当前位置:首页>文档>冲刺985、211名校之2023届新高考题型模拟训练专题26函数新定义综合问题(单选+多选+填空)(新高考通用)解析版_2.2025数学总复习_2023年新高考资料_专项复习

冲刺985、211名校之2023届新高考题型模拟训练专题26函数新定义综合问题(单选+多选+填空)(新高考通用)解析版_2.2025数学总复习_2023年新高考资料_专项复习

  • 2026-04-05 23:40:40 2026-03-19 09:00:37

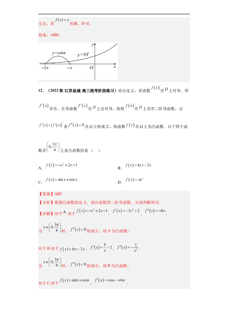
文档预览

冲刺985、211名校之2023届新高考题型模拟训练专题26函数新定义综合问题(单选+多选+填空)(新高考通用)解析版_2.2025数学总复习_2023年新高考资料_专项复习
冲刺985、211名校之2023届新高考题型模拟训练专题26函数新定义综合问题(单选+多选+填空)(新高考通用)解析版_2.2025数学总复习_2023年新高考资料_专项复习
冲刺985、211名校之2023届新高考题型模拟训练专题26函数新定义综合问题(单选+多选+填空)(新高考通用)解析版_2.2025数学总复习_2023年新高考资料_专项复习
冲刺985、211名校之2023届新高考题型模拟训练专题26函数新定义综合问题(单选+多选+填空)(新高考通用)解析版_2.2025数学总复习_2023年新高考资料_专项复习
冲刺985、211名校之2023届新高考题型模拟训练专题26函数新定义综合问题(单选+多选+填空)(新高考通用)解析版_2.2025数学总复习_2023年新高考资料_专项复习
冲刺985、211名校之2023届新高考题型模拟训练专题26函数新定义综合问题(单选+多选+填空)(新高考通用)解析版_2.2025数学总复习_2023年新高考资料_专项复习
冲刺985、211名校之2023届新高考题型模拟训练专题26函数新定义综合问题(单选+多选+填空)(新高考通用)解析版_2.2025数学总复习_2023年新高考资料_专项复习
冲刺985、211名校之2023届新高考题型模拟训练专题26函数新定义综合问题(单选+多选+填空)(新高考通用)解析版_2.2025数学总复习_2023年新高考资料_专项复习
冲刺985、211名校之2023届新高考题型模拟训练专题26函数新定义综合问题(单选+多选+填空)(新高考通用)解析版_2.2025数学总复习_2023年新高考资料_专项复习
冲刺985、211名校之2023届新高考题型模拟训练专题26函数新定义综合问题(单选+多选+填空)(新高考通用)解析版_2.2025数学总复习_2023年新高考资料_专项复习
冲刺985、211名校之2023届新高考题型模拟训练专题26函数新定义综合问题(单选+多选+填空)(新高考通用)解析版_2.2025数学总复习_2023年新高考资料_专项复习
冲刺985、211名校之2023届新高考题型模拟训练专题26函数新定义综合问题(单选+多选+填空)(新高考通用)解析版_2.2025数学总复习_2023年新高考资料_专项复习
冲刺985、211名校之2023届新高考题型模拟训练专题26函数新定义综合问题(单选+多选+填空)(新高考通用)解析版_2.2025数学总复习_2023年新高考资料_专项复习
冲刺985、211名校之2023届新高考题型模拟训练专题26函数新定义综合问题(单选+多选+填空)(新高考通用)解析版_2.2025数学总复习_2023年新高考资料_专项复习
冲刺985、211名校之2023届新高考题型模拟训练专题26函数新定义综合问题(单选+多选+填空)(新高考通用)解析版_2.2025数学总复习_2023年新高考资料_专项复习
冲刺985、211名校之2023届新高考题型模拟训练专题26函数新定义综合问题(单选+多选+填空)(新高考通用)解析版_2.2025数学总复习_2023年新高考资料_专项复习
冲刺985、211名校之2023届新高考题型模拟训练专题26函数新定义综合问题(单选+多选+填空)(新高考通用)解析版_2.2025数学总复习_2023年新高考资料_专项复习
冲刺985、211名校之2023届新高考题型模拟训练专题26函数新定义综合问题(单选+多选+填空)(新高考通用)解析版_2.2025数学总复习_2023年新高考资料_专项复习
冲刺985、211名校之2023届新高考题型模拟训练专题26函数新定义综合问题(单选+多选+填空)(新高考通用)解析版_2.2025数学总复习_2023年新高考资料_专项复习
冲刺985、211名校之2023届新高考题型模拟训练专题26函数新定义综合问题(单选+多选+填空)(新高考通用)解析版_2.2025数学总复习_2023年新高考资料_专项复习
