当前位置:首页>文档>考向45坐标系与参数方程(重点)-备战2023年高考数学一轮复习考点微专题(老高考)(解析版)_2.2025数学总复习_赠品通用版(老高考)复习资料_一轮复习

考向45坐标系与参数方程(重点)-备战2023年高考数学一轮复习考点微专题(老高考)(解析版)_2.2025数学总复习_赠品通用版(老高考)复习资料_一轮复习

  • 2026-04-04 07:49:04 2026-03-27 07:50:07

文档预览

考向45坐标系与参数方程(重点)-备战2023年高考数学一轮复习考点微专题(老高考)(解析版)_2.2025数学总复习_赠品通用版(老高考)复习资料_一轮复习
考向45坐标系与参数方程(重点)-备战2023年高考数学一轮复习考点微专题(老高考)(解析版)_2.2025数学总复习_赠品通用版(老高考)复习资料_一轮复习
考向45坐标系与参数方程(重点)-备战2023年高考数学一轮复习考点微专题(老高考)(解析版)_2.2025数学总复习_赠品通用版(老高考)复习资料_一轮复习
考向45坐标系与参数方程(重点)-备战2023年高考数学一轮复习考点微专题(老高考)(解析版)_2.2025数学总复习_赠品通用版(老高考)复习资料_一轮复习
考向45坐标系与参数方程(重点)-备战2023年高考数学一轮复习考点微专题(老高考)(解析版)_2.2025数学总复习_赠品通用版(老高考)复习资料_一轮复习
考向45坐标系与参数方程(重点)-备战2023年高考数学一轮复习考点微专题(老高考)(解析版)_2.2025数学总复习_赠品通用版(老高考)复习资料_一轮复习
考向45坐标系与参数方程(重点)-备战2023年高考数学一轮复习考点微专题(老高考)(解析版)_2.2025数学总复习_赠品通用版(老高考)复习资料_一轮复习
考向45坐标系与参数方程(重点)-备战2023年高考数学一轮复习考点微专题(老高考)(解析版)_2.2025数学总复习_赠品通用版(老高考)复习资料_一轮复习
考向45坐标系与参数方程(重点)-备战2023年高考数学一轮复习考点微专题(老高考)(解析版)_2.2025数学总复习_赠品通用版(老高考)复习资料_一轮复习
考向45坐标系与参数方程(重点)-备战2023年高考数学一轮复习考点微专题(老高考)(解析版)_2.2025数学总复习_赠品通用版(老高考)复习资料_一轮复习
考向45坐标系与参数方程(重点)-备战2023年高考数学一轮复习考点微专题(老高考)(解析版)_2.2025数学总复习_赠品通用版(老高考)复习资料_一轮复习
考向45坐标系与参数方程(重点)-备战2023年高考数学一轮复习考点微专题(老高考)(解析版)_2.2025数学总复习_赠品通用版(老高考)复习资料_一轮复习
考向45坐标系与参数方程(重点)-备战2023年高考数学一轮复习考点微专题(老高考)(解析版)_2.2025数学总复习_赠品通用版(老高考)复习资料_一轮复习
考向45坐标系与参数方程(重点)-备战2023年高考数学一轮复习考点微专题(老高考)(解析版)_2.2025数学总复习_赠品通用版(老高考)复习资料_一轮复习
考向45坐标系与参数方程(重点)-备战2023年高考数学一轮复习考点微专题(老高考)(解析版)_2.2025数学总复习_赠品通用版(老高考)复习资料_一轮复习
考向45坐标系与参数方程(重点)-备战2023年高考数学一轮复习考点微专题(老高考)(解析版)_2.2025数学总复习_赠品通用版(老高考)复习资料_一轮复习
考向45坐标系与参数方程(重点)-备战2023年高考数学一轮复习考点微专题(老高考)(解析版)_2.2025数学总复习_赠品通用版(老高考)复习资料_一轮复习
考向45坐标系与参数方程(重点)-备战2023年高考数学一轮复习考点微专题(老高考)(解析版)_2.2025数学总复习_赠品通用版(老高考)复习资料_一轮复习
考向45坐标系与参数方程(重点)-备战2023年高考数学一轮复习考点微专题(老高考)(解析版)_2.2025数学总复习_赠品通用版(老高考)复习资料_一轮复习
考向45坐标系与参数方程(重点)-备战2023年高考数学一轮复习考点微专题(老高考)(解析版)_2.2025数学总复习_赠品通用版(老高考)复习资料_一轮复习
