当前位置:首页>文档>专题19坐标系与参数方程不等式选讲系列(解析版)_通用版(老高考)复习资料_2024年复习资料_完五年(2019-2023)高考真题分项汇编(全国通用)_解析版

专题19坐标系与参数方程不等式选讲系列(解析版)_通用版(老高考)复习资料_2024年复习资料_完五年(2019-2023)高考真题分项汇编(全国通用)_解析版

  • 2026-04-21 06:59:54 2026-04-21 06:59:54

文档预览

专题19坐标系与参数方程不等式选讲系列(解析版)_通用版(老高考)复习资料_2024年复习资料_完五年(2019-2023)高考真题分项汇编(全国通用)_解析版
专题19坐标系与参数方程不等式选讲系列(解析版)_通用版(老高考)复习资料_2024年复习资料_完五年(2019-2023)高考真题分项汇编(全国通用)_解析版
专题19坐标系与参数方程不等式选讲系列(解析版)_通用版(老高考)复习资料_2024年复习资料_完五年(2019-2023)高考真题分项汇编(全国通用)_解析版
专题19坐标系与参数方程不等式选讲系列(解析版)_通用版(老高考)复习资料_2024年复习资料_完五年(2019-2023)高考真题分项汇编(全国通用)_解析版
专题19坐标系与参数方程不等式选讲系列(解析版)_通用版(老高考)复习资料_2024年复习资料_完五年(2019-2023)高考真题分项汇编(全国通用)_解析版
专题19坐标系与参数方程不等式选讲系列(解析版)_通用版(老高考)复习资料_2024年复习资料_完五年(2019-2023)高考真题分项汇编(全国通用)_解析版
专题19坐标系与参数方程不等式选讲系列(解析版)_通用版(老高考)复习资料_2024年复习资料_完五年(2019-2023)高考真题分项汇编(全国通用)_解析版
专题19坐标系与参数方程不等式选讲系列(解析版)_通用版(老高考)复习资料_2024年复习资料_完五年(2019-2023)高考真题分项汇编(全国通用)_解析版
专题19坐标系与参数方程不等式选讲系列(解析版)_通用版(老高考)复习资料_2024年复习资料_完五年(2019-2023)高考真题分项汇编(全国通用)_解析版
专题19坐标系与参数方程不等式选讲系列(解析版)_通用版(老高考)复习资料_2024年复习资料_完五年(2019-2023)高考真题分项汇编(全国通用)_解析版
专题19坐标系与参数方程不等式选讲系列(解析版)_通用版(老高考)复习资料_2024年复习资料_完五年(2019-2023)高考真题分项汇编(全国通用)_解析版
专题19坐标系与参数方程不等式选讲系列(解析版)_通用版(老高考)复习资料_2024年复习资料_完五年(2019-2023)高考真题分项汇编(全国通用)_解析版
专题19坐标系与参数方程不等式选讲系列(解析版)_通用版(老高考)复习资料_2024年复习资料_完五年(2019-2023)高考真题分项汇编(全国通用)_解析版
专题19坐标系与参数方程不等式选讲系列(解析版)_通用版(老高考)复习资料_2024年复习资料_完五年(2019-2023)高考真题分项汇编(全国通用)_解析版
专题19坐标系与参数方程不等式选讲系列(解析版)_通用版(老高考)复习资料_2024年复习资料_完五年(2019-2023)高考真题分项汇编(全国通用)_解析版
专题19坐标系与参数方程不等式选讲系列(解析版)_通用版(老高考)复习资料_2024年复习资料_完五年(2019-2023)高考真题分项汇编(全国通用)_解析版
专题19坐标系与参数方程不等式选讲系列(解析版)_通用版(老高考)复习资料_2024年复习资料_完五年(2019-2023)高考真题分项汇编(全国通用)_解析版
专题19坐标系与参数方程不等式选讲系列(解析版)_通用版(老高考)复习资料_2024年复习资料_完五年(2019-2023)高考真题分项汇编(全国通用)_解析版
专题19坐标系与参数方程不等式选讲系列(解析版)_通用版(老高考)复习资料_2024年复习资料_完五年(2019-2023)高考真题分项汇编(全国通用)_解析版
专题19坐标系与参数方程不等式选讲系列(解析版)_通用版(老高考)复习资料_2024年复习资料_完五年(2019-2023)高考真题分项汇编(全国通用)_解析版