冲刺985、211名校之2023届新高考题型模拟训练专题26函数新定义综合问题(单选+多选+填空)(新高考通用)解析版_2.2025数学总复习_2023年新高考资料_专项复习
冲刺985、211名校之2023届新高考题型模拟训练专题26函数新定义综合问题(单选+多选+填空)(新高考通用)解析版_2.2025数学总复习_2023年新高考资料_专项复习
冲刺985、211名校之2023届新高考题型模拟训练专题26函数新定义综合问题(单选+多选+填空)(新高考通用)解析版_2.2025数学总复习_2023年新高考资料_专项复习
冲刺985、211名校之2023届新高考题型模拟训练专题26函数新定义综合问题(单选+多选+填空)(新高考通用)解析版_2.2025数学总复习_2023年新高考资料_专项复习
冲刺985、211名校之2023届新高考题型模拟训练专题26函数新定义综合问题(单选+多选+填空)(新高考通用)解析版_2.2025数学总复习_2023年新高考资料_专项复习
冲刺985、211名校之2023届新高考题型模拟训练专题26函数新定义综合问题(单选+多选+填空)(新高考通用)解析版_2.2025数学总复习_2023年新高考资料_专项复习
冲刺985、211名校之2023届新高考题型模拟训练专题26函数新定义综合问题(单选+多选+填空)(新高考通用)解析版_2.2025数学总复习_2023年新高考资料_专项复习
冲刺985、211名校之2023届新高考题型模拟训练专题26函数新定义综合问题(单选+多选+填空)(新高考通用)解析版_2.2025数学总复习_2023年新高考资料_专项复习
冲刺985、211名校之2023届新高考题型模拟训练专题26函数新定义综合问题(单选+多选+填空)(新高考通用)解析版_2.2025数学总复习_2023年新高考资料_专项复习
冲刺985、211名校之2023届新高考题型模拟训练专题26函数新定义综合问题(单选+多选+填空)(新高考通用)解析版_2.2025数学总复习_2023年新高考资料_专项复习
冲刺985、211名校之2023届新高考题型模拟训练专题26函数新定义综合问题(单选+多选+填空)(新高考通用)解析版_2.2025数学总复习_2023年新高考资料_专项复习
冲刺985、211名校之2023届新高考题型模拟训练专题26函数新定义综合问题(单选+多选+填空)(新高考通用)解析版_2.2025数学总复习_2023年新高考资料_专项复习
冲刺985、211名校之2023届新高考题型模拟训练专题26函数新定义综合问题(单选+多选+填空)(新高考通用)解析版_2.2025数学总复习_2023年新高考资料_专项复习
冲刺985、211名校之2023届新高考题型模拟训练专题26函数新定义综合问题(单选+多选+填空)(新高考通用)解析版_2.2025数学总复习_2023年新高考资料_专项复习
冲刺985、211名校之2023届新高考题型模拟训练专题26函数新定义综合问题(单选+多选+填空)(新高考通用)解析版_2.2025数学总复习_2023年新高考资料_专项复习
冲刺985、211名校之2023届新高考题型模拟训练专题26函数新定义综合问题(单选+多选+填空)(新高考通用)解析版_2.2025数学总复习_2023年新高考资料_专项复习
冲刺985、211名校之2023届新高考题型模拟训练专题26函数新定义综合问题(单选+多选+填空)(新高考通用)解析版_2.2025数学总复习_2023年新高考资料_专项复习
冲刺985、211名校之2023届新高考题型模拟训练专题26函数新定义综合问题(单选+多选+填空)(新高考通用)解析版_2.2025数学总复习_2023年新高考资料_专项复习
冲刺985、211名校之2023届新高考题型模拟训练专题26函数新定义综合问题(单选+多选+填空)(新高考通用)解析版_2.2025数学总复习_2023年新高考资料_专项复习
冲刺985、211名校之2023届新高考题型模拟训练专题26函数新定义综合问题(单选+多选+填空)(新高考通用)解析版_2.2025数学总复习_2023年新高考资料_专项复习
冲刺985、211名校之2023届新高考题型模拟训练专题26函数新定义综合问题(单选+多选+填空)(新高考通用)解析版_2.2025数学总复习_2023年新高考资料_专项复习

文档信息

文档格式
docx
文档大小
2.119 MB
文档页数
41 页
上传时间
2026-03-19 09:00:37

文档内容

