当前位置:首页>文档>专题08直线与双曲线的位置关系(解析版)_2.2025数学总复习_2024年新高考资料_3.2024专项复习_2024年新高考数学之圆锥曲线专项重难点突破练(新高考专用)

专题08直线与双曲线的位置关系(解析版)_2.2025数学总复习_2024年新高考资料_3.2024专项复习_2024年新高考数学之圆锥曲线专项重难点突破练(新高考专用)

  • 2026-04-15 06:32:55 2026-03-13 00:07:15

文档预览

专题08直线与双曲线的位置关系(解析版)_2.2025数学总复习_2024年新高考资料_3.2024专项复习_2024年新高考数学之圆锥曲线专项重难点突破练(新高考专用)
专题08直线与双曲线的位置关系(解析版)_2.2025数学总复习_2024年新高考资料_3.2024专项复习_2024年新高考数学之圆锥曲线专项重难点突破练(新高考专用)
专题08直线与双曲线的位置关系(解析版)_2.2025数学总复习_2024年新高考资料_3.2024专项复习_2024年新高考数学之圆锥曲线专项重难点突破练(新高考专用)
专题08直线与双曲线的位置关系(解析版)_2.2025数学总复习_2024年新高考资料_3.2024专项复习_2024年新高考数学之圆锥曲线专项重难点突破练(新高考专用)
专题08直线与双曲线的位置关系(解析版)_2.2025数学总复习_2024年新高考资料_3.2024专项复习_2024年新高考数学之圆锥曲线专项重难点突破练(新高考专用)
专题08直线与双曲线的位置关系(解析版)_2.2025数学总复习_2024年新高考资料_3.2024专项复习_2024年新高考数学之圆锥曲线专项重难点突破练(新高考专用)
专题08直线与双曲线的位置关系(解析版)_2.2025数学总复习_2024年新高考资料_3.2024专项复习_2024年新高考数学之圆锥曲线专项重难点突破练(新高考专用)
专题08直线与双曲线的位置关系(解析版)_2.2025数学总复习_2024年新高考资料_3.2024专项复习_2024年新高考数学之圆锥曲线专项重难点突破练(新高考专用)
专题08直线与双曲线的位置关系(解析版)_2.2025数学总复习_2024年新高考资料_3.2024专项复习_2024年新高考数学之圆锥曲线专项重难点突破练(新高考专用)
专题08直线与双曲线的位置关系(解析版)_2.2025数学总复习_2024年新高考资料_3.2024专项复习_2024年新高考数学之圆锥曲线专项重难点突破练(新高考专用)
专题08直线与双曲线的位置关系(解析版)_2.2025数学总复习_2024年新高考资料_3.2024专项复习_2024年新高考数学之圆锥曲线专项重难点突破练(新高考专用)
