当前位置:首页>文档>专题07导数与隐零点问题(练)解析版_2.2025数学总复习_2023年新高考资料_二轮复习_备战2023年高考数学二轮复习考点精讲练(新教材·新高考)

专题07导数与隐零点问题(练)解析版_2.2025数学总复习_2023年新高考资料_二轮复习_备战2023年高考数学二轮复习考点精讲练(新教材·新高考)

  • 2026-04-15 13:04:42 2026-03-12 04:22:28

文档预览

专题07导数与隐零点问题(练)解析版_2.2025数学总复习_2023年新高考资料_二轮复习_备战2023年高考数学二轮复习考点精讲练(新教材·新高考)
专题07导数与隐零点问题(练)解析版_2.2025数学总复习_2023年新高考资料_二轮复习_备战2023年高考数学二轮复习考点精讲练(新教材·新高考)
专题07导数与隐零点问题(练)解析版_2.2025数学总复习_2023年新高考资料_二轮复习_备战2023年高考数学二轮复习考点精讲练(新教材·新高考)
专题07导数与隐零点问题(练)解析版_2.2025数学总复习_2023年新高考资料_二轮复习_备战2023年高考数学二轮复习考点精讲练(新教材·新高考)
专题07导数与隐零点问题(练)解析版_2.2025数学总复习_2023年新高考资料_二轮复习_备战2023年高考数学二轮复习考点精讲练(新教材·新高考)
专题07导数与隐零点问题(练)解析版_2.2025数学总复习_2023年新高考资料_二轮复习_备战2023年高考数学二轮复习考点精讲练(新教材·新高考)
专题07导数与隐零点问题(练)解析版_2.2025数学总复习_2023年新高考资料_二轮复习_备战2023年高考数学二轮复习考点精讲练(新教材·新高考)
专题07导数与隐零点问题(练)解析版_2.2025数学总复习_2023年新高考资料_二轮复习_备战2023年高考数学二轮复习考点精讲练(新教材·新高考)
专题07导数与隐零点问题(练)解析版_2.2025数学总复习_2023年新高考资料_二轮复习_备战2023年高考数学二轮复习考点精讲练(新教材·新高考)
专题07导数与隐零点问题(练)解析版_2.2025数学总复习_2023年新高考资料_二轮复习_备战2023年高考数学二轮复习考点精讲练(新教材·新高考)
专题07导数与隐零点问题(练)解析版_2.2025数学总复习_2023年新高考资料_二轮复习_备战2023年高考数学二轮复习考点精讲练(新教材·新高考)
专题07导数与隐零点问题(练)解析版_2.2025数学总复习_2023年新高考资料_二轮复习_备战2023年高考数学二轮复习考点精讲练(新教材·新高考)
专题07导数与隐零点问题(练)解析版_2.2025数学总复习_2023年新高考资料_二轮复习_备战2023年高考数学二轮复习考点精讲练(新教材·新高考)
专题07导数与隐零点问题(练)解析版_2.2025数学总复习_2023年新高考资料_二轮复习_备战2023年高考数学二轮复习考点精讲练(新教材·新高考)
专题07导数与隐零点问题(练)解析版_2.2025数学总复习_2023年新高考资料_二轮复习_备战2023年高考数学二轮复习考点精讲练(新教材·新高考)
专题07导数与隐零点问题(练)解析版_2.2025数学总复习_2023年新高考资料_二轮复习_备战2023年高考数学二轮复习考点精讲练(新教材·新高考)
专题07导数与隐零点问题(练)解析版_2.2025数学总复习_2023年新高考资料_二轮复习_备战2023年高考数学二轮复习考点精讲练(新教材·新高考)
专题07导数与隐零点问题(练)解析版_2.2025数学总复习_2023年新高考资料_二轮复习_备战2023年高考数学二轮复习考点精讲练(新教材·新高考)
专题07导数与隐零点问题(练)解析版_2.2025数学总复习_2023年新高考资料_二轮复习_备战2023年高考数学二轮复习考点精讲练(新教材·新高考)
专题07导数与隐零点问题(练)解析版_2.2025数学总复习_2023年新高考资料_二轮复习_备战2023年高考数学二轮复习考点精讲练(新教材·新高考)
专题07导数与隐零点问题(练)解析版_2.2025数学总复习_2023年新高考资料_二轮复习_备战2023年高考数学二轮复习考点精讲练(新教材·新高考)
专题07导数与隐零点问题(练)解析版_2.2025数学总复习_2023年新高考资料_二轮复习_备战2023年高考数学二轮复习考点精讲练(新教材·新高考)
专题07导数与隐零点问题(练)解析版_2.2025数学总复习_2023年新高考资料_二轮复习_备战2023年高考数学二轮复习考点精讲练(新教材·新高考)
专题07导数与隐零点问题(练)解析版_2.2025数学总复习_2023年新高考资料_二轮复习_备战2023年高考数学二轮复习考点精讲练(新教材·新高考)
专题07导数与隐零点问题(练)解析版_2.2025数学总复习_2023年新高考资料_二轮复习_备战2023年高考数学二轮复习考点精讲练(新教材·新高考)
专题07导数与隐零点问题(练)解析版_2.2025数学总复习_2023年新高考资料_二轮复习_备战2023年高考数学二轮复习考点精讲练(新教材·新高考)
专题07导数与隐零点问题(练)解析版_2.2025数学总复习_2023年新高考资料_二轮复习_备战2023年高考数学二轮复习考点精讲练(新教材·新高考)
专题07导数与隐零点问题(练)解析版_2.2025数学总复习_2023年新高考资料_二轮复习_备战2023年高考数学二轮复习考点精讲练(新教材·新高考)
专题07导数与隐零点问题(练)解析版_2.2025数学总复习_2023年新高考资料_二轮复习_备战2023年高考数学二轮复习考点精讲练(新教材·新高考)
专题07导数与隐零点问题(练)解析版_2.2025数学总复习_2023年新高考资料_二轮复习_备战2023年高考数学二轮复习考点精讲练(新教材·新高考)
专题07导数与隐零点问题(练)解析版_2.2025数学总复习_2023年新高考资料_二轮复习_备战2023年高考数学二轮复习考点精讲练(新教材·新高考)
