当前位置:首页>文档>第17章勾股定理(单元测试·拔尖卷)-(人教版)_初中数学_八年级数学下册(人教版)_专题突破练习-V4

第17章勾股定理(单元测试·拔尖卷)-(人教版)_初中数学_八年级数学下册(人教版)_专题突破练习-V4

  • 2026-04-01 19:10:46 2026-03-28 03:05:29

文档预览

第17章勾股定理(单元测试·拔尖卷)-(人教版)_初中数学_八年级数学下册(人教版)_专题突破练习-V4
第17章勾股定理(单元测试·拔尖卷)-(人教版)_初中数学_八年级数学下册(人教版)_专题突破练习-V4
第17章勾股定理(单元测试·拔尖卷)-(人教版)_初中数学_八年级数学下册(人教版)_专题突破练习-V4
第17章勾股定理(单元测试·拔尖卷)-(人教版)_初中数学_八年级数学下册(人教版)_专题突破练习-V4
第17章勾股定理(单元测试·拔尖卷)-(人教版)_初中数学_八年级数学下册(人教版)_专题突破练习-V4
第17章勾股定理(单元测试·拔尖卷)-(人教版)_初中数学_八年级数学下册(人教版)_专题突破练习-V4
第17章勾股定理(单元测试·拔尖卷)-(人教版)_初中数学_八年级数学下册(人教版)_专题突破练习-V4
第17章勾股定理(单元测试·拔尖卷)-(人教版)_初中数学_八年级数学下册(人教版)_专题突破练习-V4
第17章勾股定理(单元测试·拔尖卷)-(人教版)_初中数学_八年级数学下册(人教版)_专题突破练习-V4
第17章勾股定理(单元测试·拔尖卷)-(人教版)_初中数学_八年级数学下册(人教版)_专题突破练习-V4
第17章勾股定理(单元测试·拔尖卷)-(人教版)_初中数学_八年级数学下册(人教版)_专题突破练习-V4
第17章勾股定理(单元测试·拔尖卷)-(人教版)_初中数学_八年级数学下册(人教版)_专题突破练习-V4
第17章勾股定理(单元测试·拔尖卷)-(人教版)_初中数学_八年级数学下册(人教版)_专题突破练习-V4
第17章勾股定理(单元测试·拔尖卷)-(人教版)_初中数学_八年级数学下册(人教版)_专题突破练习-V4
第17章勾股定理(单元测试·拔尖卷)-(人教版)_初中数学_八年级数学下册(人教版)_专题突破练习-V4
第17章勾股定理(单元测试·拔尖卷)-(人教版)_初中数学_八年级数学下册(人教版)_专题突破练习-V4
第17章勾股定理(单元测试·拔尖卷)-(人教版)_初中数学_八年级数学下册(人教版)_专题突破练习-V4
第17章勾股定理(单元测试·拔尖卷)-(人教版)_初中数学_八年级数学下册(人教版)_专题突破练习-V4
第17章勾股定理(单元测试·拔尖卷)-(人教版)_初中数学_八年级数学下册(人教版)_专题突破练习-V4
第17章勾股定理(单元测试·拔尖卷)-(人教版)_初中数学_八年级数学下册(人教版)_专题突破练习-V4
第17章勾股定理(单元测试·拔尖卷)-(人教版)_初中数学_八年级数学下册(人教版)_专题突破练习-V4
第17章勾股定理(单元测试·拔尖卷)-(人教版)_初中数学_八年级数学下册(人教版)_专题突破练习-V4
