当前位置:首页>文档>冲刺985、211名校之2023届新高考题型模拟训练专题24导数的综合问题多选题(新高考通用)解析版_2.2025数学总复习_2023年新高考资料_专项复习

冲刺985、211名校之2023届新高考题型模拟训练专题24导数的综合问题多选题(新高考通用)解析版_2.2025数学总复习_2023年新高考资料_专项复习

  • 2026-04-03 23:49:41 2026-03-19 08:39:34

文档预览

冲刺985、211名校之2023届新高考题型模拟训练专题24导数的综合问题多选题(新高考通用)解析版_2.2025数学总复习_2023年新高考资料_专项复习
冲刺985、211名校之2023届新高考题型模拟训练专题24导数的综合问题多选题(新高考通用)解析版_2.2025数学总复习_2023年新高考资料_专项复习
冲刺985、211名校之2023届新高考题型模拟训练专题24导数的综合问题多选题(新高考通用)解析版_2.2025数学总复习_2023年新高考资料_专项复习
冲刺985、211名校之2023届新高考题型模拟训练专题24导数的综合问题多选题(新高考通用)解析版_2.2025数学总复习_2023年新高考资料_专项复习
冲刺985、211名校之2023届新高考题型模拟训练专题24导数的综合问题多选题(新高考通用)解析版_2.2025数学总复习_2023年新高考资料_专项复习
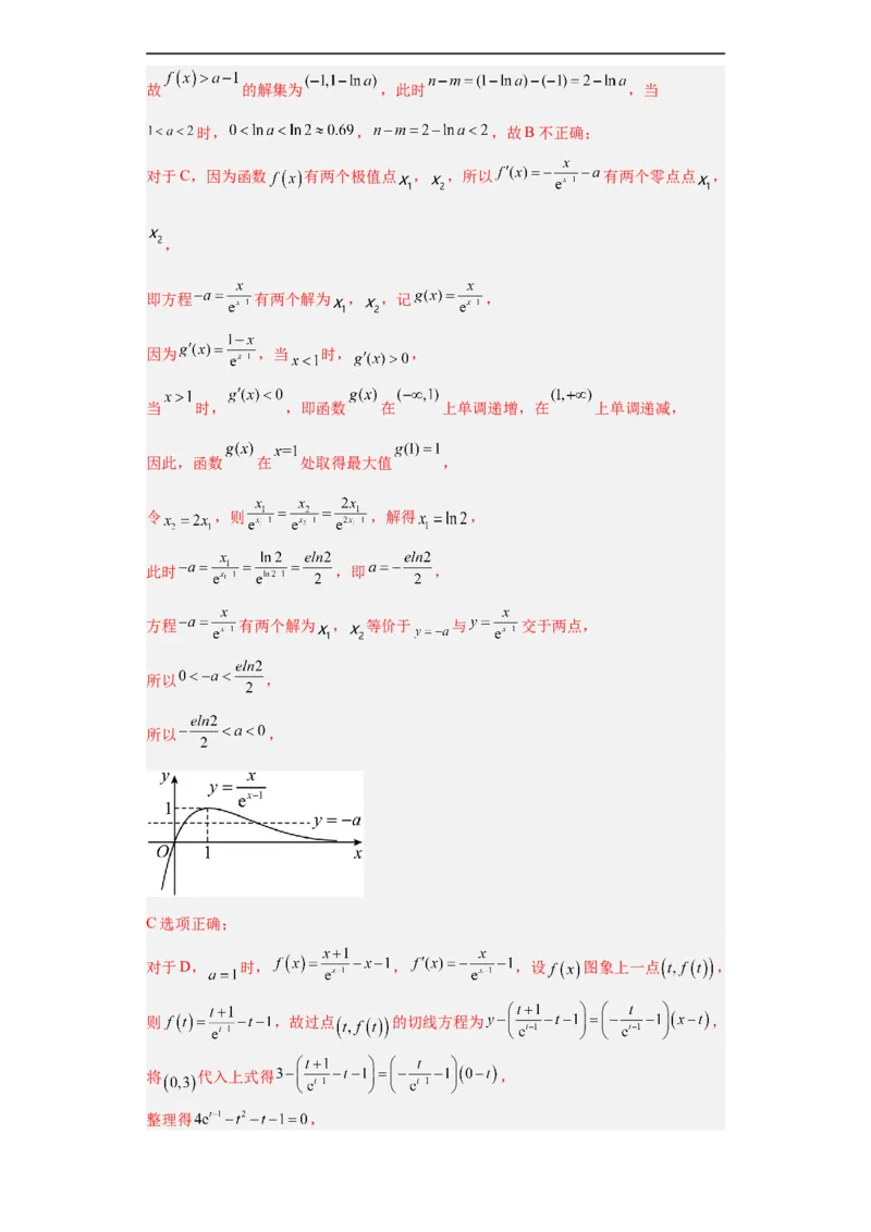
冲刺985、211名校之2023届新高考题型模拟训练专题24导数的综合问题多选题(新高考通用)解析版_2.2025数学总复习_2023年新高考资料_专项复习
冲刺985、211名校之2023届新高考题型模拟训练专题24导数的综合问题多选题(新高考通用)解析版_2.2025数学总复习_2023年新高考资料_专项复习
冲刺985、211名校之2023届新高考题型模拟训练专题24导数的综合问题多选题(新高考通用)解析版_2.2025数学总复习_2023年新高考资料_专项复习
冲刺985、211名校之2023届新高考题型模拟训练专题24导数的综合问题多选题(新高考通用)解析版_2.2025数学总复习_2023年新高考资料_专项复习
冲刺985、211名校之2023届新高考题型模拟训练专题24导数的综合问题多选题(新高考通用)解析版_2.2025数学总复习_2023年新高考资料_专项复习
冲刺985、211名校之2023届新高考题型模拟训练专题24导数的综合问题多选题(新高考通用)解析版_2.2025数学总复习_2023年新高考资料_专项复习
冲刺985、211名校之2023届新高考题型模拟训练专题24导数的综合问题多选题(新高考通用)解析版_2.2025数学总复习_2023年新高考资料_专项复习
冲刺985、211名校之2023届新高考题型模拟训练专题24导数的综合问题多选题(新高考通用)解析版_2.2025数学总复习_2023年新高考资料_专项复习
冲刺985、211名校之2023届新高考题型模拟训练专题24导数的综合问题多选题(新高考通用)解析版_2.2025数学总复习_2023年新高考资料_专项复习
冲刺985、211名校之2023届新高考题型模拟训练专题24导数的综合问题多选题(新高考通用)解析版_2.2025数学总复习_2023年新高考资料_专项复习
冲刺985、211名校之2023届新高考题型模拟训练专题24导数的综合问题多选题(新高考通用)解析版_2.2025数学总复习_2023年新高考资料_专项复习
冲刺985、211名校之2023届新高考题型模拟训练专题24导数的综合问题多选题(新高考通用)解析版_2.2025数学总复习_2023年新高考资料_专项复习
冲刺985、211名校之2023届新高考题型模拟训练专题24导数的综合问题多选题(新高考通用)解析版_2.2025数学总复习_2023年新高考资料_专项复习
冲刺985、211名校之2023届新高考题型模拟训练专题24导数的综合问题多选题(新高考通用)解析版_2.2025数学总复习_2023年新高考资料_专项复习
冲刺985、211名校之2023届新高考题型模拟训练专题24导数的综合问题多选题(新高考通用)解析版_2.2025数学总复习_2023年新高考资料_专项复习
冲刺985、211名校之2023届新高考题型模拟训练专题24导数的综合问题多选题(新高考通用)解析版_2.2025数学总复习_2023年新高考资料_专项复习
冲刺985、211名校之2023届新高考题型模拟训练专题24导数的综合问题多选题(新高考通用)解析版_2.2025数学总复习_2023年新高考资料_专项复习
冲刺985、211名校之2023届新高考题型模拟训练专题24导数的综合问题多选题(新高考通用)解析版_2.2025数学总复习_2023年新高考资料_专项复习
冲刺985、211名校之2023届新高考题型模拟训练专题24导数的综合问题多选题(新高考通用)解析版_2.2025数学总复习_2023年新高考资料_专项复习
冲刺985、211名校之2023届新高考题型模拟训练专题24导数的综合问题多选题(新高考通用)解析版_2.2025数学总复习_2023年新高考资料_专项复习
冲刺985、211名校之2023届新高考题型模拟训练专题24导数的综合问题多选题(新高考通用)解析版_2.2025数学总复习_2023年新高考资料_专项复习
冲刺985、211名校之2023届新高考题型模拟训练专题24导数的综合问题多选题(新高考通用)解析版_2.2025数学总复习_2023年新高考资料_专项复习
冲刺985、211名校之2023届新高考题型模拟训练专题24导数的综合问题多选题(新高考通用)解析版_2.2025数学总复习_2023年新高考资料_专项复习
冲刺985、211名校之2023届新高考题型模拟训练专题24导数的综合问题多选题(新高考通用)解析版_2.2025数学总复习_2023年新高考资料_专项复习
冲刺985、211名校之2023届新高考题型模拟训练专题24导数的综合问题多选题(新高考通用)解析版_2.2025数学总复习_2023年新高考资料_专项复习
冲刺985、211名校之2023届新高考题型模拟训练专题24导数的综合问题多选题(新高考通用)解析版_2.2025数学总复习_2023年新高考资料_专项复习
