当前位置:首页>文档>专题09二次函数的最值问题专训(七大题型)(教师版)_初中数学_九年级数学上册(人教版)_重难点专题提升-V7_2024版

专题09二次函数的最值问题专训(七大题型)(教师版)_初中数学_九年级数学上册(人教版)_重难点专题提升-V7_2024版

  • 2026-03-31 17:49:14 2026-03-21 06:00:32

文档预览

专题09二次函数的最值问题专训(七大题型)(教师版)_初中数学_九年级数学上册(人教版)_重难点专题提升-V7_2024版
专题09二次函数的最值问题专训(七大题型)(教师版)_初中数学_九年级数学上册(人教版)_重难点专题提升-V7_2024版
专题09二次函数的最值问题专训(七大题型)(教师版)_初中数学_九年级数学上册(人教版)_重难点专题提升-V7_2024版
专题09二次函数的最值问题专训(七大题型)(教师版)_初中数学_九年级数学上册(人教版)_重难点专题提升-V7_2024版
专题09二次函数的最值问题专训(七大题型)(教师版)_初中数学_九年级数学上册(人教版)_重难点专题提升-V7_2024版
专题09二次函数的最值问题专训(七大题型)(教师版)_初中数学_九年级数学上册(人教版)_重难点专题提升-V7_2024版
专题09二次函数的最值问题专训(七大题型)(教师版)_初中数学_九年级数学上册(人教版)_重难点专题提升-V7_2024版
专题09二次函数的最值问题专训(七大题型)(教师版)_初中数学_九年级数学上册(人教版)_重难点专题提升-V7_2024版
专题09二次函数的最值问题专训(七大题型)(教师版)_初中数学_九年级数学上册(人教版)_重难点专题提升-V7_2024版
专题09二次函数的最值问题专训(七大题型)(教师版)_初中数学_九年级数学上册(人教版)_重难点专题提升-V7_2024版
专题09二次函数的最值问题专训(七大题型)(教师版)_初中数学_九年级数学上册(人教版)_重难点专题提升-V7_2024版
专题09二次函数的最值问题专训(七大题型)(教师版)_初中数学_九年级数学上册(人教版)_重难点专题提升-V7_2024版
专题09二次函数的最值问题专训(七大题型)(教师版)_初中数学_九年级数学上册(人教版)_重难点专题提升-V7_2024版
专题09二次函数的最值问题专训(七大题型)(教师版)_初中数学_九年级数学上册(人教版)_重难点专题提升-V7_2024版
专题09二次函数的最值问题专训(七大题型)(教师版)_初中数学_九年级数学上册(人教版)_重难点专题提升-V7_2024版
专题09二次函数的最值问题专训(七大题型)(教师版)_初中数学_九年级数学上册(人教版)_重难点专题提升-V7_2024版
专题09二次函数的最值问题专训(七大题型)(教师版)_初中数学_九年级数学上册(人教版)_重难点专题提升-V7_2024版
专题09二次函数的最值问题专训(七大题型)(教师版)_初中数学_九年级数学上册(人教版)_重难点专题提升-V7_2024版
专题09二次函数的最值问题专训(七大题型)(教师版)_初中数学_九年级数学上册(人教版)_重难点专题提升-V7_2024版
专题09二次函数的最值问题专训(七大题型)(教师版)_初中数学_九年级数学上册(人教版)_重难点专题提升-V7_2024版
专题09二次函数的最值问题专训(七大题型)(教师版)_初中数学_九年级数学上册(人教版)_重难点专题提升-V7_2024版
专题09二次函数的最值问题专训(七大题型)(教师版)_初中数学_九年级数学上册(人教版)_重难点专题提升-V7_2024版
专题09二次函数的最值问题专训(七大题型)(教师版)_初中数学_九年级数学上册(人教版)_重难点专题提升-V7_2024版
专题09二次函数的最值问题专训(七大题型)(教师版)_初中数学_九年级数学上册(人教版)_重难点专题提升-V7_2024版
专题09二次函数的最值问题专训(七大题型)(教师版)_初中数学_九年级数学上册(人教版)_重难点专题提升-V7_2024版
专题09二次函数的最值问题专训(七大题型)(教师版)_初中数学_九年级数学上册(人教版)_重难点专题提升-V7_2024版
专题09二次函数的最值问题专训(七大题型)(教师版)_初中数学_九年级数学上册(人教版)_重难点专题提升-V7_2024版
专题09二次函数的最值问题专训(七大题型)(教师版)_初中数学_九年级数学上册(人教版)_重难点专题提升-V7_2024版
专题09二次函数的最值问题专训(七大题型)(教师版)_初中数学_九年级数学上册(人教版)_重难点专题提升-V7_2024版
专题09二次函数的最值问题专训(七大题型)(教师版)_初中数学_九年级数学上册(人教版)_重难点专题提升-V7_2024版
专题09二次函数的最值问题专训(七大题型)(教师版)_初中数学_九年级数学上册(人教版)_重难点专题提升-V7_2024版
专题09二次函数的最值问题专训(七大题型)(教师版)_初中数学_九年级数学上册(人教版)_重难点专题提升-V7_2024版
专题09二次函数的最值问题专训(七大题型)(教师版)_初中数学_九年级数学上册(人教版)_重难点专题提升-V7_2024版
专题09二次函数的最值问题专训(七大题型)(教师版)_初中数学_九年级数学上册(人教版)_重难点专题提升-V7_2024版
专题09二次函数的最值问题专训(七大题型)(教师版)_初中数学_九年级数学上册(人教版)_重难点专题提升-V7_2024版
专题09二次函数的最值问题专训(七大题型)(教师版)_初中数学_九年级数学上册(人教版)_重难点专题提升-V7_2024版
专题09二次函数的最值问题专训(七大题型)(教师版)_初中数学_九年级数学上册(人教版)_重难点专题提升-V7_2024版
专题09二次函数的最值问题专训(七大题型)(教师版)_初中数学_九年级数学上册(人教版)_重难点专题提升-V7_2024版
专题09二次函数的最值问题专训(七大题型)(教师版)_初中数学_九年级数学上册(人教版)_重难点专题提升-V7_2024版
专题09二次函数的最值问题专训(七大题型)(教师版)_初中数学_九年级数学上册(人教版)_重难点专题提升-V7_2024版
专题09二次函数的最值问题专训(七大题型)(教师版)_初中数学_九年级数学上册(人教版)_重难点专题提升-V7_2024版
专题09二次函数的最值问题专训(七大题型)(教师版)_初中数学_九年级数学上册(人教版)_重难点专题提升-V7_2024版
专题09二次函数的最值问题专训(七大题型)(教师版)_初中数学_九年级数学上册(人教版)_重难点专题提升-V7_2024版
专题09二次函数的最值问题专训(七大题型)(教师版)_初中数学_九年级数学上册(人教版)_重难点专题提升-V7_2024版
专题09二次函数的最值问题专训(七大题型)(教师版)_初中数学_九年级数学上册(人教版)_重难点专题提升-V7_2024版
专题09二次函数的最值问题专训(七大题型)(教师版)_初中数学_九年级数学上册(人教版)_重难点专题提升-V7_2024版
专题09二次函数的最值问题专训(七大题型)(教师版)_初中数学_九年级数学上册(人教版)_重难点专题提升-V7_2024版
专题09二次函数的最值问题专训(七大题型)(教师版)_初中数学_九年级数学上册(人教版)_重难点专题提升-V7_2024版
专题09二次函数的最值问题专训(七大题型)(教师版)_初中数学_九年级数学上册(人教版)_重难点专题提升-V7_2024版
专题09二次函数的最值问题专训(七大题型)(教师版)_初中数学_九年级数学上册(人教版)_重难点专题提升-V7_2024版
专题09二次函数的最值问题专训(七大题型)(教师版)_初中数学_九年级数学上册(人教版)_重难点专题提升-V7_2024版
专题09二次函数的最值问题专训(七大题型)(教师版)_初中数学_九年级数学上册(人教版)_重难点专题提升-V7_2024版
专题09二次函数的最值问题专训(七大题型)(教师版)_初中数学_九年级数学上册(人教版)_重难点专题提升-V7_2024版
专题09二次函数的最值问题专训(七大题型)(教师版)_初中数学_九年级数学上册(人教版)_重难点专题提升-V7_2024版
专题09二次函数的最值问题专训(七大题型)(教师版)_初中数学_九年级数学上册(人教版)_重难点专题提升-V7_2024版
专题09二次函数的最值问题专训(七大题型)(教师版)_初中数学_九年级数学上册(人教版)_重难点专题提升-V7_2024版
专题09二次函数的最值问题专训(七大题型)(教师版)_初中数学_九年级数学上册(人教版)_重难点专题提升-V7_2024版
专题09二次函数的最值问题专训(七大题型)(教师版)_初中数学_九年级数学上册(人教版)_重难点专题提升-V7_2024版
专题09二次函数的最值问题专训(七大题型)(教师版)_初中数学_九年级数学上册(人教版)_重难点专题提升-V7_2024版