考向45坐标系与参数方程(重点)-备战2023年高考数学一轮复习考点微专题(老高考)(解析版)_2.2025数学总复习_赠品通用版(老高考)复习资料_一轮复习
考向45坐标系与参数方程(重点)-备战2023年高考数学一轮复习考点微专题(老高考)(解析版)_2.2025数学总复习_赠品通用版(老高考)复习资料_一轮复习
考向45坐标系与参数方程(重点)-备战2023年高考数学一轮复习考点微专题(老高考)(解析版)_2.2025数学总复习_赠品通用版(老高考)复习资料_一轮复习
考向45坐标系与参数方程(重点)-备战2023年高考数学一轮复习考点微专题(老高考)(解析版)_2.2025数学总复习_赠品通用版(老高考)复习资料_一轮复习
考向45坐标系与参数方程(重点)-备战2023年高考数学一轮复习考点微专题(老高考)(解析版)_2.2025数学总复习_赠品通用版(老高考)复习资料_一轮复习
考向45坐标系与参数方程(重点)-备战2023年高考数学一轮复习考点微专题(老高考)(解析版)_2.2025数学总复习_赠品通用版(老高考)复习资料_一轮复习
考向45坐标系与参数方程(重点)-备战2023年高考数学一轮复习考点微专题(老高考)(解析版)_2.2025数学总复习_赠品通用版(老高考)复习资料_一轮复习
考向45坐标系与参数方程(重点)-备战2023年高考数学一轮复习考点微专题(老高考)(解析版)_2.2025数学总复习_赠品通用版(老高考)复习资料_一轮复习
考向45坐标系与参数方程(重点)-备战2023年高考数学一轮复习考点微专题(老高考)(解析版)_2.2025数学总复习_赠品通用版(老高考)复习资料_一轮复习
考向45坐标系与参数方程(重点)-备战2023年高考数学一轮复习考点微专题(老高考)(解析版)_2.2025数学总复习_赠品通用版(老高考)复习资料_一轮复习
考向45坐标系与参数方程(重点)-备战2023年高考数学一轮复习考点微专题(老高考)(解析版)_2.2025数学总复习_赠品通用版(老高考)复习资料_一轮复习
考向45坐标系与参数方程(重点)-备战2023年高考数学一轮复习考点微专题(老高考)(解析版)_2.2025数学总复习_赠品通用版(老高考)复习资料_一轮复习
考向45坐标系与参数方程(重点)-备战2023年高考数学一轮复习考点微专题(老高考)(解析版)_2.2025数学总复习_赠品通用版(老高考)复习资料_一轮复习
考向45坐标系与参数方程(重点)-备战2023年高考数学一轮复习考点微专题(老高考)(解析版)_2.2025数学总复习_赠品通用版(老高考)复习资料_一轮复习
考向45坐标系与参数方程(重点)-备战2023年高考数学一轮复习考点微专题(老高考)(解析版)_2.2025数学总复习_赠品通用版(老高考)复习资料_一轮复习
考向45坐标系与参数方程(重点)-备战2023年高考数学一轮复习考点微专题(老高考)(解析版)_2.2025数学总复习_赠品通用版(老高考)复习资料_一轮复习
考向45坐标系与参数方程(重点)-备战2023年高考数学一轮复习考点微专题(老高考)(解析版)_2.2025数学总复习_赠品通用版(老高考)复习资料_一轮复习

文档信息

文档格式
docx
文档大小
2.205 MB
文档页数
33 页
上传时间
2026-03-27 07:50:07

文档内容

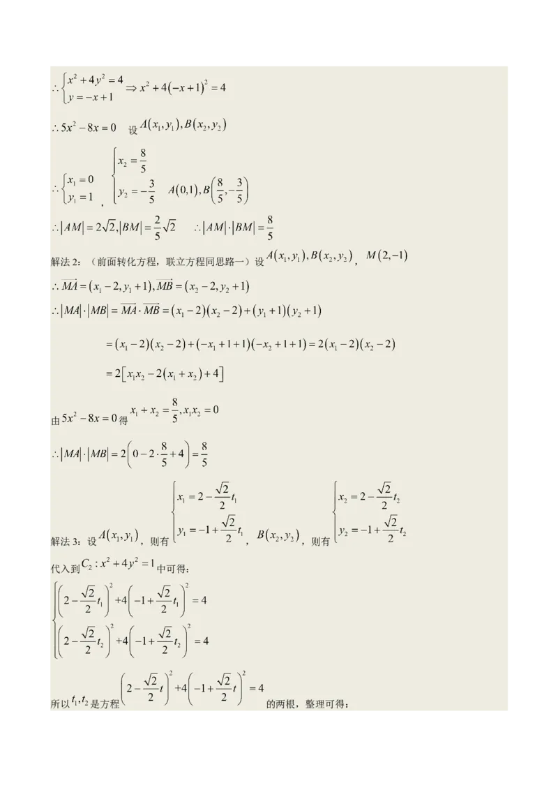
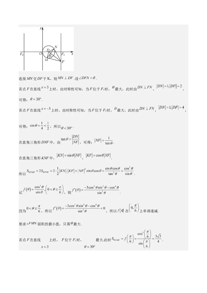
