当前位置:首页>文档>湖南省长沙市2019年中考数学真题试题_初中数学_九年级数学下册(人教版)_全国各地数学中考真题_2019年全国中考数学真题206份

湖南省长沙市2019年中考数学真题试题_初中数学_九年级数学下册(人教版)_全国各地数学中考真题_2019年全国中考数学真题206份

  • 2026-04-02 08:19:45 2026-03-27 04:06:15

文档预览

湖南省长沙市2019年中考数学真题试题_初中数学_九年级数学下册(人教版)_全国各地数学中考真题_2019年全国中考数学真题206份
湖南省长沙市2019年中考数学真题试题_初中数学_九年级数学下册(人教版)_全国各地数学中考真题_2019年全国中考数学真题206份
湖南省长沙市2019年中考数学真题试题_初中数学_九年级数学下册(人教版)_全国各地数学中考真题_2019年全国中考数学真题206份
湖南省长沙市2019年中考数学真题试题_初中数学_九年级数学下册(人教版)_全国各地数学中考真题_2019年全国中考数学真题206份
湖南省长沙市2019年中考数学真题试题_初中数学_九年级数学下册(人教版)_全国各地数学中考真题_2019年全国中考数学真题206份
湖南省长沙市2019年中考数学真题试题_初中数学_九年级数学下册(人教版)_全国各地数学中考真题_2019年全国中考数学真题206份
湖南省长沙市2019年中考数学真题试题_初中数学_九年级数学下册(人教版)_全国各地数学中考真题_2019年全国中考数学真题206份
湖南省长沙市2019年中考数学真题试题_初中数学_九年级数学下册(人教版)_全国各地数学中考真题_2019年全国中考数学真题206份
湖南省长沙市2019年中考数学真题试题_初中数学_九年级数学下册(人教版)_全国各地数学中考真题_2019年全国中考数学真题206份
湖南省长沙市2019年中考数学真题试题_初中数学_九年级数学下册(人教版)_全国各地数学中考真题_2019年全国中考数学真题206份
湖南省长沙市2019年中考数学真题试题_初中数学_九年级数学下册(人教版)_全国各地数学中考真题_2019年全国中考数学真题206份
湖南省长沙市2019年中考数学真题试题_初中数学_九年级数学下册(人教版)_全国各地数学中考真题_2019年全国中考数学真题206份
湖南省长沙市2019年中考数学真题试题_初中数学_九年级数学下册(人教版)_全国各地数学中考真题_2019年全国中考数学真题206份
湖南省长沙市2019年中考数学真题试题_初中数学_九年级数学下册(人教版)_全国各地数学中考真题_2019年全国中考数学真题206份
湖南省长沙市2019年中考数学真题试题_初中数学_九年级数学下册(人教版)_全国各地数学中考真题_2019年全国中考数学真题206份
湖南省长沙市2019年中考数学真题试题_初中数学_九年级数学下册(人教版)_全国各地数学中考真题_2019年全国中考数学真题206份