专题19坐标系与参数方程不等式选讲系列(解析版)_通用版(老高考)复习资料_2024年复习资料_完五年(2019-2023)高考真题分项汇编(全国通用)_解析版
专题19坐标系与参数方程不等式选讲系列(解析版)_通用版(老高考)复习资料_2024年复习资料_完五年(2019-2023)高考真题分项汇编(全国通用)_解析版
专题19坐标系与参数方程不等式选讲系列(解析版)_通用版(老高考)复习资料_2024年复习资料_完五年(2019-2023)高考真题分项汇编(全国通用)_解析版
专题19坐标系与参数方程不等式选讲系列(解析版)_通用版(老高考)复习资料_2024年复习资料_完五年(2019-2023)高考真题分项汇编(全国通用)_解析版
专题19坐标系与参数方程不等式选讲系列(解析版)_通用版(老高考)复习资料_2024年复习资料_完五年(2019-2023)高考真题分项汇编(全国通用)_解析版
专题19坐标系与参数方程不等式选讲系列(解析版)_通用版(老高考)复习资料_2024年复习资料_完五年(2019-2023)高考真题分项汇编(全国通用)_解析版
专题19坐标系与参数方程不等式选讲系列(解析版)_通用版(老高考)复习资料_2024年复习资料_完五年(2019-2023)高考真题分项汇编(全国通用)_解析版
专题19坐标系与参数方程不等式选讲系列(解析版)_通用版(老高考)复习资料_2024年复习资料_完五年(2019-2023)高考真题分项汇编(全国通用)_解析版
专题19坐标系与参数方程不等式选讲系列(解析版)_通用版(老高考)复习资料_2024年复习资料_完五年(2019-2023)高考真题分项汇编(全国通用)_解析版
专题19坐标系与参数方程不等式选讲系列(解析版)_通用版(老高考)复习资料_2024年复习资料_完五年(2019-2023)高考真题分项汇编(全国通用)_解析版
专题19坐标系与参数方程不等式选讲系列(解析版)_通用版(老高考)复习资料_2024年复习资料_完五年(2019-2023)高考真题分项汇编(全国通用)_解析版
专题19坐标系与参数方程不等式选讲系列(解析版)_通用版(老高考)复习资料_2024年复习资料_完五年(2019-2023)高考真题分项汇编(全国通用)_解析版
专题19坐标系与参数方程不等式选讲系列(解析版)_通用版(老高考)复习资料_2024年复习资料_完五年(2019-2023)高考真题分项汇编(全国通用)_解析版
专题19坐标系与参数方程不等式选讲系列(解析版)_通用版(老高考)复习资料_2024年复习资料_完五年(2019-2023)高考真题分项汇编(全国通用)_解析版
专题19坐标系与参数方程不等式选讲系列(解析版)_通用版(老高考)复习资料_2024年复习资料_完五年(2019-2023)高考真题分项汇编(全国通用)_解析版

文档信息

文档格式
docx
文档大小
1.660 MB
文档页数
31 页
上传时间
2026-04-21 06:59:54

文档内容

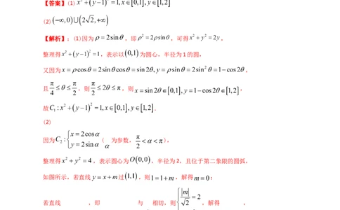
五年(2019-2023)年高考真题分项汇编 专题 19 坐标系与参数方程及不等式选讲系列 考点01 坐标系与参数方程 考点02 不等式选讲系列 考点 01 坐标系与参数方程 1.(2023年全国甲卷理科)已知点 ,直线 (t为参数), 为 的倾斜角,l与x轴正 半轴,y轴正半轴分别交于A,B两点,且 . (1)求 ; (2)以坐标原点为极点,x轴正半轴为极轴建立极坐标系,求l的极坐标方程. 【答案】(1) (2) 【解析】:(1)因为 与 轴, 轴正半轴交于 两点,所以 , 令 , ,令 , , 所以 ,所以 , 即 ,解得 , 因为 ,所以 . (2)由(1)可知,直线 的斜率为 ,且过点 , 所以直线 的普通方程为: ,即 , 由 可得直线 的极坐标方程为 . 资料整理【淘宝店铺:向阳百分百】2 .(2023年全国乙卷理科·第22题)在直角坐标系 中,以坐标原点 为极点, 轴正半轴为极轴建 立极坐标系,曲线 的极坐标方程为 ,曲线 : ( 为参数, ). (1)写出 的直角坐标方程; (2)若直线 既与 没有公共点,也与 没有公共点,求 的取值范围. 