当前位置:首页>文档>专题09特殊的平行四边形中的最值模型之胡不归模型解读与提分精练(人教版)(教师版)_初中数学_八年级数学下册(人教版)_常见几何模型全归纳-V13_2025版

专题09特殊的平行四边形中的最值模型之胡不归模型解读与提分精练(人教版)(教师版)_初中数学_八年级数学下册(人教版)_常见几何模型全归纳-V13_2025版

  • 2026-04-14 04:08:39 2026-03-21 07:01:20

文档预览

专题09特殊的平行四边形中的最值模型之胡不归模型解读与提分精练(人教版)(教师版)_初中数学_八年级数学下册(人教版)_常见几何模型全归纳-V13_2025版
专题09特殊的平行四边形中的最值模型之胡不归模型解读与提分精练(人教版)(教师版)_初中数学_八年级数学下册(人教版)_常见几何模型全归纳-V13_2025版
专题09特殊的平行四边形中的最值模型之胡不归模型解读与提分精练(人教版)(教师版)_初中数学_八年级数学下册(人教版)_常见几何模型全归纳-V13_2025版
专题09特殊的平行四边形中的最值模型之胡不归模型解读与提分精练(人教版)(教师版)_初中数学_八年级数学下册(人教版)_常见几何模型全归纳-V13_2025版
专题09特殊的平行四边形中的最值模型之胡不归模型解读与提分精练(人教版)(教师版)_初中数学_八年级数学下册(人教版)_常见几何模型全归纳-V13_2025版
专题09特殊的平行四边形中的最值模型之胡不归模型解读与提分精练(人教版)(教师版)_初中数学_八年级数学下册(人教版)_常见几何模型全归纳-V13_2025版
专题09特殊的平行四边形中的最值模型之胡不归模型解读与提分精练(人教版)(教师版)_初中数学_八年级数学下册(人教版)_常见几何模型全归纳-V13_2025版
专题09特殊的平行四边形中的最值模型之胡不归模型解读与提分精练(人教版)(教师版)_初中数学_八年级数学下册(人教版)_常见几何模型全归纳-V13_2025版
专题09特殊的平行四边形中的最值模型之胡不归模型解读与提分精练(人教版)(教师版)_初中数学_八年级数学下册(人教版)_常见几何模型全归纳-V13_2025版
专题09特殊的平行四边形中的最值模型之胡不归模型解读与提分精练(人教版)(教师版)_初中数学_八年级数学下册(人教版)_常见几何模型全归纳-V13_2025版
专题09特殊的平行四边形中的最值模型之胡不归模型解读与提分精练(人教版)(教师版)_初中数学_八年级数学下册(人教版)_常见几何模型全归纳-V13_2025版
专题09特殊的平行四边形中的最值模型之胡不归模型解读与提分精练(人教版)(教师版)_初中数学_八年级数学下册(人教版)_常见几何模型全归纳-V13_2025版
专题09特殊的平行四边形中的最值模型之胡不归模型解读与提分精练(人教版)(教师版)_初中数学_八年级数学下册(人教版)_常见几何模型全归纳-V13_2025版
专题09特殊的平行四边形中的最值模型之胡不归模型解读与提分精练(人教版)(教师版)_初中数学_八年级数学下册(人教版)_常见几何模型全归纳-V13_2025版
专题09特殊的平行四边形中的最值模型之胡不归模型解读与提分精练(人教版)(教师版)_初中数学_八年级数学下册(人教版)_常见几何模型全归纳-V13_2025版
专题09特殊的平行四边形中的最值模型之胡不归模型解读与提分精练(人教版)(教师版)_初中数学_八年级数学下册(人教版)_常见几何模型全归纳-V13_2025版