专题08直线与双曲线的位置关系(解析版)_2.2025数学总复习_2024年新高考资料_3.2024专项复习_2024年新高考数学之圆锥曲线专项重难点突破练(新高考专用)
专题08直线与双曲线的位置关系(解析版)_2.2025数学总复习_2024年新高考资料_3.2024专项复习_2024年新高考数学之圆锥曲线专项重难点突破练(新高考专用)
专题08直线与双曲线的位置关系(解析版)_2.2025数学总复习_2024年新高考资料_3.2024专项复习_2024年新高考数学之圆锥曲线专项重难点突破练(新高考专用)
专题08直线与双曲线的位置关系(解析版)_2.2025数学总复习_2024年新高考资料_3.2024专项复习_2024年新高考数学之圆锥曲线专项重难点突破练(新高考专用)
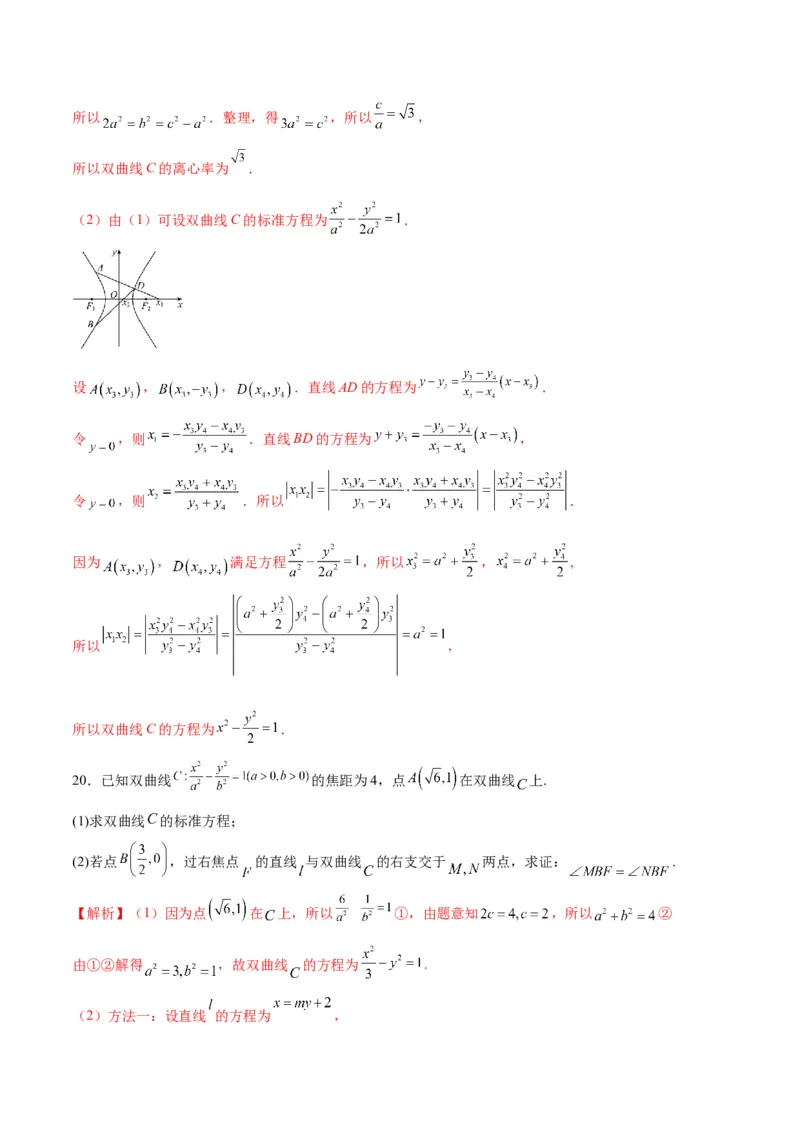
专题08直线与双曲线的位置关系(解析版)_2.2025数学总复习_2024年新高考资料_3.2024专项复习_2024年新高考数学之圆锥曲线专项重难点突破练(新高考专用)
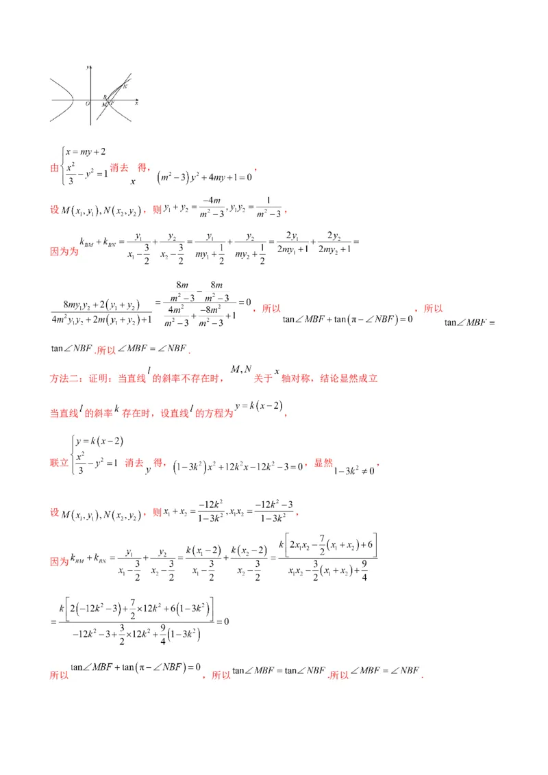
专题08直线与双曲线的位置关系(解析版)_2.2025数学总复习_2024年新高考资料_3.2024专项复习_2024年新高考数学之圆锥曲线专项重难点突破练(新高考专用)
专题08直线与双曲线的位置关系(解析版)_2.2025数学总复习_2024年新高考资料_3.2024专项复习_2024年新高考数学之圆锥曲线专项重难点突破练(新高考专用)
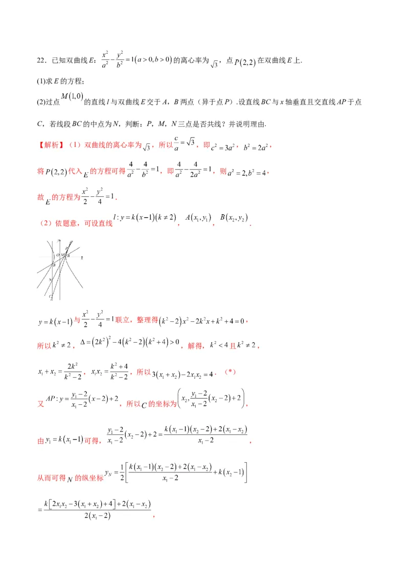
专题08直线与双曲线的位置关系(解析版)_2.2025数学总复习_2024年新高考资料_3.2024专项复习_2024年新高考数学之圆锥曲线专项重难点突破练(新高考专用)

文档信息

文档格式
docx
文档大小
1.154 MB
文档页数
19 页
上传时间
2026-03-13 00:07:15

文档内容

专题08 直线与双曲线的位置关系 考试时间:120分钟 满分:150分 一、单选题:本大题共8小题,每个小题5分,共40分.在每小题给出的选项中,只有一项是符合题目要 求的. 1.双曲线 与直线 的公共点的个数为( ) A.0 B.1 C.0或1 D.0或1或2 【解析】因为双曲线 的渐近线方程为 , 所以,当 时,直线 与渐近线重合,此时直线 与双曲线无交点; 当 时,直线 与渐近线平行,此时直线 与双曲线有一个交点.故选:C 2.已知直线l: 和双曲线C: ,若l与C的上支交于不同的两点,则t的取值范围是 ( ) A. B. C. D. 【解析】由题意在直线l: 和双曲线C: 中,若l与C的上支交于不同的两点 ∴ 即 ,∴ 解得: ∴t的取值范围为 ,故选:D.3.