当前位置:首页>文档>微专题利用导数研究双变量问题学案——2023届高考数学一轮《考点·题型·技巧》精讲与精练_2.2025数学总复习_赠品通用版(老高考)复习资料_一轮复习

微专题利用导数研究双变量问题学案——2023届高考数学一轮《考点·题型·技巧》精讲与精练_2.2025数学总复习_赠品通用版(老高考)复习资料_一轮复习

  • 2026-04-02 04:03:02 2026-03-20 01:52:55

文档预览

微专题利用导数研究双变量问题学案——2023届高考数学一轮《考点·题型·技巧》精讲与精练_2.2025数学总复习_赠品通用版(老高考)复习资料_一轮复习
微专题利用导数研究双变量问题学案——2023届高考数学一轮《考点·题型·技巧》精讲与精练_2.2025数学总复习_赠品通用版(老高考)复习资料_一轮复习
微专题利用导数研究双变量问题学案——2023届高考数学一轮《考点·题型·技巧》精讲与精练_2.2025数学总复习_赠品通用版(老高考)复习资料_一轮复习
微专题利用导数研究双变量问题学案——2023届高考数学一轮《考点·题型·技巧》精讲与精练_2.2025数学总复习_赠品通用版(老高考)复习资料_一轮复习
微专题利用导数研究双变量问题学案——2023届高考数学一轮《考点·题型·技巧》精讲与精练_2.2025数学总复习_赠品通用版(老高考)复习资料_一轮复习
微专题利用导数研究双变量问题学案——2023届高考数学一轮《考点·题型·技巧》精讲与精练_2.2025数学总复习_赠品通用版(老高考)复习资料_一轮复习
微专题利用导数研究双变量问题学案——2023届高考数学一轮《考点·题型·技巧》精讲与精练_2.2025数学总复习_赠品通用版(老高考)复习资料_一轮复习
微专题利用导数研究双变量问题学案——2023届高考数学一轮《考点·题型·技巧》精讲与精练_2.2025数学总复习_赠品通用版(老高考)复习资料_一轮复习
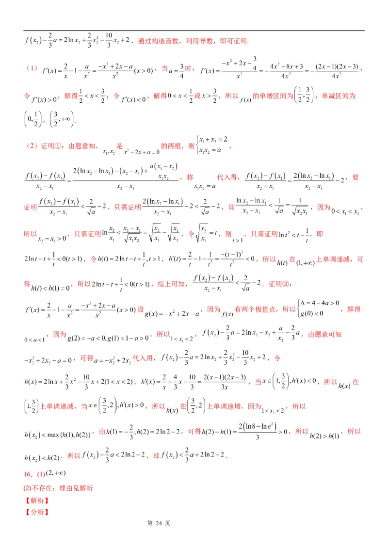
微专题利用导数研究双变量问题学案——2023届高考数学一轮《考点·题型·技巧》精讲与精练_2.2025数学总复习_赠品通用版(老高考)复习资料_一轮复习
微专题利用导数研究双变量问题学案——2023届高考数学一轮《考点·题型·技巧》精讲与精练_2.2025数学总复习_赠品通用版(老高考)复习资料_一轮复习
微专题利用导数研究双变量问题学案——2023届高考数学一轮《考点·题型·技巧》精讲与精练_2.2025数学总复习_赠品通用版(老高考)复习资料_一轮复习
微专题利用导数研究双变量问题学案——2023届高考数学一轮《考点·题型·技巧》精讲与精练_2.2025数学总复习_赠品通用版(老高考)复习资料_一轮复习
微专题利用导数研究双变量问题学案——2023届高考数学一轮《考点·题型·技巧》精讲与精练_2.2025数学总复习_赠品通用版(老高考)复习资料_一轮复习
微专题利用导数研究双变量问题学案——2023届高考数学一轮《考点·题型·技巧》精讲与精练_2.2025数学总复习_赠品通用版(老高考)复习资料_一轮复习
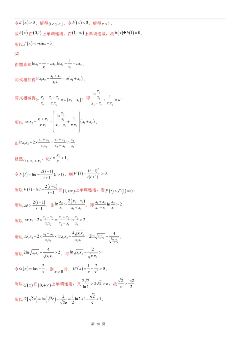
微专题利用导数研究双变量问题学案——2023届高考数学一轮《考点·题型·技巧》精讲与精练_2.2025数学总复习_赠品通用版(老高考)复习资料_一轮复习
微专题利用导数研究双变量问题学案——2023届高考数学一轮《考点·题型·技巧》精讲与精练_2.2025数学总复习_赠品通用版(老高考)复习资料_一轮复习
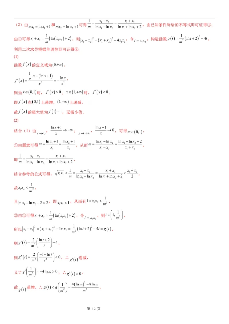
微专题利用导数研究双变量问题学案——2023届高考数学一轮《考点·题型·技巧》精讲与精练_2.2025数学总复习_赠品通用版(老高考)复习资料_一轮复习
微专题利用导数研究双变量问题学案——2023届高考数学一轮《考点·题型·技巧》精讲与精练_2.2025数学总复习_赠品通用版(老高考)复习资料_一轮复习
微专题利用导数研究双变量问题学案——2023届高考数学一轮《考点·题型·技巧》精讲与精练_2.2025数学总复习_赠品通用版(老高考)复习资料_一轮复习
微专题利用导数研究双变量问题学案——2023届高考数学一轮《考点·题型·技巧》精讲与精练_2.2025数学总复习_赠品通用版(老高考)复习资料_一轮复习
微专题利用导数研究双变量问题学案——2023届高考数学一轮《考点·题型·技巧》精讲与精练_2.2025数学总复习_赠品通用版(老高考)复习资料_一轮复习
微专题利用导数研究双变量问题学案——2023届高考数学一轮《考点·题型·技巧》精讲与精练_2.2025数学总复习_赠品通用版(老高考)复习资料_一轮复习
微专题利用导数研究双变量问题学案——2023届高考数学一轮《考点·题型·技巧》精讲与精练_2.2025数学总复习_赠品通用版(老高考)复习资料_一轮复习
微专题利用导数研究双变量问题学案——2023届高考数学一轮《考点·题型·技巧》精讲与精练_2.2025数学总复习_赠品通用版(老高考)复习资料_一轮复习
微专题利用导数研究双变量问题学案——2023届高考数学一轮《考点·题型·技巧》精讲与精练_2.2025数学总复习_赠品通用版(老高考)复习资料_一轮复习
微专题利用导数研究双变量问题学案——2023届高考数学一轮《考点·题型·技巧》精讲与精练_2.2025数学总复习_赠品通用版(老高考)复习资料_一轮复习
