当前位置:首页>文档>专题11锐角三角函数重难点题型专训(7大题型)(解析版)_初中数学人教版_9下-初中数学人教版_07专项讲练_2023-2024学年九年级数学全册重难点专题提升精讲精练(人教版)_九年级下册

专题11锐角三角函数重难点题型专训(7大题型)(解析版)_初中数学人教版_9下-初中数学人教版_07专项讲练_2023-2024学年九年级数学全册重难点专题提升精讲精练(人教版)_九年级下册

  • 2026-04-13 04:44:49 2026-03-27 08:37:57

文档预览

专题11锐角三角函数重难点题型专训(7大题型)(解析版)_初中数学人教版_9下-初中数学人教版_07专项讲练_2023-2024学年九年级数学全册重难点专题提升精讲精练(人教版)_九年级下册
专题11锐角三角函数重难点题型专训(7大题型)(解析版)_初中数学人教版_9下-初中数学人教版_07专项讲练_2023-2024学年九年级数学全册重难点专题提升精讲精练(人教版)_九年级下册
专题11锐角三角函数重难点题型专训(7大题型)(解析版)_初中数学人教版_9下-初中数学人教版_07专项讲练_2023-2024学年九年级数学全册重难点专题提升精讲精练(人教版)_九年级下册
专题11锐角三角函数重难点题型专训(7大题型)(解析版)_初中数学人教版_9下-初中数学人教版_07专项讲练_2023-2024学年九年级数学全册重难点专题提升精讲精练(人教版)_九年级下册
专题11锐角三角函数重难点题型专训(7大题型)(解析版)_初中数学人教版_9下-初中数学人教版_07专项讲练_2023-2024学年九年级数学全册重难点专题提升精讲精练(人教版)_九年级下册
专题11锐角三角函数重难点题型专训(7大题型)(解析版)_初中数学人教版_9下-初中数学人教版_07专项讲练_2023-2024学年九年级数学全册重难点专题提升精讲精练(人教版)_九年级下册
专题11锐角三角函数重难点题型专训(7大题型)(解析版)_初中数学人教版_9下-初中数学人教版_07专项讲练_2023-2024学年九年级数学全册重难点专题提升精讲精练(人教版)_九年级下册
专题11锐角三角函数重难点题型专训(7大题型)(解析版)_初中数学人教版_9下-初中数学人教版_07专项讲练_2023-2024学年九年级数学全册重难点专题提升精讲精练(人教版)_九年级下册
专题11锐角三角函数重难点题型专训(7大题型)(解析版)_初中数学人教版_9下-初中数学人教版_07专项讲练_2023-2024学年九年级数学全册重难点专题提升精讲精练(人教版)_九年级下册
专题11锐角三角函数重难点题型专训(7大题型)(解析版)_初中数学人教版_9下-初中数学人教版_07专项讲练_2023-2024学年九年级数学全册重难点专题提升精讲精练(人教版)_九年级下册
专题11锐角三角函数重难点题型专训(7大题型)(解析版)_初中数学人教版_9下-初中数学人教版_07专项讲练_2023-2024学年九年级数学全册重难点专题提升精讲精练(人教版)_九年级下册
专题11锐角三角函数重难点题型专训(7大题型)(解析版)_初中数学人教版_9下-初中数学人教版_07专项讲练_2023-2024学年九年级数学全册重难点专题提升精讲精练(人教版)_九年级下册
专题11锐角三角函数重难点题型专训(7大题型)(解析版)_初中数学人教版_9下-初中数学人教版_07专项讲练_2023-2024学年九年级数学全册重难点专题提升精讲精练(人教版)_九年级下册
专题11锐角三角函数重难点题型专训(7大题型)(解析版)_初中数学人教版_9下-初中数学人教版_07专项讲练_2023-2024学年九年级数学全册重难点专题提升精讲精练(人教版)_九年级下册
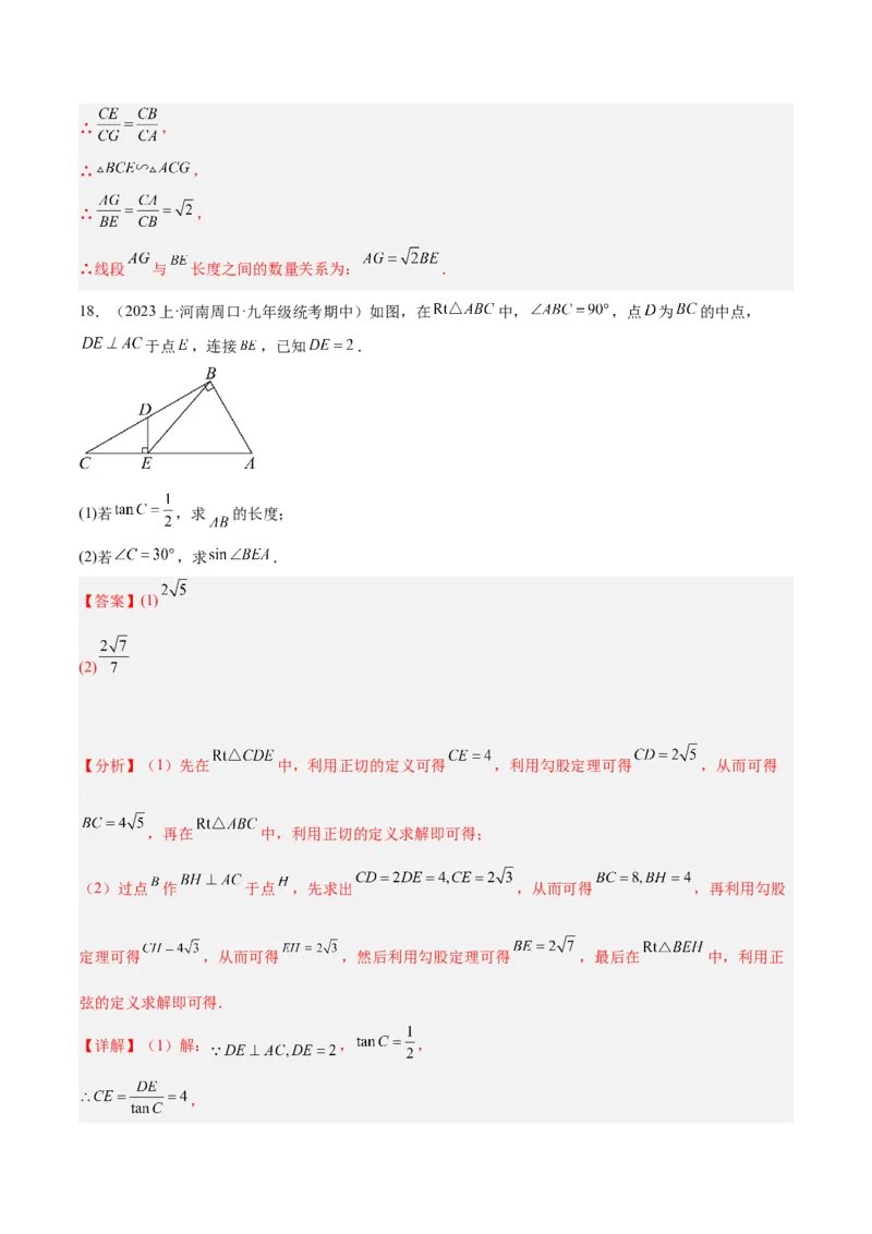
专题11锐角三角函数重难点题型专训(7大题型)(解析版)_初中数学人教版_9下-初中数学人教版_07专项讲练_2023-2024学年九年级数学全册重难点专题提升精讲精练(人教版)_九年级下册
专题11锐角三角函数重难点题型专训(7大题型)(解析版)_初中数学人教版_9下-初中数学人教版_07专项讲练_2023-2024学年九年级数学全册重难点专题提升精讲精练(人教版)_九年级下册
专题11锐角三角函数重难点题型专训(7大题型)(解析版)_初中数学人教版_9下-初中数学人教版_07专项讲练_2023-2024学年九年级数学全册重难点专题提升精讲精练(人教版)_九年级下册
专题11锐角三角函数重难点题型专训(7大题型)(解析版)_初中数学人教版_9下-初中数学人教版_07专项讲练_2023-2024学年九年级数学全册重难点专题提升精讲精练(人教版)_九年级下册
专题11锐角三角函数重难点题型专训(7大题型)(解析版)_初中数学人教版_9下-初中数学人教版_07专项讲练_2023-2024学年九年级数学全册重难点专题提升精讲精练(人教版)_九年级下册
专题11锐角三角函数重难点题型专训(7大题型)(解析版)_初中数学人教版_9下-初中数学人教版_07专项讲练_2023-2024学年九年级数学全册重难点专题提升精讲精练(人教版)_九年级下册
专题11锐角三角函数重难点题型专训(7大题型)(解析版)_初中数学人教版_9下-初中数学人教版_07专项讲练_2023-2024学年九年级数学全册重难点专题提升精讲精练(人教版)_九年级下册
专题11锐角三角函数重难点题型专训(7大题型)(解析版)_初中数学人教版_9下-初中数学人教版_07专项讲练_2023-2024学年九年级数学全册重难点专题提升精讲精练(人教版)_九年级下册
专题11锐角三角函数重难点题型专训(7大题型)(解析版)_初中数学人教版_9下-初中数学人教版_07专项讲练_2023-2024学年九年级数学全册重难点专题提升精讲精练(人教版)_九年级下册
专题11锐角三角函数重难点题型专训(7大题型)(解析版)_初中数学人教版_9下-初中数学人教版_07专项讲练_2023-2024学年九年级数学全册重难点专题提升精讲精练(人教版)_九年级下册
专题11锐角三角函数重难点题型专训(7大题型)(解析版)_初中数学人教版_9下-初中数学人教版_07专项讲练_2023-2024学年九年级数学全册重难点专题提升精讲精练(人教版)_九年级下册
