当前位置:首页>文档>专题06一元二次方程48道压轴题型专训(8大题型)(教师版)_初中数学_九年级数学上册(人教版)_重难点专题提升-V7_2025版

专题06一元二次方程48道压轴题型专训(8大题型)(教师版)_初中数学_九年级数学上册(人教版)_重难点专题提升-V7_2025版

  • 2026-03-27 14:39:30 2026-03-21 00:34:37

文档预览

专题06一元二次方程48道压轴题型专训(8大题型)(教师版)_初中数学_九年级数学上册(人教版)_重难点专题提升-V7_2025版
专题06一元二次方程48道压轴题型专训(8大题型)(教师版)_初中数学_九年级数学上册(人教版)_重难点专题提升-V7_2025版
专题06一元二次方程48道压轴题型专训(8大题型)(教师版)_初中数学_九年级数学上册(人教版)_重难点专题提升-V7_2025版
专题06一元二次方程48道压轴题型专训(8大题型)(教师版)_初中数学_九年级数学上册(人教版)_重难点专题提升-V7_2025版
专题06一元二次方程48道压轴题型专训(8大题型)(教师版)_初中数学_九年级数学上册(人教版)_重难点专题提升-V7_2025版
专题06一元二次方程48道压轴题型专训(8大题型)(教师版)_初中数学_九年级数学上册(人教版)_重难点专题提升-V7_2025版
专题06一元二次方程48道压轴题型专训(8大题型)(教师版)_初中数学_九年级数学上册(人教版)_重难点专题提升-V7_2025版
专题06一元二次方程48道压轴题型专训(8大题型)(教师版)_初中数学_九年级数学上册(人教版)_重难点专题提升-V7_2025版
专题06一元二次方程48道压轴题型专训(8大题型)(教师版)_初中数学_九年级数学上册(人教版)_重难点专题提升-V7_2025版
专题06一元二次方程48道压轴题型专训(8大题型)(教师版)_初中数学_九年级数学上册(人教版)_重难点专题提升-V7_2025版
专题06一元二次方程48道压轴题型专训(8大题型)(教师版)_初中数学_九年级数学上册(人教版)_重难点专题提升-V7_2025版
专题06一元二次方程48道压轴题型专训(8大题型)(教师版)_初中数学_九年级数学上册(人教版)_重难点专题提升-V7_2025版
专题06一元二次方程48道压轴题型专训(8大题型)(教师版)_初中数学_九年级数学上册(人教版)_重难点专题提升-V7_2025版
专题06一元二次方程48道压轴题型专训(8大题型)(教师版)_初中数学_九年级数学上册(人教版)_重难点专题提升-V7_2025版
专题06一元二次方程48道压轴题型专训(8大题型)(教师版)_初中数学_九年级数学上册(人教版)_重难点专题提升-V7_2025版
专题06一元二次方程48道压轴题型专训(8大题型)(教师版)_初中数学_九年级数学上册(人教版)_重难点专题提升-V7_2025版
专题06一元二次方程48道压轴题型专训(8大题型)(教师版)_初中数学_九年级数学上册(人教版)_重难点专题提升-V7_2025版
专题06一元二次方程48道压轴题型专训(8大题型)(教师版)_初中数学_九年级数学上册(人教版)_重难点专题提升-V7_2025版
专题06一元二次方程48道压轴题型专训(8大题型)(教师版)_初中数学_九年级数学上册(人教版)_重难点专题提升-V7_2025版
专题06一元二次方程48道压轴题型专训(8大题型)(教师版)_初中数学_九年级数学上册(人教版)_重难点专题提升-V7_2025版
专题06一元二次方程48道压轴题型专训(8大题型)(教师版)_初中数学_九年级数学上册(人教版)_重难点专题提升-V7_2025版
专题06一元二次方程48道压轴题型专训(8大题型)(教师版)_初中数学_九年级数学上册(人教版)_重难点专题提升-V7_2025版
专题06一元二次方程48道压轴题型专训(8大题型)(教师版)_初中数学_九年级数学上册(人教版)_重难点专题提升-V7_2025版
专题06一元二次方程48道压轴题型专训(8大题型)(教师版)_初中数学_九年级数学上册(人教版)_重难点专题提升-V7_2025版
专题06一元二次方程48道压轴题型专训(8大题型)(教师版)_初中数学_九年级数学上册(人教版)_重难点专题提升-V7_2025版
专题06一元二次方程48道压轴题型专训(8大题型)(教师版)_初中数学_九年级数学上册(人教版)_重难点专题提升-V7_2025版
专题06一元二次方程48道压轴题型专训(8大题型)(教师版)_初中数学_九年级数学上册(人教版)_重难点专题提升-V7_2025版
专题06一元二次方程48道压轴题型专训(8大题型)(教师版)_初中数学_九年级数学上册(人教版)_重难点专题提升-V7_2025版
专题06一元二次方程48道压轴题型专训(8大题型)(教师版)_初中数学_九年级数学上册(人教版)_重难点专题提升-V7_2025版
专题06一元二次方程48道压轴题型专训(8大题型)(教师版)_初中数学_九年级数学上册(人教版)_重难点专题提升-V7_2025版
专题06一元二次方程48道压轴题型专训(8大题型)(教师版)_初中数学_九年级数学上册(人教版)_重难点专题提升-V7_2025版
专题06一元二次方程48道压轴题型专训(8大题型)(教师版)_初中数学_九年级数学上册(人教版)_重难点专题提升-V7_2025版
专题06一元二次方程48道压轴题型专训(8大题型)(教师版)_初中数学_九年级数学上册(人教版)_重难点专题提升-V7_2025版
专题06一元二次方程48道压轴题型专训(8大题型)(教师版)_初中数学_九年级数学上册(人教版)_重难点专题提升-V7_2025版
专题06一元二次方程48道压轴题型专训(8大题型)(教师版)_初中数学_九年级数学上册(人教版)_重难点专题提升-V7_2025版
专题06一元二次方程48道压轴题型专训(8大题型)(教师版)_初中数学_九年级数学上册(人教版)_重难点专题提升-V7_2025版
专题06一元二次方程48道压轴题型专训(8大题型)(教师版)_初中数学_九年级数学上册(人教版)_重难点专题提升-V7_2025版
专题06一元二次方程48道压轴题型专训(8大题型)(教师版)_初中数学_九年级数学上册(人教版)_重难点专题提升-V7_2025版
专题06一元二次方程48道压轴题型专训(8大题型)(教师版)_初中数学_九年级数学上册(人教版)_重难点专题提升-V7_2025版
专题06一元二次方程48道压轴题型专训(8大题型)(教师版)_初中数学_九年级数学上册(人教版)_重难点专题提升-V7_2025版
专题06一元二次方程48道压轴题型专训(8大题型)(教师版)_初中数学_九年级数学上册(人教版)_重难点专题提升-V7_2025版
专题06一元二次方程48道压轴题型专训(8大题型)(教师版)_初中数学_九年级数学上册(人教版)_重难点专题提升-V7_2025版
专题06一元二次方程48道压轴题型专训(8大题型)(教师版)_初中数学_九年级数学上册(人教版)_重难点专题提升-V7_2025版
专题06一元二次方程48道压轴题型专训(8大题型)(教师版)_初中数学_九年级数学上册(人教版)_重难点专题提升-V7_2025版
专题06一元二次方程48道压轴题型专训(8大题型)(教师版)_初中数学_九年级数学上册(人教版)_重难点专题提升-V7_2025版
专题06一元二次方程48道压轴题型专训(8大题型)(教师版)_初中数学_九年级数学上册(人教版)_重难点专题提升-V7_2025版
专题06一元二次方程48道压轴题型专训(8大题型)(教师版)_初中数学_九年级数学上册(人教版)_重难点专题提升-V7_2025版
专题06一元二次方程48道压轴题型专训(8大题型)(教师版)_初中数学_九年级数学上册(人教版)_重难点专题提升-V7_2025版
专题06一元二次方程48道压轴题型专训(8大题型)(教师版)_初中数学_九年级数学上册(人教版)_重难点专题提升-V7_2025版
专题06一元二次方程48道压轴题型专训(8大题型)(教师版)_初中数学_九年级数学上册(人教版)_重难点专题提升-V7_2025版
专题06一元二次方程48道压轴题型专训(8大题型)(教师版)_初中数学_九年级数学上册(人教版)_重难点专题提升-V7_2025版
专题06一元二次方程48道压轴题型专训(8大题型)(教师版)_初中数学_九年级数学上册(人教版)_重难点专题提升-V7_2025版
专题06一元二次方程48道压轴题型专训(8大题型)(教师版)_初中数学_九年级数学上册(人教版)_重难点专题提升-V7_2025版
专题06一元二次方程48道压轴题型专训(8大题型)(教师版)_初中数学_九年级数学上册(人教版)_重难点专题提升-V7_2025版
专题06一元二次方程48道压轴题型专训(8大题型)(教师版)_初中数学_九年级数学上册(人教版)_重难点专题提升-V7_2025版
专题06一元二次方程48道压轴题型专训(8大题型)(教师版)_初中数学_九年级数学上册(人教版)_重难点专题提升-V7_2025版
