当前位置:首页>文档>专题14函数的图象(二)(含2021-2023高考真题)(解析版)_2.2025数学总复习_2024年新高考资料_3.2024专项复习_2024年新高考数学之函数专项重难点突破练(新高考专用)

专题14函数的图象(二)(含2021-2023高考真题)(解析版)_2.2025数学总复习_2024年新高考资料_3.2024专项复习_2024年新高考数学之函数专项重难点突破练(新高考专用)

  • 2026-04-09 12:23:35 2026-03-16 00:11:31

文档预览

专题14函数的图象(二)(含2021-2023高考真题)(解析版)_2.2025数学总复习_2024年新高考资料_3.2024专项复习_2024年新高考数学之函数专项重难点突破练(新高考专用)
专题14函数的图象(二)(含2021-2023高考真题)(解析版)_2.2025数学总复习_2024年新高考资料_3.2024专项复习_2024年新高考数学之函数专项重难点突破练(新高考专用)
专题14函数的图象(二)(含2021-2023高考真题)(解析版)_2.2025数学总复习_2024年新高考资料_3.2024专项复习_2024年新高考数学之函数专项重难点突破练(新高考专用)
专题14函数的图象(二)(含2021-2023高考真题)(解析版)_2.2025数学总复习_2024年新高考资料_3.2024专项复习_2024年新高考数学之函数专项重难点突破练(新高考专用)
专题14函数的图象(二)(含2021-2023高考真题)(解析版)_2.2025数学总复习_2024年新高考资料_3.2024专项复习_2024年新高考数学之函数专项重难点突破练(新高考专用)
专题14函数的图象(二)(含2021-2023高考真题)(解析版)_2.2025数学总复习_2024年新高考资料_3.2024专项复习_2024年新高考数学之函数专项重难点突破练(新高考专用)
专题14函数的图象(二)(含2021-2023高考真题)(解析版)_2.2025数学总复习_2024年新高考资料_3.2024专项复习_2024年新高考数学之函数专项重难点突破练(新高考专用)
专题14函数的图象(二)(含2021-2023高考真题)(解析版)_2.2025数学总复习_2024年新高考资料_3.2024专项复习_2024年新高考数学之函数专项重难点突破练(新高考专用)
专题14函数的图象(二)(含2021-2023高考真题)(解析版)_2.2025数学总复习_2024年新高考资料_3.2024专项复习_2024年新高考数学之函数专项重难点突破练(新高考专用)
专题14函数的图象(二)(含2021-2023高考真题)(解析版)_2.2025数学总复习_2024年新高考资料_3.2024专项复习_2024年新高考数学之函数专项重难点突破练(新高考专用)
专题14函数的图象(二)(含2021-2023高考真题)(解析版)_2.2025数学总复习_2024年新高考资料_3.2024专项复习_2024年新高考数学之函数专项重难点突破练(新高考专用)
专题14函数的图象(二)(含2021-2023高考真题)(解析版)_2.2025数学总复习_2024年新高考资料_3.2024专项复习_2024年新高考数学之函数专项重难点突破练(新高考专用)
专题14函数的图象(二)(含2021-2023高考真题)(解析版)_2.2025数学总复习_2024年新高考资料_3.2024专项复习_2024年新高考数学之函数专项重难点突破练(新高考专用)
专题14函数的图象(二)(含2021-2023高考真题)(解析版)_2.2025数学总复习_2024年新高考资料_3.2024专项复习_2024年新高考数学之函数专项重难点突破练(新高考专用)
专题14函数的图象(二)(含2021-2023高考真题)(解析版)_2.2025数学总复习_2024年新高考资料_3.2024专项复习_2024年新高考数学之函数专项重难点突破练(新高考专用)