专题11锐角三角函数重难点题型专训(7大题型)(解析版)_初中数学人教版_9下-初中数学人教版_07专项讲练_2023-2024学年九年级数学全册重难点专题提升精讲精练(人教版)_九年级下册
专题11锐角三角函数重难点题型专训(7大题型)(解析版)_初中数学人教版_9下-初中数学人教版_07专项讲练_2023-2024学年九年级数学全册重难点专题提升精讲精练(人教版)_九年级下册
专题11锐角三角函数重难点题型专训(7大题型)(解析版)_初中数学人教版_9下-初中数学人教版_07专项讲练_2023-2024学年九年级数学全册重难点专题提升精讲精练(人教版)_九年级下册
专题11锐角三角函数重难点题型专训(7大题型)(解析版)_初中数学人教版_9下-初中数学人教版_07专项讲练_2023-2024学年九年级数学全册重难点专题提升精讲精练(人教版)_九年级下册
专题11锐角三角函数重难点题型专训(7大题型)(解析版)_初中数学人教版_9下-初中数学人教版_07专项讲练_2023-2024学年九年级数学全册重难点专题提升精讲精练(人教版)_九年级下册
专题11锐角三角函数重难点题型专训(7大题型)(解析版)_初中数学人教版_9下-初中数学人教版_07专项讲练_2023-2024学年九年级数学全册重难点专题提升精讲精练(人教版)_九年级下册
专题11锐角三角函数重难点题型专训(7大题型)(解析版)_初中数学人教版_9下-初中数学人教版_07专项讲练_2023-2024学年九年级数学全册重难点专题提升精讲精练(人教版)_九年级下册
专题11锐角三角函数重难点题型专训(7大题型)(解析版)_初中数学人教版_9下-初中数学人教版_07专项讲练_2023-2024学年九年级数学全册重难点专题提升精讲精练(人教版)_九年级下册
专题11锐角三角函数重难点题型专训(7大题型)(解析版)_初中数学人教版_9下-初中数学人教版_07专项讲练_2023-2024学年九年级数学全册重难点专题提升精讲精练(人教版)_九年级下册
专题11锐角三角函数重难点题型专训(7大题型)(解析版)_初中数学人教版_9下-初中数学人教版_07专项讲练_2023-2024学年九年级数学全册重难点专题提升精讲精练(人教版)_九年级下册
专题11锐角三角函数重难点题型专训(7大题型)(解析版)_初中数学人教版_9下-初中数学人教版_07专项讲练_2023-2024学年九年级数学全册重难点专题提升精讲精练(人教版)_九年级下册
专题11锐角三角函数重难点题型专训(7大题型)(解析版)_初中数学人教版_9下-初中数学人教版_07专项讲练_2023-2024学年九年级数学全册重难点专题提升精讲精练(人教版)_九年级下册
专题11锐角三角函数重难点题型专训(7大题型)(解析版)_初中数学人教版_9下-初中数学人教版_07专项讲练_2023-2024学年九年级数学全册重难点专题提升精讲精练(人教版)_九年级下册
专题11锐角三角函数重难点题型专训(7大题型)(解析版)_初中数学人教版_9下-初中数学人教版_07专项讲练_2023-2024学年九年级数学全册重难点专题提升精讲精练(人教版)_九年级下册
专题11锐角三角函数重难点题型专训(7大题型)(解析版)_初中数学人教版_9下-初中数学人教版_07专项讲练_2023-2024学年九年级数学全册重难点专题提升精讲精练(人教版)_九年级下册
专题11锐角三角函数重难点题型专训(7大题型)(解析版)_初中数学人教版_9下-初中数学人教版_07专项讲练_2023-2024学年九年级数学全册重难点专题提升精讲精练(人教版)_九年级下册
专题11锐角三角函数重难点题型专训(7大题型)(解析版)_初中数学人教版_9下-初中数学人教版_07专项讲练_2023-2024学年九年级数学全册重难点专题提升精讲精练(人教版)_九年级下册
专题11锐角三角函数重难点题型专训(7大题型)(解析版)_初中数学人教版_9下-初中数学人教版_07专项讲练_2023-2024学年九年级数学全册重难点专题提升精讲精练(人教版)_九年级下册
专题11锐角三角函数重难点题型专训(7大题型)(解析版)_初中数学人教版_9下-初中数学人教版_07专项讲练_2023-2024学年九年级数学全册重难点专题提升精讲精练(人教版)_九年级下册
专题11锐角三角函数重难点题型专训(7大题型)(解析版)_初中数学人教版_9下-初中数学人教版_07专项讲练_2023-2024学年九年级数学全册重难点专题提升精讲精练(人教版)_九年级下册
专题11锐角三角函数重难点题型专训(7大题型)(解析版)_初中数学人教版_9下-初中数学人教版_07专项讲练_2023-2024学年九年级数学全册重难点专题提升精讲精练(人教版)_九年级下册
专题11锐角三角函数重难点题型专训(7大题型)(解析版)_初中数学人教版_9下-初中数学人教版_07专项讲练_2023-2024学年九年级数学全册重难点专题提升精讲精练(人教版)_九年级下册
专题11锐角三角函数重难点题型专训(7大题型)(解析版)_初中数学人教版_9下-初中数学人教版_07专项讲练_2023-2024学年九年级数学全册重难点专题提升精讲精练(人教版)_九年级下册
专题11锐角三角函数重难点题型专训(7大题型)(解析版)_初中数学人教版_9下-初中数学人教版_07专项讲练_2023-2024学年九年级数学全册重难点专题提升精讲精练(人教版)_九年级下册
专题11锐角三角函数重难点题型专训(7大题型)(解析版)_初中数学人教版_9下-初中数学人教版_07专项讲练_2023-2024学年九年级数学全册重难点专题提升精讲精练(人教版)_九年级下册
专题11锐角三角函数重难点题型专训(7大题型)(解析版)_初中数学人教版_9下-初中数学人教版_07专项讲练_2023-2024学年九年级数学全册重难点专题提升精讲精练(人教版)_九年级下册
专题11锐角三角函数重难点题型专训(7大题型)(解析版)_初中数学人教版_9下-初中数学人教版_07专项讲练_2023-2024学年九年级数学全册重难点专题提升精讲精练(人教版)_九年级下册
专题11锐角三角函数重难点题型专训(7大题型)(解析版)_初中数学人教版_9下-初中数学人教版_07专项讲练_2023-2024学年九年级数学全册重难点专题提升精讲精练(人教版)_九年级下册