专题06一元二次方程48道压轴题型专训(8大题型)(教师版)_初中数学_九年级数学上册(人教版)_重难点专题提升-V7_2025版
专题06一元二次方程48道压轴题型专训(8大题型)(教师版)_初中数学_九年级数学上册(人教版)_重难点专题提升-V7_2025版
专题06一元二次方程48道压轴题型专训(8大题型)(教师版)_初中数学_九年级数学上册(人教版)_重难点专题提升-V7_2025版
专题06一元二次方程48道压轴题型专训(8大题型)(教师版)_初中数学_九年级数学上册(人教版)_重难点专题提升-V7_2025版
专题06一元二次方程48道压轴题型专训(8大题型)(教师版)_初中数学_九年级数学上册(人教版)_重难点专题提升-V7_2025版
专题06一元二次方程48道压轴题型专训(8大题型)(教师版)_初中数学_九年级数学上册(人教版)_重难点专题提升-V7_2025版
专题06一元二次方程48道压轴题型专训(8大题型)(教师版)_初中数学_九年级数学上册(人教版)_重难点专题提升-V7_2025版
专题06一元二次方程48道压轴题型专训(8大题型)(教师版)_初中数学_九年级数学上册(人教版)_重难点专题提升-V7_2025版
专题06一元二次方程48道压轴题型专训(8大题型)(教师版)_初中数学_九年级数学上册(人教版)_重难点专题提升-V7_2025版
专题06一元二次方程48道压轴题型专训(8大题型)(教师版)_初中数学_九年级数学上册(人教版)_重难点专题提升-V7_2025版
专题06一元二次方程48道压轴题型专训(8大题型)(教师版)_初中数学_九年级数学上册(人教版)_重难点专题提升-V7_2025版
专题06一元二次方程48道压轴题型专训(8大题型)(教师版)_初中数学_九年级数学上册(人教版)_重难点专题提升-V7_2025版
专题06一元二次方程48道压轴题型专训(8大题型)(教师版)_初中数学_九年级数学上册(人教版)_重难点专题提升-V7_2025版
专题06一元二次方程48道压轴题型专训(8大题型)(教师版)_初中数学_九年级数学上册(人教版)_重难点专题提升-V7_2025版
专题06一元二次方程48道压轴题型专训(8大题型)(教师版)_初中数学_九年级数学上册(人教版)_重难点专题提升-V7_2025版
专题06一元二次方程48道压轴题型专训(8大题型)(教师版)_初中数学_九年级数学上册(人教版)_重难点专题提升-V7_2025版
专题06一元二次方程48道压轴题型专训(8大题型)(教师版)_初中数学_九年级数学上册(人教版)_重难点专题提升-V7_2025版
专题06一元二次方程48道压轴题型专训(8大题型)(教师版)_初中数学_九年级数学上册(人教版)_重难点专题提升-V7_2025版

文档信息

文档格式
docx
文档大小
5.448 MB
文档页数
74 页
上传时间
2026-03-21 00:34:37

文档内容

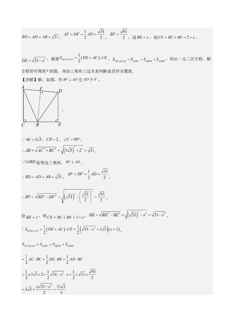
专题06 一元二次方程48道压轴题型专训(8大题型) 【题型目录】 题型一 配方法的应用压轴题 题型二 根的判别式压轴题 题型三 根据一元二次方程根的情况求参数压轴题 题型四 换元法解一元二次方程压轴题 题型五 一元二次方程根与系数的关系压轴题 题型六 营销问题压轴题 题型七 与图形有关的问题压轴题 题型八 动态几何压轴题 【经典例题一 配方法的应用压轴题】 1.(22-23八年级下·浙江杭州·期中)一元二次方程 (a,b,c为常数,且 )的两个根 分别为 则下列命题判断正确的是( ) ①若 ,则 也是方程 的一个根. ②若x 也为方程 和方程 的一个根,则 一定为零. 2 A.①正确,②错误 B.①错误,②正确 C.①②都错误 D.①②都正确 【答案】D 【分析】本题考查的是一元二次方程的解的含义,配方法方应用,先利用方程的解的含义可判断①,把 代入 , 和方程 ,三个方程再相加,结合配方法可判断②. 【详解】解:①把 代入 , 得 , 得 , 故 也是方程 的一个根.符合题意;②把 代入 , 和方程 , 三个方程再相加, 得 , ∴ , ∵ , ∴ .故②符合题意; 故选:D. 2.(23-24八年级下·浙江宁波·期中)新定义:关于 的一元二次方程 与 称为“同族二次方程”.例如: 与 是“同族二次方程”,现有关于 的一元 二次方程 与 是“同族二次方程”,则代数式的 最小值 是 . 【答案】2024 【分析】此题考查了配方法的应用,非负数的性质,以及一元二次方程的定义,弄清题中的新定义是解本 题的关键.利用“同族二次方程”定义列出关系式,再利用多项式相等的条件列出关于 与 的方程组, 求出方程组的解得到 与 的值,进而利用非负数的性质确定出代数式的最大值即可. 【详解】解: 关于 的一元二次方程 与 是“同族二次方程”, , , , 解得 ,, , , 最小值是2024. 故答案为:2024. 3.(2024八年级下·浙江·专题练习)用配方法说明,无论 取何值,代数式 的值总小于0. 【答案】见解析 【分析】本题主要考查配方的应用,将 配方,先把二次项系数化为1,然后再加上一次项系数 一半的平方,然后根据配方后的形式,再根据 这一性质即可证得. 【详解】证明: , , , , 无论 为何实数,代数式 的值总小于零. 4.(23-24八年级下·广东佛山·期中)学习了公式法 后,老师向同学们提出了如下问 题: ①将多项式 因式分解: ① ②求多项式 的最小值. ②由①,得 ,因为 ,所以 .所以,当 时, 的值最小,且最小值为 . 请你运用上述方法解决下列问题:(1)将多项式 因式分解; (2)求多项式 的最小值: 【答案】(1) (2) 【分析】本题考查利用公式法因式分解、平方的非负性, (1)利用公式法先把多项式变形成完全平方公式进行因式分解,再利用平方差公式进行因式分解即可求 解; (2)先利用题目中的方法进行因式分解可得 ,再根据平方的非负性求解即可. 【详解】(1)解: ; (2)解: , , , ∴多项式 的最小值 . 5.(23-24八年级下·辽宁沈阳·期中)教科书中这样写道:“形如 的式子称为完全平方式”, 如果一个多项式不是完全平方式,我们常做如下变形:先添加一个适当的项,使式子中出现完全平方式, 再减去这个项,使整个式子的值不变,这种方法叫做配方法.配方法是一种重要的解决问题的数学方法, 不仅可以将一个看似不能分解的多项式分解因式,还能解决一些与非负数有关的问题或求代数式最大值、 最小值等问题.例如:分解因式: . 解:原式 再如:求代数式 的最小值. 解: , 当 时, 有最小值,最小值是 . 根据阅读材料,用配方法解决下列问题: (1)分解因式: (应用配方法) (2)当 为何值时,多项式 有最大值?并求出这个最大值. (3)利用配方法,尝试求出等式 中 , 的值. 【答案】(1) (2)当 时,多项式 有最大值,最大值是7 (3) , 【分析】本题考查了整式的有关运算,解题关键是熟练掌握利用配方法和分组法分解因式. (1)利用配方法,把所求整式写成一个完全平方式和一个常数差的形式,再利用平方差公式进行分解因 式即可; (2)利用配方法把所求整式写成一个完全平方式与一个常数和的形式,然后根据偶次方的非负性,求出 答案即可; (3)利用分组法把等式的左边分解因式,然后根据偶次方非负性,列出关于 的方程,求出 的值 即可. 【详解】(1)解:原式 ; (2)解: ,, 当 时,多项式 有最大值,最大值是7; (3)解: , , , , , 解得 , . 6.(23-24八年级下·福建福州·期中)阅读与思考: 【阅读材料】我们把多项式 及 叫做完全平方公式.如果一个多项式不是完全平方 公式,我们常做如下变形:先添加一个适当的项,使式子中出现完全平方式,再减去这个项.使整个式子 的值不变,这种方法叫做配方法,配方法是一种重要的解决问题的数学方法,可以求代数式的最大值或最 小值. 例如:求代数式 的最小值. ,可知当 时, 有最小值,最小值是 . 再例如:求代数式 的最大值. ,可知当 时, 有最大值.最大值是 . (1)求 的最小值为_____, 的最小值为_____; (2)若多项式 ,试求M的最小值; (3)如图,学校打算用长 米的篱笆围一个长方形的菜地,菜地的一面靠墙(墙足够长),求围成的菜地的最 大面积.【答案】(1)6; (2) (3)围成的菜地的最大面积是 【分析】本题考查了完全平方公式的应用,熟练掌握完全平方公式是解题的关键. (1)由 ,可知 时, 有最小值6;由 ,可知当 时,代 数式 有最小值,最小值为 ; (2)根据 ,求解作答即可; (3)设垂直于墙的一边长为x米,则另一边长为 米,依题意得: ,然后求解作答即可. 【详解】(1)解:∵ , ∴当 时, 有最小值6; ∵ , ∴当 时,代数式 有最小值,最小值为 , 故答案为:6, ; (2)解:∵ , ∴当 时,M有最小值,最小值为 ; (3)解:设垂直于墙的一边长为x米,则另一边长为 米, 依题意得: , ∴当 时,S有最大值,最大值是 ,∴围成的菜地的最大面积是 . 【经典例题二 根的判别式压轴题】 1.(2021·安徽亳州·模拟预测)若实数a(a≠0)满足a﹣b=3,a+b+1<0,则方程ax2+bx+1=0根的情况 是( ) A.