专题09二次函数的最值问题专训(七大题型)(教师版)_初中数学_九年级数学上册(人教版)_重难点专题提升-V7_2024版
专题09二次函数的最值问题专训(七大题型)(教师版)_初中数学_九年级数学上册(人教版)_重难点专题提升-V7_2024版
专题09二次函数的最值问题专训(七大题型)(教师版)_初中数学_九年级数学上册(人教版)_重难点专题提升-V7_2024版
专题09二次函数的最值问题专训(七大题型)(教师版)_初中数学_九年级数学上册(人教版)_重难点专题提升-V7_2024版
专题09二次函数的最值问题专训(七大题型)(教师版)_初中数学_九年级数学上册(人教版)_重难点专题提升-V7_2024版
专题09二次函数的最值问题专训(七大题型)(教师版)_初中数学_九年级数学上册(人教版)_重难点专题提升-V7_2024版
专题09二次函数的最值问题专训(七大题型)(教师版)_初中数学_九年级数学上册(人教版)_重难点专题提升-V7_2024版
专题09二次函数的最值问题专训(七大题型)(教师版)_初中数学_九年级数学上册(人教版)_重难点专题提升-V7_2024版
专题09二次函数的最值问题专训(七大题型)(教师版)_初中数学_九年级数学上册(人教版)_重难点专题提升-V7_2024版
专题09二次函数的最值问题专训(七大题型)(教师版)_初中数学_九年级数学上册(人教版)_重难点专题提升-V7_2024版
专题09二次函数的最值问题专训(七大题型)(教师版)_初中数学_九年级数学上册(人教版)_重难点专题提升-V7_2024版
专题09二次函数的最值问题专训(七大题型)(教师版)_初中数学_九年级数学上册(人教版)_重难点专题提升-V7_2024版
专题09二次函数的最值问题专训(七大题型)(教师版)_初中数学_九年级数学上册(人教版)_重难点专题提升-V7_2024版
专题09二次函数的最值问题专训(七大题型)(教师版)_初中数学_九年级数学上册(人教版)_重难点专题提升-V7_2024版
专题09二次函数的最值问题专训(七大题型)(教师版)_初中数学_九年级数学上册(人教版)_重难点专题提升-V7_2024版
专题09二次函数的最值问题专训(七大题型)(教师版)_初中数学_九年级数学上册(人教版)_重难点专题提升-V7_2024版
专题09二次函数的最值问题专训(七大题型)(教师版)_初中数学_九年级数学上册(人教版)_重难点专题提升-V7_2024版
专题09二次函数的最值问题专训(七大题型)(教师版)_初中数学_九年级数学上册(人教版)_重难点专题提升-V7_2024版
专题09二次函数的最值问题专训(七大题型)(教师版)_初中数学_九年级数学上册(人教版)_重难点专题提升-V7_2024版
专题09二次函数的最值问题专训(七大题型)(教师版)_初中数学_九年级数学上册(人教版)_重难点专题提升-V7_2024版
专题09二次函数的最值问题专训(七大题型)(教师版)_初中数学_九年级数学上册(人教版)_重难点专题提升-V7_2024版
专题09二次函数的最值问题专训(七大题型)(教师版)_初中数学_九年级数学上册(人教版)_重难点专题提升-V7_2024版
专题09二次函数的最值问题专训(七大题型)(教师版)_初中数学_九年级数学上册(人教版)_重难点专题提升-V7_2024版
专题09二次函数的最值问题专训(七大题型)(教师版)_初中数学_九年级数学上册(人教版)_重难点专题提升-V7_2024版

文档信息

文档格式
docx
文档大小
7.145 MB
文档页数
83 页
上传时间
2026-03-21 06:00:32

文档内容

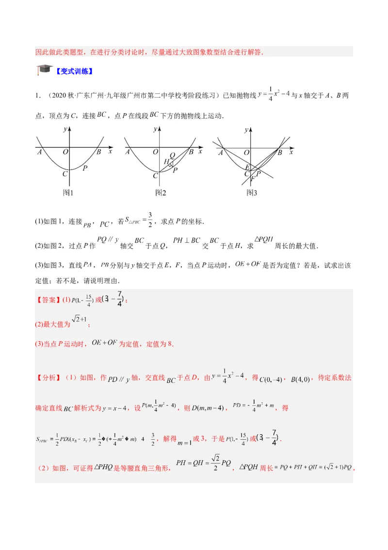
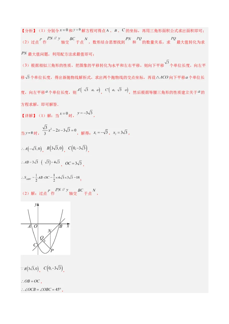
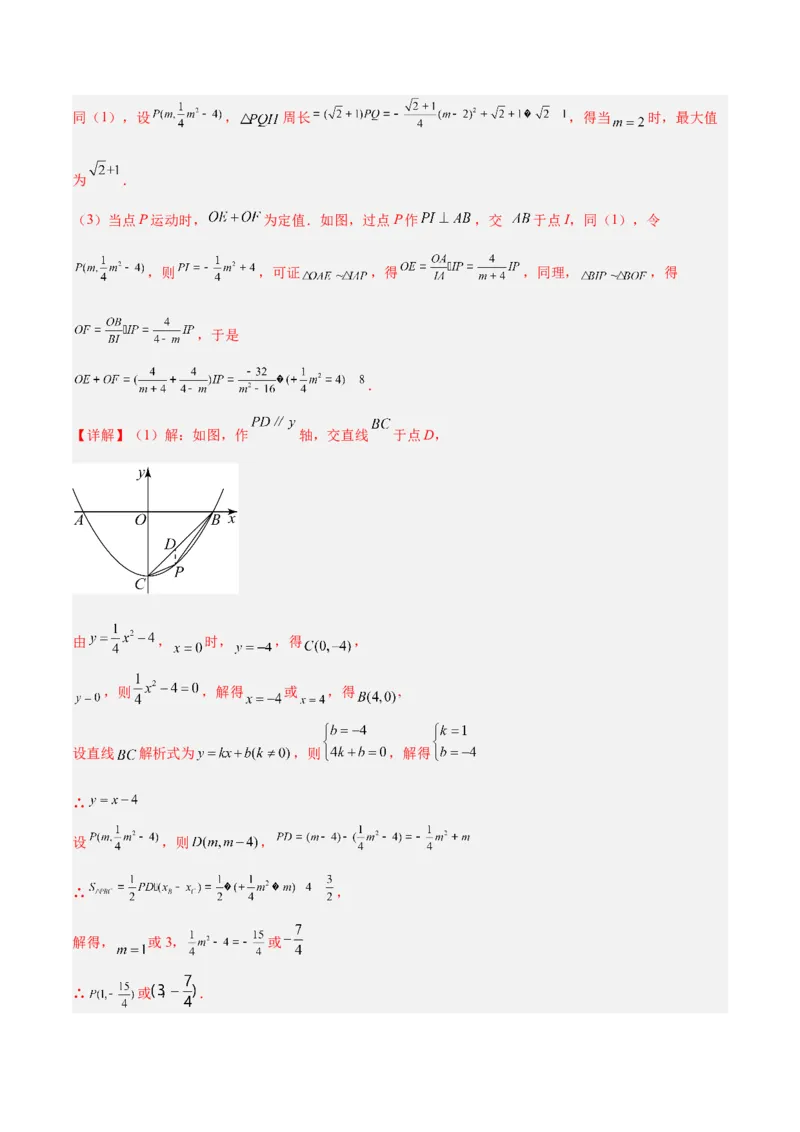
专题09 二次函数的最值问题专训【七大题型】 【题型目录】 题型一 二次函数的定轴定区间求最值问题 题型二 二次函数的动轴定区间求最值问题 题型三 二次函数的定轴动区间求最值问题 题型四 二次函数的面积与最值问题 题型五 二次函数的两个图形面积最值问题 题型六 二次函数的线段最值问题 题型七 二次函数的最值综合问题 【经典例题一 二次函数的定轴定区间求最值问题】 【知识点1 定轴定区间】 对于二次函数 在 上的最值问题(其中a、b、c、m和n均为定值, 表示y的最大值, 表示y的最小值): (1)若自变量x为全体实数,如图①,函数在 时,取到最小值,无最大值. (2)若 ,如图②,当 , ;当 , . (3)若 ,如图③,当, ;当 , . (4)若 , ,如图④,当 , ;当 , .b b b b x=- x=- x=- x=- 2a 2a 2a 2a ① ② ③ ④ 【例1】(2023·浙江·一模)已知二次方程 的两根为 和5,则对于二次函数 , 下列叙述正确的是( ) A.当 时,函数的最大值是9. B.当 时,函数的最大值是9. C.当 时,函数的最小值是 . D.当 时,函数的最小值是 . 【答案】C 【分析】根据二次方程 的两根为 和5,求出 , 的值,从而得出函数解析式,再根据函数 的性质求最值. 【详解】解: 二次方程 的两根为 和5, , 解得 , 二次函数 , , 当 时, 有最小值,最小值为 , 故选:C. 【点睛】本题考查抛物线与 轴的交点,二次函数的最值,关键是求函数解析式. 【变式训练】 1.(2023春·安徽宿州·九年级统考阶段练习)已知二次函数 ,关于该函数在 范围 内,下列说法正确的是( )A.有最大值4,有最小值 B.有最大值4,有最小值 C.有最大值3,有最小值 D.有最大值3,有最小值 【答案】A 【分析】将解析式配方为顶点式,可以得到该函数的对称轴和开口方向,然后根据 ,即可得到相 应的最大值和最小值,从而可以解答本题. 【详解】解:∵ , ∴对称轴为直线 ,开口向下, ∴在 的取值范围内,当 时,函数取最大值 , 当 时,函数取最小值 , 故选:A. 【点睛】本题考查了二次函数在所给范围内的最值问题,解题的关键是熟练掌握二次函数的图象和性质. 2.(2023春·湖南长沙·八年级校考期末)已知二次函数 ,当 时,函数y的最大值 为 . 【答案】5 【分析】先求出二次函数的对称轴为直线 ,然后根据二次函数开口向上确定其增减性,并结合图象 解答即可. 【详解】解:∵二次函数 , ∴对称轴是: , ∵ , ∴ 时,y随x的增大而增大, 时,y随x的增大而减小, 由图象可知:在 内, 时,y有最大值, ,∴函数y的最大值为5, 故答案为:5. 【点睛】本题考查了二次函数的性质,二次函数的最值问题,二次函数的增减性,结合图象可得函数的最 值是解题的关键. 3.(2023春·江苏苏州·九年级专题练习)二次函数 的最小值是 ,最大值 是 . 【答案】 1 【分析】根据二次函数图像与性质,在 范围内求出最值即可得到答案. 【详解】解: , 抛物线开口向上,对称轴为 ,顶点坐标为 , , 当 时, ,即二次函数 的最小值是 ; 到 的距离为 ; 到 的距离为 , 当 时,代入 得 ,即二次函数 的最大值是 ; 时,函数 的最小值为 ,最大值为 , 故答案为: , . 【点睛】本题考查二次函数图像与性质,熟练掌握二次函数最值求法是解决问题的关键. 【经典例题二 二次函数的动轴定区间求最值问题】 【知识点2 动轴或动区间】 对于二次函数 ,在 (m,n为参数)条件下,函数的最值需要分别讨论 m,n与 的大小. 【例2】(2023·河南省直辖县级单位·统考二模)已知抛物线 ,若 时,抛物线上一点 满足:当 时, ,则m的值是( ) A.0 B. C.0或 D.0或4 【答案】A 【分析】由抛物线图像与性质得到对称轴为 ,根据 ,确定对称轴 ,从而当 时,对称轴在这个范围内, 到对称轴距离 , 到对称轴距离 ,由抛物线 开口向上,当 时, ,得出抛物线在 时有最小值为 ,即 ;在 时有最大值为 ,即 ,联立方程组 求解即 可得到 (舍)或 . 【详解】解: 抛物线 的对称轴为 , 若 时,对称轴 , 当 时,对称轴在这个范围内, 到对称轴距离 , 到对称轴距离 , 抛物线 开口向上,当 时, , 抛物线在 时有最小值为 ,即 ;在 时有最大值为 ,即 , 联立方程组 ,即 ,解得 或 , , 舍去,即 , 故选:A. 【点睛】本题考查二次函数图像与性质,根据二次函数最值列出方程组求解是解决问题的关键. 【变式训练】 1.(2023·浙江·九年级专题练习)已知二次函数 ,当 时,y的最大值为 ,则a的值为( ) A. 或6 B.0或6 C. 或2 D.2或6 【答案】A 【分析】根据题意易得二次函数的对称轴为直线 ,分类讨论,根据二次函数的增减性可进行求解. 【详解】解: 由二次函数 可知对称轴为直线 ,开口向下 ∴当 时,y 有最大值1 ; ∵当 时,y的最大值为 ∴当 时,二次函数在 上y 随x的增大而减小, 即当 时,有最大值 ; 则有 , 解得 或 (不符合题意,舍去); 当 时,二次函数在 上y随x的增大而增大, 即当 时,有最大值 ; 则有 , 解得: 或 (不符合题意,舍去); 综上所述:a的值为 或6; 故选:A 【点睛】本题主要考查二次函数图像与性质,熟练掌握二次函数图像性质是解题的关键. 