微专题利用导数研究双变量问题学案——2023届高考数学一轮《考点·题型·技巧》精讲与精练_2.2025数学总复习_赠品通用版(老高考)复习资料_一轮复习
微专题利用导数研究双变量问题学案——2023届高考数学一轮《考点·题型·技巧》精讲与精练_2.2025数学总复习_赠品通用版(老高考)复习资料_一轮复习
微专题利用导数研究双变量问题学案——2023届高考数学一轮《考点·题型·技巧》精讲与精练_2.2025数学总复习_赠品通用版(老高考)复习资料_一轮复习
微专题利用导数研究双变量问题学案——2023届高考数学一轮《考点·题型·技巧》精讲与精练_2.2025数学总复习_赠品通用版(老高考)复习资料_一轮复习
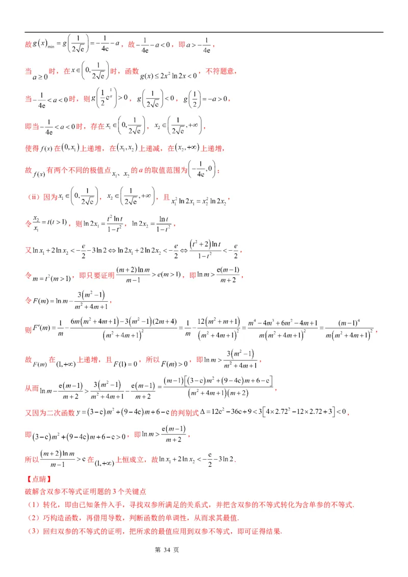
微专题利用导数研究双变量问题学案——2023届高考数学一轮《考点·题型·技巧》精讲与精练_2.2025数学总复习_赠品通用版(老高考)复习资料_一轮复习
微专题利用导数研究双变量问题学案——2023届高考数学一轮《考点·题型·技巧》精讲与精练_2.2025数学总复习_赠品通用版(老高考)复习资料_一轮复习
微专题利用导数研究双变量问题学案——2023届高考数学一轮《考点·题型·技巧》精讲与精练_2.2025数学总复习_赠品通用版(老高考)复习资料_一轮复习
微专题利用导数研究双变量问题学案——2023届高考数学一轮《考点·题型·技巧》精讲与精练_2.2025数学总复习_赠品通用版(老高考)复习资料_一轮复习
微专题利用导数研究双变量问题学案——2023届高考数学一轮《考点·题型·技巧》精讲与精练_2.2025数学总复习_赠品通用版(老高考)复习资料_一轮复习
微专题利用导数研究双变量问题学案——2023届高考数学一轮《考点·题型·技巧》精讲与精练_2.2025数学总复习_赠品通用版(老高考)复习资料_一轮复习
微专题利用导数研究双变量问题学案——2023届高考数学一轮《考点·题型·技巧》精讲与精练_2.2025数学总复习_赠品通用版(老高考)复习资料_一轮复习
微专题利用导数研究双变量问题学案——2023届高考数学一轮《考点·题型·技巧》精讲与精练_2.2025数学总复习_赠品通用版(老高考)复习资料_一轮复习
微专题利用导数研究双变量问题学案——2023届高考数学一轮《考点·题型·技巧》精讲与精练_2.2025数学总复习_赠品通用版(老高考)复习资料_一轮复习
微专题利用导数研究双变量问题学案——2023届高考数学一轮《考点·题型·技巧》精讲与精练_2.2025数学总复习_赠品通用版(老高考)复习资料_一轮复习
微专题利用导数研究双变量问题学案——2023届高考数学一轮《考点·题型·技巧》精讲与精练_2.2025数学总复习_赠品通用版(老高考)复习资料_一轮复习
微专题利用导数研究双变量问题学案——2023届高考数学一轮《考点·题型·技巧》精讲与精练_2.2025数学总复习_赠品通用版(老高考)复习资料_一轮复习
微专题利用导数研究双变量问题学案——2023届高考数学一轮《考点·题型·技巧》精讲与精练_2.2025数学总复习_赠品通用版(老高考)复习资料_一轮复习
微专题利用导数研究双变量问题学案——2023届高考数学一轮《考点·题型·技巧》精讲与精练_2.2025数学总复习_赠品通用版(老高考)复习资料_一轮复习

文档信息

文档格式
docx
文档大小
2.565 MB
文档页数
44 页
上传时间
2026-03-20 01:52:55

文档内容

微专题:利用导数研究双变量问题 【考点梳理】 破解双参数不等式的方法: 一是转化,即由已知条件入手,寻找双参数满足的关系式,并把含双参数的不等式转化为含单参数的不等式; 二是巧构函数,再借用导数,判断函数的单调性,从而求其最值; 三是回归双参的不等式的证明,把所求的最值应用到双参不等式,即可证得结果. 【典例分析】 典例1.已知函数 . (1)若 时, ,求 的取值范围; (2)当 时,方程 有两个不相等的实数根 ,证明: . 典例2.已知函数 . (1)讨论 的单调性; (2)证明:若 , ,则 . 典例3.已知函数 (k为常数),函数 . (1)讨论函数 的单调性; (2)当 , 时, 有且只有两个不相等的实数根 , 且 ; 有且只有两个不相等 的实数 , ,且 .证明: . 第 1 页 学学科科网网((北北京京))股股份份有有限限公公司司【双基达标】 4.已知函数 . (1)求函数 的单调区间; (2)设 ,若 , ,且 ,使得 ,求 的最大值. 5.已知函数 . (1)求 的单调区间与极值. (2)设 , 为两个不相等的正数,且 ,证明: . 6.已知对于不相等的正实数a,b,有 成立,我们称其为对数平均不等式.现有函数 . (1)求函数 的极值; (2)若方程 有两个不相等的实数根 , . ①证明: ; ②证明: . 7.已知函数 . (1)试讨论 的极值; (2)设 ,若 , ,使得 ,求实数 的取值范围. 8.已知函数 . (1)讨论 的单调性; 第 2 页 学学科科网网((北北京京))股股份份有有限限公公司司(2)若函数 的图像与x轴交于A,B两点,线段 中点的横坐标为 ,证明: . 9.已知函数 . (1)求函数 的单调区间; (2)若 ,且 ,证明: . 10.已知函数 . (1)当 时,求曲线 在点 处的切线方程; (2)若对 , ,不等式 恒成立,求实数m的取值范围. 【高分突破】 11.已知函数 , . (1)讨论 的单调性; (2)任取两个正数 ,当 时,求证: . 