当前位置:首页>文档>河南省豫南名校2022-2023学年高三上学期9月质量检测政治试题_8.2025政治总复习_政治高考模拟题_老高考_2023年

河南省豫南名校2022-2023学年高三上学期9月质量检测政治试题_8.2025政治总复习_政治高考模拟题_老高考_2023年

  • 2026-03-30 01:20:41 2026-03-15 14:08:49

文档预览

河南省豫南名校2022-2023学年高三上学期9月质量检测政治试题_8.2025政治总复习_政治高考模拟题_老高考_2023年
河南省豫南名校2022-2023学年高三上学期9月质量检测政治试题_8.2025政治总复习_政治高考模拟题_老高考_2023年
河南省豫南名校2022-2023学年高三上学期9月质量检测政治试题_8.2025政治总复习_政治高考模拟题_老高考_2023年
河南省豫南名校2022-2023学年高三上学期9月质量检测政治试题_8.2025政治总复习_政治高考模拟题_老高考_2023年
河南省豫南名校2022-2023学年高三上学期9月质量检测政治试题_8.2025政治总复习_政治高考模拟题_老高考_2023年
河南省豫南名校2022-2023学年高三上学期9月质量检测政治试题_8.2025政治总复习_政治高考模拟题_老高考_2023年
河南省豫南名校2022-2023学年高三上学期9月质量检测政治试题_8.2025政治总复习_政治高考模拟题_老高考_2023年
河南省豫南名校2022-2023学年高三上学期9月质量检测政治试题_8.2025政治总复习_政治高考模拟题_老高考_2023年
河南省豫南名校2022-2023学年高三上学期9月质量检测政治试题_8.2025政治总复习_政治高考模拟题_老高考_2023年

文档信息

文档格式
docx
文档大小
0.396 MB
文档页数
9 页
上传时间
2026-03-15 14:08:49

文档内容

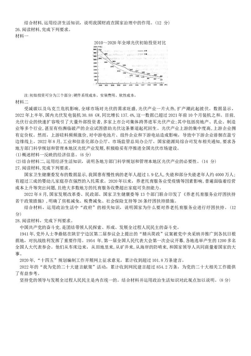
高三思想政治考试 考生注意: 1.本试卷分第I卷(选择题)和第II卷(非选择题)两部分,共100分。考试时间90分钟。 2.请将各题答案填写在答题卡上。 3.本试卷主要考试内容:必修1,必修2第1~3单元。 第I卷 (选择题 共48分) 一.、选择题:本题共24小题,每小题2分,共48分。在每小题给出的四个选项中,只有一项是符合题目要求的。 1.2022年7月,美联储将基准利率上调75个基点至2.25%到2.50%区间。在过去两个月中,美联储已经连续两次加 息75个基点,这次是美联储年内第四次加息。假设其他条件不变,美联储连续加息带来的影响是 ①美元币值上升,美元加速回流美国 ②中国进口美国商品和服务的费用下降 ③各国商品和服务出口美国更具价格优势 ④各国居民会增加对美国商品的需求 A.①③ B.①④ C.②③ D.②④ 2.阳光玫瑰,甜蜜口感中带有一点玫瑰的味道,被称作葡萄中的“贵族”,价格曾经高达每斤200元。很多果农看 到了商机,开始快速扩种阳光玫瑰。几年间,种植区域遍及各地,基本实现了不间断供应。但是,一些种植户过于重 视扩展数量而忽视质量,导致品质参差不齐。如今阳光玫瑰的价格已跌到每斤10元至15元,成了平价水果。由此可 见 ①价格变动能自发调节市场生产要素配置 ②品质高低是影响商品价格的决定因素 ③盲目扩大生产规模会导致产品价值下降 ④使用价值直接影响商品的市场竞争力 A.①② B.①④ C.②③ D.③④ 3.