专题14函数的图象(二)(含2021-2023高考真题)(解析版)_2.2025数学总复习_2024年新高考资料_3.2024专项复习_2024年新高考数学之函数专项重难点突破练(新高考专用)
专题14函数的图象(二)(含2021-2023高考真题)(解析版)_2.2025数学总复习_2024年新高考资料_3.2024专项复习_2024年新高考数学之函数专项重难点突破练(新高考专用)
专题14函数的图象(二)(含2021-2023高考真题)(解析版)_2.2025数学总复习_2024年新高考资料_3.2024专项复习_2024年新高考数学之函数专项重难点突破练(新高考专用)
专题14函数的图象(二)(含2021-2023高考真题)(解析版)_2.2025数学总复习_2024年新高考资料_3.2024专项复习_2024年新高考数学之函数专项重难点突破练(新高考专用)
专题14函数的图象(二)(含2021-2023高考真题)(解析版)_2.2025数学总复习_2024年新高考资料_3.2024专项复习_2024年新高考数学之函数专项重难点突破练(新高考专用)
专题14函数的图象(二)(含2021-2023高考真题)(解析版)_2.2025数学总复习_2024年新高考资料_3.2024专项复习_2024年新高考数学之函数专项重难点突破练(新高考专用)
专题14函数的图象(二)(含2021-2023高考真题)(解析版)_2.2025数学总复习_2024年新高考资料_3.2024专项复习_2024年新高考数学之函数专项重难点突破练(新高考专用)
专题14函数的图象(二)(含2021-2023高考真题)(解析版)_2.2025数学总复习_2024年新高考资料_3.2024专项复习_2024年新高考数学之函数专项重难点突破练(新高考专用)
专题14函数的图象(二)(含2021-2023高考真题)(解析版)_2.2025数学总复习_2024年新高考资料_3.2024专项复习_2024年新高考数学之函数专项重难点突破练(新高考专用)
专题14函数的图象(二)(含2021-2023高考真题)(解析版)_2.2025数学总复习_2024年新高考资料_3.2024专项复习_2024年新高考数学之函数专项重难点突破练(新高考专用)
专题14函数的图象(二)(含2021-2023高考真题)(解析版)_2.2025数学总复习_2024年新高考资料_3.2024专项复习_2024年新高考数学之函数专项重难点突破练(新高考专用)
专题14函数的图象(二)(含2021-2023高考真题)(解析版)_2.2025数学总复习_2024年新高考资料_3.2024专项复习_2024年新高考数学之函数专项重难点突破练(新高考专用)
专题14函数的图象(二)(含2021-2023高考真题)(解析版)_2.2025数学总复习_2024年新高考资料_3.2024专项复习_2024年新高考数学之函数专项重难点突破练(新高考专用)
专题14函数的图象(二)(含2021-2023高考真题)(解析版)_2.2025数学总复习_2024年新高考资料_3.2024专项复习_2024年新高考数学之函数专项重难点突破练(新高考专用)
专题14函数的图象(二)(含2021-2023高考真题)(解析版)_2.2025数学总复习_2024年新高考资料_3.2024专项复习_2024年新高考数学之函数专项重难点突破练(新高考专用)
专题14函数的图象(二)(含2021-2023高考真题)(解析版)_2.2025数学总复习_2024年新高考资料_3.2024专项复习_2024年新高考数学之函数专项重难点突破练(新高考专用)
专题14函数的图象(二)(含2021-2023高考真题)(解析版)_2.2025数学总复习_2024年新高考资料_3.2024专项复习_2024年新高考数学之函数专项重难点突破练(新高考专用)