12.已知函数 . (1)若 在 上单调递减,求实数a的取值范围. (2)若 是方程 的两个不相等的实数根,证明: . 13.已知函数 , . (1)若 存在单调递增区间,求 的取值范围; (2)若 , 与为 的两个不同极值点,证明: . 14.已知函数 ,其中a,b为常数, 为自然对数底数, . (1)当 时,若函数 ,求实数b的取值范围; 第 3 页 学学科科网网((北北京京))股股份份有有限限公公司司(2)当 时,若函数 有两个极值点 , ,现有如下三个命题: ① ;② ;③ ; 请从①②③中任选一个进行证明. (注:如果选择多个条件分别解答,按第一个解答计分) 15.已知函数 . (1)当 时,求 的单调区间; (2)若 有两个极值点 ,且 ,从下面两个结论中选一个证明. ① ; ② . 16.已知函数 ( ),且 有两个极值点 . (1)求实数 的取值范围; (2)是否存在实数 ,使 成立,若存在求出 的值,若不存在,请说明理由. 17.已知函数 . (1)当 时,求曲线 在点 处的切线方程; (2)讨论 的单调性; (3)当 时,证明: . 18.已知函数 . (1)当 时,证明: ; (2)若 的两个零点分别为 ,证明: . 19.已知函数 . 第 4 页 学学科科网网((北北京京))股股份份有有限限公公司司(1)若存在 ,使 ≤ 成立,求a的取值范围; (2)若 ,存在 , ,且当 时, ,求证: . 20.已知函数 ,且 是函数 的导函数, (1)求函数 的极值; (2)当 时,若方程 有两个不等实根 . (ⅰ)证明: ; (ⅱ)证明: . 21.已知函数f(x)=x-alnx (1)求函数f(x)的极值点; (2)若方程 有2个不等的实根 ,证明: . 22.已知 ,函数 . (1)当 时,求 的单调区间和极值; (2)若 有两个不同的极值点 , . (i)求实数 的取值范围; (ii)证明: ( ……为自然对数的底数). 23.已知 . (1)若 恒有两个极值点 , ( ),求实数a的取值范围; (2)在(1)的条件下,证明 . 24.已知函数 ,实数 , 为方程 的两个不等的根. (1)求实数 的取值范围; (2)证明: . 第 5 页 学学科科网网((北北京京))股股份份有有限限公公司司25.已知函数 . (1)证明: ; (2)若 有两个不相等的实数根 ,求证: . 26.已知函数 ,其中 , 为 的导函数. (1)当 ,求 在点 处的切线方程; (2)设函数 ,且 恒成立. ①求 的取值范围; ②设函数 的零点为 , 的极小值点为 ,求证: . 27.已知函数 ,其中 ,且 . (1)讨论 的单调性; (2)若直线 恒在函数 图像的上方,求实数 的取值范围; (3)若存在 , ,使得 ,求证: . 28.已知函数 . (1)证明:曲线 在点 处的切线 恒过定点; (2)若 有两个零点 , ,且 ,证明: . 第 6 页 学学科科网网((北北京京))股股份份有有限限公公司司参考答案 1.(1) (2)证明见解析 【解析】 【分析】 (1)利用导数,判定单调性,求解最值可得范围; (2)把双变量问题转化为单变量,结合导数求解单调性和最值,可以证明结论. (1)∵ , ,∴ ,设 , ,当 时,令 得 ,当 时, , 单调递减;当 时, , 单调递增,∴ ,与已知矛盾.当 时, ,∴ 在 上单调递增,∴ ,满足条件; 综上, 取值范围是 . (2)证明:当 时, ,当 , ,当 , ,则 在区间 上单调递增, 在区间 上单调递减,不妨设 ,则 ,要证 ,只需证 ,∵ 在区间 上 单调递增,∴只需证 ,∵ ,∴只需证 .设 ,则 ,∴ 在区间 上单调递增,∴ ,∴ ,即 成立,∴ . 【点睛】 方法点睛:恒成立问题的处理方法主要有: (1)分离参数法:转化为函数最值问题; (2)直接法:直接求解函数最值,必要时进行分类讨论. 双变量问题一般利用等量代换转化为单变量问题进行求解. 2.(1) 时, 在 上单调递增; 时, 在 上单调递减,在 上单调递增 (2)证明见解析 【解析】 【分析】 (1)先求定义域,再求导,分 与 求解函数的单调性; (2)由 得到 ,即证 ,构造函数 , , 求导后得到 在 上单调递增, ∵ ,∴ ,从而证明出 成立. (1) 第 7 页由题意知: . 当 时,当 时, , 在 上单调递增; 当 时,当 时, ,当 时, , 在 上单调递减,在 上单调递增 综上, 时, 在 上单调递增; 时, 在 上单调递减,在 上单调递增. (2) 证明:∵ ,即 , 又 ,∴要证 ,只需证 , 即证 ① 设 , ,则 , ∴ 在 上单调递增, ∵ ,∴ ,不等式①成立,即 成立. 【点睛】 对于双元问题,要转化为单元问题,构造函数,结合函数单调性和极值等进行求解. 3.(1)详见解析; (2)证明见解析. 【解析】 【分析】 (1)由题可得 ,分 , 讨论即得; (2)由题可知 ,进而可得 , ,问题转化为证明 ,构造函数 ,利用函数的导数可得函数的单调性,结合函数 的单调性即得. (1) 因为 , 当 时, ,函数在 单调递增; 当 时,令 ,解得 , 第 8 页当 时, ,当 时, , ∴函数 在 上单调递减,在 上单调递增, 综上,当 时,函数 在 单调递增; 当 时,函数 在 上单调递减,在 上单调递增. (2) 当 时, , , ∴ , 所以方程 与 的根互为倒数, 又因为方程 有且只有两个不相等的实数根 , ,且 , 方程 有且只有两个不相等的实数根 , ,且 , 所以 , ,可得 , , 所以 , 故要证 ,只需证明 , 要证 ,只需证 , 因为 ,所以 , 因为 在 上单调递增, 所以只需证 , 进而只需证 , 因为 , 只需证明 , 构造函数 , , 则 , 所以函数 在 上单调递增,又 , 所以当 时, , 则 ,即 , 所以 ,即 , 故 . 