所以, 的最大值为 , 所以, , 因为不同时取等, 所以, ,即选项B正确, 对于选项D,当 时, (成立),即 ,所以选项D不正确. 故选:B. 13. / 【分析】根据给定条件,利用垂直关系的向量表示,结合数量积运算律求出 ,即可求出夹角的余弦值. 【详解】单位向量 , 满足 ,则 , 因此 ,所以 , 夹角的余弦值为 . 故答案为: 14. 【详解】因为 的展开式中各项系数之和为 , 令 ,得 ,所以 6. 因为 展开式的通顶公式为 , 令 ,得 ;令 ,得 , 所以展开式中 的系数为 .故答案为: 15. 【分析】根据两角和的正弦公式,辅助角公式,化简可得 解析式,根据题意,求得周期,可得 值,根据 ,结合正弦型函数的性质,可求得a值,根据x的范围,求得 的范围,可得 的最值,结合题意,分析即可得b的范围. 【详解】由题设, , , 由 相邻两个对称轴之间的距离为 ,故 , 又 ,即 , 故 ,解得 . , 当 时, ,此时 的最大值为 ,最小值为 , 若存在 , ,使 成立, 则只需 , ,故 的取值范围为 16. 【详解】 ,则 , 则 时, , 单调递增. 时, 恒成立,即 恒成立, 则 在 上恒成立, 则 即 在 上恒成立, 令 , ,则则当 时, , 单调递减; 当 时, , 单调递增. 则当 时 取得最小值 ,则 则实数 的取值范围是 故答案为: 17.(1) (2) 【详解】(1)若选① ,由余弦定理得 ,整理得 ,则 , 又 ,则 , ,则 ; 若选② ,则 ,又 ,则 , 又 ,得 ,则 ; (2)由正弦定理得: ,则 ,则 , . (3) 18.(1)证明见解析(2) 【详解】(1)延长PE交AB于M,延长PF交CD于 , 因为E,F分别为 和 的重心, 所以M,N分别为AB,CD的中点,且 ,又因为底面ABCD为平行四边形,所以 , 又因为 平面 , 平面PBC,所以 平面PBC. (2)(方法一)因为 平面ABCD,所以 . 又因为 ,且 ,所以 平面PAD,所以 , 又因为 ,所以 和 均为等腰直角三角形, . 又因为N为CD的中点,所以 , 故如图建立空间直角坐标系,因为 , 易得P(0,0,2),M(1,0,0),N(0,1,0),C(1,1,0), , , 设平面PMN的一个法向量为 ,则由 , ,得 令 ,得 , 又因为平面PAD的一个法向量为 , 设平面PEF与平面PAD所成二面角的平面角为 ,则 , 如图所示二面角为锐角,所以 .(方法二)过 作 ,且 ,连接NQ和DQ, 取AD的中点为H,易知 平面PAD,过H作 于O, 则 ,所以 为平面PEF与平面PAD所成二面角的平面角, 因为 , , 所以在 中, . 19.(1) (2)分布列见解析,一班赢下这场比赛 【详解】(1)由条件知,若一班在前两轮得20分,后三轮得90分,总分为110分, 其概率为 , 若一班在前两轮得40分,后三轮得60分或90分,总分为100或130分, 其概率为 ,于是一班总分不少于100分的概率为 ; (2)由条件知,随机变量X可能取值为60,80,100,120, , , , . 所以X的分布列为: X 60 80 100 120 P , 设三班最后的总分为Y,Y可能取值为30,60,90,120, , , , , 的分布列: , 因为 ,所以从总分的均值来判断,一班赢下这场比赛. 20.(1) (2) 【详解】(1)设 ,由题意有 且 ,化简得 ,即 . (2)当其中一条直线的斜率不存在时,则 、 一条为长轴长、另一条为过 的通径长, 令 ,则 ,可得 ,故通径长为 ,而长轴长为 ,易得 . 当 直线的斜率存在且不为0时,设直线 的斜率为 ,则直线 为 , ,化简整理得 , 设 ,则 , , ,则直线 的斜率为 ,同理 , , 令 ,则 ,当 ,即 时等号成立, 而 ,则四边形 面积 的最小值为 . 21.(1) (2)证明见解析【详解】(1) ,即切点为 , 该点处的斜率 . 则 ,故 . (2)由(1)知 . 则 等价于 , 故 设 ,则 ,所以当 时, , 所以 在 上单调递增,所以 , 即当 时, , 因为 ,所以 ,当且仅当 时取等号, 所以 ,即 . 令 ,则 , 当 ,则 在 上为增函数. 因为 ,所以 ,又 , 由于 ,即 , 则 ,即 . 22.(1) (2) 或 【分析】(1)根据参数方程消去参数即可得 的普通方程,即可根据直角坐标与极坐标之间的转化公式 可求得答案;(2)设 ,根据 可求得 的值,即可求得答案. 【详解】(1)由曲线 的参数方程 ( 为参数),消去参数 后得, 可得 的普通方程为 , 把 代入得 的极坐标方程为 . (2)由题意,在极坐标系中, , 点 在曲线 上,设 . 在 中,由余弦定理有 , 即 , 化简得 , 故 或 . 23.(1) (2) 【分析】(1)分别求解 , , 三种情况下 的解集,综合即可得结果; (2)对任意的 ,存在 ,使得 成立,等价于 的值域是 的值域的子集,分别 求得 和 的值域,即可得结果. 【详解】(1)由 , 当 时, ,得 ,即 ; 当 时, ,得 成立,即 ;当 时, ,得 ,即 ; 综上,不等式 的解集是 . (2)对任意的 ,存在 ,使得 成立, 等价于对任意的 ,存在 ,使得 成立, 即 的值域是 的值域的子集, , 当且仅当 ,即 时,等号成立, 所以 的值域为 , 因为 , 所以 的值域为 ,所以 ,解得 . 所以 的取值范围是 .
基本 文件 流程 错误 SQL 调试
  1. 请求信息 : 2026-03-10 01:07:01 HTTP/1.1 GET : https://www.yeyulingfeng.com/wendang/368209.html
  2. 运行时间 : 0.141616s [ 吞吐率:7.06req/s ] 内存消耗:5,797.95kb 文件加载:144
  3. 缓存信息 : 0 reads,0 writes