已知双曲线 , ,过点 可做2条直线与左支只有一个交点,与右支不相交, 同时可以做2条直线与右支只有一个交点,与左支不相交,则双曲线离心率的取值范围是( ) A. B. C. D. 【解析】如图所示,设双曲线的两条渐近线分别为 , 由已知易知 ,若 在双曲线内部(如 位置),显然作任何直线均与双曲线右支有交点,无法满 足题意;若 在双曲线与渐近线 之间(如 位置),过P所作直线若与双曲线左支相交则必与右支也相 交,也无法满足题意;故P只能在双曲线的渐近线 上方,此时过P可做唯一一条与右支相切的直线,也 可以作一条与渐近线 平行的直线,该两条直线均与左支无交点; 同理也可作出唯一一条与左支相切的直线,及一条与渐近线 平行的直线符合要求; 即 ,故 ,故选:B 4.已知双曲线 ,A为双曲线C的左顶点,B为虚轴的上顶点,直线l垂直平分线 段 ,若直线l与C存在公共点,则双曲线C的离心率的取值范围是( ) A. B. C. D. 【解析】 依题意,可得 ,则 ,又因为直线l垂直平分线段 ,所以 ,因为直线l与C存在公共点,所以 ,即 ,则 ,即 ,解得 , 所以双曲线C的离心率的取值范围是 .故选:B 5.已知点 在双曲线 上,斜率为k的直线l过点 且不过点P.若直线l 交C于M,N两点,且 ,则 ( ) A. B. C. D. 【解析】因为点 在双曲线 上,所以 解得 , 所以双曲线 .设 , , 联立 整理得 ,所以 , 所以 , , 因为 ,所以 , 即 , 所以 ,整理得 解得 或 , 当 时,直线 过点 ,不满足题意,所以 ,故选:A. 6.已知双曲线 ,若直线 : 与双曲线 交于不同的两点 ,且 与 构成的三角形中有 ,则 的取值范围是( )A. B. C. D. 【解析】因为直线 与双曲线 交于不同的两点 , 联立 ,消 可得 , 由已知方程 有两组解, 所以 且 ,所以 且 , 设 ,则 , 所以 ,所以线段 的中点为 , 所以线段 的垂直平分线方程为 ,即 , 又 与 构成的三角形中有 , 所以点 不在直线 上,在线段 的垂直平分线上,所以 , , 所以 , ,又 ,所以 ,所以 或 , 所以 的取值范围是 ,故选:B. 7.已知双曲线 与直线 交于A、B两点,点P为C右支上一动点,记直线PA、PB的斜率分别为 ,曲线C的左、右焦点分别为 .若 ,则下列说法正确的是( ) A. B.双曲线C的渐近线方程为 C.若 ,则 的面积为 D.曲线 的离心率为 【解析】由 ,可得 , 设 ,则 ,即 ,∴ ,设 , 则 , ,所以 ,即 , 又 , , 所以 ,∴ ,即 ,故A错误; 所以双曲线 , , 双曲线C的渐近线方程为 ,离心率为 ,故B错误,D正确; 若 ,则 , 所以 , 的面积为1,故C错误. 故选:D. 8.已知F 1 ,F 2 分别为双曲线C: 的左、右焦点,E为双曲线C的右顶点.