【冲刺985、211名校之2023届新高考题型模拟训练】 专题26 函数新定义综合问题(单选+多选+填空) (新高考通用) 一、单选题 1.(2023秋·湖南长沙·高三校考阶段练习)设 ,用 表示不超过 的最大整数, 则 称取整函数,例如: , 已知 则函数 的值域为( ) A. B. C. D. 【答案】D 【分析】分离常数得 ,进而求得 ,从而可得答案. 【详解】 , , , , 当 当 . 故选:D 2.(2023春·重庆沙坪坝·高三重庆一中校考阶段练习)已知数列 满足: ,数列 满足: ,若 表示不超过 的 最大整数(例如 ),则 ( ) A.26 B.25 C.23 D.21 【答案】D【分析】根据已知递推关系可得 ,结合等差数列通项公式得 ,进而确定 的通项公式,根据新定义求目标式的值. 【详解】由题设, ,整理得 ,而 , 所以 是首项为2,公差为1的等差数列,故 ,则 , 又 ,故 , 所以 . 故选:D 3.(2022秋·湖北黄冈·高三统考阶段练习)中国传统文化中很多内容体现了数学的 “对称美”.如图所示的太极图是由黑白两个鱼形纹组成的圆形图案,充分体现了相互 转化、对称统一的形式美、和谐美.在平面直角坐标系中,如果一个函数的图象能够将某 个圆的周长和面积同时平分,那么称这个函数为这个圆的“优美函数”.则下列关于 “优美函数”的说法中正确的有( ) ①函数 可以是某个圆的“优美函数” ② ( )可以同时是无数个圆的“优美函数” ③函数 可以是无数个圆的“优美函数” ④若函数 是“优美函数”,则函数 的图象一定是中心对称图形 A.①② B.①④ C.①②③ D.②③ 【答案】C【分析】对于①,通过判断函数的奇偶性结合“优美函数”的定义判断,对于②,利 用正弦函数的性质求出其对称中心,再结合“优美函数”的定义判断,对于③,分离 常数求出函数的对称中心,再结合“优美函数”的定义判断,对于D,举例判断. 【详解】解 :对于①,函数的定义域为 , 因为 , 所以函数 为奇函数, 所以函数 可以是单位圆的“优美函数”,故①正确, 对于②,函数 , 令 ,则 , 所以函数 的对称中心为 , 所以以 为圆心, 为半径的圆都能被函数 的图象平分, 即 ( )可以同时是无数个圆的“优美函数”,故②正确; 对于③, , 令 ,因为 , 所以函数 为奇函数, 又因函数 是由函数 向上平移一个单位得到的, 所以函数 的对称中心为 ,所以以 为圆心, 为半径的圆都能被函数 平分, 即函数 可以是无数个圆的“优美函数”,故③正确; 对于④,若 的图象是中心对称图形,则此函数一定是“优美函数”,但“优 美函数”不一定是中心对称图形,如图所示,故④错误. 故选:C. 4.(2023春·广东·高三校联考阶段练习)若存在常数 ,使得函数 对定义域内 的任意 值均有 ,则 关于点 对称,函数 称为“准 奇函数”.现有“准奇函数” ,对于 , ,则函数 在区间 上的最大值与最小值的和为( ) A. B. C. D. 【答案】B 【分析】令 , ,根据“准奇函数”的定义可确定 , 都关于 对称,则由对称性可得 的最值之和,进而得到 的 最值之和. 【详解】令 ,则 , 关于点 中心对称; 令 ,则 ,关于点 中心对称; , , 设 在 处取得最大值,则在 处取得最小值 , ,即 的最大值与最小值的和为 . 故选:B. 5.(2023秋·河北衡水·高三河北衡水中学校考阶段练习)已知不等式 的解集 为 ,若 中只有唯一整数,则称A为“和谐解集”,若关于 的不等式 在区间 上存在“和谐解集”,则实数 的可能取 值为( ) A. B. C. D. 【答案】C 【分析】根据已知可得 .令 , .根 据函数的单调性,可得 .结合“和谐解集”的定义可知,唯一整数解 只能是 .进而得到实数 的取值范围,即可得出答案. 【详解】当 时,原不等式可化为 ,整理可得 ; 当 时,原不等式可化为 ,整理可得 . 所以不等式 可化为 . 令 , , 则 .所以 在 上单调递增,在 上单调递,所以 . 因为 ,所以 . 又 . 所以要使 只有一个整数解,则唯一整数解只能是 . 又因为点 , 是 图象上的点, 所以 . 因为 , , , ,所以实数 的可能取值为 . 故选:C. 【点睛】关键点点睛:去绝对值后,根据 的单调性,即可得到 , 进而得到 ,即可得到唯一整数解为 . 6.(2023·广东江门·统考一模)我们知道按照一定顺序排列的数字可以构成数列,那 么按照一定顺序排列的函数可以构成函数列.设无穷函数列 ( )的通项公 式为 , ,记 为 的值域, 为所有 的 并集,则E为( ) A. B. C. D.【答案】C 【分析】利用导数可得函数 在 上单调递增,进而 ,然后构造函数,利用导数求函数的最值,进而即得. 