第17章勾股定理(单元测试·拔尖卷)-(人教版)_初中数学_八年级数学下册(人教版)_专题突破练习-V4
第17章勾股定理(单元测试·拔尖卷)-(人教版)_初中数学_八年级数学下册(人教版)_专题突破练习-V4
第17章勾股定理(单元测试·拔尖卷)-(人教版)_初中数学_八年级数学下册(人教版)_专题突破练习-V4
第17章勾股定理(单元测试·拔尖卷)-(人教版)_初中数学_八年级数学下册(人教版)_专题突破练习-V4
第17章勾股定理(单元测试·拔尖卷)-(人教版)_初中数学_八年级数学下册(人教版)_专题突破练习-V4
第17章勾股定理(单元测试·拔尖卷)-(人教版)_初中数学_八年级数学下册(人教版)_专题突破练习-V4
第17章勾股定理(单元测试·拔尖卷)-(人教版)_初中数学_八年级数学下册(人教版)_专题突破练习-V4
第17章勾股定理(单元测试·拔尖卷)-(人教版)_初中数学_八年级数学下册(人教版)_专题突破练习-V4
第17章勾股定理(单元测试·拔尖卷)-(人教版)_初中数学_八年级数学下册(人教版)_专题突破练习-V4
第17章勾股定理(单元测试·拔尖卷)-(人教版)_初中数学_八年级数学下册(人教版)_专题突破练习-V4
第17章勾股定理(单元测试·拔尖卷)-(人教版)_初中数学_八年级数学下册(人教版)_专题突破练习-V4
第17章勾股定理(单元测试·拔尖卷)-(人教版)_初中数学_八年级数学下册(人教版)_专题突破练习-V4
第17章勾股定理(单元测试·拔尖卷)-(人教版)_初中数学_八年级数学下册(人教版)_专题突破练习-V4
第17章勾股定理(单元测试·拔尖卷)-(人教版)_初中数学_八年级数学下册(人教版)_专题突破练习-V4
第17章勾股定理(单元测试·拔尖卷)-(人教版)_初中数学_八年级数学下册(人教版)_专题突破练习-V4
第17章勾股定理(单元测试·拔尖卷)-(人教版)_初中数学_八年级数学下册(人教版)_专题突破练习-V4
第17章勾股定理(单元测试·拔尖卷)-(人教版)_初中数学_八年级数学下册(人教版)_专题突破练习-V4
第17章勾股定理(单元测试·拔尖卷)-(人教版)_初中数学_八年级数学下册(人教版)_专题突破练习-V4
第17章勾股定理(单元测试·拔尖卷)-(人教版)_初中数学_八年级数学下册(人教版)_专题突破练习-V4
第17章勾股定理(单元测试·拔尖卷)-(人教版)_初中数学_八年级数学下册(人教版)_专题突破练习-V4
第17章勾股定理(单元测试·拔尖卷)-(人教版)_初中数学_八年级数学下册(人教版)_专题突破练习-V4
第17章勾股定理(单元测试·拔尖卷)-(人教版)_初中数学_八年级数学下册(人教版)_专题突破练习-V4
第17章勾股定理(单元测试·拔尖卷)-(人教版)_初中数学_八年级数学下册(人教版)_专题突破练习-V4
第17章勾股定理(单元测试·拔尖卷)-(人教版)_初中数学_八年级数学下册(人教版)_专题突破练习-V4
第17章勾股定理(单元测试·拔尖卷)-(人教版)_初中数学_八年级数学下册(人教版)_专题突破练习-V4
第17章勾股定理(单元测试·拔尖卷)-(人教版)_初中数学_八年级数学下册(人教版)_专题突破练习-V4