【答案】(1) (2) 【解析】:(1)因为 ,即 ,可得 , 整理得 ,表示以 为圆心,半径为1的圆, 又因为 , 且 ,则 ,则 , 故 . (2) 因为 ( 为参数, ), 整理得 ,表示圆心为 ,半径为2,且位于第二象限的圆弧, 如图所示,若直线 过 ,则 ,解得 ; 若直线 ,即 与 相切,则 ,解得 , 若直线 与 均没有公共点,则 或 , 即实数 的取值范围 . 资料整理【淘宝店铺:向阳百分百】3.(2022年高考全国乙卷数学(理))在直角坐标系 中,曲线C的参数方程为 ,(t为参 数),以坐标原点为极点,x轴正半轴为极轴建立极坐标系,已知直线l的极坐标方程为 . (1)写出l的直角坐标方程; (2)若l与C有公共点,求m的取值范围. 【答案】(1) (2) 【解析】:【小问1详解】 因为l: ,所以 , 又因为 ,所以化简为 , 整理得l的直角坐标方程: 【小问2详解】 联立l与C的方程,即将 , 代入 中,可得 , 所以 , 化简为 , 要使l与C有公共点,则 有解, 令 ,则 ,令 , , 资料整理【淘宝店铺:向阳百分百】对称轴为 ,开口向上, 所以 , , 所以 m的取值范围为 . 4.(2022年高考全国甲卷数学(理))在直角坐标系 中,曲线 的参数方程为 (t为参数), 曲线 的参数方程为 (s为参数). (1)写出 的普通方程; (2)以坐标原点为极点,x轴正半轴为极轴建立极坐标系,曲线 的极坐标方程为 ,求 与 交点的直角坐标,及 与 交点的直角坐标. 【答案】(1) ; (2) 的交点坐标为 , , 的交点坐标为 , . 【分析】(1)消去 ,即可得到 的普通方程; (2)将曲线 的方程化成普通方程,联立求解即解出. 【详解】(1)因为 , ,所以 ,即 的普通方程为 . (2)因为 ,所以 ,即 的普通方程为 , 由 ,即 的普通方程为 . 联立 ,解得: 或 ,即交点坐标为 , ; 联立 ,解得: 或 ,即交点坐标为 , . 资料整理【淘宝店铺:向阳百分百】5.(2021年高考全国甲卷)在直角坐标系 中,以坐标原点为极点,x轴正半轴为极轴建立极坐标系, 曲线C的极坐标方程为 . (1)将C的极坐标方程化为直角坐标方程; (2)设点A 的直角坐标为 ,M为C上的动点,点P满足 ,写出Р的轨迹 的参数 方程,并判断C与 是否有公共点. 【答案】(1) ;(2)P的轨迹 的参数方程为 ( 为参数),C 与 没有公共点. 【解析】:(1)由曲线C的极坐标方程 可得 , 将 代入可得 ,即 , 即曲线C的直角坐标方程为 ; (2)设 ,设 , , 则 ,即 , 故P的轨迹 的参数方程为 ( 为参数) 曲线C的圆心为 ,半径为 ,曲线 的圆心为 ,半径为2, 则圆心距为 , , 两圆内含, 故曲线C与 没有公共点. 6 (2021·全国·统考高考乙卷真题)在直角坐标系 中, 的圆心为 ,半径为1. (1)写出 的一个参数方程; (2)过点 作 的两条切线.以坐标原点为极点,x轴正半轴为极轴建立极坐标系,求这两条切线 资料整理【淘宝店铺:向阳百分百】的极坐标方程. 【答案】(1) ,( 为参数); (2) 和 . 【分析】(1)直接利用圆心及半径可得的圆的参数方程; (2)先求得过(4,1)的圆的切线方程,再利用极坐标与直角坐标互化公式化简即可. 【详解】(1)由题意, 的普通方程为 , 所以 的参数方程为 ,( 为参数) (2)[方法一]:直角坐标系方法 ①当直线的斜率不存在时,直线方程为 ,此时圆心到直线的距离为 ,故舍去. ②当切线斜率存在时,设其方程为 ,即 . 故 ,即 ,解得 . 所以切线方程为 或 . 两条切线的极坐标方程分别为 和 . 即 和 . [方法二]【最优解】:定义求斜率法 如图所示,过点F作 的两条切线,切点分别为A,B. 在 中, ,又 轴,所以两条切线 的斜率分别 和 . 故切线的方程为 , ,这两条切线的极坐标方程为 和 . 即 和 . 资料整理【淘宝店铺:向阳百分百】7.(2020年高考课标Ⅰ卷)在直角坐标系 中,曲线 的参数方程为 为参数 .