专题07导数与隐零点问题(练)解析版_2.2025数学总复习_2023年新高考资料_二轮复习_备战2023年高考数学二轮复习考点精讲练(新教材·新高考)
专题07导数与隐零点问题(练)解析版_2.2025数学总复习_2023年新高考资料_二轮复习_备战2023年高考数学二轮复习考点精讲练(新教材·新高考)
专题07导数与隐零点问题(练)解析版_2.2025数学总复习_2023年新高考资料_二轮复习_备战2023年高考数学二轮复习考点精讲练(新教材·新高考)
专题07导数与隐零点问题(练)解析版_2.2025数学总复习_2023年新高考资料_二轮复习_备战2023年高考数学二轮复习考点精讲练(新教材·新高考)
专题07导数与隐零点问题(练)解析版_2.2025数学总复习_2023年新高考资料_二轮复习_备战2023年高考数学二轮复习考点精讲练(新教材·新高考)
专题07导数与隐零点问题(练)解析版_2.2025数学总复习_2023年新高考资料_二轮复习_备战2023年高考数学二轮复习考点精讲练(新教材·新高考)

文档信息

文档格式
docx
文档大小
1.292 MB
文档页数
37 页
上传时间
2026-03-12 04:22:28

文档内容

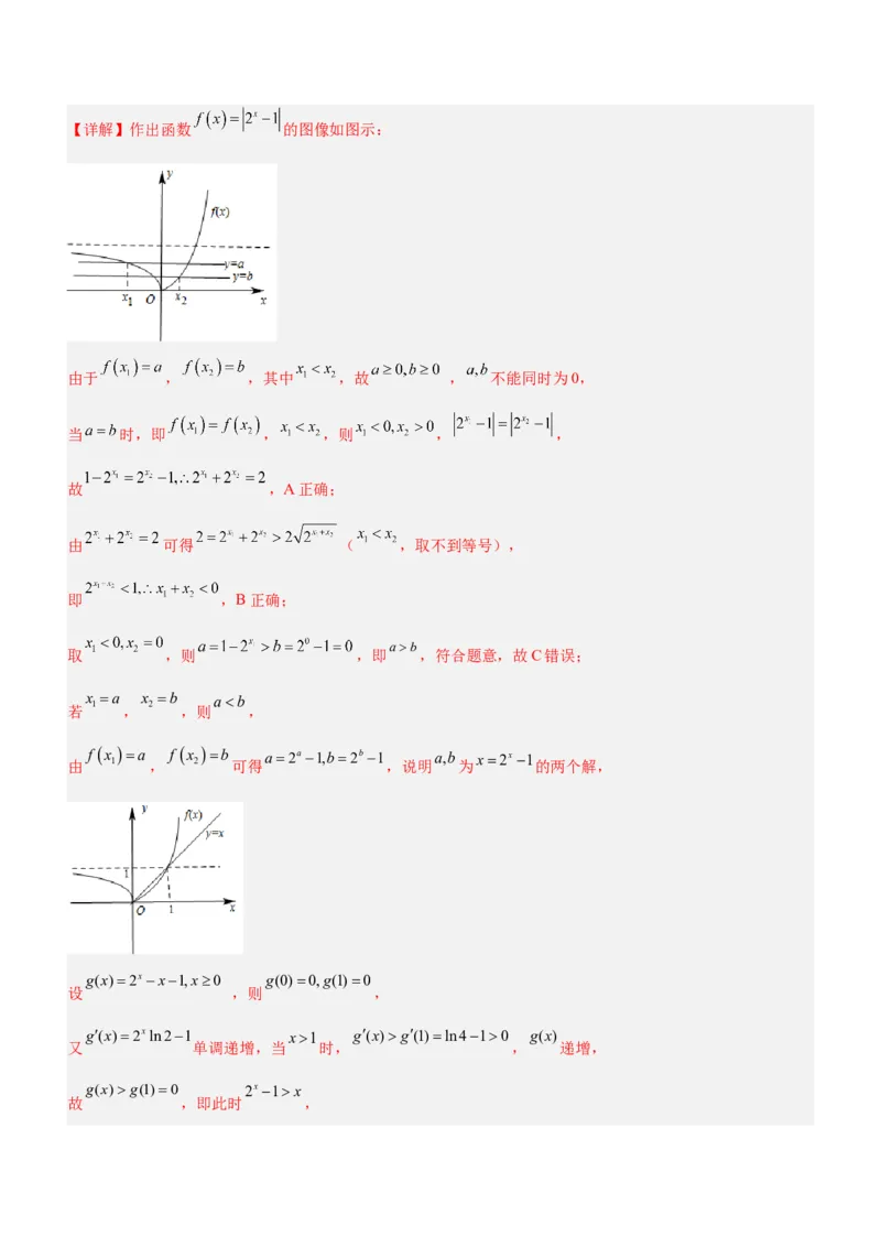
第一篇 热点、难点突破篇 专题07导数与隐零点问题(练) 【对点演练】 一、单选题 1.(2022·重庆八中高三阶段练习)若函数 有极值点 , ,且 ,则 关于x的方程 的不同实数根个数是( ) A.3 B.4 C.5 D.6 【答案】A 【分析】求导数 ,由题意知 是方程 的两根,从而关于 的方程 有两个根,作出草图,由图像可得答案. 【详解】 , 对于 有 是方程 的两根 令 ,则 , , ,不妨设 ,利用 有两根,所以,根据三次函数 的性质,可以画出 的图像,如图所示,又因为 ,所以由图可知, 有1个解, 有2个解 故选:A. 2.(2022·江苏南京·模拟预测)已知函数 ( ),且 在 有两个零点,则 的取值范围为( ) A. B. C. D. 【答案】C 【分析】根据给定条件,利用零点的意义等价转化,构造函数 ,再借助导数探讨函数 在 有两个零点作答. 【详解】 , ,由 得, ,则 ,令 , 依题意,函数 在 有两个零点,显然 ,而 在 上单调递增, 则有 ,当 或 ,即 或 时, 在 上单调递增或 单调递减, 即有函数 在 只有一个零点1,因此 ,此时当 时, ,当 时, , 函数 在 上单调递减,在 单调递增,则 , 要函数 在 有两个零点,当且仅当 在 上有一个零点,即有 ,解得 , 所以 的取值范围 . 故选:C 3.(2022·四川泸州·一模(理))已知函数 ,若方程 恰好有三个不等的 实数根,则实数k的取值范围是( ) A. B. C. D. 【答案】D【分析】将问题转化为 与 的图象有三个交点的问题,利用导数判断 的单调性,数形结合, 即可求得结果. 【详解】当 时, ,故 不是方程 的根; 当 时,方程 恰好有三个不等的实数根即 与 的图象有 个交点; 又 , 当 时, ,故当 时, 单调递减,在 时, 单调递增; 当 , 时, ; 时, ;且 ; 又当 时, ,故 在 单调递减, 当 , 时, ; 时, ; 故在同一坐标系下, 的图象如下所示: 数形结合可得,当 ,即 时满足题意,故 的取值范围为 . 故选:D. 二、多选题 f xlnxxa2 4.(2022·福建泉州·高三开学考试)设函数 ,则下列判断正确的是( )f x A. 存在两个极值点 7 B.当a 时, f x存在两个零点 3 f x a1 C.当 时, 存在一个零点 f x x,x x x 2a D.若 有两个零点 1 2,则 1 2 【答案】BD ylnx yxa2 【分析】利用导数与极值点的关系可判断A,利用 与 图像结合条件可判断BC,根据零点的 概念结合不等式的性质可判断D. f xlnxxa2 0, 【详解】因为函数 的定义域为 , 1 2x22ax1 fx 2x2a , x x g(x)2x22ax1 4a280 设 , , 1 且方程 的两根之积为 0, 2x22ax10 2 2x22ax10 0, x 在 上有一个正根,设为 0, 0,x  f�( x) >0 f(x) 在 0 上, ,函数 单调递增, x , fx0 f(x) 在 0 上, ,函数 单调递减, f x 所以 存在一个极大值点,A错误; f xlnxxa2 0 lnxxa2 令 ,即 , f x ylnx yxa2 函数 的零点即为 与 的交点, 如图所示:yxa2 x (a,0) 函数 图像与 轴的交点为 , 7 当a 3 时, ylnx 与yxa2有两个不同的交点,即 f x存在两个零点,B正确; 当 a1 时, ylnx 与 yxa2 有两个不同的交点, f x a1 所以当 时, 存在一个零点,此说法不正确,C错误; f x x,x x x 若 有两个零点 1 2,假设 1 2, f x 0, f x 0, 则有 1 2 lnx x a2,lnx x a2, 即 1 1 2 2 x ln 1 (x x )(x x 2a) 两式相减得: x 1 2 1 2 , 2 x 1 1 x x ,则x ,  1 2 2 x ln 1 0 x ,x x 0, 2 1 2 x x 2a0 x x 2a 所以 1 2 ,即 1 2 ,D正确. 故选:BD. m2x lnx 1 f x m0 gx f gx 5.(2022·山东菏泽·高三期中)已知函数 3x2 , x ,设方程 m的3个x x x x x x gx 2gx 3gx  实根分别为 1, 2, 3,且 1 2 3,则 1 2 3 的值可能为( ). 