当前位置:首页>文档>专题16立体几何线面位置关系及空间角的计算(讲)解析版_2.2025数学总复习_2023年新高考资料_二轮复习_备战2023年高考数学二轮复习考点精讲练(新教材·新高考)

专题16立体几何线面位置关系及空间角的计算(讲)解析版_2.2025数学总复习_2023年新高考资料_二轮复习_备战2023年高考数学二轮复习考点精讲练(新教材·新高考)

  • 2026-04-15 13:29:31 2026-03-16 08:48:34

文档预览

专题16立体几何线面位置关系及空间角的计算(讲)解析版_2.2025数学总复习_2023年新高考资料_二轮复习_备战2023年高考数学二轮复习考点精讲练(新教材·新高考)
专题16立体几何线面位置关系及空间角的计算(讲)解析版_2.2025数学总复习_2023年新高考资料_二轮复习_备战2023年高考数学二轮复习考点精讲练(新教材·新高考)
专题16立体几何线面位置关系及空间角的计算(讲)解析版_2.2025数学总复习_2023年新高考资料_二轮复习_备战2023年高考数学二轮复习考点精讲练(新教材·新高考)
专题16立体几何线面位置关系及空间角的计算(讲)解析版_2.2025数学总复习_2023年新高考资料_二轮复习_备战2023年高考数学二轮复习考点精讲练(新教材·新高考)
专题16立体几何线面位置关系及空间角的计算(讲)解析版_2.2025数学总复习_2023年新高考资料_二轮复习_备战2023年高考数学二轮复习考点精讲练(新教材·新高考)
专题16立体几何线面位置关系及空间角的计算(讲)解析版_2.2025数学总复习_2023年新高考资料_二轮复习_备战2023年高考数学二轮复习考点精讲练(新教材·新高考)
专题16立体几何线面位置关系及空间角的计算(讲)解析版_2.2025数学总复习_2023年新高考资料_二轮复习_备战2023年高考数学二轮复习考点精讲练(新教材·新高考)
专题16立体几何线面位置关系及空间角的计算(讲)解析版_2.2025数学总复习_2023年新高考资料_二轮复习_备战2023年高考数学二轮复习考点精讲练(新教材·新高考)
专题16立体几何线面位置关系及空间角的计算(讲)解析版_2.2025数学总复习_2023年新高考资料_二轮复习_备战2023年高考数学二轮复习考点精讲练(新教材·新高考)
专题16立体几何线面位置关系及空间角的计算(讲)解析版_2.2025数学总复习_2023年新高考资料_二轮复习_备战2023年高考数学二轮复习考点精讲练(新教材·新高考)
专题16立体几何线面位置关系及空间角的计算(讲)解析版_2.2025数学总复习_2023年新高考资料_二轮复习_备战2023年高考数学二轮复习考点精讲练(新教材·新高考)
专题16立体几何线面位置关系及空间角的计算(讲)解析版_2.2025数学总复习_2023年新高考资料_二轮复习_备战2023年高考数学二轮复习考点精讲练(新教材·新高考)
专题16立体几何线面位置关系及空间角的计算(讲)解析版_2.2025数学总复习_2023年新高考资料_二轮复习_备战2023年高考数学二轮复习考点精讲练(新教材·新高考)
专题16立体几何线面位置关系及空间角的计算(讲)解析版_2.2025数学总复习_2023年新高考资料_二轮复习_备战2023年高考数学二轮复习考点精讲练(新教材·新高考)
专题16立体几何线面位置关系及空间角的计算(讲)解析版_2.2025数学总复习_2023年新高考资料_二轮复习_备战2023年高考数学二轮复习考点精讲练(新教材·新高考)
专题16立体几何线面位置关系及空间角的计算(讲)解析版_2.2025数学总复习_2023年新高考资料_二轮复习_备战2023年高考数学二轮复习考点精讲练(新教材·新高考)
专题16立体几何线面位置关系及空间角的计算(讲)解析版_2.2025数学总复习_2023年新高考资料_二轮复习_备战2023年高考数学二轮复习考点精讲练(新教材·新高考)
专题16立体几何线面位置关系及空间角的计算(讲)解析版_2.2025数学总复习_2023年新高考资料_二轮复习_备战2023年高考数学二轮复习考点精讲练(新教材·新高考)
专题16立体几何线面位置关系及空间角的计算(讲)解析版_2.2025数学总复习_2023年新高考资料_二轮复习_备战2023年高考数学二轮复习考点精讲练(新教材·新高考)