过F 2 的直线与双曲线C 的右支交于A,B两点(其中点A在第一象限),设M,N分别为△AFF,△BFF 的内心,则 1 2 1 2 的取值范围是( )A. B. C. D. 【解析】设 上的切点分别为H、I、J,则 . 由 ,得 , ∴ ,即 . 设内心M的横坐标为 ,由 轴得点J的横坐标也为 ,则 , 得 ,则E为直线 与x轴的交点,即J与E重合. 同理可得 的内心在直线 上, 设直线 的领斜角为 ,则 , , 当 时, ;当 时,由题知, , 因为A,B两点在双曲线的右支上,∴ ,且 ,所以 或 , ∴ 且 ,∴ , 综上所述, .故选:B. 二、多选题:本大题共4小题,每个小题5分,共20分.在每小题给出的选项中,只有一项或者多项是符 合题目要求的.9.过双曲线C: 的左焦点 作直线l与双曲线C的右支交于点A,则( ) A.双曲线C的渐近线方程为 B.点 到双曲线C的渐近线的距离为4 C.直线l的斜率k取值范围是 D.若 的中点在y轴上,则直线l的斜率 【解析】对选项A:双曲线C的渐近线方程为 ,正确; 对选项B: ,取渐近线方程为 ,距离为 ,错误; 对选项C:渐近线方程为 ,故斜率k取值范围是 ,正确; 对选项D: 的中点在y轴上,则 的横坐标为 , ,得到 ,故 或 , ,斜率为 ,正确.故选:ACD 10.已知双曲线C过点 且渐近线为 ,则下列结论正确的是( ) A.C的方程为 B.C的离心率为 C.直线 与C只有一个公共点 D.直线 与C有两个公共点 【解析】渐近线 ,设双曲线 的方程为 ,代入 得 ,所以双曲线的方程为 ,A选项正确. ,离心率 ,B选项错误. 直线 与双曲线的渐近线 平行,所以与双曲线只有一个公共点,C选项正确. ,消去 并化简得 ,所以 , 即直线 与C只有一个公共点, D选项错误.故选:AC 11.已知双曲线E: 的左、右焦点分别为 , ,过 且斜率为 的直线l与E的右支 交于点P,若 ,则( ) A.E的离心率为 B.E的渐近线方程为 C.P到直线x=1的距离为 D.以实轴为直径的圆与l相切 【解析】由双曲线方程可知, ,设 ,则 ,那么 , , 作 轴,垂足为点 ,设 , ,则 , 所以 , , 两式解得: ,即 , , 中,根据余弦定理,可得 , ,得 ,所以双曲线的离心率 ,故A正确;,所以双曲线的渐近线方程为 ,故B错误; 直线 的方程为 ,与双曲线方程 联立, 得 ,解得: ,因为点 在双曲线的右支上, 所以点 的横坐标为 ,P到直线x=1的距离为 ,故C正确; 以实轴为直径的圆的圆心为原点,半径为 ,原点到直线 的距离 ,故D正确. 故选:ACD 12.已知双曲线 的虚轴长为2,过C上点P的直线l与C的渐近线分别交于点A, B,且点P为AB的中点,则下列正确的是( ) A.若 且直线l的斜率存在,直线l的方程为 B.若 ,直线l的斜率为1 C.若离心率 , D.