【详解】因为 , , , 所以 , 故 在 上单调递增, 又 , , 所以 , 设 , ,令 , 则 , 由 ,可得 ,由 ,可得 , 所以函数 在 上单调递减,在 上单调递增, 又 , , 所以 , , 设 ,则 在 上单调递减, 所以 , ,综上, , . 故选:C. 【点睛】数学中的新定义题目解题策略:①仔细阅读,理解新定义的内涵;②根据新 定义,对对应知识进行再迁移. 7.(2022秋·江苏南京·高三校考期末)若存在实数 和 ,使得函数 和 对 其公共定义域上的任意实数 都满足: 恒成立,则称直线 为 和 的一条“划分直线”.列命题正确的是( ) A.函数 和 之间没有“划分直线” B. 是函 和 之间存在的唯一的一条“划分直线” C. 是函数 和 之间的一条“划分直线” D.函数 和 之间存在“划分直线”,且 的取值范围为 【答案】B 【分析】根据函数 和 有公共点 得满足题意得“划分直 线”必过点 ,进而设其方程为 ,再结合 , 恒成立得 ,再证明 即可判断AB;根据当 时 不满足判断C;根据 判断D. 【详解】解:因为 , 所以,函数 和 有公共点 ,所以,当 和 之间存在“划分直线”,则该直线必过点 , 设过点 的直线方程为 ,即 , 因为对于 , 恒成立,即 , 所以,当 时, 恒成立,即 , 当 时, 恒成立,即 , 所以,对于 , 恒成立,则 , 所以,过点 ,且满足 的直线方程有且只有 , 下证 ,令 , , 所以,当 时, , 单调递增; 当 时, , 单调递减; 所以, ,即 ,故 , 所以,函数 和 之间存在的唯一的一条“划分直线” , 故A选项错误,B选项正确; 对于C选项,当 时, ; ,显然不满足 恒成 立,故错误; 对于D选项,当 时,显然满足 ,此时 ,故D错 误. 故选:B 【点睛】关键点点睛:对于AB选项的判断关键在于结合“划分直线”的定义,利用 “划分直线”过 和 有公共点 讨论求解;CD选项的判断通过特殊值判断. 8.(2023·湖南邵阳·统考一模)设 ,若函数 有且只有三个零点,则实数 的取值范围为( ) A. B. C. D. 【答案】C 【分析】构造函数 与 ,先利用导数研究得 的性 质,再利用二次函数的性质研究得 的性质,从而作出 的图像,由此得到 ,分类讨论 与 时 的零点情况,据此得解. 【详解】令 ,则 , 令 ,得 ;令 ,得 ; 所以 在 上单调递减,在 上单调递增,故 , 又因为对于任意 ,在 总存在 ,使得 , 在 上由于 的增长速率比 的增长速率要快得多,所以总存在 , 使得 , 所以 在 与 上都趋于无穷大; 令 ,则 开口向下,对称轴为 , 所以 在 上单调递增,在 上单调递增,故 ,. 因为函数 有且只有三个零点, 而 已经有唯一零点 ,所以 必须有两个零点,则 ,即 ,解得 或 , 当 时, ,则 , 即 在 处取不到零点,故 至多只有两个零点,不满足题意, 当 时, ,则 , 所以 在 处取得零点, 结合图像又知 与 必有两个交点,故 在 与 必有两个零点, 所以 有且只有三个零点,满足题意; 综上: ,即 . 故选:C. 9.(2023·山东菏泽·统考一模)定义在实数集 上的函数 ,如果 ,使 得 ,则称 为函数 的不动点.给定函数 , ,已知 函数 , , 在 上均存在唯一不动点,分别记为 ,则 ( ) A. B. C. D. 【答案】C【分析】由已知可得 ,则 , .然后证明 在 上恒成立.令 ,根据复合函数的单调性可知 在 上单调递减,即可得出 .令 ,根据导函数可得 在 上单调递减,即可推得 . 【详解】由已知可得, ,则 , 且 ,所以 . 又 , . 令 , ,则 恒成立, 所以, 在 上单调递增,所以 ,所以 . 所以, ,即 . 令 , , 因为函数 在 上单调递增, 在 上单调递减,且 , 根据复合函数的单调性可知,函数 在 上单调递减, 所以 在 上单调递减. 又 , ,所以 . 因为 在 上单调递减, ,所以 . 又 ,所以 ,即 . 令 , ,则 恒成立, 所以, 在 上单调递减.又 , , 所以 . 综上可得, . 故选:C. 【点睛】关键点点睛:证明 在 上恒成立.然后即可采用放缩法构造函数, 进而根据函数的单调性得出大小关系. 二、多选题 10.(2022·江苏徐州·徐州市第七中学校考模拟预测)一般地,若函数 的定义域 为 ,值域为 ,则称 为 的“ 倍跟随区间”;若函数 的定 义域为 ,值域也为 ,则称 为 的“跟随区间”.下列结论正确的是 ( ) A.若 为 的跟随区间,则 B.函数 存在跟随区间 C.若函数 存在跟随区间,则 D.