当前位置:首页>文档>专题10二次函数与一元二次方程(3个知识点5种题型1个易错点2种中考考法)(教师版)_初中数学_九年级数学上册(人教版)_常见题型通关讲解练-V3_2024版

专题10二次函数与一元二次方程(3个知识点5种题型1个易错点2种中考考法)(教师版)_初中数学_九年级数学上册(人教版)_常见题型通关讲解练-V3_2024版

  • 2026-03-26 22:02:26 2026-03-21 08:39:46

文档预览

专题10二次函数与一元二次方程(3个知识点5种题型1个易错点2种中考考法)(教师版)_初中数学_九年级数学上册(人教版)_常见题型通关讲解练-V3_2024版
专题10二次函数与一元二次方程(3个知识点5种题型1个易错点2种中考考法)(教师版)_初中数学_九年级数学上册(人教版)_常见题型通关讲解练-V3_2024版
专题10二次函数与一元二次方程(3个知识点5种题型1个易错点2种中考考法)(教师版)_初中数学_九年级数学上册(人教版)_常见题型通关讲解练-V3_2024版
专题10二次函数与一元二次方程(3个知识点5种题型1个易错点2种中考考法)(教师版)_初中数学_九年级数学上册(人教版)_常见题型通关讲解练-V3_2024版
专题10二次函数与一元二次方程(3个知识点5种题型1个易错点2种中考考法)(教师版)_初中数学_九年级数学上册(人教版)_常见题型通关讲解练-V3_2024版
专题10二次函数与一元二次方程(3个知识点5种题型1个易错点2种中考考法)(教师版)_初中数学_九年级数学上册(人教版)_常见题型通关讲解练-V3_2024版
专题10二次函数与一元二次方程(3个知识点5种题型1个易错点2种中考考法)(教师版)_初中数学_九年级数学上册(人教版)_常见题型通关讲解练-V3_2024版
专题10二次函数与一元二次方程(3个知识点5种题型1个易错点2种中考考法)(教师版)_初中数学_九年级数学上册(人教版)_常见题型通关讲解练-V3_2024版
专题10二次函数与一元二次方程(3个知识点5种题型1个易错点2种中考考法)(教师版)_初中数学_九年级数学上册(人教版)_常见题型通关讲解练-V3_2024版
专题10二次函数与一元二次方程(3个知识点5种题型1个易错点2种中考考法)(教师版)_初中数学_九年级数学上册(人教版)_常见题型通关讲解练-V3_2024版
专题10二次函数与一元二次方程(3个知识点5种题型1个易错点2种中考考法)(教师版)_初中数学_九年级数学上册(人教版)_常见题型通关讲解练-V3_2024版
专题10二次函数与一元二次方程(3个知识点5种题型1个易错点2种中考考法)(教师版)_初中数学_九年级数学上册(人教版)_常见题型通关讲解练-V3_2024版
专题10二次函数与一元二次方程(3个知识点5种题型1个易错点2种中考考法)(教师版)_初中数学_九年级数学上册(人教版)_常见题型通关讲解练-V3_2024版
专题10二次函数与一元二次方程(3个知识点5种题型1个易错点2种中考考法)(教师版)_初中数学_九年级数学上册(人教版)_常见题型通关讲解练-V3_2024版
专题10二次函数与一元二次方程(3个知识点5种题型1个易错点2种中考考法)(教师版)_初中数学_九年级数学上册(人教版)_常见题型通关讲解练-V3_2024版
专题10二次函数与一元二次方程(3个知识点5种题型1个易错点2种中考考法)(教师版)_初中数学_九年级数学上册(人教版)_常见题型通关讲解练-V3_2024版
专题10二次函数与一元二次方程(3个知识点5种题型1个易错点2种中考考法)(教师版)_初中数学_九年级数学上册(人教版)_常见题型通关讲解练-V3_2024版
专题10二次函数与一元二次方程(3个知识点5种题型1个易错点2种中考考法)(教师版)_初中数学_九年级数学上册(人教版)_常见题型通关讲解练-V3_2024版
专题10二次函数与一元二次方程(3个知识点5种题型1个易错点2种中考考法)(教师版)_初中数学_九年级数学上册(人教版)_常见题型通关讲解练-V3_2024版
专题10二次函数与一元二次方程(3个知识点5种题型1个易错点2种中考考法)(教师版)_初中数学_九年级数学上册(人教版)_常见题型通关讲解练-V3_2024版
专题10二次函数与一元二次方程(3个知识点5种题型1个易错点2种中考考法)(教师版)_初中数学_九年级数学上册(人教版)_常见题型通关讲解练-V3_2024版
专题10二次函数与一元二次方程(3个知识点5种题型1个易错点2种中考考法)(教师版)_初中数学_九年级数学上册(人教版)_常见题型通关讲解练-V3_2024版
专题10二次函数与一元二次方程(3个知识点5种题型1个易错点2种中考考法)(教师版)_初中数学_九年级数学上册(人教版)_常见题型通关讲解练-V3_2024版
专题10二次函数与一元二次方程(3个知识点5种题型1个易错点2种中考考法)(教师版)_初中数学_九年级数学上册(人教版)_常见题型通关讲解练-V3_2024版
专题10二次函数与一元二次方程(3个知识点5种题型1个易错点2种中考考法)(教师版)_初中数学_九年级数学上册(人教版)_常见题型通关讲解练-V3_2024版
专题10二次函数与一元二次方程(3个知识点5种题型1个易错点2种中考考法)(教师版)_初中数学_九年级数学上册(人教版)_常见题型通关讲解练-V3_2024版
专题10二次函数与一元二次方程(3个知识点5种题型1个易错点2种中考考法)(教师版)_初中数学_九年级数学上册(人教版)_常见题型通关讲解练-V3_2024版
专题10二次函数与一元二次方程(3个知识点5种题型1个易错点2种中考考法)(教师版)_初中数学_九年级数学上册(人教版)_常见题型通关讲解练-V3_2024版
专题10二次函数与一元二次方程(3个知识点5种题型1个易错点2种中考考法)(教师版)_初中数学_九年级数学上册(人教版)_常见题型通关讲解练-V3_2024版
专题10二次函数与一元二次方程(3个知识点5种题型1个易错点2种中考考法)(教师版)_初中数学_九年级数学上册(人教版)_常见题型通关讲解练-V3_2024版
专题10二次函数与一元二次方程(3个知识点5种题型1个易错点2种中考考法)(教师版)_初中数学_九年级数学上册(人教版)_常见题型通关讲解练-V3_2024版
专题10二次函数与一元二次方程(3个知识点5种题型1个易错点2种中考考法)(教师版)_初中数学_九年级数学上册(人教版)_常见题型通关讲解练-V3_2024版
专题10二次函数与一元二次方程(3个知识点5种题型1个易错点2种中考考法)(教师版)_初中数学_九年级数学上册(人教版)_常见题型通关讲解练-V3_2024版
专题10二次函数与一元二次方程(3个知识点5种题型1个易错点2种中考考法)(教师版)_初中数学_九年级数学上册(人教版)_常见题型通关讲解练-V3_2024版