甲和乙互为替代商品,且均具有需求弹性。随着科技的进步,生产甲商品的社会劳动生产率提高。不考虑其他因 素,甲商品的这一变化对乙商品需求影响的图示是 4.随着生活水平的提高和消费观念的变化,家长在孩子身上的花费越来越多。一些年轻父母为了“不让孩子输在 起跑线上”,想方设法给孩子喝进口牛奶,穿戴名牌服饰,用高级日用品,买高档玩具...孩子身上“一掷千金”,家 里的收入基本上都花在了孩子身上,甚至还要靠老人“支援”。这对我们的警示是 ①坚持理性消费,摒弃从众心理的行为 ②反对超前消费,做理智求实的消费者 ③坚持量入为出,家庭消费与收人匹配④坚持勤俭节约,弘扬艰苦奋斗的精神 A.①② B.①④ C.②③ D.③④ 5.近年来,从捐款捐物、投资产业项目、创造就业岗位,到教育扶贫、健康扶贫、互联网扶贫等新模式新业态,"万 企帮万村”因企因地制宜,对症下药,广大民营企业纷纷帮助各地发展。近13万家民营企业精准帮扶13.91万个村, 惠及1803.85万建档立卡贫困人口,为减贫事业贡献了“民企智慧”。可见,我国民营企业 ①积极承担社会责任,讲求社会效益 ②通过再分配方式促进社会公平正义 ③为实现共同富裕发挥了积极作用 ④是保障人民共同利益的重要力量 A.①③ B.①④ C.②③ D.②④ 6.当前,我国钢铁需求已从“有没有”转向“好不好”。面对白热化竞争,某钢铁公司坚持采取差异化策略,贏得市 场主动。该公司的汽车板、取向硅钢、新能源汽车用无取向硅钢等差异化产品表现突出,在2022年第二季度以来 的市场波动中保持了强劲稳健的盈利能力。这对企业经营的启示是 ①适应市场需求变化,调整企业经营战略 ②注重产品品牌效应,增强防范风险能力 ③改善企业治理结构,提高经营管理水平 ④加大研发创新力度,优化企业产品结构 A.①② B.①④ C.②③ D.③④ 7.共同富裕,是中国共产党始终如一的价值追求。毛泽东指出:“这个富,是共同的富,这个强,是共同的强,大家都 有份。”邓小平指出:“共同致富,我们从改革一开始就讲,将来总有一天要成为中心课题。”习近平指出:“我们 追求的发展是造福人民的发展,我们追求的富裕是全体人民共同富裕。”这表明共同富裕 ①是社会主义市场经济的基本标志和根本原则 ②要更加注重提高发展的平衡性、协调性、包容性 ③要在不断“分好蛋糕”的基础上“做大蛋糕” ④是逐步富裕,要始终坚持发展这个第一要务 A.①③ B.①④ C.②③ D.②④ 8.某地发展魔芋产业,帮助群众脱贫致富。以下是小李脱贫的过程 2019年之前 2019年之后 6亩土地种玉米、洋芋 将土地流转给村合作社发展魔芋产业 小李到村合作社工作,负责魔芋的种植、采收 一年收入 4000元 1000元每亩,年收入6000元 150元每天,年收入大约2万元 这对乡村振兴的启示是 ①盘活土地资源,实现土地资源的增值 ②完善分配制度,增加农民土地所有权收益 ③发展集体经济,推动农业规模化经营 ④按技术要素参与分配,提高劳动者积极性 A.①②B.①③ C.②④ D.③④ 9.受多重超预期因素冲击以及实施留抵退税影响,2022年我国财政收人增速放缓,从各地“账本”可以看出不少地 方收支矛盾突出。中共中央政治局会议要求,经济大省要勇挑大梁,有条件的省份要力争完成经济社会发展预期目 标。据此,下列理解正确的是 ①实施减税降费是促进我国经济增长的必要条件 ②经济发展水平是影响国家财政收入的基础因素 ③政府要合理制定税收政策以保持财政收支平衡 ④地方政府可以适度发行政府债券弥补财政赤字 A.①③ B.①④ C.②③ D.