2.(2023·吉林长春·长春市解放大路学校校考三模)已知二次函数 ,当 时,函数的最大值为 ,则m的值是 . 【答案】 或 【分析】将二次函数配方成顶点式,分 和 两种情况分析即可. 【详解】 故该抛物线的对称轴为直线 当 时,抛物线开口向上,且 时,函数的最大值为 即 时,代入求得 当 时,抛物线开口向下,且 时,函数的最大值为 即 时, 代入求得 ∴ 的值为 或 故答案为: 或 . 【点睛】本题主要考查二次函数的顶点式,二次函数的性质,二次函数的最值,根据二次函数的增减性分 类讨论是解题的关键. 3.(2023·安徽合肥·校考一模)已知二次函数 , (1)当 时,二次函数 的最大值为 . (2)当 时,二次函数 的最大值为6,则 的值为 . 【答案】 1 8或 【分析】(1)将 代入 ,再根据二次函数的性质求解即可; (2)先求得抛物线的对称轴,再分情况讨论:①当 时,②当 时,当 时,根据二次 函数的性质,得到关于 的方程,求解即可. 【详解】(1)解:将 代入 , 得: , 当 时,函数有最大值1, 故答案为:1; (2)解: , 抛物线开口向下,对称轴为直线 ,①当 时,即 时, ,在对称轴右侧, 随 的增大而减小, 当 时, 有最大值为6, , 解得: ; ②当 时,即 时, 当 时, 有最大值为6, , 解得: , , (不合题意,舍去), ③当 时,即 时, ,在对称轴左侧, 随 的增大而增大, 当 时, 有最大值为6, , 解得: , 综上所述, 的值为8或 . 【点睛】本题考查了二次函数的最值,确定一个二次函数的最值,首先看自变量的取值范围,当自变量取 全体实数时,其最值为抛物线顶点坐标的纵坐标,当自变量取某个范围时,要分别求出顶点和函数端点处 的函数值,比较这些函数值,从而获得最值. 【经典例题三 二次函数的定轴动区间求最值问题】【例3】(2023·浙江温州·校联考三模)已知二次函数 ,关于该函数在 的取值范围内, 下列说法项正确的是( ) A.若 ,函数有最大值5 B.若 ,函数有最小值5 C.若 ,函数有最小值1 D.若 ,函数无最大值 【答案】C 【分析】根据题意可得该函数的对称轴和开口方向,然后根据 ,寻找相应的最大值和最小值即可 解答. 【详解】解:∵二次函数 , ∴该函数的对称轴是直线 ,函数图像开口向上, ∵ ∴当 时,无法确定最大值,即A选项不符合题意; 当 时,函数有最小值1,即B选项不符合题意; 当 时,函数有最小值1,即C选项符合题意; 当 时, 时,函数有最大值5,即D选项不符合题意. 故选:C. 【点睛】本题主要考查了二次函数的性质、二次函数的最值等知识点,灵活运用二次函数的性质求最值是 解答本题的关键. 【变式训练】 1.(2023·浙江绍兴·统考一模)已知函数 ,当 时,函数的最大值是8,最小值是 , 则 的值可能是( ) A.1 B.4 C.7 D.10 【答案】C 【分析】根据 ,结合 ,当 时,取得最小值是 ,判定 ; ,得到 ,确定 ,判定即可. 【详解】∵ , , ∴当 时,取得最小值是 ,∴ ; ∵ , 解得 , , 当 时,取得最大值是8, ∴ , 故选C. 【点睛】本题考查了抛物线的最值,正确理解最值的意义是解题的关键. 2.(2023·安徽阜阳·统考二模)已知二次函数 的图象经过 . (1)该二次函数的对称轴为直线 . (2)当 时,若y的最大值与最小值之差为8,则m的值为 . 【答案】 3 【分析】(1)将坐标代入二次函数,求得解析式,再通过二次函数的性质,求得对称轴; (2)根据二次函数的解析式可知, ,故当 时,y取最小值,当 时,y取最大值,代入求解 方程即可. 【详解】(1)解:把 代入 可得 ,解得 , 二次函数的解析式为 , 二次函数的对称轴为 , 故答案为: . (2)解:当 时,y取到最小值为 , y的最大值与最小值之差为8, , 故当 时,y取最小值,当 时,y取最大值, 可得方程 , 解得 或 (舍). 故答案为:3. 【点睛】本题考查了二次函数的最值,二次函数的性质,正确得出关于m的方程是解题的关键. 3.(2022秋·江苏南通·九年级校考阶段练习)二次函数 ,当 ,y的最小值是,最大值是 ,则 . 【答案】 【分析】根据题意和二次函数的性质,利用分类讨论的方法可以求得m、n的值,然后即可求出 的值. 【详解】解:∵ , ∴ , ∵二次函数 , ∴当 时,取得最小值 ,当 时,y随x的增大而增大,当 时,y随x的增大而减小, 当 时, 时取得最小值 , 时取得最大值 , 即 , 解得 (不合题意,舍去), (不合题意,舍去); 当 时, 时,取得最小值 , 时取得最大值 或 时,取得最小值 , 时取得最大值 , 即 , 或 , , 解得 , 或 (不合题意,舍去); , (不合题意,舍去),由上可得, , , ∴ , 故答案为: . 【点睛】本题考查二次函数的性质、二次函数的最值,解答本题的关键是明确题意,利用二次函数的增减 性质解答. 【经典例题四 二次函数的面积与最值问题】 【例4】(2022秋·浙江温州·九年级校考期中)如图,点 , , , 均在函数l图 象上,P为该函数在第一象限内图象上一点, 轴于点E,当 的面积取最大值时, 的长为( )A.1.5 B.2.5 C.3.5 D.4.5 【答案】B 【分析】先根据待定系数法求出直线 的解析式,从而可判定 , 均在直线 上,设 ,则 , ,用p表示出 的面积,即可得出答案. 【详解】解:设直线 的解析式为: , 将 , 代入得: , 解得: , ∴直线 的解析式为 , 当 时, , ∴ 在直线 上, 当 时, ,∴ 在直线 上, 设 ,则 , , ∴ , ∴当 的面积取最大值时, 的长为 ,故B正确. 故选:B. 【点睛】本题主要考查了求一次函数解析式,二次函数的最值,解题的关键是求出一次函数解析式,设出 点P的坐标,表示出 的面积. 【变式训练】 1.(2022秋·江西宜春·九年级校考阶段练习)如图,抛物线y=a(x+3)(x﹣1)经过点C(0,3),点 P(m,n)从点A出发,沿抛物线运动到顶点后,再沿对称轴 向下运动,给出下列说法: ①a=﹣1; ②抛物线的对称轴为x=﹣1; ③当点P,B,C构成的三角形的周长取最小值时,n=1; ④在点P从点A运动到顶点的过程中,当m=− 时, PAC的面积最大. △ 其中,所有正确的说法是( ) A.①②③ B.②③④ C.①④ D.①②④ 【答案】D【分析】把点C坐标代入解析式,确定a值;根据解析式确定对称轴;利用轴对称确定P的坐标,先确定 直线AC的解析式,根据x=-1计算函数值n,对比判断即可;过点P作x轴的垂线,交AC于点D,利用抛 物线内接三角形性质,构造二次函数判断最值. 【详解】因为抛物线y=a(x+3)(x﹣1)经过点C(0,3), 所以-3a=3, 解得a=-1, 故①正确; 所以抛物线的解析式为y= , 所以抛物线的对称轴为直线x=-1, 故②正确; 显然当P在对称轴上运动时, PBC的周长有最小值, 因为A、B是对称点,连接AC△交对称轴于点P,此时的点P,使得 PBC的周长有最小值, 设直线AC的解析式为y=kx+b, △ 所以 , 解得 , 所以直线AC的解析式为y=x+3, 当x=-1时,y=2即n=2, 故③错误; 过点P作x轴的垂线,交AC于点D,因为点P(m,n),抛物线解析式为 ,直线AC的解析式为y=x+3, 所以P(m, ),点D(m,m+3), 所以PD= , 所以△PAC的面积为 = , 故当m=− 时,△PAC的面积最大. 故④正确 故选D. 【点睛】本题考查了抛物线的解析式确定,抛物线的最值,抛物线的对称性,线段和的最小值,熟练掌握 抛物线的性质,灵活运用线段和最值的原理是解题的关键. 2.(2023·广西北海·统考二模)如图,点E,F,G,H分别位于正方形 的四条边上,四边形 也是正方形,当正方形 的面积最小时, 的度数是 . 【答案】 【分析】首先证明 ,则 ;设正方形 的边长为a, ,则 , 则有 ,由二次函数的性质即可求得结果. 【详解】解:∵四边形 是正方形,四边形 也是正方形, ∴ , , ∴ , ∵ , ∴ , 在 与 中, ∴ , ∴ ; 设正方形 的边长为a, ,则 , ∴ , ∵ , ∴当 时,正方形 的面积有最小值,此时 , ∴ , ∴ ∴ ; 故答案为: . 【点睛】本题考查了正方形的性质,等腰三角形的性质,全等三角形的判定与性质,二次函数的性质,证 明三角形全等是解题的关键. 3.(2023·陕西渭南·统考二模)如图,已知 、 为两条定长的线段, , , ,点A、C分别为线段 , 上的点(点C可与点P重合), 、 ,若 ,则四边形 面积的最大值为 . 【答案】 【分析】过点C作 于点D,易得四边形 为矩形, 为等腰直角三角形,从而得到 ,由 ,可得 ,即 ,设 ,则四边形 的面积 ,由二次函数的性质可得,当 时,S随x的增大 而增大,再结合 ,可知当 时,S取得最大值, . 