1 2 3 6 A. B. C. D. e e e e 【答案】BC g(x) 3x22mxm2 0 (,0)  (0,) 【分析】利用导数研究 的单调性、极值及区间值域,由题设可知 在 上必 m 1 m 有两个不等的实根t ,t (假设t t )且t 1 m,t 2  3 ,结合 g(x) 的性质有 e  3 0且t g(x )g(x ), 1 2 1 2 2 1 2 t g(x ) 1 3 ,进而求目标式的值,即可确定答案. ln(x) 1ln(x) 【详解】由题设,g(x) 的定义域为 ,且g(x) , x (,0) x2 x(,e) g(x)0 g(x) x(e,0) g(x)0 g(x) ∴当 时, ,即 递减;当 时, ,即 递增. 1 ∴g(x)g(e) ,又 在 上逐渐变小时 逐渐趋近于0,当 时 且随 e x (,e) g(x) 1 x0 g(x)g(1)0 x g(x) 趋向于0, 趋向无穷大.(如图2) g(x) ∴ 的图象如图1、图2: 图1 图21 ∵ 的定义域为 ,由 f(x) 0可得: 在 上必有两个不等的实 f(x) {x|x0} m 3x22mxm2 0 (,0)  (0,) t ,t 根 1 2 m (假设t t )且t 1 m,t 2  3 (m0) , 1 2 1 ∴令 ,要使 f(t) 0的3个实根,则 tg(x) m 1 1 m 3 、t ( ,0),即  0,可得 m0. t [0,) 2 e e 3 e 1 x x x t g(x )g(x ) t g(x ) ∴由 1 2 3知: 2 1 2 , 1 3 , 6 ∴gx 2gx 3gx 3(t t )2m(0, ). 1 2 3 1 2 e 故选:BC. 1 【点睛】首先应用导数研究 的性质,根据 f(g(x)) 0有3个实根,则 在 g(x) m 3x22mxm2 0 m (,0)  (0,) 上必有两个不等的实根t 1 m,t 2  3 ,结合 g(x) 的值域求m的范围且t 2 g(x 1 )g(x 2 )、 t g(x ) 1 3 ,即可求目标式的范围. 三、填空题 f x2x1ex2ax1 6.(2022·全国·高三阶段练习(理))已知函数 有两个极值点,则实数a的取值范 围为____________.  3   e 2,0 【答案】   【分析】根据极值点的定义,求导求零点,将问题转化为两函数求交点问题,可得答案. f x2x1ex2ax1 【详解】解:因为函数 有两个极值点, fx2x1ex2a0 2x1ex 2a 所以方程 有两个不同的实数根,即 有两个不同的解. gx2x1ex ygx y2a 令 ,则函数 的图象与直线 有两个不同的交点.3 因为gx2x3ex,令gx0,得x . 2  3  3 所以当 x  , 2  时, gx0 , gx 在   , 2  上单调递减;  3   3  当 x   2 , 时, gx0 , gx 在    2 , 上单调递增. gx g   3 2e  3 2 所以 min  2 .  3   3  x 3 gx2e  2,0 x 3 gx2e  2, 所以当 时, ;当 时, . 2   2   所以函数 ygx 的图象与y2a的图象有两个不同的交点的充要条件是:2e  3 2 2a0,即e  3 2 a0.故  3   e 2,0 实数a的取值范围为 .    3   e 2,0 故答案为: .   exaxa0 a 7.(2023·广东广州·高三阶段练习)方程 有唯一的实数解,实数 的取值范围为__________. (,0) {e2}  【答案】 【分析】根据给定条件,构造函数,利用导数探讨函数单调性,结合零点存在性定理求解作答. f xexaxa,xR f(x) f(x)exa 【详解】令函数 ,依题意,函数 有唯一零点,求导得 , 当a0时, f(x)0,无零点, a<0 f(x)0 f(x) R f(1)e0 x0 xln(a) 当 时, ,函数 在 上单调递增, ,当 且 时, f(x)eln(a)axaax0 f(x) R a<0 ,则 在 上存在唯一零点,因此 , a0 xlna f(x)0 xlna f(x)0 f(x) (,lna) (lna,) 当 时,当 时, ,当 时, ,函数 在 上递减,在 上 递增,f(x) min  f(lna)2aalna ,当且仅当 2aalna0 ,即 ae2 时, f(x) 在 R 上存在唯一零点,因此 ae2 , a (,0)  {e2} 所以实数 的取值范围为 . (,0) {e2}  故答案为: a0 g(x)x2ln(ax) Gxxggx 8.(2022·广东·高三阶段练习)已知 ,函数 ,若函数 无零点,则 实数a的取值范围是______. 0,e 【答案】 g(x) G(x) G(x) t(x)ln(ax)x 【分析】先将 的解析式代入并求得 的解析式,将 无零点等价转化为 无零点,再 t(x) t(x) 0 通过求导判断 的单调性和最值,将其等价转化为 max ,据此求得实数a的取值范围. 【详解】∵g(x)x2ln(ax),G(x)xg(g(x))无零点, 即G(x)xg(g(x)) xg(x)2ln[ag(x)]2ln(ax)2ln[ax2aln(ax)]0无实根. ∴xln(ax)无实根. 令t(x)ln(ax)xlnalnxx(x0), 1 1x t(x) 1 (x0) 则 , x x t(x)0 0x1 t(x)0 x1 由 ,得 ; ,得 . t(x) (0,1) (1,) ∴ 在 上单调递增,在 上单调递减, t(x) t(1)lna1 ∴ max . 而x时,t(x),x0时,t(x), ∴若t(x)ln(ax)xlnalnxx(x0)无零点, 需lna10,即ae. 又a0,∴0ae. 故答案为:(0,e). f xxex gxax12 9.(2022·全国·模拟预测)已知函数 的图象与函数 的图象有且仅有一个公共点,则实数a的取值范围是______. 0, 【答案】 【分析】令 hx f xgx ,由于有且仅有一个零点,所以 hx 分 a0 , a0 , a0 讨论 hx 的单调性即 可. 