②④ 实施乡村振兴战略是全面建设社会主义现代化国家的重大历史任务。据此完成10~11题。 10.乡村民宿是指利用乡村民居等相关资源,民宿主人参与经营服务,为游客提供体验当地自然、文化与生产生活方 式的小型住宿设施。2022 年7月,文化和旅游部等10部门联合印发的《关于促进乡村民宿高质量发展的指导意 见》提出,将乡村民宿发展纳入各地旅游发展规划,对乡村民宿投资建设、改造升级可给予资金补贴或提供贴息贷 款。此举有利于 ①延伸产业链价值链,增加农民按劳分配收益 ②促进新兴产业发展,全面推进乡村振兴哉略 ③丰富乡村民宿产品,推动乡村旅游提质升级 ④发挥供给创造需求作用,开拓农村旅游市场 A.①② B.①④ C.②③ D.③④ 11.《“十四五”推进农业农村现代化规划》指出,建立健全农业高质量发展标准体系,制修订耕地保护、产地环境、 农业投入品、农药兽药残留等标准,强化农产品营养品质评价和分等分级。加强绿色食品、有机农产品、地理标志 农产品认证和管理,建立健全农业品牌监管机制。其预期的作用路径是 ①规范农产品市场秩序 ②促进农业农村的现代化 ③完善农产品治理机制 ④推进质量兴农、绿色兴农 A.①→③→④→② B.①→③→②→④ C.③→①→④→② D.③→①→②→④ 12.2022年8月国家知识产权局举行的新闻发布会介绍,2021年,全国专利转让、许可次数达42万次,同比增长 15%;高校科研院所专利转让许可次数达2.7万次,同比增长33.4%,其中30%的专利属于战略性新兴产业。上述变化 的意义是 ①促进创新资源要素的有序流动和优化配置 ②增加专利所有者收入,缩小社会贫富差距 ③共享智力成果,解决经济发展不平衡问题 ④加速释放创新活力,促进社会生产力发展 A.①② B.①④C.②③ D.③④ 13.海外仓是指国内企业将商品通过大宗运输的形式运往目标市场国家,在当地建立仓库、储存商品,然后再根据 当地的销售订单,第一时间作出响应,及时从当地仓库直接进行分拣、包装和配送。海外仓的优势被越来越多的跨 境商家所认可。据统计,当前我国海外仓数量超过2000个,总面积超过1600万平方米。海外仓的优势表现在 ①提升跨境购物体验,争取更多海外客户 ②促进供应链高效运转,降低物流成本 ③创新对外投资方式,促进国际经济合作 ④提高开放型经济水平,拓展外贸空间 A.①② B.①③ C.②④ D.③④ 14.2022年1~6月,全国实际使用外资金额7233.1亿元人民币,按可比口径同比增长17.4%(下同)。从行业看,服务 业实际使用外资金额5371.3亿元人民币,增长9.2% ;高技术产业实际使用外资增长33.6%。从来源地看,韩国、美 国、德国实际对华投资分别增长37.2%、26.1%和13.9%(含通过自由港投资数据)。上述信息表明 ①外资看好中国经济发展前景 ②我国利用外资的结构逐步合理优化 ③我国与发达国家的贸易关系更密切 ④我国着力培育对外经济竞争新优势 A.①② B.①④ C.②③ D.③④ 15.我国“十四五”规划和2035年远景目标再次提出,到2035年要实现基本公共服务均等化,鼓励各地根据本地区 实际情况,以“现居住地”“辖区内”等作为重要的服务半径,推动居民就近、就地享有基本公共服务,逐步取消 户籍与基本公共服务的关联。实现基本公共服务均等化 ①彰显了人民民主专政的本质 ②要求政府不断拓展基本职能 ③有利于我国公民平等地享有权利: ④需要公民正确处理个人与他人的关系 A.①② B.①③ C.②④ D.③④ 16.噪声问题关系千家万户,每个人既可能是噪声的制造者,也可能是噪声污染的受害者。