考向 45 坐标系与参数方程 (老高考) 【2022年全国甲卷】在直角坐标系 中,曲线 的参数方程为 ,( 是参数),曲线 的参 数方程为 ,( 是参数). (1)写出 的普通方程; (2)以坐标原点为极点, 轴正半轴建立极坐标系,曲线 的极坐标方程为 ,求 与 交点的直角坐标,及 与 交点的直角坐标. 【答案】(1) ; (2) 与 交点为 和 ; 与 交点为 和 . 【解析】(1)由 : 消去参数 得 . (2) 由 : ,两边乘以 得, ,得 的直角坐标方程为 . 联立 ,解得 或由 : 消去参数 得 . 联立 ,解得 或 综上所述, 与 交点为 和 ; 与 交点为 和 . 【2022年全国乙卷】在直角坐标系 中,曲线 的方程为 ( 为参数).以坐标原点为极点, 轴正半轴为极轴建立极坐标系,已知直线 的极坐标方程为 . (1) 写出 的直角坐标方程; (2) 若 与 有公共点,求 的取值范围. 【答案】(1) ;(2) . 【解析】(1)由 可得, , 即 , , 故 的方程为: . (2)由 ,得 , 联立 , , 即 , ,即 ,故 的范围是 . 一、极坐标的转化问题 互化的前提依旧是把直角坐标系的原点作为极点,x轴的正半轴作为极轴并在两种坐标系下取相同的 单位长度. 互化公式为, 直角坐标方程化极坐标方程可直接将x=ρcos θ,y=ρsin θ代入即可,而极坐标方程化为直角坐标方 程通常将极坐标方程化为ρcos θ,ρsin θ的整体形式,然后用x,y代替较为方便,常常两端同乘以ρ即可 达到目的,但要注意变形的等价性. 二、参数方程的消参问题 1.消参的常用方法 (1)代入消参法,是指由曲线的参数方程中的某一个(或两个)得到用x(或y,或x,y)表示参数的式子, 把其代入参数方程中达到消参的目的. (2)整体消参法,是指通过恰当的变形把两式平方相加(或相减、相乘、相除)达到消参的目的,此时常 用到一些桓等式,如sin2θ+cos2θ=1,sec2θ=tan2θ+1,2-2=4等. 1.圆的极坐标方程 若圆心为M(ρ,θ),半径为r的圆方程为ρ2-2ρρcos(θ-θ)+ρ-r2=0. 0 0 0 0 几个特殊位置的圆的极坐标方程 (1)当圆心位于极点,半径为r:ρ=r; (2)当圆心位于M(a,0),半径为a:ρ=2acosθ; (3)当圆心位于 ,半径为a:ρ=2asinθ. 2.直线的极坐标方程 若直线过点M(ρ,θ),且极轴到此直线的角为α,则它的方程为:ρsin(θ-α)=ρsin (θ-α). 0 0 0 0 几个特殊位置的直线的极坐标方程 (1)直线过极点:θ=θ和θ=π-θ; 0 0 (2)直线过点M(a,0)且垂直于极轴:ρcos θ=a;(3)直线过 且平行于极轴:ρsin θ=b. 3.直线、圆、椭圆的参数方程: xx tcos, 0 (1)经过一定点 ,倾斜角为 的直线 的参数方程为: ( 为参数); P 0 (x 0 ,y 0 ) α l y y 0 tsin t x  x at, 0 (2)直线参数方程的一般形式为 ( 为参数); y  y 0 bt t x x rcos, 0 (3)圆的参数方程为 ( 为参数); y  y rsin  θ 0 x2 y2 xacos,  1(a b 0)  (5)椭圆a2 b2 的参数方程为y bsin (θ,ρ为参数). 1.混淆圆和直线的参数方程; 2.忽视直线参数方程是否具有几何意义; 3.因忽视极坐标系下点的极坐标不唯一性致误; 4.用极坐标求交点时,忽视极径为零的情况; 5.混淆参数方程中的角与极坐标中的角的不同几何意义; 6.参数方程与极坐标方程互化时,忽视参数的范围. 1.已知直线参数方程为 ,圆 的参数方程为 ,则圆心到直线的距离为_______ 【答案】 【解析】将参数方程转化为一般方程: 所以圆心为 ,到直线的距离为: 2.以直角坐标系的原点为极点, 轴非负半轴为极轴,建立极坐标系,在两种坐标系中取相同的单位长度,点 的极坐标为 ,曲线 的参数方程为 ,则曲线 上的点到点 距离的最大 值为___________ 【答案】 【解析】 ,故曲线上距离 最远的距离为 到圆心的距离加上半径, 故 3.已知在平面直角坐标系 中圆 的参数方程为: ,以 为极轴建立极坐标系,直 线极坐标方程为 ,则圆 截直线所得弦长为__________ 【答案】 【解析】圆 的方程为: ,对于直线方程 ,无法直接替换为 , 需 构 造 再 进 行 转 换 : 再求出弦长即可: 4.已知两曲线参数方程分别为 和 ,它们的交点坐标为_____________ 【答案】 【解析】曲线方程为 ,联立方程可解得: 或 (舍) 由 可得: 所以 ,坐标为 5.