专题14函数的图象(二)(含2021-2023高考真题)(解析版)_2.2025数学总复习_2024年新高考资料_3.2024专项复习_2024年新高考数学之函数专项重难点突破练(新高考专用)
专题14函数的图象(二)(含2021-2023高考真题)(解析版)_2.2025数学总复习_2024年新高考资料_3.2024专项复习_2024年新高考数学之函数专项重难点突破练(新高考专用)

文档信息

文档格式
docx
文档大小
2.276 MB
文档页数
34 页
上传时间
2026-03-16 00:11:31

文档内容

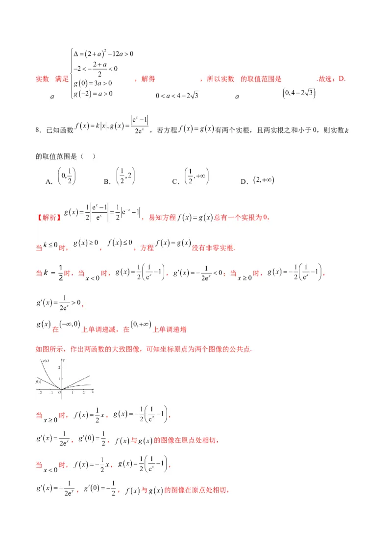
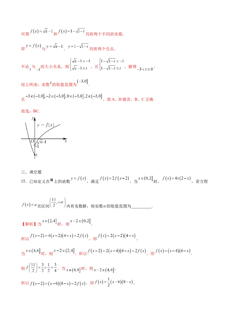
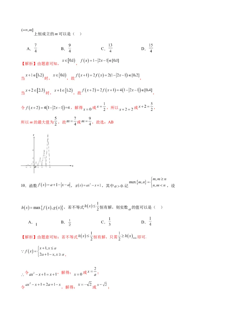
专题14 函数的图象(二) 考点一 函数图象的变换 一、单选题 1.为了得到函数 的图象,只需把函数 的图象上的所有点( ) A.向左平移2个单位长度,再向上平移2个单位长度 B.向右平移2个单位长度,再向下平移2个单位长度 C.向左平移1个单位长度,再向上平移1个单位长度 D.向右平移1个单位长度,再向上平移1个单位长度 【解析】A选项,向左平移2个单位长度,再向上平移2个单位长度,得到 ,错误; B选项,向右平移2个单位长度,再向下平移2个单位长度得到 ,错误; C选项,向左平移1个单位长度,再向上平移1个单位长度得到 ,错误; D选项,向右平移1个单位长度,再向上平移1个单位长度得到 ,正确.故选:D 2.要得到函数 的图象,只需将指数函数 的图象( ) A.向左平移1个单位 B.向右平移1个单位 C.向左平移 个单位 D.向右平移 个单位 【解析】由 向右平移 个单位,则 .故选:D 3.为了得到 的图象,只需将 的图象( ) A.向右平移1个单位,再向下平移2个单位 B.向右平移1个单位,再向上平移2个单位C.向左平移1个单位,再向上平移2个单位 D.向左平移1个单位,再向下平移2个单位 【解析】由 ,得 , 所以为了得到 的图象,只需将 的图象向右平移1个单位,得到 的图象, 再向上平移2个单位,得到 的图象,即 的图象.故选:B. 4.为了得到函数 的图像,只需将函数 的图像( ) A.向右平移3个单位,再向上平移2个单位 B.向左平移3个单位,再向下平移2个单位 C.向右平移3个单位,再向下平移2个单位 D.向左平移3个单位,再向上平移2个单位 【解析】 函数 , 为了得到函数 的图像, 只需将函数 的图像,向右平移3个单位,再向上平移2个单位,故选: . 5.要得到 的图像,只要将 的图像( ) A.向左平移 个单位 B.向右平移 个单位 C.向左平移 个单位 D.向右平移 个单位 【解析】函数 向左平移 个单位后得到 ,故选:C. 6.把函数 图象上所有点的横坐标都伸长为原来的2倍,纵坐标不变,再把图象向右平移2个单位 长度,此时图象对应的函数为 ,则 ( ) A. B. C.0 D. 【解析】由题知,函数 图象上所有点的横坐标都伸长为原来的2倍,可得 的图象,再把图象向右平移2个单位长度, 可得 ,即 的图象,故最小正周期 , , 则 .故选:C 7.已知函数 的图象如下图所示,则 的大致图象是( ) A. B. C. D. 【解析】在 轴左侧作函数 关于 轴对称的图象,得到偶函数 的图象, 向左平移一个单位得到 的图象.故选:A. 8.若函数 的图象向左平移一个单位长度,所的图象与曲线 关于 轴对称,则 ( ) A. B. C. D. 【解析】因为与曲线 关于 轴对称的曲线为 ,向右平移1个单位得 , 所以 .故选:C.二、解答题 9.利用函数 的图象,作出下列各函数的图象. (1) ;(2) (3) ;(4) ;(5) ;(6) . 