【详解】解:过点C作 于点D,如图所示: ∵ , ∴ , ∵ , ∴四边形 为平行四边形, ∵ , ∴四边形 为矩形, ∵ , ∴ 为等腰直角三角形, ∴ , ∴ , ∵ , ∴ , ∴ , 设 ,则四边形 的面积为: , ∵ ,对称轴为直线 , ∴当 时,S随x的增大而增大, ∵ ,∴当 时,S取得最大值, . 故答案为: . 【点睛】本题主要考查了二次函数的应用,矩形的判定和性质,求二次函数的最值,等腰直角三角形的性 质,解题的关键是作出辅助线,将几何问题转化为函数问题. 【经典例题五 二次函数的两个图形面积最值问题】 【例5】(2023·山东泰安·校考三模)如图,在平面直角坐标系中,抛物线 与 轴交于 两点.与 轴交于点 . (1)求抛物线的解析式; (2)若点 是抛物线第四象限上的一个动点,过点 作 交 于点 . ①如图1,记 面积为 面积为 ,求 的面积最大值及此时点 的坐标. ②如图2,若将 沿直线 翻折得到 ,且点 落在线段 上,求此时点 的坐标.【答案】(1) (2)① ;② 【分析】(1)利用待定系数法求出抛物线的解析式即可; (2)①连接 ,求出点C的坐标是 ,由 得到 ,待定系数法求出直线 为 ,过点 作 轴交 于点 ,设点 ,得到 ,根据二次函数的性质求出最值,并求出点P的坐标; ②先证明四边形 是菱形,过点 作 轴交 延长线于点 ,则 ,再证明 ,则 ,求出 表达式为 ,与二次函数表达式联立, 进一步即可求出点P的坐标. 【详解】(1)解: 抛物线 经过点 和点 , , 解得: , 该抛物线的函数表达式为 , (2)①连接 , 当 时, , ∴点C的坐标是 , ,, 设直线 为 ,将点 、 代入得 , 解得 , 则直线 为 , 过点 作 轴交 于点 ,设点 , , ∴ , , 当 有最大值为 ,此时 , ∴ , ②∵将 沿直线 翻折得到 ,且点 落在线段 上, ∴ , , , ∴ , , 四边形 是菱形, , , 过点 作 轴交 延长线于点 ,则 , ∴ , ∴ , ∵ ,, , 设 表达式为 , 将点 代入得 , , ∴ 表达式为 , , , (舍), , 当 时, , 【点睛】此二次函数和几何综合题,考查了待定系数法、菱形的判定和性质、一次函数和二次函数交点问 题、全等三角形的判定和性质、轴对称的性质等知识,熟练掌握函数性质和数形结合是解题的关键. 【变式训练】 1.(2023·安徽合肥·校考三模)某花圃基地计划将如图所示的一块长 ,宽 的矩形空地划分成五块 小矩形区域.其中一块正方形空地为育苗区,另一块空地为活动区,其余空地为花卉种植区,分别种植 , , 三种花卉.活动区一边与育苗区等宽,另一边长是 . , , 三种花卉每平方米的产值分别 是 百元、 百元、 百元.(1)设育苗区的边长为 ,用含 的代数式表花卉 的种植面积是__________ (2)育苗区的边长为多少时, , 两种花卉的总产值相等? (3)若花卉 与 的种植面积之和不超过 ,求 , , 三种花卉的总产值之和的最大值. 【答案】(1) (2) (3) 百元 【分析】(1)根据正方形和长方形的面积计算公式可直接得到答案; (2)根据 , 两种花卉的总产值相等建立一元二次方程,解方程即可得到答案; (3)先根据花卉 与 的种植面积之和不超过 建立不等式,得到 ,再设 , , 三种花卉 的总产值之和 百元,得到 关于 的二次函数,根据二次函数的图形性质即可得到答案. 【详解】(1)解:∵育苗区的边长为 ,活动区的边长为 , ∴花卉 的面积为: , 故答案为: ; (2)由(1)知:花卉 的面积为: , 花卉 的面积为: , ∵ , 花卉每平方米的产值分别是 百元、 百元, ∴ , 两种花卉的总产值分别为 百元和 百元, ∵ , 两种花卉的总产值相等,∴ 解得: (舍去), , ∴当育苗区的边长为 时, , 两种花卉的总产值相等; (3)根据题意得: , 解得: , 设 , , 三种花卉的总产值之和 百元, ∴ , 整理,得: , ∵ , ∴当 时, 随 的增加而减小, ∴当 时, 最大,且 (百元), ∴ , , 三种花卉的总产值之和的最大值是 百元. 【点睛】本题考查一元二次方程和二次函数的应用,正方形和长方形的面积,解题的关键是根据题意建立 正确的方程和函数表达式. 2.(2023·福建龙岩·统考模拟预测)如图1,经过原点O的抛物线 (a、b为常数, ) 与x轴相交于另一点 .在第一象限内与直线 交于点 ,抛物线的顶点为C点.(1)求抛物线的解析式; (2)抛物线上是否存在点D,使得 ?若存在,求出所有点D的坐标;若不存在,请说明理由; (3)如图2,点E是点B关于抛物线对称轴的对称点,点F是直线OB下方的抛物线上的动点,EF与直线 OB交于点G.设 和 的面积分别为 和 ,求 的最大值. 【答案】(1) (2) 或 (3) 【分析】(1)先求得点 ,再利用待定系数法即可求解; (2)分点D在直线 下方、上方两种情况,分别求解即可; (3)如图,分别过点E,F作y轴的平行线,交直线 于点M,N,则 , ,设 ,可表达 ,再利用二次函数的性质可得出结论. 【详解】(1)解:∵直线 经过点 ,∴ , ∴点 , ∵抛物线 经过点 和点 以及原点, ∴ ,解得 , ∴抛物线的解析式为 ; (2)解:∵抛物线 , ∴顶点C的坐标为 , 设直线 的解析式为: , 则将 , 代入 得, ,解得 , ∴直线 的解析式为: . ①当点D在直线 的下方时,过点B作 轴,交x轴于点F,延长 ,交 于G,设 交x轴 于点E,如图,∵ , ∴ ,即 , , ∵ , ∴ , ∴ , ∴ . 在 中,当 时, ,得: , ∴ , 则 , ∴ , 同理求得直线 的解析式为: , 联立: ,解得 或 (舍去), ∴ ; ②当点D在直线 的上方时,∵ , ∴ , ∵直线 的解析式为: , ∴直线 的解析式为: , 联立: ,解得: 或 (舍去), ∴ . 综上,当点D的坐标为 或 时,使得 ; (3)解:∵点 与点E关于对称轴直线 对称, ∴ , 如图,分别过点E,F作y轴的平行线,交直线 于点M,N,∴ , , 设 ,则 , ∴ , ∵ , , ∴ , ∴当 时, 的最大值为 . 【点睛】本题属于二次函数综合题,主要考查二次函数的性质,二次函数图象上点的坐标特征,三角形的 面积和全等三角形的判定及性质,解题的关键正确表达两个三角形面积的比. 3(2023·湖南长沙·校考三模)我们约定:图象关于 轴对称的函数称为偶函数. (1)下列函数是偶函数的有________(填序号);① ;② ;③ ;④ . (2)已知二次函数 ( 为常数)是偶函数,将此偶函数向下平移得到新的二次函数 ,新函数的图象与 轴交于 , 两点( 在 的左侧),与 轴交于点 ,若以 为直 径的圆恰好经过点 ,求平移后新函数的解析式; (3)如图,已知偶函数 ( )经过 , ,过点 的一次函数的图象与二次函 数的图象交于 , 两点( 在 的左侧),过点 分别作 轴于点C, 轴于点 ,取 的中点 ,连接 、 ,分别用 , , 表示 , , 的面积,若 . ①证明: ; ②求直线 的解析式. 【答案】(1)②③ (2) (3)①见解析;② 或 【分析】(1)根据题目中偶函数的定义即可求出答案. (2)根据偶函数的特性即可得出原二次函数 ,再利用平移性质设新二次函数 ,根据 已知条件“新函数的图象与 轴交于 , 两点( 在 的左侧),与 轴交于点 ”即求得 , , ,结合“以 为直径的圆恰好经过点 ,且 和 是对称点”可发现圆心到点 的距离等于圆心到点 的距离,即 求出 值,从而求出新的二次函数的解析式. (3)①根据偶函数的特性以及经过 , 即可得出原二次函数 ,再根据一次函数与二次函 数交点,可设 、 、 的坐标,利用根与系数的关系得出 最后将 、 、 的坐标表示三 个三角形面积即可求出答案;②利用 即可求出 ,从而求出 值,最后求出一次函数的解 析式. 【详解】(1)解: 图象关于 轴对称的函数称为偶函数, 和 关于 轴对称, 和 为偶函数, 故答案为:②③. (2)解: 二次函数 ( 为常数)是偶函数, ,解得: , 二次函数解析式为: , 抛物线向下平移, 平移得到新的二次函数为 , 由题意知,新函数的图象与 轴交于 , 两点( 在 的左侧),与 轴交于点 , , , , 以 为直径的圆恰好经过点 ,且 和 是对称点, 轴经过以 为直径的圆的圆心, 圆心到点 的距离等于圆心到点 的距离,,即 . 平移后新函数的解析式为: . 故答案为: . (3)解:① 偶函数 经过 , , ,即 , ,解得: , , 设过点 的一次函数解析式为: , 将 代入,得: ,即 , 设 , , 则 , , , , 用 , , 表示 , , 的面积, ∴ , , , ,又 , , 即 . ② , ,即 ,即 , 过点 的一次函数解析式为: , 或 . 故答案为: 或 . 【点睛】本题考查了二次函数的应用,涉及到的知识点有二次函数的图像性质、二次函数与 轴交点问题, 二次函数根与系数关系、一次函数,二次函数和面积问题,解题的关键在于熟练掌握二次函数的相关知识 点. 