当前位置:首页>文档>专题02圆中的重要模型之四点共圆模型解读与提分精练(人教版)(教师版)_初中数学_九年级数学上册(人教版)_常见几何模型全归纳-V13_2025版

专题02圆中的重要模型之四点共圆模型解读与提分精练(人教版)(教师版)_初中数学_九年级数学上册(人教版)_常见几何模型全归纳-V13_2025版

  • 2026-04-12 15:34:19 2026-03-20 03:07:33

文档预览

专题02圆中的重要模型之四点共圆模型解读与提分精练(人教版)(教师版)_初中数学_九年级数学上册(人教版)_常见几何模型全归纳-V13_2025版
专题02圆中的重要模型之四点共圆模型解读与提分精练(人教版)(教师版)_初中数学_九年级数学上册(人教版)_常见几何模型全归纳-V13_2025版
专题02圆中的重要模型之四点共圆模型解读与提分精练(人教版)(教师版)_初中数学_九年级数学上册(人教版)_常见几何模型全归纳-V13_2025版
专题02圆中的重要模型之四点共圆模型解读与提分精练(人教版)(教师版)_初中数学_九年级数学上册(人教版)_常见几何模型全归纳-V13_2025版
专题02圆中的重要模型之四点共圆模型解读与提分精练(人教版)(教师版)_初中数学_九年级数学上册(人教版)_常见几何模型全归纳-V13_2025版
专题02圆中的重要模型之四点共圆模型解读与提分精练(人教版)(教师版)_初中数学_九年级数学上册(人教版)_常见几何模型全归纳-V13_2025版
专题02圆中的重要模型之四点共圆模型解读与提分精练(人教版)(教师版)_初中数学_九年级数学上册(人教版)_常见几何模型全归纳-V13_2025版
专题02圆中的重要模型之四点共圆模型解读与提分精练(人教版)(教师版)_初中数学_九年级数学上册(人教版)_常见几何模型全归纳-V13_2025版
专题02圆中的重要模型之四点共圆模型解读与提分精练(人教版)(教师版)_初中数学_九年级数学上册(人教版)_常见几何模型全归纳-V13_2025版
专题02圆中的重要模型之四点共圆模型解读与提分精练(人教版)(教师版)_初中数学_九年级数学上册(人教版)_常见几何模型全归纳-V13_2025版
专题02圆中的重要模型之四点共圆模型解读与提分精练(人教版)(教师版)_初中数学_九年级数学上册(人教版)_常见几何模型全归纳-V13_2025版
专题02圆中的重要模型之四点共圆模型解读与提分精练(人教版)(教师版)_初中数学_九年级数学上册(人教版)_常见几何模型全归纳-V13_2025版
专题02圆中的重要模型之四点共圆模型解读与提分精练(人教版)(教师版)_初中数学_九年级数学上册(人教版)_常见几何模型全归纳-V13_2025版
专题02圆中的重要模型之四点共圆模型解读与提分精练(人教版)(教师版)_初中数学_九年级数学上册(人教版)_常见几何模型全归纳-V13_2025版
专题02圆中的重要模型之四点共圆模型解读与提分精练(人教版)(教师版)_初中数学_九年级数学上册(人教版)_常见几何模型全归纳-V13_2025版
专题02圆中的重要模型之四点共圆模型解读与提分精练(人教版)(教师版)_初中数学_九年级数学上册(人教版)_常见几何模型全归纳-V13_2025版
专题02圆中的重要模型之四点共圆模型解读与提分精练(人教版)(教师版)_初中数学_九年级数学上册(人教版)_常见几何模型全归纳-V13_2025版
专题02圆中的重要模型之四点共圆模型解读与提分精练(人教版)(教师版)_初中数学_九年级数学上册(人教版)_常见几何模型全归纳-V13_2025版
专题02圆中的重要模型之四点共圆模型解读与提分精练(人教版)(教师版)_初中数学_九年级数学上册(人教版)_常见几何模型全归纳-V13_2025版
专题02圆中的重要模型之四点共圆模型解读与提分精练(人教版)(教师版)_初中数学_九年级数学上册(人教版)_常见几何模型全归纳-V13_2025版
专题02圆中的重要模型之四点共圆模型解读与提分精练(人教版)(教师版)_初中数学_九年级数学上册(人教版)_常见几何模型全归纳-V13_2025版
专题02圆中的重要模型之四点共圆模型解读与提分精练(人教版)(教师版)_初中数学_九年级数学上册(人教版)_常见几何模型全归纳-V13_2025版
专题02圆中的重要模型之四点共圆模型解读与提分精练(人教版)(教师版)_初中数学_九年级数学上册(人教版)_常见几何模型全归纳-V13_2025版
专题02圆中的重要模型之四点共圆模型解读与提分精练(人教版)(教师版)_初中数学_九年级数学上册(人教版)_常见几何模型全归纳-V13_2025版
专题02圆中的重要模型之四点共圆模型解读与提分精练(人教版)(教师版)_初中数学_九年级数学上册(人教版)_常见几何模型全归纳-V13_2025版
专题02圆中的重要模型之四点共圆模型解读与提分精练(人教版)(教师版)_初中数学_九年级数学上册(人教版)_常见几何模型全归纳-V13_2025版
专题02圆中的重要模型之四点共圆模型解读与提分精练(人教版)(教师版)_初中数学_九年级数学上册(人教版)_常见几何模型全归纳-V13_2025版
专题02圆中的重要模型之四点共圆模型解读与提分精练(人教版)(教师版)_初中数学_九年级数学上册(人教版)_常见几何模型全归纳-V13_2025版
专题02圆中的重要模型之四点共圆模型解读与提分精练(人教版)(教师版)_初中数学_九年级数学上册(人教版)_常见几何模型全归纳-V13_2025版
专题02圆中的重要模型之四点共圆模型解读与提分精练(人教版)(教师版)_初中数学_九年级数学上册(人教版)_常见几何模型全归纳-V13_2025版
专题02圆中的重要模型之四点共圆模型解读与提分精练(人教版)(教师版)_初中数学_九年级数学上册(人教版)_常见几何模型全归纳-V13_2025版
专题02圆中的重要模型之四点共圆模型解读与提分精练(人教版)(教师版)_初中数学_九年级数学上册(人教版)_常见几何模型全归纳-V13_2025版
专题02圆中的重要模型之四点共圆模型解读与提分精练(人教版)(教师版)_初中数学_九年级数学上册(人教版)_常见几何模型全归纳-V13_2025版
专题02圆中的重要模型之四点共圆模型解读与提分精练(人教版)(教师版)_初中数学_九年级数学上册(人教版)_常见几何模型全归纳-V13_2025版
专题02圆中的重要模型之四点共圆模型解读与提分精练(人教版)(教师版)_初中数学_九年级数学上册(人教版)_常见几何模型全归纳-V13_2025版