以坐标原 点为极点, 轴正半轴为极轴建立极坐标系,曲线 的极坐标方程为 . (1)当 时, 是什么曲线? (2)当 时,求 与 的公共点的直角坐标. 【答案】(1)曲线 表示以坐标原点为圆心,半径为1的圆;(2) . 【分析】(1)利用 消去参数 ,求出曲线 的普通方程,即可得出结论; (2)当 时, ,曲线 的参数方程化为 为参数),两式相加消去参数 ,得 普通方程,由 ,将曲线 化为直角坐标方程,联立 方程,即可求解. 【详解】(1)当 时,曲线 的参数方程为 为参数), 两式平方相加得 , 所以曲线 表示以坐标原点为圆心,半径为1的圆; (2)当 时,曲线 的参数方程为 为参数), 所以 ,曲线 的参数方程化为 为参数), 两式相加得曲线 方程为 , 得 ,平方得 , 曲线 的极坐标方程为 , 曲线 直角坐标方程为 , 联立 方程 , 整理得 ,解得 或 (舍去), , 公共点的直角坐标为 . 【点睛】本题考查参数方程与普通方程互化,极坐标方程与直角坐标方程互化,合理消元是解题的关键, 要注意曲线坐标的范围,考查计算求解能力,属于中档题. 资料整理【淘宝店铺:向阳百分百】8(2020·全国Ⅱ).已知曲线C ,C 的参数方程分别为C : (θ为参数),C : (t 1 2 1 2 为参数). (1)将C ,C 的参数方程化为普通方程; 1 2 (2)以坐标原点为极点,x轴正半轴为极轴建立极坐标系.设C ,C 的交点为P,求圆心在极轴上,且经过 1 2 极点和P的圆的极坐标方程. 【答案】(1) ; ;(2) . 【分析】(1)分别消去参数 和 即可得到所求普通方程; (2)两方程联立求得点 ,求得所求圆的直角坐标方程后,根据直角坐标与极坐标的互化即可得到所求极 坐标方程. 【详解】(1)[方法一]:消元法 由 得 的普通方程为 . 由参数方程可得 , 两式相乘得普通方程为 . [方法二]【最优解】:代入消元法 由 得 的普通方程为 , 由参数方程可得 , 代入 中并化简得普通方程为 . (2)[方法一]:几何意义+极坐标 将 代入 中解得 ,故P点的直角坐标为 . 设P点的极坐标为 , 资料整理【淘宝店铺:向阳百分百】由 得 , , . 故所求圆的直径为 , 所求圆的极坐标方程为 ,即 . [方法二]: 由 得 所以P点的直角坐标为 . 因为 . 设圆C的极坐标方程为 ,所以 , 从而 ,解得 . 故所求圆的极坐标方程为 . [方法三]:利用几何意义 由 得 所以P点的直角坐标为 , 化为极坐标为 ,其中 . 如图,设所求圆与极轴交于E点,则 , 所以 ,所以所求圆的极坐标方程为 . [方法四]【最优解】: 资料整理【淘宝店铺:向阳百分百】由题意设所求圆的圆心直角坐标为 ,则圆的极坐标方程为 . 联立 得 解得 . 设Q为圆与x轴的交点,其直角坐标为 ,O为坐标原点. 又因为点 都在所求圆上且 为圆的直径, 所以 ,解得 . 所以所求圆的极坐标方程为 . [方法五]利用几何意义求圆心 由题意设所求圆的圆心直角坐标为 , 则圆的极坐标方程为 . 联立 得 , 即P点的直角坐标为 . 所以弦 的中垂线所在的直线方程为 , 将圆心坐标代入得 ,解得 . 所以所求圆的极坐标方程为 . 【整体点评】(1)[方法一]利用乘积消元充分利用了所给式子的特征,体现了解题的灵活性,并不是所有的 问题都可以这样解决; [方法二]代入消元是最常规的消元方法之一,消元的过程充分体现了参数方程与普通方程之间的联系. (2)[方法一]利用几何意义加极坐标求解极坐标方程是充分利用几何思想的提现,能提现思维的 ; [方法二]首先确定交点坐标,然后抓住问题的本质,求得 的值即可确定极坐标方程; [方法三]首先求得交点坐标,然后充分利用几何性质求得圆的直径即可确定极坐标方程; [方法四]直径所对的圆周角为 是圆最重要的性质之一,将其与平面向量垂直的充分必要条件想联系进行 解题时一种常见的方法; [方法五]圆心和半径是刻画圆的最根本数据,利用几何性质求得圆心的坐标即可确定圆的方程. 资料整理【淘宝店铺:向阳百分百】9.(2020·全国·统考Ⅲ)在直角坐标系xOy中,曲线C的参数方程为 (t为参数且t≠1),C与 坐标轴交于A,B两点. (1)求| |: (2)以坐标原点为极点,x轴正半轴为极轴建立极坐标系,求直线AB的极坐标方程. 