专题09特殊的平行四边形中的最值模型之胡不归模型解读与提分精练(人教版)(教师版)_初中数学_八年级数学下册(人教版)_常见几何模型全归纳-V13_2025版
专题09特殊的平行四边形中的最值模型之胡不归模型解读与提分精练(人教版)(教师版)_初中数学_八年级数学下册(人教版)_常见几何模型全归纳-V13_2025版
专题09特殊的平行四边形中的最值模型之胡不归模型解读与提分精练(人教版)(教师版)_初中数学_八年级数学下册(人教版)_常见几何模型全归纳-V13_2025版
专题09特殊的平行四边形中的最值模型之胡不归模型解读与提分精练(人教版)(教师版)_初中数学_八年级数学下册(人教版)_常见几何模型全归纳-V13_2025版
专题09特殊的平行四边形中的最值模型之胡不归模型解读与提分精练(人教版)(教师版)_初中数学_八年级数学下册(人教版)_常见几何模型全归纳-V13_2025版
专题09特殊的平行四边形中的最值模型之胡不归模型解读与提分精练(人教版)(教师版)_初中数学_八年级数学下册(人教版)_常见几何模型全归纳-V13_2025版
专题09特殊的平行四边形中的最值模型之胡不归模型解读与提分精练(人教版)(教师版)_初中数学_八年级数学下册(人教版)_常见几何模型全归纳-V13_2025版

文档信息

文档格式
docx
文档大小
3.413 MB
文档页数
23 页
上传时间
2026-03-21 07:01:20

文档内容

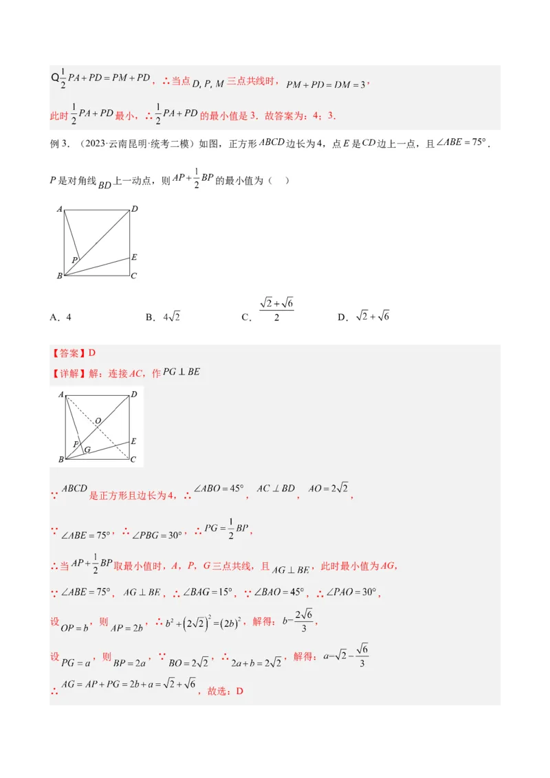
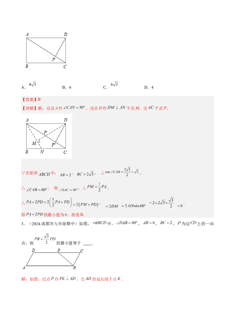
专题 09 特殊的平行四边形中的最值模型之胡不归模型 胡不归模型可看作将军饮马衍生,主要考查转化与化归等的数学思想,近年在中考数学和各地的模拟 考中常以压轴题的形式考查,学生不易把握。本专题就最值模型中的胡不归问题进行梳理及对应试题分析, 方便掌握。在解决胡不归问题主要依据是:点到线的距离垂线段最短。 ....................................................................................................................................................1 模型1.垂美四边形模型...................................................................................................................................1 ..................................................................................................................................................15 模型1.胡不归模型(最值模型) 从前有个少年外出求学,某天不幸得知老父亲病危的消息,便立即赶路回家.根据“两点之间线段最短”, 虽然从他此刻位置A到家B之间是一片砂石地,但他义无反顾踏上归途,当赶到家时,老人刚咽了气,小 伙子追悔莫及失声痛哭.