文档信息

文档格式
docx
文档大小
4.059 MB
文档页数
12 页
上传时间
2026-03-27 04:06:15

文档内容

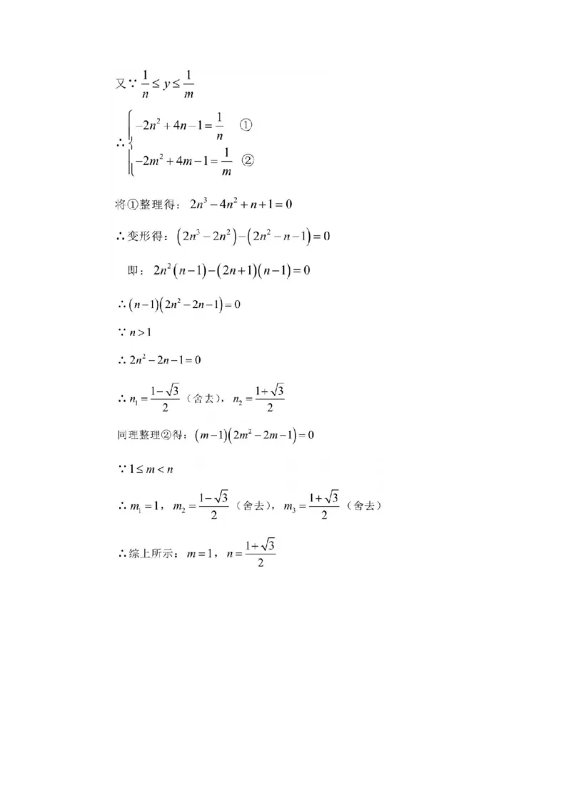
长沙市2019年初中学业水平考试数学试题卷 一、选择题(每小题有且只有一个正确答案,本题共12小题,每小题3分,共36分) 1.下列个数中,比﹣3小的数是 A.﹣5 B.﹣1 C.0 D.1 2.根据《长沙市电网供电能力提升三年行动计划》,明确到 2020年,长沙电网建设改造 投资规模达到15000000000元,确保安全供用电需求数据15000000000用科学记数法表 示为 15109 1.5109 1.51010 0.151011 A. B. C. D. 3.下列计算正确的是 A.3a2b5abB. (a3)2 a6 a6 a3 a2 (ab)2 a2 b2 C. D. 4.下列事件中,是必然事件的是 A.购买一张彩票,中奖B.射击运动员射击一次,命中靶心 C.经过有交通信号灯的路口,遇到红灯D.任意画一个三角形,其内角和是180° 5.如图,平行线AB,CD被直线AE所截,∠1=80°,则∠2的度数是 A.80°B.90°C.100°D.110° 6.某个几何体的三视图如图所示,该几何体是 7.在庆祝新中国成立70周年的校园歌唱比赛中,11名参赛同学的成绩各不相同,按照成 绩取前5名进入决赛.如果小明知道了自己的比赛成绩,要判断能否进入决赛,小明需 要知道这11名同学成绩的 A.平均数B.中位数C.众数D.方差 第5题第9题第10题 8.一个扇形的半径为6,圆心角为120°,则该扇形的面积是 A.2πB.4πC.12πD.24π1 2 9.如图,Rt△ABC中,∠C=90°,∠B=30°,分别以点A和点B为圆心,大于 AB的长 为半径作弧,两弧相交于M、N两点,作直线MN,交BC于点D,连接AD,则∠CAD的度 数是 A.20°B.30°C.45°D.60° 10.如图,一艘轮船从位于灯塔C的北偏东60°方向,距离灯塔60 n mile的小岛A出发, 沿正南方向航行一段时间后,到达位于灯塔C的南偏东45°方向上的B处,这时轮船 B与小岛A的距离是 30 3 (3030 3) A. n mileB.60n mileC.120n mileD. n mile 11.《孙子算经》是中国传统数学的重要著作,其中有一道题,原文是:“今有木,不知 长短,引绳度之,余绳四尺五寸;屈绳量之,不足一尺.木长几何?”意思是:用一根 绳子去量一根木头的长、绳子还剩余4.5尺;将绳子对折再量木头,则木头还剩余1尺, 问木头长多少尺?可设木头长为x尺,绳子长为y尺,则所列方程组正确的是 y  x4.5 y  x4.5 y  x4.5 y  x4.5     0.5y  x1 y 2x1 0.5y  x1 y 2x1 A. B. C. D. 12.如图,△ABC中,AB=AC=10,tanA=2,BE⊥AC于点E,D是线段BE上的一个动点, 5 5 则CD+ BD的最小值是 2 5 4 5 5 3 A. B. C. D.10 二、填空题(本题共6小题,每小题3分,共18分) x5 13.式子 在实数范围内有意义,则实数x的取值范围是. am2 9a 14.分解因式: =. x10  3x60 15.不等式组 的解集是. 16.在一个不透明的袋子中有若千个小球,这些球除颜色外无其他差别,从袋中随机摸出 一球,记下其颜色,这称为一次摸球试验,然后把它重新放回袋中并摇匀,不断重复 上述过程.以下是利用计算机模拟的摸球试验统计表: 根据试验所得数据,估计“摸出黑球”的概率是(结果保留小数点后一位). 17.如图,要测量池塘两岸相对的A,B两点间的距离,可以在池塘外选一点C,连接AC,BC,分别取AC,BC的中点D,E,测得DE=50m,则AB的长是m. k y  x 18.