当前位置:首页>文档>专项精练第05课函数的单调性与最值-2024年新高考数学分层专项精练(解析版)_2.2025数学总复习_2024年新高考资料_3.2024专项复习_专项精练2024年新高考数学分层专项精练

专项精练第05课函数的单调性与最值-2024年新高考数学分层专项精练(解析版)_2.2025数学总复习_2024年新高考资料_3.2024专项复习_专项精练2024年新高考数学分层专项精练

  • 2026-04-15 19:27:28 2026-03-10 18:07:44

文档预览

专项精练第05课函数的单调性与最值-2024年新高考数学分层专项精练(解析版)_2.2025数学总复习_2024年新高考资料_3.2024专项复习_专项精练2024年新高考数学分层专项精练
专项精练第05课函数的单调性与最值-2024年新高考数学分层专项精练(解析版)_2.2025数学总复习_2024年新高考资料_3.2024专项复习_专项精练2024年新高考数学分层专项精练
专项精练第05课函数的单调性与最值-2024年新高考数学分层专项精练(解析版)_2.2025数学总复习_2024年新高考资料_3.2024专项复习_专项精练2024年新高考数学分层专项精练
专项精练第05课函数的单调性与最值-2024年新高考数学分层专项精练(解析版)_2.2025数学总复习_2024年新高考资料_3.2024专项复习_专项精练2024年新高考数学分层专项精练
专项精练第05课函数的单调性与最值-2024年新高考数学分层专项精练(解析版)_2.2025数学总复习_2024年新高考资料_3.2024专项复习_专项精练2024年新高考数学分层专项精练
专项精练第05课函数的单调性与最值-2024年新高考数学分层专项精练(解析版)_2.2025数学总复习_2024年新高考资料_3.2024专项复习_专项精练2024年新高考数学分层专项精练
专项精练第05课函数的单调性与最值-2024年新高考数学分层专项精练(解析版)_2.2025数学总复习_2024年新高考资料_3.2024专项复习_专项精练2024年新高考数学分层专项精练
专项精练第05课函数的单调性与最值-2024年新高考数学分层专项精练(解析版)_2.2025数学总复习_2024年新高考资料_3.2024专项复习_专项精练2024年新高考数学分层专项精练
专项精练第05课函数的单调性与最值-2024年新高考数学分层专项精练(解析版)_2.2025数学总复习_2024年新高考资料_3.2024专项复习_专项精练2024年新高考数学分层专项精练
专项精练第05课函数的单调性与最值-2024年新高考数学分层专项精练(解析版)_2.2025数学总复习_2024年新高考资料_3.2024专项复习_专项精练2024年新高考数学分层专项精练
专项精练第05课函数的单调性与最值-2024年新高考数学分层专项精练(解析版)_2.2025数学总复习_2024年新高考资料_3.2024专项复习_专项精练2024年新高考数学分层专项精练
专项精练第05课函数的单调性与最值-2024年新高考数学分层专项精练(解析版)_2.2025数学总复习_2024年新高考资料_3.2024专项复习_专项精练2024年新高考数学分层专项精练
专项精练第05课函数的单调性与最值-2024年新高考数学分层专项精练(解析版)_2.2025数学总复习_2024年新高考资料_3.2024专项复习_专项精练2024年新高考数学分层专项精练
专项精练第05课函数的单调性与最值-2024年新高考数学分层专项精练(解析版)_2.2025数学总复习_2024年新高考资料_3.2024专项复习_专项精练2024年新高考数学分层专项精练
