当前位置:首页>文档>专题03圆中的重要模型之圆弧的中点模型解读与提分精练(人教版)(教师版)_初中数学_九年级数学上册(人教版)_常见几何模型全归纳-V13_2025版

专题03圆中的重要模型之圆弧的中点模型解读与提分精练(人教版)(教师版)_初中数学_九年级数学上册(人教版)_常见几何模型全归纳-V13_2025版

  • 2026-04-16 23:33:00 2026-03-20 06:20:04

文档预览

专题03圆中的重要模型之圆弧的中点模型解读与提分精练(人教版)(教师版)_初中数学_九年级数学上册(人教版)_常见几何模型全归纳-V13_2025版
专题03圆中的重要模型之圆弧的中点模型解读与提分精练(人教版)(教师版)_初中数学_九年级数学上册(人教版)_常见几何模型全归纳-V13_2025版
专题03圆中的重要模型之圆弧的中点模型解读与提分精练(人教版)(教师版)_初中数学_九年级数学上册(人教版)_常见几何模型全归纳-V13_2025版
专题03圆中的重要模型之圆弧的中点模型解读与提分精练(人教版)(教师版)_初中数学_九年级数学上册(人教版)_常见几何模型全归纳-V13_2025版
专题03圆中的重要模型之圆弧的中点模型解读与提分精练(人教版)(教师版)_初中数学_九年级数学上册(人教版)_常见几何模型全归纳-V13_2025版
专题03圆中的重要模型之圆弧的中点模型解读与提分精练(人教版)(教师版)_初中数学_九年级数学上册(人教版)_常见几何模型全归纳-V13_2025版
专题03圆中的重要模型之圆弧的中点模型解读与提分精练(人教版)(教师版)_初中数学_九年级数学上册(人教版)_常见几何模型全归纳-V13_2025版
专题03圆中的重要模型之圆弧的中点模型解读与提分精练(人教版)(教师版)_初中数学_九年级数学上册(人教版)_常见几何模型全归纳-V13_2025版
专题03圆中的重要模型之圆弧的中点模型解读与提分精练(人教版)(教师版)_初中数学_九年级数学上册(人教版)_常见几何模型全归纳-V13_2025版
专题03圆中的重要模型之圆弧的中点模型解读与提分精练(人教版)(教师版)_初中数学_九年级数学上册(人教版)_常见几何模型全归纳-V13_2025版
专题03圆中的重要模型之圆弧的中点模型解读与提分精练(人教版)(教师版)_初中数学_九年级数学上册(人教版)_常见几何模型全归纳-V13_2025版
专题03圆中的重要模型之圆弧的中点模型解读与提分精练(人教版)(教师版)_初中数学_九年级数学上册(人教版)_常见几何模型全归纳-V13_2025版
专题03圆中的重要模型之圆弧的中点模型解读与提分精练(人教版)(教师版)_初中数学_九年级数学上册(人教版)_常见几何模型全归纳-V13_2025版
专题03圆中的重要模型之圆弧的中点模型解读与提分精练(人教版)(教师版)_初中数学_九年级数学上册(人教版)_常见几何模型全归纳-V13_2025版
专题03圆中的重要模型之圆弧的中点模型解读与提分精练(人教版)(教师版)_初中数学_九年级数学上册(人教版)_常见几何模型全归纳-V13_2025版
专题03圆中的重要模型之圆弧的中点模型解读与提分精练(人教版)(教师版)_初中数学_九年级数学上册(人教版)_常见几何模型全归纳-V13_2025版
专题03圆中的重要模型之圆弧的中点模型解读与提分精练(人教版)(教师版)_初中数学_九年级数学上册(人教版)_常见几何模型全归纳-V13_2025版
专题03圆中的重要模型之圆弧的中点模型解读与提分精练(人教版)(教师版)_初中数学_九年级数学上册(人教版)_常见几何模型全归纳-V13_2025版
专题03圆中的重要模型之圆弧的中点模型解读与提分精练(人教版)(教师版)_初中数学_九年级数学上册(人教版)_常见几何模型全归纳-V13_2025版
专题03圆中的重要模型之圆弧的中点模型解读与提分精练(人教版)(教师版)_初中数学_九年级数学上册(人教版)_常见几何模型全归纳-V13_2025版
专题03圆中的重要模型之圆弧的中点模型解读与提分精练(人教版)(教师版)_初中数学_九年级数学上册(人教版)_常见几何模型全归纳-V13_2025版
专题03圆中的重要模型之圆弧的中点模型解读与提分精练(人教版)(教师版)_初中数学_九年级数学上册(人教版)_常见几何模型全归纳-V13_2025版
专题03圆中的重要模型之圆弧的中点模型解读与提分精练(人教版)(教师版)_初中数学_九年级数学上册(人教版)_常见几何模型全归纳-V13_2025版
专题03圆中的重要模型之圆弧的中点模型解读与提分精练(人教版)(教师版)_初中数学_九年级数学上册(人教版)_常见几何模型全归纳-V13_2025版
专题03圆中的重要模型之圆弧的中点模型解读与提分精练(人教版)(教师版)_初中数学_九年级数学上册(人教版)_常见几何模型全归纳-V13_2025版
专题03圆中的重要模型之圆弧的中点模型解读与提分精练(人教版)(教师版)_初中数学_九年级数学上册(人教版)_常见几何模型全归纳-V13_2025版
专题03圆中的重要模型之圆弧的中点模型解读与提分精练(人教版)(教师版)_初中数学_九年级数学上册(人教版)_常见几何模型全归纳-V13_2025版
专题03圆中的重要模型之圆弧的中点模型解读与提分精练(人教版)(教师版)_初中数学_九年级数学上册(人教版)_常见几何模型全归纳-V13_2025版
专题03圆中的重要模型之圆弧的中点模型解读与提分精练(人教版)(教师版)_初中数学_九年级数学上册(人教版)_常见几何模型全归纳-V13_2025版
专题03圆中的重要模型之圆弧的中点模型解读与提分精练(人教版)(教师版)_初中数学_九年级数学上册(人教版)_常见几何模型全归纳-V13_2025版
专题03圆中的重要模型之圆弧的中点模型解读与提分精练(人教版)(教师版)_初中数学_九年级数学上册(人教版)_常见几何模型全归纳-V13_2025版
专题03圆中的重要模型之圆弧的中点模型解读与提分精练(人教版)(教师版)_初中数学_九年级数学上册(人教版)_常见几何模型全归纳-V13_2025版
专题03圆中的重要模型之圆弧的中点模型解读与提分精练(人教版)(教师版)_初中数学_九年级数学上册(人教版)_常见几何模型全归纳-V13_2025版
专题03圆中的重要模型之圆弧的中点模型解读与提分精练(人教版)(教师版)_初中数学_九年级数学上册(人教版)_常见几何模型全归纳-V13_2025版
专题03圆中的重要模型之圆弧的中点模型解读与提分精练(人教版)(教师版)_初中数学_九年级数学上册(人教版)_常见几何模型全归纳-V13_2025版