【点睛】 方法点睛:利用导数证明不等式问题,方法如下: 第 9 页(1)直接构造函数法:证明不等式 (或 )转化为证明 (或 ),进而构造辅助函数 ; (2)适当放缩构造法:一是根据已知条件适当放缩;二是利用常见放缩结论; (3)构造“形似”函数,稍作变形再构造,对原不等式同解变形,根据相似结构构造辅助函数. 4.(1)答案见解析 (2) 【解析】 【分析】 (1)求出导函数 ,然后对 分 、 、 三种情况讨论即可求解; (2)由题意,当 满足 时, 取得最大值,令 , 求出 的值即可得答案. (1) 解:因为 ,所以 , 当 时,令 ,可得 或 ,令 ,可得 , 所以 在 和 上单调递增,在 上单调递减; 当 时, ,所以 在R上单调递增; 当 时,令 ,可得 或 ,令 ,可得 , 所以 在 和 上单调递增,在 上单调递减; (2) 解:因为 ,所以由(1)知 在 和 上单调递增,在 上单调递减, 因为 , ,且 ,使得 , 所以当 满足 时, 取得最大值, 令 , 所以当 时, , 同理可得 , 所以当 时, , 所以此时 ,即 的最大值为 . 5.(1)单调递增区间为 ,单调递减区间为 ,极大优值 ,无极小值;(2)证明见解析. 【解析】 第 10 页【分析】 首先求函数的导数,利用导数和单调性,极值点的关系,即可求解; (2)首先由条件变形为 ,即 ,通过构造函数 , ,转化为极值点偏移问题,即可求解. 【详解】 (1)解: 的定义域为 , . 当 时, ;当 时, 所以 的单调递增区间为 ,单调递减区间为 . 故 在 处取得极大值,且极大值为 ,无极小值. (2)证明:易知 , , 即 , . 不妨设 , , . (1)可知 , , 当 时, , 当 时, , 设 , , 则 , 因为 , , 所以 , 在区间 上单调递增, , 所以 , 又因为 , ,所以 , 即 ,故 . 6.(1)极大值为 ,无极小值 (2)①证明见解析;②证明见解析 【解析】 【分析】 (1)利用导数求单调区间,由单调区间即可求出极值; 第 11 页(2)由 和 可得 ,由已知条件所给的不等式即可证得①; 由①可得 ,则 ,令 ,构造函数 , 利用二次求导根据单调性即可证得②. (1) 函数 的定义域为 , , 则当 时, ; 时, . 即 在 上递增, 上递减, 故 的极大值为 ,无极小值. (2) 结合(1)由 , ; , ,可得 , ①由题意可得 ,从而 , 即 , 结合参考的公式可得: , 故 , 且 ,即 ,从而有 . ②由①可得 ,令 ,则 , 所以 , 则 , 则 ,∴ 递减, 又∵ ,∴ , 故 递增,∴ , 第 12 页即 , 即 . 7.(1)答案见解析 (2) 【解析】 【分析】 (1)先讨论 的单调性,再确定极值(2) , ,使得 等价于 ,分别求出 与 ,即可求解 (1) 函数 的定义域为 , . 当 时, ,所以 在 上为增函数,此时函数不存在极值. 当 时,由 ,解得 ,故 在 上单调递增. 由 ,解得 ,故 在 上单调递减. 此时函数在 处取得极大值.无极小值. 综上所述,当 时,函数不存在极值. 当 时,函数在 处取得极大值,无极小值. (2) 由(1)知当 时, 在 上为增函数, 故 无最大值,此时不符合题意;当 时, . 易知 在 上单调递减,所以 . 因为 , ,使得 , 所以 ,即 解得 ,所以实数a的取值范围是 . 8.(1)见解析 (2)见解析 【解析】 【分析】 第 13 页(1)先写出函数定义域,然后求出 ,并按 , 讨论,最后判断 即可. (2)由(1)可得 ,设 , , ,计算 ,化简 , 计算 ,换元并构建函数 ,利用导数判断函数的单调性,最后可证 结果. (1) 的定义域为 , . ①若 ,则 ,所以 在 单调递增. ②若 ,则由 得 , 且当 时, ,当 时, . 所以 在 单调递增,在 单调递减. (2) 由(1)可知:当 时,函数 在 上单调递增, 故 图像与x轴至多有一个交点,不符合题意,从而 . 当 时, 在 单调递增,在 单调递减, 不妨设 , , ,则 . 由 , 两式相减得: , 即: , 又 第 14 页令 , , 则 ,从而函数 在 上单调递减, 故 ,从而 ,又 ,所以 . 9.(1)答案见解析; (2)证明见解析. 【解析】 【分析】 (1)求导并通过导数的正负讨论f(x)的单调性; (2)换元 ,将问题转化为 即可. (1) 函数 定义域为 , , ①当 时, 在 上恒成立,即函数 的单调递减区间为 ②当 时, ,解得 ,当 时, , 函数 的单调递增区间为 , 当 时, 函数 的单调递减区间为 , 综上可知: ①当 时,函数 的单调递减区间为 ,无单调递增区间; ②当 时,函数 的单调递增区间为 ,单调递减区间为 (2) 依题意, 是函数 的两个零点, 设 ,因为 , , , 第 15 页不等式 , ,所证不等式即 设 ,令 , 则 , 在 上是增函数,且 , 所以 在 上是增函数,且 , 即 ,从而所证不等式成立. 【点睛】 本题关键是换元 ,结合已知条件可将双变量转换为单变量问题求解. 10.