专项精练第05课函数的单调性与最值-2024年新高考数学分层专项精练(解析版)_2.2025数学总复习_2024年新高考资料_3.2024专项复习_专项精练2024年新高考数学分层专项精练
专项精练第05课函数的单调性与最值-2024年新高考数学分层专项精练(解析版)_2.2025数学总复习_2024年新高考资料_3.2024专项复习_专项精练2024年新高考数学分层专项精练
专项精练第05课函数的单调性与最值-2024年新高考数学分层专项精练(解析版)_2.2025数学总复习_2024年新高考资料_3.2024专项复习_专项精练2024年新高考数学分层专项精练
专项精练第05课函数的单调性与最值-2024年新高考数学分层专项精练(解析版)_2.2025数学总复习_2024年新高考资料_3.2024专项复习_专项精练2024年新高考数学分层专项精练
专项精练第05课函数的单调性与最值-2024年新高考数学分层专项精练(解析版)_2.2025数学总复习_2024年新高考资料_3.2024专项复习_专项精练2024年新高考数学分层专项精练
专项精练第05课函数的单调性与最值-2024年新高考数学分层专项精练(解析版)_2.2025数学总复习_2024年新高考资料_3.2024专项复习_专项精练2024年新高考数学分层专项精练
专项精练第05课函数的单调性与最值-2024年新高考数学分层专项精练(解析版)_2.2025数学总复习_2024年新高考资料_3.2024专项复习_专项精练2024年新高考数学分层专项精练
专项精练第05课函数的单调性与最值-2024年新高考数学分层专项精练(解析版)_2.2025数学总复习_2024年新高考资料_3.2024专项复习_专项精练2024年新高考数学分层专项精练
专项精练第05课函数的单调性与最值-2024年新高考数学分层专项精练(解析版)_2.2025数学总复习_2024年新高考资料_3.2024专项复习_专项精练2024年新高考数学分层专项精练
专项精练第05课函数的单调性与最值-2024年新高考数学分层专项精练(解析版)_2.2025数学总复习_2024年新高考资料_3.2024专项复习_专项精练2024年新高考数学分层专项精练
专项精练第05课函数的单调性与最值-2024年新高考数学分层专项精练(解析版)_2.2025数学总复习_2024年新高考资料_3.2024专项复习_专项精练2024年新高考数学分层专项精练
专项精练第05课函数的单调性与最值-2024年新高考数学分层专项精练(解析版)_2.2025数学总复习_2024年新高考资料_3.2024专项复习_专项精练2024年新高考数学分层专项精练
专项精练第05课函数的单调性与最值-2024年新高考数学分层专项精练(解析版)_2.2025数学总复习_2024年新高考资料_3.2024专项复习_专项精练2024年新高考数学分层专项精练
专项精练第05课函数的单调性与最值-2024年新高考数学分层专项精练(解析版)_2.2025数学总复习_2024年新高考资料_3.2024专项复习_专项精练2024年新高考数学分层专项精练
专项精练第05课函数的单调性与最值-2024年新高考数学分层专项精练(解析版)_2.2025数学总复习_2024年新高考资料_3.2024专项复习_专项精练2024年新高考数学分层专项精练
专项精练第05课函数的单调性与最值-2024年新高考数学分层专项精练(解析版)_2.2025数学总复习_2024年新高考资料_3.2024专项复习_专项精练2024年新高考数学分层专项精练
专项精练第05课函数的单调性与最值-2024年新高考数学分层专项精练(解析版)_2.2025数学总复习_2024年新高考资料_3.2024专项复习_专项精练2024年新高考数学分层专项精练