专题16立体几何线面位置关系及空间角的计算(讲)解析版_2.2025数学总复习_2023年新高考资料_二轮复习_备战2023年高考数学二轮复习考点精讲练(新教材·新高考)
专题16立体几何线面位置关系及空间角的计算(讲)解析版_2.2025数学总复习_2023年新高考资料_二轮复习_备战2023年高考数学二轮复习考点精讲练(新教材·新高考)
专题16立体几何线面位置关系及空间角的计算(讲)解析版_2.2025数学总复习_2023年新高考资料_二轮复习_备战2023年高考数学二轮复习考点精讲练(新教材·新高考)
专题16立体几何线面位置关系及空间角的计算(讲)解析版_2.2025数学总复习_2023年新高考资料_二轮复习_备战2023年高考数学二轮复习考点精讲练(新教材·新高考)
专题16立体几何线面位置关系及空间角的计算(讲)解析版_2.2025数学总复习_2023年新高考资料_二轮复习_备战2023年高考数学二轮复习考点精讲练(新教材·新高考)
专题16立体几何线面位置关系及空间角的计算(讲)解析版_2.2025数学总复习_2023年新高考资料_二轮复习_备战2023年高考数学二轮复习考点精讲练(新教材·新高考)
专题16立体几何线面位置关系及空间角的计算(讲)解析版_2.2025数学总复习_2023年新高考资料_二轮复习_备战2023年高考数学二轮复习考点精讲练(新教材·新高考)
专题16立体几何线面位置关系及空间角的计算(讲)解析版_2.2025数学总复习_2023年新高考资料_二轮复习_备战2023年高考数学二轮复习考点精讲练(新教材·新高考)
专题16立体几何线面位置关系及空间角的计算(讲)解析版_2.2025数学总复习_2023年新高考资料_二轮复习_备战2023年高考数学二轮复习考点精讲练(新教材·新高考)
专题16立体几何线面位置关系及空间角的计算(讲)解析版_2.2025数学总复习_2023年新高考资料_二轮复习_备战2023年高考数学二轮复习考点精讲练(新教材·新高考)
专题16立体几何线面位置关系及空间角的计算(讲)解析版_2.2025数学总复习_2023年新高考资料_二轮复习_备战2023年高考数学二轮复习考点精讲练(新教材·新高考)
专题16立体几何线面位置关系及空间角的计算(讲)解析版_2.2025数学总复习_2023年新高考资料_二轮复习_备战2023年高考数学二轮复习考点精讲练(新教材·新高考)
专题16立体几何线面位置关系及空间角的计算(讲)解析版_2.2025数学总复习_2023年新高考资料_二轮复习_备战2023年高考数学二轮复习考点精讲练(新教材·新高考)
专题16立体几何线面位置关系及空间角的计算(讲)解析版_2.2025数学总复习_2023年新高考资料_二轮复习_备战2023年高考数学二轮复习考点精讲练(新教材·新高考)
专题16立体几何线面位置关系及空间角的计算(讲)解析版_2.2025数学总复习_2023年新高考资料_二轮复习_备战2023年高考数学二轮复习考点精讲练(新教材·新高考)
专题16立体几何线面位置关系及空间角的计算(讲)解析版_2.2025数学总复习_2023年新高考资料_二轮复习_备战2023年高考数学二轮复习考点精讲练(新教材·新高考)
专题16立体几何线面位置关系及空间角的计算(讲)解析版_2.2025数学总复习_2023年新高考资料_二轮复习_备战2023年高考数学二轮复习考点精讲练(新教材·新高考)
专题16立体几何线面位置关系及空间角的计算(讲)解析版_2.2025数学总复习_2023年新高考资料_二轮复习_备战2023年高考数学二轮复习考点精讲练(新教材·新高考)
专题16立体几何线面位置关系及空间角的计算(讲)解析版_2.2025数学总复习_2023年新高考资料_二轮复习_备战2023年高考数学二轮复习考点精讲练(新教材·新高考)
专题16立体几何线面位置关系及空间角的计算(讲)解析版_2.2025数学总复习_2023年新高考资料_二轮复习_备战2023年高考数学二轮复习考点精讲练(新教材·新高考)

文档信息

文档格式
docx
文档大小
2.869 MB
文档页数
39 页
上传时间
2026-03-16 08:48:34

文档内容

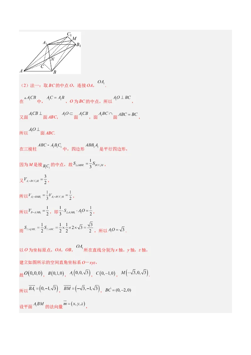