  4. 会话信息 : SESSION_ID=77ca00788156f943b8f7c2def2e83106
  1. /yingpanguazai/ssd/ssd1/www/wwww.yeyulingfeng.com/public/index.php ( 0.79 KB )
  2. /yingpanguazai/ssd/ssd1/www/wwww.yeyulingfeng.com/vendor/autoload.php ( 0.17 KB )
  3. /yingpanguazai/ssd/ssd1/www/wwww.yeyulingfeng.com/vendor/composer/autoload_real.php ( 2.49 KB )
  4. /yingpanguazai/ssd/ssd1/www/wwww.yeyulingfeng.com/vendor/composer/platform_check.php ( 0.90 KB )
  5. /yingpanguazai/ssd/ssd1/www/wwww.yeyulingfeng.com/vendor/composer/ClassLoader.php ( 14.03 KB )
  6. /yingpanguazai/ssd/ssd1/www/wwww.yeyulingfeng.com/vendor/composer/autoload_static.php ( 6.05 KB )
  7. /yingpanguazai/ssd/ssd1/www/wwww.yeyulingfeng.com/vendor/topthink/think-helper/src/helper.php ( 8.34 KB )
  8. /yingpanguazai/ssd/ssd1/www/wwww.yeyulingfeng.com/vendor/topthink/think-validate/src/helper.php ( 2.19 KB )
  9. /yingpanguazai/ssd/ssd1/www/wwww.yeyulingfeng.com/vendor/ralouphie/getallheaders/src/getallheaders.php ( 1.60 KB )
  10. /yingpanguazai/ssd/ssd1/www/wwww.yeyulingfeng.com/vendor/topthink/think-orm/src/helper.php ( 1.47 KB )
  11. /yingpanguazai/ssd/ssd1/www/wwww.yeyulingfeng.com/vendor/topthink/think-orm/stubs/load_stubs.php ( 0.16 KB )
  12. /yingpanguazai/ssd/ssd1/www/wwww.yeyulingfeng.com/vendor/topthink/framework/src/think/Exception.php ( 1.69 KB )
  13. /yingpanguazai/ssd/ssd1/www/wwww.yeyulingfeng.com/vendor/topthink/think-container/src/Facade.php ( 2.71 KB )
  14. /yingpanguazai/ssd/ssd1/www/wwww.yeyulingfeng.com/vendor/symfony/deprecation-contracts/function.php ( 0.99 KB )
  15. /yingpanguazai/ssd/ssd1/www/wwww.yeyulingfeng.com/vendor/symfony/polyfill-mbstring/bootstrap.php ( 8.26 KB )
  16. /yingpanguazai/ssd/ssd1/www/wwww.yeyulingfeng.com/vendor/symfony/polyfill-mbstring/bootstrap80.php ( 9.78 KB )
  17. /yingpanguazai/ssd/ssd1/www/wwww.yeyulingfeng.com/vendor/symfony/var-dumper/Resources/functions/dump.php ( 1.49 KB )
  18. /yingpanguazai/ssd/ssd1/www/wwww.yeyulingfeng.com/vendor/topthink/think-dumper/src/helper.php ( 0.18 KB )
  19. /yingpanguazai/ssd/ssd1/www/wwww.yeyulingfeng.com/vendor/symfony/var-dumper/VarDumper.php ( 4.30 KB )
  20. /yingpanguazai/ssd/ssd1/www/wwww.yeyulingfeng.com/vendor/guzzlehttp/guzzle/src/functions_include.php ( 0.16 KB )
  21. /yingpanguazai/ssd/ssd1/www/wwww.yeyulingfeng.com/vendor/guzzlehttp/guzzle/src/functions.php ( 5.54 KB )
  22. /yingpanguazai/ssd/ssd1/www/wwww.yeyulingfeng.com/vendor/topthink/framework/src/think/App.php ( 15.30 KB )