二次函数 存在“3倍跟随区间” 【答案】ACD 【分析】A,由已知可得函数在区间上单调递增,进而可以求解 的值; B,假设存在跟随区间,则根据跟随区间的条件求解 , 的值,结合函数图象进行判 断; C,先设跟随区间为 ,则根据跟随区间满足的条件建立方程组,找出 , 的关系, 然后统一变量表示出 ,列出关于 的关系式,利用方程思想求解 的取值范围,D,若存在3倍跟随区间,则设定义域为 ,值域为 ,由此建立方程组,再 等价转化为一个方程有两个不相等的实数根,进而可以求解. 【详解】选项 :由已知可得函数 在区间 , 上单调递增,则有 , 解得 或1(舍 ,所以 , 正确; 选项 :若 存在跟随区间 , 又因为函数在单调区间 上递减,图象如图示, 则区间 一定是函数的单调区间,即 或 , 则有 ,解得 ,此时 异号, 故函数 不存在跟随区间, 不正确; 选项 :由已知函数可得:函数在定义域上单调递减, 若存在跟随区间 , 则有 ,即 , 两式作差得: , 即 , 又 ,所以 ,得 ,所以 ,设 ,则 , 即 在区间 上有两个不相等的实数根, 只需: ,解得 , 正确; 选项 :若函数存在3倍跟随区间,设定义域为 ,值域为 , 当 时,函数在定义域上单调递增, 则 , 是方程 的两个不相等的实数根,解得 或 , 故存在定义域为 使得值域为 , 正确, 故选:ACD. 【点睛】关键点点睛:根据新的定义求解参数或者是判断函数是否符合新定义,考查 学生的理解新知识运用新知识的能力,解答时要能根据新定义,灵活求解,综合性较 强. 11.(2022秋·江苏盐城·高三统考期中)对于函数 ,若在区间I上存在 ,使得 ,则称 是区间I上的“ 函数”.下列函数中,是区间I上的“ 函 数”的有( ) A. B. C. D. 【答案】ABD 【分析】根据“ 函数”的定义,对于ABC,举例判断,对于D,转化为两个函数图 像有交点,作出图像判断. 【详解】对于A, 时, ,A对. 对于B, 时, ,B对. 对于C, 有且仅有一个零点0, ,C错. 对于D, ,分别作出 与 在 的图像有交点,即 有解,D对, 故选:ABD. 12.(2022秋·江苏盐城·高三统考阶段练习)给出定义:若函数 在 上可导,即 存在,且导函数 在 上也可导,则称 在 上存在二阶导函数,记 若 在 上恒成立,则函数 在 上为凸函数.以下四个函 数在 上是凸函数的是( ) A. B. C. D. 【答案】ABC 【分析】根据凸函数的定义,求出函数的二阶导函数,分别判断即可. 【详解】对于 对于 , , , 当 时, 恒成立,故A为凸函数; 对于B.对于 , , , 当 时, 恒成立,故B为凸函数; 对于C.对于 , ,, 当 时, , , 恒成立,故C为凸函数; 对于D.对于 , , , 当 时, 恒成立,故D不是凸函数. 故选: . 13.(2023春·浙江·高三校联考开学考试)定义:设 是 的导函数, 是 函数 的导数,若方程 有实数解 ,则称点 为函数 的 “拐点”.经过探究发现:任何一个三次函数都有“拐点”且“拐点”就是三次函数 图像的对称中心.已知函数 的对称中心为 ,则下列说 法中正确的有( ) A. , B.函数 既有极大值又有极小值 C.函数 有三个零点 D.过 可以作三条直线与 图像相切 【答案】AB 【分析】根据“拐点”的定义与 的对称中心,建立方程求出 可判断A,再由 导数与函数单调性的关系即可判断 的极值,从而判断B,根据 的单调性及 的极值可判断C,根据导数的几何意义求出 的切线方程,从而转化为切点 个数问题即可判断D. 【详解】 , ,,即 ,解得 ,故A正确; , , 当 时, , 单调递增; 当 时, , 单调递减; 当 时, , 单调递增, 所以 既有极大值又有极小值,故B正确; 由选项B可知 在 与 处取得极大值与极小值, 又 , ,即 的极大值与极小值大于0,所以函数不会有3 个零点,故C错误; 设切点为 ,则切线方程为 , 又切线过 ,则 , 化简得 ,即 ,解得 或 , 即满足题意的切点只有两个,所以满足题意只有两条切线,故D错误. 故选:AB. 14.(2023·广东梅州·统考一模)对于定义在区间 上的函数 ,若满足: , 且 ,都有 ,则称函数 为区间 上的“非减函数”,若 为区间 上的“非减函数”,且 , ,又当 时, 恒成立,下列命题中正确的有( )A. B. , C. D. , 【答案】ACD 【分析】利用已知条件和函数的性质对选项逐一判断即可得正确答案. 【详解】A.因为 ,所以令 得 ,所以 , 故A正确; B.由当 , 恒成立,令 ,则 ,由 为区间 上的“非减函数”,则 ,所以 ,则 , ,故B错误; C. , ,而 , 所以 , , 由 , , ,则 ,则 ,故C正确; 当 时, , , 令 ,则 , ,则 ,即 ,故D正确. 故选:ACD 15.(2022·湖北·黄冈中学校联考模拟预测)高斯是德国著名数学家,近代数学奠基者 之一,享有“数学王子”的称号,他和阿基米德,牛顿并列为世界三大数学家,用 表示不超过x的最大整数,则 称为高斯函数,例如 , .