第一篇 热点、难点突破篇 专题16 立体几何线面位置关系及空间角的计算(讲) 真题体验 感悟高考 1.【多选题】(2021·全国·统考高考真题)在正三棱柱 中, ,点 满足 ,其中 , ,则( ) A.当 时, 的周长为定值 B.当 时,三棱锥 的体积为定值 C.当 时,有且仅有一个点 ,使得 D.当 时,有且仅有一个点 ,使得 平面 【答案】BD 【分析】对于A,由于等价向量关系,联系到一个三角形内,进而确定点的坐标; 对于B,将 点的运动轨迹考虑到一个三角形内,确定路线,进而考虑体积是否为定值; 对于C,考虑借助向量的平移将 点轨迹确定,进而考虑建立合适的直角坐标系来求解 点的个数; 对于D,考虑借助向量的平移将 点轨迹确定,进而考虑建立合适的直角坐标系来求解 点的个数. 【详解】 易知,点 在矩形 内部(含边界).对于A,当 时, ,即此时 线段 , 周长不是定值,故A错误; 对于B,当 时, ,故此时 点轨迹为线段 ,而 , 平面 ,则有 到平面 的距离为定值,所以其体积为定值,故B正确. 对于C,当 时, ,取 , 中点分别为 , ,则 ,所以 点轨迹 为线段 ,不妨建系解决,建立空间直角坐标系如图, , , ,则 , , ,所以 或 .故 均满足,故C错 误; 对于D,当 时, ,取 , 中点为 . ,所以 点轨迹为线段 .设 ,因为 ,所以 , ,所以 ,此时 与 重合,故D正确. 故选:BD. 【点睛】本题主要考查向量的等价替换,关键之处在于所求点的坐标放在三角形内. 2.(2022·全国·统考高考真题)如图, 是三棱锥 的高, , ,E是 的中点.(1)证明: 平面 ; (2)若 , , ,求二面角 的正弦值. 【答案】(1)证明见解析 (2) 【分析】(1)连接 并延长交 于点 ,连接 、 ,根据三角形全等得到 ,再根据直角三 角形的性质得到 ,即可得到 为 的中点从而得到 ,即可得证; (2)建立适当的空间直角坐标系,利用空间向量法求出二面角的余弦的绝对值,再根据同角三角函数的基本 关系计算可得. 【详解】(1)证明:连接 并延长交 于点 ,连接 、 , 因为 是三棱锥 的高,所以 平面 , 平面 , 所以 、 , 又 ,所以 ,即 ,所以 , 又 ,即 ,所以 , , 所以 所以 ,即 ,所以 为 的中点,又 为 的中点,所以 , 又 平面 , 平面 , 所以 平面(2)解:过点 作 ,如图建立空间直角坐标系, 因为 , ,所以 , 又 ,所以 ,则 , , 所以 ,所以 , , , , 所以 , 则 , , , 设平面 的法向量为 ,则 ,令 ,则 , ,所以 ; 设平面 的法向量为 ,则 , 令 ,则 , ,所以 ; 所以 .设二面角 的大小为 ,则 , 所以 ,即二面角 的正弦值为 . 3. (2020·海南·高考真题)如图,四棱锥P-ABCD的底面为正方形,PD 底面ABCD.设平面PAD与平面 PBC的交线为 . (1)证明: 平面PDC; (2)已知PD=AD=1,Q为 上的点,QB= ,求PB与平面QCD所成角的正弦值. 【答案】(1)证明见解析;(2) . 【分析】(1)利用线面平行的判定定理以及性质定理,证得 ,利用线面垂直的判定定理证得 平面 ,从而得到 平面 ; (2)根据题意,建立相应的空间直角坐标系,得到相应点的坐标,设出点 ,之后求得平面 的法向量以及向量 的坐标,求得 ,即可得到直线 与平面 所成角的正弦值. 【详解】(1)证明: 在正方形 中, , 因为 平面 , 平面 , 所以 平面 , 又因为 平面 ,平面 平面 , 所以 , 因为在四棱锥 中,底面 是正方形,所以 且 平面 ,所以 因为 所以 平面 ; (2)如图建立空间直角坐标系 , 因为 ,则有 , 设 ,则有 , 因为QB= ,所以有 设平面 的法向量为 , 则 ,即 , 令 ,则 ,所以平面 的一个法向量为 ,则根据直线的方向向量与平面法向量所成角的余弦值的绝对值即为直线与平面所成角的正弦值,所以直线与平面 所成角的正弦值等于 所以直线 与平面 所成角的正弦值为 . 【点睛】该题考查的是有关立体几何的问题,涉及到的知识点有线面平行的判定和性质,线面垂直的判定和性 质,利用空间向量求线面角,利用基本不等式求最值,属于中档题目. 总结规律 预测考向 (一)规律与预测 (1)以几何体的结构特征为基础,考查几何体的面积体积计算为主,题型基本稳定为选择题或填空题,难度 中等以下;也有几何体的面积或体积在解答题中与平行关系、垂直关系等相结合考查的情况. (2)与立体几何相关的“数学文化”、实际问题等相结合,考查数学应用. (3)几何体的表面积与体积是主要命题形式.