专项精练第05课函数的单调性与最值-2024年新高考数学分层专项精练(解析版)_2.2025数学总复习_2024年新高考资料_3.2024专项复习_专项精练2024年新高考数学分层专项精练

文档信息

文档格式
docx
文档大小
1.315 MB
文档页数
32 页
上传时间
2026-03-10 18:07:44

文档内容

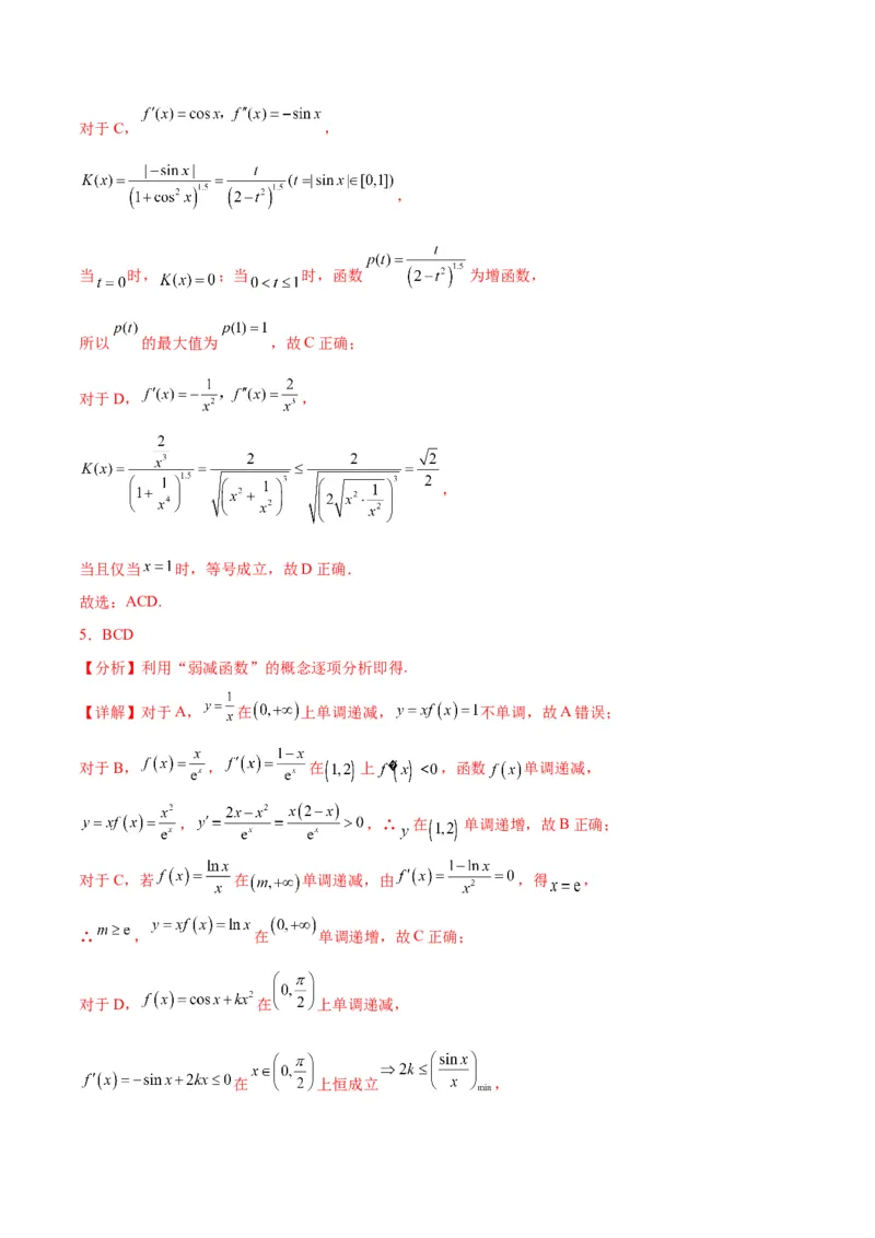
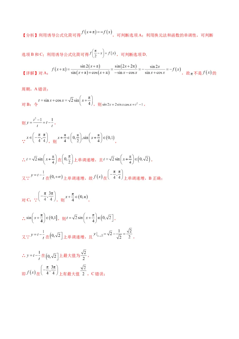
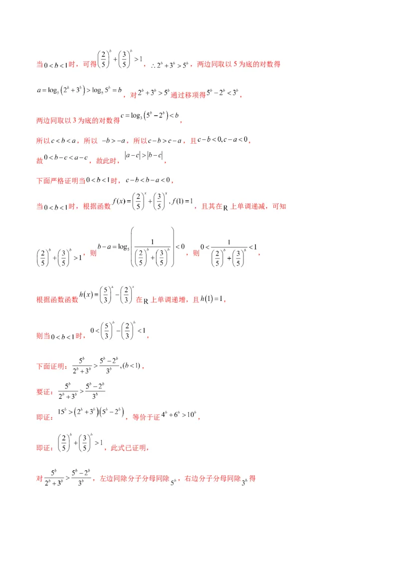
第02课 函数的单调性与最值(分层专项精练) 【一层练基础】 一、单选题 1.(2012·天津·高考真题)下列函数中,既是偶函数,又在区间(1,2)内是增函数的为 A. ,x R B. ,x R且x≠0 C. ,x R D. ,x R 2.(2022秋·浙江杭州·高一校考期中)函数 在 上单调递减,则实数 的 取值范围是( ) A. B. C. D. 3.(2023·全国·高三专题练习)设 ,则a,b,c的大小关系为( ) A. B. C. D. 4.(2020春·山西太原·高二山西大附中校考阶段练习)若关于x的不等式 在 区间上有解, 则k的取值范围是 A. B. C. D. 5.(2022·吉林白城·校考模拟预测)若函数 存在平行于 轴的切线,则实数 取值范 围是( ) A. B. C. D.二、多选题 6.(2021秋·甘肃兰州·高一兰州一中校考期中)已知函数 ,则下列结论正确的是( ) A.函数 在 上是增函数 B.函数 的图象关于点 中心对称 C.函数 的图象上存在两点 , ,使得直线 轴 D.函数 的图象关于直线 对称 7.(2023春·重庆九龙坡·高一四川外国语大学附属外国语学校校考阶段练习)设函数 , 则( ) A. 的一个周期为 B. 在 上单调递增 C. 在 上有最大值 D. 图象的一条对称轴为直线 8.(2021秋·福建三明·高三校考期中)下列函数中是偶函数,且在区间 上单调递增的是( ) A. B. C. D. 9.(2023·全国·高三专题练习)已知函数 ,则( ) A. 的定义域为 B. 是偶函数 C.函数 的零点为0 D.当 时, 的最大值为三、填空题 10.(2022秋·陕西西安·高一西安市第八十三中学校考阶段练习)函数 的单调增区间 为 . 11.(2023春·安徽亳州·高二亳州二中校考期末)已知定义域为 的减函数 满足 ,且 ,则不等式 的解集为 . 12.(2016·北京·高考真题)函数 的最大值为 . 13.(2022秋·天津西青·高一天津市西青区杨柳青第一中学校考期中)若两个正实数x,y满足 ,且不等式 恒成立,则实数m的取值范围是 . 14.(2023·全国·高三专题练习)已知实数a,b满足 ,则 的最小值是 . 【二层练综合】 一、单选题 1.(2022秋·高一单元测试)已知函数 满足 ,且对任意的 ,都有 ,则满足不等式 的 的取值范围是( ) A. B. C. D. 2.(2021·全国·高一专题练习)函数y= ,x∈(m,n]的最小值为0,则m的取值范围是( ) A.(1,2) B.(-1,2) C.[1,2) D.[-1,2) 3.(2023·四川·模拟预测)已知函数 且 在定义域上是单调函数,则实数t的取 值范围为( )A. B. C. D. 4.(2022·安徽滁州·高二校考学业考试)已知函数 的定义域为 ,满足:①对任意 ,都有 ,②对任意 且 ,都有 ,则函数 叫“成功函 数”,下列函数是“成功函数”的是( ) A. B. C. D. 5.(2023·全国·高三专题练习)已知函数 是定义域为 的奇函数,且当 时, . 若函数 在 上的最小值为3,则实数a的值为( ) A.1 B.2 C.3 D.4 二、多选题 6.