则下列 说法正确的是( ) A.函数 在区间 ( )上单调递增 B.若函数 ,则 的值域为 C.若函数 ,则 的值域为 D. , 【答案】AC 【分析】求出函数式确定单调性判断A;举特例说明判断B,D;变形函数式,分析计 算判断C作答. 【详解】对于A, , ,有 ,则函数 在 上单调递增,A正确; 对于B, ,则 ,B不正确; 对于C, , 当 时, , ,有 , 当 时, , ,有 , 的值域 为 ,C正确; 对于D,当 时, ,有 ,D不正确. 故选:AC16.(2022·江苏南通·统考模拟预测)对于定义域为 的函数 ,若同时 满足下列条件:① , ;② , , , 则称函数 为“ 函数”.下列结论正确的是( ) A.若 为“ 函数”,则其图象恒过定点 B.函数 在 上是“ 函数” C.函数 在 上是“ 函数”( 表示不大于 的最大整数) D.若 为“ 函数”,则 一定是 上的增函数 【答案】AC 【分析】结合函数新定义的概念利用赋值法即可求解. 【详解】对于A:不妨令 ,则 , 因为 , ,所以 , 故 ,故A正确; 对于B:不妨令 , , 则 , , ,即 , 这与 , , 矛盾,故B错误; 对于C:由题意可知, , , 不妨令 ,其中 为整数部分, 为小数部分,则 ; 再令 ,其中 为整数部分, 为小数部分,则 ; 若 ,则 ; 若 ,则 , 从而 , , 成立,故C正确; 对于D:由题意可知,常函数 为“H函数”,但 不是增函数,故D错误.故选:AC. 17.(2022秋·广东揭阳·高三揭东二中校考阶段练习)函数 的定义域为I,若存 在 ,使得 ,则称 是函数 的二阶不动点,也叫稳定点.下列函 数中存在唯一稳定点的函数是( ) A. B. C. D. 【答案】AD 【分析】根据定义依次计算每个选项得到A选项有一个解,B选项有无数个解,根据 函数 和 函数图像无交点得到C不满足,再判断D选项有唯一解得到答 案. 【详解】 ,定义域为 , ,解得 ,A满 足; ,定义域为 , ,恒成立,B不满足; ,定义域为 , ,即 ,根 据函数 和 函数图像无交点,知方程无解,C不满足; ,定义域为 , ,易知 ,且 是方 程的解,当 时, ,方程无解;当 时, ,方程无解,D满足. 故选:AD 18.(2022秋·江苏·高三校联考阶段练习)19世纪,德国数学家狄利克雷( ,1805-1859)引入现代函数,他还给出了一个定义在实数集R上的函数称为狄利克雷函数,则( ) A. B. C.若 为有理数, ,则 D.存在三个点 , , ,使得 为正三角形 【答案】BCD 【分析】根据狄利克雷函数的定义结合分段函数的性质,分别讨论 为有理数和无理 数,依次判断各个选项,即可得解. 【详解】对于A, 是无理数,若 为有理数, 是无理数,则 ; 若 为无理数, 有可能为有理数,如 ,此时 ,故A 错误; 对于B,当 为有理数, 为有理数,则 ;当 为无理数, 为无 理数,则 ,故B正确; 对于C, 为有理数,若 为有理数,则 是有理数,则 ;若 为无理数, 是无理数,则 ,故C正确; 对于D,存在三个点且 为有理数,则 , , 是边长为 的等边三角形,故D正确; 故选:BCD 19.(2022秋·江苏苏州·高三统考阶段练习)对于三次函数,给出定义:设 是函数 的导数, 是 的导数,若方程 有实数解 ,则称点 为函数的“拐点”.经过探 究发现:任何一个三次函数都有“拐点”,任何一个三次函数都有对称中心,且“拐点” 就是对称中心.设函数 ,则以下说法正确的是( ) A. B.当 时, 有三个零点 C. D.当 有两个极值点 时,过 的直线必过点 【答案】AB 【分析】根据题意令 二次导数为零即可求出拐点,即对称中心,即可得选项A的正 误,先讨论 时是否为零点,然后进行全分离,设新函数求导求单调性,求特殊值,画函数 图象即可判断选项B的正误,根据选项A,将 代入再相加即可得选项C 的正误,两点在一条直线上,则中点也在直线上,根据 为极值点,令 导函数为0,用 韦达定理即可得 ,根据选项A,可得 ,即可求出 中点坐标, 即可判断选项D的正误. 【详解】解:由题知 , 关于选项A: , 令 可得 , 的拐点为 ,, 对称中心为 , 即 成立,- 故选项A正确; 关于选项B: 当 时, , 不是 的零点, 令 , 即 有三个根, 令 , , 时, 单调递增, 时, 单调递减, 时, 单调递减, , , , , 画 图象如下:由图可知: 时, 与 有三个交点, 即 有三个零点, 故选项B正确; 关于选项C: 由选项A可知: , , 两式相加可得 , 故选项C错误; 关于选项D: 由于 有两个极值点 有两根 , , 由于直线过 , 则直线一定过 中点,由选项A知 , 且有 , 中点坐标为 , 则直线一定过 , 故选项D错误. 