文档信息

文档格式
docx
文档大小
4.488 MB
文档页数
44 页
上传时间
2026-03-28 03:05:29

文档内容

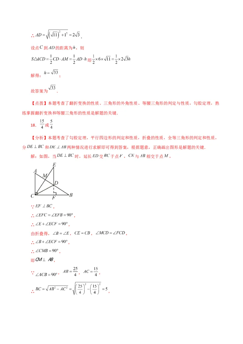
第17 章 勾股定理(单元测试·拔尖卷) 一、单选题(本大题共10小题,每小题3分,共30分) 1.如图, 的角平分线 相交于点P,若 ,则 的值为( ) A. B. C. D.2 2.勾股定理是人类早期发现并证明的重要数学定理之一,是数形结合的重要细带.数学家欧几里得 利用如图验证了勾股定理.以直角三角形 的三条边为边长向外作正方形 ,正方形 ,正方 形 ,连接 , ,具中正方形 面积为1,正方形 面积为5,则以 为边长的正方形 面积为( ) A.4 B.5 C.6 D. 3.如图,在长方形纸片 中, 为 的中点,连接 ,将 沿 折叠得到 ,连接 .若 , ,则 的长为( )A.3 B.3.4 C.3.5 D.3.6 4.如图,在 中, , ,点P是底边上的高 上一点,若 的最小 值为 ,那么 为( ) A. B.2 C. D.4 5.如图,在 中, ,D是 上一点且 ,若 , ,则 ( ). A.6 B. C.4 D. 6.动点 在等边 的边 上, ,连接 , 于 ,以 为一边作等边 , 的延长线交 于 ,当 取最大值时, 的长为( ) A.2 B. C. D. 7.如图,长方形 中, , , 是 的中点,线段 在边 上左右滑动,若,则 的最小值为( ) A. B. C. D. 8.大约在公元222年,赵爽为《周髀算经》一书作序时,介绍了“勾股圆方图”,亦称“赵爽弦图” (如图1).某数学兴趣小组类比“赵爽弦图”构造出图2: 为等边三角形, 、 、 围成的 也是等边三角形.已知点 、 、 分别是 、 、 的中点,若 的面积为14,则 的面积是( ) A.1 B.2 C.3 D.4 9.如图,在 中, , , ,以 为边在 上方作一个等边 , 将四边形 折叠,使 点与 点重合,折痕为 ,则点 到直线 的距离为( ) A. B. C. D. 10.如图,已知线段 , ,点E为 边上动点,则 的最小值为 ( )A.2 B. C. D.6 二、填空题(本大题共8小题,每小题4分,共32分) 11.如图,在四边形 中, , ,如果 ,那 么 的长度为 . 12.如图,在 中, , ,D为 边上一点, ,垂足为E,F在 上,且 ,若 , ,则 的长为 . 13.在 中, ,如果将 折叠,使点B与点A重合,且折痕交边 于点 M,交边 于点N.如果 是直角三角形,那么 的面积是 . 14.如图, 和 都是等腰直角三角形, ,点 在边 上, 与 交于点 ,若 , ,记 的面积为 , 的面积为 ,则 .15.如图,圆柱形玻璃杯,高为 ,底面周长为 ,在杯内离杯底 的点C处有一滴蜂蜜, 这时一只蚂蚁正好在杯外壁,离杯上沿 与蜂蜜相对的点A处,则蚂蚁到达蜂蜜的最短距离为 . 16.如图,正方形 的边长为 ,点 , 分别在边 , 上,将四方形 沿 折叠得 到四边形 ,点 的对应点 恰好落在直线 上.若 ,则线段 的长度为 . 17.如图,在 中, , ,点 是边 上一点(点 不与点 , 重合), 将 沿 翻折,点 的对应点为点 , 交 于点 ,若 ,则点 到线段 的距离为 . 18.如图,在 中, , , ,点 是 边上的一个动点,连接,将 沿 折叠,得到 ,当 与 的直角边垂直时, 的长是 . 三、解答题(本大题共6小题,共58分) 19.(8分)如图,已知 为等边三角形,在 上取一点 (与点 、 不重合),以 为边 向外作等边 ,连接 、 ,再分别以 、 为边向外作等边 和等边 ,连接 . (1)求证: ; (2)记 、 、 、 的面积分别为 、 、 、 ,则这四个面积之间存在怎 样的数量关系式?说明理由. 20.(8分)如图,在 中, , , ,点 在AB上,且 平分 , , 相交于点 ,连接CE. (1)直接写出 , 的数量关系:______; (2)求证: ; (3)用等式表示线段 之间的数量关系,并证明.21.(10分)在等边 的 、 边上各取一点 、 , 、 相交于点 . (1)若 ,求证: ; (2)在(1)的条件下,当 , 时,求 的边长; (3)连结 ,若 , ,求 的值. 22.(10分)已知:如图 是直角三角形, ,点 分别在边 上,且 , , . (1)证明:线段 能组成直角三角形; (2)当 是边 上的中点时,判断: 的位置关系.23.(10分)如图,在 中, , 平分 , 于点 ,若 , , 求 的长. 24.(12分)已知:如图, 中, ,点A在 轴上,点 点 分别在 轴的负半 轴与正半轴上, . (1)求点 的坐标. (2)动点 从点 出发,以每秒1个单位长度的速度向终点A运动,过点 作 轴,交直线 于点 ,设线段 的长为 ,点 的运动时间为 秒,求 与 的关系式(用 表示 ,不用写出 的取值 范围). (3)在(2)的条件下,动点 从点 向终点 运动(与点 同时出发),速度为3个单位长度/秒,作等边 (点 按顺时针顺序排列),连接 ,若 ,求 值和 的长. 