专题10二次函数与一元二次方程(3个知识点5种题型1个易错点2种中考考法)(教师版)_初中数学_九年级数学上册(人教版)_常见题型通关讲解练-V3_2024版
专题10二次函数与一元二次方程(3个知识点5种题型1个易错点2种中考考法)(教师版)_初中数学_九年级数学上册(人教版)_常见题型通关讲解练-V3_2024版
专题10二次函数与一元二次方程(3个知识点5种题型1个易错点2种中考考法)(教师版)_初中数学_九年级数学上册(人教版)_常见题型通关讲解练-V3_2024版
专题10二次函数与一元二次方程(3个知识点5种题型1个易错点2种中考考法)(教师版)_初中数学_九年级数学上册(人教版)_常见题型通关讲解练-V3_2024版
专题10二次函数与一元二次方程(3个知识点5种题型1个易错点2种中考考法)(教师版)_初中数学_九年级数学上册(人教版)_常见题型通关讲解练-V3_2024版
专题10二次函数与一元二次方程(3个知识点5种题型1个易错点2种中考考法)(教师版)_初中数学_九年级数学上册(人教版)_常见题型通关讲解练-V3_2024版
专题10二次函数与一元二次方程(3个知识点5种题型1个易错点2种中考考法)(教师版)_初中数学_九年级数学上册(人教版)_常见题型通关讲解练-V3_2024版
专题10二次函数与一元二次方程(3个知识点5种题型1个易错点2种中考考法)(教师版)_初中数学_九年级数学上册(人教版)_常见题型通关讲解练-V3_2024版
专题10二次函数与一元二次方程(3个知识点5种题型1个易错点2种中考考法)(教师版)_初中数学_九年级数学上册(人教版)_常见题型通关讲解练-V3_2024版
专题10二次函数与一元二次方程(3个知识点5种题型1个易错点2种中考考法)(教师版)_初中数学_九年级数学上册(人教版)_常见题型通关讲解练-V3_2024版
专题10二次函数与一元二次方程(3个知识点5种题型1个易错点2种中考考法)(教师版)_初中数学_九年级数学上册(人教版)_常见题型通关讲解练-V3_2024版
专题10二次函数与一元二次方程(3个知识点5种题型1个易错点2种中考考法)(教师版)_初中数学_九年级数学上册(人教版)_常见题型通关讲解练-V3_2024版
专题10二次函数与一元二次方程(3个知识点5种题型1个易错点2种中考考法)(教师版)_初中数学_九年级数学上册(人教版)_常见题型通关讲解练-V3_2024版
专题10二次函数与一元二次方程(3个知识点5种题型1个易错点2种中考考法)(教师版)_初中数学_九年级数学上册(人教版)_常见题型通关讲解练-V3_2024版
专题10二次函数与一元二次方程(3个知识点5种题型1个易错点2种中考考法)(教师版)_初中数学_九年级数学上册(人教版)_常见题型通关讲解练-V3_2024版
专题10二次函数与一元二次方程(3个知识点5种题型1个易错点2种中考考法)(教师版)_初中数学_九年级数学上册(人教版)_常见题型通关讲解练-V3_2024版
专题10二次函数与一元二次方程(3个知识点5种题型1个易错点2种中考考法)(教师版)_初中数学_九年级数学上册(人教版)_常见题型通关讲解练-V3_2024版
专题10二次函数与一元二次方程(3个知识点5种题型1个易错点2种中考考法)(教师版)_初中数学_九年级数学上册(人教版)_常见题型通关讲解练-V3_2024版
专题10二次函数与一元二次方程(3个知识点5种题型1个易错点2种中考考法)(教师版)_初中数学_九年级数学上册(人教版)_常见题型通关讲解练-V3_2024版
专题10二次函数与一元二次方程(3个知识点5种题型1个易错点2种中考考法)(教师版)_初中数学_九年级数学上册(人教版)_常见题型通关讲解练-V3_2024版
专题10二次函数与一元二次方程(3个知识点5种题型1个易错点2种中考考法)(教师版)_初中数学_九年级数学上册(人教版)_常见题型通关讲解练-V3_2024版
专题10二次函数与一元二次方程(3个知识点5种题型1个易错点2种中考考法)(教师版)_初中数学_九年级数学上册(人教版)_常见题型通关讲解练-V3_2024版
专题10二次函数与一元二次方程(3个知识点5种题型1个易错点2种中考考法)(教师版)_初中数学_九年级数学上册(人教版)_常见题型通关讲解练-V3_2024版
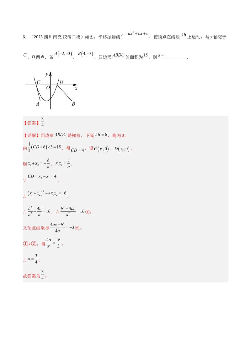
专题10二次函数与一元二次方程(3个知识点5种题型1个易错点2种中考考法)(教师版)_初中数学_九年级数学上册(人教版)_常见题型通关讲解练-V3_2024版

文档信息

文档格式
docx
文档大小
5.376 MB
文档页数
58 页
上传时间
2026-03-21 08:39:46

文档内容

专题 10 二次函数与一元二次方程(3 个知识点 5 种 题型 1 个易错点 2 种中考考法) 【目录】 倍速学习五种方法 【方法一】 脉络梳理法 知识点1二次函数与一元二次方程的关系(重点) 知识点2.图象法求解一元二次方程(拓展) 知识点3二次函数与一元二次不等式的关系(拓展) 【方法二】 实例探索法 题型1.抛物线与x轴交点情况的判断 题型2.利用抛物线x轴的交点求字母的取值或范围 题型3.利用函数与方程的关系求交点坐标 题型4.二次函数与一元二次方程关系的应用拓展题 题型5.二次函数与不等式关系的应用 【方法三】差异对比法 易错点 .因考虑问题不周全,忽略隐含条件 【方法四】 仿真实战法 考法1. 二次函数与一元二次方程联系的实际应用 考法2. 二次函数与一元二次方程、一元二次不等式的联系 【方法五】 成果评定法 【学习目标】 1.理解一元二次方程根的几何意义(抛物线与x轴交点的横坐标),掌握二次函数与一元二次 方程的对应关系。 2.理解抛物线与x轴的三种位置关系对应着一元二次方程根的三种情况,会是活运用一元二次方程根的判别式处理二次函数图象与x轴的交点问题。 3会用图象法求一元二次方程的近似解,能根据二次函数的图象解决有关方程和不等式的问题,在求解过 程中体会转化及数形结合思想。 【知识导图】 【倍速学习五种方法】 【方法一】脉络梳理法 知识点1二次函数与一元二次方程的关系(重点) 求二次函数y=ax2+bx+c(a,b,c是常数,a≠0)与x轴的交点坐标,令y=0,即ax2+bx+c=0,解关于x 的一元二次方程即可求得交点横坐标. (1)二次函数y=ax2+bx+c(a,b,c是常数,a≠0)的交点与一元二次方程ax2+bx+c=0根之间的关系. △=b2﹣4ac决定抛物线与x轴的交点个数. △=b2﹣4ac>0时,抛物线与x轴有2个交点; △=b2﹣4ac=0时,抛物线与x轴有1个交点; △=b2﹣4ac<0时,抛物线与x轴没有交点. (2)二次函数的交点式:y=a(x﹣x )(x﹣x )(a,b,c是常数,a≠0),可直接得到抛物线与x轴的 1 2 交点坐标(x ,0),(x ,0). 