【详解】由题知,构造新函数,等价转化 hx f xgx hx xex ax12 hx 令 ,则 ,由题意知 有且仅有一个零点. hx  ex2a x1 , hx0 hx0 a0 x1 x1 ①当 时,令 ,解得 ;令 ,解得 . hx ,1 1, 所以 在 上单调递减,在 上单调递增, 1 所以当 时,hx取得极小值,且h1 0. x=1 e h0a0 hx x 又因为 ,且当 越小时, 越大, hx 所以 有两个零点. hxexx1 a0 ②当 时, , hx0 hx0 x1 x1 令 ,解得 ,令 ,解得 , hx ,1 1, 所以 在 上单调递减,在 上单调递增, 1 所以当 时,hx取得极小值,且h1 0, x=1 e h00 x1 hx0 又因为 ,且当 时, , hx 所以 只有一个零点. hx0 xln2a a0 x=1 ③当 时,由 ,得 或 , 1 当0a 2e 时, 1ln(2a) ,则 (,ln(2a)) 、 (1,) 上hx0, (ln(2a),1) 上hx0,(,ln(2a)) (1,) hx (ln(2a),1) hx 所以 、 上 递增, 上 递减; hln2a h1 故极大值为 ,极小值为 ; 1 当a 2e 时, 1ln(2a) ,此时,在R上hx0,即hx递增,故无极值; 1 当 a 2e 时,1ln(2a),则(,1)、(ln(2a),)上hx0,(1,ln(2a))上hx0, (,1) (ln(2a),) hx (1,ln(2a)) hx 所以 、 上 递增, 上 递减; h1 hln2a 故极大值为 ,极小值为 ; 1 又h1 0,hln2aaln2a 2 a0, e   hx hx x x 当 趋于负无穷时, 接近负无穷,当 趋于正无穷时, 接近正无穷, hx 综上, 只有一个零点. a0 a 0, 综上所述, ,即实数 的取值范围为 . 0, 故答案为: 【点睛】关键点点睛:由函数的零点、图象的交点求参数的值(或取值范围)问题,往往需要对参数分类讨论, 如何划分讨论的区间是思维的难点.由于这类问题涉及函数的单调区间,因此分类的标准是使函数在指定的区 间内其导数的符号是确定的. 四、解答题 f xxexalnxx aR 10.(2022·河南·高三阶段练习(理))已知函数 ( ) f xm a0 m (1)当 时, 有两个实根,求 取值范围; e2 ex1x2  (2)若方程 f x0有两个实根x,x ,且x  x ,证明: xx 1 2 1 2 1 2 【答案】(1)m取值范围是 (2)证明见解析f x m 【分析】(1)利用导数求得 的单调区间,由此求得 的取值范围. f x0 x,x pttalnt t ,t (2)将方程 有两个实根 1 2转化为 有两个不相等的零点 1 2,由此列方程,将证明 e2 4 ex1x2  ln 20 xx 转化为证明 1 ,解得或导数证得不等式成立. 1 2 f x 0, 【详解】(1) 的定义域为 , a0, f xxex, fxx1ex 0 , f x 0, m  在 上单调递增,所以 的取值范围是 . f x 0, (2) 的定义域为 , f xxexalnxxxex aln  xex 0 有两个不相等的实数根, t xex yxex 0, t0 令 ,由(1)知 在 上递增,则 , pttalnt t ,t t xex1,t x ex2 则 有两个不相等的零点 1 2, 1 1 2 2 , t alnt 0 1 1  t alnt 0,alnt lnt t t ,alnt lnt t t . 2 2 2 1 2 1 2 1 2 1 e2 要证 ex1x2  xx ,只需证  xex 1    x ex 2  e2 ,即证ln  xex 1  ln  x ex 2  2, 1 2 1 2 1 2 lnt lnt 2 即证 1 2 , t  t  2 1ln 2 t t t  t lnt lnt  2 1lnt lnt  1 1 , 1 2 t t 2 1 t 2 1 2 1 t 1 t  t  2 1ln 2 t  t 1 1 2 故只需证 t , 2 1 t 1t  2 1 不妨设0t t ,令 t , 1 2 1 1 则只需证ln2 , 1 4 只需证ln 20, 1 4 令sln 21 , 1 1 4 12 s   0  12 12 , ss10 所以 , 4 ln 20 即当1时, 1 成立. e2 所以lnt lnt 2,即  xex 1    x ex 2  e2 ,所以 ex1x2  xx . 1 2 1 2 1 2 【点睛】利用导数证明不等式,主要的方法是通过已知条件,划归与转化所要证明的不等式,然后通过构造函 数法,结合导数来求所构造函数的取值范围来证得不等式成立. 【冲刺提升】 一、单选题 1.(2022·黑龙江·牡丹江市第三高级中学高三阶段练习)已知函数 ,下列说法中错误的是 ( ) A.函数 在原点 处的切线方程是 B. 是函数 的极大值点 C.函数 在 上有3个极值点 D.函数 在 上有3个零点 【答案】C【分析】由导数的几何意义求出切线方程判断A,由导数确定函数的单调性,极值点判断B,由 的性质 判断其与函数 的图象的交点个数判断D.利用导数确定极值点个数判断C. 【详解】 , ,又 , 所以切线方程是 ,即 ,A正确; 或 时, , 时, , 所以 在 和 上单调递增,在 上单调递减, 因此 是极大值点,B正确; 显然1是极小值点, , , 时, , 时, , , , ,在 上递增,在 和 上递减, 因此 与 的图象有3个交点,即 有3个零点,D正确; 设 , , 令 ,则 , 设 ,则 恒成立, 所以 是增函数,而 ,所以 时, , 时, , 所以 在 上递减,在 上递增, ,易知 ,所以 存在两个零点,由 的单调性知这两个零点就是 的两 个极值点,C错. 故选:C. 2.(2022·四川·达州外国语学校高三阶段练习(理))若关于 的方程 有三个不等的实数解 ,且 ,其中 , 为自然对数的底数,则 的值 为( ) A. B. C. D. 【答案】B 【分析】令 ,则有 ,令函数 ,画出其图象,结合图象可得 关于 的方程 一定有两个实根 , 且 , ,即可求解. 