【答案】(1) (2) 【分析】(1)由参数方程得出 的坐标,最后由两点间距离公式,即可得出 的值; (2)由 的坐标得出直线 的直角坐标方程,再化为极坐标方程即可. 【详解】(1)令 ,则 ,解得 或 (舍),则 ,即 . 令 ,则 ,解得 或 (舍),则 ,即 . ; (2)由(1)可知 , 则直线 的方程为 ,即 . 由 可得,直线 的极坐标方程为 . 【点睛】本题主要考查了利用参数方程求点的坐标以及直角坐标方程化极坐标方程,属于中档题. 10(2019年高考课标Ⅰ卷)在直角坐标系xOy中,曲线C的参数方程为 (t为参数),以坐标 原点O为极点,x轴的正半轴为极轴建立极坐标系,直线l的极坐标方程为 . (1)求C和l的直角坐标方程; (2)求C上的点到l距离的最小值. 【答案】(1) ; ;(2) 【分析】(1)利用代入消元法,可求得 的直角坐标方程;根据极坐标与直角坐标互化原则可得 的直角 坐标方程;(2)利用参数方程表示出 上点的坐标,根据点到直线距离公式可将所求距离表示为三角函 数的形式,从而根据三角函数的范围可求得最值. 【详解】(1)由 得: ,又 资料整理【淘宝店铺:向阳百分百】整理可得 的直角坐标方程为: 又 , 的直角坐标方程为: (2)设 上点的坐标为: 则 上的点到直线 的距离 当 时, 取最小值 则 【点睛】本题考查参数方程、极坐标方程与直角坐标方程的互化、求解椭圆上的点到直线距离的最值问题. 求解本题中的最值问题通常采用参数方程来表示椭圆上的点,将问题转化为三角函数的最值求解问题. 11(2019·全国Ⅱ·)已知曲线C ,C 的参数方程分别为C : (θ为参数),C : 1 2 1 2 (t为参数). (1)将C ,C 的参数方程化为普通方程; 1 2 (2)以坐标原点为极点,x轴正半轴为极轴建立极坐标系.设C ,C 的交点为P,求圆心在极轴上,且经过 1 2 极点和P的圆的极坐标方程. 【答案】(1) ; ;(2) . 【分析】(1)分别消去参数 和 即可得到所求普通方程; (2)两方程联立求得点 ,求得所求圆的直角坐标方程后,根据直角坐标与极坐标的互化即可得到所求极 坐标方程. 【详解】(1)[方法一]:消元法 由 得 的普通方程为 . 由参数方程可得 , 两式相乘得普通方程为 . 资料整理【淘宝店铺:向阳百分百】[方法二]【最优解】:代入消元法 由 得 的普通方程为 , 由参数方程可得 , 代入 中并化简得普通方程为 . (2)[方法一]:几何意义+极坐标 将 代入 中解得 ,故P点的直角坐标为 . 设P点的极坐标为 , 由 得 , , . 故所求圆的直径为 , 所求圆的极坐标方程为 ,即 . [方法二]: 由 得 所以P点的直角坐标为 . 因为 . 设圆C的极坐标方程为 ,所以 , 从而 ,解得 . 故所求圆的极坐标方程为 . [方法三]:利用几何意义 由 得 所以P点的直角坐标为 , 资料整理【淘宝店铺:向阳百分百】化为极坐标为 ,其中 . 如图,设所求圆与极轴交于E点,则 , 所以 ,所以所求圆的极坐标方程为 . [方法四]【最优解】: 由题意设所求圆的圆心直角坐标为 ,则圆的极坐标方程为 . 联立 得 解得 . 设Q为圆与x轴的交点,其直角坐标为 ,O为坐标原点. 又因为点 都在所求圆上且 为圆的直径, 所以 ,解得 . 所以所求圆的极坐标方程为 . [方法五]利用几何意义求圆心 由题意设所求圆的圆心直角坐标为 , 则圆的极坐标方程为 . 联立 得 , 即P点的直角坐标为 . 所以弦 的中垂线所在的直线方程为 , 将圆心坐标代入得 ,解得 . 所以所求圆的极坐标方程为 . 资料整理【淘宝店铺:向阳百分百】12.(2019·全国Ⅲ·)如图,在极坐标系 中, , , , ,弧 , AMAE1 3, 所在圆的圆心分别是 , , ,曲线 是弧 ,曲线 是弧AMAE1 3,曲线 FM=FO=5=5 FM=FO=5=5 3 3 是弧 . (1)分别写出 , , 的极坐标方程; (2)曲线 由 , , 构成,若点 在 上,且 ,求 的极坐标. 【答案】 (1) , , ; (2) 或 或 或 【解析】(1)由题设可得, 所在圆的极坐标方程分别为 . 所以 的极坐标方程为 , 的极坐标方程为 , 的极坐标方程为 . (2)设 ,由题设及(1)知, ,解得 ; ,解得 或 ; ,解得 . 