若直线l的斜率不存在, 【解析】由题意 ,双曲线 . 对于A,若 ,则 ,即 . 设 , ,则 , , 利用点差法可得 ,所以直线l的方程为 ,即 , 所以 ,即 ,故A错误; 对于B,若 ,可得 ,则 ,由前面解答过程可知直线l的斜率为 ,即B正 确; 对于C,若离心率 ,可得 .则双曲线 ,其渐近线方程为 , 设 , ,直线 ,令 , 则 ,由A知 方程为 , 联立方程 可得 ,同理可得 , 所以 ,故C正确; 对于D,若直线l的斜率不存在,则直线l过双曲线的顶点,所以 , 双曲线的渐近线方程为 ,当 时,代入渐近线方程易得A,B两点的纵坐标为 , 所以 ,故D正确; 故选:BCD. 三、填空题:本大题共4小题,每小题5分,共20分.把答案填在答题卡中的横线上. 13.已知F 为双曲线 的左焦点,过点F 的直线l交双曲线C的左支于A,B两点,若 1 1 ,则直线l的斜率为 .【解析】设 ,由双曲线 ,可得 , 所以 , 因为 ,所以 ,所以 , 又因为 ,代入解得 , 所以直线 的斜率为 . 14.记双曲线 的离心率为 ,若直线 与 无公共点,则 的取值范围为 . 【解析】 ,所以C的渐近线方程为 , 结合渐近线的特点,只需 ,即 ,可满足条件“直线 与C无公共点”. 所以 ,又因为 ,所以 . 15.已知双曲线C: ,过右焦点F且与渐近线垂直的直线l交双曲线于M,N两点,则M,N两 点的纵坐标之和为 . 【解析】双曲线C: ,右焦点 ,渐近线方程为 .如图所示,假设直线l垂直于 ,则直线l的斜率为 ,所以直线l的方程为 , 将直线l与双曲线C联立消x得 , 设 , ,故 ; 同理可得,当直线l垂直于 时,解得 . 故答案为: 16.已知双曲线 的右焦点为 ,直线 与双曲线 相交于 两点,点 ,以 为直径的圆与 相交于 两点,若 为线段 的中点,则 . 【解析】如图,由题可知, 的坐标为 ,设 , 联立方程组 ,可得 ,则 , . 因为 为线段 的中点,所以 的坐标为 .又以 为直径的圆与 相交于 两点,所以 ,所以 , 解得 ,又 ,所以 ,所以 ,故 . 四、解答题:本大题共6小题,共70分.解答应写出必要的文字说明、证明过程或演算步骤. 17.已知双曲线 的离心率为 ,虚轴长为 . (1)求双曲线C的方程; (2)已知直线 与双曲线C交于不同的两点A、B,且线段AB的中点在圆 上,求m的值. 【解析】(1)∵ ,∴ ,∵ ,∴ , ,∴ , ∴所求双曲线方程为 ; (2)由 ,消y得 , , 故 , ,∴AB中点为 , 代入 中可得 ,∴ . 18.若双曲线 .四个点 恰有三点在双曲线 上. (1)求双曲线 的方程; (2)若直线 与双曲线 交于 两点,且 ,求原点 到直线 的距离. 