专题02圆中的重要模型之四点共圆模型解读与提分精练(人教版)(教师版)_初中数学_九年级数学上册(人教版)_常见几何模型全归纳-V13_2025版
专题02圆中的重要模型之四点共圆模型解读与提分精练(人教版)(教师版)_初中数学_九年级数学上册(人教版)_常见几何模型全归纳-V13_2025版
专题02圆中的重要模型之四点共圆模型解读与提分精练(人教版)(教师版)_初中数学_九年级数学上册(人教版)_常见几何模型全归纳-V13_2025版
专题02圆中的重要模型之四点共圆模型解读与提分精练(人教版)(教师版)_初中数学_九年级数学上册(人教版)_常见几何模型全归纳-V13_2025版
专题02圆中的重要模型之四点共圆模型解读与提分精练(人教版)(教师版)_初中数学_九年级数学上册(人教版)_常见几何模型全归纳-V13_2025版
专题02圆中的重要模型之四点共圆模型解读与提分精练(人教版)(教师版)_初中数学_九年级数学上册(人教版)_常见几何模型全归纳-V13_2025版
专题02圆中的重要模型之四点共圆模型解读与提分精练(人教版)(教师版)_初中数学_九年级数学上册(人教版)_常见几何模型全归纳-V13_2025版
专题02圆中的重要模型之四点共圆模型解读与提分精练(人教版)(教师版)_初中数学_九年级数学上册(人教版)_常见几何模型全归纳-V13_2025版
专题02圆中的重要模型之四点共圆模型解读与提分精练(人教版)(教师版)_初中数学_九年级数学上册(人教版)_常见几何模型全归纳-V13_2025版

文档信息

文档格式
docx
文档大小
5.033 MB
文档页数
44 页
上传时间
2026-03-20 03:07:33

文档内容

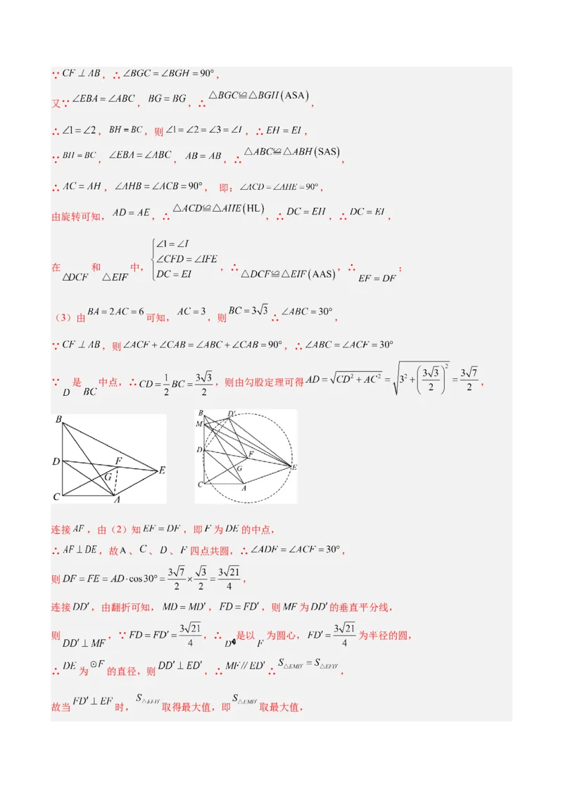
专题02.圆中的重要模型之四点共圆模型 四点共圆是初中数学的常考知识点,近年来,特别是四点共圆判定的题目出现频率较高。相对四点共 圆性质的应用,四点共圆的判定往往难度较大,往往是填空题或选择题的压轴题,而计算题或选择中四点 共圆模型的应用(特别是最值问题),通常能简化运算或证明的步骤,使问题变得简单。本文主要介绍四 点共圆的四种重要模型。 ....................................................................................................................................................1 模型1.定点定长共圆模型(圆的定义).......................................................................................................2 模型2.定边对双直角共圆模型.......................................................................................................................6 模型3.定边对定角共圆模型.........................................................................................................................11 模型4.对角互补共圆模型.............................................................................................................................14 ..................................................................................................................................................19 【知识储备】 四点共圆:若在同一平面内,有四个点在同一个圆上,则称这四个点共圆,一般简称为“四点共圆”。 四点共圆模型是一种解题思想,但任何题目里都不会告诉你,亲爱的同学,请用四点共圆思想来解题吧。 那么,我们头脑里,就要快速迭代平常积累的一些模型。四点共圆有三个性质:(1)共圆的四个点所连成同侧共底的两个三角形的顶角相等;(2)圆内接四边形 的对角互补;(3)圆内接四边形的外角等于内对角。 模型1.定点定长共圆模型(圆的定义) 若四个点到一定点的距离相等,则这四个点共圆。这也是圆的基本定义,到定点的距离等于定长点的集合。 条件:如图,平面内有五个点O、A、B、C、D,使得OA=OB=OC=OD。 结论:A、B、C、D四点共圆(其中圆心为O)。 证明:∵OA=OB=OC=OD ∴根据圆的定义:到定点的距离等于定长点的集合为圆,确定A、B、C、D四点共圆。 例1.(2021·浙江嘉兴·中考真题)如图,在 中, ,AB=AC=5,点 在 上,且 ,点E是AB上的动点,连结 ,点 ,G分别是BC,DE的中点,连接 , ,当AG=FG 时,线段 长为( ) A. B. C. D.4 【答案】A 【分析】连接DF,EF,过点F作FN⊥AC,FM⊥AB,结合直角三角形斜边中线等于斜边的一半求得点 A,D,F,E四点共圆,∠DFE=90°,然后根据勾股定理及正方形的判定和性质求得AE的长度,从而求解. 【详解】解:连接DF,EF,过点F作FN⊥AC,FM⊥AB∵在 中, ,点G是DE的中点,∴AG=DG=EG 又∵AG=FG∴点A,D,F,E四点共圆,且DE是圆的直径∴∠DFE=90° ∵在Rt ABC中,AB=AC=5,点 是BC的中点,∴CF=BF= ,FN=FM= △ 又∵FN⊥AC,FM⊥AB, ∴四边形NAMF是正方形∴AN=AM=FN= 又∵ , ∴ ∴△NFD≌△MFE∴ME=DN=AN-AD= ∴AE=AM+ME=3 ∴在Rt DAE中,DE= 故选:A. △ 【点睛】本题考查直径所对的圆周角是90°,四点共圆及正方形的判定和性质和用勾股定理解直角三角形, 掌握相关性质定理正确推理计算是解题关键. 变式1.(2023·江西赣州·九年级校联考期中)如图,点O为线段AB的中点,点B,C,D到点O的距离 相等,连接AC,BD.则下面结论不一定成立的是( ) A.∠ACB=90° B.∠BDC=∠BAC C.AC平分∠BAD D.∠BCD+∠BAD=180° 【答案】C 【分析】以点O为圆心,OA长为半径作圆.