【解析】(1)把 的图象关于 轴对称得到 的图象,如图, (2)保留 图象在 轴右边部分,去掉 轴左侧的,并把 轴右侧部分关于 轴对称得到 的 图象,如图, (3)把 图象向下平移一个单位得到 的图象,如图, (4)结合(3),保留 上方部分,然后把 下方部分关于 轴翻折得到 的图象,如图,(5)把 图象关于 轴对称得到 的图象,如图, (6)把 的图象向右平移一个单位得到 的图象,如图, 10.已知函数 定义在 上的图象如图所示,请分别画出下列函数的图象: (1) ;(2) ;(3) ;(4) ;(5) ;(6) . 【解析】(1)将函数 的图象向左平移一个单位可得函数 的图象,函数 的图 象如图:(2)将函数 的图象向上平移一个单位可得函数 的图象,函数 图象如图: (3)函数 的图象与函数 的图象关于 轴对称,函数 图象如图: (4)函数 的图象与函数 的图象关于 轴对称,函数 的图象如图: (5)将函数 的图象在 轴上方图象保留,下方的图象沿 轴翻折到 轴上方可得函数 的 图象,函数 的图象如图: (6)将函数 的图象在 轴左边的图象去掉,在 轴右边的图象保留,并将右边图象沿 轴翻折到 轴左边得函数 的图象,其图象如图:考点二 利用函数图象解决不等式问题 一、单选题 1.如图为函数 和 的图象,则不等式 的解集为( ) A. B. C. D. 【解析】由图象可得当 ,此时需满足 ,则 符合要求,故 ;当 ,此时需满足 ,则 符合要求,故 . 综上所述, .故选:D. 2.将 的图象向右平移2个单位长度后得到函数 的图象,则不等式 的解集是 ( ) A. B. C. D. 【解析】依题设可知 , 在平面直角坐标系中,分别作出函数 , 的图象,如图, 由图可知,当 时, .故原不等式的解集为 .故选:C.3.已知函数 是定义在 上的奇函数,当 时, ,则不等式 的解集是 ( ) A. B. C. D. 【解析】如图,当 时, ,因为函数 在 上分别单调递增, 可得 在 上单调递增,且 . 因为 是定义在 上的奇函数,所以 在 上单调递增,且 . 由 ,得 或 解得 或 . 则不等式 的解集是 . 故选:D. 4.已知函数 , ,则不等式 的解集为( ) A. B. C. D.【解析】由题知 在同一坐标系下画出 , 图象如下所示: 由图可知 的解集为 .故选:A. 5.已知函数 的定义域为R, ,且 在 上递增,则 的解集为( ) A. B. C. D. 【解析】函数 ,满足 ,则 关于直线 对称, 所以 ,即 , 又 在 上递增,所以 在 上递减,则可得函数 的大致图象,如下图: 所以由不等式 可得, 或 ,解得 或 , 故不等式 的解集为 .故选:D.6.已知函数 ,则 的解集是( ) A. B. C. D. 【解析】根据题意当 时, , 当 时, , 作出函数 的图象如图, 在同一坐标系中作出函数 的图象, 由图象可得不等式 解集为 ,故选:C 二、多选题 7.设函数 的定义域为R,满足 ,且当 时, ,若对任意 ,都有 ,则实数m的取值可以是( ) A.3 B.4 C. D.【解析】因为函数 的定义域为R,满足 ,且当 时, , 所以当 时, , 当 时, , 函数部分图象如图所示,由 ,得 ,解得 或 , 因为对任意 ,都有 ,所以由图可知 ,故选:ABC 8.已知函数 是定义在 上的偶函数,当 时, 的图象如图所示,则满足不等式 的x可能是( ) A. B.0 C.1 D.2 【解析】由题得 ,在同一坐标系中画出 和 的图象,结合图象可知B, C正确.故选:BC 9.定义在R上的函数 ,满足 ,且当 时, ,则使得 在上恒成立的m可以是( ) A. B. C. D. 【解析】由题意可知, , 当 时, ,故 , 当 时, ,故 , 令 ,解得 或 ,所以 或 , 所以m的最大值为 ,故 或 ,故选:AB 10.函数 , ,其中 .记 ,设 ,若不等式 恒有解,则实数 的值可以是( ) A. B. C. D. 