专题03圆中的重要模型之圆弧的中点模型解读与提分精练(人教版)(教师版)_初中数学_九年级数学上册(人教版)_常见几何模型全归纳-V13_2025版
专题03圆中的重要模型之圆弧的中点模型解读与提分精练(人教版)(教师版)_初中数学_九年级数学上册(人教版)_常见几何模型全归纳-V13_2025版
专题03圆中的重要模型之圆弧的中点模型解读与提分精练(人教版)(教师版)_初中数学_九年级数学上册(人教版)_常见几何模型全归纳-V13_2025版
专题03圆中的重要模型之圆弧的中点模型解读与提分精练(人教版)(教师版)_初中数学_九年级数学上册(人教版)_常见几何模型全归纳-V13_2025版
专题03圆中的重要模型之圆弧的中点模型解读与提分精练(人教版)(教师版)_初中数学_九年级数学上册(人教版)_常见几何模型全归纳-V13_2025版
专题03圆中的重要模型之圆弧的中点模型解读与提分精练(人教版)(教师版)_初中数学_九年级数学上册(人教版)_常见几何模型全归纳-V13_2025版
专题03圆中的重要模型之圆弧的中点模型解读与提分精练(人教版)(教师版)_初中数学_九年级数学上册(人教版)_常见几何模型全归纳-V13_2025版
专题03圆中的重要模型之圆弧的中点模型解读与提分精练(人教版)(教师版)_初中数学_九年级数学上册(人教版)_常见几何模型全归纳-V13_2025版
专题03圆中的重要模型之圆弧的中点模型解读与提分精练(人教版)(教师版)_初中数学_九年级数学上册(人教版)_常见几何模型全归纳-V13_2025版
专题03圆中的重要模型之圆弧的中点模型解读与提分精练(人教版)(教师版)_初中数学_九年级数学上册(人教版)_常见几何模型全归纳-V13_2025版
专题03圆中的重要模型之圆弧的中点模型解读与提分精练(人教版)(教师版)_初中数学_九年级数学上册(人教版)_常见几何模型全归纳-V13_2025版
专题03圆中的重要模型之圆弧的中点模型解读与提分精练(人教版)(教师版)_初中数学_九年级数学上册(人教版)_常见几何模型全归纳-V13_2025版
专题03圆中的重要模型之圆弧的中点模型解读与提分精练(人教版)(教师版)_初中数学_九年级数学上册(人教版)_常见几何模型全归纳-V13_2025版
专题03圆中的重要模型之圆弧的中点模型解读与提分精练(人教版)(教师版)_初中数学_九年级数学上册(人教版)_常见几何模型全归纳-V13_2025版
专题03圆中的重要模型之圆弧的中点模型解读与提分精练(人教版)(教师版)_初中数学_九年级数学上册(人教版)_常见几何模型全归纳-V13_2025版
专题03圆中的重要模型之圆弧的中点模型解读与提分精练(人教版)(教师版)_初中数学_九年级数学上册(人教版)_常见几何模型全归纳-V13_2025版

文档信息

文档格式
docx
文档大小
6.097 MB
文档页数
51 页
上传时间
2026-03-20 06:20:04

文档内容

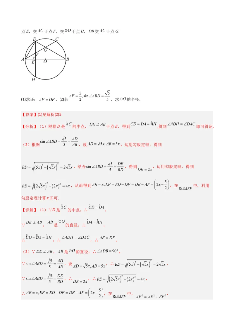
专题03 圆中的重要模型之圆弧的中点模型 当圆中出现弧的中点时,我们要注意考虑几个方面:三角形的中位线,垂径定理,圆周角定理,弦, 弧,圆心角,圆周角的关系等等。其关系复杂,在理解其做辅助线的方法和分析技巧的基础之上,还要注 意各知识点之间的联系,才是形成稳固的解题思路以及推导模式的最佳选择,以便于最后才能突破复杂的 综合题型以及压轴题型。 当圆中出现弦的中点或弧的中点时,我们联想到的是利用垂径定理以及圆周角定理进行思路的突破, 这样的解决方式比较直接,而且能够提高大家解题的效率。 .........................................................................................................................................2 模型1.与垂径定理相关的中点模型.........................................................................................................2 模型2.与圆周角定理相关的中点模型(母子模型)...............................................................................6 模型3.垂径定理与圆周角定理结合的中点模型....................................................................................12 模型4.与托勒密定理相关的中点模型....................................................................................................16 .......................................................................................................................................22模型1.与垂径定理相关的中点模型 O O O A B A B A B M N M N P P P 图1 图2 图3 1)条件:如图1,已知点P是 中点,连接OP,结论:OP⊥AB; 2)条件:如图2,已知点P是 中点,过点P作MN∥AB,结论:MN是圆O的切线; 3)条件:如图3,点P是 中点,连接BP、AP,若∠BPN=∠A,结论:MN是圆O切线。 证明:1)根据垂径定理易得:OP⊥AB; 2)由1)知:OP⊥AB,∵MN∥AB,∴OP⊥MN,∴MN是圆O的切线。 3)由1)知:OP⊥AB,∴∠BPO+∠ABP=90°,∵P是 中点,∴ ,∴∠ABP=∠BAP, ∵∠BPN=∠A,∴∠BPN=∠ABP,∴∠BPO+∠BPN=90°,∴MN是圆O的切线。 例1.(2023·陕西西安·校考模拟预测)如图, 内接于 ,点B是 的中点, 是 的直径. 若 , ,则 的长为( )A.5 B. C. D. 【答案】B 【分析】连接 ,先求得 ,再利用直角三角形的性质求得 ,又 由点 是 的中点得 ,进而利用勾股定理即可得解. 【详解】解:如图,连接 ,∵ 是 的直径,∴ , ∵ ,∴ ,∴ , ∵点 是 的中点,∴ , ∵ ,∴ 即 ,解得 ,故选:B. 【点睛】本题主要考查了勾股定理,圆周角定理, 直角三角形的性质,弧、弦之间的关系,熟练掌握 圆周角定理及勾股定理是解题的关键. 例2.