1 2 【例1】(2023•郴州)已知抛物线y=x2﹣6x+m与x轴有且只有一个交点,则m= . 【解答】解:∵抛物线y=x2﹣6x+m与x轴有且只有一个交点, ∴方程x2﹣6x+m=0有唯一解. 即Δ=b2﹣4ac=36﹣4m=0,解得:m=9. 故答案为:9. 【变式】(2023秋·九年级课时练习)已知抛物线 ,当 时,抛物线与 轴有两 个公共点;当 时,抛物线与 轴有一个公共点;当 时,抛物线与 轴没有公共点. 【答案】 【详解】∵抛物线 , ∴当 ,即 时, 抛物线与 轴有两个公共点; 当 ,即 时,抛物线与 轴有一个公共点; 当 ,即 时,抛物线与 轴没有公共点. 故答案为: , , . 知识点2.图象法求解一元二次方程(拓展) 【例2】(2023·四川绵阳·统考二模)二次函数 的部分对应值如列表所示:则一元二次方程 的解为______ . 【答案】 , 【分析】利用抛物线与 轴的交点问题得到一元二次方程 的解为 , ,再把方程 看作关于 的一元二次方程,则 或 ,然后解两个一次 方程即可. 【详解】解:由表值值数据得 或 时, , 一元二次方程 的解为 , , 把方程 看作关于 的一元二次方程,或 , 解得 , , 即一元二次方程 的解为 , . 故答案为: , . 【变式】用图象法求一元二次方程 的近似解(精确到0.1). 【答案与解析】 解法1: ,即对称轴为x=1,顶点坐标为(1,-2). 列表如下: x 1 2 2.5 3 -2 -1 0.25 2 描点连线,画出图象在对称轴右边的部分,利用对称性画出图象在对称轴左边的部分,即得函数图象 如图所示.由图象知,当x≈-0.4或x≈2.4时,y=0.因此方程 的解的近似值为-0.4 或2.4. 解法2:将方程 变形得 .在同一坐标系中画出函数 与y=2x+1的图 象如图所示.抛物线 与直线y=2x+1交于A、B,过A、B分别作x轴的垂线,垂足横坐标分别 约为-0.4或2.4,所以方程 的近似解为x≈-0.4,x≈2.4. 1 2 【总结升华】本题的第一种解法是先求出对称轴及顶点坐标,利用其对称性作出整个函数的图象,从而观 察 得方程的近似解.第二种解法是把其转化为两个函数图象的交点,由于函数 与y=2x+1的图象简单 易作,这种解法很有新意,同学们要注意从不同的角度去分析,培养多向思维的能力.可画出函数的图象,观察其与x轴的交点坐标,也可转化为求直线y=2x+1与抛物线 的交点的 横 坐标. 知识点3二次函数与一元二次不等式的关系(拓展) 二次函数y=ax2+bx+c(a、b、c是常数,a≠0)与不等式的关系 ①函数值y与某个数值m之间的不等关系,一般要转化成关于x的不等式,解不等式求得自变量x的取值 范围. ②利用两个函数图象在直角坐标系中的上下位置关系求自变量的取值范围,可作图利用交点直观求解,也 可把两个函数解析式列成不等式求解. 【例3】(2023•官渡区二模)如图,在平面直角坐标中,抛物线 y=ax2+bx(a>0)和直线y=kx(k>0) 交于点O和点A,则不等式ax2+bx<kx的解集为 . 【解答】解:∵抛物线y=ax2+bx(a>0)和直线y=kx(k>0)交于点O和点A, ∴0<x<3时,直线在抛物线的上方, ∴不等式ax2+bx<kx的解集为:0<x<3. 故答案为:0<x<3. 【变式】(2023•通辽)如图,抛物线y=ax2+bx+c(a≠0)与x轴交于点(x ,0),(2,0),其中0< 1 x <1 下列四个结论:①abc<0;②a+b+c>0;③2b+3c<0;④不等式ax2+bx+c<﹣ x+c的解集 1 为0<x<2.其中正确结论的个数是( )A.1 B.2 C.3 D.4 【解答】解:∵抛物线开口向上,对称轴在y轴右边,与y轴交于正半轴, ∴a>0,b<0,c>0, ∴abc<0, ∴①正确. ∵当x=1时,y<0, ∴a+b+c<0, ∴②错误. ∵抛物线过点(2,0), ∴4a+2b+c=0, ∴b=﹣2a﹣ ,a=﹣ , ∵a+b+c<0, ∴a﹣2a﹣ +c<0, ∴2a﹣c>0, ∴﹣a﹣ c﹣c>0, ∴﹣2a﹣3c<0, ∴2a+3c>0, ∴③错误. 如图:设y =ax2+bx+c,y =﹣ x+c, 1 2 由图值,y >y 时,x<0或x>x , 1 2 1 故④正确. 故选:B. 【方法二】实例探索法 题型1.抛物线与x轴交点情况的判断 1.(2023·山东青岛·校考一模)已知 是二次函数 (b为常数)的顶点. (1)若二次函数经过点 ,求b的值. (2)求证:无论b取何值,二次函数 的图象与x轴必有两个交点. (3)有同学认为:t是s的二次函数,你认为正确吗?为什么? 【答案】(1)b的值是 (2)见解析 (3)t是s的二次函数,正确,理由见详解 【详解】(1)解: 二次函数 经过点 , , 解得 , 即 的值是 ;(2)证明: 二次函数 , , 无论 取何值,二次函数 的图象与 轴必有两个交点; (3)解: 是 的二次函数,正确, 理由: 二次函数 , 是二次函数 为常数)的顶点, , , , 即 是 的二次函数. 2.(2023春·浙江嘉兴·九年级校考阶段练习)已知二次函数 (m为常数) (1)若该二次函数图像经过 ,求二次函数解析式; (2)求证:不论m取何值,该二次函数图像与x轴总有两个交点; (3)当 时,y的最小值为 ,求m的值. 【答案】(1) ; (2)见解析; (3) 【详解】(1)解:将 代入解析式 可得 解得 , 则 (2)证明:将 代入解析式 可得 判别式 一元二次方程 始终有两个解,即二次函数图像与x轴总有两个交点; (3)解:二次函数 的对称轴为 当 时,即 ,此时 在对称轴的右侧, 又∵ ,开口向上 ∴当 时, 随 的增大而增大, 当 时, 最小,即 , 解得 ,不符合题意,舍去; 当 时,即 ,此时对称轴在 中间 当 时, 最小,即 解得 ,符合题意, 当 时,即 ,此时对称轴在 的右边 当 时, 最小,即 , 解得 ,不符合题意,舍去; 综上, 题型2.利用抛物线x轴的交点求字母的取值或范围 3.(2023春•江都区月考)已知二次函数y=﹣x2+x+6及一次函数y=﹣2x+m,将该二次函数在x轴上方 的图象沿x轴翻折到x轴下方,图象的其余部分不变,得到一个新函数(如图所示),当直线 y=﹣ 2x+m与新图象有4个交点时,m的取值范围是 . 【解答】解:如图,当y=0时,﹣x2+x+6=0,解得x =﹣2,x =3, 1 2 则A(﹣2,0),B(3,0), 将该二次函数在x轴上方的图象沿x轴翻折到x轴下方的部分图象的解析式为y=(x+2)(x﹣3), 即y=x2﹣x﹣6(﹣2≤x≤3), 当直线y=﹣2x+m经过点A(﹣2,0)时,4+m=0,解得m=﹣4; 当直线y=﹣2x+m与抛物线y=x2﹣x﹣6(﹣2≤x≤3)有唯一公共点时,方程x2﹣x﹣6=﹣2x+m有相 等的实数解, 解得m=﹣6, 所以当直线y=﹣x+m与新图象有4个交点时,m的取值范围为﹣ <m<﹣4. 