(2022秋·山东潍坊·高三校考期中)下列四个函数中,以 为周期且在 上单调递增的偶函数有 ( ) A. B. C. D. 7.(2023春·湖北恩施·高一校联考期中)已知函数 , ,则( ) A.函数 为偶函数 B.函数 为奇函数 C.函数 在区间 上的最大值与最小值之和为0D.设 ,则 的解集为 8.(2023·全国·高三专题练习)已知 是定义在 上的偶函数, 是定义在 上的奇函数,且 , 在 单调递减,则( ) A. B. C. D. 9.(2022·全国·高三专题练习)高斯是德国著名数学家,近代数学奠基者之一,享有“数学王子”的称号, 他和阿基米德,牛顿并列为世界三大数学家,用 表示不超过x的最大整数,则 称为高斯函数,例 如 , .则下列说法正确的是( ) A.函数 在区间 ( )上单调递增 B.若函数 ,则 的值域为 C.若函数 ,则 的值域为 D. , 三、填空题 10.(2023·全国·高三专题练习)已知函数 在 上的最小值为1,则 的值为 . 11.(2022·全国·高三专题练习)已知函数 (x>0),若 的最大值为 ,则正实数 a= . 12.(2022·全国·高三专题练习)若 , ,则实数 的取值范围为 .13.(2023·全国·高三专题练习)若 ,使 成立,则实数 的取值范围是 . 14.(2021秋·湖北荆州·高一荆州市沙市第五中学校考阶段练习)同学们,你们是否注意到:自然下垂的 铁链;空旷的田野上,两根电线杆之间的电线;峡谷的上空,横跨深涧的观光索道的钢索.这些现象中都 有相似的曲线形态.事实上,这些曲线在数学上常常被称为悬链线.悬链线的相关理论在工程、航海、光 学等方面有广泛的应用.在恰当的坐标系中,这类函数的表达式可以为 (其中 , 是非 零常数,无理数 …),对于函数 以下结论正确的是 . ①如果 ,那么函数 为奇函数; ②如果 ,那么 为单调函数; ③如果 ,那么函数 没有零点; ④如果 那么函数 的最小值为2. 【三层练能力】 一、单选题 1.(2023·全国·高三专题练习)已知a,b,c满足 , ,则( ) A. , B. , C. , D. , 2.(2023·全国·高三专题练习)已知 , , ,则( ) A. B. C. D. 3.(2022·全国·高三专题练习)已知关于 的不等式 有且仅有两个正整数解(其中 为自然对数的底数),则实数 的取值范围是( )A. B. C. D. 二、多选题 4.(2023·全国·校联考一模)曲线的曲率就是针对曲线上㭉个克的切线方向角对弧长的转动率,表明曲线 偏离直线的程度,曲率越大,表示曲线的弯曲程度越大.曲线 在点 处的曲率 ,其中 是 的导函数.( ) A.若函数f(x)= .则曲线y=f(x)在点(- ,- )与点( , )处的弯曲程度相同 B.若 是二次函数.则曲线 的曲率在顶点处取得最小值 C.若函数 ,则函数 的值域为 D.若函数 ,则曲线 上任意一点的曲率的最大值为 5.(2023春·重庆江北·高二字水中学校考阶段练习)定义:在区间 上,若函数 是减函数,且 是增函数,则称 在区间 上是“弱减函数”.根据定义可得( ) A. 在 上是“弱减函数” B. 在 上是“弱减函数” C.若 在 上是“弱减函数”,则 D.若 在 上是“弱减函数”,则 6.(2022·全国·高三专题练习)已知函数 ,则( ) A. 是函数 的一个周期B. 是函数 的一条对称轴 C.函数 的最大值为 ,最小值为 D.函数 在 上单调递增 【一层练基础】参考答案 1.B 【详解】首先判断奇偶性:A,B为偶函数,C为奇函数,D既不是奇函数也不是偶函数,所以排除C、D, 对于 先减后增,排除A,故选B. 考点:函数的奇偶性、单调性. 2.B 【分析】由分段函数单调性列不等式组求解 【详解】 ,故 在 上单调递减,由题意得 解得 , 故选:B 3.D 【分析】根据指数函数和对数函数的单调性结合中间量法即可求解. 