(2023·湖北十堰·九年级校考期中)如图, 是 的直径,C是 上一点,D是 的中点, 交 于点E,过点D作 交 的延长线于点F.(1)求证: 是 的切线;(2)若 , ,求 的面积. 【答案】(1)见解析(2) 【分析】(1)连接 ,由垂径定理得 ,根据平行线的性质证明 ,进而可得结论; (2)设 的半径为r,根据勾股定理列方程可得: ,解得: ,利用面积法求出 ,然后利用三角形面积公式即可求解. 【详解】(1)连接 ,∵D是 的中点,∴ , ∵ ,∴ ,∵ 为 的半径,∴直线 是 的切线; (2)连接 ,作 于点H,设 的半径为r,则 , ∵ ,∴ ,解得 ,∴ , ,∴ . ∵ ,∴ ,∴ ,∴ 的面积 . 【点睛】本题考查了切线的判定,圆周角定理,勾股定理等知识,解答此题的关键是正确作出辅助线.. 例3.(2023春·福建福州·九年级统考期中)如图,点 在以 为直径的半圆 上(点 不与 , 两点 重合),点 是 的中点、 于点 ,连接 交 于点 ,连接 ,过点 作半圆 的切线 交 的延长线于点 .(1)求证: ;(2)求证: ;(3)连接 , ,若 ∶ ∶ ,求 的值.【答案】(1)见解析(2)见解析(3) 【分析】(1)连接 ,由垂径定理得出 ,由切线的性质得出 ,则可得出结论; (2)证明 ,由全等三角形的性质得出 ,则可得出结论; (3)连接 , , , ,证明 ,由相似三角形的性质得出 ,证出 ,得出 ,则可得出答案. 【详解】(1)证明:连接 , 为弧 的中点, ,又 为 的切线, , ; (2)证明: , ,由(1)可知 ,设垂足为点 , , , ,又 , , , , ; (3)解:连接 , , , , , , , , , , , , 又 , , , , , , . 【点睛】本题是圆的综合题,考查的是切线的性质,垂径定理,圆周角定理,相似三角形的判定和性质, 全等三角形的判定和性质,掌握圆的切线垂直于过切点的半径及相似三角形的判定与性质是解题的关键.例4.(2023·广东佛山·校联考一模)如图,在 中, 为 的直径,点E在 上,D为 的中点, 连接 并延长交于点C.连接 ,在 的延长线上取一点F,连接 ,使 . (1)求证: 为 的切线;(2)若 , ,求 的直径. 【答案】(1)证明见解析(2)6 【分析】(1)如图所示,连接 ,由直径所对的圆周角是直角得到 ,由 为 的中点结合 ,得到 ,进而证明 ,由此即可证明 为 的切线;(2) 如图所示,连接 ,同理得 ,证明 ,利用相似三角形的性质求出 ,则 的直径为6. 【详解】(1)证明:如图所示,连接 ,∵ 是 的直径,∴ , ∵ 为 的中点,∴ ,∴ , ∵ ,∴ , ∵ ,∴ ,∴ , ∵ 是 的半径,∴ 是 的切线;(2)解:如图所示,连接 ,∵ 是 的直径,∴ , ∵ , ,∴ , 又∵ ,∴ ,∴ , ∴ ,∴ ,即 ,∴ 的直径为6. 【点睛】本题主要考查了圆周角定理,相似三角形的性质与判定,切线的判定,三角形内角和定理,正确 作出辅助线是解题的关键. 模型2.与圆周角定理相关的中点模型(母子模型) C C O A O B A B P P 1)条件:如图1,已知点P是 中点,点C是圆上一点,结论:∠PCA=∠PCB. 2)条件:如图2,已知点P是半圆中点,结论:∠PCA=∠PCB=45°. 3)条件:如图 3,已知点 P 是 中点,结论:∠PBA=∠PCA=∠PCB=∠PAB;△PDA∽△PAC; △PDB∽△PBC;△CAP∽△CDB;△CAD∽△CPB。 证明:1)∵P是 中点,∴ ,∴∠PCA=∠PCB, 2)∵P是 中点,∴ ,∴∠PCA=∠PCB, ∵AB是直径,∴∠CPB=90°,∴∠PCA=∠PCB=45°,C C C C O O O O D A B A B A B A B D D D P P P P 3)∵P是 中点,∴ ,∴∠PBA=∠PCA=∠PCB=∠PAB, ∵∠PCA=∠PAD,∠APD=∠CPA,∴△PDA∽△PAC; ∵∠PCB=∠APB,∠BPD=∠CPB,∴△PDB∽△PBC; ∵ ,∴∠P=∠B,∵∠PCB=∠ACP,∴△CAP∽△CDB; ∵ ,∴∠P=∠A,∵∠ACD=∠PCB,∴△CAD∽△CPB。 例1.(2023·广东九年级期中)如图,四边形 内接于 , 为 的直径,点C为 的中点, 若 ,则 的度数是( ) A. B. C. D. 【答案】A 【分析】连接 ,根据圆周角定理得到 , ,根据直角三角形的性质计算即可. 【详解】解:连接 ,∵点C为 的中点, ,∴ , ∵ 为 的直径,∴ ,∴ ,故选:A. 【点睛】本题考查的是圆周角定理,掌握直径所对的圆周角是直角是解题的关键. 例2.(2023·广东佛山·校考三模)如图, 为 的直径,点 是弧 的中点, 交 于点 , , .(1)求证: ;(2)求线段 的长;(3)延长 至 ,连接 ,使 的面积等于 ,求 的度数. 【答案】(1)见解析(2) (3) 【分析】(1)由 ,可得 ,再利用“两角分别相等的两个三角形相似”进行证明; (2)先利用相似三角形的性质求出 ,再用勾股定理求 ; (3)连接 ,并求其长度,利用 的面积求出 的长,进而得到 , ,利用特殊角的三角函 数求出 与 的度数,进而得到 的度数. 【详解】(1)解: , ,又 , . (2)解: , , . , ,即 ,解得 . 是 的直径, .在 中, . (3)解:连接 ,如图.是 的直径, . 由 ,得 ,解得 . , . 在 中, . 在 中, . , . , , , , . 【点睛】本题考查了直径所对的圆周角是直角,同弧所对的圆周角相等,相似三角形的性质与判定,勾股 定理,利用特殊角的三角函数求角,熟练掌握相关性质定理是解题的关键. 例3.(2023·湖北恩施·统考一模)如图, 是 的直径, 是圆上的一点, 为 的中点,过点 作 的切线与 的延长线交于点 ,与 的延长线交于点 ,弦 、 交于点 . (1)求证: ;(2)求证: ;(3)若 , ,求 的长. 【答案】(1)见解析(2)见解析(3)【分析】(1)连接 , , 交 于 ,根据 得到 ,结合 得到 ,即 ,根据 是的 切线, 为半径得到 ,即可得到证明;(2)根 据 得到 ,结合 得到 ,即可得到证明(3)连接 , 根据 , ,得到 ,结合(2)得到 ,即可得到 ,结合三角函数即可得到答 案; 【详解】(1)证明:连接 , , 交 于 , ∵ 是劣弧 的中点,∴ ,∴ , ∵ ,∴ ,∴ ,∵ 是的 切线, 为半径,∴ , ∴ ,∴ ,∴ ; (2)证明:∵D是劣弧 的中点∴ ,∴ , ∵ ,∴ ,∴ ,∴ ; (3)解:连接 ,∵ , ,∴ 由(2)可得 ,∴ ,∴ , ∵ 是劣弧 的中点∴ ,∴ , ∵ 是 的直径,∴ ,则 ,∵ , ,∴ ∴ , 又∵ ,∴ ,∵ ,∴ , ∵ 是 的直径,∴ ,又∵ ,∴ , ∴ ,∴ ,∴ ,即 ,又 ∴ . 