邻居告诉小伙子说,老人弥留之际不断念叨着“胡不归?胡不归?” 看到这里很多人都会有一个疑问,少年究竟能不能提前到家呢?假设可以提早到家,那么他该选择怎样的 一条路线呢?这就是今天要讲的“胡不归”问题. B V 砂石地 1 V 1 驿道 A V C 2∠A的对边 sinA= 斜边 补充知识:在直角三角形中锐角A的对边与斜边的比叫做∠A的正弦,记作sinA,即 。 若无法理解正弦,也可考虑特殊直角三角形(含30°,45°,60°)的三边关系。 一动点P在直线MN外的运动速度为V ,在直线MN上运动的速度为V ,且V 1,则提取系数,转化为小于1的形式解决即可)。 【最值原理】垂线段最短。 例1.(2023·四川乐山·二模)如图,菱形 中, , , 是对角线 上的任意一 点,则 的最小值为( ).A. B. C. D. 【答案】B 【详解】解:如图:过点E作 ,过点B作 ,连接 . ∵在菱形 中, ,∴ , ∵ ,∴ , ,即 .∴ .∴ . ∵ ∴当 时,即F与 重合时, 有最小值 ∴ 的最小值 .故选B. 例2.(23-24八年级下·北京东城·期末)如图,在矩形 中, , ,则对角线 ,点 是 上的动点,连接 ,则 的最小值是 . 【答案】 4 3 【详解】解:过点 作 ,过点 作 于点 ,交 于点 , ∵在矩形 中, , , ,则 , , , ,∵ , , ∵ , , ,∴ ,,∴当点 三点共线时, , 此时 最小,∴ 的最小值是3.故答案为:4;3. 例3.(2023·云南昆明·统考二模)如图,正方形 边长为4,点E是 边上一点,且 . P是对角线 上一动点,则 的最小值为( ) A.4 B. C. D. 【答案】D 【详解】解:连接AC,作 ∵ 是正方形且边长为4,∴ , , , ∵ ,∴ ,∴ , ∴当 取最小值时,A,P,G三点共线,且 ,此时最小值为AG, ∵ , ,∴ ,∵ ,∴ , 设 ,则 ,∴ ,解得: , 设 ,则 ,∵ ,∴ ,解得: ∴ ,故选:D例4.(2023·四川宜宾·校考模拟预测)如图,平行四边形ABCD中,∠DAB=60°,AB=6,BC=2,P为边 CD上的一动点,则 的最小值等于________. 【答案】 【详解】过点P作PQ⊥AD,垂足为Q,∵四边形ABCD是平行四边形,∴DC//AB, ∴∠QDP=∠DAB=60°, ∴PQ=PD•sin∠QDP= PD,∴ =BP+PQ,∴当点B、P、Q三点共线时 有最小值, ∴ 的最小值为 ,故答案为:3 . 例5.(23-24九年级上·山东日照·期末)如图,在矩形 中, , ,点P是对角线 上的动点,连接 ,则 的最小值为( ) A. B.6 C. D.4 【答案】B 【详解】解:过点A作 ,过点D作 于点M,交 于点P,∵在矩形 中, , , ∴ , ∴ , 则 , ∴ , ∴ . 即 的最小值为6.故选B. 例6.(2023·广东佛山·校考一模)在边长为1的正方形 中, 是边 的中点, 是对角线 上 的动点,则 的最小值为 ___________. 【答案】0 【详解】解:如图,作 于 , ∵四边形 是正方形, , , 的最小值为0, ∵ ,∴ 的最小值为0,故答案为:0. 例7.(2024·重庆·九年级校考期中)如图,矩形 的对角线 , 相交于点 , 关于 的 对称图形为 .(1)求证:四边形 是菱形;(2)连接 ,若 , . ①求 的值;②若点 为线段 上一动点(不与点 重合),连接 ,一动点 从点 出发,以 的速度沿线段 匀速运动到点 ,再以 的速度沿线段 匀速运动到点 ,到达点 后 停止运动.