  23. /yingpanguazai/ssd/ssd1/www/wwww.yeyulingfeng.com/vendor/topthink/think-container/src/Container.php ( 15.76 KB )
  24. /yingpanguazai/ssd/ssd1/www/wwww.yeyulingfeng.com/vendor/psr/container/src/ContainerInterface.php ( 1.02 KB )
  25. /yingpanguazai/ssd/ssd1/www/wwww.yeyulingfeng.com/app/provider.php ( 0.19 KB )
  26. /yingpanguazai/ssd/ssd1/www/wwww.yeyulingfeng.com/vendor/topthink/framework/src/think/Http.php ( 6.04 KB )
  27. /yingpanguazai/ssd/ssd1/www/wwww.yeyulingfeng.com/vendor/topthink/think-helper/src/helper/Str.php ( 7.29 KB )
  28. /yingpanguazai/ssd/ssd1/www/wwww.yeyulingfeng.com/vendor/topthink/framework/src/think/Env.php ( 4.68 KB )
  29. /yingpanguazai/ssd/ssd1/www/wwww.yeyulingfeng.com/app/common.php ( 0.03 KB )
  30. /yingpanguazai/ssd/ssd1/www/wwww.yeyulingfeng.com/vendor/topthink/framework/src/helper.php ( 18.78 KB )
  31. /yingpanguazai/ssd/ssd1/www/wwww.yeyulingfeng.com/vendor/topthink/framework/src/think/Config.php ( 5.54 KB )
  32. /yingpanguazai/ssd/ssd1/www/wwww.yeyulingfeng.com/config/alipay.php ( 3.59 KB )
  33. /yingpanguazai/ssd/ssd1/www/wwww.yeyulingfeng.com/vendor/topthink/framework/src/think/facade/Env.php ( 1.67 KB )
  34. /yingpanguazai/ssd/ssd1/www/wwww.yeyulingfeng.com/config/app.php ( 0.95 KB )
  35. /yingpanguazai/ssd/ssd1/www/wwww.yeyulingfeng.com/config/cache.php ( 0.78 KB )
  36. /yingpanguazai/ssd/ssd1/www/wwww.yeyulingfeng.com/config/console.php ( 0.23 KB )
  37. /yingpanguazai/ssd/ssd1/www/wwww.yeyulingfeng.com/config/cookie.php ( 0.56 KB )
  38. /yingpanguazai/ssd/ssd1/www/wwww.yeyulingfeng.com/config/database.php ( 2.48 KB )
  39. /yingpanguazai/ssd/ssd1/www/wwww.yeyulingfeng.com/config/filesystem.php ( 0.61 KB )
  40. /yingpanguazai/ssd/ssd1/www/wwww.yeyulingfeng.com/config/lang.php ( 0.91 KB )
  41. /yingpanguazai/ssd/ssd1/www/wwww.yeyulingfeng.com/config/log.php ( 1.35 KB )
  42. /yingpanguazai/ssd/ssd1/www/wwww.yeyulingfeng.com/config/middleware.php ( 0.19 KB )
  43. /yingpanguazai/ssd/ssd1/www/wwww.yeyulingfeng.com/config/route.php ( 1.89 KB )
  44. /yingpanguazai/ssd/ssd1/www/wwww.yeyulingfeng.com/config/session.php ( 0.57 KB )
  45. /yingpanguazai/ssd/ssd1/www/wwww.yeyulingfeng.com/config/trace.php ( 0.34 KB )
  46. /yingpanguazai/ssd/ssd1/www/wwww.yeyulingfeng.com/config/view.php ( 0.82 KB )
  47. /yingpanguazai/ssd/ssd1/www/wwww.yeyulingfeng.com/app/event.php ( 0.25 KB )
  48. /yingpanguazai/ssd/ssd1/www/wwww.yeyulingfeng.com/vendor/topthink/framework/src/think/Event.php ( 7.67 KB )
  49. /yingpanguazai/ssd/ssd1/www/wwww.yeyulingfeng.com/app/service.php ( 0.13 KB )