【经典例题六 二次函数的线段最值问题】 【例6】(2023春·福建福州·八年级福建省福州杨桥中学校考期末)已知抛物线 和直 线 ,且 . (1)求抛物线的顶点坐标; (2)试说明抛物线与直线有两个交点; (3)已知点 ,且 ,过点 作 轴的垂线,与抛物线交于点 ,与直线交于点 ,当 时, 求线段 长的最大值. 【答案】(1)(2)见解析 (3) 的最大值为6 【分析】(1)化为顶点式即可求顶点坐标; (2)由抛物线 和直线 得: ,整理得, ,即可知抛物线与直线有两个交点; (3)由(2)可得:抛物线与直线交于 和 两点,点P的坐标为 ,点Q 的坐标为 .故分两种情况进行讨论:①如图1,当 时;②如图2,当 时,求 出对应的最大值即可. 【详解】(1)解:∵ , ∴抛物线的顶点坐标为 . (2)解:由 和 可得: , , , ∵ , ∴ , , ∴抛物线与直线有两个交点. (3)解:由(2)可得:抛物线与直线交于 和 两点, 点P的坐标为 ,点Q的坐标为 , ①如图1,当 时, , ∵ , 当 时, 有最大值,且最大值为 . ∵ , ∴ ,即 的最大值为 ; ②如图2, 当 时, , ∵ , ∴当 时, 有最大值,且最大值为 , ∵ , ∴ ,即 的最大值为6. 综上所述, 的最大值为6. 【点睛】此题主要考查二次函数的相关知识,(1)(2)题相对简单,(3)题要分情况进行讨论并解答,因此做此类题型,在进行分类讨论时,尽量通过大致图象数型结合进行解答. 【变式训练】 1.(2020秋·广东广州·九年级广州市第二中学校考阶段练习)已知抛物线 与x轴交于A、B两 点,顶点为C,连接 ,点P在线段 下方的抛物线上运动. (1)如图1,连接 , ,若 ,求点P的坐标. (2)如图2,过点P作 轴交 于点Q, 交 于点H,求 周长的最大值. (3)如图3,直线 , 分别与y轴交于点E,F,当点P运动时, 是否为定值?若是,试求出该 定值;若不是,请说明理由. 【答案】(1) 或 ; (2)最大值为 ; (3)当点P运动时, 为定值,定值为8. 【分析】(1)如图,作 轴,交直线 于点D,由 ,得 , ,待定系数法 确定直线 解析式为 ,设 ,则 , ,得 ,解得 或3,于是 或 . (2)如图,可证得 是等腰直角三角形, , 周长 ,同(1),设 , 周长 ,得当 时,最大值 为 . (3)当点P运动时, 为定值.如图,过点P作 ,交 于点I,同(1),令 ,则 ,可证 ,得 ,同理, ,得 ,于是 . 【详解】(1)解:如图,作 轴,交直线 于点D, 由 , 时, ,得 , ,则 ,解得 或 ,得 , 设直线 解析式为 ,则 ,解得 ∴ 设 ,则 , ∴ , 解得, 或3, 或 ∴ 或 .(2)解:如图, , ∴ ∵ 轴 ∴ ∴ ∴ ∴ 周长 同(1),设 ,则 , ∴ 周长 ∴当 时,点P在线段 下方的抛物线上,此时 周长有最大值,最大值为 . (3)解:当点P运动时, 为定值. 如图,过点P作 ,交 于点I,同(1),令 ,则 ∵ , ∴ ∴ ∴ 同理, ,得 ∴ ∴ .【点睛】本题考查二次函数的性质,待定系数法确定函数解析式,相似三角形判定和性质,等腰直角三角 形,勾股定理,添加辅助线,构造相似三角形是解题的关键. 2.(2023·重庆渝中·重庆巴蜀中学校考三模)如图,在平面直角坐标系中,拋物线 与 轴交于 两点,与y轴交于点C. (1)求 的面积; (2)点P是直线 下方抛物线上一动点,过 作 于点 ,求线段 的最大值及此时点P的坐标; (3)将抛物线沿射线 平移 个单位得到新抛物线 ,新抛物线 与原抛物线 交于点 ,将 沿 直线 平移得到 (不与 重合),若以点 , , 为顶点的三角形是以 为腰的等腰 三角形,请直接写出所有符合条件的点 的坐标,并写出求解点 坐标的其中一种情况的过程. 【答案】(1)18 (2) ,此时 (3) 或 或【分析】(1)分别令 和 解方程可得点 、 、 的坐标,再用三角形面积公式求出面积即可; (2)过点 作 轴交 于点 ,数形结合思想找到 和 的数量关系,求 最大值转化为求 最大值问题,利用配方法求最值即可; (3)根据相似三角形的性质,把图象的平移转化为水平和左右平移,则向下平移 个单位长度,向左平 移 个单位长度,得出新抛物线解析式,求出两个抛物线的交点坐标,再设 向下平移 个单位长 度,向左平移 个单位长度,则 , ,然后根据等腰三角形的性质建立关于 的 方程求解,即可解答. 【详解】(1)解:当 时, , 当 时, ,解得: , , , , , , , ; (2)解:过点 作 轴交 于点 , , , , ,∵ 轴, , , ,则当 最大时, 也最大, 设直线 的解析式为 , ,解得 , 直线 的解析式为 , 设 , , , 当 时, 最大,则 , 线段 的最大值为 ,此时点 的坐标为 ; (3) , 将抛物线沿射线 平移 个单位得到新抛物线, 即原抛物线向下平移 个单位长度,向左平移 个单位长度, 原抛物线 , 新抛物线 , 令 , 解得 , ,设 向下平移 个单位长度,向左平移 个单位长度, 则 , , , , , , ①当 时, , (舍去)或 , 点 的坐标为 ; ②当 时, , 或 , 点 的坐标为 或 ; 综上所述:点 的坐标为 或 或 . 【点睛】本题是二次函数的综合题,考查了二次函数的性质,三角形的面积,二次函数最值,等腰三角形 的性质,熟练掌握二次函数的图象及性质,等腰三角形的性质,平移的性质是解题的关键. 3.(2023·湖北襄阳·统考二模)函数 ( 为常数, ). (1)求出此函数图像的顶点坐标(用含 的式子表示);(2)当 时,此函数图像交 轴于点 (点 在点 的左侧),交 轴于点 ,点 为 轴下方图像 上一点,过点 作 轴交线段 于点 ,求线段 的最大值; (3)点 ,连接 ,当此函数图像与线段 恰有两个公共点时,求出a的取 值范围. 【答案】(1) (2) (3) 【分析】(1)利用一般式顶点坐标公式代值求解即可得到答案; (2)根据题意,求出相应点的坐标,求出直线 的表达式,利用两点之间距离公式表示出线段 ,再 结合二次函数最值求解即可得到答案; (3)根据题意,分两种情况讨论,数形结合列出不等式组,再根据函数图像与线段 恰有两个公共点的 意义即可得到取值范围. 【详解】(1)解: ( 为常数, ), 函数图像的顶点坐标 ; (2)解:当 时, , 当 时, ,即 ;当 时, ,即 ,解得 或 , 点 在点 的左侧, , 设直线 表达式为 ,则 ,解得 , , 点 为 轴下方图像上一点,过点 作 轴交线段 于点 ,设 ,则, , , 二次函数图像开口向下,当 时,函数有最大值为 ; ∴ 的最大值为 . (3)解: 点 纵坐标相等, 连接 后, 轴, 根据题意,分两种情况: ①当 时,抛物线开口向上,如图所示: ,解得 , 函数图像与线段 恰有两个公共点, 有两个不相等的实数根,即 有两个不相等的实数根,, ,则 ,即 , 此种情况不存在; ②当 时,抛物线开口向下,如图所示: ,解得 , 函数图像与线段 恰有两个公共点, 有两个不相等的实数根,即 有两个不相等的实数根, , ,则 ,即 , ; 综上所述,当此函数图像与线段 恰有两个公共点时,a的取值范围是 . 【点睛】本题考查二次函数综合,涉及求顶点坐标、二次函数最值及图像与线段交点问题,数形结合,熟 练掌握二次函数常见题型的解法是解决问题的关键. 【经典例题七 二次函数的最值综合问题】【例7】(2023春·湖南长沙·八年级长沙市实验中学校考期末)在平面直角坐标系中,抛物线 ( )经过点 , 和 . (1)求抛物线的表达式; (2)若直线 与x轴交于点N,在第一象限内与抛物线交于点M,当 有最大值时,求出抛物线 上点M的坐标; (3)若点P为抛物线 ( ))的对称轴上一动点,将抛物线向左平移1个单位长度后,Q 为平移后抛物线上一动点,在(2)的条件下求得的点M,是否能与A,P,Q构成平行四边形?若能构成, 求出Q点坐标;若不能构成,请说明理由. 【答案】(1) (2) (3) , 或 , 或 , 【分析】(1)利用待定系数法,即可求出抛物线的表达式; (2)由“直线 与 轴交于点 ,在第一象限内与抛物线交于点 ”,可得出点 , 的坐标,进 而可得出 , 的值,代入 中,可得出 ,再利用二次函数的性质,即 可求出m,代入可得M点的坐标; (3)利用平移的性质,可得出平移后抛物线的表达式为 ,利用二次函数图象上点的坐标特征, 可求出点 的坐标,假设存在以 , , , 为顶点的平行四边形,设点 的坐标为 ,点 的坐标为 ,分 为对角线、 为对角线及 为对角线三种情况考虑,由平行四边形的对角线互 相平分,可得出关于 的一元一次方程,解之可得出 值,再将其代入点 的坐标中,即可得出结论. 【详解】(1)解:将 , , 代入 得: ,解得: , 抛物线的表达式为 ; (2) 直线 与 轴交于点 ,在第一象限内与抛物线交于点 , 点 的坐标为 ,点 的坐标为 , , , , ,且 , 当 时, 有最大值,此时 ; (3) , 抛物线向左平移1个单位长度后的表达式为 . 