【详解】因为 ,所以 , 因为 ,所以 ,又因为 ,所以 , 所以 , 故选: . 4.D 【分析】用分离参数法得出不等式k> ﹣x在x [1,2]上成立,根据函数f(x)= ﹣x在x [1,2]上的 ∈ ∈ 单调性,即可求出k的取值范围. 【详解】关于x的不等式x2+kx﹣1>0在区间[1,2]上有解, ∴kx>1﹣x2在x [1,2]上有解, ∈ 即k> ﹣x在x [1,2]上成立; ∈ 设函数f(x)= ﹣x,x [1,2], ∈ ∴f′(x)=﹣ ﹣1<0恒成立, ∴f(x)在x [1,2]上是单调减函数, ∈ 且f(x)的值域为[﹣ ,0], 要k> ﹣x在x [1,2]上有解,则k>﹣ , ∈ 即实数k的取值范围为(﹣ ,+∞). 故答案为:D 【点睛】(1)本题主要考查了不等式的有解问题,考查利用导数求函数的值域,意在考查学生对这些知 识的掌握水平和分析推理能力.(2)处理参数的问题常用的有分离参数法和分类讨论法,本题利用的是分离参数法,解题效率比分类讨论法解题效率高. 5.C 【分析】由题意, 在 上有解,分离参数 转化为值域问题即可求解. 【详解】解:因为函数 存在平行于 轴的切线, 所以 在 上有解,即 在 上有解, 因为 , 所以 , 故选:C. 6.AC 【分析】 ,然后画出其图象可得答案. 【详解】 ,其大致图象如下, 结合函数图象可得AC正确,BD错误. 故选:AC 7.BD【分析】利用诱导公式化简可得 ,可判断选项A;利用换元法和函数的单调性,可判断 选项B和C;利用诱导公式化简可得 ,可判断选项D. 【详解】对A: ,故 不是 的 周期,A错误; 对B:令 ,则 , 则 , ∵ ,则 , ∴ 在 上单调递增,且 , 又∵ 在 上单调递增,故 在 上单调递增,B正确; 对C:∵ ,则 , ∴ ,则 , 又∵ 在 上单调递增,且 , ∴ 在 上最大值为 , 即 在 上有最大值 ,C错误;对D: ,故 图象的一条对称轴 为直线 ,D正确. 故选:BD. 【点睛】结论点睛: 若 ,则 关于直线 对称,特别地 ,则 关于直线 对称; 若 ,则 关于点 对称,特别地 ,则 关于点 对称. 8.AD 【解析】利用函数的奇偶性的定义判断奇偶性,根据函数解析式判断单调性. 【详解】A,因为 , 是偶函数,在区间 上为增函数,符合题 意; B,因为 , 是奇函数,且在区间 上为减函数,不符合题意; C,因为 , 是偶函数,当 时, 单调 递减,不符合题意; D,因为 , 是偶函数,且在区间 上为增函数,符合题意. 故选:AD 9.AD 【分析】根据函数的解析式,分别从定义域、奇偶性、零点、最值考察即可求解. 【详解】对A,由解析式可知 的定义域为 ,故A正确;对B,因为 ,可知 是奇函数,故B不正确; 对C, ,得 ,故C不正确; 对D, 当 时, ,当且仅当 时取等号, 故D正确. 故选:AD 10. 【分析】根据复合函数的单调性即得. 【详解】函数 的定义域是 , 在定义域内函数 的单调增区间是 , 而函数 的单调增区间就是在定义域内函数 的增区间, 所以函数 的单调增区间为 . 故答案为: . 11. 【分析】根据题意可得 , ,进而将原不等式转换为不等式组, 解之即可. 【详解】由题意知, , ,故答案为: . 12.2 【分析】分离常量,由函数 可得函数单调递减,然后求解函数的最大值即可. 【详解】[方法一]:分离常量法 由函数 ,得 在 单调递减, 即 . 故答案为:2. [方法二]:换元法 由函数 ,令 , ,得 , 可知 在 是单调递减的,即 . 故答案为:2. [方法三]:反函数法 由函数 ,得 ,由 ,得 , 从而有 ,即 . 