【点睛】本题考查圆周角定理,切线的性质,三角形相似的判定与性质,解直角三角形,解题的关键是根 据圆的性质得到等角及直角. 例4.(2023·四川巴中·统考一模)如图, 是半圆O的直径,D为半圆O上的点(不与A,B重合), 连接 ,点C为 的中点,过点C作 ,交 的延长线于点F,连接 , 交于点E. (1)求证: 是半圆O的切线.(2)求证: .(3)若 , ,求阴影部分的面积. 【答案】(1)见解析(2)见解析(3) 【分析】(1)根据点C为弧 的中点,得出 ,然后得出 ,根据平行线的 性质得出 ,进而即可证明结果;(2)连接 ,根据圆周角定理可得 ,证明 ,即可得出结果;(3)根据 ,可得 ,从而 可证 是等边三角形,即得 ,即 ,从而可得 ,由(2)可知, ,从而求出 ,最后根据 即可求出结果. 【详解】(1)证明:连接 ,∵点C为弧 的中点,∴ ,∴ ,又∵ ,∴ ,∴ ,∴ , 又∵ ,∴ ,∴ 是半圆O的切线; (2)证明:连接 ,∵ 是半圆O的直径,∴ ,∴ , ∵ ,∴ ,∴ ,∴ ; (3)解:∵在 中, , , ∴ , , ∴ ,∴ ,∴ , , ∵ , ,∴ 是等边三角形, ∴ ,∴ ,∴ ,∴ , ∵由(2)可知, ,∴ ,∴圆O的半径为 , . 【点睛】本题考查切线的判定、圆周角定理、相似三角形的判定与性质、等边三角形的判定与性质、锐角 三角函数及扇形面积公式,熟练掌握相关知识是解题的关键. 模型3.垂径定理与圆周角定理结合的中点模型 P C D A B H O条件:如图,AB是直径,点P是 中点,过点P作PH⊥AB交AB于点H,连结PB交AC于点F。 结论:AD=PD=FD,PQ=AC,AP2=AD×AC=AH×AB=PF×PB. 证明:1)∵P是 中点,∴ , ∵AB是直径,PH⊥AB,∴ ,∴ .∴∠APD=∠PAD,∴AD=PD, ∵AB是直径,∴∠APB=90°,∴∠PAD+∠PFA=90°,∠APD+∠FPD=90°, ∴FPD=∠PFA,∴FD=PD,∴AD=PD=FD,∵ ,∴ ,∴PQ=AC, ∵ ,∴∠APQ=∠PCA,∵∠DAP=∠PAC,∴△PAC∽△DAP;∴ ,∴AP2=AD×AC, ∵ ,∴∠APQ=∠ABP,∵∠HAP=∠PAB,∴△HAP∽△PAB;∴ ,∴AP2=AH×AB, ∵ ,∴∠PAC=∠ABP,∵∠APF=∠BPA,∴△APF∽△BPA;∴ ,∴AP2=PF×PB, 例1.(2023·湖南长沙·统考一模)如图,已知 是 的直径, 与 相切于点 , 与 相交 于点 , 是弧 的中点,现有如下几个结论: , , , ,其中正确的个数为( ) A. 个 B. 个 C. 个 D. 个 【答案】C 【分析】根据圆的切线定理,同弧或者等弧所对的圆周角相等,同弧或者等弧所对的圆周角是圆心角的一 半等依次判断,即可. 【详解】解:∵ 是 的直径, 与 相切于点 ,∴ ,∴ 正确;∵ 是弧 的中点、∴ ∴ , , ∵ 所对的圆周角是 ,∴ ,∴ ∴ ,∴ 正确; ∵ 所对的圆心角是 , 所对的圆周角是 , ∴ ,∴ 正确;∵ , , 但无法证明 与 的等量关系,∴ ,∴ 错误; 综上所述,正确的为: 共3个.故选:C. 【点睛】本题考查圆的知识,解题关键是掌握圆的基本性质,圆的切线定理,圆周角,圆心角,弦的关系. 例2.(2023·安徽合肥·统考三模)如图, 是半圆 的直径, 是弦,点 是 的中点,点 是 的中点,连接 、 分别交 于点 和点 ,连接 ,则下列结论中错误的是( ) A. B. C. D. 【答案】B 【分析】根据垂径定理可证 选项;根据垂径地理,中位线的性质可证 选项;根据圆周角的性质可证 ,由此即可求解. 【详解】解: 点 是弧 的中点, 是半径, ,∴ 正确;连接 交 于 , 点 是弧 的中点, , , , 是 的中位线, ,即 ,且 ,∴ 错误, 正确;连接 ,点 是弧 的中点, , , , ,∴ 正确.故选: . 【点睛】本题主要考查圆与三角形的综合,掌握圆的基础知识,相似三角形的判定和性质,垂径定理,中 位线的性质等知识是解题的关键. 例3.(2023·山东济南·统考中考真题)如图, , 为 的直径, 为 上一点,过点 的切线与 的延长线交于点 , ,点 是 的中点,弦 , 相交于点 . (1)求 的度数;(2)若 ,求 直径的长. 【答案】(1) (2) 【分析】(1)根据切线的性质,得出 ,再根据直角三角形两锐角互余,得出 ,再根据等边对等角,得出 ,再根据等量代换,得出 , 再根据 ,得出 ,即 ,得出 ,进而计算 即可得出答案;(2)连接 ,根据圆周角定理,得出 ,再根据中点的定义,得出 , 再根据同弧或同弦所对的圆周角相等,得出 ,再根据正切的定义, 得出 ,再根据 角所对的直角边等于斜边的一半,得出 ,进而即可得出答案. 【详解】(1)解:∵ 与 相切于点 ,∴ ,∴ , ∵ ,∴ ,∵ ,∴ , ∴ ,即 ,∴ ,∴ ; (2)解:如图,连接 ,∵ 是 直径,∴ ,∵点 是 的中点,∴ , ∴ ,在 中,∵ , ,∴ , 在 中,∵ ,∴ ,∴ 的直径的长为 . 【点睛】本题考查了切线的性质、直角三角形两锐角互余、等边对等角、圆周角定理及其推论、锐角三角 函数、含 角的直角三角形的性质,解本题的关键在熟练掌握相关的性质定理. 例4.(2023·浙江舟山·统考三模)如图1,在 中,直径 于点F,点E为 上一点,点C为 弧 的中点,连接 ,交 于点G.(1)求证: ;(2)如图2,过点C作 的切线交BA的延 长线于点Q,若 , ,求 的长度;(3)在(2)的基础上,点P为 上任一点,连接 , 的比值是否发生改变?若不变,求出比值;若变化,说明变化规律. 【答案】(1)证明见解析(2) (3) 的比值不会发生改变,【分析】(1)根据垂径定理得出 ,推出 ,即可证明 ; (2)连接 交 于点 ,设 的半径为 ,利用勾股定理求出 ,再证明 ,利用平行 线分线段成比例得出 ,计算即可得出结论;(3)分三种情况:当点 与点 重合时,当点 与 点 重合时,当点 与点 、 不重合时,分别求出 的比值即可. 【详解】(1)∵直径 于点F,∴ . ∵点C为弧 的中点,∴ .∴ .∴ . (2)如图2,连接 交 于点 ,设 的半径为 ,则 , 由(1)知 ∵直径 于点F,∴ . 在 中,∵ ,∴ .解得: , ∵点C为弧 的中点,∴ , .∴ . ∵ 是 的切线,∴ .∴ .∴ ,即 .∴ . (3) 的比值不会发生改变, ,理由如下:由(2)知 , , , , ①当点 与点 重合时, ;②当点 与点 重合时, ; ③当点 与点 、 不重合时,如图3,连接 ,∵ , ,∴ . 又∵ ,∴ .∴ .