  50. /yingpanguazai/ssd/ssd1/www/wwww.yeyulingfeng.com/app/AppService.php ( 0.26 KB )
  51. /yingpanguazai/ssd/ssd1/www/wwww.yeyulingfeng.com/vendor/topthink/framework/src/think/Service.php ( 1.64 KB )
  52. /yingpanguazai/ssd/ssd1/www/wwww.yeyulingfeng.com/vendor/topthink/framework/src/think/Lang.php ( 7.35 KB )
  53. /yingpanguazai/ssd/ssd1/www/wwww.yeyulingfeng.com/vendor/topthink/framework/src/lang/zh-cn.php ( 13.70 KB )
  54. /yingpanguazai/ssd/ssd1/www/wwww.yeyulingfeng.com/vendor/topthink/framework/src/think/initializer/Error.php ( 3.31 KB )
  55. /yingpanguazai/ssd/ssd1/www/wwww.yeyulingfeng.com/vendor/topthink/framework/src/think/initializer/RegisterService.php ( 1.33 KB )
  56. /yingpanguazai/ssd/ssd1/www/wwww.yeyulingfeng.com/vendor/services.php ( 0.14 KB )
  57. /yingpanguazai/ssd/ssd1/www/wwww.yeyulingfeng.com/vendor/topthink/framework/src/think/service/PaginatorService.php ( 1.52 KB )
  58. /yingpanguazai/ssd/ssd1/www/wwww.yeyulingfeng.com/vendor/topthink/framework/src/think/service/ValidateService.php ( 0.99 KB )
  59. /yingpanguazai/ssd/ssd1/www/wwww.yeyulingfeng.com/vendor/topthink/framework/src/think/service/ModelService.php ( 2.04 KB )
  60. /yingpanguazai/ssd/ssd1/www/wwww.yeyulingfeng.com/vendor/topthink/think-trace/src/Service.php ( 0.77 KB )
  61. /yingpanguazai/ssd/ssd1/www/wwww.yeyulingfeng.com/vendor/topthink/framework/src/think/Middleware.php ( 6.72 KB )
  62. /yingpanguazai/ssd/ssd1/www/wwww.yeyulingfeng.com/vendor/topthink/framework/src/think/initializer/BootService.php ( 0.77 KB )
  63. /yingpanguazai/ssd/ssd1/www/wwww.yeyulingfeng.com/vendor/topthink/think-orm/src/Paginator.php ( 11.86 KB )
  64. /yingpanguazai/ssd/ssd1/www/wwww.yeyulingfeng.com/vendor/topthink/think-validate/src/Validate.php ( 63.20 KB )
  65. /yingpanguazai/ssd/ssd1/www/wwww.yeyulingfeng.com/vendor/topthink/think-orm/src/Model.php ( 23.55 KB )
  66. /yingpanguazai/ssd/ssd1/www/wwww.yeyulingfeng.com/vendor/topthink/think-orm/src/model/concern/Attribute.php ( 21.05 KB )
  67. /yingpanguazai/ssd/ssd1/www/wwww.yeyulingfeng.com/vendor/topthink/think-orm/src/model/concern/AutoWriteData.php ( 4.21 KB )
  68. /yingpanguazai/ssd/ssd1/www/wwww.yeyulingfeng.com/vendor/topthink/think-orm/src/model/concern/Conversion.php ( 6.44 KB )
  69. /yingpanguazai/ssd/ssd1/www/wwww.yeyulingfeng.com/vendor/topthink/think-orm/src/model/concern/DbConnect.php ( 5.16 KB )
  70. /yingpanguazai/ssd/ssd1/www/wwww.yeyulingfeng.com/vendor/topthink/think-orm/src/model/concern/ModelEvent.php ( 2.33 KB )