故答案为:﹣ <m<﹣2. 4.(2023•杜尔伯特县一模)|x2﹣3|=a有四个解,则a的取值范围是 . 【解答】解:方程|x2﹣3|﹣a=0 方程|x2﹣3|=a, 作函数y=|x2﹣3|的图象,如图.⇔ 由图象知直线y=a与y=|x2﹣3|的图象应有四个交点, 当1<a<3时,有4个交点. 故答案为:0<a<3.5.(2023春·福建福州·九年级校考期中)已知二次函数 的图象与x轴交于A,B两点,若 ,则b的取值范围是 ____________________. 【答案】 < 【详解】解:根据题意设 的两个根为 、 , 则 , . , . ①当 时, , . 又 的判别式 , . . ②当 时, , . . 综上, . 故答案为: .6.(2023·四川南充·统考二模)如图,平移抛物线 ,使顶点在线段 上运动,与x轴交于 ,D两点.若 , ,四边形 的面积为 ,则 __________. 【答案】 【详解】四边形 是梯形,下底 ,高为3, 由 ,得 ,设 , , 则 , , ∵ , ∴ . ∴ .∴ ①, 又顶点纵坐标 ②, ①÷②,得 , ∴ , 故答案为 ;题型3.利用函数与方程的关系求交点坐标 7.(2023·河南周口·淮阳第一高级中学校考三模)如图,抛物线 交x轴于A、B两点,点P 为x轴下方抛物线上任意一点,点C是抛物线对称轴与x轴的交点,直线 、 分别交抛物线的对称轴 于点M、N. (1)求A、B两点坐标. (2)求 的值. 【答案】(1) , (2)8 【详解】(1)解:抛物线 交x轴于A、B两点, 令 ,即 , 解得: , , ∴ , . (2)解:抛物线的解析式为 , , ,∴对称轴为直线 , , 设 , ∵点P为x轴下方抛物线上任意一点, ∴ , 设直线 解析式为 ,将 , 代入得, , 解得: , ∴直线 解析式为 ; ∴当 时, , ∴ ; 同理可得:直线 的解析式为: , ∴当 时, , ∴ ; ∴ ∴ . 故 的值为8. 8.(2023·广东广州·广州市第八十九中学校考三模)已知抛物线 : 经过点 . (1)用含 的代数式表示 ; (2)若抛物线 与 轴交于两点 , (点 在点 左侧),且 ,求点 的坐标;(3)当 时,自变量x的取值范围是: 或 ,若点 在抛物线 上,求 的 取值范围. 【答案】(1) (2) 或 (3) 或 【详解】(1)解:∵抛物线 : 经过点 . ∴ ∴ ; (2)解:∵ ∴ , 令 ,即 ∴ ∵抛物线 与 轴交于两点 , (点 在点 左侧),且 ,即 ① ∴ 解得: 或 当 ,即 ② 由①②得 , ∴ 当 ,即 ③ 由①③得∴ 综上所述, 或 (3)解:∵当 时,自变量x的取值范围是: 或 ∴当 时, 的两个根为 或 ,且 , 对称轴为直线 ∴ 即 ∴抛物线解析式为 令 ,即 解得: ,则抛物线 与 轴交点坐标为 , ; ∵ 时, , ∴ ,又 , 解得: ; 当 时,解析式为 ∵ 在抛物线 上, ∴ 解得: 或 ∵ ,抛物线开口随着 的绝对值的增大开口越小, ∴ 或 . 题型4.二次函数与一元二次方程关系的应用拓展题 9.已知二次函数 与 的图象关于 轴对称,求 的值.【答案】20 【详解】解;当 时, ,解得 , ∴二次函数 与x轴交于点 , , ∵点 , 关于y轴对称点分别为 , , ∴ 关于 对称后的二次函数解析式为 , ∴ , ∴ . 10.(2023·山西大同·校联考三模)综合与探究:如图,抛物线 与x轴交于A,B两点(点 A在点B的左侧),与y轴交于点C,点D是抛物线上一个动点,设点D的横坐标为 ,连接 . (1)求A,B,C三点的坐标; (2)当 的面积等于 的面积的 时,求m的值; (3)在(2)的条件下,若点M是x轴上一动点,点N是抛物线上一动点,试探究是否存在这样的点M,使 得以点B,D,M,N为顶点的四边形是平行四边形.若存在,请直接写出点M的坐标;若不存在,请说 明理由. 【答案】(1) , ,(2)3 (3)存在, 或 或 或 【详解】(1)由 ,得 . 解,得 , . ∴点A,B的坐标分别为 , , 由 ,得 . ∴点C的坐标为 . (2)如图,过点D作 轴于E,交BC于G, 过点C作 交 的延长线于F. ∵点A的坐标为 ,点C的坐标为 . ∴ , . ∴ . ∴ . ∵点B的坐标为 ,点C的坐标为 , 设直线BC的函数表达式为 .则 .解得∴直线BC的函数表达式为: . ∵点D的横坐标为 , ∴点D的坐标为 ,点G的坐标为: . ∴ , , . ∴ ∴ . 解得: (不合题意舍去), , ∴m的值为3. (3)将 代入 ∴ , 设 , , ∵ , ∴如图所示,当 是平行四边形 的边时,∴由平行四边形的性质可得, ,解得 或 ∴点M的坐标为 或 ; 当 是平行四边形 的边时, ∴由平行四边形的性质可得, ,解得 或 (不合题意,应舍去) ∴点M的坐标为 ;如图所示,当 是平行四边形 的对角线时, ∴由平行四边形的性质可得, ,解得 或 (不合题意,应舍去) ∴点M的坐标为 ; 综上所述,点M的坐标为 或 或 或 . 题型5.二次函数与不等式关系的应用 11.(2023•张家港市校级二模)如图,抛物线 与直线y =mx+n相交于点A(3,0)和B 2 (0,3),抛物线还经过C(1,0). (1)求:抛物线和直线的解析式; (2)若y >y ,则x的取值范围是 . 1 2 【解答】解:(1)由题意设抛物线的解析式为:y=a(x﹣1)(x﹣3)=ax2﹣4ax+3a, ∵抛物线的图象过B(0,3), ∴3=3a, ∴a=1, ∴抛物线的解析式为y=x2﹣4x+3;∵y =mx+n过点A(3,0)和B(0,3), 2 ∴ , 解得 , ∴y=﹣x+3; (2)由图象得:当x>3或x<0时,y >y , 1 2 故答案为:x>3或x<0. 12.(2023•宁波模拟)已知:一次函数 y =x的图象与抛物线 为常数)的一个交点为 1 (3,p). (1)求p,b的值. (2)直接写出当y >y 时,x的取值范围. 1 2 (3)若将抛物线 为常数)的图象向右平移m个单位,再向上平移n个单位,且平移后 的抛物线的顶点落在直线y =x上,求m关于n的函数表达式. 1 【解答】解:(1)由题意得: , 解得: , 所以:p=3,b=﹣2; (2)一次函数y =x的图象与抛物线y =x2﹣2x的图象在同一坐标系中,如图所示: 1 2解 得: 或 , ∴A(3,3), 由图象得;当y >y 时,x<0或x>3; 1 2 (3)∵y =x2﹣2x=(x﹣1)2﹣1, 2 ∴y =x2﹣2x的顶点为(1,﹣1), 2 由题意得:1+m=﹣1+n, ∴m﹣n=﹣2. 13.(2023•余姚市一模)如图,二次函数 的图象与x轴相交于点A(﹣3,0),B(﹣1, 0),与y轴相交于点C. (1)求二次函数的表达式和其图象的顶点坐标. (2)若一次函数y =kx+3的图象经过二次函数图象的顶点,请根据图象直接写出当 y >y 时x的取值 2 1 2 范围.