(1) (2) 【解析】 【分析】 (1)根据导数的几何意义以及直线的点斜式方程即可求解;(2)不等式 恒成立等价于 恒成立,即 ,构造函数 , 求出其最大值即可得到 的取值范围. (1) 当 时, , , 则 , , 所以曲线 在点 处的切线方程为 . (2) ,令 得 或 , ∵ ,所以 , 当 时, ,所以函数 在 上单调递减, 则 , , ∵对 ,不等式 恒成立, ∴ , 即 对 恒成立, 令 ,则函数 在 上单调递增, 第 16 页所以只需 .所以 . 【点睛】 关键点:(1)关键是应用导数的几何意义以及直线的点斜式方程求解切线方程;(2)关键是通过函数 的最 大、最小值去掉不等式 中的绝对值符号,转化为 ,即 ,构造函数 ,求出其 最大值即可得到 的取值范围. 11.(1)答案见解析; (2)证明见解析. 【解析】 【分析】 (1)根据函数解析式求出定义域以及导数,对参数 进行讨论,根据导函数的正负取值情况得出函数的单调性; (2)求出 ,运用分析法将需要证明成立的不等式转化,再利用换元法写出表达式,利用导数研究函数的单 调性,进而证明原不等式成立. (1) . 当 时, ,令 ,得 ;令 ,得 . 所以 在 上单调递增,在 上单调递减. 当 ,即 时,令 ,得 或 ;令 ,得 . 所以 在 , 上单调递增,在 上单调递减. 当 ,即 时, 恒成立,所以 在 上单调递增. 当 ,即 时,令 ,得 或 ;令 ,得 . 所以 在 , 上单调递增,在 上单调递减. 综上所述, 当 时, 在 上单调递增,在 上单调递减; 当 时, 在 , 上单调递增,在 上单调递减; 当 时, 在 上单调递增; 当 时, 在 , 上单调递增,在 上单调递减; (2) 证明:由题意得, . 第 17 页要证 , 只需证 , 即证 , 即证 . 令 , 所以只需证 在 上恒成立, 即证 在 上恒成立. 令 ,则 , 令 ,则 . 所以 在 上单调递减,即 在 上单调递减, 所以 ,所以 在 上单调递增, 所以 . 所以 . 12.(1) ; (2)详见解析 【解析】 【分析】 (1)首先求函数的导数,结合函数的导数与函数单调性的关系,参变分离后,转化为求函数的最值,即可求得实 数 的取值范围; (2)将方程 的实数根代入方程,再变形得到 ,利用分析法,转化为证明 ,通过换元,构造函数,转化为利用导数证明 , 恒成立. (1) , 第 18 页, 在 上单调递减, 在 上恒成立,即 , 即 在 , 设 , , , 当 时, ,函数单调递增,当 时, ,函数单调递减, 所以函数 的最大值是 ,所以 ; (2) 若 是方程 的两个不相等的实数根, 即 又2个不同实数根 ,且 , , 得 ,即 , 所以 , 不妨设 ,则 , 要证明 , 只需证明 , 即证明 ,即证明 , 令 , , 令函数 , 所以 , 所以函数 在 上单调递减, 当 时, ,所以 , , 第 19 页所以 ,即 ,即得 【点睛】 本题考查利用导数的单调性求参数的取值范围,以及证明不等式,属于难题,导数中的双变量问题,往往采用分 析法,转化为函数与不等式的关系,通过构造函数,结合函数的导数,即可证明. 13.(1) ;(2)证明见解析. 【解析】 【分析】 (1)由题意知 有解,分离 可得 有解,令 ,可得 ,利用导数求 的最大值即可求解; (2)由题意知 , 是 的两根,将 , 代入 整理可得 ,所证明不等 式为 ,令 , 问题转化为证明 成立,利用导 数证明单调性求最值即可求证. 【详解】 (1)函数定义域为 ,根据题意知 有解, 即 有解,令 , , 且当 时, , 单调递增, 当 时, , 单调递减, 所以 ,所以 ; (2)由 , 是 的不同极值点,知 , 是 的两根, 即 ,所以 ①, 联立可得: ②, 要证 ,由①代入即证 ,即 , 由②代入可得 ③, 第 20 页因为 ,则③等价于 , 令 , 问题转化为证明 ④成立, 而 , 在 上单调递增,当 , ④成立,即得证. 【点睛】 方法点睛:破解双参数不等式的方法: 一是转化,即由已知条件入手,寻找双参数满足的关系式,并把含双参数的不等式转化为含单参数的不等式; 二是巧构函数,再借用导数,判断函数的单调性,从而求其最值; 三是回归双参的不等式的证明,把所求的最值应用到双参不等式,即可证得结果. 14.(1) (2)证明见解析 【解析】 【分析】 (1)分 , 讨论,当 时,求 的最小值,根据 可得; (2)将问题转化为 有两个零点,先利用导数研究两个零点的范围,然后由 , ,作商取对数得 .若选①,令 ,构造函数 ,若选②,构造函数 ,根据极值点偏移问题的方法可证;若选③,构造函数 ,由单调性可证. (1) 当 时, , 当 时,因为 ,所以此时不合题意; 当 时,当 时, , 单调递减, 当 时, , 单调递增, 所以 , 要 ,只需 , 令 ,则 , 当 时, , 单调递增; 第 21 页当 时, , 单调递减, 所以 ,则由 得 , 所以 ,故实数b的取值范围为 . (2) 当 时, , , 令 ,则 , 因为函数 有两个极值点 , ,所以 有两个零点, 若 ,则 , 单调递增,不可能有两个零点,所以 , 令 得 , 当 时, , 单调递减; 当 时, , 单调递增; 所以 , 因为 有两个零点,所以 ,则 , 设 ,因为 , ,则 , 因为 ,所以 , , 则 ,取对数得 , 令 , ,则 ,即 ①令 ,则 ,因为 ,所以 在 上单调递减,在 上单调递增, 令 , 则 , 在 上单调递减, 因为 ,所以 ,即 , 亦即 , 因为 , , 在 上单调递增,所以 , 则 ,整理得 , 所以 ,故①成立 ②令 ,则 , 因为 ,所以 在 上单调递减,在 上单调递增, 第 22 页令 ,则 , 在 上单调递增, 又 ,所以当 时, ,即 , 因为 , , 在 上单调递增,所以 , 所以 ,即 , 所以 , 即 ,故②成立. ③令 , ,则 , 令 ,则 , ∴ 在 上单调递增,则 , ∴ ,则 , 两边约去 后化简整理得 ,即 , 故③成立. 