故答案为:2. [方法四]:函数图像法 由函数 ,由 在 单调递增, 得 在 单调递减,即 . 故答案为:2.13. 【分析】不等式 恒成立,即为 不大于xy的最小值,运用基本不等式,计算即可得到所 求最小值,解不等式可得m的范围. 【详解】∵正实数x,y满足 , 所以 ,即 , 当且仅当 时等号成立, 由 恒成立,可得 , 解得 故答案为: 14. 【分析】先判断出 ,且 .令 ,利用判别式法求出 的最小值. 【详解】因为实数a,b满足 , 所以 ,且 . 令 ,则 ,所以 , 代入 ,则有 , 所以关于b的一元二次方程 有正根, 只需 ,解得: . 此时,关于b的一元二次方程 的两根 ,所以两根同号,只需 , 解得 . 综上所述: .即 的最小值是 (此时 ,解得: ). 故答案为: . 【二层练综合】参考答案 1.A 【分析】 可化为 ,构造函数 ,再结合奇偶性可 知该函数在R上单调递增,又将所求不等式变形,即可由单调性解该抽象不等式. 【详解】根据题意可知, 可转化为 , 所以 在[0,+∞)上是增函数,又 , 所以 为奇函数,所以 在R上为增函数, 因为 , , 所以 , 所以 , 解得 , 即x的取值范围是 . 故选:A. 【关键点点睛】本题的关键是将不等式 化为 ,从而构造 函数 ,再根据奇偶性和单调性解抽象不等式. 2.D【分析】先将函数化简转化,判断函数的单调性,根据条件求出 的值,即可求出 的取值范围. 【详解】函数 , 可以判断函数在区间(-1,+∞)上是减函数,且f(2)=0,所以n=2, 根据题意,x∈(m,n]时,y =0, min ∴m的取值范围是[-1,2). 故选:D. 【点睛】本题考查已知给定函数在未知区间的最值,求区间内参数范围,判断函数的单调性是解决问题的 关键. 3.A 【分析】先判断 的单调性,然后对 进行分类讨论,由此求得 的取值范围. 【详解】由于函数 在定义域上单调递增,所以函数 在定义域上是单调递增函数. 当 时,函数 在定义域上不单调,不符合题意; 当 时,函数 图象的对称轴为 , 当 时,函数 在区间 上单调递减,不符合题意, 当 时,函数 在区间 上单调递增, 要使函数 在定义域上单调递增,则需 ,解得 . 故实数t的取值范围为 . 故选:A 4.B 【解析】根据已知可得判断“成功函数”为定义域上单调递增的奇函数,逐项判断,即可得出结论. 【详解】由任意 ,都有 知 是奇函数, 由任意 且 ,都有 ,知 是增函数, 因为 在定义域上是奇函数, 但在定义域上不是单增函数,故A错; 因为 是奇函数, , 所以在定义域上是增函数,故B正确; 因为 在定义域 是减函数, 故C错; 因为 在 上单调递减,故D错. 故选:B. 【点睛】本题考查函数的奇偶性和单调性的判断,熟练掌握初等函数单调性,以及应用导数法判断函数的 单调性,属于中档题. 5.D 【分析】由已知结合奇函数定义先求出当 时的函数解析式,然后利用导数对 进行分类讨论,确定函 数单调性,进而可求. 【详解】因为 是定义域为 的奇函数,且当 时, . 当 时, ,则 , 所以当 时, ,此时 当 时, 在 , 上恒成立,函数 在 , 上单调递增,当 时,函数取 得最小值 ,解得 (舍 , 当 时, , ,函数单调递减; , ,函数单调递增, 时, 函数取得最小值 ,解得 , 综上, . 故选:D.6.BD 【分析】根据题意,结合三角函数的图象性质以及图象的变换,一一判断即可. 【详解】对于选项A,因为 在 上单调递减,所以 上单调递减,故A错; 对于选项B,结合 的图象性质,易知 是以 为周期且在 上单调递增的偶函数,故B 正确; 对于选项C,结合 的图象性质,易知 没有 周期性,故C错; 对于选项D,令 ,易知 是以 为周期且在 上单调递增的偶函数,因 也是单调 递增的,所以 是以 为周期且在 上单调递增的偶函数,故D正确. 