【解析】(1)由双曲线性质可知, 关于原点对称, 所以 一定在双曲线上,根据双曲线在第一象限图象 而 和 坐标的数中, ,但 ,所以点 不在双曲线上,即 在双曲线上.,解得 , 双曲线 的方程为 (2)直线 的方程为 ,设 , 由 消去 得 所以 . 由 ,可得 ,即 所以 ,可化为 即 ,则 ,即 到 的距离 . 19.已知双曲线 的左、右焦点分别为 , ,A为双曲线C左支上一点, . (1)求双曲线C的离心率; (2)设点A关于x轴的对称点为B,D为双曲线C右支上一点,直线 与x轴交点的横坐标分别为 , 且 ,求双曲线C的方程. 【解析】(1)由于A为双曲线C左支上一点,由双曲线的定义可知 ,所以 .整理,得 ,所以 , 所以双曲线C的离心率为 . (2)由(1)可设双曲线C的标准方程为 . 设 , , .直线AD的方程为 . 令 ,则 .直线BD的方程为 , 令 ,则 .所以 . 因为 , 满足方程 ,所以 , , 所以 , 所以双曲线C的方程为 . 20.已知双曲线 的焦距为4,点 在双曲线 上. (1)求双曲线 的标准方程; (2)若点 ,过右焦点 的直线 与双曲线 的右支交于 两点,求证: . 【解析】(1)因为点 在 上,所以 ①,由题意知 ,所以 ② 由①②解得 ,故双曲线 的方程为 . (2)方法一:设直线 的方程为 ,由 消去 得, , 设 ,则 , 因为为 ,所以 ,所以 .所以 . 方法二:证明:当直线 的斜率不存在时, 关于 轴对称,结论显然成立 当直线 的斜率 存在时,设直线 的方程为 , 联立 消去 得, ,显然 , 设 ,则 , 因为 所以 ,所以 .所以 .21.已知双曲线 : 过点 ,一条渐近线方程为 . (1)求 的方程; (2)过 的右焦点的直线 与 的右支交于 两点, ,若 的外接圆圆心 在 轴上,求直 线 的方程. 【解析】(1)因为 的一条渐近线方程为 ,设 , 因为过点 ,所以 ,故 的方程为 . (2)设 ,由题知 , 故 ,又 所以 . 所以 是方程 的两根,所以 ,设 , 联立 得 , ,所以 ,故 ,所以 , 此时,直线 的斜率的绝对值为 ,大于渐近线斜率的绝对值 ,满足题设, 所以直线 的方程为 或 .22.已知双曲线E: 的离心率为 ,点 在双曲线E上. (1)求E的方程; (2)过点 的直线l与双曲线E交于A,B两点(异于点P).设直线BC与x轴垂直且交直线AP于点 C,若线段BC的中点为N,判断:P,M,N三点是否共线?并说明理由. 【解析】(1)双曲线的离心率为 ,所以 ,即 , , 将 代入 的方程可得 ,即 ,则 , 故 的方程为 . (2)依题意,可设直线 , , . 与 联立,整理得 , 所以 , ,解得, 且 , , ,所以 .(*) 又 ,所以 的坐标为 , 由 可得, , 从而可得 的纵坐标 ,将(*)式代入上式,得 ,即 . 所以, , 将(*)式代入上式,得 , 又 ,直线MN与直线PM有公共点M, 所以P,M,N三点是否共线.