【点睛】 双变量的不等式证明问题,主要通过换元构造函数,利用单调性证明即可.本题属极值点偏移问题,关键在于构造 适当的对称函数. 15.(1) 的单增区间为 ;单减区间为 , (2)证明见解析 【解析】 【分析】 (1)首先求函数的导数,根据导数与函数单调性的关系,即可求解; (2)若选①,不等式转化为证明 ,变形为证明 ,通过构造函 数 ,即可证明; 若选②,首先根据函数有两个极值点,证得 , ,再变换为 第 23 页,通过构造函数,利用导数,即可证明. (1) ,当 时, , 令 ,解得 ;令 ,解得 或 ,所以 的单增区间为 ;单减区间为 , . (2)证明①:由题意知, 是 的两根,则 , ,将 代入得, ,要 证明 ,只需证明 ,即 ,因为 , 所以 ,只需证明 ,令 ,则 ,只需证明 ,即 ,令 , ,所以 在 上单调递减,可 得 ,所以 ,综上可知, .证明②: 设 ,因为 有两个极值点,所以 ,解得 ,因为 ,所以 , ,由题意可知 ,可得 代入得, ,令 , ,当 ,所以 在 上单调递减,当 ,所以 在 上单调速增,因为 ,所以 ,由 ,可得 ,所以 ,所以 ,所以 ,即 . 16.(1) (2)不存在;理由见解析 【解析】 【分析】 第 24 页(1)求导之后,根据导函数在 上有两个变号零点,列式即可求解(2),假设存在,由(1)知 , 则 ,不妨设 ,代入 ,消元得 ,构造函数 ( )可知上述方程无实解,故不存在实数a,使 成立 (1) 由题设,知函数 的定义域为 , 且 , 因为函数 有两个极值点 , 所以 在 上有两个不等的实数根, 即 在 上有两个不等的实数根 , 则有 , 解得 ,即所求实数 的取值范围是 . (2) 由题意,得 , 又由(1)知 , 所以 . 要使 成立,只需 . 由(1)知 ,则只需 , 即 .(※) 由于 ,所以 不妨设 , 则(※)式成立,等价于 成立. 设 ( ), 第 25 页则 , 所以函数 在区间 上单调递减,且 , 所以 所以 无实数解,即(※)式不成立, 所以不存在实数a,使 成立. 17.(1) ;(2) , 在 单调递减; , 在 单调递增,在 单调递减; (3)证明见解析. 【解析】 【分析】 (1)求得导函数,利用导数的几何意义得到切线的斜率,进而得出切线方程; (2)分类讨论,函数的定义域,在定义域内研究讨论导数的正负,进而得到单调性; (3)解法1:等价转化为 .先将不等式左边看成以a为自变量的函数,设 ,利用导数研究其单调性,进而得到 .由(1)可知,当 时, ,得 ,然后利用 放缩 证得; 解法2:(3)不等式 等价于 . 由(1)可知,当 时, ,得 ,先利用 ,得到 ,从而为证原不 等式,只需证 构造函数 ,利用导数研究其单调性,进而得证. 【详解】 (1) ,则 , 于是点 处切线方程为: ,即 . (2)若 ,则 定义域 , , 在 单调递减. 若 ,则 定义域为 , . 由 得 ,由 得 ,所以 在 单调递增,在 单调递减. 解法1:(3)不等式 等价于 . 设 , . 设 ,则 ,所以 . 第 26 页而 ,所以 , 在 单调递减,所以 . 由(1)可知,当 时, ,得 .所以 . 因此当 时, . 解法2:(3)不等式 等价于 . 由(1)可知,当 时, ,得 ,从而 . 设 , 在 单调递增. 因为 ,所以当 时, ,当 时, . 所以 .因此 . 所以当 时, . 【点睛】 利用 , 进行放缩是解决同时含有指数对数的不等式证明得常用方法,值得注意体会和掌握. 18.(1)证明见解析 (2)证明见解析 【解析】 【分析】 (1)先构造函数 得到 ,把 放缩为 , 构造函数求导确定单调性即可证明; (2)先由两个零点 得到 , ,消去参数 ,再构造函数 及 , 求导确定函数单调性即可证明. (1) 令 ,则 在 上恒成立, 所以 在 , 上单调递增,所以 ,即 在 上恒成立. 当 时,要证 ,即证 , 又 ,所以只需证 ,即 . 令 ,则 . 第 27 页令 ,解得 ,令 ,解得 , 故 在 上单调递增,在 上单调递减,故 . 所以 . (2) 由题意知 , 两式相加得 , 两式相减得 ,即 . 所以 , 即 . 显然 ,记 , 令 ,则 . 所以 在 上单调递增,则 , 所以 ,则 ,即 . 所以 , 所以 , 所以 ,即 . 令 ,则 时, , 所以 在 上单调递增,又 ,故 . 所以 , 第 28 页所以 ,则 ,即 【点睛】 本题的关键点在于利用 , 消去参数 , 得到 ,再通过构造函数 及 ,求导确定函数单调性进而证明结论. 19.(1) ; (2)证明见解析. 【解析】 【分析】 (1)参变分离不等式 ≤ ,构造函数 ,求h(x)的最小值即可得a的取值范围; (2)整理化简 可得 ,构造函数 并判断单调性,从而 可利用 将等式中 替换掉,问题即可转化为证明 ,令 即可进一步转化为证明 即可. (1) 由 ,得 , ,即 , 令 , ,则 , 设 , ,则 , 在 上单调递增, , 在 上, , 单调递增, , 取值范围是 ; (2) 第 29 页不妨设 , , (*), , 令 ,故 ,故函数 在 上单调递增. ,从而 , 由(*)得 , , 下面证明: , 令 ,则 .