综上 的极坐标为 或 或 或 . 【点评】此题考查了极坐标中过极点的圆的方程,思考量不高,运算量不大,属于中档题. 资料整理【淘宝店铺:向阳百分百】考点 02 不等式选讲系列 1 (2023年全国乙卷理科).已知 . (1)求不等式 的解集; (2)在直角坐标系 中,求不等式组 所确定的平面区域的面积. 【答案】(1) ; (2)8. 【分析】(1)分段去绝对值符号求解不等式作答. (2)作出不等式组表示的平面区域,再求出面积作答. 【详解】(1)依题意, , 不等式 化为: 或 或 , 解 ,得无解;解 ,得 ,解 ,得 ,因此 , 所以原不等式的解集为: (2)作出不等式组 表示的平面区域,如图中阴影 , 由 ,解得 ,由 , 解得 ,又 , 所以 的面积 . 资料整理【淘宝店铺:向阳百分百】2(2023年全国甲卷理科)2.设 ,函数 . (1)求不等式 的解集; (2)若曲线 与 轴所围成的图形的面积为2,求 . 【答案】(1) (2)2 【分析】(1)分 和 讨论即可; (2)写出分段函数,画出草图,表达面积解方程即可. 【详解】(1)若 ,则 , 即 ,解得 ,即 , 若 ,则 , 解得 ,即 , 综上,不等式的解集为 . (2) . 画出 的草图,则 与 轴围成 , 的高为 ,所以 , 所以 ,解得 . 3.(2022年全国乙卷理科)已知a,b,c都是正数,且 ,证明: 资料整理【淘宝店铺:向阳百分百】(1) ; (2) ; 【答案】(1)证明见解析 (2)证明见解析 【分析】(1)利用三元均值不等式即可证明; (2)利用基本不等式及不等式的性质证明即可. 【详解】(1)证明:因为 , , ,则 , , , 所以 , 即 ,所以 ,当且仅当 ,即 时取等号. (2)证明:因为 , , , 所以 , , , 所以 , , 当且仅当 时取等号. 4.(2022年全国甲卷理科)已知a,b,c均为正数,且 ,证明: (1) ; (2)若 ,则 . 【答案】(1)见解析 (2)见解析 【分析】(1)方法一:根据 ,利用柯西不等式即可得证; (2)由(1)结合已知可得 ,即可得到 ,再根据权方和不等式即可得证. 【详解】(1)[方法一]:【最优解】柯西不等式 资料整理【淘宝店铺:向阳百分百】由柯西不等式有 , 所以 ,当且仅当 时,取等号,所以 . [方法二]:基本不等式 由 , , , , 当且仅当 时,取等号,所以 . (2)证明:因为 , , , ,由(1)得 , 即 ,所以 , 由权方和不等式知 , 当且仅当 ,即 , 时取等号, 所以 . 【点睛】(1)方法一:利用柯西不等式证明,简洁高效,是该题的最优解; 方法二:对于柯西不等式不作为必须掌握内容的地区同学,采用基本不等式累加,也是不错的方法. 5.(2021年全国乙卷理科)已知函数 . (1)当 时,求不等式 的解集; (2)若 ,求a的取值范围. 【答案】(1) .(2) . 【分析】(1)利用绝对值的几何意义求得不等式的解集. (2)利用绝对值不等式化简 ,由此求得 的取值范围. 【详解】(1)[方法一]:绝对值的几何意义法 当 时, , 表示数轴上的点到 和 的距离之和, 则 表示数轴上的点到 和 的距离之和不小于 , 当 或 时所对应的数轴上的点到 所对应的点距离之和等于6, ∴数轴上到 所对应的点距离之和等于大于等于6得到所对应的坐标的范围是 或 , 所以 的解集为 . 资料整理【淘宝店铺:向阳百分百】[方法二]【最优解】:零点分段求解法 当 时, . 当 时, ,解得 ; 当 时, ,无解; 当 时, ,解得 . 综上, 的解集为 . (2)[方法一]:绝对值不等式的性质法求最小值 依题意 ,即 恒成立, , 当且仅当 时取等号, , 故 , 所以 或 , 解得 . 所以 的取值范围是 . [方法二]【最优解】:绝对值的几何意义法求最小值 由 是数轴上数x表示的点到数a表示的点的距离,得 ,故 ,下 同解法一. [方法三]:分类讨论+分段函数法 当 时, 则 ,此时 ,无解. 当 时, 资料整理【淘宝店铺:向阳百分百】则 ,此时,由 得, . 综上,a的取值范围为 . [方法四]:函数图象法解不等式 由方法一求得 后,构造两个函数 和 , 即 和 , 如图,两个函数的图像有且仅有一个交点 , 由图易知 ,则 . 