专题11锐角三角函数重难点题型专训(7大题型)(解析版)_初中数学人教版_9下-初中数学人教版_07专项讲练_2023-2024学年九年级数学全册重难点专题提升精讲精练(人教版)_九年级下册
专题11锐角三角函数重难点题型专训(7大题型)(解析版)_初中数学人教版_9下-初中数学人教版_07专项讲练_2023-2024学年九年级数学全册重难点专题提升精讲精练(人教版)_九年级下册
专题11锐角三角函数重难点题型专训(7大题型)(解析版)_初中数学人教版_9下-初中数学人教版_07专项讲练_2023-2024学年九年级数学全册重难点专题提升精讲精练(人教版)_九年级下册
专题11锐角三角函数重难点题型专训(7大题型)(解析版)_初中数学人教版_9下-初中数学人教版_07专项讲练_2023-2024学年九年级数学全册重难点专题提升精讲精练(人教版)_九年级下册
专题11锐角三角函数重难点题型专训(7大题型)(解析版)_初中数学人教版_9下-初中数学人教版_07专项讲练_2023-2024学年九年级数学全册重难点专题提升精讲精练(人教版)_九年级下册
专题11锐角三角函数重难点题型专训(7大题型)(解析版)_初中数学人教版_9下-初中数学人教版_07专项讲练_2023-2024学年九年级数学全册重难点专题提升精讲精练(人教版)_九年级下册
专题11锐角三角函数重难点题型专训(7大题型)(解析版)_初中数学人教版_9下-初中数学人教版_07专项讲练_2023-2024学年九年级数学全册重难点专题提升精讲精练(人教版)_九年级下册
专题11锐角三角函数重难点题型专训(7大题型)(解析版)_初中数学人教版_9下-初中数学人教版_07专项讲练_2023-2024学年九年级数学全册重难点专题提升精讲精练(人教版)_九年级下册
专题11锐角三角函数重难点题型专训(7大题型)(解析版)_初中数学人教版_9下-初中数学人教版_07专项讲练_2023-2024学年九年级数学全册重难点专题提升精讲精练(人教版)_九年级下册
专题11锐角三角函数重难点题型专训(7大题型)(解析版)_初中数学人教版_9下-初中数学人教版_07专项讲练_2023-2024学年九年级数学全册重难点专题提升精讲精练(人教版)_九年级下册
专题11锐角三角函数重难点题型专训(7大题型)(解析版)_初中数学人教版_9下-初中数学人教版_07专项讲练_2023-2024学年九年级数学全册重难点专题提升精讲精练(人教版)_九年级下册
专题11锐角三角函数重难点题型专训(7大题型)(解析版)_初中数学人教版_9下-初中数学人教版_07专项讲练_2023-2024学年九年级数学全册重难点专题提升精讲精练(人教版)_九年级下册

文档信息

文档格式
docx
文档大小
3.408 MB
文档页数
61 页
上传时间
2026-03-27 08:37:57

文档内容

专题11 锐角的三角函数重难点题型专训(7大题型) 【题型目录】 题型一 正弦、余弦与正切的概念辨析 题型二 求角的正弦值 题型三 已知正弦值求边长 题型四 求角的余弦值 题型五 已知余弦值求边长 题型六 求角的正切值 题型七 已知正切值求边长 【知识梳理】 知识点1:正切与余切 1.正切 直角三角形中一个锐角的对边与邻边的比叫做这个锐角的正切(tangent).锐角A的正切记作tan A. . 2.余切 直角三角形中一个锐角的邻边与对边的比叫做这个锐角的余切(cotangent).锐角A的余切记作cot A. . B c a A C b 知识点2:正弦与余弦 1.正弦 直角三角形中一个锐角的对边与斜边的比叫做这个锐角的正弦(sine).锐角A的正弦记作sin A.. 2.余弦 直角三角形中一个锐角的邻边与斜边的比叫做这个锐角的余弦(cosine).锐角A的余弦记作cos A. . B c a A C b 【经典例题一 正弦、余弦与正切的概念辨析】 1.(2023上·福建泉州·九年级校考期中)若 是锐角,下列说法正确的是( ) A. B. C. D. 【答案】A 【分析】本题考查三角函数.根据三角函数的定义和性质,逐一进行判断即可. 【详解】解:如图, , 则: , ∵ ,∴ ;故A正确; ∵ , ∴ ;故B错误; ∵ , ∴ ;故C错误; ∵ , ∴ ;故D错误; 故选:A. 2.(2023·福建泉州·统考一模)在 中, , ,则 的值是( ) A. B. C. D. 【答案】C 【分析】根据三角函数的定义得到 ,设 , ,利用勾股定理得到 ,即可求 出 的值. 【详解】解:如图, 中, , , , 设 , , 由勾股定理得: ,, 故选:C. 【点睛】本题考查了锐角三角函数,勾股定理,熟练掌握锐角三角函数的定义是解题关键. 3.(2021上·吉林·九年级校考阶段练习)如图,在上述网格中,小正方形的边长均为1,点A,B,O都在 格点上,则∠AOB的正弦值是 . 【答案】 【分析】利用勾股定理求出AO、BO的长,再由 = AB×2= AO⋅BC,得出BC,sin∠AOB可得答案. 【详解】解:如图,过点O作OE⊥AB于点E, 过点B作BC⊥OA于点C. 由勾股定理,得AO= ,BO= , ∵ = AB×OE= AO×BC, ∴BC= = , ∴sin∠AOB= = .故答案为: . 【点睛】本题主要考查三角函数的综合应用,熟练掌握正弦函数的意义、勾股定理的应用及三角形的面积 求法是解题的关键. 4.(2022上·九年级单元测试)当 时, .在 中, 是斜边 上的高, 那么与 的值相等的锐角三角函数是 . 【答案】 , , , 【分析】根据题意作出相应图形,然后利用正弦和余弦函数的定义即可求解. 【详解】解:如图所示, ∵ 是斜边 上的高, ∴ , ∴ , ∵ , ∴ , ∴ , ∵ , ∴ , ∴ , 故答案为: , , , . 【点睛】题目主要考查正弦函数和余弦函数的定义,理解三角函数的基本定义是解题关键. 5.(2023上·山西长治·九年级校联考阶段练习)如图,在 中, , , , , 的对边分别是 , , .(1)利用锐角三角函数的定义求证: ; (2)若 ,求 的值. 【答案】(1)见解析 (2)3 【分析】本题主要考查了三角函数的定义; (1)根据三角函数的定义进行证明即可; (2)根据(1)中的结论得出 ,即 ,然后代入求值即可. 解题的关键是熟练掌握三角函数的定义,在一个 中, ,则 , , . 