  71. /yingpanguazai/ssd/ssd1/www/wwww.yeyulingfeng.com/vendor/topthink/think-orm/src/model/concern/RelationShip.php ( 28.29 KB )
  72. /yingpanguazai/ssd/ssd1/www/wwww.yeyulingfeng.com/vendor/topthink/think-helper/src/contract/Arrayable.php ( 0.09 KB )
  73. /yingpanguazai/ssd/ssd1/www/wwww.yeyulingfeng.com/vendor/topthink/think-helper/src/contract/Jsonable.php ( 0.13 KB )
  74. /yingpanguazai/ssd/ssd1/www/wwww.yeyulingfeng.com/vendor/topthink/think-orm/src/model/contract/Modelable.php ( 0.09 KB )
  75. /yingpanguazai/ssd/ssd1/www/wwww.yeyulingfeng.com/vendor/topthink/framework/src/think/Db.php ( 2.88 KB )
  76. /yingpanguazai/ssd/ssd1/www/wwww.yeyulingfeng.com/vendor/topthink/think-orm/src/DbManager.php ( 8.52 KB )
  77. /yingpanguazai/ssd/ssd1/www/wwww.yeyulingfeng.com/vendor/topthink/framework/src/think/Log.php ( 6.28 KB )
  78. /yingpanguazai/ssd/ssd1/www/wwww.yeyulingfeng.com/vendor/topthink/framework/src/think/Manager.php ( 3.92 KB )
  79. /yingpanguazai/ssd/ssd1/www/wwww.yeyulingfeng.com/vendor/psr/log/src/LoggerTrait.php ( 2.69 KB )
  80. /yingpanguazai/ssd/ssd1/www/wwww.yeyulingfeng.com/vendor/psr/log/src/LoggerInterface.php ( 2.71 KB )
  81. /yingpanguazai/ssd/ssd1/www/wwww.yeyulingfeng.com/vendor/topthink/framework/src/think/Cache.php ( 4.92 KB )
  82. /yingpanguazai/ssd/ssd1/www/wwww.yeyulingfeng.com/vendor/psr/simple-cache/src/CacheInterface.php ( 4.71 KB )
  83. /yingpanguazai/ssd/ssd1/www/wwww.yeyulingfeng.com/vendor/topthink/think-helper/src/helper/Arr.php ( 16.63 KB )
  84. /yingpanguazai/ssd/ssd1/www/wwww.yeyulingfeng.com/vendor/topthink/framework/src/think/cache/driver/File.php ( 7.84 KB )
  85. /yingpanguazai/ssd/ssd1/www/wwww.yeyulingfeng.com/vendor/topthink/framework/src/think/cache/Driver.php ( 9.03 KB )
  86. /yingpanguazai/ssd/ssd1/www/wwww.yeyulingfeng.com/vendor/topthink/framework/src/think/contract/CacheHandlerInterface.php ( 1.99 KB )
  87. /yingpanguazai/ssd/ssd1/www/wwww.yeyulingfeng.com/app/Request.php ( 0.09 KB )
  88. /yingpanguazai/ssd/ssd1/www/wwww.yeyulingfeng.com/vendor/topthink/framework/src/think/Request.php ( 55.78 KB )
  89. /yingpanguazai/ssd/ssd1/www/wwww.yeyulingfeng.com/app/middleware.php ( 0.25 KB )
  90. /yingpanguazai/ssd/ssd1/www/wwww.yeyulingfeng.com/vendor/topthink/framework/src/think/Pipeline.php ( 2.61 KB )
  91. /yingpanguazai/ssd/ssd1/www/wwww.yeyulingfeng.com/vendor/topthink/think-trace/src/TraceDebug.php ( 3.40 KB )
  92. /yingpanguazai/ssd/ssd1/www/wwww.yeyulingfeng.com/vendor/topthink/framework/src/think/middleware/SessionInit.php ( 1.94 KB )