再根据圆周角定理及其推论逐项判断即可. 【详解】如图,以点O为圆心,OA长为半径作圆.由题意可知: OA=OB=OC=OD.即点A、B、C、D都在圆O上.A .由图可知AB为经过圆心O的直径,根据圆周角定理推论可知 .故A不符合题意. B. ,所以根据圆周角定理可知 .故B不符合题意. C.当 时, ,所以此时AC不平分 .故C符合题意. D.根据圆周角定理推论可知, .故D不符合题意.故选:C. 【点睛】本题考查圆周角定理及其推论,充分理解圆周角定理是解答本题的关键. 变式2.(2023·湖北·三模)问题背景:如图1,等腰 中, ,作 于点 D,则D为 的中点, ,于是 ; 迁移应用:如图2, 和 都是等腰三角形, ,D,E,C三点在同一条直线 上,连接 .①求证: ;②请直接写出线段 之间的等量关系式; 拓展延伸:如图3,在菱形 中, ,在 内作射线 ,作点C关于 的对称点 E,连接 并延长交 于点F,连接 , .证明 是等边三角形; 【答案】迁移应用:①详见解析;②结论: ;拓展延伸:详见解析; 【分析】迁移应用:①如图2中,只要证明 ,即可根据 解决问题; ②结论: .由 ,可知 ,在 中, , 由 , ,推出 ,由 ,即可解决问题; 拓展延伸:如图3中,作 于 ,连接 .由 , ,推出 、 、 、四点共圆,推出 ,推出 ,推出 是等边三角形; 【详解】迁移应用:①证明:如图2 ∵ ,∴ , 在 和 中, ,∴ , ②解:结论: .理由:如图 中,作 于 . ∵ ,∴ ,在 中, , ∵ , ,∴ ,∴ ; 拓展延伸:证明:如图3中,连接 ,∵四边形 是菱形, , ∴ 是等边三角形,∴ , ∵E、C关于 对称,∴ , ∴A、D、E、C四点共圆,∴ , ∴ ,∴ 是等边三角形; 【点睛】本题考查全等三角形的判定和性质、等腰三角形的性质、四点共圆、等边三角形的判定和性质等 知识,解题的关键是灵活应用所学知识解决问题,学会添加辅助圆解决问题,属于中考压轴题.模型2.定边对双直角共圆模型 定边对双直角模型:一定边所对的角为两个直角,分同侧型和异侧型两种情况进行讨论。 同侧型 异侧型 1)定边对双直角模型(同侧型) 条件:若平面上A、B、C、D四个点满足 , 结论:A、B、C、D四点共圆,其中AD为直径。 2)定边对双直角模型(异侧型) 条件:若平面上A、B、C、D四个点满足 , 结论:A、B、C、D四点共圆,其中AD为直径。 注意:由于同侧型与异侧型证明相同,故下面证明一次即可。 证明:取AD的中点为E,连结BE,CE。 ∵ ,BE=CE= AD=AE=ED, ∴根据圆的定义:到定点的距离等于定长点的集合为圆,确定A、B、C、D四点共圆。例1.(2024·陕西西安·模拟预测)如图,线段 ,以 为斜边构造等腰直角 和直角 , 、 在 两侧, 平分 交 于点 ,则 的最小值为 . 【答案】 / 【分析】本题考查了三角形的内心、等腰直角三角形的性质、四点共圆、圆周角定理、等腰三角形的判定 等知识;证出 , , , 共圆, 为 的内心,则 ,故当 为该圆直 径时, 最大 ,即可得出答案. 【详解】解: 以 为斜边构造等腰直角 和直角 , , , , , , , 共圆, , , , 平分 , 平分 , 为 的内心, , , , , , 当 为该圆直径时, 最大 , 的最小值为 ,故答案为: . 例2.(2023·山东烟台·九年级统考期中)如图,平面直角坐标系中,点A、B坐标分别为(3,0)、 (0,4),点C是x轴正半轴上一点,连接BC.过点A垂直于AB的直线与过点C垂直于BC的直线交于 点D,连接BD,则 的值是 .【答案】 【分析】根据图形的特点证明∠BDC=∠BAO,故可出 的值. 【详解】∵BA⊥AD,BC⊥CD ∴∠BAD=∠BCD=90° ∴A、B、C、D四点共圆 ∴∠BDA=∠BCA ∵∠BDA+∠DBA=∠BCA +∠CBO=90°∴∠DBA=∠CBO ∴∠DBA-∠CBA=∠CBO-∠CBA 即∠DBC=∠ABO 又∠DBC+∠BDC=∠ABO+∠BAO=90° ∴∠BDC=∠BAO ∵点A、B坐标分别为(3,0)、(0,4), ∴BO=4,OA=3,AB= ∴ 故答案为: . 【点睛】此题考查三角函数的求解,解题的关键是熟知四点共圆的性质、勾股定理及三角函数的求解方法. 变式1.(2023·贵州·统考中考真题)如图①,小红在学习了三角形相关知识后,对等腰直角三角形进行了 探究,在等腰直角三角形 中, ,过点 作射线 ,垂足为 ,点 在 上. (1)【动手操作】如图②,若点 在线段 上,画出射线 ,并将射线 绕点 逆时针旋转 与 交 于点 ,根据题意在图中画出图形,图中 的度数为_______度; (2)【问题探究】根据(1)所画图形,探究线段 与 的数量关系,并说明理由; (3)【拓展延伸】如图③,若点 在射线 上移动,将射线 绕点 逆时针旋转 与 交于点 ,探 究线段 之间的数量关系,并说明理由.【答案】(1)作图见解析;135 (2) ;理由见解析(3) 或 ;理由见解 析 【分析】(1)根据题意画图即可;先求出 ,根据 ,求出 ;(2)根据 , ,证明 、P、B、E四点共 圆,得出 ,求出 ,根据等腰三角形的判定即可得出结论; (3)分两种情况,当点P在线段 上时,当点P在线段 延长线上时,分别画出图形,求出 之间的数量关系即可. 【详解】(1)解:如图所示:∵ ,∴ , ∵ ,∴ ,∴ ;故答案为:135. (2)解: ;理由如下:连接 ,如图所示: 根据旋转可知, ,∵ ,∴ 、P、B、E四点共圆, ∴ ,∴ ,∴ ,∴ . (3)解:当点P在线段 上时,连接 ,延长 ,作 于点F,如图所示: 根据解析(2)可知, ,∵ , ∴ ,∴ , ∵ ,∴ ,∴ , ∵ , ,∴ 为等腰直角三角形,∴ , ∵ 为等腰直角三角形,∴ ,即 ; 当点P在线段 延长线上时,连接 ,作 于点F,如图所示: 根据旋转可知, ,∵ ,∴ 、B、P、E四点共圆, ∴ ,∴ ,∴ ,∴ , ∵ ,∴ ,∴ , ∵ ,∴ ,∴ , ∵ ,∴ ,∵ , ,∴ 为等腰直角三角形, ∴ ,即 ; 综上分析可知, 或 . 【点睛】本题主要考查了等腰三角形的判定和性质,三角形全等的判定和性质,圆周角定理,四点共圆, 等腰直角三角形的性质,解题的关键是作出图形和相关的辅助线,数形结合,并注意分类讨论. 变式2.(2023·广东梅州·九年级校考阶段练习)如图,在四边形 中, , 是 的中点, 是 的中点,若 , , ,则 的长为( ) A. B. C. D. 