故选:AB 【点睛】结论点睛:该题是函数与导数综合应用题,考查函数的对称性极值点等,关于对 称周期有以下结论: (1)若 关于 对称,则 , (2)若 关于 对称,则 , (3)若 周期为 ,则 . 20.(2023秋·江苏扬州·高三校联考期末)函数 在 上有定义,若对任意 , ,有 ,则称 在 上具有性质 ,设 在 上具有性质 ,则下列说法正确的是( ) A. 在 上的图像是连续不断的 B. 在 上具有性质 C.对任意 , , , ,有 D.若 在 处取得最小值1011,则 ,【答案】CD 【分析】AB选项可以举出反例,CD选项可以利用函数具有性质 ,进行变形推出出 结果. 【详解】对于A,设 ,在 上具有性质 ,但 不连 续,故A错误; 对于B,设 ,在 上具有性质 ,但 在 上不具备性 质 ,故B错误; 对于C, ,故C正确; 对于D,由性质 得,当 时, , 又因为 , ,故 , ,D正确. 故选: . 21.(2023春·广东江门·高三江门市第一中学校考阶段练习)若存在m,使得 对任意 恒成立,则函数 在D上有下界,其中m为函数 的一个下界; 若存在M,使得 对任意 恒成立,则函数 在D上有上界,其中M 为函数 的一个上界.如果一个函数既有上界又有下界,那么称该函数有界.则下列 说法正确的是( ) A.1是函数 的一个下界 B.函数 有下界,无上界 C.函数 有上界,无下界D.函数 有下界,无上界 【答案】AB 【分析】根据函数上下界的定义,可利用函数的性质以及导数求解值域,即可求解. 【详解】A正确,当 时, (当且仅当 时取等号), 恒成 立, 是 的一个下界. B正确, , 当 时, ,当 时, , 在 上单调递减,在 上单调递增, , 有下界. 又当 越来越大时, 趋向﹢∞, 无上界. 综上所述, 有下界,无上界. C错误, , , , 有下界. D错误, , .又 , , , 既有上界又有下界. 故选:AB 22.(2022·广东深圳·深圳市光明区高级中学校考模拟预测)若 图像上存在两点 , 关于原点对称,则点对 称为函数 的“友情点对”(点对 与 视为同一个“友情点对”).若 ,且 , , ,则( )A. 有无数个“友情点对” B. 恰有 个“友情点对” C. D. 【答案】AD 【分析】判断函数的奇偶性,结合新定义判断A,B,利用导数判断函数的单调性,并 由条件结合指数函数性质和余弦函数性质确定 , , 的大小关系,由此比较 , , 的大小. 【详解】因为 , ,所以 是奇函数, 所以 图像上存在无数对 , 关于原点对称,即 有无数个“友情点对”; 又因为 ,令 , 则 ,令 ,则 , 当 时, ,所以 是增函数, ,即 , 所以当 时 是增函数, ,所以 , 在 上是增函数,因为 是奇函数,所以 在 上是增函数, 因为 ,指数函数 为增函数,所以 , 因为 ,指数函数 为增函数,所以 , 由 可得 ,故 所以 . 故选:AD. 23.(2023·云南昆明·统考一模)对于函数 ,若存在两个常数 , ,使得 ,则称函数 是“ 函数”,则下列函数能被称为“ 函数” 的是( ) A. B.C. D. 【答案】ABD 【分析】对A:根据题意结合指数幂运算分析判断;对B:根据题意整理得 ,分析判断;对C:根据题意整理得 ,分析判断,对D:根据题意结合两角和差的正切 公式运算分析. 【详解】对A:若 ,则 , 即存在两个常数 , ,使得使得 成立, 故 为“ 函数”,A正确; 对B:若 ,则 , 若 为定值,则 ,解得 ,且 , 故存在两个常数 , , 则 为“ 函数”,B正确; 对C:若 ,则 ∵ 不为定值, 即不存在两个常数 , ,使得 , 不为为“ 函数”,C错误;对D:若 ,则 , 若 ,即 , 可得 ,解得 , 即存在两个常数 ,使得使得 成立, 故 为“ 函数”,D正确; 故选:ABD. 【点睛】方法点睛:对于新定义问题要充分理解定义,严格按照定义的要求推理、运 算,注意区别我们已学的相近知识.该题型重点考查学生的思维逻辑能力. 24.(2022·浙江宁波·高三统考竞赛)设函数 的定义域为I,区间 ,如果 对于任意的常数 ,都存在实数 ,满足 ,且 ,那么称 是区间 上的“绝对差发散函数”.则下列函 数是区间 上的“绝对差发散函数”的是( ) A. B. C. D. 【答案】BCD 【分析】对于AB,可利用导数或基本初等函数的性质研究选项中函数的单调性,从而 可判断和的范围,进而判断正误,对于CD,可取特殊序列,结合放缩法可判断选项的 正误. 