噪声污染防治涉及生产生 活的各个方面和各个领域,需要调动全社会力量共同做好噪声污染防治工作,提高噪声污染治理现代化水平。这说 明,在噪声污染防治上 ①要突出政府在噪声污染治理中的主体地位 ②要汇聚治理合力推动社会共商共治共享 ③要推动居民由行使权利向履行义务转化 ④居民既是权利的主体,又是义务的主体 A.①② B.①③ C.②④ D.③④ 17.2022年8月17日,国家市场监管总局公布了《企业落实食品安全主体责任监督管理规定(征求意见稿)》,向社会公开征求意见。对此,我们可以 ①积极建言献策,通过参与民主协商行使提案权 ②联系新闻媒体,反映企业的食品安全违法行为 ③就食品安全管理制度的问题向有关专家进行咨询 ④通过电话、信函等方式向相关部门提出意见建议 A.①② B.①④ D.③④ 18.近年来,某社区以制度化、法治化方式推动实施“生活治理”,建立健全社区道德评议机制,积极开展新时代文 明实践中心建设和文明楼院、文明家庭、文明居民系列精神文明创建活动;发展社区志愿者服务,推出微信公众号 等新媒体矩阵,倡导移风易俗,摒弃传统陋习。该社区 ①丰富民主实践,创新居民参与民主管理的主要途径 ②坚持价值引领,实现了自治、法治德治的有机结合 ③提高居民的参与度,调动居民参与基层民主的积极性 ④完善自治组织形式,融合多方力量提升公共服务水平 A.①③ B.①④ C.②③ D.②④ 19.陕西西安的不少车道上方都安装了可变指示牌,通过地磁流量数据和互联网路况数据,可以判断车流量大小,并 据此自动调控和指挥车道变更为直行或转弯,缓解路口拥堵;福建福州打造气象预报预警服务数字化智慧平台,为水 稻制种提供精细化的气象服务,成为制种户的“气象管家....这说明 ①智慧赋能让社会治理更加便民高效 ②智能化为政府服务群众提供了新渠道 ③数字政府建设能提升基层治理的精准度 ④政府创新转变职能行使的内容和形式 A.①③ B.①④ C.②③ D.②④ 20.某市推进“大综合一体化”行政执法改革,组建综合行政执法队,全境推开“一支队伍管执法”,实现统一平台、 一体运转、分工指挥、协同配合;全市156个乡镇(街道)全面建成投用基层综合行政执法指挥室,75%的执法人员划 人近万个村社网格。该市推进行政执法改革的目的在于 ①加快转变基层政府职能 ②为依法行政提供机制保障 ③提高政府行政执法效能 ④推动行政执法更加严格规范 A.①② B.①③ C.②④ D.③④ 21.某市政府对督查检查事项进行梳理,做到重点工作、同类事项合并监督,通过“打包"的方式检查,一次检查融 合多项内容,只需提供一份材料,真正实现“进一家门,查多项工作”。 不打招呼、不看材料、不听汇报,督查组一 行直接到现场查摆问题并督促整改。上述做法能够 ①防止政府权力的缺失和滥用 ②督促政府部门切实履行法定职责 ③进一步提高政府工作的透明度④让人民有效监督政府权力的运行 A.①② B.①③ C.②④ D.③④ 22.为政之道,首要在政绩观。党的十八大以来,习近平总书记多次强调树立正确政绩观,并要求领导干部有功成 不必在我的精神境界功成必定有我的历史担当,发扬钉钉子精神,脚踏实地地干。党员干部功成的“有我”与“无 我” ①要求党员干部切实发挥先锋模范作用 ②要求党员干部把为党造福作为最大政绩 ③要求党员加强党性修养,放弃个人利益在 ④彰显了党员干部为民造福的境界和担当 A.①② B.①④ C.②③ D.③④ 23.党的十八大以来,全国人大及其常委会围绕公共文化服务保障、社会保险制度改革、节约粮食反对浪费等民生 领域热点问题,进行执法检查、专题调研等常态化监督。