冲刺985、211名校之2023届新高考题型模拟训练专题24导数的综合问题多选题(新高考通用)解析版_2.2025数学总复习_2023年新高考资料_专项复习
冲刺985、211名校之2023届新高考题型模拟训练专题24导数的综合问题多选题(新高考通用)解析版_2.2025数学总复习_2023年新高考资料_专项复习
冲刺985、211名校之2023届新高考题型模拟训练专题24导数的综合问题多选题(新高考通用)解析版_2.2025数学总复习_2023年新高考资料_专项复习
冲刺985、211名校之2023届新高考题型模拟训练专题24导数的综合问题多选题(新高考通用)解析版_2.2025数学总复习_2023年新高考资料_专项复习
冲刺985、211名校之2023届新高考题型模拟训练专题24导数的综合问题多选题(新高考通用)解析版_2.2025数学总复习_2023年新高考资料_专项复习
冲刺985、211名校之2023届新高考题型模拟训练专题24导数的综合问题多选题(新高考通用)解析版_2.2025数学总复习_2023年新高考资料_专项复习
冲刺985、211名校之2023届新高考题型模拟训练专题24导数的综合问题多选题(新高考通用)解析版_2.2025数学总复习_2023年新高考资料_专项复习
冲刺985、211名校之2023届新高考题型模拟训练专题24导数的综合问题多选题(新高考通用)解析版_2.2025数学总复习_2023年新高考资料_专项复习
冲刺985、211名校之2023届新高考题型模拟训练专题24导数的综合问题多选题(新高考通用)解析版_2.2025数学总复习_2023年新高考资料_专项复习
冲刺985、211名校之2023届新高考题型模拟训练专题24导数的综合问题多选题(新高考通用)解析版_2.2025数学总复习_2023年新高考资料_专项复习
冲刺985、211名校之2023届新高考题型模拟训练专题24导数的综合问题多选题(新高考通用)解析版_2.2025数学总复习_2023年新高考资料_专项复习
冲刺985、211名校之2023届新高考题型模拟训练专题24导数的综合问题多选题(新高考通用)解析版_2.2025数学总复习_2023年新高考资料_专项复习
冲刺985、211名校之2023届新高考题型模拟训练专题24导数的综合问题多选题(新高考通用)解析版_2.2025数学总复习_2023年新高考资料_专项复习
冲刺985、211名校之2023届新高考题型模拟训练专题24导数的综合问题多选题(新高考通用)解析版_2.2025数学总复习_2023年新高考资料_专项复习
冲刺985、211名校之2023届新高考题型模拟训练专题24导数的综合问题多选题(新高考通用)解析版_2.2025数学总复习_2023年新高考资料_专项复习
冲刺985、211名校之2023届新高考题型模拟训练专题24导数的综合问题多选题(新高考通用)解析版_2.2025数学总复习_2023年新高考资料_专项复习
冲刺985、211名校之2023届新高考题型模拟训练专题24导数的综合问题多选题(新高考通用)解析版_2.2025数学总复习_2023年新高考资料_专项复习
冲刺985、211名校之2023届新高考题型模拟训练专题24导数的综合问题多选题(新高考通用)解析版_2.2025数学总复习_2023年新高考资料_专项复习
冲刺985、211名校之2023届新高考题型模拟训练专题24导数的综合问题多选题(新高考通用)解析版_2.2025数学总复习_2023年新高考资料_专项复习
冲刺985、211名校之2023届新高考题型模拟训练专题24导数的综合问题多选题(新高考通用)解析版_2.2025数学总复习_2023年新高考资料_专项复习
冲刺985、211名校之2023届新高考题型模拟训练专题24导数的综合问题多选题(新高考通用)解析版_2.2025数学总复习_2023年新高考资料_专项复习
冲刺985、211名校之2023届新高考题型模拟训练专题24导数的综合问题多选题(新高考通用)解析版_2.2025数学总复习_2023年新高考资料_专项复习
冲刺985、211名校之2023届新高考题型模拟训练专题24导数的综合问题多选题(新高考通用)解析版_2.2025数学总复习_2023年新高考资料_专项复习
冲刺985、211名校之2023届新高考题型模拟训练专题24导数的综合问题多选题(新高考通用)解析版_2.2025数学总复习_2023年新高考资料_专项复习
冲刺985、211名校之2023届新高考题型模拟训练专题24导数的综合问题多选题(新高考通用)解析版_2.2025数学总复习_2023年新高考资料_专项复习
冲刺985、211名校之2023届新高考题型模拟训练专题24导数的综合问题多选题(新高考通用)解析版_2.2025数学总复习_2023年新高考资料_专项复习
冲刺985、211名校之2023届新高考题型模拟训练专题24导数的综合问题多选题(新高考通用)解析版_2.2025数学总复习_2023年新高考资料_专项复习
冲刺985、211名校之2023届新高考题型模拟训练专题24导数的综合问题多选题(新高考通用)解析版_2.2025数学总复习_2023年新高考资料_专项复习

文档信息

文档格式
docx
文档大小
3.132 MB
文档页数
59 页
上传时间
2026-03-19 08:39:34

文档内容