故选:BD. 7.BCD 【分析】根据题意,利用奇偶性,单调性,依次分析选项是否正确,即可得到答案 【详解】对于A: ,定义域为 , , 则 为奇函数,故A错误; 对于B: ,定义域为 , , 则 为奇函数,故B正确; 对于C: , , 都为奇函数, 则 为奇函数, 在区间 上的最大值与最小值互为相反数, 必有 在区间 上的最大值与最小值之和为0,故C正确;对于D: ,则 在 上为减函数, ,则 在 上为减函数, 则 在 上为减函数, 若 即 , 则必有 ,解得 , 即 的解集为 ,故D正确; 故选:BCD 8.BD 【分析】由奇偶函数的单调性的关系确定两函数的单调性,再结合 , 逐 项判断即可. 【详解】因为 是定义在R上的偶函数, 是定义在R上的奇函数,且两函数在 上单调递减, 所以 在 上单调递增, 在 上单调递减, 在 上单调递减, 所以 , , 所以 , , , 所以BD正确,C错误; 若 ,则 ,A错误. 故选:BD 9.AC 【分析】求出函数式确定单调性判断A;举特例说明判断B,D;变形函数式,分析计算判断C作答. 【详解】对于A, , ,有 ,则函数 在 上单调递增,A正确;对于B, ,则 ,B不正确; 对于C, , 当 时, , ,有 , 当 时, , ,有 , 的值域为 ,C正确; 对于D,当 时, ,有 ,D不正确. 故选:AC 10.1 【分析】分 , 讨论,利用函数的单调性求最值即得. 【详解】由题意得 , 当 时, 在 上单调递减, ∴ 的最小值为 , , 所以 不成立; 当 时, , 在 单调递减,在 上单调递增, ∴ 的最小值为 ,符合题意. 故 . 故答案为:1. 11.1 【分析】依据题意列出关于a的方程即可求得正实数a的值. 【详解】令 ,则 ,则 令当 时, 在 上单调递增, 则 ,即 的最大值为 则 ,解之得 . 当 时, (当且仅当 时等号成立) 则 ,即 的最大值为 则 ,解之得 (舍) 综上,所求正实数 故答案为:1 12. 【分析】利用基本不等式 的最小值,由此可得出实数 的取值范围. 【详解】 , ,则 , 由基本不等式可得 , 当且仅当 即 时,等号成立, 所以 , 因此实数 的取值范围是 . 故答案为: . 13. 【分析】利用不等式的基本性质分离参数,利用函数的单调性求相应最值即可得到结论. 【详解】由 可得, ,因为 ,所以 ,根据题意, 即可, 设 ,易知 在 单调递减,在 单调递增, 所以 , 所以 , 故答案为: 14.②③ 【分析】利用函数的奇偶性,单调性,零点和基本不等式等性质对①②③④逐一分析即可得到结论. 【详解】对①:当 时,函数 ,此时 为偶函数,故①错误. 对②:当 时,令 ,函数 在其定义域上为单调递增函数,函数 在其定义域上 也为单调递增函数,故函数 在其定义域上为单调递增函数;当 ,函数 在 其定义域上为单调递减函数,函数 在其定义域上也为单调递减函数,故函数 在其定 义域上为单调递减函数;综上:如果 ,那么 为单调函数;故②正确. 对③:当 时,函数 , 当 时,函数 ; 综上:如果 ,那么函数 没有零点;故③正确. 对④:由 ,则 , 当 时,函数 ;当 时,函数 ; 故 时,函数 没有最小值;故④错误. 故答案为:②③ 【点睛】本题考查了函数的奇偶性和最值的应用,考查基本不等式,考查指数函数的性质,属于中档题. 【三层练能力】参考答案 1.B 【分析】构造函数 ,利用其单调性,分 , , 讨论即可. 