如图,函数 (k为常数,k>0)的图象与过原点的O的直线相交于A,B两点,点 M是第一象限内双曲线上的动点(点M在点A的左侧),直线AM分别交x轴,y轴于 C,D两点,连接BM分别交x轴,y轴于点E,F.现有以下四个结论:①△ODM与 △OCA的面积相等;②若BM⊥AM于点M,则∠MBA=30°;③若M点的横坐标为1, 2 2 3 5 △OAM为等边三角形,则k= ;④若MF= MB,则MD=2MA.其中正确的结论 的序号是. 第12题第9题第10题 三、解答题(本大题共8小题,共66分) 1  2 ( )1 6 32cos60 2 19.(6分)计算: . a3 1 a2 4a4 (  ) a1 a1 a2 a 20.(6分)先化简,再求值: ,其中a=3. 21.(8分)某学校开展了主题为“垃圾分类,绿色生活新时尚”的宣传活动,为了解学 生对垃圾分类知识的掌握情况,该校环保社团成员在校园内随机抽取了部分学生进行 问卷调查,将他们的得分按优秀、良好、合格、待合格四个等级进行统计,并绘制了如 下不完整的统计表和条形统计图. 请根据以上信息,解答下列问题:(1)本次调查随机抽取了名学生;表中m=,n=; (2)补全条形统计图; (3)若全校有2000名学生,请你估计该校掌握垃圾分类知识达到“优秀”和“良 好” 等级的学生共有多少人. 22.(8分)如图,正方形ABCD,点E,F分别在AD,CD上,且DE=CF,AF与BE相交于点 G. (1)求证:BE=AF; (2)若AB=4,DE=1,求AG的长. 23.(9分)近日,长沙市教育局出台《长沙市中小学教师志愿辅导工作实施意见》鼓励 教师与志愿辅导,某区率先示范,推出名师公益大课堂,为学生提供线上线下免费辅 导,据统计,第一批公益课受益学生2万人次,第三批公益课受益学生2.42万人次. (1)如果第二批,第三批公益课受益学生人次的增长率相同,求这个增长率; (2)按照这个增长率,预计第四批公益课受益学生将达到多少万人次? 24.(9分)根据相似多边形的定义,我们把四个角分别相等,四条边成比例的两个凸四 边形叫做相似四边形.相似四边形对应边的比叫做相似比. (1)某同学在探究相似四边形的判定时,得到如下三个命题,请判断它们是否正确 (直接在横线上填写“真”或“假”). ①条边成比例的两个凸四边形相似;(命题) ②三个角分别相等的两个凸四边形相似;(命题) ③两个大小不同的正方形相似.(命题) (2)如图1,在四边形ABCD和四边形ABCD 中,∠ABC=∠ABC,∠BCD=∠BCD, 1 1 1 1 1 1 1 1 1 1 AB BC CD   A B BC C D 1 1 1 1 1 1 ,求证:四边形ABCD与四边形ABCD 相似. 1 1 1 1(3)如图2,四边形ABCD中,AB∥CD,AC与BD相交于点O,过点O作EF∥AB分别交AD, BC于点E,F.记四边形ABFE的面积为S ,四边形EFDE的面积为S ,若四边形 1 2 S 2 S ABFE与四边形EFCD相似,求 1 的值. y 2x2 (b2)x(c2020) 25.(10分)已知抛物线 (b,c为常数). (1)若抛物线的顶点坐标为(1,1),求b,c的值; (2)若抛物线上始终存在不重合的两点关于原点对称,求c的取值范围; m 2m1 (3)在(1)的条件下,存在正实数m,n( m<n),当m≤x≤n时,恰好有 ≤ 1 n y2 2n1 ≤ ,求m,n的值. 26.(10分)如图,抛物线 y ax2 6ax (a为常数,a>0)与x轴交于O,A两点,点B 为抛物线的顶点,点D的坐标为(t,0)(﹣3<t<0),连接BD并延长与过O,A,B三 点的⊙P相交于点C. (1)求点A的坐标; (2)过点C作⊙P的切线CE交x轴于点E.①如图1,求证:CE=DE;②如图2,连接 3 1 1  AC,BE,BO,当a= 3 ,∠CAE=∠OBE时,求 OD OE 的值.参考答案