∴ 的比值不会发生改变. 【点睛】本题是圆的综合题,主要考查了相似三角形的判定和性质,垂径定理,勾股定理,切线的性质等 知识,熟练掌握垂径定理和相似三角形的判定与性质是解题的关键. 模型4.与托勒密定理相关的中点模型 图1 图2 1)同侧型: 条件:如图 1,A为弧 BC中点,∠ABC=∠ACB=θ,D为圆上 ABC底边下方一点,结论:BD+CD= 2AD×cosθ; 2)异侧型: 条件:如图 2,A 为弧 BC 中点,∠ABC=∠ACB=θ,D 为圆上 ABC 底边上方一点,结论:BD-CD= 2AD×cosθ; 托勒密定理(补充知识):圆内接四边形的对角线乘积等于对边乘积的和。即:AD×BC= BD×AC+DC×AB。 证明:1)同侧型:设AB=AC=m,则BC=2mcosθ。 由托勒密定理可知: AD×BC= BD×AC+DC×AB;即: m×BD+m×CD=2mcosθ×AD;故: BD+CD= 2AD×cosθ。 特别地:1)当三角形为等边三角形时(即θ=60°); 结论:BD+CD= AD 2)当三角形为等腰直角三角形时(即θ=45°); 结论:BD+CD= AD 3)当三角形为120°的等腰直角三角形时(即θ=30°); 结论:BD+CD= AD 2)异侧型:设AB=AC=m,则BC=2mcosθ。 由 托 勒 密 定 理 可 知 : BD×AC= AD×BC+DC×AB ; 即 : BD×m=AD×2mcosθ+CD×m ; 故 : BD-CD= 2AD×cosθ。 特别地: 1)当三角形为等边三角形时(即θ=60°); 结论:BD-CD= AD 2)当三角形为等腰直角三角形时(即θ=45°); 结论:BD-CD= AD 3)当三角形为120°的等腰直角三角形时(即θ=30°); 结论:BD-CD= AD 例1.(2023·浙江·九年级期中)如图, 为圆内接四边形 的对角线,且点D为 的中点; (1)如图1,若 、直接写出 与 的数量关系; (2)如图2、若 、 平分 , ,求 的长度. 【答案】(1) (2) 【分析】(1)如图: 绕B逆时针旋转交 于E,即 ,先说明 是等边三角形可得 ;再说明 是等边三角形可得 ,进而证明 可得 ,最后根据 即可证明结论; (2)如图:连接 , 交 于E,先说明 为 直径,即 ,再运用圆周角定理和勾股定理可得 ,进而求得 、 ,最后运用勾股定理即可解答 【详解】(1)解:如图: 绕B逆时针旋转交 于E,即 , ∵ ,∴ ,∴ 是等边三角形,∴ , ∵点D为 的中点∴ ,∵ ,∴ 是等边三角形, ∴ ,∴ ,即 , ∴ ,∴ ,∴ ,即 . (2)解:如图:连接 , 交 于E,∵ ,∴ 为 直径,即 ∵点D为 的中点,∴ , ∴ ,即 ,解得: , ∵ 平分 ,∴ ,又∵ ,∴ 垂直平分 ,即 ,∴ , ∵ .∴ 是 的中位线,∴ , ∴ ,∴ . 【点睛】本题主要考查了圆周角定理、垂径定理、勾股定理、全等三角形的判定与性质、等腰三角形的判 定与性质等知识点,灵活运用相关定理是解答本题的关键. 例2.(2023·云南红河·统考二模)如图,在 中, 为 的直径,过点C作射线 , , 点B为弧 的中点,连接 , , .点P为弧 上的一个动点(不与B,C重合),连接 , , , .(1)若 ,判断射线 与 的位置关系;(2)求证: .【答案】(1) 与 相切,理由见解析(2)证明见解析 【分析】(1)根据 为 的直径,得出 ,根据 ,得出 ,即可 证明结论;(2)在 上截取 ,连接 ,证明 ,得出 ,求出 ,过点B作 于点H,根据三角函数求出 ,得出 ,即可证明结论. 【详解】(1)解: 与 相切,理由如下: ∵ 为 的直径,∴ , ∵ ,∴ ,∴ ,∴ , ∵ 且 为 半径,∴ 为 的切线. (2)证明:在 上截取 ,连接 ,如图3,∵点B为弧 的中点, ,∴ ,∴ , , ∵ 与 同对弧 ,∴ , 在 和 中, ,∴ ,∴ , 又∵ ,∴ ,∴ , 过点B作 于点H,∴ ,∴ , 在 中, ,∴ ,∴ , 又∵ , ,∴ . 【点睛】本题主要考查了切线的判定,解直角三角形,全等三角形的判断和性质,圆周角定理,解题的关 键是理解题意,作出辅助线,熟练掌握相关的性质和判定. 例3.(2023·山西阳泉·九年级统考期末)阅读下列材料,并完成相应的任务.任务:(1)上述证明过程中的“依据1”和“依据2”分别指什么? 依据1: 依据2: (2)当圆内接四边形ABCD是矩形时,托勒密定理就是我们非常熟知的一个定理: (请写出定理名 称). (3)如图(3),四边形ABCD内接于⊙O,AB=3,AD=5,∠BAD=60°,点C是弧BD的中点,求AC的 长. 【答案】(1)同弧所对的圆周角相等;两角分别对应相等的两个三角形相似(2)勾股定理(3) AC = 【分析】(1)根据圆周角定理的推论以及三角形相似的判定定理,即可得到答案; (2)根据矩形的性质和托勒密定理,即可得到答案; (3)连接BD,过点C作CE⊥BD于点E.由四边形ABCD内接于⊙O,点C是弧BD的中点,可得∆BCD 是底角为30°的等腰三角形,进而得BD=2 DE= CD,结合托勒密定理,列出方程,即可求解. 【详解】(1)依据1指的是:同弧所对的圆周角相等; 依据2指的是:两角分别对应相等的两个三角形相似 . 故答案是:同弧所对的圆周角相等;两角分别对应相等的两个三角形相似; (2)∵当圆内接四边形ABCD是矩形时,∴AC=BD,BC=AD,AB=CD, ∵由托勒密定理得:AC·BD=AB·CD+BC·AD,∴ .故答案是:勾股定理; (3)如图,连接BD,过点C作CE⊥BD于点E. ∵四边形ABCD内接于⊙O,∴∠BAD+∠BCD =180°, ∵∠BAD=60°, ∴∠BCD =120°, ∵点C是弧BD的中点,∴ 弧BC=弧CD,∴ BC =CD,∴∠CBD =30°. 在Rt△CDE中,DE=CD·cos30°,∴DE= CD ,∴ BD=2 DE= CD. 由托勒密定理得: AC·BD=AB·CD+BC·AD.∴AC· CD=3CD+5CD.∴AC = .【点睛】本题主要考查圆的内接四边形的性质与相似三角形的综合,添加辅助线,构造底角为30°的等腰 三角形,是解题的关键. 1.(2023秋·山西阳泉·九年级统考期末)如图, 为 的直径,射线 交 于点 ,点 为劣弧 的中点,连接 .若 , ,则阴影部分的面积为( )A. B. C. D. 【答案】A 【分析】连接 , ,交 于 ,由圆周角定理可 , ,可 知 和 均为等边三角形,继而可知 ,可得 ,再结合阴影部分的面积 即可求解. 【详解】解:连接 , ,交 于 , ∵点 为劣弧 的中点,∴ ,∵ , ∴ , , ∵ ,∴ 和 均为等边三角形,即: , ∴ ,∴ , 则阴影部分的面积 故选:A. 