  93. /yingpanguazai/ssd/ssd1/www/wwww.yeyulingfeng.com/vendor/topthink/framework/src/think/Session.php ( 1.80 KB )
  94. /yingpanguazai/ssd/ssd1/www/wwww.yeyulingfeng.com/vendor/topthink/framework/src/think/session/driver/File.php ( 6.27 KB )
  95. /yingpanguazai/ssd/ssd1/www/wwww.yeyulingfeng.com/vendor/topthink/framework/src/think/contract/SessionHandlerInterface.php ( 0.87 KB )
  96. /yingpanguazai/ssd/ssd1/www/wwww.yeyulingfeng.com/vendor/topthink/framework/src/think/session/Store.php ( 7.12 KB )
  97. /yingpanguazai/ssd/ssd1/www/wwww.yeyulingfeng.com/vendor/topthink/framework/src/think/Route.php ( 23.73 KB )
  98. /yingpanguazai/ssd/ssd1/www/wwww.yeyulingfeng.com/vendor/topthink/framework/src/think/route/RuleName.php ( 5.75 KB )
  99. /yingpanguazai/ssd/ssd1/www/wwww.yeyulingfeng.com/vendor/topthink/framework/src/think/route/Domain.php ( 2.53 KB )
  100. /yingpanguazai/ssd/ssd1/www/wwww.yeyulingfeng.com/vendor/topthink/framework/src/think/route/RuleGroup.php ( 22.43 KB )
  101. /yingpanguazai/ssd/ssd1/www/wwww.yeyulingfeng.com/vendor/topthink/framework/src/think/route/Rule.php ( 26.95 KB )
  102. /yingpanguazai/ssd/ssd1/www/wwww.yeyulingfeng.com/vendor/topthink/framework/src/think/route/RuleItem.php ( 9.78 KB )
  103. /yingpanguazai/ssd/ssd1/www/wwww.yeyulingfeng.com/route/app.php ( 3.82 KB )
  104. /yingpanguazai/ssd/ssd1/www/wwww.yeyulingfeng.com/vendor/topthink/framework/src/think/facade/Route.php ( 4.70 KB )
  105. /yingpanguazai/ssd/ssd1/www/wwww.yeyulingfeng.com/vendor/topthink/framework/src/think/route/dispatch/Controller.php ( 4.74 KB )
  106. /yingpanguazai/ssd/ssd1/www/wwww.yeyulingfeng.com/vendor/topthink/framework/src/think/route/Dispatch.php ( 10.44 KB )
  107. /yingpanguazai/ssd/ssd1/www/wwww.yeyulingfeng.com/app/controller/Index.php ( 9.69 KB )
  108. /yingpanguazai/ssd/ssd1/www/wwww.yeyulingfeng.com/app/BaseController.php ( 2.05 KB )
  109. /yingpanguazai/ssd/ssd1/www/wwww.yeyulingfeng.com/vendor/topthink/think-orm/src/facade/Db.php ( 0.93 KB )
  110. /yingpanguazai/ssd/ssd1/www/wwww.yeyulingfeng.com/vendor/topthink/think-orm/src/db/connector/Mysql.php ( 5.44 KB )
  111. /yingpanguazai/ssd/ssd1/www/wwww.yeyulingfeng.com/vendor/topthink/think-orm/src/db/PDOConnection.php ( 52.47 KB )
  112. /yingpanguazai/ssd/ssd1/www/wwww.yeyulingfeng.com/vendor/topthink/think-orm/src/db/Connection.php ( 8.39 KB )
  113. /yingpanguazai/ssd/ssd1/www/wwww.yeyulingfeng.com/vendor/topthink/think-orm/src/db/ConnectionInterface.php ( 4.57 KB )