【冲刺985/211名校之2023届新高考题型模拟训练】 专题24 导数的综合问题多选题(新高考通用) 1.(2023春·广东揭阳·高三校考阶段练习)已知函数 及其导函数 的定义城 均为 ,记 ,若 关于直线 对称, 为奇函数,则( ) A. B. C. D. 【答案】ACD 【分析】根据已知条件和导数的运算性质,以及函数的对称行与周期逐项进行检验即 可求解. 【详解】因为 关于直线 对称,所以 , 则 ,令 ,得 ,故选项A正确; 由 可得到 ,所以 , 则 ,则函数 的图象关于点 对称,令 , 则 ,故选项B错误; 又因为 为奇函数,所以 ,即 , 所以函数 的图象关于点 对称,所以 ,故选项D正确; 由 得 ,又 ,所以 , 所以函数 的周期为 , 所以 ,故选项D正确; 故选:ACD. 2.(2023·浙江嘉兴·统考模拟预测)已知函数 , ,则下列说法正 确的是( ) A.若 ,则B.若 ,则 C.若 ,则 D.方程 有唯一实根 【答案】AC 【分析】根据导数的运算法则,复合函数求导,基本初等函数的导数判断ABC,由数 形结合判断D. 【详解】 ,故 ,故A正确; 因为 ,所以 ,故B错误; 因为 ,故C正确; ,即 ,作出 与 图象,如图 由图象可知, 与 图象有两个不同的交点,故方程 有两 个实根,故D错误. 故选:AC 3.(2023春·浙江·高三校联考开学考试)设定义在 上的函数 与 的导函数 分别为 和 .若 , ,且 为奇函数, 则下列说法中一定正确的是( ) A.函数 的图象关于点 对称 B.C. D. 【答案】BC 【分析】由 得 ,结合 得 ,即可令 求得 . 对A,由 可判断其对称性; 对C,由 为奇函数可得 的周期、对称性及特殊值,从而化简; 对BD,由 ,结合C即可判断. 【详解】对A,∵ ,则 ,则 , 又 ,所以 ,令 ,可得 ,即 . 所以 ,所以函数 的图象关于 对称,A错; 对C,∵ 为奇函数,则 图像关于 对称,且 , ∴ , , , ,∴ . 又 ,∴ ,∴ 的周期 , ∴ ,C对; 对B, ,则 是周期 的函数, ,B对; 对D,,D 错. 故选:BC. 4.(2023·山东济宁·统考一模)已知函数 及其导函数 的定义域均为R,若 为奇函数, 的图象关于y轴对称,则下列结论中一定正确的是 ( ) A. B. C. D. 【答案】ABD 【分析】根据 为奇函数可得 ,根据 的图象关于y 轴对称可得 ,两个等式两边同时取导数,可得 、 ,对x赋值,结合选项即可求解. 【详解】因为 为奇函数,定义域为R,所以 , 故 , 等式两边同时取导数,得 ,即 ①, 因为 的图象关于y轴对称,则 ,故 , 等式两边同时取导数,得 ②. 由 ,令 ,得 ,解得 , 由 ,令 ,得 ,由②,令 ,得 , 令 ,得 ,解得 , 故选:ABD. 5.(2023·广东·高三校联考阶段练习)已知函数 ,则下列结论正确的 是( ) A.函数 只有两个极值点 B.方程 有且只有两个实根,则 的取值范围为 C.方程 共有4个根 D.若 , ,则 的最大值为2 【答案】ACD 【分析】对函数求导,利用导数研究函数的极值判断 ;分析函数 的性质,借助 图象判断 ;结合图象和函数的零点判断 ;由 结合取最大值的x值区间判 断D作答. 【详解】对于 ,对 求导得: ,当 或 时, ,当 时, ,即函数 在 , 上单 调递减,在 上单调递增,因此,函数 在 处取得极小值 ,在 处取得极大值 ,故选项 正确; 对于 ,由选项 知,作出曲线 及直线 ,如图,要使方程 有且 只有两个实根,观察图象得当 时,直线 与曲线 有2个交点,所以方程 有且只有两个实根,则 的取值范围为 ,故选项 错误; 对于 ,由 得: ,解得 , 令 ,则 ,结合图象方程 有两解, , , 所以 或 , 因为 ,所以 ,所以方程 有两解; 又因为 ,结合图象可知: 也有两解, 综上:方程 共有4个根,故选项 正确; 对于 ,因为 ,而函数 在 上单调递减, 因此当 时, ,当且仅当 , 所以t的最大值为2,故选项 正确. 故选:CD 【点睛】方法点睛:函数零点个数判断方法:(1)直接法:直接求出f(x)=0的解;(2)图 象法:作出函数f(x)的图象,观察 与x轴公共点个数或者将函数变形为易于作图的两个函数,作出这两个函数的图象, 观察它们的公共点个数. 6.(2023秋·广东揭阳·高三统考期末)已知函数 ,且存在唯一的 整数 ,使得 ,则实数a的可能取值为( )A. B. C. D. 【答案】AC 【分析】将不等式转化为 ,分别作出 与 的图象,转 动直线 使得满足 的整数解是唯一的,观察直线的斜率满足的条 件即可. 【详解】令 ,得 . 令 ,则 , 当 时, , 单调递增;当 时, , 单调递减. 如图,分别作出函数 与 的图象, 其中直线 恒过定点 . 由图可知, , , 存在唯一的整数 ,使得 ,则需 , 故实数a的取值范围是 , 其中 , , 而 , , 故选:AC. 【点睛】参数分离法解不等式恒成立问题: (1) 参数完全分离法:将参数完全分离到不等式的一端,只需求另一端函数的最值即可, 这种方法的好处是分离后函数不含参数,易求最值.(2) 参数半分离法:将原不等式分成两个函数,其中一个函数为含参的简单函数,如一 次函数,可以通过图象的变化寻求满足的条件. 7.(2023·浙江·校联考三模)已知函数 ,则( ) A. 有一个零点 B. 在 上单调递减 C. 有两个极值点 D.若 ,则 【答案】BD 【分析】 , ,求出 时, ,并证明此解 为 的唯一解,则可判断A,B,C,对D选项,通过构造函数 ,利用导数证明其大于0,即可 证明D选项正确. 【详解】对A, B,C选项, 令 ,因为 , , , 所以 在 上单调递减, 所以 ,即 所以当 时, ,且为唯一解, 所以 单调递减; 单调递增, 所以 ,即 在 上无零点, 同时表明 在 上有唯一极值点,故A,C错误,B正确;对D,若 ,设 ,则 , 要证 ,即证 , 因为 在 上单调递增,所以即证 , 因为 ,所以即证 , 令 , ,其中 在 上单调递增, 所以 , 所以 在 上单调递减, 所以 ,即 , 所以 成立,即 成立,故D正确. 故选:BD. 8.(2023·吉林·东北师大附中校考二模)已知函数 , , 其中 且 .若函数 ,则下列结论正确的是( ) A.当 时, 有且只有一个零点 B.当 时, 有两个零点 C.当 时,曲线 与曲线 有且只有两条公切线 D.若 为单调函数,则 【答案】BCD 【分析】A. 通过举特例说明该选项错误;B. 考虑 ,求出函数的单调性,分析图象得到 有两个零点;C.求出两曲线的切 线方程,再建立方程组,转化为零点个数问题分析得解;D. 分 单调递增和单调递 减讨论,从而求出 得解. 【详解】对A, 令 , 令 或 都成立, 有两个零点,故 A错误; 对B, 令 ,( ).考虑 所以函数 在 单调递减,在 单调递增, . 考虑 所以函数 在 单调递增,在 单调递减, 当 时, ,所以当 时,有两个零点. 此时 ,故B正确; 对C,设 , . 设切点 所以 .① ② , , 设 , 所以 , 所以函数 在 单调递减,因为 , 所以 所以 有两解,所以当 时,曲线 与曲线 有且只有两条公 切线,所以该选项正确; 对D,若 单调递增,则 . .