有时作为解答题的一个构成部分考查几何体的表面积与体积,有 时结合面积、体积的计算考查等积变换等转化思想.几何体与球的切、接、截问题,往往是知识考查的载体. (4)以选择题、填空题的形式考查线线、线面、面面位置关系的判定与性质定理,对命题的真假进行判断, 属于基础题.空间中的平行、垂直关系的证明也是高考必考内容,除独立考查外,多出现在立体几何解答题中 的第(1)问,第(2)问则考查角的计算. 空间的角与距离的计算(特别是角的计算)是高考热点,一般以大 题的条件或一小问形式呈现,考查用向量方法解决立体几何问题,将空间几何元素之间的位置关系转化为数量 关系,并通过计算解决立体几何问题.距离问题往往在与有关面积、体积的计算中加以考查.此类问题往往属 于“证算并重”题,即第一问用几何法证明平行关系或垂直关系,第二问则通过建立空间直角坐标系,利用空 间向量方法进一步求角或距离. (二)本专题考向展示 考点突破 典例分析考向一 空间中的位置关系 【核心知识】 1.直线、平面平行的判定及其性质 (1)线面平行的判定定理:a α,b α,a∥b a∥α. (2)线面平行的性质定理:a∥α,a β,α∩β=b a∥b. ⊄ ⊂ ⇒ (3)面面平行的判定定理:a β,b β,a∩b=P,a∥α,b∥α α∥β. ⊂ ⇒ (4)面面平行的性质定理:α∥β,α∩γ=a,β∩γ=b a∥b. ⊂ ⊂ ⇒ 2.直线、平面垂直的判定及其性质 ⇒ (1)线面垂直的判定定理:m α,n α,m∩n=P,l⊥m,l⊥n l⊥α. (2)线面垂直的性质定理:a⊥α,b⊥α a∥b. ⊂ ⊂ ⇒ (3)面面垂直的判定定理:a β,a⊥α α⊥β. ⇒ (4)面面垂直的性质定理:α⊥β,α∩β=l,a α,a⊥l a⊥β. ⊂ ⇒ 3.空间向量与空间的位置关系 ⊂ ⇒ (1)直线的方向向量直线的方向向量:l是空间一直线,A,B是直线l上任意两点,则称 为直线l的方向 向量,与 平行的任意非零向量也是直线l的方向向量. (2)平面的法向量 直线l⊥平面α,取直线l的方向向量,则这个向量叫做平面α的法向量.显然一个平面的法 向量有无数个,并且它们是共线向量. 平面的法向量可利用方程组求出:设a,b是平面α内两不共线向量,n 为平面α的法向量,则求法向量的方程组为 . (3)用向量证明空间中的平行关系 ①设直线l和l的方向向量分别为v和v,则l∥l(或l与l重合) v∥v. 1 2 1 2 1 2 1 2 1 2 ②设直线l的方向向量为v,与平面α共面的两个不共线向量v 1 和v 2 ,⇔则l∥α或l α 存在两个实数x,y, 使v=xv+yv. ⊂ ⇔ 1 2 ③设直线l的方向向量为v,平面α的法向量为u,则l∥α或l α v⊥u. ④设平面α和β的法向量分别为u 1 ,u 2 ,则α∥β u 1 ∥u 2 . ⊂ ⇔ (4)用向量证明空间中的垂直关系 ⇔ ①设直线l和l的方向向量分别为v和v,则l⊥l v⊥v v·v=0. 1 2 1 2 1 2 1 2 1 2 ②设直线l的方向向量为v,平面α的法向量为u,则⇔l⊥α v⇔∥u. ③设平面α和β的法向量分别为u 1 和u 2 ,则α⊥β u 1 ⊥u 2⇔u 1 ·u 2 =0. ⇔ ⇔(5)共线与垂直的坐标表示 设a=(a,a,a),b=(b,b,b),则a∥b a=λb a=λb,a=λb,a=λb(λ∈R), 1 2 3 1 2 3 1 1 2 2 3 3 a⊥b a·b=0 a 1 b 1 +a 2 b 2 +a 3 b 3 =0(a,b均为⇔非零向量⇔). 【典⇔例分析】 ⇔ 典例1. (2022·全国·统考高考真题)在正方体 中,E,F分别为 的中点,则( ) A.平面 平面 B.平面 平面 C.平面 平面 D.平面 平面 【答案】A 【分析】证明 平面 ,即可判断A;如图,以点 为原点,建立空间直角坐标系,设 ,分别 求出平面 , , 的法向量,根据法向量的位置关系,即可判断BCD. 【详解】解:在正方体 中, 且 平面 , 又 平面 ,所以 , 因为 分别为 的中点, 所以 ,所以 , 又 , 所以 平面 , 又 平面 , 所以平面 平面 ,故A正确; 选项BCD解法一: 如图,以点 为原点,建立空间直角坐标系,设 ,则 , , 则 , , 设平面 的法向量为 , 则有 ,可取 , 同理可得平面 的法向量为 , 平面 的法向量为 , 平面 的法向量为 , 则 , 所以平面 与平面 不垂直,故B错误; 因为 与 不平行, 所以平面 与平面 不平行,故C错误; 因为 与 不平行, 所以平面 与平面 不平行,故D错误, 故选:A.