即证明: ,则只要证明 , 设 , 在 恒成立, 在 单调递减,故 , , . 【点睛】 本题第二问关键是构造函数 ,将 转化为 ,构造 ,将问题转化为 即可. 20.(1)极小值为 ,没有极大值. (2)(ⅰ)证明见解析,(ⅱ)证明见解析 【解析】 【分析】 (1)求出函数 的定义域和 ,利用导数研究函数的单调性,然后确定极值; (2)(ⅰ)将不等式等价变形,进行比值换元,构造函数 ,利用导数证明;(ⅱ)由 , 是方程 的两个不等实根,得到同构方程,两方程相减转化,利用(ⅰ)的结论和重要不等式进行推理证明. (1) 由题意可知函数 的定义域为 . 由 , 第 30 页所以 . 令 ,解得 . 当 时, ;当 时, , 所以 在 上单调递减,在 上单调递增, 所以当 时,函数 有极小值为 ,函数 没有极大值. (2) (ⅰ)由题意, , 因为 . 设 ,则 , , 构造函数 ,则 . 当 时, ,所以函数 在 上单调递减, 故 ,所以 . (ⅱ)因为当 时,方程 有两个不等实根 , 所以 即 两式相减得 , 所以 . 由(ⅰ)得 . 由重要不等式得 , 所以 , 即 ,所以 , 所以 , 第 31 页所以 ,即 . 因为 , 所以 ,所以 . 故由(Ⅰ)得 【点睛】 方法点睛:1、对于不等式的证明,需要构造函数,然后转化为的求函数的最值问题; 2、对于双变量问题,需要通过换元法,转化为单变量问题. 21.(1) 时无极值点;a>0时,极小值点是 ,无极大值点; (2)证明见解析. 【解析】 【分析】 (1)求f(x)导数 ,讨论f(x)的单调性即可求函数的极值点; (2)构造函数 ,证明g(x)在(0,a)上单调递减,得到 ,即 ,即可转化为 ,再根据f(x)单调性可得结论. (1) f(x)的定义域是 ,求导得 , 当 , ,函数f(x)没有极值点; 当 时,令 ,得 在(0,a)上, ,f(x)单调递减,在 上, ,f(x)单调递增, ∴函数f(x)有极小值点 ,无极大值点; (2) 由(1)知方程 有2个不等的实根 时,f(x)在定义域上不单调,一定有 ,在(0,a)上f(x)单调递减, 在 上f(x)单调递增,不妨设 , 令 , ∵ , ∴ , 由 得 ,∴ , ∴g(x)在(0,a)上单调递减,∴ , 即 , 第 32 页结合题设有 , ∵ ,而f(x)在 上单调递增, ∴ ,即 . 【点睛】 本题关键点点睛: ,联想到 ,而 ,则 , 故构造函数 ,证明其在(0,a)上单调递减得 ,即 . 22.(1)递减区间为 ,递增区间为 ,极小值为 ,无极大值 (2)(i) ;(ii)证明见解析 【解析】 【分析】 (1)求出 解析式,利用导数研究函数的单调性,即可求出函数的极值; (2)(i)由 ,构造函数 ( ),将问题转化函数 有个不同的零点 , 利用导数分类讨论函数当 、 、 时的单调性,结合极值点的定义即可得出结果; (ii)由(i),利用换元法可得 ,令 ,整理可得 , 利用放缩法和导数证明 在 上恒成立即可. (1) 当 时, ( ),则 , 故当 时, ,当 时, , 故 的递减区间为 ,递增区间为 , 极小值为 ,无极大值; (2) (i)因为 ( ), 令 ( ),问题可转化函数 有个不同的零点 , 又 ,令 , 故函数 在 上递减,在 上递增, 第 33 页故 ,故 ,即 , 当 时,在 时,函数 ,不符题意, 当 时,则 , , , 即当 时,存在 , , 使得 在 上递增,在 上递减,在 上递增, 故 有两个不同的极值点 的a的取值范围为 ; (ii)因为 , ,且 , 令 ,则 , , 又 , 令 ,即只要证明 ,即 , 令 , 则 , 故 在 上递增,且 ,所以 ,即 , 从而 , 又因为二次函数 的判别式 , 即 ,即 , 所以 在 上恒成立,故 . 【点睛】 破解含双参不等式证明题的3个关键点 (1)转化,即由已知条件入手,寻找双参所满足的关系式,并把含双参的不等式转化为含单参的不等式. (2)巧构造函数,再借用导数,判断函数的单调性,从而求其最值. (3)回归双参的不等式的证明,把所求的最值应用到双参不等式,即可证得结果. 第 34 页23.(1) (2)证明见解析 【解析】 【分析】 (1)根据极值点的定义可知方程 有两个不等实根,即函数 与 图像有两个交点,利 用导数研究函数 的单调性求出 的值域,结合图形即可得出结果; (2)构造函数 ,根据导数研究它的单调性进而得 ,有 , 构造函数 ( ), 利用导数证明 ,结合 即可证明. (1) 函数 的定义域为 , , 则方程 有两个不同的正根, 即函数 与 图像有两个交点, ,令 ,令 , 所以函数 在 上单调递增,在 上单调递减, 所以 ,且当 时, , 当 时, ,如图, 由图可知 ; (2) 设 , 则 , 在 单调递增,故 , 即 . 而 ,故 , 又 , , 在 单调递减,故 ,即 ; 由 知 ; 由(1)知, , 为函数 的极值点, 第 35 页当 时 ,函数 单调递减, 当 时 ,函数 单调递增, 时 ,函数 单调递减, 所以 ,故 , 令 ( ). , ,令 ,故当 时, 单调递增,且 ,所以 ,故 单调递减, 由 ,得 , 即 ,即 . 