  114. /yingpanguazai/ssd/ssd1/www/wwww.yeyulingfeng.com/vendor/topthink/think-orm/src/db/builder/Mysql.php ( 16.58 KB )
  115. /yingpanguazai/ssd/ssd1/www/wwww.yeyulingfeng.com/vendor/topthink/think-orm/src/db/Builder.php ( 24.06 KB )
  116. /yingpanguazai/ssd/ssd1/www/wwww.yeyulingfeng.com/vendor/topthink/think-orm/src/db/BaseBuilder.php ( 27.50 KB )
  117. /yingpanguazai/ssd/ssd1/www/wwww.yeyulingfeng.com/vendor/topthink/think-orm/src/db/Query.php ( 15.71 KB )
  118. /yingpanguazai/ssd/ssd1/www/wwww.yeyulingfeng.com/vendor/topthink/think-orm/src/db/BaseQuery.php ( 45.13 KB )
  119. /yingpanguazai/ssd/ssd1/www/wwww.yeyulingfeng.com/vendor/topthink/think-orm/src/db/concern/TimeFieldQuery.php ( 7.43 KB )
  120. /yingpanguazai/ssd/ssd1/www/wwww.yeyulingfeng.com/vendor/topthink/think-orm/src/db/concern/AggregateQuery.php ( 3.26 KB )
  121. /yingpanguazai/ssd/ssd1/www/wwww.yeyulingfeng.com/vendor/topthink/think-orm/src/db/concern/ModelRelationQuery.php ( 20.07 KB )
  122. /yingpanguazai/ssd/ssd1/www/wwww.yeyulingfeng.com/vendor/topthink/think-orm/src/db/concern/ParamsBind.php ( 3.66 KB )
  123. /yingpanguazai/ssd/ssd1/www/wwww.yeyulingfeng.com/vendor/topthink/think-orm/src/db/concern/ResultOperation.php ( 7.01 KB )
  124. /yingpanguazai/ssd/ssd1/www/wwww.yeyulingfeng.com/vendor/topthink/think-orm/src/db/concern/WhereQuery.php ( 19.37 KB )
  125. /yingpanguazai/ssd/ssd1/www/wwww.yeyulingfeng.com/vendor/topthink/think-orm/src/db/concern/JoinAndViewQuery.php ( 7.11 KB )
  126. /yingpanguazai/ssd/ssd1/www/wwww.yeyulingfeng.com/vendor/topthink/think-orm/src/db/concern/TableFieldInfo.php ( 2.63 KB )
  127. /yingpanguazai/ssd/ssd1/www/wwww.yeyulingfeng.com/vendor/topthink/think-orm/src/db/concern/Transaction.php ( 2.77 KB )
  128. /yingpanguazai/ssd/ssd1/www/wwww.yeyulingfeng.com/vendor/topthink/framework/src/think/log/driver/File.php ( 5.96 KB )
  129. /yingpanguazai/ssd/ssd1/www/wwww.yeyulingfeng.com/vendor/topthink/framework/src/think/contract/LogHandlerInterface.php ( 0.86 KB )
  130. /yingpanguazai/ssd/ssd1/www/wwww.yeyulingfeng.com/vendor/topthink/framework/src/think/log/Channel.php ( 3.89 KB )
  131. /yingpanguazai/ssd/ssd1/www/wwww.yeyulingfeng.com/vendor/topthink/framework/src/think/event/LogRecord.php ( 1.02 KB )
  132. /yingpanguazai/ssd/ssd1/www/wwww.yeyulingfeng.com/vendor/topthink/think-helper/src/Collection.php ( 16.47 KB )
  133. /yingpanguazai/ssd/ssd1/www/wwww.yeyulingfeng.com/vendor/topthink/framework/src/think/facade/View.php ( 1.70 KB )