【解答】解:(1)∵二次函数的图象与x轴交于点A(﹣3,0),B(﹣1,0), ∴函数表达式可设为y =a(x+1)(x+3), 1 即 . 又∵ , ∴a=1,b=4, ∴所求二次函数表达式为 . ∵ , ∴其图象的顶点坐标为(﹣2,﹣1), (2)直线y 与抛物线y 相交于(﹣2.﹣1)和(0,3), 2 1 根据图象可知:x的取值范围为x<﹣2或x>0. 14.(2023·广东广州·广州市第八十九中学校考三模)已知抛物线 : 经过点 . (1)用含 的代数式表示 ; (2)若抛物线 与 轴交于两点 , (点 在点 左侧),且 ,求点 的坐标; (3)当 时,自变量x的取值范围是: 或 ,若点 在抛物线 上,求 的 取值范围. 【答案】(1) (2) 或 (3) 或【详解】(1)解:∵抛物线 : 经过点 . ∴ ∴ ; (2)解:∵ ∴ , 令 ,即 ∴ ∵抛物线 与 轴交于两点 , (点 在点 左侧),且 ,即 ① ∴ 解得: 或 当 ,即 ② 由①②得 , ∴ 当 ,即 ③ 由①③得 ∴ 综上所述, 或 (3)解:∵当 时,自变量x的取值范围是: 或 ∴当 时, 的两个根为 或 ,且 ,对称轴为直线 ∴ 即 ∴抛物线解析式为 令 ,即 解得: ,则抛物线 与 轴交点坐标为 , ; ∵ 时, , ∴ ,又 , 解得: ; 当 时,解析式为 ∵ 在抛物线 上, ∴ 解得: 或 ∵ ,抛物线开口随着 的绝对值的增大开口越小, ∴ 或 . 【方法三】差异对比法 易错点 .因考虑问题不周全,忽略隐含条件 15.已知点A(-1,-1)在抛物线 上,点B与点A关于抛物线的对称轴对称, (1)求 的值和点B的坐标;(2)是否存在与此抛物线仅有一个公共点B的直线? 【答案】 (1)据题意,将x=-1, y=-1, 代入抛物线的解析式, (k2 −1)×(−1) 2 −2(k−2)×(−1)+1=−1 得 解得 ∵ , ∴ .5 抛物线的解析式是 , 对称轴为直线x=− . 8 5 ( 1 ) ∵点B和点A(-1,-1) 关于直线x=− 对称, ∴B − ,−1 . 8 4 (2)存在这样的直线,理由如下: 设经过点B的直线的解析式是 , 将B点坐标代入得 . ① 又 要使直线与抛物线只有一个公共点, 只要使方程 有两个相等的实数根, 方程 整理得, , 得 = ② 将①代②,解出, ,它的解析式是 . 又有过点B平行于 轴的直线与抛物线仅有一个公共点,即 . 答:直线的解析式是 或 【方法四】 仿真实战法 考法1. 二次函数与一元二次方程联系的实际应用 16.(2023•衡阳)已知m>n>0,若关于x的方程x2+2x﹣3﹣m=0的解为x ,x (x <x ),关于x的方 1 2 1 2 程x2+2x﹣3﹣n=0的解为x ,x (x <x ).则下列结论正确的是( ) 3 4 3 4 A.x <x <x <x B.x <x <x <x 3 1 2 4 1 3 4 2 C.x <x <x <x D.x <x <x <x 1 2 3 4 3 4 1 2 【解答】解:关于x的方程x2+2x﹣3﹣m=0的解为抛物线y=x2+2x﹣3与直线y=m的交点的横坐标, 关于x的方程x2+2x﹣3﹣n=0的解为抛物线y=x2+2x﹣3与直线y=n的交点的横坐标, 如图:由图可知,x <x <x <x , 1 3 4 2 故选:B. 【点评】本题考查一元二次方程与二次函数的关系,解题的关键是画出图象,数形结合解决问题. 考法2. 二次函数与一元二次方程、一元二次不等式的联系 17.(2023•云南)数和形是数学研究客观物体的两个方面,数(代数)侧重研究物体数量方面,具有精 确性,形(几何)侧重研究物体形的方面,具有直观性.数和形相互联系,可用数来反映空间形式,也 可用形来说明数量关系.数形结合就是把两者结合起来考虑问题,充分利用代数、几何各自的优势,数 形互化,共同解决问题. 同学们,请你结合所学的数学解决下列问题. 在平面直角坐标系中,若点的横坐标、纵坐标都为整数,则称这样的点为整点.设函数 y=(4a+2) x2+(9﹣6a)x﹣4a+4(实数a为常数)的图象为图象T. (1)求证:无论a取什么实数,图象T与x轴总有公共点; (2)是否存在整数a,使图象T与x轴的公共点中有整点?若存在,求所有整数a的值;若不存在,请 说明理由. 【解答】(1)证明:当a=﹣ 时,函数表达式为y=12x+6, 令y=0得x=﹣ , ∴此时函数y=(4a+2)x2+(9﹣6a)x﹣4a+4(实数a为常数)的图象与x轴有交点; 当a≠ 时,y=(4a+2)x2+(9﹣6a)x﹣4a+4为二次函数,∵Δ=(9﹣6a)2﹣4(4a+2)(﹣4a+4)=100a2﹣140a+49=(10a﹣7)2≥0, ∴函数y=(4a+2)x2+(9﹣6a)x﹣4a+4(实数a为常数)的图象与x轴有交点; 综上所述,无论a取什么实数,图象T与x轴总有公共点; (2)解:存在整数a,使图象T与x轴的公共点中有整点,理由如下: 当a=﹣ 时,不符合题意; 当a≠ 时, 在y=(4a+2)x2+(9﹣6a)x﹣4a+4中,令y=0得:0=(4a+2)x2+(9﹣6a)x﹣4a+4, 解得x=﹣ 或x= , ∵x= =2﹣ ,a是整数, ∴当2a+1是6的因数时, 是整数, ∴2a+1=﹣6或2a+1=﹣3或2a+1=﹣2或2a+1=﹣1或2a+1=1或2a+1=2或2a+1=3或2a+1=6, 解得a=﹣ 或a=﹣2或a=﹣ 或a=﹣1或a=0或a= 或a=1或a= , ∵a是整数, ∴a=﹣2或a=﹣1或a=0或a=1. 【方法五】 成果评定法 一、单选题 1.(2023秋·浙江·九年级专题练习)如下表给出了二次函数 中,x,y的一些对应值,则可以 估计一元二次方程 的一个近似解(精确到0.1)为( ) … … x 2 2.1 2.2 2.3 2.4 … … … … y 0.24 0.89 1.56 … … A. B.2.2 C. D. 【答案】B【分析】由表格信息可得当 时, ;当 时, ,再比较 ,0.24哪个更接近 0即可解答. 【详解】解:当 时, ;当 时, , ∵0.24更接近于0, ∴方程的一个近似根为2.2, 故选:B. 【点睛】本题考查的是二次函数的图象与x轴的交点坐标,一元二次方程的近似解,熟练的运用数形结合 的方法解题是关键. 2.(2023·四川·九年级专题练习)如图,二次函数 的图象与x轴交于 , 两点,下 列说法正确的是( ) A.抛物线的对称轴为直线 B.抛物线的顶点坐标为 C. , 两点之间的距离为 D.当 时, 的值随 值的增大而增大 【答案】C 【分析】待定系数法求得二次函数解析式,进而逐项分析判断即可求解. 【详解】解:∵二次函数 的图象与x轴交于 , 两点, ∴ ∴ ∴二次函数解析式为 ,对称轴为直线 ,顶点坐标为 ,故A, B选项不正确,不符合题意;∵ ,抛物线开口向上,当 时, 的值随 值的增大而减小,故D选项不正确,不符合题意; 当 时, 即 ∴ , ∴ ,故C选项正确,符合题意; 故选:C. 