【整体点评】(1)解绝对值不等式的方法有几何意义法,零点分段法. 方法一采用几何意义方法,适用于绝对值部分的系数为1的情况, 方法二使用零点分段求解法,适用于更广泛的情况,为最优解; (2)方法一,利用绝对值不等式的性质求得 ,利用不等式恒成立的意义得到关于 的不等 式,然后利用绝对值的意义转化求解; 方法二与方法一不同的是利用绝对值的几何意义求得 的最小值,最有简洁快速,为最优解法 方法三利用零点分区间转化为分段函数利用函数单调性求 最小值,要注意函数 中的各绝对值的 零点的大小关系,采用分类讨论方法,使用与更广泛的情况; 方法四与方法一的不同在于得到函数 的最小值后,构造关于 的函数,利用数形结合思想求解关于 的不等式. 6 (2021年全国甲卷理科)已知函数 . 资料整理【淘宝店铺:向阳百分百】(1)画出 和 的图像; (2)若 ,求a的取值范围. 【答案】(1)图像见解析;(2) 【分析】(1)分段去绝对值即可画出图像; (2)根据函数图像数形结和可得需将 向左平移可满足同角,求得 过 时 的 值可求. 【详解】(1)可得 ,画出图像如下: ,画出函数图像如下: 资料整理【淘宝店铺:向阳百分百】(2) , 如图,在同一个坐标系里画出 图像, 是 平移了 个单位得到, 则要使 ,需将 向左平移,即 , 当 过 时, ,解得 或 (舍去), 则数形结合可得需至少将 向左平移 个单位, . 【点睛】关键点睛:本题考查绝对值不等式的恒成立问题,解题的关键是根据函数图像数形结合求解. 7(2020年高考课标Ⅰ卷)已知函数 . (1)画出 的图像; 资料整理【淘宝店铺:向阳百分百】(2)求不等式 的解集. 【答案】(1)详解解析;(2) . 【分析】(1)根据分段讨论法,即可写出函数 的解析式,作出图象; (2)作出函数 的图象,根据图象即可解出. 【详解】(1)因为 ,作出图象,如图所示: (2)将函数 的图象向左平移 个单位,可得函数 的图象,如图所示: 资料整理【淘宝店铺:向阳百分百】由 ,解得 . 所以不等式 的解集为 . 【点睛】本题主要考查画分段函数的图象,以及利用图象解不等式,意在考查学生的数形结合能力,属于 基础题. 8.(2020·全国Ⅱ)已知函数 . (1)当 时,求不等式 的解集; (2)若 ,求a的取值范围. 【答案】(1) 或 ;(2) . 【分析】(1)分别在 、 和 三种情况下解不等式求得结果; (2)利用绝对值三角不等式可得到 ,由此构造不等式求得结果. 【详解】(1)当 时, . 当 时, ,解得: ; 当 时, ,无解; 当 时, ,解得: ; 综上所述: 的解集为 或 . (2) (当且仅当 时取 资料整理【淘宝店铺:向阳百分百】等号), ,解得: 或 , 的取值范围为 . 【点睛】本题考查绝对值不等式的求解、利用绝对值三角不等式求解最值的问题,属于常考题型. 9.(2020·全国·统考Ⅲ)设a,b,c R,a+b+c=0,abc=1. (1)证明:ab+bc+ca<0; (2)用max{a,b,c}表示a,b,c中的最大值,证明:max{a,b,c}≥ . 【答案】(1)证明见解析(2)证明见解析. 【分析】(1)方法一:由 结合不等式的性质,即可得出证明; (2)方法一:不妨设 ,因为 ,所以 ,则 .故原不等式成立. 【详解】(1)[方法一]【最优解】:通性通法 , . 均不为 ,则 , . [方法二]:消元法 由 得 ,则 ,当且仅当 时取等号, 又 ,所以 . [方法三]:放缩法 方式1:由题意知 ,又 ,故结论得证. 方式2:因为 , 所以 资料整理【淘宝店铺:向阳百分百】. 即 ,当且仅当 时取等号, 又 ,所以 . [方法四]: 因为 ,所以a,b,c必有两个负数和一个正数, 不妨设 则 . [方法五]:利用函数的性质 方式1: ,令 , 二次函数对应的图像开口向下,又 ,所以 , 判别式 ,无根, 所以 ,即 . 方式2:设 , 则 有a,b,c三个零点,若 , 则 为R上的增函数,不可能有三个零点, 所以 . (2)[方法一]【最优解】:通性通法 不妨设 ,因为 ,所以 , 则 .