【详解】(1)证明:∵在 中, , , , , 的对边分别是 , , , ∴ , , , ∴ , ∴ . (2)解:∵ , ∴ , ∴ .【经典例题二 求角的正弦值】 1.(2023上·江苏淮安·九年级校考期中)如图,点A,B,C都是正方形网格的格点,连接 , ,则 的正弦值为( ) A. B. C. D.2 【答案】B 【分析】本题考查网格中求三角函数值,三角函数定义,勾股定理及其逆定理,连接 ,设小正方形边 长为 ,求出 , , ,即可证明 是直角三角形, 问题随之得解. 【详解】解:连接 ,如图所示: 设小正方形边长为 , , , , , ∴ 是直角三角形, 在 中, , 故选:B. 2.(2023上·重庆九龙坡·九年级重庆实验外国语学校校考期中)如图, 的半径为8, 内接于 , 于点D,F为弦 的中点,连接 ,若 ,则 的值为( )A. B. C. D. 【答案】C 【分析】本题考查圆周角定理,求角的正弦值.连接 ,推出 ,等角的余角相等,得到 ,得到 ,即可得出结果. 【详解】解:连接 ,则: , , ∵F为弦 的中点, ∴ , ∴ , ∵ , ∴ , ∴ , ∴ ; 故选C. 3.(2023上·安徽阜阳·九年级校考阶段练习) 中 ,则 . 【答案】1 【分析】本题考查了勾股定理,正弦.熟练掌握勾股定理, 是解题的关键. 如图,由题意知, , ,代入求解即可.【详解】解:如图, 由题意知, , , ∴ , 故答案为:1. 4.(2023上·广西贵港·九年级统考期中)如图,在 个形状、大小完全相同的正方形组成的网格中,正方 形的顶点称为格点,点 都在格点上,则 的值是 . 【答案】 / 【分析】本题考查正方形的性质,三角函数、勾股定理等知识,如图,连接 、 ,先证明 , 、 、 共线,再根据 ,求出 、 即可解决问题.解题的关键是添 加辅助线构造直角三角形解决问题. 【详解】解:如图,连接 , , 设正方形的边长为 ,由题意得 , , ∴ , , ∴ 、 、 共线, ∵ , ,∴在 中, . 故答案为: . 5(2022上·江西宜春·九年级江西省宜丰中学校考期中)如图,在 中, , , , (1)求 的长; (2)求 . 【答案】(1) ; (2) . 【分析】(1)通过解直角三角形先求出 的值,之后通过勾股定理进一步求解即可; (2)利用正弦函数的定义求解即可. 【详解】(1)解:∵在 中, , ∴ , ∵ , ∴ ,即 , 又∵ , ∴ ; (2)解:由(1)知 , ∴ .【点睛】本题主要考查了解直角三角形与勾股定理的运用,熟练掌握锐角三角函数的定义是解题关键. 【经典例题三 已知正弦值求边长】 1.(2022上·黑龙江大庆·九年级校考开学考试)在 中, ,斜边上的中线 , , 则 ( ) A.18 B. C. D.没有正确答案 【答案】C 【分析】根据直角三角形斜边上的中线等于斜边的一半可求出 ,再根据三角形正弦的定义求出 ,根据勾股定理求出 ,最后根据三角形的面积公式进行计算即可得到答案. 【详解】解: 在 中, ,斜边上的中线 , , , , , , 故选:C. 【点睛】本题考查了直角三角形的性质、锐角三角函数的概念、勾股定理,熟练掌握以上知识点是解此题 的关键. 2.(2023·陕西咸阳·统考二模)如图,点A,B,C均在 上,连接 、 、 ,过点O作 于点D,若 的半径为4, ,则弦 的长是( )A.2 B. C. D.4 【答案】C 【分析】连接 、 ,由等腰三角形的性质得到 , ,再由圆周角定理得到 ,进而得到 ,然后利用特殊角的三角函数,求出 ,即可求出弦 的长. 【详解】解:连接 、 , , , , , , , , , , 故选:C.【点睛】本题考查了圆周角定理,等腰三角形的性质,特殊角的三角函数,解题关键是利用圆周角定理和 等腰三角形的性质求出 的度数. 3.(2023上·重庆万州·九年级重庆市万州第二高级中学校考期中)在 中, , ,则 的值为 . 【答案】 【分析】本题考查了三角函数:正弦与余弦及勾股定理,掌握定义是关键;先画出图形,由正弦值设 ,则 ,由勾股定理可求得 ,即可求得 的值. 【详解】解:如图, ∵ , ∴设 ,其中 ,则 , 由勾股定理得 , ∴ , 故答案为: . 4.(2023下·九年级课时练习)在 中,若 ,则 . 【答案】21或11 【详解】如下图,过点 作 于点 ,在 中,由 ,得.在 中, ,则 或 . 【易错点分析】条件中 满足的条件是两边一角,其中一边是角的对边,根据上图可以发现有两种情 况,所以对三角形的形状、大小进行确定性判断是不漏解的重要方法. 5.(2023上·上海崇明·九年级校联考期中)如图,在 中, , , . (1)求 的长. (2)若点D在 边上,且 ,求 的值. 【答案】(1)10 (2) 【分析】本题考查了正弦,正切,勾股定理.熟练掌握 , 是解题的关键. (1)如图1,过A作 于E.在 中,由 ,解得 ,由勾股定理得, .在 中,由 ,解得 ,根据 ,计算求解即可. (2)如图2,过D作 于H.由题意知, , ,在 中,由 , 设 ,则 ,由勾股定理得, ,由 ,解得 ,则 ,,由(1)知, ,则 ,在 中,根据 , 计算求解即可. 【详解】(1)解:如图1,过A作 于E. 在 中, ∵ , ,解得 , 由勾股定理得, . 在 中, ∵ ,解得 , ∴ . (2)解:如图2,过D作 于H. ∵ , , ∴ , , 在 中, , 设 ,则 , 由勾股定理得, , 又∵ , 解得 ,∴ , , 由(1)知, , ∴ , 在 中, , ∴ 的值为 . 【经典例题四 求角的余弦值】 1.(2023上·浙江宁波·九年级宁波市第七中学校联考期中)已知 ,则 ( ) A. B. C. D. 【答案】C 【分析】根据题意构造直角三角形,然后利用勾股定理求得斜边与直角边之间的关系式,最后利用余弦的 定义即可求解.解题的关键是理解正切、余弦在直角三角形中的表达式. 【详解】如图所示,依据题意建立直角三角形 ,其中 则 , , ∴∴ 故选:C. 2.(2023上·山西临汾·九年级统考期中)在 中, , ,则 的值是() A. B. C. D. 【答案】B 【分析】本题考查了同角三角函数的关系,熟练掌握锐角三角函数的定义是解题的关键. 根据已知先设 ,然后利用勾股定理求出 ,再利用锐角三角函数的定义进行计算即可解 答. 【详解】∵ , ∴ , ∴设 , ∴ , ∴ , 故选:B. 3.