【答案】A 【分析】连接 , ,根据 且 为 中点,求证 是等腰三角形,再利用等 腰三角形的高,中线,角平分线三线合一的性质得到 ,根据圆周角定理得到 ,求得 , ,于是得出结论. 【详解】连接 , ,如图,∵ 且 为 中点,∴ , ,∴ , ∵ 为 中点,∴ ,∵∠ ,∴ , , , 四点共圆, ∵ , ,∴ ,∴ , ∴ ,∴ ,在 中, , , ∴ ,∴ ,由勾股定理得: , ∴ ,∴ ,故选: . 【点睛】此题主要考查圆内接四边形,直角三角形斜边上的中线等于斜边的一半和等腰三角形的性质等知 识点,解答此题的关键是添加辅助线构造特殊三角形,求出线段. 模型3.定边对定角共圆模型 定边对定角模型:一定边同侧所对的角为两个相等(为定值)。 图1 图2条件:如图1,平面上A、B、C、D四个点满足 ,结论:A、B、C、D四点共圆。 条件:如图2,AC、BD交于H, ,结论: 四点共圆。 证明:∵ ,∴ , 又∵ , 。∴ , ∴A、B、C、D四点共圆。 例1.(23-24九年级·福建福州·期中)如图,在Rt ABC中,∠BAC=90°,∠ABC=40°,将 ABC绕A点 顺时针旋转得到 ADE,使D点落在BC边上.(1)求∠BAD的度数;(2)求证:A、D、B、E四点共 圆. 【答案】(1)10°;(2)见解析 【分析】(1)由三角形内角和定理和已知条件求得∠C的度数,由旋转的性质得出AC=AD,即可得出 ∠ADC=∠C,最后由外角定理求得∠BAD的度数; (2)由旋转的性质得到∠ABC=∠AED,由四点共圆的判定得出结论. 【详解】解:(1)∵在Rt ABC中,∠BAC=90°,∠ABC=40°,∴∠C=50°, ∵将 ABC绕A点顺时针旋转得到 ADE,使D点落在BC边上, ∴AC=AD,∴∠ADC=∠C=50°,∴∠ADC=∠ABC+∠BAD=50°, ∴∠BAD=50°-40°=10° 证明(2)∵将 ABC绕A点顺时针旋转得到 ADE, ∴∠ABC=∠AED,∴A、D、B、E四点共圆. 【点睛】本题考查了旋转的性质、等腰三角形的性质、外角定理以及四点共圆的判定,解题的关键是理解 旋转后的图形与原图形对应边相等,对应角相等. 变式1.(23-24九年级上·陕西西安·阶段练习)如图,在四边形 中, ,对角线 平分, ,且 .(1)证明: ;(2)若 , ,求 的长. 【答案】(1)见解析(2) 【分析】(1)由题意推出 ,从而得到 、 、 、 四点共圆,进而得出结论即可; (2)首先根据已知信息求出 ,再结合四点共圆的结论,在 中求解 即可. 【详解】(1)证:∵ ,∴ , ∵ ,∴ , ∴ 、 、 、 四点共圆,∴ ; (2)解:∵ ,∴ , ∵ , 平分 ,∴ , ∴在 中, , ∵ ,∴ , , ∵ 、 、 、 四点共圆,∴ , ∴在 中, ,∴ . 【点睛】本题考查四点共圆的证明、圆的内接四边形的性质,以及解直角三角形等,掌握圆当中的重要结 论,准确求解直角三角形是解题关键. 变式2.(2022·江苏无锡·中考真题) ABC是边长为5的等边三角形, DCE是边长为3的等边三角形, 直线BD与直线AE交于点F.如图,若△点D在 ABC内,∠DBC=20°,则△∠BAF=________°;现将 DCE 绕点C旋转1周,在这个旋转过程中,线段AF△长度的最小值是________. △【答案】 80 ## 【分析】利用SAS证明 BDC≌ AEC,得到∠DBC=∠EAC=20°,据此可求得∠BAF的度数;利用全等三 角形的性质可求得∠AFB△=60°,推△出A、B、C、F四个点在同一个圆上,当BF是圆C的切线时,即当 CD⊥BF时,∠FBC最大,则∠FBA最小,此时线段AF长度有最小值,据此求解即可. 【详解】解:∵△ABC和 DCE都是等边三角形,∴AC=BC,DC=EC,∠BAC=∠ACB=∠DCE=60°, ∴∠DCB+∠ACD=∠ECA+△∠ACD=60°,即∠DCB =∠ECA, 在 BCD和 ACE中, ,∴△ACE≌△BCD( SAS),∴∠EAC=∠DBC, △ △ ∵∠DBC=20°,∴∠EAC=20°,∴∠BAF=∠BAC+∠EAC=80°;设BF与AC相交于点H,如图: ∵ ACE≌△BCD∴AE=BD,∠EAC=∠DBC,且∠AHF=∠BHC, ∴△∠AFB=∠ACB=60°,∴A、B、C、F四个点在同一个圆上, ∵点D在以C为圆心,3为半径的圆上,当BF是圆C的切线时,即当CD⊥BF时,∠FBC最大,则 ∠FBA最小,∴此时线段AF长度有最小值,在Rt BCD中,BC=5,CD=3, △ ∴BD= 4,即AE=4,∴∠FDE=180°-90°-60°=30°,∵∠AFB=60°,∴∠FDE=∠FED=30°,∴FD=FE, 过点F作FG⊥DE于点G,∴DG=GE= ,∴FE=DF= = , ∴AF=AE-FE=4- ,故答案为:80;4- . 【点睛】本题考查了旋转的性质,等边三角形的性质,圆周角定理,切线的性质,解直角三角形,解答本 题的关键是明确题意,找出所求问题需要的条件. 模型4.对角互补共圆模型 图1 图2 条件:如图1,平面上A、B、C、D四个点满足 ,结论:A、B、C、D四点共圆. 条件:如图2,BA、CD的延长线交于P, , 结论:A、B、C、D四点共圆. 证明:∵ ,∴ , 又∵ , 。∴ ∵ ∴ , , ∴A、B、C、D四点共圆。 例1.(23-24九年级上·云南昆明·期中)综合与实践:“善思”小组开展“探究四点共圆的条件”活动, 得出结论:对角互补的四边形四个顶点共圆.该小组继续利用上述结论进行探究.提出问题:如图1所示,在线段 同侧有两点 , ,连接 , , , ,如果 ,那 么 , , , 四点在同一个圆上. 探究展示:如图2所示,作经过点 , , 的 ,在劣弧 上取一点 (不与 , 重合), 连接 , ,则 ,(依据 , , 点 , , , 四点在同一个圆上,(对角互补的四边形四个顶点共圆) 点 , 在点 , , 所确定的 上,(依据 点 , , , 四点在同一个圆上; 反思归纳:(1)上述探究过程中的“依据1”、“依据2”分别是指什么? 依据1:______;(从右边框内选一个选项,直接填序号) 依据2:______.(从右边框内选一个选项,直接填序号) ①圆内接四边形对角互补; ②对角互补的四边形四个顶点共圆; ③过不在同一直线上的三个点有且只有一个圆; ④经过两点的圆的圆心在这两点所连线段的垂直平分线上; (2)如图3所示,在四边形 中, , ,则 的度数为______. 【答案】(1)①,③(2) 【分析】(1)根据探究展示过程和圆的性质,确定圆的条件填空即可;(2)作过 , , 的 ,在 劣弧 上取点 ,连接 , ,由 ,可得 ,故 ,有 , , , 共圆,即 在过 , , 的 上,即知 , , , , 共圆,从而 . 