故原不等式成立. [方法二]: 不妨设 ,因为 ,所以 ,且 则关于x的方程 有两根,其判别式 ,即 . 故原不等式成立. [方法三]: 不妨设 ,则 ,关于c的方程有解, 判别式 ,则 .故原不等式成立. [方法四]:反证法 假设 ,不妨令 ,则 ,又 资料整理【淘宝店铺:向阳百分百】,矛盾,故假设不成立.即 ,命题得证. 【整体点评】(1)方法一:利用三项平方和的展开公式结合非零平方为正数即可证出,证法常规,为本 题的通性通法,也是最优解法;方法二:利用消元法结合一元二次函数的性质即可证出;方法三:利用放 缩法证出;方法四:利用符号法则结合不等式性质即可证出;方法五:利用函数的性质证出. (2)方法一:利用基本不等式直接证出,是本题的通性通法,也是最优解; 方法二:利用一元二次方程根与系数的关系以及方程有解的条件即可证出;方法三:利用消元法以及一元 二次方程有解的条件即可证出;方法四:利用反证法以及基本不等式即可证出. 10(2019年高考课标Ⅰ卷).已知a,b,c为正数,且满足abc=1.证明: (1) ; (2) . 【答案】(1)见解析;(2)见解析 【分析】(1)利用 将所证不等式可变为证明: ,利用基本不等式可证得 ,从而得到结论;(2)利用基本不等式可得 ,再次利用基本不等式可将式转化为 ,在取等条件一致的情况下,可得结论. 【详解】(1) 当且仅当 时取等号 ,即: (2) ,当且仅当 时取等号 又 , , (当且仅当 时等号同时成立) 又 【点睛】本题考查利用基本不等式进行不等式的证明问题,考查学生对于基本不等式的变形和应用能力, 需要注意的是在利用基本不等式时需注意取等条件能否成立. 资料整理【淘宝店铺:向阳百分百】11(2019·全国Ⅱ).已知 (1)当 时,求不等式 的解集; (2)若 时, ,求 的取值范围. 【答案】(1) ;(2) 【分析】(1)根据 ,将原不等式化为 ,分别讨论 , , 三 种情况,即可求出结果; (2)分别讨论 和 两种情况,即可得出结果. 【详解】(1)当 时,原不等式可化为 ; 当 时,原不等式可化为 ,即 ,显然成立, 此时解集为 ; 当 时,原不等式可化为 ,解得 ,此时解集为空集; 当 时,原不等式可化为 ,即 ,显然不成立;此时解集为空集; 综上,原不等式的解集为 ; (2)当 时,因为 ,所以由 可得 , 即 ,显然恒成立;所以 满足题意; 当 时, ,因为 时, 显然不能成立,所以 不满足题 意; 综上, 的取值范围是 . 【点睛】本题主要考查含绝对值的不等式,熟记分类讨论的方法求解即可,属于常考题型. 12.(2019·全国·统考Ⅲ)设 ,且 . (1)求 的最小值; (2)若 成立,证明: 或 . 【答案】(1) ;(2)见详解. 【分析】(1)根据条件 ,和柯西不等式得到 ,再讨论 是否可以 达到等号成立的条件. (2)恒成立问题,柯西不等式等号成立时构造的 代入原不等式,便可得到参数 的取值范围. 【详解】(1) [方法一]【利用函数的凹凸性和琴生不等式求最值】 构造函数 ,因为 是上凹函数,利用琴生不等式有 资料整理【淘宝店铺:向阳百分百】, 所以 ,变形即得 , 当且仅当 时,等号成立,即 时,等号成立. [方法二]【建立空间直角坐标系,利用空间向量的几何意义求最值】 如图,建立空间直角坐标系,并设 .由 知,动点 在平面 上,又 的几何意义表示动点 与空间点 的距离的平方,且平 面 的一个法向量为 .所以当 平面 时, 取得最小值,其最 小值为 . [方法三]【利用基本不等式求最值】 ,且 .令 ,则 .所以 . 当 时, 取得最小值为 ,此时 . [方法四]【最优解,利用基本不等式结合二次函数的性质求最值】 设 . 因为 , 所以 . 设 ,则 ,此二次函数的对称轴为 ,故当 时, 资料整理【淘宝店铺:向阳百分百】,即当 时, 取得最小值 . (2)因为 , 所以 . 根据柯西不等式等号成立条件,当 , 即 时有: 成立. 所以 成立,所以有 或 . 【整体点评】(1)方法一:琴生不等式和函数的凹凸性体现了整体性的思想的应用; 方法二:利用空间向量的方法体现了数形结合的方法; 方法三:基本不等式求最值要求变形的技巧较高; 方法四:基本不等式+二次函数的方法求最值是常见的求最值的方法. 资料整理【淘宝店铺:向阳百分百】