在这些执法检查和专题调研中,网上问卷调查、网络征求 意见、第三方评估、随机抽查等创新方式方法被投入运用。这说明 ①全国人大将民意作为决策的前提和基础 ②我国不断完善人民民主对权力机关的监督 ③全国人大坚持问计于民,增强人大监督的实效 ④人大创新监督机制,不断提高监督的能力和水平 A.①② B.①③ C.②④ D.③④ 24.党的十八大以来,党中央召开或委托有关部门召开政党协商会议185次,其中习近平总书记亲自主持召开会议42 次,先后就中国共产党全国代表大会和中央全会报告、修改宪法部分内容的建议、制定国民经济和社会发展中长期 规划的建议、国家领导人建议人选等重大问题同党外人士真诚协商、听取意见。这体现了 ①政党协商是实现党的领导的重要方式 ②中国共产党具有与时俱进的执政能力 ③各民主党派切实履行参政议政的国家职能 ④协商民生是社会主义民主政治的特有形式 A.①② B.①④ C.②③ D.③④ 第Ⅱ卷(非选择题 共52分) 二、非选择题:共52分。 25.阅读材料,完成下列要求。 2022年,国务院常务会议出台多项举措,对实施新的组合式税费支持政策、专项债发行使用等工作进行部署, 着力加大财政政策支持实体经济力度。截至7月20日,2022年全国合计新增减税降费及退税缓税缓费超3万亿元。 2022年1~7月,全国地方政府新增专项债券累计发行3.47万亿元,用于项目建设的专项债券额度已基本发行完毕。 新增专项债券主要用于市政建设和产业园区基础设施、社会事业、交通基础设施、保障性安居工程、农林水利等 党中央、国务院确定的重点领域。在转移支付方面,2022年中央对地方转移支付特别是一般的转移支付规模较大幅 度增加,继续向困难地区和欠发达地区倾斜,兜牢基层“三保”底线。结合材料,运用经济生活知识,说明我国财政在国家治理中的作用。(12 分) 26.阅读材料,完成下列要求。 材料一 2010~2020年全球光伏初始投资对比 注:初始投资可分为三个部分:硬件系统成本、安装费用、软性成本。 材料二 受减碳以及乌克兰危机影响,全球市场对光伏的需求旺盛,光伏产业一片火热,扩产潮此起彼伏。数据显示, 2022年上半年,国内光伏发电装机30.88 GW,同比增长137.4%,这一数据已超过2021年前10个月装机之和。目前, 光伏行业的快速扩容吸引了大量外部投资者,多家上市公司集体跨界进军光伏产业;其中包括房地产、乳业、制造 业等多个行业,甚至有些濒临破产的企业试困借助光伏这条赛道起死回生。光伏产业上游的集中度高,上游企业拥 有定价权。然而,上游硅料频频涨价,对中游电池片、组件企业和下游电站造成影响,导致中下游企业徘徊在盈亏 边缘线上。2022年8月,工业和信息化部办公厅、市场监管总局办公厅、国家能源局综合司发布相关通知,要求各 地方部门科学规划和管理本地区光优产业发展,积极稳妥有序推进全国光伏市场建设。 (1)概述材料一反映的经济信息。(6分) (2)结合材料二,运用经济生活知识,说明各地方部门科学规划和管理本地区光伏产业的必要性。(14 分) 27.阅读材料,完成下列要求。 国家卫生健康委发布的数据显示,我国患有慢性病的老年人超过1.9亿人,失能和部分失能老年人约4000万人; 有超过三成的婴幼儿家庭存在强烈的入托需求。2020年以来,养老托育服务业受疫情等因素影响,普遍面临着经营 成本上升等突出问题,且绝大多数地方的托育服务收费超出家庭可负担能力。 