【详解】解:(1)由探究展示过程可知, 的依据是:①圆内接四边形对角互补; 点 , 在点 , , 所确定的 上的依据是:③过不在同一直线上的三个点有且只有一个圆; 故答案为:①,③; (2)作过 , , 的 ,在劣弧 上取点 ,连接 , ,如图:, , , , , , , 共圆,即 在过 , , 的 上, 在过 , , 的 上, , , , , 共圆, , ,故答案为: . 【点睛】本题考查四点共圆,解题的关键是读懂阅读材料,掌握圆的相关性质并能灵活运用. 变式1.(2023·河南周口·校考三模)在 中, ,M是 外一动点,满足 ,若 , , ,则 的长度为 . 【答案】 / 【分析】过点B作 交 的延长线于点H,过点D作 于点E,过点D作 于点 F,点A,M,B,C四点共圆,得 ,解直角三角形 , ,面积 法求解, ,得 . 【详解】解析:过点B作 交 的延长线于点H,过点D作 于点E,过点D作于点F,如图所示: ∵ ∴点A,M,B,C四点共圆 ∵ ∴ ∴ , ∴ ,∴ , ∵ , ∴ , ∴ ,∴ 【点睛】本题考查四点共圆,圆周角定理,解直角三角形,角平分线性质定理,添加辅助构造直角三角形 是解题的关键. 变式2.(2023·江苏·九年级假期作业)如图, , ,点 、 分别是线段 、射线 上 的动点,以 为斜边向上作等腰 , ,连接 ,则 的最小值为 . 【答案】 【分析】连接 并延长,利用四点共圆的判定定理得到 , , , 四点共圆,再利用等腰直角三角 形的性质和圆周角定理得到 ,得到点 的轨迹,最后利用垂线段最短和等腰直角三角形的性质解答即可得出结论. 【详解】解:连接 并延长,如图, , , , , , , , 四点共圆, 为等腰直角三角形, , , , 点 的轨迹为 的平分线上, 垂线段最短, 当 时, 取最小值, 的最小值为 ,故答案为: . 【点睛】本题主要考查了直角三角形的性质,等腰直角三角形的性质,四点共圆的判定,圆周角定理,点 的轨迹,垂线段的性质,利用已知条件求得点D的轨迹是解题的关键.1.(2023·浙江·统考中考真题)如图,在四边形 中, ,以 为腰作等腰直角三 角形 ,顶点 恰好落在 边上,若 ,则 的长是( ) A. B. C.2 D.1 【答案】A 【分析】先根据等腰三角形的性质可得 , , ,再判断出点 四点共圆,在以 为直径的圆上,连接 ,根据圆周角定理可得 , ,然后根据相似三角形的判定可得 ,根据相似三角形的性质即可得. 【详解】解: 是以 为腰的等腰直角三角形, , , , , , , 点 四点共圆,在以 为直径的圆上,如图,连接 , 由圆周角定理得: , , ,, , 在 和 中, , , , ,故选:A. 【点睛】本题考查了圆内接四边形、圆周角定理、相似三角形的判定与性质、等腰三角形的性质等知识点, 正确判断出点 四点共圆,在以 为直径的圆上是解题关键. 2.(2023·广西·中考模拟)如图所示,四边形ABCD中,DC∥AB,BC=1,AB=AC=AD=2.则BD的长 为( ) A. B. C. D. 【答案】B 【详解】解:以A为圆心,AB长为半径作圆,延长BA交⊙A于F,连接DF. ∵AB=AC=AD=2,∴D,C在圆A上, ∵DC∥AB,∴弧DF=弧BC,∴DF=CB=1,BF=AB+AF=2AB=4, ∵FB是⊙A的直径,∴∠FDB=90°,∴BD= = 故选B 3.(2024·湖北武汉·模拟预测)如图, 是 的直径,点E在 上, 垂足为C, 点G在 上运动(不与E重合),点F为 的中点,则 的最大值为( )A. B.6 C. D.8 【答案】B 【分析】此题主要考查了垂径定理,四点共圆,勾股定理,作出辅助线判断出点 四点共圆是解本 题的关键. 先判断出点 四点共圆,判断出 的最大值为 ,再求出 即可求出答案. 【详解】解:如图,连接 , , ∵点 是 的中点,∴ ,∴ , ∵ ,∴ ,∴ , ∴点 在以 为直径的圆上,∴ , 在 中, , 根据勾股定理得, ,∴ , ∴ ,∴ 的最大值为6,故选:B. 4.(23-24九年级上·江苏苏州·阶段练习)如图,点A,B在 上,P为 外一点,且 , ,连接OP,OP与 相交于点C,与AB交于点D,连接 , ,有下列结论:① ; ② ;③C为 中点;④四边形 为菱形;⑤O,A,B,P四点共圆,其中一定成立的有( )个 A.2 B.3 C.4 D.5 【答案】C 【分析】由P为 外一点,且 , ,可得 ,然后依据 可证明 ,可判断①;进而可证明 ,可判断②,根据 ,得到 ,可判断③,要使得四边形 为菱形,即 必须成立,即 必须成立, 即 必须成立,显然,只有当 时,这些前提才成立,故可判断④,由直角三角形的性 质可得到 , ,即 ,可判断⑤. 【详解】证明: , , , 在 和 中, , , ,故①一定成立; , , 在 和 中, , , ,即 ,故②一定成立; , ,故③一定成立;要使得四边形 为菱形, ,即 ,即 , 显然,只有当 时,这些前提才成立,故④不一定成立; , , , O,A,B,P四点共圆,故⑤一定成立; 一定成立的有:①②③⑤,故选:C. 【点睛】此题重点考查圆的有关概念和性质、切线的性质定理、切线长定理、等腰三角形的“三线合一”、 勾股定理、四点共圆等知识,由切线长定理证明 , 平分 是解题的关键.5.(23-24九年级上·黑龙江绥化·期中)如图放置的两个正方形,大正方形 的边长为 ,小正方形 的边长为 ,点 在 边上,且 ,连接 , , 交 于点 ,将 绕点 旋转至 ,将 绕点 旋转至 ,下列结论: ① ;② ;③ ;④ , , , 四点共圆.其中结论 正确的序号是( ) A.①②③ B.②③④ C.①②③④ D.①④ 【答案】C 【分析】根据正方形的性质可得 ,然后根据旋转的性质可得 ,从而判断①;利用 即可证出 从而判断②;先证出四边形 是正 方形,然后根据勾股定理即可判断③;根据圆周角定理,即可判断④. 【详解】解:①∵四边形 是正方形, ∴ ,∴ , ∵ 绕点 旋转至 ,∴ , ∴ , ∴ ,故①正确; ②∵将 绕点 旋转至 ,∴ ,∵ ,∴ , 在 与 中, , ∴ ;故②正确; ③∵ 绕点 旋转至 ,∴ , ∵将 绕点 旋转至 ,∴ , ∵ ,∴ ,∴四边形 是矩形, ∵ ,∴ , ∴ ,∴四边形 是正方形,在 中, ,∴ ;故③正确; ④如图,连接 ,∵四边形 是正方形,∴ , ∵ ,∴点M,D都在以 为直径的圆上, ∴A,M,P,D四点共圆,故④正确.故选:C. 