(2023上·上海·九年级上海市第三女子初级中学校考阶段练习)已知点 在平面直角坐标系 中,射线 与 轴正半轴的夹角为 ,那么 的值为 . 【答案】 / 【分析】本题考查解直角三角形,坐标与图形的性质,勾股定理,,解题的关键是学会添加常用辅助线, 构造直角三角形解决问题.作 轴于H.利用勾股定理求出 ,再利用余弦的定义即可解决问题. 【详解】解:如图,作 轴于H.∵ , ∴ , , ∵ , ∴ , ∴ , 故答案为: . 4.(2023上·河北秦皇岛·七年级统考期中)如图,在矩形 中,点 是 的中点,点 是 上一 点,且 ,连接 、 .若 ,则 的值是 . 【答案】 【分析】连接 ,由矩形的性质可得 , , ,由点 是 的中点可得 ,由 得出 , ,由勾股定理和勾股定理逆定理判断出 为等腰直角三角形,由余弦的定义进行计算即可得到答案. 【详解】解:如图,连接 ,, 四边形 是矩形, , , , , 点 是 的中点, , , , , , , , , , , 是等腰直角三角形, , 故答案为: . 【点睛】本题考查了矩形的性质、勾股定理、勾股定理逆定理、等腰直角三角形的判定与性质、余弦的定 义.矩形的对边相等,四个角是直角;直角三角形中勾股定理求线段长;利用勾股定理逆定理判断为直角 三角形;余弦等于邻边比斜边.熟练掌握以上知识点并灵活运用是解此题的关键. 5.(2023上·福建泉州·九年级统考期中)如图,在 中, , 是 的中点, , .(1)求 的长; (2)求 与 的值. 【答案】(1) 的长为 (2) , 【分析】本题考查了直角三角形中,斜边的上的中线等于斜边的一半,勾股定理,求角的余弦和正切等知 识点.熟记相关几何结论是解题关键. (1)由“斜边的上的中线等于斜边的一半”可得 ,根据勾股定理即可求解; (2)由“斜边的上的中线等于斜边的一半”可得 ,可推出 ,结合三角函 数的定义即可求解. 【详解】(1)解: , 是 的中点, , . , , (2)解:由(1)得 , , , . 【经典例题五 已知余弦值求边长】 1.(2023·广西北海·统考模拟预测)如图,在直角梯形 中, , , ,且 , ,则下底 的长是( )A. B. C. D. 【答案】C 【分析】根据题意得出 , ,然后可得 ,然后问 题可求解. 【详解】解:∵ , , ∴ , ∵ , , , ∴ , ∴ , ∴ ,即 , ∵ , , ∴ ; 故答案为 . 【点睛】本题主要考查,已知余弦求边长,相似三角形的性质与判定,熟练掌握相似三角形的性质与判定 是解题的关键. 2.(2023春·四川南充·九年级校考阶段练习)如图, 为 的 边上一点, , , , ,则 ( )A. B. C. D.4 【答案】A 【分析】根据 , ,可求出 , ,再证明 ,即可作答. 【详解】∵ , , , ∴ , , ∵ , , ∴ , ∴ , ∴ , ∴ , 故选:A. 【点睛】本题考查了三角函数、相似三角形的判定与性质等知识,证明 是解答本题的关键. 3.(2023·山东聊城·统考三模)在 中, , , ,以AC所在直线为轴, 把 旋转一周,得到圆锥,则该圆锥的侧面积为 . 【答案】 【分析】根据题意先求出斜边 的长,再根据圆锥侧面积公式进行求解即可. 【详解】解:在 中, , , , ,由勾股定理得: , , , 以AC所在直线为轴,把 旋转一周,得到圆锥,则该圆锥的母线 为5,底面半径 为4, , 故答案为:20π. 【点睛】本题考查了锐角三角函数,勾股定理,圆周的侧面积,熟练掌握圆锥的侧面积公式是解题关键. 4.(2022秋·九年级单元测试)如图所示,在四边形 中, , , , , ,则 . 【答案】 / 【分析】先根据余弦的定义可得 ,设 ,则 , ,再根据 可求出 的值,从而可得 的值,然后利用勾股定理可得 的值,最后根据正弦的 定义即可得. 【详解】解: , , ,, , 设 ,则 , , , , , 解得 , , , , 故答案为: . 【点睛】本题考查了正弦与余弦、勾股定理等知识点,熟练掌握正弦与余弦的定义是解题关键. 5.(2023秋·山东聊城·九年级校考阶段练习)在矩形 中,对角线 , 交于点 ,过点 作 于点 . (1)求证; (2)求证: (3)若 , ,求 的长. 【答案】(1)见解析 (2)见解析 (3) 【分析】(1)根据矩形的性质以及已知条件可得 , ,即可得证;(2)根据相似三角形的性质得出比例式,根据 ,即可得证; (3)根据矩形的性质以及已知条件,得出∠CAD=∠ABE,进而根据余弦的定义,即可求解. 【详解】(1)证明: , , 又 , ; (2) , : : , 又 , ; (3)解 四边形 是矩形, , , , , , 在 中, , , . 【点睛】本题考查了相似三角形的性质与判定,余弦的定义,矩形的性质,熟练掌握相似三角形的性质与 判定定理是解题的关键. 【经典例题六 求角的正切值】 1.(2023秋·吉林长春·九年级校考阶段练习)如图,四边形 为正方形,点 在边 上,且 ,点 在边 上,且 .若 , ,则 的值为( ) A. B. C. D.【答案】C 【分析】证明 ,设 ,则 ,根据相似三角形的性质求得 ,进而根据正 切的定义, ,即可求解. 【详解】解:∵四边形 为正方形, . ∴ , , ∴ , ∴ ∵ , ,则 , 设 ,则 , ∴ 解得: 或 ∵ , ∴ , ∴ , 故选:C. 【点睛】本题考查了求正切,相似三角形的性质与判定,熟练掌握相似三角形的性质与判定是解题的关键. 2.(2023秋·重庆沙坪坝·九年级重庆一中校考阶段练习)如图, 和 均为等腰直角三角形, , , ,点B在线段 上,已知 , ,则 的值为( ) A. B. C. D.3【答案】A 【分析】根据题意,先证明 ,得到 , ,进而得到 ,由 ,利用勾股定理得到 ,根据 ,得到 , 在 中,根据 即可求解. 【详解】解: 和 均为等腰直角三角形, , , , , , 在 和 中, , , , , , , , , , 在 中, , 故选:A. 【点睛】本题考查了全等三角形的判定与性质、等腰直角三角形的性质、勾股定理及求正切值,熟练掌握 全等三角形的判定与性质是解题的关键. 3.(2023秋·江苏常州·九年级统考期末)如图, 中, ,点D在 上, 连接 ,将 沿 翻折,使得点C落在 边上的点E处,则 .