【点睛】本题考查了二次函数的性质,待定系数法求二次函数解析式,抛物线与坐标轴的交点,熟练掌握 二次函数的性质是解题的关键. 3.(2023秋·九年级课时练习)二次函数 的图象如图所示,则关于 的不等式 的解集是( ) A. B. C. D. 或 【答案】D 【分析】根据二次函数 的图象与x轴的交点坐标求解即可. 【详解】∵二次函数 与x轴交于点 , 二次函数开口向上, ∴关于 的不等式 的解集是 或 . 故选:D. 【点睛】此题主要考查了二次函数与一元二次不等式之间的联系:根据当 时,利用图象得出不等式 解集是解题关键. 4.(2023秋·河北张家口·九年级统考期末)二次函数 的图象与 轴的交点坐标为( ) A. B. C. D.【答案】D 【分析】根据与y轴交点的横坐标为0进行计算即可. 【详解】解:当 时, , 与y轴的交点坐标为 , 故选:D. 【点睛】本题考查二次函数与y轴交点的坐标,掌握与y轴交点坐标特征 是解题关键. 5.(2023春·辽宁铁岭·九年级统考开学考试)如图所示是抛物线 的部分图象,其顶点 坐标为 ,且与x轴的一个交点在点 和 之间,则下列结论:① ;② ;③ ;④一元二次方程 没有实数根.其中正确的结论个数是( ) A.1个 B.2个 C.3个 D.4个 【答案】D 【分析】根据抛物线的顶点坐标和对称轴即可判断①,根据图象与x轴的交点可判断②,根据 进行等量代换,即可判断③,根据顶点坐标和抛物线与直线 没有交点即可判断④. 【详解】∵顶点坐标为 , ∴ ,即 , , ∵图象与x轴的一个交点在点 和 之间, ∴图象与x轴的另一个交点在点 和 之间, ∴当 时, ,故①正确;∴ ,故②正确; ∴ ,故③正确; 当 时,图象有最大值n, 此时,抛物线与直线 没有交点, ∴一元二次方程 没有实数根,故④正确; 故选:D. 【点睛】本题考查了抛物线的图象与性质,抛物线与x轴的交点等,熟练掌握知识点并能运用数形集合的 思想是解题的关键. 6.(2023春·湖南株洲·九年级统考期中)如图,抛物线 与x轴交于点 ,顶点 坐标 ,与y轴的交点在 , 之间(包含端点),则下列结论中,错误的是( ) A. B. C.对于任意实数m, 恒成立 D.关于x的方程 有两个相等的实数根 【答案】D 【分析】根据抛物线图像的性质得到a的范围,根据对称轴和x轴上的点可得到两个等量关系,变形替换 从而可以判断A、B,根据顶点最高可得到C正确,由数形结合可得到D错误. 【详解】解:A.∵抛物线的对称轴为直线 , ∴ , ∴ , 即 , ∵抛物线的开口向下,∴ , ∴ ,故A正确,不符合题意; B.∵抛物线与y轴的交点在 , 之间, ∴ , ∵抛物线 与x轴交于点 , ∴ , ∵ , ∴ , 解得: , ∴ , 解得: ,故B正确,不符合题意; C.∵抛物线的顶点坐标 ,抛物线开口向下, ∴二次函数的最大值为n, 把 代入 得: , ∴对于任意实数m, 恒成立,故C正确,不符合题意; D.∵二次函数 的最大值为n,二次函数 的图像与直线 无交点, ∴关于x的方程 无实数根,故D错误,符合题意. 故选:D. 【点睛】本次主要考查了二次函数图像与性质,准确的找出隐含的等量关系和利用数形结合的思想是解题 关键. 7.(2023秋·黑龙江哈尔滨·九年级哈尔滨工业大学附属中学校校考开学考试)已知二次函数 的图象如图所示,其对称轴为直线 ,给出下列结论:① ;② ;③ ;④ ;⑤ ,则正确的结论的个数为( )A.1 B.2 C.3 D.4 【答案】C 【分析】通过观察抛物线的开口方向,对称轴,抛物线与坐标轴的交点位置来确定系数的正负或关系,再 利用这些关系逐一分析判定即可. 【详解】解:观察图象可得:抛物线开口向上,对称轴为直线 ,抛物线与 轴交于负半轴,与 轴 有两个交点, ∴ , , , , ∴ , ,①正确; ∴ ,②错误; ,③错误; 观察图象可得, 时, ; 时, ; ∴ 时, ,④正确; 时, ,⑤正确; 综上分析可得,正确的是:①④⑤, 故选:C. 【点睛】本题考查了二次函数的图象及性质,二次函数与一元二次方程的关系,掌握二次函数的图象及性 质是解题的关键. 8.(2023·湖北黄石·统考模拟预测)如图,二次函数 的图象过点 ,对称轴为直 线 ,有以下结论: ; ; 若 , 是抛物线上的两点,当 时, ; 点 , 是抛物线与 轴的两个交点,若在 轴下方的抛物线上存在一点 ,使 得 ,则 的取值范围为 ; 若方程 的两根为 , ,且 ,则其中结论错误的有( ) A. 个 B. 个 C. 个 D. 个 【答案】C 【分析】根据二次函数的图象开口向上,与 轴相交于下半轴,对称轴为直线 ,可得 , , ,即可判断 ;由抛物线的对称轴为直线 ,可得 ,当 时, , 得 ,即可判断 ; 由 , 是抛物线上的两点,抛物线的对称性可知: ,当 时, ,即可判断 ;由 , 到对称轴的距离为 ,当抛物线 的顶点到 轴的距离不小于 时,在 轴下方的抛物线上存在点 ,使得 ,即 ,可得 ,所以 ,即可判断 ;抛物线与 轴的另外一个交点坐标为 ,得 ,若方程 ,即方程 的两根为 , , 则 、 为抛物线与直线 的两个交点的横坐标,因为 ,所以 ,即可判断 . 【详解】解: 由图象可知: , , , ,故 正确; 抛物线的对称轴为直线 , ,, 当 时, , , ,故 错误; , 是抛物线上的两点, 由抛物线的对称性可知: , 当 时, , 故 正确; 由题意可知: , 到对称轴的距离为 , 当抛物线的顶点到 轴的距离不小于 时, 在 轴下方的抛物线上存在点 ,使得 , 即 , , , , , 解得: ,故 错误; ∵对称轴为 ,抛物线过点 ∴抛物线与 轴的另外一个交点坐标为 , 若方程 , 即方程 的两根为 , , 则 、 为抛物线与直线 的两个交点的横坐标, ,,故 错误; 故错误的一共有 个, 故选:C. 【点睛】本题考查二次函数,解题的关键是熟练运用二次函数的图象与性质,本题属于基础题型. 9.(2023秋·全国·九年级专题练习)已知二次函数 ,当 时,则x的取值范围为( ) A. B. C. 或 D. 或 【答案】C 【分析】先求出当 时,对应的x的值,然后根据二次函数的性质即可解答. 【详解】解:根据题意可得:当 时,即 , 解得: , ∵ , ∴图象开口向上, ∵ , ∴ 或 故选:C. 【点睛】本题考查了二次函数的性质和二次函数与不等式的关系,正确理解题意、明确求解的方法是关键. 10.(2023·河南信阳·校考三模)若抛物线 向上平移 个单位后,在 范围 内与x轴只有一个交点,则m的取值范围是( ) A. B. C. D. 【答案】D 【分析】先根据函数图象平移规则“上加下减求得平移后的函数解析式,根据二次函数的性质,结合函数 的图象,进而可列出不等式组求解即可. 