【点睛】 破解含双参不等式证明题的3个关键点: (1)转化,即由已知条件入手,寻找双参所满足的关系式,并把含双参的不等式转化为含单参的不等式. (2)巧构造函数,再借用导数,判断函数的单调性,从而求其最值. (3)回归双参的不等式的证明,把所求的最值应用到双参不等式,即可证得结果. 24.(1) (2)证明见解析 【解析】 【分析】 (1)利用函数的单调性即可求解; (2)通过观察发现 在 处的切线方程为 ,在 处的切线方程为 ,利用导数即 可证明 和 ,再利用 在区间 和 上的切线与 的交点的横 坐标与 零点的关系即可证明. (1) 函数 的定义域为 , , 所以 在 上单调递增,在 上单调递减, 则 , 所以 (2) 在 处的切线的斜率为 ,其切线方程为 , 第 36 页首先证明: , , 在 上单调递增,在 上单调递减, 的最大值 ,所以 成立, 在 处的切线的斜率为 ,其切线方程为 , 再证明: , , 在 上单调递增,在 上单调递减, 的最大值 ,所以 成立, 不妨设 ,实数 , 为方程 的两个不等的实根, 设直线 与 在 处的切线的交点的横坐标为 , 则 可得 , 由 可得 , 设直线 与 在 处的切线的交点的横坐标为 , 则 可得 , 由 可得 , 所以 . (注:不等式 , 可以直接使用) 25.(1)见解析 (2)见解析 【解析】 【分析】 (1)令 ,利用导数证明不等式即可; 第 37 页(2)先由 的单调性得出 ,再由 等价于 ,构造函数 ,由导数得出 ,即可证明 . (1) 令 , 当 时, ;当 时, 即函数 在 上单调递减,在 上单调递增, 故 (2) ,当 时, ;当 时, 即函数 在 上单调递减,在 上单调递增 当 时, ,且 又 有两个不相等的实数根 ,不妨设 ,所以 ,即 等价于 ,即 令 , ,则函数 在 上单调递增 当 时, , 则存在 ,使得 ,即 ; 即 在 上单调递减,在 上单调递增 当 时, , ,即 成立,故 . 【点睛】 关键点睛:解决问题二时,对于双变量 ,关键是由单调性得出 等价于 ,从而将双变 量变为单变量问题. 26.(1) (2)① ;②详见解析 【解析】 第 38 页【分析】 (1)利用导数的几何意义即可求解. (2)①先对函数 求导,得到 ,推出 ,求导, 得到 ,解对应不等式,得到 单调性,求出其最小值,再根据 恒成立,即可得出 结果; ②先设 ,求导得 . 设 ,对其求导,判定单调性,从而得到函数 单调性,得到 是函数 的 极小值点,得到 ,再由①得 时, ,推出所以 ,得到 ,得到函数 在区间 上单调递增,再由题意,即可得出结论成立. (1) 时, , , , ,所以函数在 处的切线方程 ,即 . (2) ①由题设知, , , , 由 ,得 ,所以函数 在区间 上是增函数; 由 ,得 ,所以函数 在区间 上是减函数. 故 在 处取得最小值,且 . 由于 恒成立,所以 ,得 , 所以 的取值范围为 ; ②设 ,则 . 设 , 则 , 故函数 在区间 上单调递增,由(1)知, , 第 39 页所以 , , 故存在 ,使得 , 所以,当 时, , ,函数 单调递减; 当 时, , ,函数 单调递增. 所以 是函数 的极小值点.因此 ,即 . 由①可知,当 时, ,即 ,整理得 , 所以 . 因此 ,即 . 所以函数 在区间 上单调递增. 由于 ,即 , 即 , 所以 . 又函数 在区间 上单调递增,所以 . 27.(1)答案见解析;(2) ;(3)证明见解析. 【解析】 【分析】 (1)写出函数的定义域并求导,进而讨论参数a,最后求出函数的单调性; (2)将问题转化为不等式 恒成立问题,进而求出a的范围; (3)构造函数 ,进而求出函数的单调性,然后将 化到同一单调区间,最后得到答案. 【详解】 (1) 的定义域为 , . ①当 时, ,∴函数 在 上单调递增. ②当 时,在区间 上, ;在区间 上, , 第 40 页∴ 在 上单调递增,在 上单调递减. 综上,当 时,函数 在 上单调递增,当 时,函数 在 上单调递增,在 上 单调递减. (2)当 时,取 , 则 ,不符合题意. 当 时,令 , 则 . 问题转化为当 恒成立时,求实数 的取值范围. ∵ , ∴在区间 上, , 单调递减;在区间 上, , 单调递增. ∴ 的最小值为 ,∴只需 ,即 , ∴ ,∴ . 即实数 的取值范围为 . (3)由题意知, . 构造函数 ( ), 则 , ∴ , ∴函数 在区间 上单调递减. ∵ ,∴ ,∴ . 又 ,∴ . 由(1)知,当 时 在 上单调递减,∴ ,即 . 第 41 页【点睛】 本题第(3)问是双变量问题,采用了构造函数法,比较典型,自己可以总结归纳;另外,双变量问题大多数采取 转化为单变量问题,如本题的“ ,又 ,∴ ”,注意总结技 巧. 28.(1)恒过定点 ,证明见解析; (2)证明见解析. 【解析】 【分析】 (1)利用导数求出曲线在点 处的切线方程,进而可证得结论; (2)令 ,可得 ,构造 ,用导数可证得 在 上 单调递增,则 ,即 ,故 . 【详解】 (1)函数 的定义域为 ,由 ,得 ,则 ,又 ,则曲线 在点 处的切线 的方程为 ,即 ,显 然恒过定点 . (2)若 有两个零点 , ,则 , ,得 . 因为 ,令 ,则 , 得 ,则 , 所以 . 令 ,则 , 令 ,则 , 则 在 上单调递增,所以 . 所以 ,则 在 上单调递增, 所以 ,即 ,故 . 【点睛】 第 42 页关键点点睛:本题第(2)问的关键点是:构造 ,用导数证得 在 上单调递增, 进而得到 . 第 43 页第 44 页