【解析】由题意可知:若不等式 恒有解,只需 即可. , 令 ,解得: 或 ; 令 ,解得: 或 ;①当 ,即 时,则 与 大致图象如下图所示, , 在 上单调递减,在 上单调递增, ,不合题意; ②当 ,即 时,则 与 大致图象如下图所示, , 在 , 上单调递减, , 上单调递增; 又 , , 若 ,则需 ,即 ,解得: ; 综上所述:实数 的取值集合 , , , , , AB错误,CD正确.故选:CD.三、填空题 11.已知函数 ,则不等式 的解集是______. 【解析】 , ,作出函数 , 的图象如下, 由图可知,满足不等式 的 的取值范围为 ,所以,不等式 的解集是 . 12.不等式 的解集为________. 【解析】作出 ,(其中 )的图象,如图, 时, 单调递减, 单调递增,两个函数均过点 , 时, , , 时, , , 由图可知,当 时, ,则不等式 的解集为 . 13.定义在R上的函数 满足 ,且当 时, .若对任意 ,都有 ,则t的取值范围是__________. 【解析】因为当 时, ,所以 , 因为 ,当 时,即 时, 由 ,所以 ,同理可得 依此类推,作出函数 的图象,如图所示: 由图象知:当 时,令 ,则 , 对任意 ,都有 ,则 ,故 的取值范围为 , 14.已知函数 ,若不等式 恒成立,则实数a的范围是____________. 【解析】要 恒成立,只需函数 的图象始终在直线 的上方(除交点外). 如图所示:若直线 与 的图象相切时, 即 只有一解, ,解得 或 , 由图可知,此时直线 斜率为负数,故 (舍去), ; 当 时, ,其图象为双曲线的一部分, 图象的渐近线为 故 时,直线 与 平行, 由图可知,当直线 的斜率满足 时, 恒成立. 故答案为: . 四、解答题 15.已知函数 , . (1)在给出的坐标系中画出函数 的图像; (2)若关于 的不等式 恒成立,求实数 的取值范围. 【解析】(1)由题得, ,画出 的图像如图所示:(2)设 , , ,且 , , 画出 的大致图像, 由图像知,若 恒成立,则 ,即 , , 故实数 的取值范围为 . 16.已知函数 . (1)在坐标系中作出函数 的图象; (2)若 ,求实数 的取值范围.【解析】(1) 所以函数 的图象如下: (2)方法一:记 ,易知 为恒过定点 的直线, 如图所示, . 数形结合易得满足条件 时, ,所以实数 的取值范围为 ; 方法二: 恒成立, 当 时, ,即 , 其中 ,故 , 当 时, , 当 时,不等式为 恒成立, 当 时,不等式为 , 其中 , 其中 ,所以 ,故 , 当 时, ,即 ,其中 , 其中 ,故 ,故 ,所以 , 综上,实数 的取值范围为 . 考点三 利用函数图象解决方程的根与交点问题 一、单选题 1.方程 的解的个数是( ). A.0个 B.1个 C.2个 D.3个 【解析】分别作出函数 图象, 由图可知,有2个交点,所以方程 的解的个数是2,故选:C 2.已知函数 ,若函数 有两个不同的零点,则实数 的取值范围是 ( ) A. B. C. D. 【解析】函数 有两个不同的零点,即为函数 与直线 有两个交点, 函数 图象如图所示:所以 ,故选:D. 3.已知函数 ,若方程 有四个不同的解 且 ,则 的取值范围是( ) A. B. C. D. 【解析】 .先作 图象,由图象可得 因此 为 , , 从而 .故选:A 4.函数 的图象和函数 的图象的交点的个数为( ) A.1 B.2 C.3 D.4 【解析】如图,作出函数 与 的图象,由图可知,两个函数的图象有3个交点. 故选:C.5.已知函数 ,若实数 ,则函数 的零点个数为( ) A.0或1 B.1或2 C.1或3 D.2或3 【解析】函数 的零点个数即函数 与 的函数图象交点个数问题, 画出 的图象与 , 的图象,如下: 故函数 的零点个数为2或3.故选:D 6.已知函数 ,若关于 的方程 恰有5个不同的实根,则 的取值范围为( ) A. B. C. D. 【解析】 , , , 或 .