【点睛】此题考查的是正方形的性质及判定、旋转的性质、全等三角形的判定及性质和圆周角定理,掌握 正方形的性质及判定、旋转的性质、全等三角形的判定及性质和圆周角定理是解决此题的关键. 6.(2023·江苏无锡·统考一模)如图, 是 的直径,点C在 上, ,垂足为D, ,点E是 上的动点(不与C重合),点F为 的中点,若在E运动过程中 的最大值为4,则 的值为( ) A. B. C. D. 【答案】A 【分析】先判断出点 , , , 四点共圆,判断出 的最大值为 ,再求出 ,然后根据勾股 定理即可求出答案. 【详解】解:如图, 连接 , , 点 是 的中点, , ,, , , 点 , , , 在以 为直径的圆上, , ∵ ,在 中, , , 根据勾股定理得 ,故选A. 【点睛】此题主要考查了垂径定理,四点共圆,勾股定理,作出辅助线判断出点 , , , 四点共圆 是解本题的关键. 7.(2023·安徽合肥·校联考二模)动点 在等边 的边 上, ,连接 , 于 , 以 为一边作等边 , 的延长线交 于 ,当 取最大值时, 的长为( ) A. B. C. D. 【答案】C 【分析】分别连接 , ,作 ,交 的延长线于 ,利用等边三角形的性质和全等三角形 的判定与性质得到 , ;证明 ,则 ,利用等腰 三角形的三线合一性质得到 ,从而得到 , , , 四点共圆,利用圆中最长的弦为直径 得到当 取最大值时,则 等于直径 ,利用勾股定理即可求得结论. 【详解】解:如图,连接 , ,作 ,交 的延长线于 , ∵ 和 是等边三角形, ∴ , , , ,∴ , 在 和 中, ∴ ,∴ , , ∵ ,∴ ,∴ , ∵ ,∴ ,∴ ,∴ ,∴ ,在 和 中, ,∴ ,∴点 为 中点, ∵ ,∴ ,∴ ,∴ , ∴ , , , 四点共圆,∴当 取最大值时,则 等于直径 ,此时 为 中点, , ∵ ,∴ ,∴ .∴ 的长为 .故选:C. 【点睛】本题考查等边三角形的性质,等腰三角形的性质,全等三角形的判定与性质,勾股定理,圆内接 四边形等知识.利用全等三角形的判定定理准确找出图中的全等三角形是解题的关键. 8.(2023·河北·唐山九年级阶段练习)如图所示,在四边形ABCD中,AB=AC=AD,∠BAC=26°, ∠CAD=74°,则∠BCD=_______°,∠DBC_______°. 【答案】 130 37 【分析】根据题意可得点B,C,D在以A为圆心的圆上,根据圆周角定理求得∠BDC,∠DBC,根据三角 形内角和定理求得∠BCD. 【详解】∵AB=AC=AD,∴点B,C,D在以A为圆心的圆上, ∵∠BAC=26°∴∠BDC= ∠BAC=13°, ∵∠CAD=74°,∴∠DBC= ∠CAD=37°. ∴∠BCD=180 ∠DBC ∠BDC=180° 13° 37°=130° 故答案为:130,37【点睛】此题考查了圆周角定理,三角形内角和定理,综合运用以上知识是解题的关键. 9.(2024·陕西西安·三模)如图,正方形 的边长为8,M、N为 边上的动点,以 为斜边 作等腰 (其中 ),点E在 边上,且 ,连接 ,则 的周长最小值为 . 【答案】 / 【分析】连接 ,由正方形的性质及等腰直角三角形的性质,易证 四点共线,由圆周 角定理得到 恒等于 ,从而得到点P在正方形 对角线 上运动,证明 , 得到 ,由 ,得到 为定值,当点 三点共线时, 有最小值,即 有最小值,则 的周长有最小值为 ,利用勾股定理求解即可. 【详解】解:连接 ,四边形 是正方形, 是等腰直角三角形, , , 四点共圆, 恒等于 , 点P在正方形 对角线 上运动, , , , , 为定值, 当点 三点共线时, 有最小值,即 有最小值,则 的周长有最小值为 , , 的周长的最小值为: ,故答案为: . 【点睛】本题考查了正方形的性质,四点共圆,三角形全等的判定与性质,勾股定理等知识点,正确作出 辅助线,确定点P的运动轨迹是解题的关键. 10.(2023·重庆·九年级统考期中)如图,在 中, ,点 是边 的中点,连结 , 将 沿直线 翻折得到 ,连结 .若 ,则线段 的长为 . 【答案】 【分析】连接BE,延长CD交BE与点H,作CF⊥AB,垂足为F.在△ABC中有面积法求出CF的长.证 明DC垂直平分线段BE,然后证明△ABE是直角三角形,再利用S =S 得出EH=CF,从而得到BE ECD ACD △ △ 的长,在Rt ABE中,利用勾股定理即可解决问题. 【详解】解:△如图,连接BE,延长CD交BE与点H,作CF⊥AB,垂足为F.∵在Rt ABC中,∠ACB=90°,点D是边AB的中点,CD=5,∴AD=DB=CD=5,AB=10. △ ∵AC=6,∴BC= 8.∵S = AC•BC= AB•CF,∴ ×6×8= ×10×CF,解得CF= . ABC △ ∵将△BCD沿直线CD翻折得到△ECD,∴BC=CE,BD=DE,∴CH⊥BE,BH=HE. ∵AD=DB=DE=CD,∴A,C,B,E四点共圆, 又∠ACB=90°,∴AB为该圆的直径,∴∠AEB=90°. ∵S =S =S ,∴ DC•HE= AD•CF, ECD BCD ACD △ △ △ ∵DC=AD,∴HE=CF= .∴BE=2EH= . ∵∠AEB=90°,∴AE= .故答案为: . 【点睛】本题考查了翻折变换(折叠问题),直角三角形斜边上的中线的性质,勾股定理,圆周角定理的 推论以及三角形的面积等知识,解题的关键是学会利用面积法求高,属于中考常考题型. 11.(2024·浙江杭州·九年级月考)如图,已知 , 的内切圆 分别切边 于点 直线 分别与直线 相交于点 .求证: . 【答案】见解析【分析】连结 、 、 、 、 ,根据三角形外角性质和内心的性质得 ,再根据切线长定理得到 ,则 ,根据三角形 内角和定理得到 ,而 ,所以 ,根据四点共 圆的判定方法得到 、 、 、 四点共圆,于是根据圆周角定理得 ,;易得 ,再由 得到 ,又可判断 、 、 、 四点共圆,所 以 , ,根据切线长定理得到 ,则 , ,而 ,于是得到点 和 在以 为直径的圆上,根据正弦定理得 , 所以 . 【详解】解:证明:连结 、 、 、 、 ,如图, , 点 为 的内心, , 的内切圆 分别切边 、 于点 、 , , , ,, , 、 、 、 四点共圆, , 与 相切, , , , , 、 、 、 四点共圆, , , 的内切圆 分别切边 、 于点 、 , , 垂直平分 , , , ,而 , 、 、 、 四点共圆,即点 和 在以 为直径的圆上, , . 【点睛】本题考查了四点共圆:若线段同侧二点到线段两端点连线夹角相等,那么这二点和线段二端点四 点共圆;若四点连成四边形的对角互补或其中一个外角等于其邻补角的内对角,则这四点共圆.