【答案】 /0.5 【分析】根据折叠的性质可得 , , ,设 ,用勾股定理 解 ,再利用正切函数的定义求解. 【详解】解: 中, , , 由折叠的性质可得 , , , . 设 ,则 , 在 中, , , 解得 , , , 故答案为: . 【点睛】本题考查正切函数,折叠的性质,勾股定理等,解题的关键是掌握折叠前后对应边相等,对应角 相等. 4.(2022春·湖北武汉·九年级武汉外国语学校(武汉实验外国语学校)校联考自主招生)如图, 中, , 于D,E为 上一点, 于F, 与 交于点G,若 ,则 的值是 .【答案】 【分析】由题意可知, , ,过点 作 与 ,则 , ,可得 , ,进而可知 ,设 , , 则 , ,可得 , ,根据 ,得 ,即 ,令 ,则 ,解之即可求解. 【详解】解:∵ , ∴ , ∵ , ∴ , 过点 作 与 ,则 , ∴ , ∵ , ∴ , ∴ , ∴ , 设 , , ∵ , ∴ ,则 ,则 , , ∵ , ∴ ,即 ,整理得: 即: ,令 , 则 ,解得 (负值舍去), ∴ . 故答案为: . 【点睛】本题考查求正切值,等腰三角形的性质,添加辅助线利用互余证得 是解决问题的关 键. 5.(2022春·黑龙江绥化·九年级绥化市第八中学校校联考阶段练习)如图,在边长为9的正方形 中, 等腰 的直角顶点与正方形 的顶点C重合,斜边EF与正方形 的对角线交于点E,射 线 与 交于点P,与 交于点Q且 . (1)求证: ; (2)求 的长; (3)求 的值. 【答案】(1)见解析 (2)(3) 【分析】(1)利用等角的余角相等求得 ,再利用 即可证明 ; (2)证明 ,得到 ,再由已知求得 ,据此求解即可; (3)先证明 是等腰直角三角形,得到 ,在 中,利用勾股定理列式求得 , 进一步计算即可求解. 【详解】(1)证明: 四边形 是正方形, 是等腰直角三角形 , , 在 与 中, ∵ , ; (2)解: , , , , , , , ; (3)解:过点F作 于R,∵ , ∴ , ∴ 是等腰直角三角形, , 在 中, , , , , , . 【点睛】本题考查了相似的判定和性质,解直角三角形,正方形的性质,全等三角形的判定和性质,解题 的关键是学会利用参数构建方程解决问题. 【经典例题七 已知正切值求边长】 1.(2022秋·山西临汾·九年级统考期末)如图,在矩形纸片 中,点 在边 上,沿着 折叠使 点 落在边 上点 处,过点 作 交 于点 .若 , ,则 的长为 ( )A. B.2 C. D. 【答案】A 【分析】连接 ,根据折叠的性质和平行线的性质,证得 ,然后可证得 ,求得 的长度,根据勾股定理即可求得答案. 【详解】如图所示,连接 . 根据折叠的性质可知 , , , , , ∴ . ∵ , ∴ . ∴ . ∴ . ∴ . ∵ , , ∴ . 又 , ∴ . ∴ . ∴ . 设 ,则 , . 在 中,根据勾股定理可得 . 即 .解得 . ∴ . 故选:A. 【点睛】本题主要考查矩形的性质、折叠的性质、平行线的性质、勾股定理等,能根据题意构造辅助线是 解题的关键. 2.(2023·广东深圳·深圳市高级中学校考二模)如图,平行四边形 中, , , ,点O为对角线 交点,点E为 延长线上一动点,连接 交 于点F,当 时,求 的长度为( ) A. B. C. D. 【答案】A 【分析】作 于H,延长 交 于M, ,由 ,令 , ,勾股定理得 ,则 ,得到 ,由四边形 是平 行四边形得到 , , ,则 ,得到 是等腰直角三角形,则 ,可得 ,由 得到 ,求得 ,证明 ,则 ,得到 ,由 得到 ,即可 得到 的长度. 【详解】解:作 于H,延长 交 于M, ,∵ , ∴令 , , ∴ , ∴ , ∴ , ∵四边形 是平行四边形, ∴ , , , ∴ , ∴ 是等腰直角三角形, ∴ , ∵四边形 是平行四边形, ∴ , ∵ , ∴ , ∴ , ∴ , ∵ , ∴ , ∵ , ∴ , ∴ ,∴ , ∵ , ∴ , ∴ , ∴ , ∴ . 故选:A. 【点睛】此题考查了相似三角形的性质、全等三角形的判定和性质、勾股定理、锐角三角函数、平行四边 形的性质等知识,熟练掌握相似三角形的性质、全等三角形的判定和性质是解题的关键. 3.(2023秋·全国·九年级专题练习)如图,在 中, ,点G为 的重心,若 , ,那么 的长等于 . 【答案】 【分析】点G为 的重心,就是三角形的三条中线交点,因此延长 交 于点D,利用中线的定义 求出 ,利用正切的定义求出 ,最后利用勾股定理求解即可. 【详解】解:延长 交 于点D, ∵点G为 的重心, ∴ 是中线,∴ , ∵ ∴ , ∴ , ∴ , 故答案为: . 【点睛】本题考查了重心概念、正切的定义以及勾股定理等知识,根据重心概念添加合适辅助线,构造直 角三角形求解是解题的关键. 4.(2022秋·黑龙江哈尔滨·九年级哈尔滨市第四十七中学校考开学考试)已知 ,点P在边 上, ,点M,N在边 上, ,如果 ,那么 . 【答案】2或4/4或2 【分析】①当 在线段 上时,过 作 交 于 ,可求 ,设 ,则 , 可求 ,由 即可求解;②当 在线段 上时,过 作 交 于 ,由 即可求解. 【详解】解:①如图,当 在线段 上时, 过 作 交 于 , , ,, 设 ,则 , , , 解得: , , , , ; ②如图,当 在线段 上时, 过 作 交 于 , 同理可求 , , ; 综上所述: 或 . 故答案: 或 . 【点睛】本题考查了一般角的正切函数,等腰三角形的性质,掌握三角函数的定义及等腰三角形的性质是 解题的关键. 5.(2023春·浙江·九年级校联考阶段练习)在 中, , 分别是 , 的中点,延长 至点 ,使得 ,连结 .(1)求证:四边形 是平行四边形. (2) 于点 ,连结 ,若 是 的中点, , ①求 的长. ②求平行四边形 的周长. 【答案】(1)见解析 (2)① ;② 【分析】(1)根据三角形中位线定理证明 , ,进而可以解决问题; (2)①设 与 交于点 ,设 ,则 ,证明 ,得 ,所以 , ,由 ,得 ,然后证明 是等腰直角三角形,利用勾股定理求出 的值,②根据①的结论,勾股定理求得 ,即可求解. 【详解】(1)证明: , 分别是 , 的中点, , , , , , 四边形 是平行四边形; (2)解:①设 与 交于点 ,是 的中点, , 四边形 是平行四边形, , , , 设 ,则 , , , , , , , , , , , , , , , 是等腰直角三角形, , , , 即 ②在 中,根据勾股定理得: , 平行四边形 的周长 .