在极坐标系中,直线 与曲线 相交于 两点,且 ,则实数 的值为_____________ 【答案】 或 【 解 析 】 先 将 直 线 与 曲 线 转 化 为 直 角 坐 标 方 程 : , 曲 线 , 所 以 问 题 转 化 为 直 线 与圆 相交于 ,且 ,利用圆与直线关系可求得圆心 到直线距离 即 ,解得 或 6.以直角坐标系的原点为极点, 轴的正半轴为极轴,并在两种坐标系中取相同的长度单位,已知直线的 极坐标方程为 ,它与曲线 ( 为参数)相交于两点 ,则 _________ 【答案】 【解析】先将两个方程转化为直角坐标系下的普通方程。对于 ,这种特殊的极坐标方程可以考虑数 形结合来确定直线:即 ,曲线消参后可得: 即圆心是 ,半径为 的圆,所以 , 7.在直角坐标系 中,曲线 的参数方程为 ,以坐标原点为极点, 轴正半轴为极轴建立极 坐标系,曲线 的极坐标方程是 ,则两曲线交点间的距离是______________ 【答案】 【解析】的方程为 联立方程可得: 代入消去 可得: 设交点 则 8.已知曲线的极坐标方程分别为 ,其中 ,则曲线 交 点的极坐标为_______ 【答案】 【解析】解法1: 或 将两个点转化为极坐标分别为 ,因为 ,所以只有 符合 条件 解法2: 代入消去 可得: 交点坐标为 9.已知在极坐标系中, 为极点,圆 的极坐标方程为 ,点 的极坐标为 ,则 的面积为___________ 【答案】【解析】解法1:将 转变为直角坐标系方程: ,所以 ,再求出 的直角坐标为 , 则 ,因为 ,所以 ,且 ,所以 解法2:本题求出 后,发现其极坐标为 ,而 ,所以可结合图像利用极坐标的几 何含义求解,可得 , ,所以 10.在直角坐标系 中,曲线 的参数方程为 ,(其中 为参数),以原点为极点,以 轴正半轴为极轴,建立极坐标系,曲线 的极坐标方程为 ,设点 ,曲线 交于 ,求 的值. 【答案】 【解析】解法1:设 , 解法2:(前面转化方程,联立方程同思路一)设 , 由 得 解法3:设 ,则有 , ,则有 代入到 中可得: 所以 是方程 的两根,整理可得:1.(2022·四川省眉山第一中学模拟预测(理))如图,曲线 是著名的笛卡尔心形曲线,它的极坐标方 程为 .曲线 是经过极点且在极轴上方的圆,其圆心在经过极点且垂直于极轴的 直线上,直径为1. (1)求曲线 的极坐标方程,并求曲线 和曲线 交点的极坐标; (2)以极点为坐标原点,极轴所在的直线为x轴,经过极点且垂直于极轴的直线为y轴,建立平面直角坐标 系,曲线 的参数方程为 (t为参数).若曲线 与曲线 相交于除极点外的M,N两点,求 线段MN的长度. 【答案】(1) , ;(2)2. 【解析】(1)曲线 的极坐标方程为 . 与 方程联立代入得 , ,解得 或 , 故所求交点坐标分别为(2)因为曲线 为过原点倾斜角是 的直线,故其极坐标方程为 和 . 联立两曲线 与 的方程,解得两交点的极坐标分别为 , 所以 . 2.(2022·贵州遵义·三模(文))在极点为O的极坐标系中,经过点 的直线l与极轴所成角为 , 且与极轴的交点为N. (1)当 时,求l的极坐标方程; (2)当 时,求 面积的取值范围. 【答案】(1) ;(2) 【解析】(1)点 ,则 ,所以 点的直角坐标为 , 当 时,直线 的直角坐标方程为 ,转化为极坐标方程为 . (2)在极坐标系下:经过点 的直线l与极轴所成角为 , 在直角坐标系下:经过点 的直线 的倾斜角为 或 . 即直线 的倾斜角是 或 . 当直线 的倾斜角为 时, 直线 的方程为 , 令 得 , , ,, 所以 . 当直线 的倾斜角为 时, 直线 的方程为 , 令 得 , , 所以 . 综上所述, 面积的取值范围是 . 3.(2022·河南开封·三模(文))在极坐标系Ox中,已知点 ,直线l过点A,与极轴相交于点N, 且 . (1)求直线l的极坐标方程; (2)将OA绕点O按顺时针方向旋转 ,与直线l交于点B,求 的面积. 【答案】(1) ;(2) . 【解析】(1)设 为直线l上除点A外的任意一点,则 , .由点A的极坐标为 知 , . 设直线l与极轴交于点N,由已知 . 在 中,由正弦定理得: , 即 ,即 . 显然,点A的坐标 也是该方程的解. 所以,直线l的极坐标方程为 . (2)将OA绕点O按顺时针方向旋转 ,与直线l交于点B,则B的极坐标为 , 代入直线l的极坐标方程得 ,即 ,即 , 所以 . 