当 时, , 点 的坐标为 , . 假设存在以 , , , 为顶点的平行四边形,设点 的坐标为 ,点 的坐标为 . ①当 为对角线时,对角线 , 互相平分, , 解得: ,点 的坐标为 , ; ②当 为对角线时,对角线 , 互相平分, , 解得: , 点 的坐标为 , ; ③当 为对角线时,对角线 , 互相平分, , 解得: , 点 的坐标为 , . 综上所述,存在以 , , , 为顶点的平行四边形,点 的坐标为 , 或 , 或 , . 【点睛】本题考查了二次函数图象上点的坐标特征、待定系数法求二次函数解析式、二次函数的性质以及 平行四边形的判定与性质,解题的关键是:(1)根据点的坐标,利用待定系数法求出抛物线的表达式; (2)利用二次函数的性质,求出 的最大值;(3)利用平行四边形的性质(对角线互相平分), 找出关于 的一元一次方程. 【变式训练】 1.(2023·湖南郴州·统考二模)如图,抛物线 与 轴交于 , 两点,过点 的 直线 交抛物线于点 .(1)求抛物线的解析式; (2)若点 是直线 下方抛物线 的一个动点,当 面积最大时,求点 的坐标及 面积最大值. (3)若点 是抛物线上的动点,在抛物线 的对称轴上是否存在点 ,使得以点 , , , 为顶点的四边形是平行四边形?如果存在,请直接求出所有满足条件的点 的坐标;如果不存在,请说 明理由. 【答案】(1) (2) , (3)存在, 点坐标为 或 或 【分析】(1)利用待定系数法求函数解析式即可; (2)过点 作 轴,垂足为 ,交 于点 ,先求出 点坐标,即可求出直线 的解析式,设 点坐标为 ,则点 坐标为 ,点 坐标为 , ,表示出 ,即可求出最大值; (3)设 点坐标为 , 点坐标为 ,以 、 、 、 点的平行四边形, ,根据平行四边形是中心对称图形,可以分以 为对角线时,以 为对角线时,以 为对角线 时三种情况讨论,分别计算出结果即可. 【详解】(1)解: 抛物线 与 轴交于 , 两点, 将 , 代入 得, , 解得: , 抛物线的解析式为 ; (2)(2)如图1:过点 作 轴,垂足为 ,交 于点 , 在抛物线上, , , 直线 经过 , , 设直线 的表达式为 , ,解得: , 直线 的表达式为 , 设 点坐标为 , 则点 坐标为 ,点 坐标为 , , , , 当 时, 的面积有最大值, 最大值为 ; (3)答:存在. 解:设 点坐标为 , 点坐标为 , 以 、 、 、 点的平行四边形, , , 根据平行四边形是中心对称图形,可以分三种情况来讨论: ①如图 :以 为对角线时, ,得 , 点坐标为 , ,得 ,点坐标为 , ②如图 :以 为对角线时, ,得 , 点坐标为 , 得 , 点坐标为 , ③如图 :以 为对角线时, ,得 , 点坐标为 , ,得 , 点坐标为 , 点坐标为 , , . 【点睛】本题考查了待定系数法求二次函数的解析式,二次函数的图像和最值,二次函数和平行四边形综 合题中存在性问题等知识,解题的关键是对二次函数和平行四边形性质的灵活运用. 2.(2023·四川内江·统考中考真题)如图,在平面直角坐标系中,抛物线 与x轴交于 , 两点.与y轴交于点 .(1)求该抛物线的函数表达式; (2)若点P是直线 下方抛物线上的一动点,过点P作x轴的平行线交 于点K,过点P作y轴的平行线 交x轴于点D,求与 的最大值及此时点P的坐标; (3)在抛物线的对称轴上是否存在一点M,使得 是以 为一条直角边的直角三角形:若存在,请求 出点M的坐标,若不存在,请说明理由. 【答案】(1) (2)存在, 的最大值为 , (3) 或 【分析】(1)将 、 、 代入抛物线解析式求解即可; (2)可求直线 的解析式为 ,设 ( ),可求 ,从而可求 ,即可求解; (3)过 作 交抛物线的对称轴于 ,过 作 交抛物线的对称轴于 ,连接 , 设 , 可求 , ,由 ,可求 ,进而求出直线 的解析式,即可求解.【详解】(1)解:由题意得 , 解得: , 抛物线的解析式为 . (2)解:设直线 的解析式为 ,则有 , 解得: , 直线 的解析式为 ; 设 ( ), , 解得: , , , ,, , , 当 时, 的最大值为 , , . 故 的最大值为 , . (3)解:存在, 如图,过 作 交抛物线的对称轴于 ,过 作 交抛物线的对称轴于 ,连接 , ∵抛物线 的对称轴为直线 ,设 , , , , , , 解得: , ; 设直线 的解析式为 ,则有 , 解得 , 直线 解析式为 , ,且经过 , 直线 解析式为 , 当 时, , ; 综上所述:存在, 的坐标为 或 . 【点睛】本题考查了待定系数法求函数解析式,二次函数中动点最值问题,直角三角形的判定,勾股定理 等,掌握解法及找出动点坐标满足的函数解析式是解题的关键.3.(2023·浙江·一模)如图,已知抛物线 的对称轴为直线 ,且与x轴交于A,B两点, 与y轴交于C点,其中 ,连结 . (1)求点C的坐标及此抛物线的表达式; (2)点D为y轴上一点,若直线 和直线 的夹角为 ,求线段 的长度; (3)当 时,函数的最大值与最小值的差是一个定值,直接写出n的取值范围. 【答案】(1)点 ; (2) 或 (3) 【分析】(1)根据题意,用待定系数法求函数解析式即可; (2)根据 是等腰直角三角形,直线 和直线 的夹角为 ,推出 或 , 进行分类讨论即可解答; (3)根据函数的性质和函数图象以及函数的最大值与最小值的差是一个定值得出结论; 【详解】(1)∵对称轴为直线 , ∴ , , ∵抛物线 与y轴交于C点, 代入得: , ∴抛物线的解析式为 , 由抛物线的表达式知,点 ; (2) ,是等腰直角三角形, 则 , ∵直线 和直线 的夹角为 , 或 , 在 中, , , 当 时,如图1所示: ∵ , 则 , 则 ; 当 时,如图2所示:, , ∴ 的长度为 或 ; (3)当 和 在对称轴两侧时, 此时,抛物线在 时,取得最小值, 当 和 关于 对称时,最大值相等且为定值,即 时,y的值为最大值, 此时,函数的最大值与最小值的差是一个定值, 此时 , 即 ,函数的最大值与最小值的差是一个定值. 【点睛】本题是二次函数综合题目,考查了待定系数法求二次函数的解析式,方程组的解法、二次函数的 图象与性质、勾股定理、三角函数以及分类讨论;本题综合性强,注意分类讨论;解题的关键是数形结合 思想的应用. 【培优检测】 1.(2023·浙江温州·校联考二模)已知函数 ,且 时, 取到最大值 ,则 的值可能为( ) A. B. C. D. 【答案】D 【分析】先根据抛物线的解析式求得抛物线开口向下,对称轴为直线 根据二次函数的性 质可得 ,即 ,即可选出最后答案. 【详解】解: 函数 中 ,抛物线开口方向向下,对称轴直线为 , 当 时, 随 增大而增大,当 时, 随 增大而减小, 当 时, , 取到最大值 , ,即 , 故选: . 【点睛】本题考查了二次函数的性质,二次函数的最值,找到对称轴确定二次函数的最值是解答本题的关 键. 2.(2023·浙江绍兴·统考一模)已知函数 ,当 时,函数的最大值是8,最小值是 , 则 的值可能是( ) A.1 B.4 C.7 D.10 【答案】C 【分析】根据 ,结合 ,当 时,取得最小值是 ,判定 ; ,得到 ,确定 ,判定即可. 【详解】∵ , , ∴当 时,取得最小值是 , ∴ ; ∵ , 解得 , , 当 时,取得最大值是8, ∴ , 故选C. 【点睛】本题考查了抛物线的最值,正确理解最值的意义是解题的关键. 3.(2023·浙江杭州·统考一模)已知抛物线 ,该抛物线经过平移得到新抛物线 ,新抛物线与x轴正半轴交于两点,且交点的横坐标在1到2之间,若点 , 在抛物线 的图象上,则 的范 围是( ) A. B. C. D. 【答案】C 【分析】设平移后解析式为 ,由新抛物线与x轴正半轴交于两点,且交点的横坐标在1到2 之间得 ,由点 , 在抛物线 的图象上可得 , ,最后表 示出 的长度求范围即可. 【详解】∵抛物线 ,该抛物线经过平移得到新抛物线 , ∴平移后解析式为 , ∵新抛物线与x轴正半轴交于两点,且交点的横坐标在1到2之间, ∴ , ∵点 , 在抛物线 的图象上 ∴ , , ∴ , ∴当 时, 最小, 当 或 时, 最大, ∴ , 故选:C. 【点睛】本题考查了二次函数的综合题:熟练掌握二次函数图象上点的坐标特征、二次函数的性质和二次 函数的平移,表示出 是解题的关键. 4.(2022秋·浙江丽水·九年级期末)已知 ,且 ,令 ,则函数S的取值范围是( ) A. B. C. D. 【答案】C 【分析】先求出 与 的关系式,然后将二次函数化成顶点式,根据二次函数的最值即可解答. 【详解】解: , , 当 时, 有最小值,等于 , , 当 时, 有最大值,等于1, , 故选:C. 【点睛】本题考查了二次函数的图象性质,二次函数的最值,求出 与 的关系式,并将二次函数化成顶 点式是解题的关键. 5.