作出函数 的图像如图所示,由图知 的图像与 有两个交点,若关于 的方程 恰有5个不同的实根, 则 的图像与 有三个公共点,所以 的取值范围 .故选:D. 7.已知函数 ,若方程 有四个不同的实数根,则实数a的取值范围是 ( ) A. B. C. D. 【解析】设 ,该直线恒过点 ,方程 有四个不同的实数根 如图作出函数 的图象, 结合函数图象,则 ,所以直线 与曲线 有两个不同的公共点, 所以 在 有两个不等实根,令 ,实数 满足 ,解得 ,所以实数 的取值范围是 .故选:D. 8.已知函数 ,若方程 有两个实根,且两实根之和小于0,则实数 的取值范围是( ) A. B. C. D. 【解析】 ,易知方程 总有一个实根为0, 当 时, , ,方程 没有非零实根. 当 时,当 时, , ;当 时, , , 在 上单调递减,在 上单调递增 如图所示,作出两函数的大致图像,可知坐标原点为两个图像的公共点. 当 时, , , , , 与 的图像在原点处相切, 当 时, , , , , 与 的图像在原点处相切,此时方程 仅有一个实根0. 结合图像可知,当 时,方程另有一正根,不合题意; 当 时,方程另有一负根,符合题意. 故满足条件的 的取值范围是 .故选:C. 9.函数 的图像与函数 的图像所有交点的横坐标之和等于( ) A.8 B.10 C.12 D.14 【解析】 函数 的图像与函数 的图像有公共对称轴 ,分别做出两个函数的图像如图所示, 由图像可知,两个函数共有12个交点,且关于直线 对称,则所有交点的横坐标之和为 . 故选:C 10.已知函数 ,若函数 有6个不同的零点,且最小的零点为 ,则 ( ) A.6 B. C.2 D. 【解析】由函数 的图象,经过沿 轴翻折变换,可得函数 的图象, 再经过向右平移1个单位,可得 的图象, 最终经过沿 轴翻折变换,可得 的图象,如下图:则函数 的图象关于直线 对称,令 ,则 , 由图可知,当 时, 有 个零点,当 时, 有 个零点, 因为函数 有6个不同的零点,所以函数 有两个零点,一个等于 , 一个大于 ,又因为 的最小的零点为 ,且 , 所以函数 的两个零点,一个等于 ,一个等于 , 根据韦达定理得 , ,即 , ,则 .故选:B. 二、多选题 11.关于x的方程 ,给出下列四个判断:其中正确的为( ) A.存在实数k,使得方程恰有4个不同的实根; B.存在实数k,使得方程恰有5个不同的实根; C.存在实数k,使得方程恰有6个不同的实根; D.存在实数k,使得方程恰有8个不同的实根; 【解析】由 得 ①,设 ,则 , 设 作出 的函数图象如图所示: 由图象可知:当 或 时,关于t的方程 只有1解,不妨设为 ,显然 或 , 而关于x的方程 有两解,故方程①有2个解;当 或 时,关于t的方程 有两解,不妨设为 , ,显然 , 而关于x的方程 有两解,故方程①有4个解; 当 时,关于t的方程 有三解,且其中一解为 ,不妨设三个解为 , , ,且 , 而关于x的方程 只有1解,关于x的方程 有两解,故方程①有5个解; 当 时,当关于t的方程 有三解,不妨设为 , , ,显然 , 而关于x的方程 有两解,故方程①有6个解. 综上所述,存在实数k,满足选项ABC 故选:ABC 12.已知函数 ,若方程 有四个不等实根 ( ),则 下列说法正确的是( ) A. B. C. D. 最小值为2 【解析】因为 ,易知, 单调递减区间为 和 ,单调递增区间为 和 ,其图像如图所示,因为方程 有四个不等实根 , 由图易知, , ,由二次函数 的对称性得 , 又 ,即 ,得到 ,所以 ,故选项A正确, 选项B错误;选项C,因为 , ,两式相加得 , 即 ,又 ,得到 ,所以 ,故选项C 正确; 选项D, , 当且仅当 ,即 时取等号,又易知 ,所以取不到等号, 所以 ,故选项D错误. 故选:AC. 13.已知函数 ,若关于 的方程 有两解,则实数 的值可能为( ) A. B. C. D. 