【点睛】本题考查了平行四边形的性质,相似三角形的判定与性质,解直角三角形,勾股定理,等腰直角 三角形的判定与性质,解决本题的关键是得到 . 【重难点训练】 1.(2023上·湖南娄底·九年级校考阶段练习)在 中, , ,则 的值是( ) A. B. C. D. 【答案】B 【分析】本题主要考查三角函数的定义,由三角函数的定义可知 ,可设 ,由勾股定理 可求得b,再利用余弦的定义代入计算即可. 【详解】解:在 中, , , 设 , 由勾股定理得: , . 故选:B. 2.(2023上·黑龙江哈尔滨·九年级校考阶段练习)如图,融创乐园彩虹滑梯的高度为 ,滑梯的坡角为 , 那么彩虹滑梯的长度 为( ) A. B. C. D. 【答案】D 【分析】本题考查了解直角三角形;根据三角函数的定义即可求解. 【详解】解:依题意,∵ , ∴故选:D. 3.(2023上·安徽六安·九年级统考阶段练习)在 中, , , ,则 的 长为( ) A. B. C. D. 【答案】C 【分析】在直角三角形中,根据角的余弦值与三角形边的关系,即可得出结果.本题考查了解直角三角形, 熟练掌握好边角之间的关系是解题关键. 【详解】解:∵ , ∴ , 故选:C. 4.(2023上·陕西榆林·九年级校考阶段练习)在 中, , , ,则 的 度数是( ). A. B. C. D. 【答案】A 【分析】本题考查了特殊角的三角函数值,根据余弦的定义得到 ,然后根据特殊角的三角 函数值确定 的度数. 【详解】解:∵ , , , ∴ , ∴ . 故选:A. 5.(2023上·山东济南·九年级统考期中)在 中, , 是 边上的中线, , ,则 () A. B. C. D. 【答案】D 【分析】本题考查了解直角三角形,直角三角形斜边上中线的性质,熟练掌握直角三角形斜边上中线的性 质和锐角三角函数的定义是解题的关键.根据直角三角形斜边上中线的性质得 ,所以 ,根据勾股定理得 ,根据锐角三角函数的定义即可求出答案. 【详解】如图, ∵ 是 边上的中线, , ∴ , ∴ , ∵ , ∴ , ∴ . 故选:D. 6.(2023上·山西临汾·九年级校考阶段练习)如图,点 为 边上的任意一点,作 于点 , 于点 ,下列用线段比表示 的值,错误的是( ) A. B. C. D. 【答案】C 【分析】此题主要考查了锐角三角函数的定义,得出 是解题关键. 【详解】解:∵ , ∴ , ∴ , ∴ , 只有选项C错误,符合题意.故选C. 7.(2022上·黑龙江哈尔滨·九年级校考期中)在菱形 中, , ,点 是直线 上的一 点,且 ,则 . 【答案】 或 【分析】本题考查了菱形的性质,解直角三角形.连接 交 于O,根据菱形的性质得到 , , ,由勾股定理得到 ,分两种情况:点P在菱形内的 上和 的延长线上,根据已知条件得到 或 ,根据三角函数的定义即可得到结论. 【详解】解:连接 交 于O,如图, ∵四边形 是菱形, ∴ , ∴ , ①当点P在在菱形内的 上时, ∵ , ∴ , ∴ , ∴ , ②当点P在菱形外的 上时,如图, ∵ ,∴ , ∴ , ∴ , 故答案为: 或 . 8.(2023上·甘肃张掖·九年级校考阶段练习)如图,在 的正方形方格图形中,小正方形的顶点称为 格点, 的顶点都在格点上,则图中 的余弦值是 【答案】 / 【分析】题目主要考查勾股定理解三角形及其逆定理,余弦函数的定义,先根据勾股定理的逆定理判断出 的形状,再由锐角三角函数的定义即可得出结论. 【详解】解:∵由图可知, , , , ∴ , ∴ , ∴ 是直角三角形,且 , ∴ , 故答案为: . 9.(2023上·四川成都·九年级校联考期中)如图,在 中, ,以点C为圆心, 长为半径作弧,交 于点D,连接 ;再分别以点B和点D为圆心,大于 的长为半径作弧,两 弧C相交于点E,作射线 交 于点F,若 ,则线段 的长为 .【答案】2 【分析】本题考查了三角形内角和定理,作垂线,正弦.熟练掌握作垂线, ,是解题的关键. 由作图可知, 是 的垂直平分线,根据 ,计算求解即可. 【详解】解:∵ , ∴ , 由作图可知, 是 的垂直平分线, ∴ , ∴ , 故答案为:2. 10.(2023·广东东莞·校联考一模)如图,在正方形 中, ,点 分别在 上,且 与 交于点 为 的中点,连接 ,作 交 于点M,连接 ,则 的值为 . 【答案】 【分析】此题主要考查了正方形性质,全等三角形的判定和性质,相似三角形的判定和性质,解直角三角 形,求出 是解本题的关键. 根据正方形性质,证明 ,得出 ,进而求出 ,再判断出 ,求出 ,再判断出 ,求出 ,即可求出答案.【详解】解:∵四边形 是正方形, , , , ∵点N是 的中点, 在 中, ,故答案为: . 11.(2023上·河北石家庄·九年级石家庄市第二十五中学校考期中)如图,点E在边 上,连接 ,将 矩形 沿着 折叠,使点D恰好落在 边上的F处, ; (1) ; (2)若 ,则 ; 【答案】 / / 【分析】本题考查了矩形与折叠,锐角三角函数的定义; (1)设 , ,根据折叠的性质得出三角形 的各边长,然后利用等角变换得出 ,继而可得出答案. (2)由 求出三角形 的各边长,即可求出 , 【详解】(1)∵ ∴设 , , ∵将矩形 沿着 折叠, ∴ , , ∴ , ∵ , ∴ , ∴ ; 故答案为: ; (2)∵ , ∴由(1)可得 ,解得∴ , , ∴ , 故答案为: . 12.(2023上·广东佛山·九年级校考期中)如图,在 中, , , , ,以下结论正确的是 . ① ;②若 ,则 ;③ 和 相似,则 ;④连接 ,则 的 最大值为 . 【答案】②③ 【分析】本题考查了三角形综合.①根据已有已知不能确定 长,故 不能确定,②过点 作 交 于点 ,由 即可求出AH,进而求出 ,③由 和 相似,判定 ,由勾股定理即可求解,④过点 作 , 交 于点 ,分别求 出 , ,在 中,利用三角形的三边关系即可求出 长的最大值. 