有两个相等的实数根 B.有两个不相等的实数根 C.无实数根 D.有两个实数根 【答案】B 【分析】先求出根的判别式,再根据已知条件判断正负,即可判断选项. 【详解】解:在方程ax2+bx+1=0中,△=b2﹣4a, ∵a﹣b=3, ∴a=3+b,代入a+b+1<0和b2﹣4a得, b<﹣2,b2﹣4(3+b)= b2﹣4b﹣12= (b+2)(b﹣6) ∵b+2<0, b-6<0, ∴(b+2)(b-6) >0, 所以,原方程有有两个不相等的实数根; 故选:B. 【点睛】本题考查了一元二次方程根的判别式和因式分解,解题关键是求出根的判别式,利用因式分解判 断值的正负. 2.(23-24九年级下·山东烟台·期中)若关于x的方程 无解,则m的取值 范围是 . 【答案】 【分析】根据题意,可分为两种情况进行分析:① 时,有 此时方程无解,可求 出m的值;② 时,由根的判别式 ,即可求出m的取值范围. 【详解】解:根据题意, ∵关于x的方程 无解, ①当 时,则原方程是一元一次方程,即 ;则有: , 解得: ; ②当 时,则原方程为一元二次方程, ∴ , , ∴ , 解得: ; 综合上述,m的取值范围是 ; 故答案为: . 【点睛】本题考查了方程无解问题,根的判别式求参数的取值范围,以及解一元二次方程,解题的关键是 熟练掌握方程无解问题,注意运用分类讨论的思想进行解题. 3.(23-24八年级下·安徽亳州·阶段练习)已知关于 的一元二次方程 . (1)若该一元二次方程有实数解,求 的取值范围;并试从 , , 三个数中,选取一个数作为 的 值,求该方程的解; (2)当 时,原方程有一根为 ,求 的值. 【答案】(1) , , (2)34 【分析】 此题主要考查了解一元二次方程,一元二次方程根的判别式,熟练掌握解一元二次方程及一元二次方程根 的判别式是解答此题的关键. (1)首先由根的判别式得判别式 ,由此解得 ,据此可在 , , 三 个数中选取一个使原方程有解,进而再求出原方程的解即可; (2)当 时,原方程为 ,将 代入该方程得 ,显然 ,据此可得 ,然后利用完全平方公式即可得出答案. 【详解】(1)解:∵该方程有实数解, ∴对于方程 , 当根的判别式 时, 由 解得: , 从 , , 三个数中,选取 ,该方程有实数解, 此时原方程为 , 解得: , , (2) 当 时,原方程为 , 这个方程的一根为 , , 显然 , 将 的两边同时除以 ,得: , , , . 4.(23-24九年级上·河北石家庄·阶段练习)已知关于 的方程 . (1)求证:无论 取何值,方程总有实数根; (2)若方程的根为整数,求 的值. 【答案】(1)见解析 (2)当 , , , ,1,2,4时,方程的根为整数 【分析】(1)当 时,原方程为一次方程,通过解方程求出方程的解;当 时,求出,从而即可得证; (2)当 时,原方程为一次方程 ,解得 ,满足题意,当 ,解得: , ,从而即可得到 ,由此即可得到答案. 【详解】(1)证明:当 时,原方程为一次方程, , 解得: , 当 时, 当 时,方程有实数根, 综上所述:无论 取何值,方程总有实数根; (2)解:当 时,原方程为一次方程, , 解得: , 为整数, 符合题意, 当 , , , 解得: , , 方程的根为整数, , 综上所述,当 , , , ,1,2,4时,方程的根为整数. 【点睛】本题考查了一元二次方程根的判别式,一元二次方程 的根与 有 如下关系:① ,方程有两个不相等的实数根,② ,方程有两个相等的实数根,③ ,方程没 有实数根,也考查了解一元一次方程和一元二次方程的解,采用分类讨论的思想解题,是解此题的关键. 5.(2021九年级·浙江·专题练习)已知关于x的方程(k+1)x2+(3k﹣1)x+2k﹣2=0 (1)求证:无论k取何值,此方程总有实数根; (2)若此方程有两个整数根,求正整数k的值; (3)若一元二次方程(k+1)x2+(3k﹣1)x+2k﹣2=0满足|x﹣x|=3,求k的值. 1 2【答案】(1)见解析;(2)k=1或k=3;(3)k的值为﹣3或0 【分析】(1)分k+1=0和k+1≠0两种情况考虑:当k+1=0时,方程为一元一次方程,有实数根;当k+1≠0 时,根的判别式△=(k-3)2≥0,由此可得出方程有实数根.综上即可证出结论; (2)由方程有两个实数根,可得出k≠-1,利用求根公式求出x、x 的值,由x=-1和x 为整数以及k为正 1 2 1 2 整数,即可求出k的值; (3)结合(2)的结论即可得出关于k的含绝对值符号的分式方程,解方程即可得出结论,经检验后,此 题得解. 【详解】解:(1)证明:当k+1=0,即k=-1时,原方程为-4x-4=0, 解得:x=-1; 当k+1≠0,即k≠-1时,△=(3k-1)2-4(k+1)(2k-2)=k2-6k+9=(k-3)2≥0, ∴方程有实数根, 综上可知:无论k取何值,此方程总有实数根; (2)∵方程有两个整数根, ∴ , ,且k≠﹣1, ∵x 为整数,k为正整数, 2 ∴k=1或k=3; (3)由(2)得x=-1, ,且k≠-1, 1 ∴|x-x|= , 1 2 解得:k=-3或k=0, 经检验k=﹣3或k=0是原方程的解, 故k的值为﹣3或0. 【点睛】本题考查了根的判别式、解含绝对值符号的分式方程以及利用公式法解方程,解题的关键是: (1)分k+1=0和k+1≠0两种情况考虑;(2)找出x=﹣1, ;(3)找出关于k的含绝对值符 1 号的分式方程.本题属于中档题,难度不大,解决该题型题目时,利用根的判别式的符号得出方程解的情 况是关键. 6.(23-24九年级上·江苏镇江·阶段练习)已知:关于 的一元二次方程 ( 是整数,且 ). (1)求证:方程有两个不相等的实数根; (2)若方程的两个实数根都是正整数,则 ;此时方程的两个根是 . 【答案】(1)见解析;(2)1; , 【分析】(1)求出方程的判别式即可得到答案; (2)先求出方程的两个根,根据方程的两个实数根都是正整数,m是整数即可求出m的值,由此得到方 程的解. 【详解】(1)∵一元二次方程 ∴ = = = , ∆ ∵ 是整数,且 , ∴ , ∴ = >0, ∆ ∴方程有两个不相等的实数根; (2)解方程 ,得到 , ∴ , , ∵方程的两个实数根都是正整数,m是整数, ∴m=1, ∴原方程的两个根为: , , 故答案为:1; , . 【点睛】此题考查一元二次方程的判别式公式,判断一元二次方程的根的情况,求一元二次方程的解,正 确理解方程的解所满足的条件,根据条件计算是解题的关键. 【经典例题三 根据一元二次方程根的情况求参数压轴题】1.(23-24九年级上·重庆合川·期末)已知等腰 的底边长为5.其腰长恰好是方程 的根,则m的值是( ) A.2 B.4 C.1 D.3 【答案】D 【分析】本题考查了一元二次方程根的判别式,解一元二次方程,以及三角形的三边关系.根据一元二次 方程根的判别式,求得 或 ,再将 的分别代入一元二次方程求出腰长,结合三角形的三边关系, 即可确定m的值. 【详解】解: , , , , , 解得: 或 , 当 时, ,解得: , ,不满足三角形的三边关系, (舍去); 当 时, ,解得: , ,满足三角形的三边关系, 即m的值是3, 故选:D. 2.(23-24九年级上·四川泸州·阶段练习)定义:如果一元二次方程 满足 , 那么我们称这个方程为“蝴蝶”方程.已知关于x的方程 是“蝴蝶”方程,且有两个 相等的实数根,则下列结论中正确的是 .(填序号) ① ;② ;③ ;④ . 【答案】③ 【分析】本题考查一元二次方程根的判别式 ,当 时,方程有两个不相等的实数根;当 时,方程有两个相等的实数根;当 时,方程没有实数根. 根据方程有两个相等的实数根可得 ,结合 易得 ,【详解】∵一元二次方程 有两个相等的实数根, ∴ . ∵ , ∴ . 将 代入 ,得 , 即 , ∴ , ∴ . 故填③. 3.(23-24九年级上·河南洛阳·阶段练习)我们规定:对于任意实数 有 ,其中 等式右边是通常的乘法和减法运算,如: . (1)求 的值; (2)已知关于 的方程 有两个实数根,求 的取值范围. 【答案】(1) (2) 且 【分析】本题主要考查了有理数混合运算、一元二次方程的定义、一元二次方程的根的判别式等知识,正 确理解新规定的运算时解题关键. (1)根据新规定的运算求解即可; (2)根据新规定的运算获得关于 的方程,然后根据一元二次方程的定义及一元二次方程的根的判别式列 出不等式组,求解即可获得答案. 【详解】(1)解: ;(2)根据题意,得 , 整理,得 , ∵关于 的方程 有两个实数根, ∴ , ∴ 且 . 4.(23-24九年级上·福建厦门·期中)定义:如果一元二次方程 满足 .那 么我们称这个方程为“凤凰”方程. (1)已知 是“凤凰”方程.且有两个相等的实数根.试求a与c的关系; (2)已知关于x的方程 是“凤凰”方程,且两个实数根都是整数.求整数m的值. 【答案】(1) (2)0或2或4或6. 【分析】本题考查了根的判别式,公式法解一元二次方程,正确理解“凤凰”方程的定义是解题的关键. (1)根据 有两个相等的实数根得到 ,根据 是 “凤凰”方程得到 ,则 ,代入 整理得 ,即可得到结论; (2)根据“凤凰”方程的定义列式求出 ,然后求出 ,可得 , ,再根据两个 实数根都是整数可得整数m的值. 