【详解】解:根据题意,平移后的抛物线的表达式为 , ∵平移后抛物线的开口向下,对称轴为直线 , ∴要使在 范围内与x轴只有一个交点,只需 时对应图象上的点在x轴下方, 时对应函 数图象上的点在x轴上或x轴上方,如图,∴ ,解得 , 故选:D. 【点睛】本题考查二次函数图象的平移、二次函数与x轴的交点问题,解答的关键是掌握二次函数的性质, 以及与方程、不等式的关系. 二、填空题 11.(2022秋·江苏连云港·九年级校考阶段练习)已知二次函数 的图象如图所示,则当 时,函数值y的取值范围是 . 【答案】 【分析】根据图象中的数据得到当横坐标 时的纵坐标范围即可. 【详解】解:由图象可知, 当 时,函数值 的取值范围 , 故答案为: . 【点睛】本题考查二次函数的图象和性质,解答本题的关键是明确题意,利用二次函数的性质和数形结合 的思想解答.12.(2023秋·北京海淀·九年级北京交通大学附属中学校考开学考试)已知抛物线 与x轴交于 A,B两点,与y轴交于点C,则 的面积为 . 【答案】 【分析】先令 得一元二次方程并求解可得点 , 的坐标,令 得 的值从而可得点 坐标,进一 步由三角形面积公式可得结论. 【详解】解:对于 令 ,得 , 解得: , , , , , 令 ,则 , , , , 故答案为: . 【点睛】本题考查的是抛物线与坐标轴的交点,主要考查函数图象上点的坐标特征,要求学生非常熟悉函 数与坐标轴的交点、顶点等点坐标的求法,及这些点代表的意义及函数特征. 13.(2023春·新疆伊犁·九年级校考开学考试)如图,二次函数 的图象与一次函数 的图象的交点A、B的坐标分别为 、 ,当 时,x的取值范围是 .【答案】 或 【分析】根据两函数的图象和 、 的坐标得出即可. 【详解】解:因为二次函数 的图象与一次函数 的图象的交点A、B的坐标分别为 、 , 所以当 时,x的取值范围是 或 . 【点睛】本题考查了二次函数与不等式、二次函数与一次函数的图象和性质等知识点,能根据图象得出正 确的信息是解题关键. 14.(2023秋·九年级课时练习)已知二次函数 ,则当 时, 的最大值与最小值的差 为 . 【答案】 / / 【分析】首先根据二次函数的性质得到开口向上,对称轴为 ,然后将 和 代入求解 即可. 【详解】∵二次函数 , ∵ , ∴开口向上,对称轴为 , ∴当 时,y随x的增大而减小,当 时,y随x的增大而增大, ∴当 时,∴当 时,y取得最小值,即 , ∵当 时,即 , 当 时,即 , ∴当 时,y取得最大值4, ∴ , ∴ 的最大值与最小值的差为 . 故答案为: . 【点睛】此题考查了二次函数的性质,解题的关键是熟练掌握二次函数的性质. 15.(2023秋·九年级课时练习)如图,抛物线 的对称轴是直线 ,关于 的方程 的一个根为 ,则另一个根为 . 【答案】 【分析】利用抛物线 的对称轴是 ,设 的另一根为x,利用二次函数的对 称性即可求出x. 【详解】解:∵抛物线 的对称轴是 , 设 的另一根为x, , ∴ . 故答案为: .【点睛】本题考查了抛物线与x轴的交点:把求二次函数 与x轴的交点坐标问题转化为解关 于x的一元二次方程. 16.(2023·四川眉山·校考三模)如图,二次函数 图象的一部分与x轴的一个交点坐 标为 ,对称轴为 ,结合图象给出下列结论:① , ② , ③ , ④ (m为任意实数),其中正确的结论有 .(请把正确结论的序号填在横线 上) 【答案】②④ 【分析】由抛物线开口向上,交y的负半轴即可判断①:由抛物线与x轴的交点可判断②;由抛物线的对 称性可得抛物线与x轴交点坐标,从而判断③;由 时y取最小值可判断④. 【详解】解:∵抛物线开口向上,交y的负半轴, ∴ , ∴ ,故①错误; ∵抛物线与x轴有两个交点, ∴ , ∴ ,故②正确; 由抛物线对称性可得抛物线与x轴另一交点坐标为 , ∴ ,故③错误; ∵ 时函数取最小值, ∴ , ∴ ,故④正确. 故答案为:②④.【点睛】本题考查二次函数图象与系数的关系,抛物线与x轴的交点,解题关键是掌握二次函数的性质. 17.(2023秋·九年级课时练习)若二次函数 的图象与 轴有公共点,则 的取值范围 是 . 【答案】 且 【分析】根据二次函数 的图象与 轴有公共点得到一元二次方程 有解且 ,再根据根的判别式进行判断即可得到答案. 【详解】解: 二次函数 的图象与 轴有公共点, ,且 有解, ,且 , 解得: 且 , 的取值范围是 且 , 故答案为: 且 . 【点睛】本题考查了二次函数的图象与 轴的交点,一元二次方程根与系数的关系,理解二者之间的关系 是解决问题的关键. 18.(2023秋·安徽·九年级阶段练习)在平面直角坐标系 中,直线 与x轴,y轴分别交于点 A,B,点A在抛物线 上,将点B向右平移3个单位长度,得到点C. (1)抛物线的顶点坐标为 (用含a的代数式表示); (2)若抛物线与线段 恰有一个公共点,结合函数图象,求a的取值范围 . 【答案】 或 【分析】(1)根据直线 与 轴、 轴交于A、 .可得 , ,根据抛物线 过 ,可得 ,根据一般式配方成顶点式即得抛物线的顶点坐标; (2)根据点 向右平移3个单位长度,得到点 ,分①当抛物线与 相交时,抛物线对称轴左侧部分在点B上方时, 得到 ;抛物线对称轴右侧部分在点C下方时,得到a不存在;②当抛物线顶 点在 上时,得到 ;即可. 【详解】解:(1)∵直线 与 轴、 轴交于A、 . ∴ 时, , , 时, , ∴ , , ∵抛物线 过 , ∴ , , ∴ , ∴顶点为 ; 故答案为: ; (2)∵ 向右平移3个单位长度,得到点C, ∴ , ∵ ,抛物线开口向下,抛物线与线段 恰有一个公共点, ①当抛物线与线段 相交时, 若抛物线过点 , , 实际此时抛物线在点 上方, ∴ , ; 若抛物线过点C, , 实际此时抛物线在点C下方, ∴a不存在;∴ ; ②当抛物线顶点 在 上时. 此时顶点为 , ∴ ,解得 . ∴综上所述, 或 . 故答案为: 或 . 【点睛】本题主要考查了一次函数,二次函数综合,熟练掌握一次函数与一元一次方程的关系,点的平移 规律,待定系数法,结合图象解不等式或方程,分类讨论,解题的关键. 三、解答题19.(2022秋·辽宁大连·九年级统考期中)已知二次函数 的图像与 轴交于 , 两点,且 点在 点左侧.若该二次函数的顶点为点 ,连接 , ,求 的面积. 【答案】 【分析】二次函数 的图像与 轴交于 , 两点,顶点为点 ,由此可求出 , , 的坐 标,并求出 的底和高,由此即可求解. 【详解】解: ,图像与 轴交于 , 两点,且 点在 点左侧, 顶点为点 , ∴ , , , 函数图像如下, ∴ , 的高 是点 纵坐标的绝对值,即 , ∴ ,即 的面积为 . 【点睛】本题主要考查二次函数图像的性质,掌握二次函数图像在平面直角坐标系中的位置,与坐标轴的 交点是解题的关键. 20.(2022秋·河南郑州·九年级校考阶段练习)如图,二次函数 的图象与x轴交于点A,B(A 在B的左侧),与一次函数 的图象交于A,C两点.