(2023春·浙江·九年级开学考试)若函数 在x的一定取值范围内有最大值为0,最小值为 ,满足条件的x的取值范围可以是( ) A. B. C. D. 【答案】A 【分析】设 ,则 ,求出当 时,y有最小值 ;进一步求出当 时, ,由此即可得到答案. 【详解】解:设 , ∴ , ∴当 时,即 时,y有最小值 ;当 时, ∴ , 解得 (负值舍去), ∴当 时, , ∵ , ∴当 时,t随x增大而减小,当 时,t随x增大而增大, ∴若函数 在x的一定取值范围内有最大值为0,最小值为 ,满足条件的x的取值范围是 , ∴当 可以满足题意, 故选A. 【点睛】本题主要考查了二次函数的最值问题,正确求出当 时,y有最小值 ;求出当 时, 是解题的关键. 6.(2022秋·浙江衢州·九年级统考期末)已知二次函数 ,当 时,y的最小值为 ,则a的值为( ) A.0或1 B.0或4 C.1或4 D.0或1或4 【答案】B 【分析】根据题意易得二次函数的对称轴为直线 ,然后根据二次函数的增减性可进行求解. 【详解】解:由二次函数 可知对称轴为直线 ,开口向上; ∵当 时, ∴当 时,y有最小值1,即 ,所以 ; 当 时,二次函数在 上y随x的增大而增大,即当 时,有最小值;则有 ,方程无解; 当 时,二次函数在 上y随x的增大而减小,即当 时,有最小值;则有 , 解得: (不符合题意,舍去);综上所述:a的值为0或4; 故选B. 【点睛】本题主要考查二次函数的图象与性质,熟练掌握二次函数的图象与性质是解题的关键. 7.(2023·浙江金华·校联考二模)在平面直角坐标系中,设二次函数 , (a,b是实数, )的最小值分别为m和n,则( ) A.若 ,则 B.若 ,则 C.若 ,则 D.若 ,则 , 【答案】B 【分析】分别求出 , ,由题意可得 ,且 ,即可得 ,从而求 出 . 【详解】解: 函数 和函数 的最小值分别为 和 , , , 当 , , , 或 , 函数 和函数 都有最小值, , , , . 同理判断及其他选项,可知其他选项都不正确, 故选:B. 【点睛】本题考查二次函数图象上点的坐标特点,熟练掌握二次函数对称轴、最大(小)值的求法是解题 的关键. 8.(2023秋·浙江绍兴·九年级校考期末)如图,矩形 中,已知 , ,点 是边 上一点,以 为直角边在与点 的同侧作等腰直角 ,连接 ,当点 在边 上运动时,线段 长 度的最小值是( ) A. B. C. D. 【答案】B 【分析】如图作 交 的延长线于 , 于 ,交 于 .则 .设 由 ,推出 ,在 中,勾股定理求得 ,利用二次函数的性质即可求解. 【详解】解:如图作 交 的延长线于 , 于 ,交 于 .则 .设 , , , , , , , 在 中,时, 有最大值,最大值为 , 故选:B. 【点睛】本题考查旋转变换,正方形的性质,勾股定理,全等三角形的判定和性质,二次函数的应用等知 识,解题的关键是学会添加常用辅助线构造全等三角形解决问题,学会构建二次函数解决最值问题. 9.(2022秋·浙江杭州·九年级校联考期中)二次函数 的最小值是______,最大 值是______. 【答案】 1 【分析】根据二次函数图像与性质,在 范围内求出最值即可得到答案. 【详解】解: , 抛物线开口向上,对称轴为 ,顶点坐标为 , , 当 时, ,即二次函数 的最小值是 ; 到 的距离为 ; 到 的距离为 , 当 时,代入 得 ,即二次函数 的最大值是 ; 时,函数 的最小值为 ,最大值为 , 故答案为: , . 【点睛】本题考查二次函数图像与性质,熟练掌握二次函数最值求法是解决问题的关键. 10.(2022秋·浙江温州·九年级统考期中)已知当 时,二次函数 的函数值y大于 0,则 的取值范围为______. 【答案】 【分析】首先得到二次函数开口向上,对称轴为 ,然后根据二次函数的性质和 ,分, 和 在区间 三种情况讨论,分别列出不等式求解即可. 将 代入函数的解析式,令 即可求得 的取值范围. 【详解】解:二次函数 的图象是一条开口向上的抛物线, ①当抛物线的对称轴 时,即 , 要使二次函数解析式的值 时恒大于0,只要 , , 解得: , ∴ ; ②当抛物线的对称轴 时,即 时, 要使二次函数解析式的值 时恒大于0,只要 即可; ③当抛物线的对称轴 在区间 时, , , , 综上所述: 的取值范围是: . 【点睛】本题主要考查的是二次函数的性质和二次函数的最值,掌握二次函数的性质是解题的关键. 13.(2022秋·九年级统考期中)如图,利用 的墙角修建一个四边形 的花坛,使得 , ,如果新建围墙折线 总长15米,那么当 _______米时,花坛的面积会达到最大. 【答案】5 【分析】过点A作 于E,则四边形 为矩形,再证明 是等腰直角三角形,得出,则 ,然后根据梯形的面积公式即可求出S与x之间的函数关系 式,根据二次函数的性质直接求解. 【详解】解:如图: 过点A作 于E,则四边形 为矩形, , 则 , 设 , 在 中, 又∵ , ∴ , ∴ , ∴ , ∴梯形 面积 , , ∵ , 抛物线开口向下, ∴S有最大值, ∴当 时, . 也就是当CD长为 时,才能使储料场的面积最大, 故答案为:5. 【点睛】此题考查二次函数的运用,利用梯形的面积建立二次函数,进一步利用函数的性质解决问题.11.(2022秋·浙江杭州·九年级校考阶段练习)已知函数 ( 为常数),当 时, 随 的 增大而增大, 是该函数图象上的两点,对任意的 和 , 总 满足 ,则实数 的取值范围是_______. 【答案】 【分析】由 时, 随 的增大而增大,可得 ,即 ;又由二次函数的增减性可知, 时, 时, ;根据 ,建立不等式,并求出 的取值范围,即可 得出结论. 【详解】解:有题意可得,抛物线开口向上, ∵当 时, 随 的增大而增大, ∴对称轴 ,即 ; ∵ , ∴当 时, 时, ; 时, , ∵ , ∴ , 解得, , ∴ . 故答案为: . 【点睛】本题主要考查二次函数图象的性质及二次函数最值问题,弄清楚二次函数的增减性与二次函数的 最值何时取到是解题基础. 12.(2023秋·河北保定·九年级统考期末)若二次函数 的图象经过 , 两点,则代 数式 的最小值为______. 【答案】1【分析】先根据二次函数图象上点的坐标特征求得 , ,再利用配方法和二次函数的性质求 解即可. 【详解】解:∵二次函数 的图象经过 , ∴ ,则 , ∴ , ∵二次函数 的图象经过 , ∴ ,即 ,且 , ∴ ∵ , , ∴当 时, 有最小值,最小值为1. 故答案为:1. 【点睛】本题考查二次函数图象上点的坐标特征、二次函数的性质,理解题意,熟练掌握利用二次函数的 性质求解最值是解答的关键. 13.(2022秋·九年级单元测试)如图,在平面直角坐标系中,二次函数 的图象与 轴、 轴分别交于 、 、 三点,点 是其顶点,若点 是 轴上一个动点,则 的最小值为 __________.【答案】 【分析】先求出 , ,如图所示,作点C关于x轴的对称点E,连接 ,则 , 然后证明当D、P、E三点共线时 最小,即 最小,最小值为 ,利用勾股定理求出 的 长即可得到答案. 【详解】解:在 中,当 时, , ∴ ; ∵抛物线解析式为 , ∴ ; 如图所示,作点C关于x轴的对称点E,连接 ,则 , ∴ , ∴ , ∴当D、P、E三点共线时 最小,即 最小,最小值为 , ∴ 的最小值 , 故答案为: . 【点睛】本题主要考查了二次函数与几何综合,正确作出辅助线确定当D、P、E三点共线时 最小, 即 最小,最小值为 是解题的关键. 14.(2023秋·湖北武汉·九年级校联考期末)已知抛物线 , , 是常数, 经过点 ,下列结论: ① : ②关于 的一元二次方程 有两个不相等的实数根; ③当 时, 随 的增大而减小; ④ 为任意实数,若 ,则代数式 的最小值是 . 其中正确的是________(填写序号). 【答案】①②④ 【分析】将点 代入解析式得出 ,即可判断①,进而计算 ,即可判断②,根据题意,得 出对称轴为 ,即可判断③,根据题意求得对称轴进而得出函数的最小值,即可判断④ 【详解】解:将点 代入 ,得 , ∴ , ∵ , ∴ ,故①正确, ∵ , ∵ , ∴ ,故②正确, ∵ ,则 , ∴对称轴为 ,即对称轴为直线 ,故③不正确; ∵ , ∴ , ∴抛物线的对称轴为直线 , ∵ , ∴ 的最小值为 ∴代数式 的最小值是 .故④正确, 故正确的有①②④, 故答案为:①②④.【点睛】本题考查了二次函数图象与性质,掌握二次函数的性质是解题的关键. 15.(2023·四川成都·校考三模)定义:将函数 的图象绕点 旋转 ,得到新的函数 的图象, 我们称函数 是函数 关于点P的相关函数.如果当 时,函数 关于点 的相关函数的最大值为8,则m的值为______. 【答案】 或 【分析】先求出该函数顶点坐标,再根据题目所给新定义和旋转的性质,求出其相关函数的表达式,最后 根据对称轴的不同位置,进行分类讨论即可. 