【详解】(1)解:∵ 有两个相等的实数根, ∴ , ∵ 是“凤凰”方程. ∴ ,∴ , ∴ , 即 , ∴ , ∴ , 即 ; (2)解:方程整理得: , ∵此方程是“凤凰”方程, ∴ , ∴ , ∵ , ∴ , ∴ , , ∵两个实数根都是整数, ∴ 或 , ∴ 或 或 或 , ∴整数m的值为0或2或4或6. 5.(23-24九年级上·江苏淮安·期中)“主元法”是指在有多个字母的代数式或方程中,选取其中一个字 母为主元(未知数),将其它字母看成是常数,这样可以达把一些陌生的代数式或方程转化为我们熟悉的 代数式或方程.例如:当 时,方程 可以看作关于x的一元二次方程.若把a看成“主 元”,x看作常数,则可以把原方程化为: ,这就是一个关于a的一元一次方程了. (1)已知 ,对于方程 ,若把x看成“主元”,a看成常数,则方程 是关于x的______;若把a看成“主元”,x看作常数,则可以把原方程化为: ,这就是一个关于 a的______.(在横线上填写“A”或“B”) A.一元一次方程 B.一元二次方程 (2)若 ,求 的值; (3)关于x,y的方程 有解,求y的最小值. 【答案】(1)B ,A (2)1 (3) 【分析】本题考查一元二次方程的解法,特殊方程的解法,分式化简求值; (1)根据“主元法”的操作求解即可; (2)把 看成主元,用 表示 ,再代入求值即可; (3)把 看成主元,把方程变形,最后根据有解可得 即可解题; 【详解】(1)已知 ,对于方程 ,若把x看成“主元”,a看成常数,则方程 是关于x的一元二次方程;若把a看成“主元”,x看作常数,则可以把原方程化为: ,这就是一个关于a的一元一次方程 故答案为:B ,A; (2)∵ , ∴ , ∴解得 ,∴ (3)关于x,y的方程 有解, ∴把 看成主元,方程 是关于 的一元二次方程, ∴ , 解得 , ∴y的最小值为 . 6.(23-24九年级上·广东佛山·阶段练习)已知关于x的一元二次方程 . (1)求证:不论k取何值,方程总有实数根; (2)已知方程的两根为 , ,且满足 ,求 的值; (3)已知方程的两根为 , ( 目 ),设 ,求y的最小值. 【答案】(1)证明见解析 (2) (3) 【分析】(1)利用根的判别式进行求解即可; (2)根据 推出 ,由此可得 ,则 ,据此求解即可; (3)解方程得到 ,则 ,据此可得答案. 【详解】(1)证明:由题意得,, ∴不论k取何值,方程总有实数根; (2)解:∵ , ∴ ,即 , ∴ , ∴ , ∵关于x的一元二次方程 的两根为 , , ∴关于x的一元二次方程 有两个相等的实数根, ∴ , ∴ , ∴ ; (3)解:∵ , ∴ , 解得 或 , ∵ , ∴ , ∵ , ∴ , ∴, ∵ , ∴ , ∴ 的最小值为 . 【点睛】本题主要考查了一元二次方程根的判别式,配方法的应用,对于一元二次方程 ,若 ,则方程有两个不相等的实数根,若 ,则方程有 两个相等的实数根,若 ,则方程没有实数根,若 是该方程的两个实数根,则 . . 【经典例题四 换元法解一元二次方程压轴题】 1.(23-24九年级上·江苏苏州·期中)若关于x的一元二次方程 有一根为 , 则一元二次方程 必有一根为( ) A.2018 B.2019 C.2020 D.2021 【答案】C 【分析】由题意,设 ,则 ,然后结合方程的根是 ,即 可求出答案.【详解】解:根据题意,设 , ∵ , ∴ , ∵一元二次方程 有一根为 , ∴ 的一个根为 , ∴ , ∴ . 故选:C. 【点睛】本题考查了一元二次方程的解,解题的关键是熟练掌握换元法求一元二次方程的解. 2.(2022·四川泸州·一模)请阅读下列材料: 解方程:(x2﹣1)2﹣5(x2﹣1)+4=0. 解法如下: 将x2﹣1视为一个整体,然后设x2﹣1=y,则(x2﹣1)2=y2, 原方程可化为y2﹣5y+4=0, 解得y=1,y=4. 1 2 (1)当y=1时,x2﹣1=1,解得x=± ; (2)当y=4时,x2﹣1=4,解得x=± . 综合(1)(2),可得原方程的解为x= ,x=﹣ ,x= ,x=﹣ . 1 2 3 4 参照以上解法,方程x4﹣x2﹣6=0的解为 . 【答案】 , 【分析】仿照范例,可以设 ,则原方程化为一元二次方程: ,先解出y的值,再进一步解 出x的值. 【详解】解:设 ,则原方程可化为: , 解得:y=3,y=﹣2, 1 2 (1)当y=3时,x2=3,解得x= ,x= , 1 2(2)当y=﹣2.时,x2=﹣2,此方程无实数根, 综合(1)(2),可得原方程的解是:x= ,x= , 1 2 故答案为:x= ,x= 1 2 【点睛】本题主要考查换元法在解一元二次方程中的应用.解数学题时,把某个式子看成一个整体,用一 个变量去代替它,从而使问题得到简化,这叫换元法.换元的实质是转化,关键是构造元和设元,理论依 据是等量代换,目的是变换研究对象,将问题移至新对象的知识背景中去研究,从而使非标准型问题标准 化、复杂问题简单化,变得容易处理. 3.(23-24九年级上·广东深圳·阶段练习)阅读下列材料: 解方程: .这是一个一元四次方程,根据该方程的特点, 它的解法通常是: 设 ,那么 ,于是原方程可变为 ①, 解这个方程得: , . 当 时, .∴ ;当 时, ,∴ 以原方程有四个根: , , , . 这个过程中,我们利用换元法达到降次的目的,体现了转化的数学思想. (1)用换元法解方程: (2) 三边是 , , ,若两直角边 , 满足 ,斜边 ,求 的面积. 【答案】(1) , . (2) 【分析】(1)设 ,直接代入得关于y的方程,然后进行计算,即可得到结果; (2)设 ,解方程,得出 ,进而根据完全平方公式以及勾股定理求得 的值,即可求解.【详解】(1)解:设 ,原方程可变形为: , ∴因式分解为: , ∴ 或 , ∴ 或 , 对于方程 , 解得: , , 对于方程 , 移项得: , ∵ , ∴上述方程无解, ∴原方程的解为: , . (2)设 , ∵ , ∴ , 即 , ∴ , 解得: ; ∵斜边 , ∴ ,则 ∴ ∴ 又 , ∴ , ∴ ,∴ 的面积为 . 【点睛】本题考查了一元二次方程、勾股定理.看懂题例理解换元法是关键.换元法的一般步骤有:设元、 换元、解元、还原几步.注意应用换元法解分式方程,注意验根. 4.(22-23九年级上·山西运城·阶段练习)阅读下面的材料,回答问题: 要解方程 ,我们发现这是一个一元四次方程,不容易直接求解,如果注意到 ,根 据该方程的特点,我们可以这样做: 解:设 , 那么 , 于是原方程可变为 , 解得 , . 当 时, , ∴ ; 当 时, , ∴ ; ∴原方程有四个根 , , , . 我们把以上这种解决问题的方法叫做换元法. 任务: (1)上述解方程的过程体现的数学思想主要是( ) A.分类讨论思想 B.转化思想 C.数形结合思想 D.公理化思想 (2)仿照上面的方法,解方程 ; (3)若实数m、n满足 ,则 的值是 . 【答案】(1)B (2) , , , ;(3)4 【分析】(1)上述解方程的过程体现的数学思想主要是转化思想; (2)设 ,则原方程化为 ,求出 ,再求出 即可; (3)设 ,将原方程转化为关于 的一元二次方程,通过解该方程求得 的值即可. 【详解】(1)解:(1)上述解方程的过程体现的数学思想主要是转化思想 故答案为: ; (2)解:原方程可以变形为 , 设 ,则原方程可化为 , 解得 , . 当 时, ,∴ ; 当 时, ,∴ ; ∴原方程有四个根 , , , . 或:设 ,则原方程可化为 ,即 , 解得 , . 当 时, ,∴ ; 当 时, ,∴ ; ∴原方程有四个根 , , , . (3)设 , 于是原方程可变为 . 整理,得 .所以 或 (舍去). 即 的值是4. 故答案为:4. 【点睛】本题主要考查了因式分解法和换元法解一元二次方程,换元的实质是转化,关键是构造元和设元, 理论依据是等量代换,目的是变换研究对象,将问题移至新对象的知识背景中去研究,从而使非标准型问 题标准化、复杂问题简单化,变得容易处理. 5.(23-24八年级下·江苏南通·阶段练习)阅读下列材料: 解方程: .这是一个一元四次方程,根据该方程的特点, 它的解法通常是: 设 ,那么 ,于是原方程可变为 …①, 解这个方程得: . 当 时, .∴ ; 当 时, ,∴ 所以原方程有四个根: . 在这个过程中,我们利用换元法达到降次的目的,体现了转化的数学思想. (1)解方程 时,若设 ,则原方程可转化为 ;并求出x (2)利用换元法解方程: . 【答案】(1) , , (2) , 【分析】(1)直接代入得关于y的方程,然后进行计算,即可得到结果; (2)设 把分式方程变形后求解,把解代入设中求出x的值.【详解】(1)解:设 ,原方程可变形为: , ∴因式分解为: , ∴ 或 , ∴ 或 , 对于方程 , 解得: , , 对于方程 , 移项得: , ∵ , ∴上述方程无解, ∴原方程的解为: , . 故答案为: . (2)设 ,则 , 原方程变形为: , 去分母,得 , 即 , 解得, , 经检验, 是分式方程 的根. ∴ , 即: , 解得: , .