4.(2022·全国·二模(理))直线 过点 ,倾斜角为 . (1)以平面直角坐标系的原点 为极点, 轴的正半轴为极轴建立极坐标系.过 作 的垂线,垂足为 , 求点 的极坐标 ; (2)直线 与曲线 ( 为参数)交于 、 两点,证明: 、 、 成等比数列. 【答案】(1) ;(2)证明见解析 【解析】(1)直线 的斜率为 ,故直线 的方程为 ,即 , 所以,直线 与 轴交点为 ,与 轴的交点为 ,易知 ,所以, 为等腰直角三角形,且 , 因为 ,则 为线段 的中点,即点 , 设点 的极坐标为 ,则 , , 又因为点 在第四象限,则 . (2)将曲线 的参数方程化为普通方程可得 , 将直线 的参数方程 ( 为参数),代入曲线 的方程 . 可得 ,则 , 设 、 对应的参数分别为 、 ,由韦达定理可得 , , 所以, , , 所以, ,因此, 、 、 成等比数列. 5.(2022·四川省泸县第一中学模拟预测(理))在极坐标系中, 为极点,如图所示,已知 以 为直径作圆 . (1)求圆 的极坐标方程 ; (2)若 为圆 左上半圆弧 的三等分点,求 点的极坐标.【答案】(1) ;(2) . 【解析】(1)设点 为圆上任意一点,则 , 在 中, . ∴ 圆 的极坐标方程为 . (2)圆 左上半圆弧 的三等分点对应的极角分别 , 代入圆 的极坐标方程中, ∴ 圆 左上半圆弧 的三等分点分别为 6.(2022·吉林市教育学院模拟预测(理))以等边三角形的每个顶点为圆心,以其边长为半径,在另两 个顶点间作一段圆弧,三段圆弧围成的曲边三角形被称为勒洛三角形,如图,在极坐标系 中,曲边三 角形 为勒洛三角形,且 , ,以极点O为直角坐标原点,极轴 为x轴正半轴建立 平面直角坐标系 ,曲线 的参数方程为 (t为参数). (1)求 的极坐标方程和 所在圆 的直角坐标方程; (2)已知点M的直角坐标为 ,曲线 和圆 相交于A,B两点,求 .【答案】(1) ; ;(2)3 【解析】(1)因为 , ,所以 的极坐标方程: , 因为点P的直角坐标是 , 所以 所在圆的直角坐标方程为 . (注: 的极坐标方程不标明 的取值范围或写错扣1分) (2)设A,B对应的参数分别为 , 将 代入 得: 所以 因为 ,由t的几何意义得: 7.(2022·湖北省仙桃中学模拟预测)已知椭圆 ,和一条过定点 且不与 轴重合的直 线 相交于 两点,线段 的中点为点 , (1)求点 的轨迹方程; (2)射线 交椭圆于点 , 为直线 上一点,且 为 的等比中项,过点 作圆 的两条切线,切点为 ,求 面积的最小值 . 【答案】(1) .(2) .【解析】(1)由题意,可设直线l: .不妨设 ,则 , 消去x可得: ,其中 , , . 设线段 的中点为点 ,所以 , . 即 (m为参数). 消去m得: . 所以点 的轨迹方程为: . (2)以坐标原点O为极点,x轴非负半轴为极轴,建立极坐标系. 由点 的轨迹方程为: 化为极坐标方程为 ,即 . 椭圆 化为极坐标方程为 ,即 . 可设射线 的极坐标方程为: . 因为射线 交椭圆于点 , 为直线 上一点,所以 , . 因为 为 的等比中项,所以 ,即 ,解得: . 所以F点的轨迹的极坐标方程为 或 ,化为直角坐标方程为 或 . 如图示:连接DM、DN,则 .连接MN交DF于K,则 .设 . 若点F在直线 上时,由对称性可知,当F位于F 时, 最大,此时由 , , 1 可得: . 若点F在直线 上时,由对称性可知,当F位于F 时, 最大,此时由 , , 2 可得: ,所以 . 在直角三角形DNF中,由 ,可得: . 在直角三角形KNF中, , . 所以 . 记 ,则 . 因为 ,所以 ,所以 在 上单调递减. 要求 面积的最小值,只需 最大. 若点F在直线 上时, F位于F 时, 最大.此时 . 1若点F在直线 上时, F位于F 时, 最大,有 .此时 . 2 综上所述: 面积的最小值为 . 8.(2022·黑龙江·哈九中模拟预测(理))在极坐标系下,设点 为曲线 : 在极轴 上方的 一点,且 ,以极点为原点,极轴为 轴正半轴建立平面直角坐标系 . (1)求曲线 的参数方程; (2)以 为直角顶点, 为一条直角边作等腰直角三角形 在 的右下方 ,求点 轨迹的极坐标方 程. 