当点 沿上述路线运动到点 所需要的时间最短时,求 的长和点 走完全程所需的时间. 【答案】(1)证明见解析;(2)① ;② 和 走完全程所需时间为 . 【详解】(1) 四边形 是矩形, , 与 交于点O,且 关于 对称, , , 四边形 是菱形; (2)①连接 ,直线 分别交 于点 ,交 于点 , 关于 的对称图形为 , , 在矩形 中, 为 的中点,且O为AC的中点, 为 的中位线 , ,同理可得: 为 的中点, , , ; ②过点P作 交 于点 , 由 运动到 所需的时间为3s, 由①可得, , 点Q以 的速度从P到A所需的时间等于以 从M运动到A, 即: , 由O运动到P所需的时间就是OP+MA和最小.如下图,当P运动到 ,即 时,所用时间最短. , 在 中,设 , , ,解得: , , 和 走完全程所需时间为 .1.(2023·山东济南·统考二模)如图,在菱形ABCD中, ,对角线AC、BD相交于点O,点 M在线段AC上,且 ,点P是线段BD上的一个动点,则 的最小值是( ) A.2 B. C.4 D. 【答案】B 、【详解】解:过M点作MH垂直BC于H点,与OB的交点为P点, ∵菱形 中, ,∴ , 为等边三角形, ∴ , ,∴在 中, ,∴ , ∴此时 得到最小值, , ∵ , ,∴ ,又∵ ,∴ ,故选:B. 2.(2024·山东日照·九年级校联考期末)如图,在矩形 中, , ,点P是对角线 上的动点,连接 ,则 的最小值为( )A. B.6 C. D.4 【答案】B 【详解】解:过点A作 ,过点D作 于点M,交 于点P, ∵在矩形 中, , , ∴ , ∴ , 则 ,∴ , ∴ , . 即 的最小值为6.故选B. 3.(2024.成都市九年级期中)如图, 中, , , , 为边 上的一动 点,则 的最小值等于 . 解:如图,过点 作 ,交 的延长线于点 ,, 当点 ,点 ,点 三点共线且 时, 有最小值,即最小值为 , 故答案为: 4.(2023·河北保定·统考一模)如图,在矩形 中,对角线 交于点O, ,点M 在线段 上,且 .点P为线段 上的一个动点. (1) °;(2) 的最小值为 . 【答案】 2 【详解】解:(1)∵四边形 是矩形,∴ , ∵ ,∴ ,∴ 是等边三角形,∴ , ∴ ,故答案为: . (2)过点P作 于点E,过点M作 于点F, 在 中,由(1)知: ,∴ ,∴ , 在矩形 中, ,∵ ,∴ , 在 中, ,∴ ,∴ 的最小值为2,故答案为:2.5.(2024·湖北武汉·九年级期末)如图, 中 , , , 为边 上一点,则 ▱ 的最小值为______. 【答案】 【详解】如图,过点 作 ,交 的延长线于 , 四边形 是平行四边形, ,∴ ∵PH丄AD∴ ∴ , ,∴ 当点 ,点 ,点 三点共线时,HP+PB有最小值,即 有最小值, 此时 , , ,∴ , 则 最小值为 ,故答案为: . 6.(23-24八年级下·北京·期中)如图,在平行四边形 中, , , ,在线段 上取一点E,使 ,连接 ,点M,N分别是线段 上的动点,连接 ,则 的最小值为 .【答案】 / 【详解】解:如图,作 于 , 于 , 于 ,则四边形 是矩形,∴ , ∵平行四边形 中, , , , , ∴ , ,∴ ,∴ ,∴ , ∴ ,∴当 三点共线且 时, 最小,为 , ∵ ,∴ ,由勾股定理得, , ∴ 最小值为 ,故答案为: . 