经检验, 是上述分式方程的根. ∴原方程的解为: , . 【点睛】本题考查了一元二次方程、分式方程的解法.看懂题例理解换元法是关键.换元法的一般步骤有: 设元、换元、解元、还原几步.注意应用换元法解分式方程,注意验根. 6.(22-23八年级下·安徽亳州·阶段练习)阅读材料,解答问题. 解方程: . 解:把 视为一个整体,设 ,则原方程可化为 . 解得: , , 或 , , . 以上方法就叫换元法,达到简化或降次的目的,体现了转化的思想. 请仿照材料解决下列问题: (1)解方程 ; (2)已知 ,求 的值. 【答案】(1) , (2) 的值是6 【分析】(1)根据题目中给出的信息,利用换元法解方程即可; (2)设 ,原方程可化为 ,解关于a的一元二次方程,最后注意 , 不合题意,舍去,即可得出答案. 【详解】(1)解: , 设 ,则原方程可化为 , 整理,得 , 解得 , , 当 时,即 ,解得: ; 当 时,即 ,解得 ; 综上所述,原方程的解为 , ; (2)解:设 ,则原方程可化为 , 整理,得 , 分解因式得: , 解得 , , ∵ , ∴ ∴ 不合题意,舍去, ∴ , 即 的值是6. 【点睛】本题主要考查了换元法解一元二次方程,解题的关键是理解题意,熟练掌握解一元二次方程的一 般方法,准确计算. 【经典例题五 一元二次方程根与系数的关系压轴题】 1.(23-24九年级上·湖北武汉·期中)已知 , 是方程 的两根,则代数式 的值是( )A. B. C. D. 【答案】D 【分析】由根与系数的关系可得:a+b=1,再由a与b是方程的两根可得a2=a+1,b2=b+1,把a3与b3采用 降次的方法即可求得结果的值. 【详解】∵a与b是方程 的两根 ∴a+b=1,a2-a-1=0,b2-b-1=0 ∴a2=a+1,b2=b+1 ∵ ,同理: ∴ 故选:D. 【点睛】本题考查了一元二次方程的解的概论、一元二次方程根与系数的关系,求代数式的值,灵活进行 整式的运算是解题的关键. 2.(23-24九年级上·四川·阶段练习)已知对于两个不相等的实数 、 ,定义一种新的运算: ,如 ,已知 , 是一元二次方程 的两个不相等 的实数根,则 . 【答案】 【分析】首先根据韦达定理求解两根之和与两根之积,然后代入原式根据定义进行求解. 【详解】由 , 是 的两个不相等的实数根可得: , 故【点睛】本题考查了一元二次方程的根与系数关系(也叫韦达定理),实数的定义新运算,此类题型一定 要严格按照题目中的定义来求解,注意过程的正确性. 3.(23-24九年级上·福建宁德·期中)已知关于x的方程 有两个实数根 ,其中 . (1)若 ,求 的值; (2)一次函数 的图像上有两点 ,若 ,求m的值; (3)边长为整数的直角三角形,其中两直角边的长度恰好为 和 ,求该直角三角形的面积. 【答案】(1) (2) (3)该直角三角形的面积为30或24【分析】该题主要考查了一元二次方程的根判别式“ ”,根与系数关系“ ”,一次函数的性质,直角三角形的性质,勾股定理“直角三角形两直角边的平方 之和等于斜边的平方”等知识点,解题的关键是分类谈论思想的运用; (1)将 代入方程得出方程,再根据根与系数关系得到 ,将 转 化即可求解; (2)根据点 在函数图像上,得出 ,再根据根与系数关系得到 ,根据 即可求解; (3)根据直角三角形两直角边 为整数,得出 ,令 ( 为正整 数),得出 ,又 ,然后分三种情况取值即可解答; 【详解】(1)当 时,方程为 , , , 即 ; (2)将 代入 可得 , 又 , 故 , , 即 , ,, , , ; (3)∵直角三角形两直角边 为整数, 为平方数, 不妨令 ( 为正整数), , , , 当①∴ , 解得 (不合题意舍去); 当② , 解得 , ∴方程 , ,则斜边为13, 即 ; 当③ , 解得 , ∴方程 , ,则斜边为10, 即 ,综上所述:该直角三角形的面积为30或24. 4.(23-24九年级上·全国·单元测试)如果方程 有两个实数根 , ,那么 , ,请根据以上结论,解决下列问题: (1)已知 , 是方程 的二根,则 (2)已知 、 、 满足 , ,求正数 的最小值. (3)结合二元一次方程组的相关知识,解决问题:已知 和 是关于 , 的方程组 的两个不相等的实数解.问:是否存在实数 ,使得 ?若存在,求出的 值, 若不存在,请说明理由. 【答案】(1) (2) (3)存在, 【分析】(1)根据 , 是方程 的二根,求出 , 的值,即可求出 的值; (2)根据 , ,得出 , , 、 是方程 的解,再根据 ,即可求出 的最小值; (3)运用根与系数的关系求出 , ,再解 ,即可求出 的值. 【详解】(1)解:∵ , 是方程 的二根, ∴ , , ∴ ,∴ ; (2)∵ , , ∴ , , ∴ 、 是方程 的解, ∴ , ∴ , ∵ 是正数, ∴ , ∴ , ∴ , ∴正数 的最小值是 ; (3)存在,当 时, .理由如下: ∵ , 由①得: , 由②得: , ∴ ,即 , 由题意思可知, , 是方程 的两个不相等的实数根, ∴ , 则 ,∵ 和 是关于 , 的方程组 的两个不相等的实数解, ∴ , ∴ , ∴ , ∴ , 整理得: , 解得: , (舍去), ∴ 的值为 . 【点睛】本题考查一元二次方程根与系数的关系:若 , 是一元二次方程 的两根, 则 , ,将根与系数的关系与代数式变形相结合是解题的关键.也考查了一元二次方程 根的判别式,不等式、二元一次方程组及一元二次方程的解法. 5.(22-23九年级上·福建泉州·期中)已知关于x的一元二次方程 . (1)求证:方程有两个实数根; (2)若 ,方程的两个实数根分别为 (其中 ),若y是m的函数,且 ,求这个函数 的解析式. (3)若m为正整数,关于x的一元二次方程 的两个根都是整数,a与 分别是关于x的方程 的两个根.求代数式 的值. 【答案】(1)见解析 (2)(3)24 【分析】(1)利用 求出关于 的式子,然后证明关于 的式子大于或等于0即可; (2)利用公式法确定两根,代入即可得出这个函数解析式; (3)利用根与系数的关系求出 的值,即可得到 与 分别是关于 的方程 的两个 根,利用根与系数的关系得到 ,即 ,代入代数式化简即可求出答案. 【详解】(1)解: 由题意可知 , 方程有两个实数根; (2) 解:由(1)可知,方程有两个实数根, , , , , , . . (3)解: a与 分别是关于x的方程 的两个根. , , 与 是整数, 与 同为整数, 是正整数, , 方程为 ,, , 将 代入 原式 . 【点睛】本题考查了一元二次方程根与系数的关系,根的判别式,解题的关键是:(1)牢记“当 时, 方程有两个实数根”;(2)利用根与系数的关系求出 ;(3)利用根与系数的关系求出 代 入原式求解. 6.(22-23九年级上·广东广州·阶段练习)已知方程①: 为关于x的方程,且方程①的解为 非正数;方程②: (k、m、n均为实数)为关于x的一元二次方程. (1)求k的取值范围; (2)如果方程②的解为负整数, , 且k为整数,求整数m的值; (3)当方程②有两个实数根 , 满足 ,且k为正整数,试判断 是否成立?并说明理由. 【答案】(1) 且 (2) 或 (3) 成立,见解析 【分析】(1)将k当作已知数解出方程 的解,根据该方程的解为非正数,可得出k的取值 范围,方程②: (k、m、n均为实数)为关于x的一元二次方程,二次项系数 不为0,即 ,解得 ,即可求出k的取值范围; (2)根据 , 可得 , ,代入方程②,可得,可得 , ,由于②的解为负整数且k为整数,所 以 或 ,可得 或 ,即可求出整数m的值; (3)方法1:由(1)可知 且 ,且k为正整数,可知 ,所以方程②为 ,因 为方程②有两个实数根 , ,所以 , , ,由 可求出 ,将 , ,代入 ,可得 ,将其代入 ,即可证明 ;方法2:先得出 , , , ,根据 , 求出 ,可得 ,分两类 和 ,与 , ,代入 ,可得 ,将其代入 ,即可证明 . 【详解】(1)解:∵关于x的方程 的解为 ,且该方程的解为非正数, ∴ ,解得 , 又∵关于x的方程 是一元二次方程, ∴ , ,解得 , 综上所述,k的取值范围是 且 . (2)解:由(1)可知 且 , ∵ , , ∴ , , ∴方程②为 , 即 , ,解得: , , ∵方程②为 ,方程②的解为负整数, ∴ 或 , ∴ 或 , 当 时, , 当 时, , ∴m的值为 或 . (3)解:方法1: 成立,理由如下: 由(1)可知 且 , 又∵k为正整数, ∴ , ∴方程②为 , ∵方程②有两个实数根 , , ∴ , , , ∴ , ∴ (*) ∵ , ∴ 即 , 即 ,即 代入(*) ∴ ∴ ; 方法2: 成立,理由如下:由(1)可知 且 , 又∵k为正整数, ∴ , ∴方程②为 , ∵方程②有两个实数根 , , ∴ , , , ∴ , ∴ , ∵ , ∴ , ∵ ∴当 时, , ∴ , ∴ , ∴ , ∴ ; 当 时,(漏1种情况扣1分) , ∴ , ∴ , ∴ , ∴ ; 综上所述, 成立. 【点睛】本题考查了一元二次方程根的判别式和根与系数的关系,熟练掌握并应用相关知识点是解答本题的关键. 