【详解】对A, ,当 时, ,当 时, , 故 在 递减,在 递增, 对任意的 ,存在 ,使得 , 所以 , 而当 , , 故 ,A错误; 对B,因为 ,故 在 是递增的, 对给定的任意的常数 ,取 , 考虑 , 因为 ,而当 时, , 则 在 上有解,设该解为 , 故此时 , 则 ,故B正确; 对C,对给定的任意的常数 , 设递增数列 满足: , 且 为有理数, 为无理数,故 则 , , 所以 ,当 时,必有 , 故C正确; 对D,对给定的任意的常数 , 设 , 则 , 下证: , 设 ,则 , 故 在 上为增函数,故 , 故 成立. 在上述不等式中令 ,则 , 故 , 当 时,有 , 故D正确. 故选:BCD. 三、填空题 25.(2023春·安徽·高三校联考开学考试)已知函数 , , 在区间I上均 有定义,若对任意 , , , 成等差数列,则称函数 , , 在区间I上成“等差函数列”.若 , , 在区间 上成等差函数列,且 恒成立,则实数b的取值范围是____________.【答案】 【详解】首先根据已知条件得到 , 恒成立,从而得到直线 恒在半圆 的上方,再利用直线与圆的位置关系求解即可. 【分析】根据“等差函数列”的定义知: ,则 , 由 ,可得 , 恒成立, 则直线 恒在半圆 的上方, 所以 ,因为 ,所以 . 故答案为: 26.(2023·江苏苏州·苏州中学校考模拟预测)高斯是德国著名的数学家,是近代数学 奠基者之一,享有“数学王子”的称号,用其名字命名的“高斯函数”为:设 , 用 表示不超过 的最大整数,则 称为高斯函数.例如: , 若函数 ,则函数 的值域为___________. 【答案】 【分析】分离常数,求出函数 的值域,再根据高斯函数的定义即可得出 答案. 【详解】解: , 则 ,即 , 当 时, ; 当 时, ;当 时, ; 当 时, , 综上,函数 的值域为 . 故答案为: . 27.(2023春·安徽·高三统考开学考试)已知数列 满足 ,记 (其中 表示不大于 的最大整数,比如 ),则 __________.(参考数据: ) 【答案】6064 【分析】设 ,由导数确定函数的单调性,然后确定 的值, 再求和. 【详解】设 ,则 , 时, , 时, , 所以 在 单调递增,在 单调递减, 又 ,所以存在 使得 ,即 , 且当 时, , 所以当 时, , , 又 ,所以 , 综上, , 所以 . 故答案为:6064.28.(2023春·广东揭阳·高三校考阶段练习)拓扑空间中满足一定条件的图象连续的 函数 ,如果存在点 ,使得 ,那么我们称函数 为“不动点”函数, 而称 为该函数的不动点.类比给出新定义:若不动点 满足 ,则称 为 的双重不动点.则下列函数中,① ;② ;③ 具有双重不动点的函数为_______________.(将你认为正确的函数 的代号填在横线上) 【答案】①③ 【分析】根据函数不动点与双重不动点的定义逐项判断即可得答案. 【详解】对于①, , ,所以 , 又 , ,则 是 的双 重不动点; 对于②, , , ,令 , 当 时,由基本初等函数图象易知 ,所以 ,当 时, 显然成立, 所以不存在 ,使得 ,故函数 不是具有双重不动点的函数; 对于③, , ,则 ,又 , ,所以 是函数 的双重不动点; 综上,具有双重不动点的函数是①③. 故答案为:①③. 四、双空题29.(2023春·江苏南京·高三南京市宁海中学校考阶段练习)记 为函数 的 阶导数且 , 若 存在,则 称 阶可导.英国数学家泰勒发现:若 在 附近 阶可导,则可构造 (称为 次泰勒 多项式)来逼近 在 附近的函数值.据此计算 在 处的3次泰勒多项 式为 =_________; 在 处的10次泰勒多项式中 的系数为 _________ 【答案】 330 【分析】求函数 的 阶导数,根据泰勒多项式求 ,求 的1阶 至10阶导数,求出其10次泰勒多项式,再根据二项式定理求 的系数化简求其值. 【详解】∵ ,∴ , , ∴ ,∴ ; ∵ ,∴ , , ,…, , , ∴ , , ,…, , , ∴ . 故 的系数为. 故答案为: ;330. 30.(2023·广东湛江·统考一模)已知函数 ,记 为函数 的2次迭代函数, 为函数 的3次迭代函数,…,依次类 推, 为函数 的n次迭代函数,则 ______; 除以17的余数是______. 【答案】 0 【分析】第一空,根据题意结合等比数列的前n项和公式即可推出 的表达式; 第二空,将 化为 ,利用二项式定理展开,化简即可求得答案. 【详解】由题意, , 所以 又 为正整数, 所以 除以17的余数为0, 故答案为:【点睛】关键点睛:解答本题中函数迭代问题,要结合题设找到迭代规律,即可求出 函数表达式,解决余数问题的关键在于将 利用二项式定理展开化简转化为17 的倍数的形式,即可求得答案.