7.(2024上·湖北黄冈·八年级校考期中)如图,在长方形 中,对角线 .将长方 形 沿对角线 折叠,得 ,点 M 是线段 上一点.则 的最小值为 . 【答案】 【详解】解:∵在长方形 中,对角线 ,∴ ,∴ , ∵将长方形 沿对角线 折叠,得 , ∴ ,∴ , 过点 作 于点 ,连接 ,过点 作 于点 ,则: , , ∵ ,∴ ,∴ , ∴当 三点共线时, 的值最小为 的长, ∵点到直线,垂线段最短,∴当 时, 最小,即点 与点 重合, ∵ ,∴ ,∴ , ∴ ,即: 的最小值为 .故答案为: . 8.(2024·广东·九年级专题练习)如图,矩形ABCD中AB=3,BC ,E为线段AB上一动点,连接 CE,则 AE+CE的最小值为___. 【答案】3 答案详解:∵四边形ABCD是矩形,∴∠B=90°, ∴tan∠CAB ,∴∠CAB=30°,∴AC=2BC=2 , 在射线AB的下方作∠MAB=30°,过点E作ET⊥AM于T,过点C作CH⊥AM于H.∵ET⊥AM,∠EAT=30°,∴ET AE, ∵∠CAH=60°,∠CHA=90°,AC=2 ,∴CH=AC•sin6°=2 3, ∵ AE+EC=CE+ET≥CH,∴ AE+EC≥3,∴ AE+EC的最小值为3,故答案为3. 9.(2024上·湖北黄石·九年级校联考阶段练习)如图,在平面直角坐标系中, ,将线段 绕点 进行旋转, ,取 中点 , ,连接 ,已知点 的坐标为 ,那么将线段 绕点 的旋转过程中, 的最小值为 . 【答案】 【详解】解:连接 ,取 中点 ,连接 , , 为 的中点, ,即 , ,当 三点共线时,上式取等号, , , , , 的最小值为 ,故答案为: . 10.(2023上·广东佛山·八年级校考阶段练习)如图,在长方形 中, , ,点 在 上,连接 ,在点 的运动过程中, 的最小值为 . 【答案】 / 【详解】解:∵四边形 是矩形, , , ∴ , , ,∴ , 在线段 下方作 ,过点 作 于点 ,连接 , ∴ ,∴ ,当 、 、 三点共线时, 的值 最小,此时 ,∴ ,∴ , ,∴ ,∴ 的最小值为: , ∴ 的最小值为 .故答案为: . 11.(2023·四川宜宾·校考模拟预测)如图,平行四边形ABCD中,∠DAB=60°,AB=6,BC=2,P为边 CD上的一动点,则 的最小值等于________. 【答案】 【详解】过点P作PQ⊥AD,垂足为Q,∵四边形ABCD是平行四边形,∴DC//AB, ∴∠QDP=∠DAB=60°, ∴PQ=PD•sin∠QDP= PD,∴ =BP+PQ,∴当点B、P、Q三点共线时 有最小值, ∴ 的最小值为 ,故答案为:3 . 12.(2024·陕西西安·校考模拟预测)如图,在矩形ABCD中,AB=2, BC=2 ,点P是对角线AC上 的动点,连接PD,则PA+2PD的最小值________.【答案】6 【详解】过点A作∠CAN=30°,过点D作DM⊥AN于点M,交AC于点P, ∵在矩形ABCD中,AB=2,BC= ,∴tan∠CAB= , ∴∠CAB=60°,则∠DAC=30°,∵PA+2PD=2( PA+PD), , 此时 PA+PD最小,∴PA+2PD的最小值是2×3=6.故答案为:6. 13.(2023·重庆沙坪坝·八年级校考期末)如图,在直角坐标系中,直线 : 与 轴交于 点 ,与 轴交于点 ,分别以 、 为边作矩形 ,点 、 在直线 上,且 ,则 的最小值是 . 