【点睛】本题考查圆周角定理,扇形的面积公式,等边三角形的判定及性质,熟练掌握相关性质定理是解 决问题的关键. 2.(2023·陕西榆林·校联考模拟预测)如图, 为 的直径, 为 的弦,且 于点 ,若 点 为 的中点, ,则劣弧 的长为 ( )A. B. C. D. 【答案】B 【分析】连接 ,根据 于,点 为 的中点,可得 ,所以 ,根据等腰三角 形的性质得 ,根据弧长公式即可求出答案. 【详解】解:如图,连接 , 于,点 为 的中点, , , , , , , , 劣弧 的长为 .故选:B. 【点睛】本题考查了弧长公式,等腰三角形的性质,正确求出 是解题的关键. 3.(2023·陕西宝鸡·统考三模)如图, , 是 的两条直径,点 是劣弧 的中点,连接 , .若 ,则 的度数为( )A. B. C. D. 【答案】B 【分析】连接 ,由题意易得 ,则有 ,然后可得 ,进而根 据圆周角定理可求解. 【详解】解:连接 ,如图所示: ∵ , ,∴ ,∴ , ∵E是劣弧 的中点,∴ ,∴ ;故选B. 【点睛】本题主要考查圆周角定理及垂径定理,熟练掌握圆周角定理及垂径定理是解题的关键. 4.(2023·安徽滁州·校考三模)如图,圆内接四边形 的边 过圆心O,过点C的切线与边 的延 长线交于点E,若点D是 的中点, ,则 的度数为( ) A. B. C. D. 【答案】B 【分析】连接 ,先根据切线的性质证明 ,再求出 的度数,再根据圆内接四边形的性 质求出 的度数,再根据点D是 的中点,得 ,即可求出结果. 【详解】解:连接 ,∵过点C的切线与边 的延长线交于点E, ,即 , , , , ∵四边形 是圆内接四边形, , ∵点D是 的中点, , ,故选:B. 【点睛】本题考查切线的性质,等腰三角形性质,三角形内角和定理以及圆内接四边形,掌握切线的性质, 等腰三角形性质,三角形内角和定理以及圆内接四边形的性质是正确解答的关键. 5.(2023·湖北十堰·统考模拟预测)如图,⊙O的内接四边形 中, , , , 点C为弧 的中点,则 的长是( ) A. B. C. D. 【答案】C 【分析】根据圆内接四边形 , 可得 ,根据角平分线的性质可得 ,将 绕点C逆时针旋转 得 ,根据旋转的性质得出 , , ,可得 ,即A、B、E三点共线,过C作 于M,求出 ,根据解直角三角形即可求出. 【详解】如图:∵A、B、C、D四点共圆, ∴ ∵ , 平分 ∴ 将 绕点C逆时针旋转 得则 , , ∴ ∴A、B、E三点共线过C作 于M∵ ∴ 在 中, 故选:C. 【点睛】本题考查了圆内接四边形性质,角平分线的性质,旋转的性质,解直角三角形,能正确作出辅助 线是解此题的关键. 6.(2023·四川攀枝花·统考二模)如图, 是半圆O的直径, 是半圆上两点,点 是弧 的中点, , ,则弧 的长为( ) A. B. C. D. 【答案】B 【分析】如图所示,连接 ,先根据同弧所对的圆周角相等得到 ,进而利用圆周角 定理得到 ,再证明 是等边三角形,得到 ,最后根据弧长公式求解即可. 【详解】解:如图所示,连接 , ∵点 是弧 的中点,∴ , ∴ ,∴ , ∵ ,∴ 是等边三角形,∴ ,∴弧 的长为 ,故选B. 【点睛】本题主要考查了求弧长,圆周角定理,等边三角形的性质与判定,正确作出辅助线是解题的关键. 7.(2023·新疆博尔塔拉·校考二模)如图, 内接于半径为 的半圆 中, 为直径,点 是 的中点,连结 交 于点 , 平分 交 于点 , 为 的中点,可得( ) ① ② ③ ④ A.①②③ B.①②④ C.①③④ D.②③④ 【答案】B 【分析】连接 ,根据直径所对的圆周角是90度可得 , ,根据圆周角定理可得 ;根据角平分线的性质可得 ,根据三角形的内角和即可求得 ; 根据三角形的内角和可得 ,根据等角对等边可得 ,根据 为 的中点可得 ,根据勾股定理可得 , ;根据相似三角形的判定和性质可 得 , ,根据勾股定理可得 ,根据相似三角形的判定和性质可得 , 根据勾股定理可得 , ;即可求得 ,故 . 【详解】连接∵ 为直径∴ , ∵点 是 的中点∴ ∴ ∵ 平分 ∴ ∴ 即 ∴ 故①正确∴ ∴ ∴ 又∵ 为 的中点∴ 在 中, 令 则 解得 或 (舍去) 即 ∴ 故③不正确; ∵ , ∴ ∴ ∴ ∴ ∴ ∵ , ∴ ∴ , ∴ , 在 中, 即 令则 整理得: 解得 或 (舍去)即 ∴ 故②正确 故 故④正确; 综上,①②④正确 故选:B. 【点睛】本题考查勾股定理,相似三角形的判定和性质,正切的概念,角平分线的性质,等角对等边的性 质,三角形内角和,圆周角定理及其推论等,是一道综合题,熟练掌握相关判定和性质是解题的关键. 8.(2023春·江西宜春·八年级校考期末)如图,在半径为3的 中,点A是劣弧 的中点,点D是优 弧 上一点,且 ,则 的长度是 . 【答案】 【分析】根据半径为3的 中,点A是劣弧 的中点,得 , , ,则 ,根据 得 ,则 ,即 ,即可得 ,即可得. 【详解】解:如图所示, ∵半径为3的 中,点A是劣弧 的中点,∴ , , ,∴ , ,∵ ,∴ , ∴ ,∴ ,∴ , ∴ ,故答案为: . 【点睛】本题考查了圆周角定理,勾股定理,垂经定理,等腰三角形的性质,解题的关键是理解题意,掌 握这些知识点. 9.(2023·湖南常德·统考中考真题)沈括的《梦溪笔谈》是中国古代科技史上的杰作,其中收录了计算圆 弧长度的“会圆术”,如图. 是以O为圆心, 为半径的圆弧,C是弦 的中点,D在 上, .“会圆术”给出 长l的近似值s计算公式: ,当 , 时, .(结果保留一位小数) 【答案】0.1 【分析】由已知求得 与 的值,代入 得弧长的近似值,利用弧长公式可求弧长的值,进 而即可得解. 【详解】∵ ,∴ , ∵C是弦 的中点,D在 上, ,∴延长 可得O在 上,∴ ,∴ , ,∴ .故答案为: . 【点睛】本题考查扇形的弧长,掌握垂径定理。弧长公式是关键. 转化为扇形的面积减去三角形的面积,是解题的关键. 10.(2023·河南周口·校联考二模)如图所示,扇形 中 ,点C为 的中点,点 D为 的中点,连接 交于点P,则阴影部分图形的面积是 (结果保留 ). 【答案】 【分析】利用垂径定理及推论证明 是等边三角形,根据等边三角形的性质得到各边长度,最后通过 图形组合求出阴影部分面积即可. 【详解】连接 , 交 于点 ,如图,∵点 为 的中点,∴ ,∵ , ,∴ , ∵ ,∴ 是等边三角形,∴ , , ∵ 为 的中点,∴ ,∴ ,∴ , ∴ , , , ∴ .故答案为: . 【点睛】本题主要考查了扇形面积的计算,熟练掌握扇形面积的计算及应用求不规则图形面积的方法进行 求解是解决本题的关键. 11.(2023·江苏·九年级假期作业)如图,已知圆内接 中, , 为 的中点, 于 ,求证: . 