2022年8月,国家发展改革委、民政部、国家卫生健康委等 13个部门联合印发了《养老托育服务业纾困扶持 若干政策措施》,明确了房租减免、税费减免、社会保险支持等26条纾困扶持措施。 结合材料,运用政治生活中“政府”的相关知识,说明国家为什么要对养老托育服务业进行纾困扶持。(12 分) 28.阅读材料,完成下列要求。 中国共产党的奋斗史,是团结带领人民探索、形成、发展全过程人民民主的奋斗史。 1941年,党外人士李鼎铭在陕甘宁边区第二届参议会上提出的“精兵简政”议案被党中央采纳并推广到各抗日根 据地,对抗战胜利发挥了重要作用。1954 年,第一届全国人民代表大会第一次会议开幕,各地选举产生的1200多名 全国人大代表参会。他们从车床边来,从田地里来,从矿井来,从海岸的防哨来,和国家领导人共同商量着国家的大 事。 2020年,“十四五”规划编制工作开展网上征求意见,累计收到超过101.8万条建言。 2022年的“我为党的二十大建言献策”活动,累计收到网民建言超过854.2万条,为党的二十大相关工作提供 了有益参考。 坚持党的领导与发展全过程人民民主是内在统一的。结合材料并运用政治生活知识对此观点加以说明。(8分)高三思想政治考试参考答案 1.A 2.B 3.C 4.D 5.A 6.B 7.D 8.B 9.D 10.D 11.C 12.B 13.A 14.A 15.B 16.C 17.D 18.C 19.A 20.D 21.A 22.B 23.D 24.B 25.扩大有效投资,拉动最终消费,推动经济平稳健康发展(或“稳定宏观经济大盘”);提振市场主体信心,稳定市场 预期,促进实体经济发展;引导资源合理配置,完善基础设施,夯实经济发展基础;推动共享发展,改善民生,促进社 会公平;推动经济协调发展,促进乡村振兴,提高经济社会发展质量。(每点3分,答出4点即可) 26.(1)2010~2020年,全球光伏初始投资成本逐年下降,(2分)中国光伏初始投资成本长期低于全球光伏初始投资 成本,(2分)具有较强的成本竞争优势。(2 分) (2)市场调节具有自发性、盲目性、滞后性等固有弊端,需要实行科学的宏观调控。(2 分)各地方部门科学规划和管 理本地区光伏产业是政府履行职责,优化产业区域布局,避免产业趋同、恶性竞争和市场垄断的必然要求;是规范光 伏产业市场秩序,引导各类资本合理参与光伏产业,促进光伏产业健康发展的必然要求;是促进光伏产业链供应链协 同发展、保供稳价的必然要求;是促进节能减排减碳,助力实现碳达峰、碳中和战略目标的必然要求。(每点3分, 答出4点即可) 27.我国政府的宗旨是为人民服务,政府工作的基本原则是对人民负责,(3分)具有组织社会经济建设和加强社会建 设等基本职能。(3 分)养老托育服务业关乎民生,关乎千家万户的幸福。国家对养老托育服务业进行纾困扶持,有助 于促进养老托育服务业健康发展,培育新的经济增长点;(3分)有助于保障和改善民生,促进人口长期均衡发展,更 好地满足人民群众日益增长的养老托育服务需求(或“坚持以人民为中心的发展思想”)。(3 分)(考生如从其他角 度作答,言之有理可酌情给分) 28.坚持党的领导是发展全过程人民民主的根本保证。(2分)只有坚持党的领导,才能保证民主的正确方向,保证全 体人民依法通过各种途径和形式管理国家和社会事务,发展更加广泛、更加充分、更加健全的全过程人民民主;(2 分)发展全过程人民民主是坚持党的领导的内在要求。(2分)发展全过程人民民主,可以把全体人民的智慧和力量凝 聚到党和国家事业中来,使党的决策更加科学、民主,密切党与人民群众的血肉联系,巩固党的执政地位。(2 分)