【详解】解:由关于的 方程 , 令 ,则有 , 令函数 ,则 , 当 时 ,当 时 , 在 上单调递增,在 上单调递减, 其图象如下:要使关于 的方程 有3个不相等的实数解 , , , 且 , 结合图象可得关于 的方程 一定有两个实根 , , 且 , ,由韦达定理知, , , , 又 , 可得 , 故选:B. 3.(2022·天津·南开中学高三阶段练习)设函数 ①若方程 有四个不同的实根 , , , ,则 的取值范围是 ②若方程 有四个不同的实根 , , , ,则 的取值范围是 ③若方程 有四个不同的实根,则 的取值范围是④方程 的不同实根的个数只能是1,2,3,6 四个结论中,正确的结论个数为( ) A.1 B.2 C.3 D.4 【答案】B 【分析】作出 的图像,利用函数与方程之间的关系,分析问题,即可得出答案. 【详解】解:对于①:作出 的图像如下: 若方程 有四个不同的实根 , , , ,则 ,不妨设 , 则 , 是方程 的两个不等的实数根, , 是方程 的两个不等的实数根, 所以 , ,所以 ,所以 , 所以 ,故①正确; 对于②:由上可知, , ,且 , 所以 , 所以 , , 所以 , 所以 ,故②错误; 对于③:方程 的实数根的个数,即为函数 与 的交点个数, 因为 恒过坐标原点,当 时,有3个交点,当 时最多2个交点,所以 ,当 与 相切时,设切点为 , 即 ,所以 ,解得 ,所以 ,所以 , 所以当 与 相切时, 即 时,此时有4个交点, 若 有4个实数根,即有4个交点, 当 时由图可知只有3个交点,当 时, 令 , ,则 ,则当 时 ,即 单调递增,当 时 ,即 单调递减, 所以当 时,函数取得极大值即最大值, , 又 及对数函数与一次函数的增长趋势可知,当 无限大时 ,即 在 和 内 各有一个零点,即 有5个实数根,故③错误; 对于④: , 所以 , 所以 或 , 由图可知,当 时, 的交点个数为2,当 ,0时, 的交点个数为3, 当 时, 的交点个数为4, 当 时, 的交点个数为1, 所以若 时,则 ,交点的个数为 个, 若 时,则 ,交点的个数为3个, 若 ,则 ,交点有 个, 若 且 时,则 且 ,交点有 个, 若 ,交点有1个, 综上所述,交点可能有1,2,3,6个,即方程不同实数根1,2,3,6,故④正确; 故选:B. 二、多选题 4.(2022·河北·邢台一中高一阶段练习)已知 ,设 , ,其中 ,则 ( ) A.若 ,则 B.若 ,则 C.若 ,则 D.若 , ,则 【答案】ABD 【分析】作出函数 的图像, 当 时,即 ,可推得 即 , 判断A,结合基本不等式可判断B;取特殊值,举反例 ,可判断C;由 , ,可得 为 的两个解,说明 ,即 ,可判断D.【详解】作出函数 的图像如图示: 由于 , ,其中 ,故 , 不能同时为0, 当 时,即 , ,则 , , 故 ,A正确; 由 可得 ( ,取不到等号), 即 ,B正确; ab 取 ,则 ,即 ,符合题意,故C错误; x a x b ab 若 1 , 2 ,则 , 由 f x 1 a , f x 2 b 可得 a2a1,b2b1 ,说明 a,b 为 x2x1 的两个解, g(x)2xx1,x0 g(0)0,g(1)0 设 ,则 , g(x)2xln21 x1 g(x)g(1)ln410 g(x) 又 单调递增,当 时, , 递增, g(x)g(1)0 2x1x 故 ,即此时 ,1 1 1 当 时,由 ,可得2x  ,由于 lne2 ln21, 0x1 g(x)2xln210 ln2 2 1 1 故2x  ln2 (1,2),由于 y2x递增,即存在唯一的x (0,1),使得2x0  ln2 , 0 0xx g(x)0 g(x) x x1 g(x)0 g(x) 当 0时, , 递减,当 0 时, , 递增, 1 故g(x) g(x )2x0 x 1 x 10,而 , min 0 0 ln2 0 g(0)0,g(1)0 g(x)0,2x1 x 故此时 , g(x)2xx1,x0 a0,b1 综合上述,说明 的零点仅有0和1,即 , x 0,x 1 x +x 1 即 1 2 ,则 1 2 ,故D正确, 故选:ABD. 1 5.(2022·海南昌茂花园学校高三阶段练习)已知函数 f xxa ,其中 , 均为实数 ,则下 xb a b ab 列说法错误的是( ) f x ab1 A.若 ,则 为奇函数 ab0 f x B.若 ,则 为奇函数 f f x2 a=b=0 C.若 ,则方程 有一个实数根 f f xt a=b=0 t D.若 ,则方程 ( 为实数)可能有两个不同的实数根 【答案】ABC 1 【分析】根据函数 f xxa 的结构特点,可利用特殊值检验法推出选项A、B不正确,根据 xb a=b=0 f x f f x 时 的表达式得出 的解析式,然后利用导数研究出函数的单调性,求得极值,画出图像,利用数 形结合可得C、D的正误. 1 1 1 1 5 【详解】对于A, 时,若 ,则a ,此时 f xx  x2  , ab1 b2 2 2 x2 x2 2 1 5 即函数 f x的图象可由函数yx 的图象先向右平移 个单位长度,再向上平移 个单位长度得到, x 2 21 易知函数yx 为奇函数,故函数 f x的图象不关于原点对称,所以A不正确; x 1 1 1 1 1 对于B, ,a 时,满足 ,此时 f xx  x  , b0 2 ab0 2 x x 2 f x 的图象不关于原点对称,所以B不正确; 1 1 1 1 x f f x f x x  x  若 ,则 f xx 1 , f x x x 1 x x21, a=b=0 x x 1 x21x2x x1x1 x2x1  x2x1  fx1   求导可得 x2  x21 2 x2 x21 2 ,  1 2 5  1 2 5 x2x1x   0 x2x1x   0 易知  2 4 ,  2 4 , x,11, f�( x) >0 x1,0U0,1 fx0 当 时, ,当 时, , f x ,1 1, 1,0 0,1 故函数 在 , 上单调递增,在 , 上单调递减, 5 5 所以 f f x在 处取得极大值,为 ,在 处取得极小值,为 . x=1 2 x1 2 如下图,结合图象 f f x2 f f x y2 对于C,方程 有一个实数根,等价于函数 与函数 有一个交点,由图可得C不正确, f f xt f f x yt 对于D,方程 可能有两个不同的实数根,等价于函数 与函数 有两个交点,由图可得  5 5  当 t  , 2    2 , 时,方程 f f xt 可能有两个不同的实数根,所以D正确.