也考查了 圆周角定理、三角形内心的性质、切线的性质和正弦定理. 12.(2023·江苏·九年级假期作业)如图, , 是 的高, , 相交于点 , 是 的中 点, 是 的外接圆. (1)点B,C,D,E是否在以点M为圆心的同一个圆上?请说明理由. (2)若 , ,求 外接圆的半径长. 【答案】(1)点B,C,D,E在以点M为圆心的同一个圆上,理由见解析(2)5 【分析】(1)连接 , ,根据垂直定义可得 ,然后利用直角三角形斜边上的 中线性质可得 , ,从而可得 ,即可解答; (2)连接 并延长交 于点 ,连接 并延长交 于点 ,连接 , ,根据三角形的高的性 质可得 ,再根据直径所对的圆周角是直角可得 ,从而可得 ,,然后利用平行四边形的判定可得四边形 是平行四边形,从而可得 ,最后在 中,利用勾股定理进行计算即可解答. 【详解】(1)解:点 , , , 在以点 为圆心的同一个圆上, 理由:连接 , , , , , 是 的中点, , , , 点 , , , 在以点 为圆心的同一个圆上; (2)连接 并延长交 于点 ,连接 并延长交 于点 ,连接 , , , 是 的高, , 相交于点 , , 是 的直径, , , , , , , 四边形 是平行四边形, , 在 中, , , 外接圆的半径长为5. 【点睛】本题考查了三角形的外接圆与外心,直角三角形斜边上的中线,点与圆的位置关系,确定圆的条 件,根据题目的已知条件并结合图形添加适当的辅助线是解题的关键. 13.(2023上·江苏宿迁·九年级校考阶段练习)(1)【基础巩固】如图1, 内接于 ,若 ,弦 ,则半径 ______; (2)【问题探究】如图2,四边形 的四个顶点均在 上,若 , ,点 为弧 上一动点(不与点 ,点 重合).求证: ; (3)【解决问题】如图3,一块空地由三条直路(线段 、 、 )和一条道路劣弧CD围成,已知 千米, ,CD的半径为1千米,市政府准备将这块空地规划为一个公园,主入 口在点M处,另外三个入口分别在点C、D、P处,其中点 在CD上,并在公园中修四条慢跑道,即图中 的线段 、 、 、 ,某数学兴趣小组探究后发现C、P、D、M四个点在同一个圆上,请你帮 他们证明C、P、D、M四点共圆,并判断是否存在一种规划方案,使得四条慢跑道总长度(即四边形 的周长)最大?若存在,求其最大值;若不存在,说明理由. 【答案】(1) ;(2)见解析;(3)存在.四条慢跑道总长度(即四边形 的周长)的最大值为 【分析】(1)连接 ,作 ,利用圆周角定理以及勾股定理求解即可; (2)在 上取点 ,使 ,连接 , ,通过圆的性质以及全等三角形的判定与性质,求证 即可;(3)由题意可得,当 取得最大值时,四边形 的周长最大,连接 ,过点 作 于点 ,设 ,利用全等三角形的性质以及勾股定理求解即可. 【详解】解:(1)连接 ,作 ,如下图: ∵ ∴ 又∵ , ∴ , ∴ ,设 ,则 ,由勾股定理可得: ,即 解得 ,即 ; (2)证明:在 上取点 ,使 ,连接 , , ∵ , ,∴ 为等边三角形,∴ , , ∵ ,∴ ,∴ , ∴ 为等边三角形, ∴ , ,∴ , ∴ ,∴ ,∴ ; (3)解:存在.∵ 千米, ∴当 取得最大值时,四边形 的周长最大, 连接 ,过点 作 于点 ,设 , ∵ , , ,∴ , ∴ ,∴ ,∴ , ∵ , ∴ ,∴ 或 (舍去), ∴ ,∴ ,∴D、P、C、M四点共圆, ∴ , 由(2)可知 ,故当 是直径时, 最大值为2, ∵四边形 的周长 , ∴四边形 的周长的最大值为: , 即四条慢跑道总长度(即四边形 的周长)的最大值为【点睛】此题考查了圆的综合应用,涉及了等腰三角形,等边三角形的性质,全等三角形的判定与性质, 勾股定理等,综合性比较强,解题的关键是正确地作出辅助线。 14.(2023·绵阳市·九年级专题练习)如图所示中, , , 分别在边 和 上,且 , , 垂足分别为 , ,求 的长. 【答案】 【分析】本题关键要建立未知线段 和已知线段 的关系,由 , , , 共圆, 和 为直径, 于是在 中便可以建立 和 的关系,求出 的长即求出 的长. 【详解】连结 , ,∵ , ∴ ∴ , ∴由圆的定义知点 , , , 在以 为圆心, 为半径的圆上,作出辅助圆,延长 交圆 于 , 连结 ,∴ 在 中, ,∴ ∴ 【点睛】双直角三角形是典型的共圆图,解题中注意灵活应用. 15.(2022春·山东·九年级专题练习)定义:三角形一个内角的平分线和与另一个内角相邻的外角平分线 相交所成的锐角称为该三角形第三个内角的遥望角. (1)如图1,∠E是△ABC中∠A的遥望角.①若∠A=40°,直接写出∠E的度数是 ; ②求∠E与∠A的数量关系,并说明理由.(2)如图2,四边形ABCD中,∠ABC=∠ADC=90°,点E在 BD的延长线上,连CE,若∠BEC是△ABC中∠BAC的遥望角,求证:DA=DE.【答案】(1)①20°;② ,理由见解析;(2)证明见解析 【分析】(1)①根据题目定义推出∠E= ∠A,从而得出结论;②直接根据求解①过程证明即可; (2)首先根据题意推出A、B、C、D四点共圆,然后作四边形ABCD的外接圆交CE于点F,连接AF, DF,再根据圆的内接四边形的性质等推出∠AFD=∠DFE,然后根据“遥望角”的定义推出∠E= ∠DAF,即可证 DAF≌△DEF,从而得出结论. 【详解】(1)解△:①∵∠E是 ABC中∠A的遥望角, △ ∴∠EBC= ∠ABC,∠ECD= ∠ACD, ∴∠E=∠ECD﹣∠EBD= (∠ACD﹣∠ABC)= ∠A, ∵∠A=40°,∴∠E=20°.故答案为:20°; ② ,理由如下:∵∠E是 ABC中∠A的遥望角, △ ∴∠EBC= ∠ABC,∠ECD= ∠ACD, ∴∠E=∠ECD﹣∠EBD= (∠ACD﹣∠ABC)= ∠A; (2)证明:∵∠ABC=∠ADC=90°,∴A、B、C、D四点共圆, 作四边形ABCD的外接圆交CE于点F,连接AF,DF,∵四边形FBCD内接于⊙O,∴∠DFC+∠DBC=180°,∵∠DFC+∠DFE=180°,∴∠DFE=∠DBC, ∵BD平分∠ABC,∴∠ABD=∠DBC,∵∠ABD=∠AFD,∴∠AFD=∠DFE, ∵∠BEC是 ABC中∠BAC的遥望角,由(1)得∠E= ∠BAC, △ ∵∠BAC=∠BDC,∴∠E= ∠BDC,∵∠E+∠DCE=∠BAC,∴∠E=∠DCE, ∵∠DCE=∠DAF,∴∠E=∠DAF,∵DF=DF,∠AFD=∠DFE, ∴△DAF≌△DEF(AAS),∴DA=DE. 【点睛】本题考查新定义问题,涉及三角形角平分线的拓展运用,圆的内接四边形的性质等,理解题目定 义,灵活运用“四点共圆”的证明方法是解题关键. 