选项BCD解法二: 解:对于选项B,如图所示,设 , ,则 为平面 与平面 的交线, 在 内,作 于点 ,在 内,作 ,交 于点 ,连结 , 则 或其补角为平面 与平面 所成二面角的平面角, 由勾股定理可知: , , 底面正方形 中, 为中点,则 , 由勾股定理可得 , 从而有: , 据此可得 ,即 ,据此可得平面 平面 不成立,选项B错误; 对于选项C,取 的中点 ,则 , 由于 与平面 相交,故平面 平面 不成立,选项C错误; 对于选项D,取 的中点 ,很明显四边形 为平行四边形,则 , 由于 与平面 相交,故平面 平面 不成立,选项D错误; 故选:A. 典例2.(2022·全国·统考高考真题)在长方体 中,已知 与平面 和平面 所成 的角均为 ,则( ) A. B.AB与平面 所成的角为 C. D. 与平面 所成的角为 【答案】D 【分析】根据线面角的定义以及长方体的结构特征即可求出. 【详解】如图所示:不妨设 ,依题以及长方体的结构特征可知, 与平面 所成角为 , 与 平面 所成角为 ,所以 ,即 , ,解得 . 对于A, , , ,A错误; 对于B,过 作 于 ,易知 平面 ,所以 与平面 所成角为 ,因为 ,所以 ,B错误; 对于C, , , ,C错误; 对于D, 与平面 所成角为 , ,而 ,所以 .D正确. 故选:D. 典例3.【多选题】(2023·湖南湘潭·统考二模)如图,在棱长为 的正方体 中, 是线段 的中点,点 , 满足 ,其中 ,则( )A.存在 ,使得平面 平面 B.存在 ,使得平面 平面 C.对任意 的最小值为 D.当 时,过 , , 三点的平面截正方体得到的截面多边形的面积为 【答案】ACD 【分析】证明 平面 可判断A;由平面 平面 ,可判断 和 的重合点,进而可判断选 项B;找出 最小时的位置,进而判断选项C;利用构造平形四边的方法,找到截面,进而求解判断选项D. 【详解】对于A,由正方体中, ,又 平面 , 平面 , ,可证 平面 , 可得 ,又 , 平面 , 平面 , ,可证 平面 , 可得 ,所以由 , 平面 , 平面 , ,可得 平面 , 所以当 时, 平面 ,即平面 平面 ,故A项正确; 对于B,平面 平面 ,又因为 平面 , 所以 与 重合, 与 重合, 此时 ,不符合题意,故B项错误; 对于C,当 时, , 此时 最小,最小值为 ,故C项正确; 对于D,当 时, 在 上取靠近 点的三等分点 , 连接 并延长交 于点 , 易得点 是 上靠近 点的三等分点, 在 上取靠近 点的三等分点 ,如下图: 则 ,且 又因为 平面 ,所以 , 即 ,则四边形 为矩形, 又 , , 则矩形 的面积为,故D项正确. 故选:ACD. 典例4.(2020·全国·统考高考真题)如图,在长方体 中,点 , 分别在棱 , 上,且 , .证明: (1)当 时, ; (2)点 在平面 内. 【答案】(1)证明见解析;(2)证明见解析. 【分析】(1)根据正方形性质得 ,根据长方体性质得 ,进而可证 平面 ,即得结 果; (2)只需证明 即可,在 上取点 使得 ,再通过平行四边形性质进行证明即可. 【详解】(1)因为长方体 ,所以 平面 , 因为长方体 ,所以四边形 为正方形 因为 平面 ,因此 平面 , 因为 平面 ,所以 ; (2)在 上取点 使得 ,连 , 因为 ,所以 所以四边形 为平行四边形, 因为 所以 四点共面,所以四边形 为平行四边形, ,所以 四点共面, 因此 在平面 内 【规律方法】 (1)根据空间线面平行、垂直关系的判定定理和性质定理逐项判断来解决问题; (2)必要时可以借助空间几何模型,如从长方体、四面体等模型中观察线面位置关系,并结合有关定理来进 行判断. (3)当从正面入手较难时,可利用反证法,推出与题设或公认的结论相矛盾的命题,进而作出判断. (4)利用空间向量 考向二 利用空间向量求直线与平面所成角 【核心知识】 直线和平面所成角的求法:如图所示,设直线l的方向向量为e,平面α的法向量为n,直线l与平面α所成的 角为φ,两向量e与n的夹角为θ,则有sin φ=|cos θ|=.