考虑 不满足. 若 单调递减,则 . 所以 考虑 不满足. 当 时, 不满足. 当 时, ,∴ .故D正确. 故选:BCD 【点睛】关键点睛:本题主要有四个关键,其一,是逻辑思维,证明命题是错误的,只要举出反例即可;其二,要熟练掌握利用导数讨论函数的零点个数;其三,是理解 掌握曲线公切线的研究方法;其四,要会根据函数的单调性求参数的范围. 9.(2023春·山西·高三校联考阶段练习)已知函数 ,则下列说法 正确的是( ) A.若 在R上单调递增,则 B.若 ,设 的解集为 ,则 C.若 若两个极值点 , ,且 ,则 D.若 ,则过 仅能做曲线 的一条切线 【答案】ACD 【分析】对函数求导,利用导数研究函数的最值判断 ;化简不等式,利用符号法解 不等式,从而求解区间长度范围判断 ;结合图象和函数的零点判断 ;利用导数的 几何意义建立方程,判断方程根的个数即可判断D. 【详解】对于A,对 求导得: ,因为函数 在R上单调递增, 所以 恒成立,即 恒成立, 记 ,则 , 因为 ,当 时, ,当 时, , 即函数 在 上单调递增,在 上单调递减, 因此,函数 在 处取得最大值 ,所以 ,即 ,故选项 正确; 对于B,由 得 ,等价于 ,即 , 当 时, , ,又 ,故 所以 ,当 时, , 无解,故 的解集为 ,此时 ,当 时, , ,故B不正确; 对于C,因为函数 有两个极值点 , ,所以 有两个零点点 , , 即方程 有两个解为 , ,记 , 因为 ,当 时, , 当 时, ,即函数 在 上单调递增,在 上单调递减, 因此,函数 在 处取得最大值 , 令 ,则 ,解得 , 此时 ,即 , 方程 有两个解为 , 等价于 与 交于两点, 所以 , 所以 , C选项正确; 对于D, 时, , ,设 图象上一点 , 则 ,故过点 的切线方程为 , 将 代入上式得 , 整理得 ,构造函数 ,则 , 构造函数 ,则 , 令 得 ,令 得 , 所以函数 在 上单调递减,在 上单调递增, 所以 ,所以 ,所以函数 单 调递增, 又 ,即方程 在区间 有一解, 所以存在唯一一条过 的切线,D选项正确. 故选:ACD 10.(2023秋·黑龙江哈尔滨·高三哈尔滨三中校考阶段练习)已知函数 分别与直线 交于点 ,则下列说法正确的( ) A. 的最小值为 B. ,使得曲线 在点 处的切线与曲线 在点 处的切线平行 C.函数 的最小值小于2 D.若 ,则 【答案】ABD 【分析】对于A项,设 , ,把 用 表示,则 看成关于 的函 数,求导判断单调性求最值即可.对于B项, 根据 整理成关于 的方程, 分析方程有没有解即可.对于C项,给函数 求导判断单调性,极值点用 隐零点解决,求最小值.对于D项,分 和 两种情况判断判断不等式 是否成立.【详解】对于A项,设 , , 则 , , 又因为 , , 所以 , 设 , 所以 , 又因为 在 单调递增,且 , 当 ,当 所以 在 上单调递减,在 单调递增, 所以 , 所以 的最小值为 ,故A正确. 对于B项,函数 在点 处切线的斜率为 , 又因为 ,所以函数 在点 处切线的斜率为 , 函数 在点 处切线的斜率为 , 又因为 ,所以函数 在点 处切线的斜率为 ,要使曲线 在点 处的切线与曲线 在点 处的切线平行, 即 ,所以 有解,即方程 有根. 即函数 有零点, 又因为当 , ,故B正确. 对于C项, , 因为 在 上单调递增, 当 时, , 当 时, , 则存在 ,使得 ,即 , 当 时, ; 时, , 所以 ,(由于 ,故等号取不到), 又因为 ,函数 的最小值大于2,故C错误; 对于D项,不等式 化简后变为: , 当 时, , , 当 时, , , 所以 ,则 ,故D正确. 故选:ABD【点睛】方法点睛:隐零点的处理思路: 第一步:用零点存在性定理判定导函数零点的存在性,其中难点是通过合理赋值,敏 锐捕捉零点存在的区间,有时还需结合函数单调性明确零点的个数; 第二步:虚设零点并确定取范围,抓住零点方程实施代换,如指数与对数互换,超越 函数与简单函数的替换,利用同构思想等解决,需要注意的是,代换可能不止一次. 11.(2023·黑龙江哈尔滨·哈尔滨三中校考一模)已知 且 , ,则下列说法中错误的是( ) A. B.若关于b的方程 有且仅有一个解,则 C.若关于b的方程 有两个解 , ,则 D.当 时, 【答案】BC 【分析】对于A,构造 ,然后得到其单调性即可判断;对于B,转 化为 与 的交点问题;对于C,结合前面结论得到 ,代入 计算即可判断;对于D,转化为即 ,即可判断. 【详解】 因为 ,化简可得令 ,则 , 令 ,则 , 故 时, ,函数 在 上递增; 时, ,函数 在 上递减; 所以 即 ,所以函数 单调递减, 所以 , 且令 ,则 ,令 ,得 ,则 递增; 令 ,得 ,则 递减; 所以 ,即 ,所以 成立,故A正确; 由 转化为 与 的交点问题, 则 , 如图所示, 当 时, ,则 递减,当 时, , 当 时, ,则 递增, 当 时, ,则 递减, 即当 时,函数有极小值 , 所以只有一个解时 或 ,故B错误; 由 ,由图易知,不妨设 ,则 ,则有所以 ,所以 ,代入可得 , 取对数可得 ,即 所以 是否成立, 即 , 令 , 取 时, 不成立,故C错误; 因为 , 即 所以 令 ,只需证明 成立即可, ,所以 成立 故D正确; 【点睛】方法点睛:已知函数有零点(方程有根)求参数值(取值范围)常用的方法: (1)直接法:直接求解方程得到方程的根,再通过解不等式确定参数范围; (2)分离参数法:先将参数分离,转化成求函数的值域问题加以解决; (3)数形结合法:先对解析式变形,进而构造两个函数,然后在同一平面直角坐标系 中画出函数的图象,利用数形结合的方法求解. 12.(2023·安徽·统考一模)已知函数 和 及其导函数 和 的定义 域均为 ,若 , ,且 为偶函数,则 ( )A. B.函数 的图象关于直线 对称 C.函数 的图象关于直线 对称 D. 【答案】ABC 【分析】根据 为偶函数,可得 ,两边求导即可判断A;由 关于直线 对称得 ,结合 ,即可判断B; 根据 两边同时求导得 ,从而可判断C;先求出 函数 和 的周期,再结合函数的对称性即可判断D. 