16.(2023·广东九年级统考期末)如图,在 中, ,点 为线段 一点,连接 , 将 绕点 旋转至 ,连接 和 ( ). (1)如图1,若 , ,点P是 延长线一点,连接 ,若 , , ,求 的长;(2)如图2, ,作 于点 交 于点 ,求证: ; (3)如图3,在(2)的条件下,若 ,点 是直线 上一动点,连接 ,当点 运动到 中点时,将 沿 翻折至 ,连接 ,请直接写出 面积的最大值. 【答案】(1) ;(2)见解析;(3) .【分析】(1)根据 易证 ,由 , ,易得 ,再根据勾股定理 可得 的长度;(2)延长 ,交 于 ,作 交 延长线于 ,由题意可证 ,进而可得 , ,可得 ,再可证 ,可得 ,进而可证 ,可得 ,则可 得 ,再可证 ,便可得证 ;(3)由题意可知, , , , , ,由 ,利用同角的余角相等可知 ,连 接 ,由(2)知 ,由三线合一可知 ,可得 、 、 、 四点共圆,进而可知 ,则可求得 ,连接 ,由翻折可知, , ,则 为 的垂直平分线,可知 ,由 ,知 是以 为圆心, 为半径的圆,可知 为 的直径,可知 ,进而得证 ,则可知 ,故当 时, 取得最大值,即 取最大值,计算 即得最大值. 【详解】(1)解:∵ , , , ∴ ,∴ , ∵ , ,∴ , ∵ , ,则由勾股定理可得: ; (2)证明:延长 ,交 于 ,作 交 延长线于 , 则 ,∵ ,∴ , 又∵ , ,∴ , ∴ , ,则 ,∴ , ∵ , , ,∴ , ∴ , , 即: , 由旋转可知, ,∴ ,∴ ,∴ , 在 和 中, ,∴ ,∴ ; (3)由 可知, ,则 ∴ , ∵ ,则 ,∴ ∵ 是 中点,∴ ,则由勾股定理可得 , 连接 ,由(2)知 ,即 为 的中点, ∴ ,故 、 、 、 四点共圆,∴ , 则 , 连接 ,由翻折可知, , ,则 为 的垂直平分线, 则 ,∵ ,∴ 是以 为圆心, 为半径的圆, ∴ 为 的直径,则 ,∴ ∴ , 故当 时, 取得最大值,即 取最大值,∴ 的最大值为: . 【点睛】本题属于几何综合,考查了全等三角形的判定和性质,旋转及翻折的性质,解直角三角形,四点 共圆,添加辅助线构造全等三角形是解决问题的关键. 17.(2023·江苏盐城·九年级校考阶段练习)在边长为12cm的正方形ABCD中,点E从点D出发,沿边 DC以1cm/s的速度向点C运动,同时,点F从点C出发,沿边CB以1cm/s的速度向点B运动,当点E达 到点C时,两点同时停止运动,连接AE、DF交于点P,设点E. F运动时间为t秒.回答下列问题: (1)如图1,当t为多少时,EF的长等于 cm?(2)如图2,在点E、F运动过程中,①求证:点A、B、F、 P在同一个圆(⊙O)上;②是否存在这样的t值,使得问题①中的⊙O与正方形ABCD的一边相切?若存在, 求出t值;若不存在,请说明理由;③请直接写出问题①中,圆心O的运动的路径长为_________. 【答案】(1)t=4或8;(2)①证明见解析;②存在,t=3或12;③6cm. 【分析】(1)由题意易得DE=CF=t,则有EC=12-t,然后利用勾股定理求解即可; (2)①由题意易证△ADE≌△DCF,则有∠CDF=∠DAE,然后根据平行线的性质可得∠APF=90°,进而 可得∠B+∠APF=180°,则问题得证;②由题意可知当⊙O与正方形ABCD的一边相切时,可分两种情况 进行分类讨论求解:一是当圆与AD相切时,一是当圆与边DC相切时; ③由动点E、F在特殊位置时得出圆心O的运动轨迹,进而求解即可. 【详解】解:(1)由题意易得:DE=CF=t, 四边形ABCD是正方形, AB=CD=BC=AD=12cm,∠C=∠B=∠ADC=∠DAB=90°, EC=12-t, EF的长等于 cm, 在Rt CEF中, ,即 解得 ; △ (2)①由(1)可得AB=CD=BC=AD=12cm,∠C=∠B=∠ADC=∠DAB=90°,DE=CF=t, ADE≌△DCF, ∠CDF=∠DAE, △∠CDF+∠PDA=90°, ∠DAE+∠PDA=90°, ∠ADP=∠APF=90°, ∠APF+∠B=180°, 由四边形APFB内角和为360°可得:∠PAB+∠PFB=180°, 点A、B、F、P在同一个圆(⊙O)上; ②由题意易得:当⊙O与正方形ABCD的一边相切时,只有两种情况; a、当⊙O与正方形ABCD的边AD相切时,如图所示:由题意可得AB为⊙O的直径, t=12; b、当⊙O与正方形ABCD的边DC相切于点G时,连接OG并延长交AB于点M,过点O作OH⊥BC交 BC于点H,连接OF,如图所示: OG⊥DC,GM⊥AB,HF=HB, 四边形OMBH、GOHC是矩形, OH=BM=GC,OG=HC, AB=BC=12cm, OH=6, CF=t,BF=12-t, , 在Rt FOH中, ,即 ,解得: ; △ 综上所述:当 或t=12时,⊙O与正方形ABCD的边相切; ③由(1)(2)可得:当点E与点D重合及点F与点C重合时,圆心在正方形的中心上;当点E与点C重 合及点F与点B重合时,圆心在AB的中点上,故圆心的运动轨迹为一条线段,如图所示: OP即为圆心的运动轨迹,即OP=6cm.故答案为6cm. 【点睛】本题主要考查圆的综合,熟练掌握圆的性质及切线定理解题的关键,注意运用分类讨论思想解决 问题. 18.(2023·绵阳市九年级课时练习)如图,四边形 内接于 ,对角线 ,垂足为 , 于点 ,直线 与直线 于点 .(1)若点 在 内,如图1,求证: 和 关于直线 对称; (2)连接 ,若 ,且 与 相切,如图2,求 的度数. 【答案】(1)见解析;(2) 【分析】(1)根据垂直及同弧所对圆周角相等性质,可得 ,可证 与 全等,得 到 ,进一步即可证点 和 关于直线 成轴对称; (2)作出相应辅助线如解析图,可得 与 全等,利用全等三角形的性质及切线的性质,可得 ,根据平行线的性质及三角形内角和即可得出答案. 【详解】解:(1)证明:∵ , ,∴ , ∵ ,∴ , 又∵同弧所对圆周角相等,∴ ,∴ , 在 与 中, ∴ ,∴ , 又 ,∴点 和 关于直线 成轴对称; (2)如图,延长 交 于点 ,连接 , , , , ∵ , ,∴ 、 、 、 四点共圆, 、 、 、 四点共圆, ∴ , , 在 与 中, ,∴ ,∴ , ∴ 为等腰直角三角形,∴ ,∴ , 又 ,∴ , ∵ 与 相切,∴ ,∴ , ∴ ,∴ ,∴ ,∴ . 【点睛】题目主要考查圆的有关性质、三角形全等、成轴对称、平行线性质等,作出相应辅助线及对各知 识点的熟练运用是解题的关键.