故选:ABC. ax2xlnxx23aR x x 6.(2022·全国·模拟预测)已知方程 有两个不同的根 1, 2,则下列结论一定正确 的是( ) a4, a2e, A. B. xx 1 lnx lnx 1ln2 C. 1 2 D. 1 2 【答案】AC 3 【分析】首先 等式变形,并构造函数 f xx 2lnxa,利用导数判断函数的单调性,以及结合零点存 x 1 2 gx f x f   2x4lnxx0 在性定理,求a的取值范围,判断AB;首先构造函数 x x ,利用导数判 0x 1x 1 2 断函数的单调性,并假设 ,利用函数的单调性,比较自变量的大小,即可判断C;变形不等式得到 xx 2e 1 2 ,再结合C的判断,即可判断D. 3 【详解】A,B选项:方程ax2xlnxx23aR等价于方程x 2lnxa0, x 3 3 2 x22x3 x1x3 构造函数 f xx 2lnxa,则 fx1    , x x2 x x2 x2 x0,1 fx0 f x 当 时, , 单调递减,x1, f�( x) >0 f x 当 时, , 单调递增, f x  f 14a f 10 则 min ,因此只需满足 ,即a4. 当a4时, 3 3 1 1 1 1 f 2a2a 2ln2aaa 2ln2a0 f   3a2lnaa 2alna 0 2a 2a , a a a a , 1  由以上可知,当a4时, f x 分别在  a ,1 , 1,2a 上各有一个零点,(零点存在定理的应用) ax2xlnxx23aR x x 则方程 有两个不同的根 1, 2,因此选项A正确,选项B错误; 1 2 2x12 gx f x f   2x4lnxx0 gx 0 C选项:构造函数 x x ,则 x2 ,  1  f x  f   因此gx在0,上单调递减,易知g10,假设 0x 1 1x 2 ,则gx 2 0,即 2 x 2  成立,  1  1 f x  f   x  又 f x  f x 0,则 1 x ,因此 1 x ,即xx 1,因此选项C正确; 1 2 2 2 1 2 lnx lnx 1ln2 lnxx ln21ln2e xx 2e D选项:由 1 2 即 1 2 ,得 1 2 ,不一定成立,故选项D错误. 故选:AC f xexx2 x gxlnxx2 7.(2022·山东·济南三中高一阶段练习)已知函数 的零点为 1,函数 的零点 x 为 2,则( ) e xx  A.x 1 x 2 2 B. 2x 1  x 2 C.ex 1 ex 2 2e D. 1 2 2 【答案】ACD g  x   lnx  x  2  elnx  lnx  2  f  lnx  f x 【分析】注意到 ,又可得 0, x lnx x 在 单调递增,则有 1 2,后由零点存在性定理可得 1范围.,之后判断各选项正误即可得答案..g  x   lnx  x  2  elnx  lnx  2  f  lnx  【详解】 , gxlnxx2 x g  x   f  lnx   0 x 0 又函数 的零点为 2,则 2 2 ,其中 2 . fxex10 f x x x R ,得 在 上单调递增,又其有零点 1,则 1为其唯一零点.     g x  f lnx  0 x lnx 又 2 2 ,得 1 2. 1 注意到 f 010,e  2.56, 2.89  e2  1.6,1.7 , 1 1 3  1 f    e2   0 x 0,  则 2 2 ,且 1  2.   g x  lnx  x  2  0 x lnx 对于A,因 2 2 2 , 1 2, x x lnx x 2 则 1 2 2 2 ,故A正确. x lnx 2x  x  2x  ex 1 对于B,因 1 2,则 1 2 1 . 令 hx  2x  ex,x     0, 1 2   .hx2ex 在    0, 1 2   上单调递减, 则 hx  h    1 2     2  e 1 2  0 ,得hx在    0, 1 2   上单调递增. 1 1 hx  h   1  e2  0 则 2 ,即2x x ,故B错误. 1 2  1  1 对于C选项,因 x 1   0, 2   ,x lnx ,则 x 2    1,e2  ,故x  x . 1 2 1 2 则由基本不等式结合 x 1 x 2 2 有: ex 1  ex 2  2 ex 1 x 2  2 e2  2e ,故C正确.  1 x  1,e2 对于D选项,因x lnx ,则xx  x lnx ,由C选项分析可知 2   . 1 2 1 2 2 2 1 p  x   xlnx,x  1,e2 则令 ,p x   lnx  1  0.   得px在    1,e 1 2    上单调递增,故 p  x   p    e 1 2     2 e ,即x 1 x 2  2 e .故D正确. 故选:ACD 【点睛】关键点点睛:本题涉及函数零点,构造函数证明不等式,需注意以下两点: ex lnx x  elnx  lnex (1)若题目中同时出现 与 ,常通过 使出现相同结构. (2)对于双变量问题,常利用消元思想转化为关于一个未知数的问题. 三、填空题 lnx 1 8.(2022·江苏省江浦高级中学高三阶段练习)已知函数 f(x)axex  在 上有两个不同的零点, x 2 (0,) 则实数a的取值范围为______. 