【经典例题六 营销问题压轴题】 31.(23-24八年级下·山东滨州·期末)某超市以每千克40元的价格购进一种干果,计划以每千克60元的 价格销售,为了让顾客得到实惠,现决定降价销售,已知这种干果销售量y(千克)与每千克降价x(元) 之间满足一次函数关系,其图象如图所示. (1)求y与x之间的函数关系式; (2)当每千克干果降价3元时,超市获利多少元? (3)若超市要想获利2090元,且让顾客获得更大实惠,这种干果每千克应降价多少元? 【答案】(1) (2) 元 (3)9元 【分析】(1)由待定系数法即可得到函数的解析式; (2)根据(1)的解析式将x=3代入求出销售量,再根据每千克利润×销售量=总利润列式求解即可; (3)根据这种干果每千克的利润×销售量=2090列出方程,解方程即可. 【详解】(1)解:设y与x之间的函数关系式为:y=kx+b, 把(2,120)和(4,140)代入得, , 解得: , ∴y与x之间的函数关系式为:y=10x+100(0<x<20); (2)解:根据题意得,x=3时销售量 ,(元), 答:当每千克干果降价 元时,超市获利 元; (3)解:根据题意得,(60-x-40)(10x+100)=2090; 解得:x=1,x=9;整理得:x2-10x+9=0 1 2 为了让顾客获得更大实惠,x=9 答:这种干果每千克应降价9元. 【点睛】本题考查了一元二次方程的应用和一次函数的应用,读懂图象信息、熟练掌握待定系数法、正确 列出一元二次方程是解题的关键. 32.(23-24九年级下·重庆·阶段练习)某“5A”景区决定在“5.1”劳动节期间推出优惠套餐,预售“亲子两 人游”套票和“家庭三人行”套票,预售中的“家庭三人行”套票的价格是“亲子两人游”套票的2倍. (1)若“亲子两人游”套票的预售额为21000元,“家庭三人行”套票的预售额为10500元,且“亲子两人 游”的销售量比“家庭三人行”的套票多450套,求“亲子两人游”套票的价格. (2)套票在出售当天计划推出“亲子两人游”套票1600张,“家庭三人行”套票400张,由于预售的火爆, 景区决定将“亲子两人行”套票的价格(1)中价格的基础上增加 元,而“家庭三人行”套票在(1) 中“家庭三人行”套票票价上增加了a元,结果“亲子两人游”套票的销量比计划少32a套,“家庭三人 行”套票的销售量与计划保持一致,最终实际销售额和计划销售额相同,求a的值. 【答案】(1)“亲子两人游”套票的价格为35元 (2)a的值为20 【分析】(1)设“亲子两人游”套票价格为x元,则“家庭三人行”套票的价格是2x元,根据“亲子两 人游”的销售量比“家庭三人行”的套票多450套列出分式方程,计算即可; (2)根据实际销售额和计划销售额相同,列出关于a的一元二次方程,计算即可. 【详解】(1)解:设“亲子两人游”套票价格为x元,则“家庭三人行”套票的价格是2x元. 由题意得 解得 经检验, 是原方程的解,且符合题意 答:“亲子两人游”套票的价格为35元. (2)化简得 解得 (舍去) 所以,a的值为20. 【点睛】本题考查了列分式方程解应用题、列一元二次方程解应用题,找准等量关系是解题的关键. 33.(23-24九年级下·重庆·开学考试)某零食店销售牛轧糖、雪花酥2种糖果,如果用800元可购买5千 克牛轧糖和4千克雪花酥,用1000元可购买10千克牛轧糖和2千克雪花酥. (1)求牛轧糖、雪花酥每千克的价格分别为多少元? (2)已知该零食店在12月共售出牛轧糖50千克、雪花酥30千克.春节将近,1月份超市将牛轧糖每千克的 售价提升 元,雪花酥的价格不变,结果与12月相比牛轧糖销量下降了 千克,雪花酥销量上升 千 克,但牛轧糖的销量仍高于雪花酥,销售总额比12月多出250元,求 的值. 【答案】(1)每千克牛轧糖的价格为80元,每千克雪花酥的价格为100元; (2)10. 【分析】(1)根据题意,设每千克牛轧糖为x元,每千克雪花酥为y元,然后列出二元一次方程组,解方 程组即可; (2)根据题意,由销售总额比12月多出250元,列出关于m的一元二次方程,解方程即可得到答案. 【详解】(1)解:根据题意,设每千克牛轧糖为x元,每千克雪花酥为y元,则 ,解得: , ∴每千克牛轧糖的价格为80元,每千克雪花酥的价格为100元; (2)解:根据题意, 12月的销售总额为: (元), ∴ , 解得: 或 ; ∵ , 解得: , ∴ ;∴ 的值为10. 【点睛】本题考查了一元二次方程的应用,二元一次方程组的应用,一元一次不等式的应用,解题的关键 是熟练掌握题意,正确的列出方程,从而进行解题. 34.(2021·重庆巴南·模拟预测)一时蔬小店某一天用150元购进了30斤平菇和20斤莴笋.销售时,每斤 平菇的平均售价比每斤莴笋的平均售价的2倍少1元,该小店销售完所进的平菇和莴笋后获利60元. (1)这一天,该小店销售莴笋的平均售价是每斤多少元? (2)接着第二天,该小店又用150元购进了30斤平菇和20斤莴笋,其中,平菇和莴笋的进价与第一天的 进价相同.销售时受到一些因素的影响,每斤莴笋的平均售价比第一天的平均售价增加了 ,但 莴笋的销售量与第一天的销售量相同;每斤平菇的平均售价比第一天的平均售价增加了 ,但平菇的销 售量比第一天的销售量下降了 ,最终第二天的总销售额与第一天的总销售额相等,求a的值. 【答案】(1)销售莴笋的平均售价是每斤3元;(2)a的值为25 【分析】(1)设莴笋的平均售价是每斤x元,则平菇的平均售价为每斤 元,根据总销售额减去总 进价等于总利润列方程计算即可; (2)由(1)得每斤平菇的平均售价为 元,第二天莴笋的平均售价是每斤 ,销 售量为20斤,第二天平菇的平均售价是每斤 ,销售量为 ,然后根据第二天的总销售 额与第一天的相等列方程求解即可. 【详解】解:(1)设莴笋的平均售价是每斤x元, 则平菇的平均售价为每斤 元, 由题意得: , 解得: , 答:销售莴笋的平均售价是每斤3元; (2)由(1)得每斤平菇的平均售价为 元, 第二天莴笋的平均售价是每斤 ,销售量为20斤, 第二天平菇的平均售价是每斤 ,销售量为 , 第二天的总销售额与第一天的相等,即 (元), 则有: , 化简得: , 解得: ,即 (舍), ,即 , 所以a的值为25. 【点睛】本题主要考查一元一次方程的实际应用以及一元二次方程的实际应用,解题的关键是找准等量关 系,根据题意列出方程. 35.(2021·重庆九龙坡·一模)美丽的鲜花为人们传递着各种各样的情感:桔梗象征着永恒;水仙象征着 尊敬;康乃馨象征着母亲的爱;风铃草象征着知恩图报……3月里,花店里的桔梗、风铃草两种鲜花共销 售了1000朵,其中风铃草和桔梗的销量之比为3:2,且风铃草的单价是桔梗单价的 . (1)若3月份两种鲜花的总销售额不低于3600元,则桔梗的单价至少为多少元? (2)根据往年的经验,4月份的桔梗更美,它的进价也会有所提升,因此商家决定将桔梗的单价在(1) 中的最少单价的基础上提高m%,预计桔梗的销量将比3月份提高4m%,则4月份枯梗的销售额将比(1) 中总销售额最低时风铃草的销售额多192元,求m的值. 【答案】(1)桔梗的单价至少为3元.(2) 【分析】(1)求出风铃草和桔梗的销量,设桔梗单价为x元,根据题意列不等式即可; (2)根据题意列出一元二次方程,解方程即可. 【详解】解:(1) 设桔梗单价为x元,则风铃草的单价是 元,根据题意列不等式得, , 解得, , 答:桔梗的单价至少为3元. (2)根据题意列方程得, , 解得, , (舍去), m的值为 .【点睛】本题考查了一元一次不等式和一元二次方程的应用,解题关键是理解题意,理清数量关系,列出 方程或不等式. 36.(23-24九年级上·重庆渝中·期末) 年是脱贫攻坚的关键年.为了让家乡早日实现脱贫目标,小 伟利用网络平台帮助家乡销售特产“留香瓜”.已知小伟的家乡每年大约出产“留香瓜” 吨,利用网 络平台进行销售前,人们主要依靠在本地自产自销和水果商贩上门收购,本地自产自销的价格为 元/千 克,水果商贩上门收购的价格为 元/千克;利用网络平台进行销售后,因受网上销售火爆的影响,网上每 销售 吨“留香瓜”,水果商贩的收购价将提高 元/千克.设网上销售价格为 元/千克,本地自产自销 的价格仍然为 元/千克. (1)利用网络平台进行销售前,小伟的家乡每年本地自产自销的总收入不超过卖给水果商贩收入的 , 求每年至少有多少吨“留香瓜”卖给了水果商贩? (2)利用网络平台进行销售后,小伟的家乡每年销售“留香瓜”的总收入大约为 万元,其中本地自产 自销“留香瓜”的销量按(1)问中的最大值计算,求每年在电商平台上销售了多少吨“留香瓜”? 【答案】(1) 吨;(2)300吨 【分析】(1)设利用网络平台进行销售前,每年有 吨“留香瓜”卖给了水果商贩,根据题意列不等式即 可求解; (2)设每年在网络平台上销售了 吨“留香瓜”,根据题意列方程即可求解. 【详解】解:(1)设利用网络平台进行销售前,每年有 吨“留香瓜”卖给了水果商贩. 由题意,得 解之得: 答:利用电商平台进行销售前,每年至少有 吨“留香瓜”卖给了水果商贩. (2)本地自产自销“留香瓜”的销量按(1)问中的最大值为:600-500=100(吨) 设每年在网络平台上销售了 吨“留香瓜”.