【答案】(1) , 其中 为参数 ;(2) , 【解析】(1)曲线 : , , , , 在直角坐标系中,曲线 是以 为圆心, 为半径的圆, 曲线 的参数方程为 , 其中 为参数 ; (2)设 为 ,则 ,且 , 设 为 ,则根据题意可得: , ,又 ,且 , , ,, , 点 轨迹的极坐标方程为 , .  1t2 x ,   1t2  4t  y   1t2 1.(2019全国I理22)在直角坐标系xOy中,曲线C的参数方程为 (t为参数).以坐标原点 2cos 3sin110 O为极点,x轴的正半轴为极轴建立极坐标系,直线l的极坐标方程为 . (1)求C和l的直角坐标方程; (2)求C上的点到l距离的最小值. 【解析】(1)因为 ,且 ,所以C的直角坐标方程为 . 的直角坐标方程为 . (2)由(1)可设C的参数方程为 ( 为参数, ). C上的点到 的距离为 . 当 时, 取得最小值7,故C上的点到 距离的最小值为 . 2.(2017新课标Ⅰ)在直角坐标系 中,曲线 的参数方程为 ,( 为参数),直线 的参 数方程为 ( 为参数).(1)若 ,求 与 的交点坐标; (2)若 上的点到 距离的最大值为 ,求 . 【解析】(1)曲线 的普通方程为 . 当 时,直线 的普通方程为 . 由 解得 或 . 从而 与 的交点坐标为 , . (2)直线 的普通方程为 ,故 上的点 到 的距离为 . 当 时, 的最大值为 .由题设得 ,所以 ; 当 时, 的最大值为 .由题设得 ,所以 . 综上, 或 . 3.【2017年高考江苏卷数学】在平面直角坐标系 中,已知直线 的参考方程为 ( 为参 数),曲线 的参数方程为 ( 为参数).设 为曲线 上的动点,求点 到直线 的距离的最 小值. 【解析】直线 的普通方程为 . 因为点 在曲线 上,设 , 从而点 到直线 的的距离 , 当 时, . 因此当点 的坐标为 时,曲线 上点 到直线 的距离取到最小值 .4.(2017新课标Ⅱ)在直角坐标系 中,以坐标原点为极点, 轴的正半轴为极轴建立极坐标系,曲 线 的极坐标方程为 . (1) 为曲线 上的动点,点 在线段 上,且满足 ,求点 的轨迹 的直角 坐标方程; (2)设点 的极坐标为 ,点 在曲线 上,求 面积的最大值. 【解析】(1)设 的极坐标为 , 的极坐标为 . 由椭圆知 , . 由 得 的极坐标方程 . 因此 的直角坐标方程为 . (2)设点 的极坐标为 .由题设知 , ,于是 面积 . 当 时, 取得最大值 . 所以 面积的最大值为 . 5. 在直角坐标系 中, 的圆心为 ,半径为1. (1)写出 的一个参数方程; (2)过点 作 的两条切线.以坐标原点为极点,x轴正半轴为极轴建立极坐标系,求这两条切 线的极坐标方程. 【解析】(1)由题意, 的普通方程为 , 所以 的参数方程为 ,( 为参数) (2)由题意,切线的斜率一定存在,设切线方程为 ,即 , 由圆心到直线的距离等于1可得 , 解得 ,所以切线方程为 或 , 将 , 代入化简得或 6.(2014新课标Ⅱ)在直角坐标系 中,以坐标原点为极点, 轴正半轴为极轴建立极坐标系,半圆 C的极坐标方程为 , . (Ⅰ)求C的参数方程; (Ⅱ)设点D在C上,C在D处的切线与直线 垂直,根据(Ⅰ)中你得到的参数方程, 确定D的坐标. 【解析】(I)C的普通方程为 . 可得C的参数方程为 (t为参数, ) (Ⅱ)设D .由(I)知C是以G(1,0)为圆心,1为半径的上半圆。 因为C在点D处的切线与t垂直,所以直线GD与t的斜率相同, . 故D的直角坐标为 ,即 . 7.(2020•全国3卷)在直角坐标系xOy中,曲线C的参数方程为 (t为参数且t≠1),C与 坐标轴交于A、B两点. (1)求 ; (2)以坐标原点为极点,x轴正半轴为极轴建立极坐标系,求直线AB的极坐标方程. 【解析】(1)令 ,则 ,解得 或 (舍),则 ,即 . 令 ,则 ,解得 或 (舍),则 ,即 . ; (2)由(1)可知 , 则直线 的方程为 ,即 . 由 可得,直线 的极坐标方程为 . 8.