1 【答案】(0, ) 2e t 【分析】先利用同构得到2aex2lnx2lnxx0,换元后得到 2aet t 0 ,参变分离得到2a et 有两个不同 t  1 gt 2a0,  的根,构造 et ,求导得到其单调性,极值和最值情况,得到函数图象,数形结合得到  e,解出 答案即可. lnx 1 【详解】由题意得axex  0有两个不同的根, x 2 1 即ax2ex lnx x0有两个不同的根, 2 2ax2ex 2lnxx0 2aex2lnx2lnxx0 变形为 ,即 , 令2lnxxt,则2aet t 0, hx2lnxx x(0,) 其中令 , , 2 hx x 10恒成立,故 hx2lnxx 在 (0,) 单调递增, 得到2lnxxtR,t 故2a 有两个不同的根, et t 1t 令gt ,则gt , , et et tR gt0 gt0 当t1时, ,当t1时, , t 1 故gt 在 处取得极大值,也是最大值,gt g1 , et t 1 max e t0 gt0 t0 gt0 且当 时, ,当 时, , t 画出gt 的图象如下图: et  1 t 2a0,  2a 故  e时, et 有两个不同的根,  1  a0,  解得:  2e. 1 故答案为:(0, ). 2e ex lnx 【点睛】导函数求解参数取值范围,当函数中同时出现 与 ,通常使用同构来进行求解,本题难点是 lnx 1 axex  0变形得到2ax2ex 2lnxx0,即2aex2lnx2lnxx0从而构造 进行求解. x 2 2aet t 0 四、解答题 9.(2019·天津·高考真题(文))设函数 ,其中 . (Ⅰ)若 ,讨论 的单调性;(Ⅱ)若 , (i)证明 恰有两个零点 (ii)设 为 的极值点, 为 的零点,且 ,证明 . 【答案】(I) 在 内单调递增.; (II)(i)见解析;(ii)见解析. 【分析】(I);首先写出函数的定义域,对函数求导,判断导数在对应区间上的符号,从而得到结果; (II)(i)对函数求导,确定函数的单调性,求得极值的符号,从而确定出函数的零点个数,得到结果; (ii)首先根据题意,列出方程组,借助于中介函数,证得结果. 【详解】(I)解:由已知, 的定义域为 , 且 , 因此当 时, ,从而 , 所以 在 内单调递增. (II)证明:(i)由(I)知, , 令 ,由 ,可知 在 内单调递减, 又 ,且 , 故 在 内有唯一解, 从而 在 内有唯一解,不妨设为 , 则 ,当 时, , 所以 在 内单调递增; 当 时, , 所以 在 内单调递减,因此 是 的唯一极值点. 令 ,则当 时, ,故 在 内单调递减, 从而当 时, ,所以 , 从而 , 又因为 ,所以 在 内有唯一零点, 又 在 内有唯一零点1,从而, 在 内恰有两个零点. (ii)由题意, ,即 , 从而 ,即 , 因为当 时, ,又 ,故 , 两边取对数,得 , 于是 ,整理得 , 【点睛】本小题主要考查导数的运算、不等式证明、运用导数研究函数的性质等基础知识和方法,考查函数思 想、化归与转化思想,考查综合分析问题和解决问题的能力. f(x)ax2(a0) g(x)bxlnx(bR) 10.(2022·江西·金溪一中高三阶段练习(文))已知函数 , . Fx f xgx (1)设 ,当a=3,b=5时,求F(x)的单调区间; x x lnx lnx 2 (2)若g(x)有两个不同的零点 1, 2,求证: 1 2 .  1 1  1 1 0,   ,  ,  【答案】(1)单调递增区间为 3和2 ,单调递减区间为3 2 (2)证明见解析Fx 【分析】(1)代入a,b的值,求 的单调区间; lnx b m(x) lnx ln x 1  2x 1 x 2  (2)分离参数得 x ,研究 x 的单调性得1x e x ,再将所证变形为 x x x 由比值 2 1 2 1 2 x 2t1 2t1 t  1 lnt  (t 1) htlnt ,(t 1) 代换法令 x 可转化成 t1 ,研究 t1 的单调性即可证明. 2 Fx f xgx3x25xlnx Fx 0, 【详解】(1)当a3, b5 时, , 的定义域为 , 1 6x25x1 2x13x1 ∴Fx6x5   , x x x 1 1 1 1 令Fx0,解得0x 或x ,令Fx0,解得 x , 3 2 3 2  1 1  1 1 ∴ Fx 的单调递增区间为   0, 3  ,  2 , ,单调递减区间为  3 , 2  . lnx (2)由 得: b , g(x)bxlnx0 x lnx 令m(x) x (x0) ym(x)  ∴ yb 在 0, 有两个交点. 1lnx m'(x) x2 m'(x)0 0xe m'(x)0 xe 由 得: ,由 得: m(x) (0,e) (e,) ∴ 在 上单增,在 上单减, 1 又∵ m(1)=0 ,m(e)= e ,当 x 时, m(x)0+ x x m(x)=b 由于 1, 2是方程 的实根, 1 ∴0b e ,不妨设1x e x 2 1gx 0 gx 0 lnx bx 0 lnx bx 0 由 1 , 2 ,∴ 1 1 , 2 2 , lnx lnx bx x  lnx lnx bx x  ∴ 1 2 1 2 , 1 2 1 2 . lnx lnx 2 1 2  要证:lnx 1 lnx 2 2,只需证: bx 1 x 2 2 ,即证: x 1 x 2 x 1 x 2 , x 2x x  ln 1  1 2 即证: x x x . 2 1 2 x 2t1 设t 1 1,则 ,代入上式得:lnt  (t 1). x x tx t1 2 1 2 2t1 ∴只需证:lnt  (t 1) t1 2t1 设htlnt ,(t 1), t1 1 2(t1)2(t1) (t1)2 ht  = 0 则 t (t1)2 t(t1)2 , ht 1, ∴ 在 上单调递增, hth10 ∴ , 2t1 ∴lnt ,故 . lnx lnx 2 t1 1 2 【点睛】极值点偏移问题的解法 x +x ()2x F(x) f(x) f(2x x) (1)(对称化构造法)构造辅助函数:对结论 1 2 0型,构造函数 0 ;对结论 x2 F(x) f(x) f( 0) xx ()x2 型,构造函数 x ,通过研究F(x)的单调性获得不等式. 