则 解得 (舍去), , 答:每年在网络平台上销售了 吨“留香瓜”. 【点睛】本题考查了一元一次不等式的应用,一元二次方程的应用,解题关键是理清题目中的数量关系, 列出方程或不等式.【经典例题七 与图形有关的问题压轴题】 1.(2023·江苏苏州·一模)如图,一块正方形地砖的图案是由4个全等的五边形和1个小正方形组成的, 已知小正方形的面积和五边形的面积相等,并且图中线段a的长度为 ,则这块地砖的面积为( ) A.50 B.40 C.30 D.20 【答案】B 【分析】如图,根据题意易知,点O为正方形 的中心,利用图中的面积关系最终可推出 ,设正方形ABCD的边长为 ,则 ,以此可得方程 , 解此方程,再将a的值代入即可求解. 【详解】解:如图, 根据题意易知,点O为正方形 的中心, ∴ ,即 , , ∵ ,∴ , ∵ , ∴ , 设正方形ABCD的边长为 ,则 , ∴ ,解得: , ∵ , ∴ 或 , ∵ , ∴ , ∴ . 故选:B. 【点睛】本题主要考查全等图形、正方形的性质、二次根式的应用、一元二次方程的应用等知识点,利用 已知条件,得到各部分图形之间的面积关系并列出方程是解题关键. 2.(23-24九年级上·黑龙江哈尔滨·阶段练习)如图,已知四边形 , , 在 上, 三角形 是等边三角形,若 , ,则 的长度等于 . 【答案】 【分析】作 交 于 ,由勾股定理可得 ,由等边三角形的性质结合勾股定理可得, , ,设 ,则 , ,根据 , ,列出一元二次方程,解 方程即可得到 的值,再由三角形三边关系判断是否符合题意. 【详解】解:如图,作 交 于 , , , , , , 是等边三角形, , , , , 设 ,则 , , ,, , 整理得: , 解得: , , 当 时, ,满足三角形三边关系,符合题意,此时 , 当 时, ,不满足三角形三边关系,不符合题意; 综上所述, 的长度等于 , 故答案为: . 【点睛】本题主要考查了勾股定理、等边三角形的性质、一元二次方程的应用、三角形三边关系,根据面 积关系得出一元二次方程是解此题的关键. 3.(23-24八年级下·安徽安庆·期中)如图1是著名的赵爽弦图,由四个全等的直角三角形拼成(较小的 直角边长都为 ,较大的直角边长都为 ,斜边长都为 ),用它可以验证勾股定理:如果直角三角形两条 直角边长分别为 ,斜边长为 ,那么 . (1)请你利用图1验证勾股定理; (2)在图1中,大正方形的面积是49,小正方形的面积是4,求直角三角形的直角边长 的值; (3)学完勾股定理后,已知一个的三角形的三边长,均可利用勾股定理求出其面积.如图2,在 中 , , ,试求 的面积. 【答案】(1)验证见解析(2) , (3) 【分析】本题考查了勾股定理的证明和应用,构造一元二次方程求解. (1)利用大正方形的面积的两种表达方式,列式计算即可求解; (2)由题意得 ,求得 , ,利用根与系数的关系构造一元二次方程 ,解方程即可求解; (3)作 于点 ,在 和 中,利用勾股定理求得 的长,再利用三角形的面积 公式求解即可. 【详解】(1)解:∵大正方形的面积可以表示为 ,也可以表示为 , ∴ ∴ ; (2)解:由题意得 , ∴ , , ∴ , ∴ , 是方程 的两根, 解得 , ∵ , ∴ , ;(3)解:作 于点 , 设 ,则 , 在 中, , 在 中, , ∴ , 即 , 解得: . ∴ . 4.(2024·贵州遵义·一模)小红根据学习轴对称的经验,发现其中线段之间、角之间存在着紧密的联系. 他以等腰三角形为背景展开了拓展探究.如图①,在等腰直角三角形中, , ,点D直线 右侧的一动点.作点 关于直线 的对称点为点 ,连接 ,直线 与直线 交于点 ,连接 , . (1)【动手操作】 当 时,根据题意,在图①上画出图形, 在不添加辅助线和字母的前提下直接写出两对你认为相等的角,第一对相等的角:____________,第二对相等的角____________; (2)【问题探究】 根据(1)所画图形,猜想 的大小以及 , , 的数量关系,并说明理由; (3)【拓展延伸】 如图②,在等腰三角形中, , ,其余条件不变,如图②,当 时,若 , ,请继续研究并求 的值. 【答案】(1) , ,(答案不唯一) (2) , , (3) 【分析】本题主要考查了等腰三角形的判定和性质,勾股定理、30度直角三角形性质,解题的关键是作出 图形和相关的辅助线,数形结合. (1)根据要求作出点C关于直线AD的对称点E,再连接对应线段即可作图,根据轴对称性质可知对应角 相等; (2)根据等边对等角证明 ,结合(1)的结论得出 ,再由勾股定理即 可得出 , ,根据对称性质得 ,由此得出结论; (3)同理可得 ,进而可得 ,在利用勾股定理和含30度的直角三 角形性质解三角形即可求解. 【详解】(1)解:如图, 由轴对称性质可知: , , , 故答案为: , , (2)结论: , , ∵点C关于直线AD的对称点是点E, ∴ , ,∴ , ∴ , ∵ , ∴ , ∴ , ∴ , ∵ , , ∴ , ∴ (3)由对称的性质可知: , , , , , ∴ , ∴ , ∵ , ∴ , ∴ , ∴ , 分别过点C、B作 、 垂足分别为 、 , ∴在 中, , ∴ , , ∴ , ∴在 中, , 设 , 在 中, ,∴ , , ∴在 中, ,即: , 解得: , (不合题意,舍去) ∴ . 5.(23-24九年级上·福建三明·期中)综合与实践:阅读材料,并解决以下问题. (1)学习研究:北师大版教材九年级上册第39页介绍了我国数学家赵爽在其所著的《勾股圆方图注》中关 于一元二次方程的几何解法:以 为例,求解过程如下: ①变形:将方程 变形为 ; ②构图:画四个长为 ,宽为 的矩形,按如图(1)所示构造一个“空心”大正方形; ③解答:则图中大正方形的面积从整体看可表示为 ,从局部看还可表示为四个矩形与中间小正 方形面积之和,即 ,因此,可得新的一元二次方程 ,∵ 表 示边长,∴ ,即 . 这种数形结合方法虽然只能得到原方程的其中一个正根.但是从新方程 可以得到原方程的 另一个根是________. (2)类比迁移:根据赵爽几何解法的方法求解方程 的一个正根(写出完整的求解过程,并在画 图区画出示意图、标明各边长).(3)拓展应用:一般地对于形如: 一元二次方程可以构造图(2)来解,已知图2是由四个面 积为3的相同矩形构成,中间围成的正方形面积为4.那么 ________, ________,方程 的一个正根为________. 【答案】(1) ; (2) ,图形见详解; (3) , . 【分析】(1)运用直接开平方法解方程 ,即可得到方程的另一个根. (2)将方程 变形为 ,画四个长为 ,宽为 的矩形,构造一个“空心”大正 方形;仿照例题求解即可; (3)由中间围成的正方形面积为4,可得中间正方形的边长为2.设长方形的宽为x,则长为 ,由题 意得 ,整理得 ,即可求得a和b的值.仿照例题构造大正方形,即可求出x的值. 本题主要考查学生的阅读理解能力,综合运用知识的能力.读懂例题,正确的构造出大正方形是解题的关 键. 【详解】(1)由 得 ∴ ∴原方程的另一个根是 . 故答案为:(2)将方程 变形为 , 画四个长为 ,宽为 的矩形,按如图所示构造一个“空心”大正方形, 则图中大正方形的面积从整体看可表示为 ,从局部看还可表示为四个矩形与中间小正方形面积 之和,即 ,因此,可得新的一元二次方程 , ∵ 表示边长, ∴ , 即 . (3)∵中间围成的正方形面积为4, ∴中间正方形的边长为2, 设长方形的宽为x,则长为 , 由题意得 , 整理得 , , . 如图中大正方形的面积从整体看可表示为 ,从局部看还可表示为四个矩形与中间小正方形面积 之和,即 ,因此,可得新的一元二次方程 , ∵ 表示边长, ∴ , 即 . ∴方程 的一个正根为 . 故答案为: , . .6.(23-24九年级上·四川内江·期中)阅读材料:各类方程的解法 求解一元一次方程,根据等式的基本性质,把方程转化为x=a的形式.求解二元一次方程组,把它转化为 一元一次方程来解;类似的,求解三元一次方程组,把它转化为解二元一次方程组.求解一元二次方程, 把它转化为两个一元一次方程来解.求解分式方程,把它转化为整式方程来解,由于“去分母”可能产生 增根,所以解分式方程必须检验.各类方程的解法不尽相同,但是它们有一个共同的基本数学思想――转 化,把未知转化为已知. 用“转化”的数学思想,我们还可以解一些新的方程.例如,一元三次方程 ,可以通过因 式分解把它转化为 ,解方程 和 ,可得方程 的解. (1)问题:方程 的解是______; (2)拓展:用“转化”思想求方程 的解; (3)应用:如图,已知矩形草坪 的长 ,宽 ,小华把一根长为10m的绳子的一端固定 在点B,沿草坪边沿 走到点P处,把长绳 段拉直并固定在点P,然后沿草坪边沿 走到 点C处,把长绳剩下的一段拉直,长绳的另一端恰好落在点C.求 的长. 【答案】(1) , , (2) ; (3)AP的长为4m 【分析】(1)先将该方程转化成 ,然后再求解即可;(2)由 可得 且 ,然后解出x即可; (3)设 ,则 ,然后根据勾股定理求得 和 ,然后再根据 列方程求 出x即可. 