【典例分析】 典例5.(2022·全国·统考高考真题)如图,四面体 中, ,E为 的 中点. (1)证明:平面 平面 ; (2)设 ,点F在 上,当 的面积最小时,求 与平面 所成的角的正弦值. 【答案】(1)证明过程见解析 (2) 与平面 所成的角的正弦值为 【分析】(1)根据已知关系证明 ,得到 ,结合等腰三角形三线合一得到垂直关系, 结合面面垂直的判定定理即可证明; (2)根据勾股定理逆用得到 ,从而建立空间直角坐标系,结合线面角的运算法则进行计算即可. 【详解】(1)因为 ,E为 的中点,所以 ; 在 和 中,因为 , 所以 ,所以 ,又因为E为 的中点,所以 ; 又因为 平面 , ,所以 平面 , 因为 平面 ,所以平面 平面 . (2)连接 ,由(1)知, 平面 ,因为 平面 , 所以 ,所以 , 当 时, 最小,即 的面积最小. 因为 ,所以 , 又因为 ,所以 是等边三角形,因为E为 的中点,所以 , , 因为 ,所以 , 在 中, ,所以 . 以 为坐标原点建立如图所示的空间直角坐标系 , 则 ,所以 , 设平面 的一个法向量为 , 则 ,取 ,则 , 又因为 ,所以 , 所以 , 设 与平面 所成的角的正弦值为 , 所以 , 所以 与平面 所成的角的正弦值为 .典例6.(2023秋·河南南阳·高三统考期末)如图,四棱锥 的底面为直角梯形, , PB⊥底面ABCD, ,设平面PAD与平面PBC的交线为 . (1)证明: 平面PAB; (2)设Q为 上的动点,求 与平面 所成角的正弦值的最大值. 【答案】(1)证明见解析 (2) 【分析】(1)由线面垂直判定定理证明 平面 ,由线面平行性质定理 ,由此证明 平面PAB; (2)建立空间直角坐标系,求直线 的方向向量和平面 的法向量,利用向量夹角公式求 与平面 所 成角的正弦值,结合基本不等式求其最大值. 【详解】(1)因为 平面 , 平面 ,所以 . 因为 ,所以 ,又 , 平面 , 因此 平面 . 因为四棱锥 的底面为直角梯形, , 所以 , 平面 , 平面 , 所以 平面 .又由题平面 与平面 的交线为 , 平面 , 所以 ,故 平面 . (2)以 为坐标原点, 方向为 轴正方向,建立如图所示的空间直角坐标系 , 则 , , , , , 由(1)可设 ,则 , , ,设平面 的一个法向量为 , , 则 ,即 ,取 ,可得 , 所以 为平面 的一个法向量, 所以 . 设 与平面 所成角为 , 则 ; 当 时, ,因为 ,当且仅当 时等号成立,所以 (当且仅 当 时等号成立), 当 时, , 当 时, , ,当且仅当a=-1时等号成立,所以 , 综上, 的最大值为 , 所以 与平面 所成角的正弦值的最大值为 .典例7.(2023·安徽马鞍山·统考一模)如图,在四棱锥 中,底面 为正方形, 底面 , , 为线段 的中点, 在线段 上,且 . (1)求证:平面 平面 ; (2)求直线 与平面 所成角的正弦值. 【答案】(1)证明见解析 (2) 【分析】(1)证法1:几何法,要证明面面垂直,转化为证明线面垂直,利用垂直关系转化为证明 平 面 ,即可证明; 证法2:向量法,以点 为原点建立空间直角坐标系,分别求平面 和平面 的法向量,证明法向量垂 直,即可证明面面垂直; (2)证法1,几何法,利用平行关系,以及等体积转化求点 到平面 的距离,即可求得线面角; 证法2:向量法,利用线面角的向量法,即可求解. 【详解】(1)证法1:因为 底面 , 底面 ,所以 , 又 为正方形,所以 , 且 , 平面 , 平面 ,所以 平面 , 又 平面 ,所以 , 因为 , 为线段 的中点,所以 , 且 , 平面 , 平面 ,所以 平面 , 而 平面 ,所以平面 平面 . 证法2:以 点为坐标原点,以 , , 分别为 轴, 轴, 轴,建立空间直角坐标系 ,如图, 由已知可得 , , , , , ,则, , , . 设平面 的法向量为 , 由 , 得 , ,所以 令 ,得 , ,所以 . 设平面 的法向量为 , 由 , 得 , ,所以 , 令 ,得 , ,所以 , 因为 ,所以 ,所以平面 平面 . (2)方法1:因为底面 为正方形,所以 , 所以直线 与平面 所成角等于直线 与平面 所成角,设所求角为 , 因为 平面 , 平面 , 所以 , 故 , , , , 所以 , 所以 ,又 ,点 到平面 的距离为2,设 点到平面 的距离为 ,由 ,得 ,得 , 又 ,所以 . 