【解析】①当 时, 在 内单调递增,且 ,所以 ; ②当 时,则 , 可知 在 内单调递增,且 , 所以 ,且 . 方程 的根的个数可以转化为 与 的交点个数,可得: 当 时, 与 没有交点;当 时, 与 有且仅有1个交点; 当 时, 与 有且仅有2个交点; 当 时, 与 有且仅有1个交点; 若关于 的方程 有两解,即 与 有且仅有2个交点, 所以实数 的取值范围为 ,因为 ,而A、C不在相关区间内, 所以A、C错误,B、D正确.故选:BD. 14.已知函数 ,若函数 恰好有4个不同的零点,则实数 的取值可 以是( ) A. B. C.0 D.2 【解析】由题意可知: 当 时, 在 上单调递减,则 ; 当 时, 在 上单调递增,则 ; 若函数 恰好有4个不同的零点, 令 ,则 有两个零点,可得: 当 时,则 ,解得 ; 当 时,则 ,可得 ;可得 和 均有两个不同的实根, 即 与 、 均有两个交点, 不论 与 的大小关系,则 ,且 ,解得 , 综上所述:实数 的取值范围为 . 且 ,故A、D错误,B、C正确. 故选:BC. 三、填空题 15.已知定义在 上的函数 ,满足 ,当 时, ,若方程 在区间 内有实数解,则实数 的取值范围为__________. 【解析】当 时,则 , 所以 ,即 , 当 时,则 ,所以 ,即 , 则 ,当 时,则 , 所以 ,即 ,画出 的图象如下: 由图象可知,当 时,方程 在区间 内有实数解, 所以实数 的取值范围为 . 16.已知 ,若关于 的方程 有五个相异的实数根,则 的取值 范围是______. 【解析】因为 ,根据题意和函数图象可知, 有两个根,则 有3个根, 的图象如图所示, 结合图象可知,要使方程 有3个根,则有 ,所以 .故答案为: . 17.已知函数 , ,若 有2个不同的零点,则实数 的取值范围是 ____. 【解析】设 ,当 时, , ; 当 时, , ;当 时, , .综上可得, .函数 的定义域为 , 由复合函数单调性可知函数 单调递增.又 , 作出 的图象如图所示 由图象可知,当 时,曲线 与 恒有两个交点,即 有两个零点, 所以 的取值范围是 . 18.已知定义域为R的偶函数 满足 ,且当 时, ,若将方程 实数解的个数记为 ,则 _________. 【解析】由题意可得 , 方程 的实数解个数,即两函数的交点个数, 不难发现 也是偶函数,所以两函数的交点是关于纵轴对称的, 这里只解析 的情况.结合条件作出两函数简要图象如下: 当 时, 此时有两个交点,即 ,当 时, 此时有4个交点,即 , 当 时, 此时有6个交点,即 ,以此类推,可知 , 故 ,即 四、解答题 19.已知函数 . (1)作出函数 的图象; (2)就a的取值范围讨论函数 的零点的个数. 【解析】(1)先作出 的图象,然后将其在x轴下方的部分翻折到x轴上方,原x轴上及其上 方的图象及翻折上来的图象便是所要作的图象. . (2)由图象易知,函数 的零点的个数就是函数 的图象与直线 的交点的个数. . 当 时,函数 的零点的个数为0;当 与 时,函数 的零点的个数为2; 当 时,函数 的零点的个数为4; 当 时,函数 的零点的个数为3. 20.已知函数 ,在区间 上有最大值8,有最小值0,设 . (1)求 , 的值; (2)不等式 在 上有解,求实数 的取值范围; (3)若方程 有三个不同的实数解,求实数 的取值范围. 【解析】(1)由题可得 ,所以 , ; (2)由题可得 , ,因为 在 上有解, 即存在 ,使得 成立,因为 ,所以有 成立, 令 ,因为 ,所以 ,即 ,使得 成立, 只需 即可,因为 ,得 , 所以k的取值范围是 ; (3)令 ,则 ,化简得: , 根据 的图象可知,方程 要有三个不同的实数解,则方程 有两个不同的实数根, 令 ,由题意:函数的两个零点 , , ① 时,代入 , ,不成立; ② , ,由零点存在性定理 , ,由①②可知: .