【详解】由题意得 ,即 ,则 ,则 , 令 ,根据减函数加减函数为减函数的结论知: 在 上单调递减, 当 时,可得 , ,两边同取以5为底的对数得 ,对 通过移项得 , 两边同取以3为底的对数得 , 所以 ,所以 ,所以 ,且 , 故此时, ,故C,D选项错误, 时, , ,且 ,故A错误,下面严格证明当 时, , , 根据函数 在 上单调递增,且 , 则当 时,有 , , , 下面证明: , 要证: , 即证: ,等价于证明 , 即证: ,此式开头已证明, 对 ,左边同除分子分母同除 ,右边分子分母同除 得 , 则 故当 时, ,则当 时,可得 , ,两边同取以5为底的对数得 ,对 通过移项得 , 两边同取以3为底的对数得 , 所以 ,所以 ,所以 ,且 , 故 ,故此时, , 下面严格证明当 时, , 当 时,根据函数 ,且其在 上单调递减,可知 ,则 ,则 , 根据函数函数 在 上单调递增,且 , 则当 时, , 下面证明: , 要证: 即证: ,等价于证 , 即证: ,此式已证明, 对 ,左边同除分子分母同除 ,右边分子分母同除 得, 则 , 故 时, ,则 当 时, ,则 , , 综上 , , 故选:B. 【点睛】关键点睛:本题的关键在于构造函数 ,利用其单调性及 ,从而得到 之间的大小关系,同时需要先求出 的范围,然后再对 进行分类讨论. 2.D 【分析】由 ,可得 ,构造函数 ,利用函数的导数与单调 性的关系,可得 在 上单调递增,进而可得 , ,从而即可得答案. 【详解】解:因为 , 所以 ; 令 , , 所以 在 上单调递增,因为 ,所以 ,即 , 所以 , 所以 ; 同理 ,所以 ,即 ,也即 , 所以 , 所以 . 综上, , 故选:D. 3.D 【分析】问题转化为 ( )有且仅有两个正整数解,讨论 、 并构造 、 ,利用导数研究单调性,进而数形结合列出不等式组求参数范围. 【详解】当 时,由 ,可得 ( ), 显然当 时,不等式 在 恒成立,不合题意; 当 时,令 ,则 在 上单调递增, 令 ,则 ,故 上 , 上 , ∴ 在 上递增,在 上递减, 又 且 趋向正无穷时 趋向0,故 , 综上, 图象如下:由图知:要使 有两个正整数解,则 ,即 ,解得 . 故选:D 【点睛】关键点点睛:问题转化为 ( )有且仅有两个正整数解,根据不等式两边的单调 性及正整数解个数列不等式组求范围. 4.ACD 【分析】根据求导法则和运算性质分别求出选项的 ,求出曲率 的表达式,结合偶函数的 定义、复合函数的单调性、基本不等式的应用依次判断即可. 【详解】对于A, , ,则 , 又 ,所以 为偶函数,曲线在两点的弯曲长度相同,故A正确; 对于B,设 , , 则 ,当且仅当 , 即 时,曲率取得最大值,故B错误;对于C, , , 当 时, ;当 时,函数 为增函数, 所以 的最大值为 ,故C正确; 对于D, , , 当且仅当 时,等号成立,故D正确. 故选:ACD. 5.BCD 【分析】利用“弱减函数”的概念逐项分析即得. 【详解】对于A, 在 上单调递减, 不单调,故A错误; 对于B, , 在 上 ,函数 单调递减, , ,∴ 在 单调递增,故B正确; 对于C,若 在 单调递减,由 ,得 , ∴ , 在 单调递增,故C正确; 对于D, 在 上单调递减, 在 上恒成立 ,令 , ,令 , , ∴ 在 上单调递减, , ∴ ,∴ 在 上单调递减, , ∴ , 在 上单调递增, 在 上恒成立, ∴ , 令 , , ∴ 在 上单调递增, , ∴ , 综上: ,故D正确. 故选:BCD. 6.ABC 【分析】根据给定条件利用周期定义、对称性性质判断选项A,B;换元借助二次函数最值判断选项C; 利用复合函数单调性判断选项D作答. 【详解】因 ,A正确; 因,B正确; 令 ,有 ,则 , , 因为 在 上单调递增,即函数 的最大值为 ,最小值为 , C正确; 函数 由 和 复合而成,函数 在 上单调递增, 在 上递增,在 上递减,则函数 在 上不单调,D不正确. 故选:ABC 【点睛】结论点睛:函数 的定义域为D, , 存在常数a使得 ,则函数 图象关于直线