方法2:因为 ,平面 的法向量为 , 设直线与平面 所成的角为 ,则 . 【总结提升】 利用向量法求线面角的方法 (1)分别求出斜线和它在平面内的射影直线的方向向量,转化为求两个方向向量的夹角(或其补角); (2)通过平面的法向量来求,即求出斜线的方向向量与平面的法向量所夹的锐角(钝角时取其补角),取其余角就 是斜线和平面所成的角. 考向三 利用空间向量求二面角 【核心知识】 1.求二面角的大小   AB CD (1)如图1,AB、CD是二面角α-l-β的两个面内与棱l垂直的直线,则二面角的大小θ=〈 , 〉.   n ,n n ,n  1 2 1 2 (2)如图2、3, 分别是二面角α-l-β的两个半平面α,β的法向量,则二面角的大小 (或 n ,n  1 2 ).即:求出二面角α-l-β的两个半平面α与β的法向量n,n,若二面角α-l-β所成的角θ 1 2 为锐角,则cos θ=|cos〈n,n〉|=;若二面角α-l-β所成的角θ为钝角,则cos θ=-|cos〈n,n〉|=-. 1 2 1 2 【典例分析】 典例8.(2021·全国·统考高考真题)在四棱锥 中,底面 是正方形,若. (1)证明:平面 平面 ; (2)求二面角 的平面角的余弦值. 【答案】(1)证明见解析;(2) . 【分析】(1)取 的中点为 ,连接 ,可证 平面 ,从而得到面 面 . (2)在平面 内,过 作 ,交 于 ,则 ,建如图所示的空间坐标系,求出平面 、平面 的法向量后可求二面角的余弦值. 【详解】 (1)取 的中点为 ,连接 . 因为 , ,则 , 而 ,故 . 在正方形 中,因为 ,故 ,故 , 因为 ,故 ,故 为直角三角形且 ,因为 ,故 平面 , 因为 平面 ,故平面 平面 . (2)在平面 内,过 作 ,交 于 ,则 , 结合(1)中的 平面 ,故可建如图所示的空间坐标系. 则 ,故 . 设平面 的法向量 , 则 即 ,取 ,则 , 故 . 而平面 的法向量为 ,故 . 二面角 的平面角为锐角,故其余弦值为 . 典例9.(2023秋·江苏南通·高三统考期末)如图,在三棱柱 中,底面 是边长为2的正三角 形, ,平面 平面ABC,M是棱 的中点.(1)证明: 平面 ; (2)若四棱锥 的体积为 ,求二面角 的余弦值. 【答案】(1)证明见解析; (2) . 【分析】(1)根据三棱柱的几何性质,结合三角形中位线定理、线面平行的判定理进行证明即可; (2)方法一:建立空间直角坐标系,结合三棱锥的体积公式、空间夹角公式进行求解即可; 方法二:根据线面垂直的判定定理,结合二面角定义进行求解即可. 【详解】(1)连接 交 于N,连接MN. 在三棱柱 中,四边形 平行四边形, 又 ,所以N是 中点, 在 中,M是 的中点, 所以 , 又 面 , 面 , 所以 平面 .(2)法一:取BC的中点O,连接OA, . 在 中, ,O为BC的中点,所以 , 又面 面ABC, 面 ,面 面 , 所以 面ABC. 在三棱柱 中,四边形 是平行四边形, 因为M是棱 的中点,故 , 又 , 所以 , 所以 ,即 , 而 ,所以 . 以O为坐标原点,OA,OB, 所在直线分别为x轴,y轴,z轴, 建立如图所示的空间直角坐标系O-xyz, 故 , , , , . 所以 , , 设平面 的法向量 ,则 ,即 取 ,得 , 所以 是平面 的一个法向量, 设平面 的法向量 , 则 ,即 取 ,得 , 所以 是平面BMC的一个法向量, 所以 , 设二面角 的大小为 , 由图可知, , 所以二面角 的余弦值为 . 法二:取BC的中点O,连接OA, ,OM,过 作 , , 垂足分别为G,H,连结GH. 在 中, ,O为BC的中点,所以 , 又面 ⊥面ABC, 面 ,面 面 ,所以 面ABC. 又 面ABC,所以 , 设 ,则 . 在等边 中,O为BC的中点,所以 , 又 , , 面 ,所以 面 , 因为 面 ,所以 , 在三棱柱 中, ,四边形 是平行四边形, 所以四边形 是矩形, , 故四边形 的面积为 . 因为 面ABC,故 面 , 又 面 ,所以 . 在 中, . 因为 面 ,即 面 , 面 ,所以 , 又 , ,OM, 面 ,所以 面 , 所以四棱锥 的体积为 ,解得 , 所以 , , , , 所以 , ,所以 ,因为 面 , 面 ,所以 , 又 , , , 面 , 所以 面 , 又 面 ,所以 , 所以 是二面角 的平面角. 