【详解】(1)解: , , , 所以 或 或 , , , ; (2)解: , 方程的两边平方,得 , 即 , , 或 , , , 当 时, , 所以 不是原方程的解. 所以方程 的解是 ; (3)解:因为四边形 是矩形, 所以 , 设 ,则 , 因为 , , ,∴ , ∴ , 两边平方,得 , 整理,得 , 两边平方并整理,得 ;即 , 所以 . 经检验, 是方程的解. 答:AP的长为4m. 【点睛】本题主要考查了一元二次方程的应用以及转换法的应用,掌握转换法是解答本题的关键. 【经典例题八 动态几何压轴题】 1.(2024九年级下·江苏·专题练习)如图,在 中, , , ,动点P从点 A开始沿边 向点B以 的速度移动,动点Q从点B开始沿边BC向点C以 的速度移动,若 P、Q两点分别从A、B两点同时出发,在运动过程中, 的最大面积是( ) A. B. C. D. 【答案】C 【分析】本题考查的是二次函数的应用,根据题意列出二次函数是解题的关键. 设P、Q同时出发后经过 , 的面积为 ,则 , , , 进而得到S的表达式;由于S的表达式为二次函数的形式,将其化为顶点式,再结合t的取值范围就能得出 面积的最大值. 【详解】解:设P、Q同时出发后经过 , 的面积为S cm2. 则 , , , 则 . ∵ , ,点P的运动速度为 ,点Q的运动速度为 , ∴ , ∴ , ∴ 时,S有最大值,最大值为9,即 的最大面积为 故选:C. 2.(2024·辽宁朝阳·一模)如图,菱形 中, , 交于 , , ,动点 从 出发沿 方向以每秒 匀速直线运动到 ,动点 从 出发沿 方向以每秒 匀速直线运动到 , 若 , 同时出发,问出发后 s时, 的面积为菱形 面积的 ? 【答案】1或4 【分析】本题考查了菱形的性质,一元二次方程的应用及分类讨论的数学思想,解题的关键是根据出发后 时间的多少确定列方程的方法. 根据点 、 运动过程中与 点的位置关系,分当 时,点 在线段 上,点 在线段 上、当 时,点 在线段 上,点 在线段 上和当 时,点 在线段 上,点 在线段 上 三种情况分别讨论. 【详解】解:设出发后 秒时, .四边形 是菱形, , , , , , , , 当 时,点 在线段 上,点 在线段 上. 此时 , , 则 ; 解得 , (舍去) 当 时,点 在线段 上,点 在线段 上, 此时 , 则 ;化简为 , 此时方程 ,原方程无实数解; 当 时,点 在线段 上,点 在线段 上, 此时 , , 则 ; 解得 (舍去), 综上所述,出发后 或 时, . 故答案为:1或4. 3.(23-24八年级下·山东烟台·期中)如图, 中, , , . (1)如图1,点 从 点开始沿 边向点 以 的速度移动(到达点 即停止运动),点 从 点开始 沿 边向点 以 的速度移动(到达点 即停止运动).如果点 , 分别从 , 两点同时出发.①经过多少秒钟, 的面积等于 ; ②线段 能否将 分成面积为 的两部分?若能,求出运动时间;若不能说明理由; (2)如图2,若 点沿射线 方向从 点出发以 的速度移动,点 沿射线 方向从 点出发以 的速度移动, , 同时出发,直接写出几秒后, 的面积为 . 【答案】(1)① 秒或 秒;② 秒 (2) 秒或 秒或 秒 【分析】本题考查一元二次方程的应用,三角形的面积, (1)①由三角形的面积公式可求解; ②分两种情况讨论,由题意列出方程可求出答案; (2)分三种情况:①点 在线段 上,点 在线段 上 ,②点 在线段 上,点 在线段 的延长线上时,③点 在线段 的延长线上,点 在线段 的延长线上时,由三角形面积公式可得 出答案; 运用分类讨论的思想是解题的关键. 【详解】(1)解:①设经过 秒钟, 的面积等于 , 由题意, , , ∴ , ∴ , 解得: , , ∴经过 秒或 秒钟, 的面积等于 ; ②设经过 秒,线段 能将 分成面积为 的两部分,由题意得: 1) ,即: , ∴ ,解得: (不合题意,舍去), ; 2) ,即: , ∴ , ∵ , 此方程无实数根,即这种情况不存在; 综上所述,经过 秒时,线段 能将 分成面积为 的两部分; (2)设经过 秒, 的面积为 ,可分三种情况: ①点 在线段 上,点 在线段 上时 , 此时 , , ∴ , ∴ , 解得: (舍去), ; ②点 在线段 上,点 在线段 的延长线上时 , 此时 , , ∴ , ∴ , 解得: ; ③点 在线段 的延长线上,点 在线段 的延长线上时 , 此时 , , ∴ , ∴ ,解得: , (舍去); 综上所述,经过 秒或 秒或 秒后, 的面积为 . 4.(2024八年级下·上海·专题练习)如图,在四边形 中, , , , ,点 从 开始沿 边向 以每秒 的速度移动,点 从 开始沿 边向 以每秒 的 速度移动,如果点 、 分别从 、 同时出发,当其中一点到达终点时运动停止.设运动时间为 秒. (1)求证:当 时,四边形 是平行四边形; (2) 是否可能平分对角线 ?若能,求出当 为何值时 平分 ;若不能,请说明理由; (3)若 是以 为腰的等腰三角形,求 的值. 【答案】(1)见解析 (2)当 秒时, 平分对角线 (3)若 是以 为腰的等腰三角形, 的值为 【分析】(1)由题意可得当 秒时,两点停止运动,在运动过程中 , ,即可得 , ,由 ,即可求得 ,又由 ,即可判定四边形 是平行四 边形; (2)首先连接 交 于点 ,若 平分对角线 ,则 ,易证得 ,继而可得四 边形 为平行四边形,则可得 ,解此方程即可求得答案. (3)分两种情况:①当 时,作 于 , 于 , 与 ,如图所示:则 , , ,得出 , , 由 得出方程,解方程即可;②当 时,由勾股定理得出方程,方程无解;即可得出答案. 【详解】(1)证明: , 当 秒时,两点停止运动,在运动过程中 , , , , 当 时, , , 又 四边形 为等腰梯形, , 四边形 为平行四边形; (2)解: 能平分对角线 ,当 秒时, 平分对角线 . 理由如下: 连接 交 于点 ,如图1所示: 若 平分对角线 ,则 , , , , 在 和 中, , , , 即四边形 为平行四边形, , 解得 ,符合题意,当 秒时, 平分对角线 . (3)解:分两种情况: ①当 时,作 于 , 于 , 与 ,如图2所示: 则 , , , , , , , , 解得: ; ②当 时,由勾股定理得: , , 整理得: , 解得 ,方程无解; 综上所述:若 是以 为腰的等腰三角形, 的值为 . 【点睛】此题是四边形综合题目,考查了等腰梯形的性质、平行四边形的判定与性质以及全等三角形的判 定与性质、解方程.注意掌握方程思想与数形结合思想的应用是解题的关键. 5.(23-24九年级上·吉林延边·阶段练习)在 中, , ,动点 从点 出 发,在线段 上以每秒 个单位长度的速度向点 运动,到达点 停止运动,设运动时间为 秒.(1)求 的面积; (2)如图①,过点 作 、交 于点 、若 与 的面积和是 的面积的 ,求 的值; (3)如图②、点 在射线 上,且 ,以线段 为边向 上方作正方形 .在运动过程中, 若设正方形 与 重叠部分的面积为 ,求 的值. 【答案】(1) (2) , (3)t的值为 或 . 【分析】本题考查了一元二次方程的应用; (1)根据三角形的面积公式求出 的面积, (2)根据题意可得 , ,然后再 与 的面积和是 的面积的 ,列出方程、 解方程即可解答; (3)根据不同时间段分三种情况进行解答即可. 【详解】(1) 中, , , ∴ , (2) , , 与 的面积和 , 与 的面积和是 的面积的 , ,解得 , ; (3) , , , ①如图 ,当 时, , 解得: , 不合题意,舍去 , ②如图 ,当 时, 解得: 不合题意,舍去 , 不合题意,舍去 , ③如图 ,当 时, , 解得: , 不合题意,舍去 , 综上, 的值为 或 时,重叠面积为 . 6.(23-24八年级下·浙江温州·期中)如图,在四边形 中, , , , , ,动点P、Q分别从A、B同时出发,点P以每秒2个单位的速度沿着折线 先由A向D运动,再由D向C运动,点Q以每秒1个单位的速度由B向A运动,当其中一动点到达终点时, 另一动点随之停止运动,设运动时间为t秒.(1)两平行线 与 之间的距离是__________. (2)当点P、Q与 的某两个顶点围成一个平行四边形时,求t的值. (3) ,以 , 为一组邻边构造平行四边形 ,若 的面积为 ,求t的值. 【答案】(1) (2) 或 (3) 或 【分析】此题主要考查了勾股定理,直角三角形的性质以及平行四边形的性质等知识,熟练掌握平行四边 形的性质是解题的关键. (1)过点 作 于点 ,由勾股定理可得出答案; (2)分两种情况,由平行四边形的性质可得出答案; (3)分两种情况,列出 的方程可得出答案. 【详解】(1)过点 作 于点 , , , , , ,故答案为: ; (2)在 中, , , , , Ⅰ.当四边形 为平行四边形时, , , , Ⅱ.当四边形 为平行四边形时, , , , 综上所述当点 、 与 的某两个顶点围成一个平行四边形时, 或 ; (3)Ⅰ.当 在 边上时, 边上的高是 , , 解得 , 舍去), Ⅱ.当 在 边上时, , 解得 . 综上所述 或 时,平行四边形 的面积为 .