【详解】对于A,由 为偶函数得 , 则 关于直线 对称,即 , 两边同时求导得 , 令 得 ,故A正确; 对于B,由 关于直线 对称得 , 由 得 , 所以 ,即 关于直线 对称,故B正确; 对于C,对 两边同时求导得 , 由 得 ,则 , 所以 关于直线 对称,故C正确; 对于D,由 得 , 结合 选项可知, ,即 ,所以 , 所以4是函数 的一个周期, 由 得,4也是函数 的一个周期, 由 得 ,所以 ,故D错误. 故选:ABC. 【点睛】关键点点睛:此题通过函数的奇偶性和对称性,结合导数的运算,寻找函数 图像的对称轴是解题关键,原函数与导函数图像的联系,奇偶性的联系,都是解 题的思路. 13.(2023春·重庆沙坪坝·高三重庆市凤鸣山中学校考阶段练习)已知函数 ,下列说法正确的是( ) A. 定义域为 B. C. 是偶函数 D. 在区间 上有唯一极大值点 【答案】ACD 【分析】根据函数解析式结合三角函数性质求得定义域,判断A;由于函数的定义域 不关于原点对称,故可判断B;根据函数奇偶性的定义可判断C;求出函数的导数, 根据其结构特点,构造函数,再次求导,判断导数正负,进而判断函数单调性,进而 判断极大值点,即可判断D. 【详解】A. 的定义域为 ,解得 的定义域为 正确 B.由于 的定义域不关于原点对称,故函数不可能是偶函数,B错误; C.设 ,则定义域为 , ,即 是偶函数, 正确 D. , 令 , 令 ,由 , 当 时, ,即当 时, 单调递增, 当 时, 在 单调递减, 且 , , , 结合 时, ; 时, , 故存在 使得 ,即有 在 单调递减,在 单调 递增,在 单调递减, 注意到 ,且 时, 时, ,从而对于 ,当 时 , 在区间 单调递减,当 时 , , 在区间 单调递增, 为 在区间 上的唯一极大值点, 故D正确, 故选: 【点睛】难点点睛:利用导数解决 在区间 上有唯一极大值点的问题时,求 出函数的导数,由于导数形式比较复杂,故而难点就在于要根据导数的结构形式构造 函数,进而再次求导结合零点存在定理判断导数正负,从而判断函数的单调性,解决 极大值点问题. 14.(2023秋·辽宁营口·高三统考期末)已知函数 的零点为 ,函数 的零点为 ,则下列不等式中成立的是( ) A. B. C. D. 【答案】ACD 【分析】利用导数分析函数 的单调性,分析可知 ,由 可得出 ,即 ,可得出 , ,利用二次函 数的基本性质可判断A选项;求出 的值,可判断B选项;可知 ,其中 ,分析函数 的单调性可判断C选项;构造函 数 ,其中 ,利用导数分析函数 在 上的单调性,结合放缩法可判断D选项. 【详解】因为函数 的定义域为 ,函数 、 在 上均为增函数, 所以,函数 在 上为增函数, 因为 ,且 , 即 , ,即 , 因为 , ,由零点存在定理可知, , 且 ,所以, . 对于A选项, ,A对; 对于B选项, ,B错; 对于C选项, ,令 ,其中 , ,则函数 在 上单调递增, 所以, ,C对; 对于D选项,令 ,其中 , 则 , 当 时, , ,则 , 则 在 上单调递增,因为 , , 又因为 ,所以 ,D对. 故选:ACD.【点睛】关键点点睛:本题考查函数零点相关的不等式相关的问题,解本题的关键在 于分析得出 ,通过指对同构得出 ,即 ,再结合函数的单调 性来进行判断. 15.(2023·辽宁阜新·校考模拟预测)若 ,若 恒 成立,则 的值不可以是( ) A. B. C. D. 【答案】ABD 【分析】根据题意可得:故原题意即为 恒成立,构 建 ,结合 的单调性可得: 恒成立,构建 ,则 ,求导,利用导数求最值,运算求解即可. 【详解】∵ ,等价于 ,等价于 , 故原题意即为 恒成立, 构建 ,则 在定义域内单调递增, 由 ,可得 ,即 , 故 恒成立, 构建 ,则 , 令 ,解得 , 当 时, ,当 时, , 则 在 上单调递减,在 上单调递增,故 ,解得 , 若 恒成立,则 . 故A、B、D错误,C正确. 故选:ABD. 【点睛】结论点睛:指对同构的常见形式: 积型: , ① ,构建 ; ② ,构建 ; ③ ,构建 . 商型: , ① ,构建 ; ② ,构建 ; ③ ,构建 . 和型: , ① ,构建 ; ② ,构建 . 16.(2023春·江苏南通·高三校考开学考试)若函数 有两个极 值点 ,且 ,则下列结论正确的是( ) A. B. C. D. 【答案】ACD 【分析】对于选项A、B, 有两个极值点,则 在 上有2个不同的根,分离参数画图可得a的范围及 、 的范围. 对于选项C,将 代入 可得关于 的二次函数,求其范围即可. 对于选项D,运用比值代换法构造函数求导研究其范围. 【详解】由题意知, 在 上有2个不同的根, 又∵ , ∴ ,即: , ∴ 在 上有2个不同的交点, 令 , ∴ , , , ∴ 在 上单增,在 上单减, 又∵ , ,当 时, ,当 时, , ∴ 的图象如图所示, ∴当 时, 与 在 上有2个不同的交点, . 故选项A项正确,选项B项错误; 对于C项,由题意知, , ∴ ,又∵ ,∴ , 令 ,则 ,则 在 上单调递增, ∴ ,即: .故选项C项正确; 对于D项,设 , ∴ ,解得: ∴ , ∴ , , 令 , 则 , 令 ,则 , , ∵ , ∴ ∴ 在 上单调递增, ∴ , ∴ 在 上单调递增, ∴ , ∴ , ∴ 在 上单调递增, ∴ ∴ ,即: ,故选项D正确. 故选:ACD.【点睛】极值点偏移问题的解法 (1)(对称化构造法)构造辅助函数:对结论 型,构造函数 ;对结论 型,构造函数 ,通过 研究F(x)的单调性获得不等式. (2)(比值代换法)通过代数变形将所证的双变量不等式通过代换 化为单变量的函数 不等式,利用函数单调性证明. 17.(2023秋·河北邢台·高三统考期末)已知 ,函数 ,下列结论 正确的是( ) A. 一定存在最小值 B. 可能不存在最小值 C.若 恒成立,则 D.若 恒成立,则 【答案】AC 【分析】利用导数研究函数的单调性,判断最值的存在性,通过构造函数,利用单调 性处理恒成立问题. 【详解】 ,则 为增函数. 因为 ,所以 存在唯一的零点 . 当 时, , 单调递减;当 时, , 单调 递增, 所以 , A选项正确,B选项错误; 由 ,可得 ,则 .恒成立,即 恒成立, 令函数 ,则 , 易知 在 上单调递增,则 , 故 ,即 ,C选项正确,D选项错误. 故选:AC. 【点睛】1. 