在 中, , 所以 . 所以二面角 的余弦值为 . 典例10.(2023·吉林·长春十一高校联考模拟预测)如图,在三棱柱 中, 平面ABC,D为线 段AB的中点, , , ,三棱锥 的体积为8.(1)证明: 平面 ; (2)求平面 与平面 夹角的余弦值. 【答案】(1)见解析 (2) 【分析】(1)证明出 平面 ,利用线面垂直的性质可证得 ,再由三棱锥 的 体积为8,求出 ,可证得 ,再由线面垂直的判定定理即可证明; (2)以点 为坐标原点, 、 、 所在直线分别为 、 、 轴建立空间直角坐标系,利用空间向量法 可求得平面 与平面 夹角的余弦值. 【详解】(1)证明:因为 平面 , 平面 ,所以 , 在三棱柱 中,四边形 为平行四边形,则 , 因为 , ,所以 ,所以 , 又因为 , 平面 , 平面 , 所以 平面 ,因为 ,所以 平面 , 又 平面 ,所以 . , 为 的中点,则 , 因为 平面 , , 所以 ,所以在 中, , ,所以 ,所以 , , 平面 ,所以 平面 ; (2)因为 平面 , ,以点 为坐标原点, 、 、 所在直线分别为 、 、 轴建 立如下图所示的空间直角坐标系, 则 、 、 、 , 设平面 的法向量为 , , , 则 ,取 ,可得 , 设平面 的法向量为 , , , 则 ,取 ,可得 , 所以, , 所以平面 与平面 夹角的余弦值为 . 利用向量法计算二面角大小的常用方法 (1)找法向量法:分别求出二面角的两个半平面所在平面的法向量,然后通过两个平面的法向量的夹角得到二 面角的大小.但要注意结合实际图形判断所求角的大小. (2)找与棱垂直的方向向量法:分别在二面角的两个半平面内找到与棱垂直且以垂足为起点的两个向量,则这两个向量的夹角的大小就是二面角的大小. 考向四 利用空间向量求距离 【核心知识】 点面距的求法 如图,设AB为平面α的一条斜线段,n为平面α的法向量,则B到平面α的距离d=. 【典例分析】 典例11. (2022·全国·统考高考真题)如图,直三棱柱 的体积为4, 的面积为 . (1)求A到平面 的距离; (2)设D为 的中点, ,平面 平面 ,求二面角 的正弦值. 【答案】(1) (2) 【分析】(1)由等体积法运算即可得解; (2)由面面垂直的性质及判定可得 平面 ,建立空间直角坐标系,利用空间向量法即可得解. 【详解】(1)在直三棱柱 中,设点A到平面 的距离为h,则 , 解得 , 所以点A到平面 的距离为 ; (2)取 的中点E,连接AE,如图,因为 ,所以 , 又平面 平面 ,平面 平面 , 且 平面 ,所以 平面 , 在直三棱柱 中, 平面 , 由 平面 , 平面 可得 , , 又 平面 且相交,所以 平面 , 所以 两两垂直,以B为原点,建立空间直角坐标系,如图, 由(1)得 ,所以 , ,所以 , 则 ,所以 的中点 ,则 , , 设平面 的一个法向量 ,则 , 可取 , 设平面 的一个法向量 ,则 , 可取 , 则 , 所以二面角 的正弦值为 . 典例12. (2023秋·河南南阳·高三统考期末)如图,四棱锥 的底面为直角梯形, , 底面 , ,设平面 与平面 的交线为 . (1)证明: ; (2)证明: 平面 ; (3)求点 到平面 的距离. 【答案】(1)证明见解析 (2)证明见解析 (3) 【分析】(1)先根据线面平行的判定定理证明 平面 ,再根据线面平行的性质定理即可证明 ;(2)先根据线面垂直的判定定理证明 平面 ,由(1)的结论 ,即可证明 平面 ; (3)根据等体积法 只需求 ,根据长度及垂直关系求出 中各个边长,进而求出面积,列出关 于距离的等式,解出即可. 【详解】(1)证明:由题可知 , 平面 , 平面 , 故 平面 , 平面 ,平面 平面 , ; (2)证明: 底面 , , 底面 为直角梯形, 且 , , 平面 , 平面 , 平面 , 由(1)知 , 平面 ; (3)由题知 , 且 , 连接 ,如图所示: 可得 , , 底面 ,, , , , 为直角三角形, 设点 到平面 的距离为 , , 即 , 即 , 解得: , 故点 到平面 的距离为 . 【总结提升】 利用法向量求解空间线面角、面面角、距离等问题,关键在于“四破”:①破“建系关”,构建恰当的空间直 角坐标系;②破“求坐标关”,准确求解相关点的坐标;③破“求法向量关”,求出平面的法向量;④破“应 用公式关”.