(1)求b的值; (2)求 的面积. 【答案】(1) ; (2) . 【分析】(1)根据函数与方程的关系,当 时,求解一元二次方程,即可得出抛物线与x轴的两个交 点,然后将点A代入一次函数解析式即可确定b的值; (2)先求两个函数的交点C的坐标,把 代入 中,求解一元二次方程,即可确定点C 的坐标,然后结合图象,求三角形面积即可. 【详解】(1)解:当 时, , 解得: , , ∴抛物线与x轴交于 , ∵直线 经过A点, ∴ , ∴ ; (2)解:把 代入 中得: , 整理得 解得: (舍), ,把 代入 ,得 , ∴ , ∴ . 【点睛】本题主要考查二次函数与一次函数的综合问题,包括二次函数与坐标轴交点,待定系数法确定一 次函数解析式等,理解题意,熟练掌握二次函数及一次函数的基本性质是解题关键. 21.(2022秋·甘肃定西·九年级校联考阶段练习)如图,抛物线 与x轴交于点A和点 , 与y轴交于点 . (1)求该抛物线的解析式; (2)若点M是在x轴下方抛物线上的一动点,且点M的横坐标为m,过点M作 轴,交直线 于点 N,求线段 的长度L关于m的函数解析式及m的取值范围. 【答案】(1) (2) , 【分析】(1)利用待定系数法即可求得答案; (2)运用待定系数法求出直线 的解析式为 ,根据题意可得: , , 即可得出 ,由点 是在 轴下方抛物线上的一动点,且点 的横坐 标为 ,可得 .【详解】(1)解: 抛物线 经过点 , , , 解得: , 该抛物线的解析式为 ; (2)在 中,令 ,得 , 解得: , , 点 是在 轴下方抛物线上的一动点,且点 的横坐标为 , , 设直线 的解析式为 , 则 , 解得: , 直线 的解析式为 , 轴, , , , ,其中 . 【点睛】本题考查了待定系数法求函数解析式,抛物线与坐标轴的交点,二次函数性质等,熟练掌握待定 系数法是解题关键. 22.(2023春·浙江嘉兴·九年级校考开学考试)已知二次函数 , 的图象如图所示.(1)求y的取值范围; (2)若直线 与该函数图象只有一个交点,直接写出k的取值范围. 【答案】(1) (2) 或 【分析】(1)先配方,求出二次函数的最小值,然后计算 时 的值即可确定 的范围; (2)根据 的最小值和当 、 时, 的值即可确定 的取值范围. 【详解】(1)解:配方得: , 当 时, , 当 时, 的取值范围为: ; (2)二次函数 的顶点坐标为 , 当 时, , 即直线 与该函数图象只有一个交点, 当 时, , 当 时, , 当 时,直线 与该函数图象只有一个交点, 的范围为: 或 . 【点睛】本题考查了二次函数与不等式的关系,利用二次函数的顶点式正确确定顶点坐标是解题的关键. 23.(2023秋·安徽淮南·九年级统考开学考试)已知二次函数 . (1)将二次函数 化成顶点式; (2)求图像与 轴, 轴的交点坐标.【答案】(1) (2)与 轴交于点 ,与 轴交于点 , 【分析】(1)用配方法化成顶点式即可; (2)当 时,求出 ,当 时,求出 , ,即可得二次函数与坐标轴的交点坐标. 【详解】(1)解: ; (2)当 时, , 与 轴交于点 , 当 时, , , . 与 轴交于点 , . 【点睛】本题考查二次函数的顶点式以及与坐标轴交点坐标,掌握配方法是解决此题的关键. 24.(2023秋·九年级课时练习)已知二次函数 的图象如图所示,利用图象解答下列各题: (1)方程 的根是________;(2)方程 的根是________; (3)方程 的根是________; (4)方程 的根是________; (5)方程 的根的情况怎样? 【答案】(1) , (2) , (3) , (4) (5)方程 无实数根 【分析】(1)看二次函数与x轴交点的横坐标,然后结合图象即可求出答案; (2)看二次函数与直线 交点的横坐标,然后结合图象即可求出答案; (3)看二次函数与直线交点的横坐标,然后结合图象即可求出答案; (4)看二次函数与直线 交点的横坐标,然后结合图象即可求出答案; (5)看二次函数与直线 交点的情况,然后结合图象即可求出答案. 【详解】(1)由图象可得, 二次函数 与x轴交于点 和 ∴ 的根为 , ; (2)由图象可得, 二次函数 与直线 交于点 和 ∴ 的根为 , ; (3)由图象可得,二次函数 与直线 交于点 和 ∴ 的根为 , ; (4)由图象可得, 二次函数 与直线 交于点 ∴ 的根为 ; (5)由图象可得, 二次函数 与直线 没有交点 ∴ 无实数根. 【点睛】本题考查二次函数和一元二次方程的关系,解题的关键是熟练掌握二次函数的性质,利用数形结 合的思想求解,属于中考常考题型. 25.(2023秋·九年级课时练习)如图,二次函数 的图像与 轴交于点 ,根据图 像解答下列问题: (1)写出方程 的两个根; (2)当 为何值时, ?当 为何值时, ? 【答案】(1) (2)当 时, ;当 或 时,【分析】(1)结合二次函数图像分析求解即可; (2)结合二次函数图像与 轴点,观察图像总在 轴的上方和图像总在 轴的下方时 的取值范围,即可 获得答案. 【详解】(1)解:∵二次函数 的图像与 轴交于点 , ∴ 的根为 ; (2)∵二次函数 的图像与 轴交于点 , 观察图像可知:当 时,图像总在 轴的上方, ∴当 时, . 观察图像可知:当 或 时,图像总在 轴的下方, ∴当 或 时, . 【点睛】本题主要考查了二次函数的图像与性质、二次函数图像与 轴交点等知识,运用数形结合的思想 分析问题是解题关键. 26.(2023春·安徽·九年级专题练习)如图,在平面直角坐标系中,一次函数 经过点 ,交y 轴于点 ,经过原点O的抛物线 交直线 于点A,C,抛物线的顶点为D. (1)求抛物线 的表达式; (2)观察函数图象,写出不等式 的解集;(3)M是线段 上一点,N是抛物线上一点,当 轴且 时,求点M的坐标. 【答案】(1) (2) 或 (3) 或 或 . 【分析】(1)将点A、O的坐标分别代入抛物线解析式,解方程即可; (2)设直线 的解析式为 ,利用待定系数法求出解析式,联立抛物线解析式和直线解析式,解 方程组,求出点C坐标,结合图象求出 的解集; (3)根据直线 的解析式,设出M点坐标和N的坐标,再表示出 ,然后根据 解方程可得答 案. 【详解】(1)解: 抛物线 过点 和 , , 解得 , 抛物线的解析式为 ; (2) 一次函数 经过点 和点 , , 解得 , 一次函数解析式为 ,联立方程组 , 解方程组得 或 ,; 点C坐标为 , 的解集为 或 ; (3) 轴, 设 , ,其中 , 当M在N点的上方时, , 解得: , (舍去), , 当M在N点下方时, , 解得: , , , , 综上,满足条件的点M的坐标有三个 或 或 .【点睛】本题考查了二次函数与不等式(组),二次函数的图象与性质,待定系数法求函数解析式,正确 画图,并运用分类讨论的思想是解本题的关键.