  134. /yingpanguazai/ssd/ssd1/www/wwww.yeyulingfeng.com/vendor/topthink/framework/src/think/View.php ( 4.39 KB )
  135. /yingpanguazai/ssd/ssd1/www/wwww.yeyulingfeng.com/vendor/topthink/framework/src/think/Response.php ( 8.81 KB )
  136. /yingpanguazai/ssd/ssd1/www/wwww.yeyulingfeng.com/vendor/topthink/framework/src/think/response/View.php ( 3.29 KB )
  137. /yingpanguazai/ssd/ssd1/www/wwww.yeyulingfeng.com/vendor/topthink/framework/src/think/Cookie.php ( 6.06 KB )
  138. /yingpanguazai/ssd/ssd1/www/wwww.yeyulingfeng.com/vendor/topthink/think-view/src/Think.php ( 8.38 KB )
  139. /yingpanguazai/ssd/ssd1/www/wwww.yeyulingfeng.com/vendor/topthink/framework/src/think/contract/TemplateHandlerInterface.php ( 1.60 KB )
  140. /yingpanguazai/ssd/ssd1/www/wwww.yeyulingfeng.com/vendor/topthink/think-template/src/Template.php ( 46.61 KB )
  141. /yingpanguazai/ssd/ssd1/www/wwww.yeyulingfeng.com/vendor/topthink/think-template/src/template/driver/File.php ( 2.41 KB )
  142. /yingpanguazai/ssd/ssd1/www/wwww.yeyulingfeng.com/vendor/topthink/think-template/src/template/contract/DriverInterface.php ( 0.86 KB )
  143. /yingpanguazai/ssd/ssd1/www/wwww.yeyulingfeng.com/runtime/temp/10a0c909b6afa23b5a52a2e2d58c3c0f.php ( 21.72 KB )
  144. /yingpanguazai/ssd/ssd1/www/wwww.yeyulingfeng.com/vendor/topthink/think-trace/src/Html.php ( 4.42 KB )
  1. CONNECT:[ UseTime:0.000569s ] mysql:host=127.0.0.1;port=3306;dbname=wenku;charset=utf8mb4
  2. SHOW FULL COLUMNS FROM `fenlei` [ RunTime:0.000771s ]
  3. SELECT * FROM `fenlei` WHERE `fid` = 0 [ RunTime:0.000325s ]
  4. SELECT * FROM `fenlei` WHERE `fid` = 63 [ RunTime:0.004085s ]
  5. SHOW FULL COLUMNS FROM `set` [ RunTime:0.000520s ]
  6. SELECT * FROM `set` [ RunTime:0.000207s ]
  7. SHOW FULL COLUMNS FROM `wendang` [ RunTime:0.000642s ]
  8. SELECT * FROM `wendang` WHERE `id` = 368209 LIMIT 1 [ RunTime:0.003200s ]
  9. UPDATE `wendang` SET `liulancishu` = 1 WHERE `id` = 368209 [ RunTime:0.009758s ]
  10. UPDATE `wendang` SET `lasttime` = 1773076021 WHERE `id` = 368209 [ RunTime:0.000683s ]
  11. SELECT * FROM `wendang` WHERE `id` < 368209 ORDER BY `id` DESC LIMIT 1 [ RunTime:0.000526s ]
  12. SELECT * FROM `wendang` WHERE `id` > 368209 ORDER BY `id` ASC LIMIT 1 [ RunTime:0.001639s ]
  13. SELECT * FROM `wendang` WHERE `id` <> 368209 ORDER BY `id` DESC LIMIT 10 [ RunTime:0.008428s ]
  14. SELECT * FROM `wendang` WHERE `id` <> 368209 ORDER BY `id` DESC LIMIT 10,10 [ RunTime:0.004987s ]
  15. SELECT * FROM `wendang` WHERE `id` <> 368209 ORDER BY `id` DESC LIMIT 20,10 [ RunTime:0.027759s ]
0.145197s