【详解】解:∵ , , ∴该函数顶点坐标为 , 设该函数关于点 的相关函数顶点坐标为 , ∴ , , 解得: , , ∴设该函数关于点 的相关函数顶点坐标为 , ∴设该函数关于点 的相关函数为 ; ①当 时, , ∵ ,开口向下, ∴当 时,y有最大值, , 解得: , (舍); ②当 时, 时, 当 时,y有最大值, ,解得: (舍), (舍), ③当 时, , ∵ ,开口向下, ∴当 时,y有最大值, , 解得: (舍), (舍); 综上: 或 . 故答案为: 或 . 【点睛】本题主要考查了二次函数的图象和性质,旋转的性质,解题的关键是根据他题意得出该函数以及 其相对函数的顶点坐标连线中点为 ,根据对称轴的不同位置进行分类讨论. 16.(2023·安徽·模拟预测)已知点 是抛物线 上一动点. (1)当点M到y轴的距离不大于1时,b的取值范围是______; (2)当点M到直线 的距离不大于 时,b的取值范围是 ,则 的值为______. 【答案】 / 0或5/5或0 【分析】(1)先求出抛物线的对称轴为直线 ,根据点M到y轴的距离不大于1,得出 ,根 据二次函数的增减性,求出b的取值范围即可; (2)根据点 到直线 的距离不大于 ,得出 ,即 ,从而得出 ,然后根据 ,求出a的范围,即可得出 . 【详解】解:(1)∵ , ∴抛物线的对称轴为直线 , ∵点M到y轴的距离不大于1, ∴ , ∴此时点M在对称轴的左侧, ∵ ,∴在对称轴的左侧 随x的增大而减小, ∴当 时,b取最大值,且最大值为 , 当 时,b取最小值,且最小值为 , ∴b的取值范围是 ; 故答案为: ; (2)∵点 到直线 的距离不大于 , ∴ ,即 , ∴ , 令 ,代入 ,即 ,解得: , , 令 ,代入 ,即 ,解得: , , ∴点M应为 或 上的动点, 当 时, , 当 时, , 综上分析可知, 的值为0或5; 故答案为:0或5. 【点睛】本题主要考查了二次函数的性质,解题的关键是熟练掌握二次函数的增减性,二次函数 ,当 时,在对称轴的左侧y随x的增大而减小,在对称轴的右侧y随x的增大而 增大;当 时,在对称轴的左侧y随x的增大而增大,在对称轴的右侧y随x的增大而减小. 17.(2023·四川成都·模拟预测)已知平面直角坐标系 中,抛物线 经过点 ,且 .若点 , 均在该抛物线上,且 ,则 最大值为________. 【答案】11 【分析】先利用待定系数法求出抛物线的解析式,找出对称轴 ,再根据 , 关于对称轴对称得出 ,将其代入 ,得到关于 的函数解析式,再化成顶点式,根据 的取值范 围,结合函数图象即可求出 的最大值. 【详解】解:∵抛物线 经过点 ,且 , ∴ , 解得: , ∴抛物线的解析式为 , ∵ , ∴抛物线的对称轴为 , ∵点 , 均在该抛物线上,且 , ∴点 , 关于直线 对称, 在对称轴左侧, 在对称轴右侧, ∴ , , , ∴ ,其中 , ∴ ,其中 , ∵ 的图象开口向上,对称轴为直线 , ∴当 时, 的值随x的增大而增大, ∴当 时, 取得最大值,最大值为 .故答案为:11. 【点睛】本题考查二次函数的图象和性质,涉及将一般式转化为顶点式,求对称轴,求最值等知识点,解 题的关键是利用点 , 对称,得到 . 解得 , 18.(2023·河南南阳·统考二模)如图,抛物线 与 轴交于 , 两点,与 轴交于点 ,抛 物线的顶点为 ,已知点 , . (1)求抛物线的解析式; (2)当 时,求 的最大值与最小值; (3)点 是抛物线上一动点,且到 轴的距离小于3,请直接写出点 的横坐标 的取值范围. 【答案】(1) (2) 的最大值为0,最小值为 (3) 或 【分析】(1)利用待定系数法即可求出抛物线的解析式. (2)将抛物线 转化为顶点式,即可求出 的最小值,再根据自变量的取值范围即可求出 的最大值. (3)根据题意列出有关 的不等式组,解出不等式的解集即可求出答案. 【详解】(1)解: 抛物线 经过点 、,解得 , 抛物线的解析式为 . 故答案为: . (2)解: 抛物线的对称轴为直线 ,开口向上, , 当 时, , 当 时, , 当 时, , 的最大值为0,最小值为 . 故答案为: 的最大值为0,最小值为 . (3)解: 点 是抛物线上一动点,且到 轴的距离小于3, . 当 时,解得 或 . 当 时,令 ,则 , . , , 到 轴距离大于3, 点在 的左边或在 的右边. 综合①和②可知, 或 . 故答案为: 或 . 【点睛】本题考查了二次函数的解析式、二次函数的最值以及二次函数与一元一次不等式组.解题的关键在于熟练掌握待定系数法和巧妙观察图形利用图像性质解出答案. 19.(2023·湖北黄石·黄石十四中校联考模拟预测)夏季即将到来,为满足大众需要,雪糕店推出了新款 盒装雪糕(分A、B两种,不可拆开售卖)共50盒,两款雪糕的成本均为15元/盒,假设购进的所有雪糕 均全部售出,且两款雪糕的销量均为正整数. 设A雪糕销售单价为x元( ,x为整数),所获总利润为y(单位:元),已知当销售单价 时, A雪糕的销量为40盒,在此基础之上,x每增加1元,销量就会减少2盒.B雪糕的销售单价恒为30元, 设卖出B雪糕所获总利润s(单位:元) (1)用含x的代数式表示下列各量: ①卖出A雪糕所获利润 ___________; ②卖出B雪糕所获利润 ___________. (2)在此次销售中,雪糕店所获总利润为w(单位:元),则当x为多少时w有最大值,并求出该最大值, (3)每售出一盒B型雪糕,雪糕店的老板就向希望工程捐出a元( ),若总利润的最大值为722元, 求a的值. 【答案】(1)① ;② ; (2) 时,w有最大值,最大值为800元 (3) 【分析】(1)①根据A雪糕销售单价为x元,当 时,其销量为40盒,且x每增加1元,销量就会 减少2盒,写出A雪糕的销量,再根据A,B雪糕共50盒,写出B雪糕的销量;根据每盒雪糕的利润×销 量 雪糕利润理出函数解析式并根据题意写出x的取值范围;②根据每盒雪糕的利润×销量=B雪糕利润 写出函数解析式即可; (2)根据雪糕店所获总利润 两种雪糕利润之和列出函数关系式,根据函数的性质求函数最值即可; (3)根据题意列出函数解析式,再根据总利润的最大值722列出方程,求出a的值. 【详解】(1)解:①A雪糕销售单价为x元,当 时,其销量为40盒,且x每增加1元,销量就会 减少2盒, 雪糕的实际销量为 盒, B雪糕的实际销量为 盒, ∴ ,, 且x为整数, 即卖出A雪糕所获利润为 ( 且x为整数), 故答案为: ( 且x为整数); ②由题意得 , 即卖出B雪糕所获利润为 ( 且x为整数), 故答案为: ( 且x为整数): (2)由题意可得: , 整理得 ( 且x为整数), 则w是x的二次函数,其对称轴为直线 , , 该函数图象的开口向下, 且x为整数, ∴当 时,w有最大值,最大值为 , 即当 时,w有最大值,最大值为800元; (3)设捐款后的实际利润为m元 则 整理得 ( 且x为整数), 则m是x的二次函数,其对称轴为直线 , ,, , 该函数图象的开口向下, 且x为整数, 当 时,m有最大值, 即 , 解得: , , . 【点睛】本题考查了二次函数、一次函数和一元二次方程的应用,解题的关键是根据各数量之间的关系, 列出函数解析式. 20.(2023·湖北咸宁·统考二模)2022年北京冬季奥运会的吉祥物冰墩墩在冬奥会期间火遍全国.某网店 也借机售卖一款冰墩墩.进价为30元/个,规定单个销售利润不低于10元,且不高于31元,试销售期间 发现,当销售单价定为40元时,每天可以售出500个,销售单价每上涨1元,每天销售量减少10个,该 网店决定提价销售,设销售单价为 元,每天销售量为 个. (1)直接写出 与 的函数关系式及自变量 的取值范围; (2)当销售单价为多少元时,每日销售利润为8960元? (3)网店为响应“助力竐情防控,回馈社会,共渡难关”活动,决定每销售1个冰墩墩就捐赠 元 给希望工程,若每天扣除捐赠后可获得最大利润为8120元,则 的值是多少? 【答案】(1) ,其中 (2)当销售单价为58元时,网店每日销售利润为8960元 (3)3 【分析】(1)根据当销售单价定为40元时,每天可以售出500个,销售单价每上涨1元,每天销售量减 少10个,列出函数解析式即可,根据单个销售利润不低于10元,且不高于31元,求出x的取值范围即可; (2)根据每日销售利润为8960元,列出方程,解方程即可;(3)设每天扣除捐赠后可以获得利润为 元,得出 ,求出抛物线 的对称轴为直线 ,根据 ,得出 ,根据二次函数的增减性得出当 时, ,得出 ,求出m的值即可. 【详解】(1)解:∵当销售单价定为40元时,每天可以售出500个,销售单价每上涨1元,每天销售量 减少10个, ∴ , ∵单个销售利润不低于10元,且不高于31元, ∴ , ∴ . 即 ,其中 . (2)解:由题意得: , 整理得 , 解得: , , , 答:当销售单价为58元时,网店每日销售利润为8960元. (3)解:设每天扣除捐赠后可以获得利润为 元, 则 , , ∴抛物线开口向下,且对称轴为直线 , , ,当 时 随 的增大而增大, 时, , 即: , 解得: , ∴m的值为3. 【点睛】本题主要考查了一次函数和二次函数的应用,一元二次方程的应用,解题的关键是根据等量关系 列出关系式或方程.