1 2 0 x t  1 (2)(比值代换法)通过代数变形将所证的双变量不等式通过代换 x 化为单变量的函数不等式,利用函数单调 2 性证明. f(x)aln(x1)sinx,(aR) 11.(2022·河北邯郸·高三阶段练习)已知函数 .(1)求 f(x)的图象在x0处的切线方程;   π  1 (2)已知 f(x)在   0, 2  上的最大值为 ln 2 1 ,讨论关于x的方程 f(x) 2在 0,π 内的根个数,并加以证明. 【答案】(1)y0 1 (2)关于x的方程 f(x) 在0,π内有两个不相等的实数根,证明见解析 2 【分析】(1)由函数解析式,求导,并求出该点处的函数值与导数值,根据切线方程的求法,可得答案;  π π  0, ,π     (2)由(1)分a0,a0,a0三种情况,求最值,建立方程,求得参数,分 2与2 ,利用导数研究 其单调性,结合零点存在性定理,可得答案. sinx  f(x)a ln(x1)cosx   【详解】(1)因为 f(x)aln(x1)sinx,所以 x1 , f(0)0, f(0)0, , f(x) x0 y00 y0 所以 的图象在 处的切线方程为 ,即 .  π sinx (2)当 x   0, 2  时,有 sinx0,cosx0,lnx10 ,则x1 ln(x1)cosx0 . 当a0时, f(x)0,不符合题意;  π 0, 当a0时, f(x)0,则 f(x)在   2  上单调递减,即 f(x)  f(0)0,不符合题意; max  π 0,   当a0时, f(x)0.则 f(x)在 2上单调递增, π π  π  f x  f  aln 1ln 1 即 max 2 2  2 ,解得a1. 1  π g(x) f(x)  0,  令 2,则g(x)在 2上单调递增. 1 π π  1  π g0 0,g ln 1 0  0,  因为 2 2 2  2 ,所以g(x)在 2内存在唯一的零点.π  sinx 当x  ,π 时,g(x) ln(x1)cosx, 2  x1 2(x1)cosx1(x1)2ln(x1)sinx   h(x) 令h(x)  g(x),则 (x1)2 , π    x ,π ,     所以当 2 时,有cosx0,sinx0,则h(x)0,即g(x)在2 上单调递减, π 1 g   0,gπlnπ10 因为 2 π , 1 2 π  所以 g(x) 在 2 ,π   内存在唯一零点 x 0 ,即 gx 0 0 , π  π  所以当 x  2 ,x 0 时, g(x)gx 0 0 ,即g(x)在  2 ,x 0   上单调递增, π π  所以有 gxg 2   0 ,即g(x)在  2 ,x 0   内无零点, xx ,π g(x)gx 0 g(x) x ,π 当 0 时, 0 ,所以 在 0 上单调递减. gx 0,gπ0 g(x) x ,π 因为 0 ,所以 在 0 内有且仅有一个零点. 1 综上,关于x的方程 f(x) 在0,π内有两个不相等的实数根. 2 【点睛】利用导数研究函数问题时,对于导数的处理,一般采用分解因式与再次求导研究导函数单调性与最值 两种方程,采用再次求导时,往往需要设一个零点,即为导函数极值点,求得导函数最值,可得原函数的单调 性. f xexax1aR 12.(2022·宁夏·银川一中高三阶段练习(文))已知函数 . y f x a1 (1)当 时,求函数 的极值; f xlnxe0 1, (2)若关于x的方程 在 无实数解,求实数a的取值范围. 【答案】(1)极小值为2,无极大值 ,e+1 (2)【分析】(1)代入a1,求导,解关于导函数的不等式,求出函数的单调区间及极值情况; gxexaxlnxe+ax1 a (2)构造函数 ,二次求导,确定导函数的单调性,结合端点值,对 进行分类 讨论,确定实数a的取值范围. (1) f xexx1 a1 当 时, ,定义域为R, fxex1 fxex 10 x0 ,令 ,解得: , fxex10 f x fxex10 f x x0 x0 当 时, , 单增,当 时, , 单减 f xexx1 f 0e012 x0 所以 在 处取得极小值,极小值为 ,无极大值. (2) f xlnxe0 exax1lnxe0 1, 即 在 无实数解, gxexaxlnxe+ax1 令 , 1 则gxexa x1 , x 1 令hxgxexa x1 , x 1 x2ex1 则hxex  x1, x2 x2 x1 x2 1,ex e x2ex e 因为 ,所以 ,所以 , 1 hx0,即hxgxexa 在 上单调递增, x x1 h1e+1a 其中 , x1, gx0 e+1a0 ae+1 当 ,即 时, 时, , gx x1, g10 在 上单调递增,又 , gx x1 故当 时, 没有零点;②当e+1a0,即ae1时, kxexexx1 令 , kxexe>0 x1, 在 上恒成立, kxexex x1, 所以 在 上单调递增, kxk10 ex ex x1 所以 ,故 , , a a e e g  e  a 0 所以 e e a a , a e  a 又e  e 1 ,故存在 x 0   1, e  ,使得 gx 0 0 , x1,x  gx0 gx g10 当 0 时, , 单调递减,又 , x1,x  gx0 gx x1,x  故当 0 时, ,所以 在 0 内没有零点, xx , gx0 gx 当 0 时, , 单调递增, lnaaelne1e1e=lne111 ae1 因为 ,所以 , gaealnaa2aeeaa21 且 xexx21 x1 令 , , xex2x x1 , , xxex2x x1 令 , , xex2e20 xex2x x1, ,所以 在 上单调递增, 1e20 x1 x0 又 ,故 时, , xexx21 x1, 在 上单调递增,a1e0 ga0 所以 ,故 , a 又a e x 0 ,由零点存在性定理可知,存在x 1 x 0 ,a,gx 1 0, x ,a gx 故在 0 内,函数 有且仅有一个零点, 综上:ae+1时满足题意 ,e+1 a 即 的取值范围是