【详解】解:①∵ , , ∴ , 又∵ , , ∴ , ∴ ,故结论① 不正确, ②过点 作 交 于点 ,∵ , , ∴ , ∴ ,故结论②正确, ③∵ , , ∴ , 又∵ 和 相似, , , ∴ , ∴ ,故结论③正确 ④如图,过点 作 ,过点 作 交 于点 , ∵ , , ∴ , ∴ ,∵ , ∴ , ∵ , , ∴ , ∴ , ∵ , , , ∴ , , ∴ , ∴ , ∵ , ∴ , ∴ , , 在 中,∵ , , ∴ , 当 , , 三点共线时, 最大,最大值为 ,故结论④错误. 故答案为:②③. 【点睛】本题涉及了锐角三角函数的定义,相似三角形的判定和性质,勾股定理,三角形的三边关系,构 造相似三角形是解题的关键. 13.(2023上·山东菏泽·九年级统考期中)如图所示,在菱形 中, 于E, , ,求此菱形的边长.【答案】菱形的边长为 【分析】本题考查菱形的性质、锐角三角函数、勾股定理等知识,先得出 ,再设 , ,根据勾股定理得出 ,进而得出 ,得出 , ,即可得出答案.解题的关键是学会利用参数解决问题,属于中考常考题型. 【详解】解:∵四边形 是菱形, ∴ , ∵ , , 设 , , 则 , ∴ , ∴ , , ∴菱形的边长为 . 14.(2022下·湖北武汉·九年级校考阶段练习)在平面直角坐标系中,已知 , , ,请 选择适当的格点,用无刻度的直尺画图,保留画图痕迹. (1)以O点为旋转中心,将 逆时针方向旋转 得 ,画出 ,并写出 的坐标______; (2)画出A关于直线 的对称点D; (3)在 上画点P,使 . 【答案】(1)画图见解析, (2)画图见解析(3)画图见解析 【分析】(1)分别确定A,B,C关于O顺时针旋转 的对应点 , , ,再顺次连接即可,再根据 的位置可得其坐标; (2)取格点 ,连接 ,利用全等三角形的判定与性质可得 ,延长 至格点 ,则 , 再取格点 ,且 ,则 与 的交点 即为所求; (3)如图, 所在的竖格线与 的交点即为点 ; 【详解】(1)解:如图, 即为所画的三角形, ∴ ; (2)如图, 即为所求,(3)如图, 即为所求; 【点睛】本题考查的是复杂作图,旋转的性质,轴对称的性质,全等三角形的判定与性质,平行线分线段 成比例的应用,锐角三角函数的应用,掌握扎实的基础知识并应用于作图是解本题的关键. 15.(2023上·安徽六安·九年级统考阶段练习)如图, 是正方形 的对角线, 平分 交 于 ,点 在 上,且 ,连接 并延长,分别交 , 于点G,F.(1)求证: ; (2)求 的值; (3)求 的值. 【答案】(1)证明见解析 (2) (3) 【分析】(1)由 , 平分 , ,得再结合正方形的性质可证 , 得 ,再证 ,得 ,进而即可证明结论; (2)设正方形 的边长为 ,则 , ,得 ,结合正方形的性质 可证 ,得 ,再由等腰三角形的性质得 , 进而即可求解; (3)由等腰三角形的性质和正方形的性质可证得 ,设正方形 的边长为 ,由(2) 得 ,得 ,则 ,在 中,可知 , 进而即可求解. 【详解】(1)解: , 平分 , , , 正方形 , , , , ,, , , , , , ∴ , ; (2)设正方形 的边长为 ,则 , , , 正方形 , ,则 , , , , , 平分 , , ; (3) , , , , , , , 设正方形 的边长为 ,由(2)得 , , ,在 中, , . 【点睛】本题考查正方形的性质,相似三角形的判定及性质,全等三角形的判定及性质,等腰三角形的性 质,求角的正切值等知识.利用正方形的性质及等腰三角形的性质证明三角形相似和三角形全等是解决问 题的关键. 16.(2023上·安徽阜阳·九年级校考阶段练习)如图,在 中过点A作 ,垂足为E,连接 ,F为 上一点,且 . (1)求证: ; (2)若 , , ,求 的面积. 【答案】(1)见解析 (2) 【分析】(1)由平行四边形的性质可得, ,则 , ,进而 可证 ; (2)由 ,可求 ,由勾股定理得, ,则 ,根据 ,计算求解 即可. 【详解】(1)证明:∵ , ∴ , , ∴ , ∴ , ∵ , ∴ , ∵ , , ∴ ;(2)解:由题意知, , ∴ ,解得 , 由勾股定理得, , ∴ , ∴ , ∴ 的面积为 . 【点睛】本题考查了平行四边形的性质,相似三角形的判定,正弦,勾股定理等知识.熟练掌握平行四边 形的性质,相似三角形的判定,正弦是解题的关键. 17.(2022上·山西运城·九年级统考期中)综合与实践 【问题情境】 如图1,点G在正方形 的对角线 上, ,垂足为点F. (1)求证:四边形 是正方形. (2)求 的值. 【类比探究】 (3)如图2,将正方形 绕点C按顺时针方向旋转 ,试探究线段 与 长度之间的 数量关系. 【答案】(1)见解析;(2) ;(3) 【分析】本题考查了正方形的判定与性质、矩形的判定、等腰直角三角形的判定与性质、旋转的性质、余 弦、平行线分线段成比例、相似三角形的判定与性质等知识,熟练掌握正方形的性质,相似三角形的判定 与性质是解题的关键. (1)由 结合 可得四边形 是矩形,再由 ,得出 是等腰直角三角形,进而可得结论; (2)由正方形性质知 ,据此可得 , ,利用平行线分线 段成比例定理即可得出结果; (3)连接 ,证得 ,即可得出结果. 【详解】(1)证明:∵四边形 是正方形, ∴ , ∵ , ∴ , ∴四边形 是矩形, ∵ , ∴ 是等腰直角三角形, ∴ , ∴四边形 是正方形; (2)解:由(1)知四边形 是正方形, ∴ , ∴ , , ∴ , ∴ ; (3)解:线段 与 长度之间的数量关系为: ; 连接 ,如图(2)所示: 由旋转性质得: , ∵ , ,∴ , ∴ , ∴ , ∴线段 与 长度之间的数量关系为: . 18.(2023上·河南周口·九年级统考期中)如图,在 中, ,点 为 的中点, 于点 ,连接 ,已知 . (1)若 ,求 的长度; (2)若 ,求 . 【答案】(1) (2) 【分析】(1)先在 中,利用正切的定义可得 ,利用勾股定理可得 ,从而可得 ,再在 中,利用正切的定义求解即可得; (2)过点 作 于点 ,先求出 ,从而可得 ,再利用勾股 定理可得 ,从而可得 ,然后利用勾股定理可得 ,最后在 中,利用正 弦的定义求解即可得. 【详解】(1)解: , , ,, ∵点 为 的中点, , 在 中, . (2)解:如图,过点 作 于点 , , , , , ∵点 为 的中点, , 在 中, , , , , 则在 中, . 【点睛】本题考查了正切、正弦、勾股定理、含 角的直角三角形的性质等知识点,熟练掌握正切与正 弦的概念是解题关键.