(2016年全国II)在直角坐标系 中,圆C的方程为 . (I)以坐标原点为极点,x轴正半轴为极轴建立极坐标系,求C的极坐标方程;(II)直线l的参数方程是 (t为参数),l与C交于A、B两点, ,求l的斜率. 【解析】(Ⅰ)整理圆的方程得 , 由 可知圆 的极坐标方程为 . (Ⅱ)记直线的斜率为 ,则直线的方程为 , 由垂径定理及点到直线距离公式知: , 即 ,整理得 ,则 . 9.(2018全国卷Ⅱ)在直角坐标系 中,曲线 的参数方程为 ( 为参数),直线 的参数 方程为 ( 为参数). (1)求 和 的直角坐标方程; (2)若曲线 截直线 所得线段的中点坐标为 ,求 的斜率. 【解析】(1)曲线 的直角坐标方程为 . 当 时, 的直角坐标方程为 , 当 时, 的直角坐标方程为 . (2)将 的参数方程代入 的直角坐标方程,整理得关于 的方程 .① 因为曲线 截直线 所得线段的中点 在 内,所以①有两个解,设为 , ,则 . 又由①得 ,故 ,于是直线 的斜率 . 10.(2015新课标Ⅰ)在直角坐标系 中,直线 : ,圆 : ,以坐标 原点为极点, 轴的正半轴为极轴建立极坐标系. (Ⅰ)求 , 的极坐标方程; (Ⅱ)若直线 的极坐标方程为 ,设 与 的交点为 , ,求 的面积. 【解析】(Ⅰ)因为 ,∴ 的极坐标方程为 , 的极坐标方程为 . (Ⅱ)将 代入 ,得 , 解得 = , = ,|MN|= - = , 因为 的半径为1,则 的面积 = . 11.(2016年全国I)在直角坐标系 中,曲线 的参数方程为 (t为参数,a>0). 在以坐标原点为极点, 轴正半轴为极轴的极坐标系中,曲线 : . (I)说明 是哪种曲线,并将 的方程化为极坐标方程; (II)直线 的极坐标方程为 ,其中 满足 ,若曲线 与 的公共点都在 上, 求a. xacost  【解析】(1) y1asint (t均为参数)∴ x2 y12 a2 ① ∴ C 1为以 0,1 为圆心,a为半径的圆.方程为 x2  y2 2y1a2 0 x2  y2 2,ysin 2 2sin1a2 0 C ∵ ∴ 即为 1的极坐标方程 C :4cos (2) 2  2 4cos 2 x2  y2,cosx 两边同乘 得  x2  y2 4x x22  y2 4 即 ② C y2x C C C 3:化为普通方程为 ,由题意: 1和 2的公共方程所在直线即为 3 4x2y1a2 0 C ①—②得: ,即为 3 ∴1a2 0,∴a1 12.(2015 新课标Ⅱ)在直角坐标系 中,曲线 : ( 为参数, ≠0)其中 ,在以 O 为极点,x 轴正半轴为极轴的极坐标系中,曲线 : , : . (Ⅰ)求 与 交点的直角坐标; (Ⅱ)若 与 相交于点A, 与 相交于点B,求 的最大值. 【 解 析 】 ( Ⅰ ) 曲 线 的 直 角 坐 标 方 程 为 , 曲 线 的 直 角 坐 标 方 程 为.联立 解得 或 所以 与 交点的直角坐标为 和 . (Ⅱ)曲线 的极坐标方程为 ,其中 . 因此 得到极坐标为 , 的极坐标为 . 所以 , 当 时, 取得最大值,最大值为 . 13.(2020·新课标Ⅰ)在直角坐标系 中,曲线 的参数方程为 为参数 .以坐标原点 为极点, 轴正半轴为极轴建立极坐标系,曲线 的极坐标方程为 . (1)当 时, 是什么曲线? (2)当 时,求 与 的公共点的直角坐标. 【解析】(1)当 时,曲线 的参数方程为 为参数), 两式平方相加得 , 所以曲线 表示以坐标原点为圆心,半径为1的圆; (2)当 时,曲线 的参数方程为 为参数), 所以 ,曲线 的参数方程化为 为参数), 两式相加得曲线 方程为 , 得 ,平方得 , 曲线 的极坐标方程为 , 曲线 直角坐标方程为 ,联立 方程 , 整理得 ,解得 或 (舍去), , 公共点的直角坐标为 . 14.(2019全国III理22)如图,在极坐标系Ox中, , , , ,弧 , , 所在圆的圆心分别是 , , ,曲线 是弧 ,曲线 是弧 ,曲线 是弧 . (1)分别写出 , , 的极坐标方程; (2)曲线 由 , , 构成,若点 在M上,且 ,求P的极坐标. 【解析】(1)由题设可得,弧 所在圆的极坐标方程分别为 , , . 