导函数中常用的两种常用的转化方法:一是利用导数研究含参函数的单调 性,常化为不等式恒成立问题.注意分类讨论与数形结合思想的应用;二是函数的零 点、不等式证明常转化为函数的单调性、极(最)值问题处理. 2.证明不等式,构造一个适当的函数,利用它的单调性进行解题,是一种常用技巧.许 多问题,如果运用这种思想去解决,往往能获得简洁明快的思路,有着非凡的功效. 18.(2023·山东威海·统考一模)已知函数 及其导函数 的定义域均为 , 记 ,若 为偶函数, 为奇函数,则( ) A. B. C. D. 【答案】ABD 【分析】对于ABD,利用已知条件与复合函数的求导法则,结合 与 的奇 偶性,逐一分析判断即可;对于C,举反例排除即可. 【详解】对于A,因为 为偶函数,所以 , 所以 ,故A正确; 对于B,因为 ,左右两侧分别取导数可得, , 所以 ,故B正确; 对于D,因为 ,又 为奇函数,则 , 所以 ,即 ,则 ,故D正确;对于C,令 ,则 为偶函数, 为奇函数,满足题干, 当 时, , , 所以 ,即存在 ,使得 不成立,故C错误. 故选:ABD. 19.(2023·山东泰安·统考一模)已知函数 有两个极值点 , ,则( ) A. B. C. D. , 【答案】ACD 【分析】求出 ,根据已知得 有两个变号零点,令 ,求出 , 分类讨论根据其正负得出 单调性,令其满足有两个变号零点,当 时,不满 足题意,当 时,则 ,即可解出 的范围,判断A; 根据已知可得 有两个变号零点 , ,而函数 在 上单调递 增,在 上单调递减,则 ,即可判断B; ,则 ,根据不等式的性质即可得出 范围,判断 C; 根据 得出函数 单调性,结合 ,且 ,列不等式,即可判断 D.【详解】对于A: ,定义域 , , 函数 有两个极值点 , , 则 有两个变号零点, 设 , 则 , 当 时, ,则函数 单调递增,则函数 最多只有一个变号零点, 不符合题意,故舍去; 当 时, 时, , 时, , 则函数 在 上单调递增,在 上单调递减, 若 有两个变号零点,则 ,解得: , 此时 由正趋向于 时, 趋向于 , 趋向于 时, 趋向于 , 则 有两个变号零点,满足题意, 故 的范围为: ,故A正确; 对于B:函数 有两个极值点 , , 即 有两个变号零点 , , 则 ,故B错误; 对于C:当 时, , 则 ,即 , , 则 ,故C正确;对于D: 有两个变号零点 , ,且函数 先增后减, 则函数 在 与 上单调递减,在 上单调递增, ,且 , ,故D正确; 故选:ACD. 【点睛】方法点睛:导函数中常用的两种转化方法: 一是利用导数研究含参函数的单调性,常转化为不等式恒成立问题,注意分类讨论与 数形结合思想的应用; 二是函数的零点、不等式证明常转化为函数的单调性、极(最)值问题处理; 再利用导数研究函数单调性、极值或最值时,如果一次求导无法求解,可考虑多次求 导来进行求解,求解过程要注意原函数和对于的导函数的关系,不能混淆. 20.(2023·湖北·宜昌市一中校联考模拟预测)已知 ,则 ( ) A. B. C. D. 【答案】BC 【分析】通过多次构造函数,结合函数的性质、选项及 进行求 解. 【详解】设 , ,当 时, , 为减函数;当 时, , 为增函数;所以 的最大值为 ,即 . 因为 ,所以 . 设 , ,所以当 时, 为减函数;因为 , ,所以 . 由 可得 ,所以 ,故B正确. 设 , ,当 时, , 为减函数;当 时, , 为增函数;所以 的最大值为 ,所以 ,即 . . 设 ,易知 为增函数,由 可得 ,故C正确. 因为 为单调递减函数, 在 上是增函数,在 上是减函数,且 的图象经过 图象的最高点,所以当 时, 的大小无法得出,故A不正确. 令 ,则 ,得 ,易知 在 为增函数,所以 , 所以 不成立,故D不正确. 故选:BC. 【点睛】方法点睛:利用导数比较大小的常用方法: (1)作差比较法:作差,构造函数,结合函数最值进行比较; (2)作商比较法:作商,构造函数,结合函数最值进行比较; (3)数形结合法:构造函数,结合函数图象,进行比较; (4)放缩法:结合常见不等式进行放缩比较大小,比如, 等. 21.(2023春·湖北·高三统考阶段练习)设定义在 上的函数 与 的导函数分 别为 和 ,若 ,且 与 均为偶函数,则下列 说法中一定正确的是( )A. B. C. D. 【答案】ABD 【分析】对于选项A:根据已知结合偶函数性质得出 ,两边求导结 合函数中心对称得出 图像关于 点对称,即可得出 ,根据已知结合 函数求导得出 ,令 得出 来判断; 对于选项B:根据已知结合偶函数性质得出 ,两边求导结合函数中心对 称得出 图像关于 点对称,根据函数图像变化结合已知得出 图像关于 点对称,函数关于两点对称,根据中心对称的性质即可得出 ,即可得出 ,根据 得出 ,即可得出答案来判断; 对于选项C:根据 图像关于 点对称,得出 ,即可结合函数求导得 出 ,令 得出 来判断; 对于选项D:根据 图像关于 点对称,结合中心对称的性质得出 ,即可得出 来判断. 【详解】对于选项A: 为偶函数, ,,即 , 图像关于 点对称, , , , 令 ,得 ,解得 ,故A正确; 对于选项B: 为偶函数, , ,即 , 图像关于 点对称, 图像关于 点对称, 图像关于 点对称, 图像关于 点与 点对称, 自变量每增加1,函数值增加4,即 , ,令 ,得 , , 则 ,故B正确; 对于选项C: 图像关于 点对称,, , 令 ,得 ,故C错误; 对于选项D: 图像关于 点对称, 则 两自变量相加等于1时,函数值之和为 ,即 , , ,故D正确; 故选:ABD. 22.(2023·湖南·模拟预测)函数 (e为自然对数的底数),则下 列选项正确的有( ) A.函数 的极大值为1 B.函数 的图象在点 处的切线方程为 C.当 时,方程 恰有2个不等实根 D.当 时,方程 恰有3个不等实根 【答案】BD 【分析】求出函数 的导数,利用导数探讨极大值判断A;利用导数的几何意义求 出切线方程判断B;分析函数性质并结合函数图象判断CD作答. 