【答案】见解析 【分析】在 上截取 ,连接 ,由 为 的中点,根据在同圆或等圆中,如果两个圆 心角以及它们对应的两条弧、两条弦中有一组量相等,则另外两组量也对应相等得到 ,易得 ,得到 ,于是有 ,因此 . 【详解】证明:在 上截取 ,连接 ,如图,∵ 为 的中点,∴ , , 在 中, ,∴ ,∴ , ∵ ,∴ ,∴ , 在 中, , ∴ ,即 . 【点睛】本题考查了在同圆或等圆中,如果两个圆心角以及它们对应的两条弧、两条弦中有一组量相等, 则另外两组量也对应相等.也考查了三角形全等的判定与性质、等腰三角形的性质、勾股定理. 12.(2023秋·河北张家口·九年级统考期末)如图, 是 上两点, ,C为弧 上一点. (1)写出弦 对的弧的度数;(2)若 是劣弧 的中点,判断四边形 的形状,并说明理由. 【答案】(1)60或120(2)菱形,见解析 【分析】(1)在优弧 上取一点 ,连接 、 ,先由圆周角定理得 ,再由圆内接四边 形的性质即可得出答案;(2)证 和 都是等边三角形,则 ,根据菱形的判 定方法即可得到结论. 【详解】(1)解:在优弧 上取一点 ,连接 、 ,如图 所示:, , , ; 弦 对的弧的度数为 或 ; (2)菱形,理由:连接 , ∵ 是弧 的中点, ∴ , 又∵ ,∴ 和 都是等边三角形, ∴ ,∴四边形 是菱形. 【点睛】本题考查了圆周角定理,圆心角、弧、弦的关系:在同圆或等圆中,相等的弧所对的圆心角相等. 也考查了等边三角形的判定与性质以及菱形的判定. 13.(2023·广东广州·九年级校考阶段练习)如图,在半径为2的 中, 是直径, 是弧 的中点, 绕点 旋转与 的两边分别交于 (点 与点 均不重合),与 分别交于 两点. (1)连接 ,求证: .(2)连接 ,试探究;在 绕点 旋转的过程中, 是否为定值?若是,求出 的大小;若不是,请说明理由.(3)连接 ,试探究:在 绕点 旋转的过程中, 的周长是否存在最小值?若存在,求出其最小值;若不存在,请说明理由.【答案】(1)见解析(2) 为定值.且为 (3) 的周长存在最小值,最小值为 【分析】(1)据圆周角定理由 是 的直径得 ,由M是 的中点得 ,于是可 判断 为等腰直角三角形,根据等腰直角三角形的性质得 , , 再利用等角的余角相等得 ,即可证明结论;(2)据圆周角定理得到 , ,则 ,所以 ;(3)易得 为等腰直角三角形,则 ,再由 得 ,所以 的周长= ,根据垂线段 最短得当 时, 最小,此时 ,此时 的周长存在最小值. 【详解】(1)证明: 是 的直径, , 是 的中点, , , 为等腰直角三角形, , , , ; , , , , 在 和 中, , .(2)解: 为定值.且为 , , , , , , . (3)解: 的周长有最小值,理由如下: ∵ ∴ , 为等腰直角三角形, , 的周长 , 当 时, 最小,此时 ,此时 的周长的最小值为 . 的周长的最小值为 . 【点睛】本题考查了圆的综合题,熟练掌握圆周角定理、等腰直角三角形的判定与性质、全等三角形的判 定解决线段相等是解题的关键. 14.(2023·浙江温州·校考三模)如图,四边形 内接于⊙O,D是弧 中点, 边上的点E满足 ,连接 并延长交 于点F,连结 . (1)求证: .(2)若 平分 , , 时,求 半径的长. 【答案】(1)见解析(2)5 【分析】(1)先利用 证明 ,即有 ,根据 , ,可得 ,即问题得解; (2)连接 ,交 于点 ,连接 ,先由 ,即有 ,根据平分 ,可得 ,则 ,即 恰好是 的中点,所以 ,则有 , ,设圆 的半径为 ,在 中,依据 ,可得 ,解方程即可求解. 【详解】(1)证明:∵D是弧 中点,∴ , , , , , , , , , ; (2)解:连接 ,交 于点 ,连接 , ,即 , , ∵ 平分 ,∴ ∴ 即 恰好是 的中点, , , , 设圆 的半径为 ,在 中, , , 解得 ,即 半径的长为5. 【点睛】本题考查了圆周角定理,圆内接四边形的性质,垂径定理的推论,解直角三角形,勾股定理以及 等腰三角形的判定等知识,掌握圆周角定理、垂径定理的推论以及解直角三角形的知识是解答本题的关键. 15.(2023·湖南·统考中考真题)如图, 是 的直径, 是一条弦,D是 的中点, 于点E,交 于点F,交 于点H, 交 于点G. (1)求证: .(2)若 ,求 的半径. 【答案】(1)见解析(2)5 【分析】(1)根据D是 的中点, 于点E,得到 ,得到 即可得证. (2)根据 ,设 ,运用勾股定理,得到 ,结合 ,得到 ,运用勾股定理,得到 ,从而得到 ,在 中,利用 勾股定理计算x即可. 【详解】(1)∵D是 的中点,∴ , ∵ , 是 的直径,∴ , ∴ ,∴ ,∴ . (2)∵ , 是 的直径,∴ , ∵ ,设 ,∴ , ∵ ,∴ ,∴ , ∴ ,在 中, ,∴ ,解得 或 (舍去),∴ ,∴ 的半径为5. 【点睛】本题考查了垂径定理,勾股定理,圆周角定理,正弦函数,熟练掌握垂径定理,勾股定理,圆周 角定理,正弦函数是解题的关键. 16.(2023·浙江·九年级假期作业)如图,在 中,弦 与 交于点 ,点 为 的中点,现有以 下信息: ① 为直径;② ;③ . (1)从三条信息中选择两条作为条件,另一条作为结论,组成一个真命题. 你选择的条件是___________,结论是___________(填写序号),请说明理由. (2)在(1)的条件下,若 的长为 ,求 半径. 【答案】(1)①②;③;理由见解析(答案不唯一)(2) 【分析】(1)任选其中两条作为已知条件,剩余一条作为结论,均为真命题,结合圆当中的基本性质和 定理进行证明即可;(2)结合条件 可推出 ,从而结合弧长计算公式直接求解即可. 【详解】(1)证明:如图所示,连接 , ∵点 为 的中点,∴ , , 情况一:选择条件是①②,结论是③,是真命题;理由如下: ∵ 为直径,∴ ,∴ 为等腰直角三角形, , ∵ ,∴ , ∴条件是①②,结论是③,该命题为真命题; 情况二:选择条件是①③,结论是②,是真命题;理由如下: ∵ 为直径,∴ ,∴ 为等腰直角三角形, , ∵ ,∴ , ∴条件是①③,结论是②,该命题为真命题;情况三:选择条件是②③,结论是①,是真命题;理由如下: ∵ , ,∴ , ∵ ,∴ ,∴ , ∵ 是圆上的弦,∴ 为直径,∴条件是②③,结论是①,该命题为真命题; 故答案为:①②;③(答案不唯一); (2)解:由(1)可知, ,如图所示,连接 ,∴ , ∵ 的长为 ,设 的半径为 ,∴ ,解得: ,∴ 的半径为 . 【点睛】本题考查圆的基本性质,圆周角定理,弧长计算,等腰三角形的判定和性质,三角形外角的性质 等,理解直径所对的圆周角为直角及其推论,掌握弧长计算公式是解题关键. 