所以 的极坐标方程为 , 的极坐标方程为 , 的极坐标方程为 . (2)设 ,由题设及(1)知 若 ,则 ,解得 ; 若 ,则 ,解得 或 ; 若 ,则 ,解得 . 综上,P的极坐标为 或 或 或 .15.(2017新课标Ⅲ)在直角坐标系 中,直线 的参数方程为 ( 为参数),直线 的参数 方程为 ( 为参数).设 与 的交点为 ,当 变化时, 的轨迹为曲线 . (1)写出 的普通方程; (2)以坐标原点为极点, 轴正半轴为极轴建立极坐标系,设 : , 为 与 的交点,求 的极径. 【解析】(1)消去参数 得 的普通方程 ; 消去参数 得 的普通方程 . 设 ,由题设得 ,消去 得 . 所以 的普通方程为 (2) 的极坐标方程为 联立 得 . 故 ,从而 代入 得 ,所以交点 的极径为 . x45cost  y 55sint t x 16.(2013新课标Ⅰ)已知曲线 的参数方程为 ( 为参数),以坐标原点为极点, 轴的 2sin 正半轴为极轴建立极坐标系,曲线 的极坐标方程为 。 (Ⅰ)把 的参数方程化为极坐标方程; (Ⅱ)求 与 交点的极坐标( , ). x45cost  y 55sint t (x4)2 (y5)2 25 【解析】将 消去参数 ,化为普通方程 ,xcos  C x2  y2 8x10y160 y sin x2  y2 8x10y160 即 1: ,将 代入 得, 2 8cos10sin160 , C 2 8cos10sin160 ∴ 1的极坐标方程为 ; C x2  y2 2y 0 (Ⅱ) 2的普通方程为 , x2  y2 8x10y160 x1 x0    x2  y2 2y 0 y 1 y 2 由 解得 或 ,   2, (2, ) C C 4 2 ∴ 1与 2的交点的极坐标分别为( ), . 17.【2021年甲卷】 在直角坐标系 中,以坐标原点为极点,x轴正半轴为极轴建立极坐标系,曲线C 的极坐标方程为 . (1)将C的极坐标方程化为直角坐标方程; (2)设点A的直角坐标为 ,M为C上的动点,点P满足 ,写出Р的轨迹 的参数方 程,并判断C与 是否有公共点. 【解析】(1)由曲线C的极坐标方程 可得 , 将 代入可得 ,即 , 即曲线C的直角坐标方程为 ; (2)设 ,设 , , 则 ,即 , 故P的轨迹 的参数方程为 ( 为参数) 曲线C的圆心为 ,半径为 ,曲线 的圆心为 ,半径为2, 则圆心距为 , , 两圆内含, 故曲线C与 没有公共点.18.(2020·新课标Ⅱ)已知曲线C ,C 的参数方程分别为C : (θ为参数),C : 1 2 1 2 (t为参数). (1)将C ,C 的参数方程化为普通方程; 1 2 (2)以坐标原点为极点,x轴正半轴为极轴建立极坐标系.设C ,C 的交点为P,求圆心在极轴上,且经过 1 2 极点和P的圆的极坐标方程. 【解析】(1)由 得 的普通方程为: ; 由 得: ,两式作差可得 的普通方程为: . (2)由 得: ,即 ; 设所求圆圆心的直角坐标为 ,其中 , 则 ,解得: , 所求圆的半径 , 所求圆的直角坐标方程为: ,即 , 所求圆的极坐标方程为 . 19.(2019全国II理22)在极坐标系中,O为极点,点 在曲线 上,直线 l过点 且与 垂直,垂足为P. (1)当 时,求 及l的极坐标方程; (2)当M在C上运动且P在线段OM上时,求P点轨迹的极坐标方程. 【解析】(1)因为 在C上,当 时, . 由已知得 .设 为l上除P的任意一点.在 中 , 经检验,点 在曲线 上. 所以,l的极坐标方程为 . (2)设 ,在 中, 即 . 因为P在线段OM上,且 ,故 的取值范围是 . 所以,P点轨迹的极坐标方程为 . 20.(2018全国卷Ⅲ)在平面直角坐标系 中, 的参数方程为 ,( 为参数),过点 且倾斜角为 的直线 与 交于 , 两点. (1)求 的取值范围; (2)求 中点 的轨迹的参数方程. 【解析】(1) 的直角坐标方程为 . 当 时, 与 交于两点. 当 时,记 ,则 的方程为 . 与 交于两点当且仅当 ,解得 或 ,即 或 . 综上, 的取值范围是 . (2) 的参数方程为 为参数, . 设 , , 对应的参数分别为 , , ,则 , 且 , 满足 . 于是 , .又点 的坐标 满足所以点 的轨迹的参数方程是 为参数, .