【详解】对于A: , 在区间 , 上, , 单调递增,在区间 上, , 单调递减,所以 的极大值为 ,A错误; 对于B: , ,则函数 图象在点 处的切线方程为 ,即 ,B正确; 对于C、D:因为 在 上递增,在 上递减, , , 在 上递增,且 在 上的取值集合为 , 在 上的取值集合为 , 因此函数 在 上的取值集合为 , 的极大值为 , 的极小值为 , 作出函数 的部分图象,如图, 观察图象知,当 或 时, 有1个实数根;当 或 时 有2个实数根; 当 时,有3个实数根,C错误,D正确. 故选:BD 【点睛】思路点睛:研究方程根的情况,可以通过转化,利用导数研究函数的单调性、 最值等,借助数形结合思想分析问题,使问题的求解有一个清晰、直观的整体展现. 23.(2023·湖南邵阳·统考二模)已知函数 , 是 的导数, 则( )A.函数 在 上单调递增 B.函数 有唯一极小值 C.函数 在 上有且只有一个零点 ,且 D.对于任意的 , , 恒成立 【答案】ABD 【分析】对函数求导,利用二次导函数的正负判断导函数函数的单调性,进而判断选 项 ;构造函数,利用导数求解函数的单调性并证明不等式,进而判断选项 . 【详解】 , ,则 , 设 , , 则函数 在 上单调递增, ,因此 对任意的 恒成立,所以 在 上单调递增,故选项 正确; 又 ,所以 ,则存在 ,使得 . 在 时, ; 时, ; 所以函数 在 单调递减,在 单调递增, 故 有唯一极小值,故选项 正确; 令 , ,则 , 所以函数 在 单调递减,在 单调递增, 且 ,则有 . 又 , 因此存在 ,使得 , 当 时, ,当 时, , 于是得函数 在 上单调递增,在 上单调递减,则 . 又 , 从而存在唯一 ,使得 . 显然当 时, ,当 时, . 又 ,令 , , 因此函数 在 上单调递减, , 有 , ,则 , 即 ,从而函数 在 上有唯一零点 , 函数 在 上有且只有一个零点 ,且 ,故选项C错误; , ,, 设 , , 则 由选项 知, 在 上单调递增,而 ,则 , 即有 ,因此函数 在 上单调递增, ,即有 , 所以对任意的 , ,总满足 ,故选项 正确. 故选: . 【点睛】方法点睛:利用导数证明不等式问题,方法如下: (1)直接构造函数法:证明不等式 (或 )转化为证明 (或 ),进而构造辅助函数 ; (2)适当放缩构造法:一是根据已知条件适当放缩;二是利用常见放缩结论; (3)构造“形似”函数,稍作变形再构造,对原不等式同解变形,根据相似结论构造 辅助函数. 24.(2023·江苏南通·校联考模拟预测)已知O为坐标原点,曲线 在点 处的切线与曲线 相切于点 ,则( ) A. B. C. 的最大值为0 D.当 时, 【答案】AB 【分析】先利用导数几何意义求出切线方程,利用切线斜率和截距相等建立方程,然后利用指对互化判断A、B,由数量积坐标运算化简 ,判断函数 值符号即可判断C,构造函数,利用导数法研究函数的单调性,判断D 【详解】因为 ,所以 ,又 ,所以 , 切线: ,即 , 因为 ,所以 ,又 ,所以 , 切线: ,即 , 由题意切线重合,所以 ,所以 ,即 ,A正确; 当 时,两切线不重合,不合题意, 所以 , , , 所以 , ,B正确; , 当 时, , ,则 ,当 时, , , 则 , ,所以 ,C错误; 设 ,则 , 所以函数 在 上单调递增,所以 ,所以 , 所以 ,∴ , 记 ,则 ,所以函数 在 上单调递增,则 ,所以 ,D错误. 故选:AB 【点睛】关键点点睛:本题需要表示出两条切线方程,然后比较系数,再进行代换, 在代换过程中要尽量去消去指数或对数,朝目标化简. 25.(2023·吉林·长春十一高校联考模拟预测)已知函数 ,数列 按照如下方式取定: ,曲线 在点 处的切线与经过点 与点 的直线平行,则( ) A. B. 恒成立 C. D.数列 为单 调数列 【答案】ABD 【分析】根据导数的几何意义,利用放缩法和构造函数利用导数证明单调性即可得解. 【详解】因为 , 所以 , , , , 曲线 在点 处的切线与 与 连线平行, 所以斜率相等, 所以 , 所以 , 所以所以 , 而 , 所以 , 记 , 所以 , 所以 单调递减, 所以 , 所以 , 所以 , 所以 , 所以 , 所以 , 所以 所以 ,故选项A正确; 设 ,则 , 设 , , 所以 , , 所以若 ,则 ,则 , 因为 , 所以 恒成立,故选项B正确; 要证 , 令 , 即证明 , 令 , 所以t>0时, , (t>0) 所以 , 所以选项C错误; , 若数列 为单调,则 必为单调递减, 则 , 即 , 即 , 即 ( ), 即 ,即 , 令 , 则 , 所以 , 所以 单调递增 , 所以 , 所以 , 所以得证; 所以选项D正确; 故选:ABD. 【点睛】通过构造单变量函数,求导后证明不等式,从而可以帮助解题. 26.(2023春·江苏镇江·高三扬中市第二高级中学校考开学考试)已知直线 分别与函数 和 的图象交于点 , ,则( ) A. B. C. D. 【答案】ABD 【分析】A选项,看出 与 互为反函数,确定 也关于 对称,求出 , 两点关于 对称, , , , A选项,利用基本不等式进行证明;B选项,得到 , , ,构造 , ,求导得到其单调性,从而求出 ;C选项,由基本不等式得到 ,构造 ,求导得到其单 调性,得到 ,得到 ;D选项,先根据 得到 ,再用作差法比较大小. 【详解】 与 互为反函数,即两函数关于 对称, 而 与 垂直,故 也关于 对称, 联立 ,解得: , 故 , 两点关于 对称, 即 , 且 , 不妨设 , , 画出图象如下: A选项, ,当且仅当 ,即 时等号成立, 又 ,故等号取不到,A正确; 因为 ,所以 ,所以 , 因此 ,故 ,又 为 与 的交点,故 , 所以 ,令 , , 其中 在 上恒成立, 故 在 上单调递增, 所以 ,B正确; 因为 , , 所以 ,因此有 , 设 , , 因为 ,所以 ,因此 在 上单调递增, 当 时,有 ,即 , 因此 ,C错误; 因为 ,所以 , 所以 , 即 ,D正确. 故选:ABD 【点睛】互为反函数的两个函数的性质:①反函数的定义域和值域分别为原函数的值 域与定义域; ②严格单调的函数存在反函数,但有反函数的函数不一定是单调的(比如反比例函数); ③互为反函数的两个函数关于 对称, ④奇函数不一定有反函数,若有反函数,则反函数也时奇函数; ⑤如果一个函数图象关于 对称,那么这个函数一定存在反函数,并且其反函数就 是它本身. 27.(2023秋·重庆·高三统考阶段练习)已知函数 有三个不同的极值 点 , , ,且 ,则下列结论正确的是( ) A. B. C. 