17.(2023·山东·统考中考真题)如图, 为 的直径,C是圆上一点,D是 的中点,弦 , 垂足为点F.(1)求证: ;(2)P是 上一点, ,求 ; (3)在(2)的条件下,当 是 的平分线时,求 的长. 【答案】(1)证明见解析;(2) (3) 【分析】(1)由D是 的中点得 ,由垂径定理得 ,得到 ,根据同圆中,等弧 对等弦即可证明;(2)连接 ,证明 ,设 的半径为r,利用相似三角形的性质得, ,由勾股定理求得 ,得到 ,即可得到 ; (3)过点B作 交 于点G,证明 是等腰直角三角形,解直角三角形得到 ,由 得到 ,解得 ,即可求解. 【详解】(1)解:∵D是 的中点,∴ , ∵ 且 为 的直径,∴ ,∴ ,∴ ; (2)解:连接 , ∵ ,∴ ,∵ 为 的直径,∴ , ∵ ,∴ ,∴ ,∴ , 设 的半径为r,则 ,解得 ,经检验, 是方程的根, ∴ ,∴ ,∴ , ∵ ,∴ ; (3)解:如图,过点B作 交 于点G,∴ ∵ , 是 的平分线,∴ ∴ ∴ , ∵ ∴ ,∴ ,∴ . 【点睛】本题考查了相似三角形的判定与性质,垂径定理,圆周角定理及推论,解直角三角形等知识,熟 练掌握以上知识并灵活运用是解题的关键. 18.(2023·江西九江·统考三模)如图,已知 是 的直径, 点是 弧上的一点, 于 ,点 是 弧的中点, 交 于点 ,交 于点 . (1)判断 的形状,并证明;(2)若 , .①求 的长.②求阴影部分的面积. 【答案】(1) 是等腰三角形,详见解析(2)① ;② 【分析】(1)根据直径所对的圆周角是直角可得 ,从而可得 ,根据垂直 定义可得 ,从而可得 ,然后根据已知可得 ,从而可得 ,进而可得 ,最后根据对顶角相等可得 ,从而可得 ,进而根据等角对等边即可解答; (2)①由(1)得 故可得 所以 再证明 通过解直角 ,求出 ;②连接 ,可得 是等边三角形,故有 根据 可得结论. 【详解】(1) 是等腰三角形,理由如下: ∵ 为 的直径,∴ ,∴ , ∵ ,∴ ,∴ , ∵D为弧 的中点,∴ ,∴ ,∴ , ∵ ,∴ ,∴ ,∴ 是等腰三角形; (2)①∵ ∴ ∵ 即 ∴ ∵ ∴ ∴ ∴ 在直角 中,∵ ,∴∵ ∴ ; ②连接 如图,∵ ∴ 是等边三角形,∴ 又 ∴ . 【点睛】本题考查了圆周角定理,扇形的面积等知识,根据题目的已知条件并结合图形添加适当的辅助线 是解题的关键. 19.(2023·九年级北京市校考阶段练习)阅读下列材料,并完成相应的任务. 托勒密定理:托勒密(Ptolemy)(公元90年~公元168年),希腊著名的天文学家,他的要著作《天文 学大成》被后人称为“伟大的数学书”,托勒密有时把它叫作《数学文集》,托勒密从书中摘出并加以完 善,得到了著名的托勒密(Ptolemy)定理. 托勒密定理:圆内接四边形中,两条对角线的乘积等于两组对边乘积之和. 已知:如图1,四边形ABCD内接于⊙O,求证:AB•CD+BC•AD=AC•BD 下面是该结论的证明过程: 证明:如图2,作∠BAE=∠CAD,交BD于点E. ∵ ∴∠ABE=∠ACD∴△ABE∽△ACD ∴ ∴AB•CD=AC•BE ∵ ∴∠ACB=∠ADE(依据1) ∵∠BAE=∠CAD∴∠BAE+∠EAC=∠CAD+∠EAC即∠BAC=∠EAD ∴△ABC∽△AED(依据2) ∴AD•BC=AC•ED ∴AB•CD+AD•BC=AC•(BE+ED) ∴AB•CD+AD•BC=AC•BD 任务:(1)上述证明过程中的“依据1”、“依据2”分别是指什么? (2)当圆内接四边形ABCD是矩形时,托勒密定理就是我们非常熟知的一个定理: .(请写出) (3)如图3,四边形ABCD内接于⊙O,AB=3,AD=5,∠BAD=60°,点C为 的中点,求AC的长. 【答案】(1)上述证明过程中的“依据1”是同弧所对的圆周角相等.“依据2”是两角分别相等的两个三 角形相似;(2) 勾股定理;(3) . 【分析】(1)根据圆周角定理,相似三角形的判定即可解决问题. (2)利用矩形的性质以及托勒密定理即可判断. (3)连接BD,作CE⊥BD于E.首先证明BD=2DE= CD,由托勒密定理,构建方程求出AC即可. 【详解】(1)上述证明过程中的“依据1”是同弧所对的圆周角相等. “依据2”是两角分别相等的两个三角形相似. (2)当圆内接四边形ABCD是矩形时,则AB=CD,AD=BC,AC=BD, ∵AB•CD+AD•BC=AC•BD,∴AB2+AD2=BD2, 托勒密定理就是我们非常熟知的一个定理:勾股定理,故答案为勾股定理. (3)连接BD,作CE⊥BD于E. ∵四边形ABCD是圆内接四边形,∴∠BAD+∠BCD=180°, ∵∠BAD=60°,∴∠BCD=120°,∵ ,∴CD=CB,∴∠CDB=30°, 在Rt CDE中,cos30°= ,∴DE= CD,∴BD=2DE= CD, △由托勒密定理:AC•BD=AD•BC+CD•AB, ∴AC• CD=3CD+5CD,∴AC= ,答:AC的长为 . 【点睛】本题属于圆综合题,考查了相似三角形的判定和性质,勾股定理,圆周角定理,锐角三角函数, 托勒密定理等知识,解题的关键是学会添加常用辅助线,正确寻找相似三角形解决问题. 20.(2023·江苏扬州·九年级校联考阶段练习)阅读下列材料,完成文后任务: 克罗狄斯·托勒密(约公元 年—公元 年),希腊著名的天文学家、地理学家和光学家.在数学方面, 他论证了四边形的特性,即著名的托勒密定理:圆内接四边形中,两条对角线的乘积等于两组对边的乘积 之和. 用数学文字表示为:如图1,已知四边形 内接于 ,则 任务:(1)如图1,当 为等边三角形时, 与 有怎样的数量关系?并说明理由; (2)如图2,已知 为直径, , ,求 的长; (3)如图3,在四边形 中, , , ,则 的 面积为_________. 【答案】(1)AC=BC+CD;证明见解析;(2) ;(3) . 【分析】(1)由托勒密定理: 及等边三角形的性质即可求得. (2)由勾股定理可求得BD,进而可求CD,再由由托勒密定理: 即可求得AC 的长.(3)由题意可得四边形ABCD在以BD为直径的圆上,设圆心为O,连接OC、OA,并作OE⊥AC于点E,则 的面积即可由 求得. 【详解】解:(1) 证:由题意得: 为等边三角形 即 . (2) 为直径 . .由托勒密定理可知 . (3)∵ , , , ∴四边形ABCD在以BD为直径的圆上 且BD= = =6 CD= = =4 ∵ 代入AB、CD、BC、AD、AC可得AC= 连接OA、OC,作OE⊥AC交于点E,如图: BD=6,AD=3, , ∴ ∵OC=3,AC= ∴OE= = ∴ ∴ =【点睛】本题考查了三角形和圆的综合问题,解题的关键是进行等量代换及作出辅助线.