【答案】 【详解】如图,过点B作BM∥AC交x轴于M,在直线BM上截取BB′=DE=1,过点B′作B′F⊥OM于 F,过点E作EH⊥OC于H,连接B′H. 与x轴交于点C,与y轴变于点A,令x=0,y= ,令y=0,得x= ∴A(0, ),C( ,0), ∴OA= ,OC= ,∴AC= =2OA,∴∠ACO=30°, ∵EH⊥OC,∴EH= EC,∵BB′=DE,BB′∥DE,∴四边形DBB′E是平行四边形,∴BD=B′E, ∵BM∥AC,∴∠BMC=∠ACO=30°,∵∠BCM=90°,BC= ,∴BM=2BC=3 , ∴B′M=1+3 ,∵∠MFB′=90°,∴B′F= MB′= , ∵BD+ EC=B′E+EH≥B′H,B′H≥B′F,∴BD+ EC≥ , ∴BD+ EC的最小值为 ,故答案为 . 14.(23-24八年级下·江苏淮安·期末)如图3,点 在边 上,且 ,垂足为 ,当 在正方形 的对角线 上时,连接 ,将 沿着 翻折,点 落在点 处.①四边形 是正方 形吗?请说明理由;②若 ,点 在 上, ,直接写出 的最小值为 .【答案】①是,理由见解析;② 【详解】解:①如图3,连接 , 由(2)的结论可知, , 四边形 是正方形, 是正方形的对角线, , , , , , , 由折叠可知, , , , , , , , , , 四边形 是菱形, , 菱形 是正方形; ②如图4,作 交 的延长线于点 ,作 于点 , ,由上知四边形 是正方形, , , , , , , , ; , , 是等腰直角三角形, , , , , ;如图4,作 关于 的对称点 ,则 ,过点 作 交 延长线于点 , 则 是等腰直角三角形, ,即当 , , 三点共线时, 最小,最小值为 的长. , , , , , , ,即 的最小值为 .故答案为: . 15.(2024·四川凉山·中考真题)如图,在菱形 中, , 是 边上一个动点, 连接 , 的垂直平分线 交 于点 ,交 于点 .连接 .(1)求证: ;(2)求 的最小值. 【答案】(1)见详解(2) 【详解】(1)证明:连接 , ∵四边形 是菱形,∴ , , ∵ ,∴ ,∴ ,∵ 是 的垂直平分线,∴ ,∴ ; (2)解:过点N作 于点F,连接 ,∵ ,∴ ,∵ ,∴ , 当点A、N、F三点共线时,取得最小值,如图: 即 ,∴在 中, ,∴ 的最小值为 . 16.(2024·山东淄博·一模)如图,在边长为6的菱形 中, ,连接 ,点 E,F分别 是边 , 上的动点,且 ,连接 , , . (1)如图①,当点E是边 的中点时,求 的度数; (2)如图②,当点E是边 上任意一点时, 的度数是否发生改变?若不改变,请证明:若发生改变, 请说明理由;(3)若点P是线段 上的一个动点,连接 ,求 的最小值. 【答案】(1) (2)不改变,见解析(3) 【详解】(1)∵四边形 是菱形,边长为6,∴ , , ∴ , 是等边三角形,∴ , ∵点E是边 的中点,∴ , , ∵ ,∴ ∴点F是边 的中点, ∴ ,∴ ; (2) 的度数不改变,证明如下: 由(1)得到 , 是等边三角形,∴ , , ∵ ,∴ ,∴ , ∴ ; (3)如图,过点P作 于点 G,连接 ,过点F作 于点 ,交 于点 ,∵ ,∴在 中, ∴ ∴当点F,P,G三点共线,且 时, 有最小值,最小值为 的长,过点D作 于点H, ∵四边形 是菱形,∴ ,∴ 的最小值即为 的长, ∵ , 是等边三角形,∴ ,∴ 的最小值为 .