为函数 的极大值点 D. 【答案】ACD 【分析】由已知可知方程 有三个根,然后利用导数讨论 的单 调性,结合图象可判断A、B选项;结合图象分析在 处 的正负,即可得出函数 在 附近的单调性,即可判断C选项;将 代入 ,然后利用导数讨 论其单调性,由单调性可判断D选项. 【详解】由函数 有三个不同的极值点 , , , 只需 有三个零点,即方程 有三个根, 设函数 ,则 , 令 ,即 ,;令 ,即 或 , 所以函数 在 和 上单调递增,在 上单调递减, 所以函数 的极小值为 ,且当 时, ,如图,当 ,即 时,函数 与 有三个交点,即函数 有三个不 同的极值点,故A正确; 对于B,观察图象可知 ,故B不正确; 对于C,由图象可知,当 时, ,即 , 当 时, ,即 , 所以函数 在 上单调递增,在 上单调递减, 所以 为函数 的极大值点,故C正确; 对于D,由 ,即 , 令 , , 则 ,故函数 在 上单调递减, 故 ,故D正确. 故选:ACD. 【点睛】方法点睛:将函数 极值问题转化方程 的根的问题,再转化为函 数与函数交点问题,结合图象求解即可. 28.(2023·河北·河北衡水中学校考模拟预测)若当实数a变化时,直线 恒与定曲线 相切,且 ,则( ) A. 有一个极大值点 B. C. D. 【答案】AD 【分析】求出 的解析式再利用导数可求探究其性质,再判断后可得正确的选项. 【详解】因为直线 恒与定曲线 相切, 则曲线 为坐标平面上挖去诸切线上的点后余下的所有点形成的边界(边界为 虚边界),而余下的 不在切线上,故 无解, 设 ,则 , 若 ,则 ,当 时, 无解,此时边界点为 若 ,则 ,故 在 上为增函数, 而当 时, , 时, , 故无论 取何值,从而 总有解. 若 ,则 时, , , , 故 在 上为减函数,在 上为增函数, 故 , 若 ,则 无解,故 即 , 边界对应的函数为 , . 若 ,因此 时, ,故此时 总有解. 综上, ,故C错误.当 时, , 当 时, ;当 时, , 故 在 上为增函数,在 为减函数, 故 有唯一的极大值点 ,且极大值为 ,故A正确. 又 的图象如图所示: 当 时,由 可得 或 ,即 或 , 有两个不同的解,故B错误. 若 ,则由图象可得 ,不妨设 , 当 时, ,此时 成立; 当 时,令 ,其中 , 则 , 因为 ,故 ,故 , 所以 在 上为减函数,故 ,所以 ,故 , 故 ,而 , 由 的单调性可得 即 , 综上,D成立, 故选:AD. 【点睛】思路点睛:对于曲线的切线族问题,往往与曲线的包络线有关,注意从曲线 的切线族结合方程无解可求曲线的方程,再结合导数的方法可研究函数的性质. 29.(2023·河北邢台·校联考模拟预测)已知 ,函数 ,则 ( ) A.对任意 , , 存在唯一极值点 B.对任意 , ,曲线 过原点的切线有两条 C.当 时, 存在零点 D.当 时, 的最小值为1 【答案】ABD 【分析】对于A,求出函数导数,数形结合,判断导数正负,从而判断函数单调性, 确定函数极值点;对于B,设切点为 ,利用导数的几何意义可 得方程,结合方程的根的个数,判断切线的条数;对于C,利用导数判断函数单调性, 求函数最值,根据最值情况判断函数的零点情况;对于D,由于 为偶函数,故 先判断 时函数的单调性,结合偶函数性质,即可判断 的单调性,进而求得 函数最值. 【详解】对于A,由已知 ,函数 ,可得 , 令 , 则 即 在R上单调递增,令 ,则 , 当 时,作出函数 的大致图象如图: 当 时,作出函数 的大致图象如图: 可知 的图象总有一个交点,即 总有一个根 , 当 时, ;当 时, , 此时 存在唯一极小值点,A正确; 对于B,由于 ,故原点不在曲线 上,且 , 设切点为 ,则 , 即 ,即 , 令 , , 当 时, , 在 上单调递减, 当 时, , 在 上单调递增, 故 ,当 时, 的值趋近于0, 趋近于无穷大,故 趋近于正无穷大, 当 时, 的值趋近于正无穷大, 趋近于无穷大,故 趋近于正 无穷大, 故 在 和 上各有一个零点,即 有两个解, 故对任意 , ,曲线 过原点的切线有两条,B正确; 对于C,当 时, , , 故 ,该函数为R上单调增函数, , 故 ,使得 ,即 , 结合A的分析可知, 的极小值也即最小值为 , 令 ,则 ,且为增函数, 当 时, ,当且仅当 时取等号, 故当 时, ,则 在 上单调递增, 故 ,令 ,则 , 此时 的最小值为 , 无零点,C错误; 对于D,当 时, 为偶函数,考虑 视情况; 此时 , , 结合A的分析可知 在R上单调递增, , 故 时, ,则 在 上单调递增, 故 在 上单调递减, 为偶函数,故 ,D正确, 故选:ABD 【点睛】难点点睛:本题综合新较强,综合考查了导数的几何意义以及极值点、零点、 最值问题,计算量较大;难点在于利用导数解决函数的零点问题时,要能构造恰当的 函数,结合零点存在定理判断导数值的情况,从而判断函数的单调性,求得最值,解 决零点问题. 30.(2023·湖北武汉·统考模拟预测)已知函数 ,将 的所有极 值点按照由小到大的顺序排列,得到数列 ,对于正整数n,则下列说法中正确的 有( ) A. B. C. 为递减数列 D. 【答案】AC 【分析】 的极值点为 的变号零点,即为函数 与函数 图像在 交点的横坐标.将两函数图像画在同一坐标系下. A选项,利用零点存在性定理及图像可判断选项; BC选项,由图像可判断选项; D选项,注意到 ,由图像可得 单调性,后可判断选 项. 【详解】 的极值点为 在 上的变号零点. 即为函数 与函数 图像在 交点的横坐标. 又注意到 时, , 时, , , 时, .据此可将两函数图像画在同一坐标系中,如下图所示. A选项,注意到 时, , , . 结合图像可知当 , . 当 , .故A正确; B选项,由图像可知 ,则 ,故B错误; C选项, 表示两点 与 间距离,由图像可知, 随着n的增大,两点间距离越来越近,即 为递减数列.故C正确; D选项,由A选项分析可知, , 又结合图像可知,当 时, ,即此时 , 得 在 上单调递增, 则 ,故D错误. 故选:AC【点睛】关键点点睛:本题涉及函数的极值点,因函数本身通过求导难以求得单调性, 故将两相关函数画在同一坐标系下,利用图像解决问题.