参考答案: 1.A 【分析】本题考查了角平分线的性质,三角形全等的判定与性质,勾股定理.根据 , 平分 ,利用勾股定理求出 ,如图,过点P作 交 于点 D,证明 ,得到 , ,设 ,则 ,利 用勾股定理求出 ,即可求出结果.解: , 平分 , , , , 如图,过点P作 交 于点D, 的角平分线 相交于点P, , , , , , , , 设 ,则 , 在 中, , , 解得: , , , 故选:A. 2.D 【分析】此题考查的是勾股定理的证明;过点 作 于点 ,交 于点 ,由正方形的性质可知 、 的长,利用直角三角形面积公式可得 的长,再勾股定理可得 、 的长,最后利 用勾股定理可得答案.正确作出辅助线是解决此题的关键. 解:过点 作 于点 ,交 于点 , 正方形 面积为5,正方形 面积为1, , , , , 是直角三角形, , , , 即 , , , , , 以 为边长的正方形面积为10. 故选: . 3.D 【分析】连接 ,交 于点 ,根据折叠的性质可得 垂直平分 ;在 中,由勾股定 理解得 ,再利用三角形面积,由 ,解得 ,易得;再证明 ,由等腰三角形“等边对等角”的性质可得 , ,进而可证明 为直角三角形,然后由勾股定理计算 的长即可. 解:连接 ,交 于点 ,如下图, 由折叠的性质可得, 垂直平分 , 即 , , ∵ , , 为 的中点, ∴ , ∴在 中, , ∵ , ∴ ,即 , 解得 , ∴ , ∵ 垂直平分 , ∴ , ∴ , ∴ , , ∴ , ∴在 中, . 故选:D. 【点拨】本题主要考查了折叠的性质、垂直平分线的性质、勾股定理以及等腰三角形的判定与性质等 知识,证明 为直角三角形是解题关键. 4.B 【分析】作 关于直线 的对称线段 ,根据垂线段最短,等腰直角三角形的判定和性质,勾股定理计算即可. 解:如图,作 关于直线 的对称线段 , ∵ , ,点P是底边上的高 上一点, ∴ , ∴ , ∴ , 过点P作 于点D, 则 , ∴ , 过点B作 于点E,交 于点F, ∵ , ∴当P与点F重合,点D与点E重合时,取得最小值, 且最小值为 , 故 , ∵ ∴ , ∴ , ∴ , 故选B. 【点拨】本题考查了轴对称思想,等腰三角形的三线合一性质,等腰直角三角形的判定和性质,勾股定理,垂线段最短,直角三角形的特征,熟练掌握垂线段最短,轴对称思想,直角三角形的特征和勾股定 理是解题的关键. 5.D 【分析】如图:过D作 ,设 ,根据直角三角形的性质和勾股定理可得 、 ,再根据直角三角形的性质可得 ,再运用勾股定理可得 ,即 ,最 后代入 即可解答. 解:如图:过D作 ,设 , ∵ , ∴ , ∴ , ∴ ∵ , ∴ , ∴ , ∴ , ∴ . 【点拨】本题主要考查了直角三角形的性质、勾股定理等知识点,掌握直角三角形中 角所对的直 角边等于斜边的一半是解答本题的关键. 6.C 【分析】分别连接 , ,作 ,交 的延长线于 ,利用等边三角形的性质和全等三角 形的判定与性质得到 , ;证明 ,则 ,利用等腰三角形的三线合一性质得到 ,从而得到 , , , 四点共圆,利用圆中最长的弦为直径得到当 取最大值时,则 等于直径 ,利用勾股定理即可求得结论. 解:如图,分别连接 , ,作 ,交 的延长线于 , 和 是等边三角形, , , , . 在 和 中, , , , , , , . , , , , , , . 在 和 中,, , , , 点 为 中点, , , , , , , 四点共圆, 当 取最大值时,则 等于直径 , 为直径, , 四边形 为矩形, , , 点 在 上, 于 , , 两点重合, 此时 为 中点, , . , . 故选:C. 【点拨】本题主要考查了等边三角形的性质,等腰三角形的性质,全等三角形的判定与性质,利用全 等三角形的判定定理准确找出图中的全等三角形是解题的关键. 7.C 【分析】将 沿着 向左平移使 与 重合,得到 ,根据动点最值问题“将军饮马”模型,作 关于 的对称点 ,连接 ,此时 的最小值为线段 长,利用勾股定理求解即可得到答案. 解:将 沿着 向左平移使 与 重合,得到 ,如图所示: 由平移性质得到 , , 作 关于 的对称点 ,连接 ,如图所示: 由对称性得到 , , 由图可知, ,此时,当 三点共线时, 有最 小值,为线段 长, , , 在长方形 中, , ,由矩形性质可得 , , 是 的中点, , 与 关于 的对称, , 在长方形 中, , 在 中, , , ,由勾股定理得到 ,的最小值 , 故选:C. 【点拨】本题考查动点最值问题-将军饮马模型,涉及平移性质、对称性质、勾股定理等知识,熟练掌 握动点最值问题-将军饮马模型题型的识别及做题方法步骤是解决问题的关键. 8.B 【分析】连接 ,由题意知 ,再由点 、 、 分别是 、 、 的中点, 可得 , ,即可得出 即可求解. 解:连接 ,如图所示: 点 、 、 分别是 、 、 的中点, , , 为等边三角形, 也是等边三角形, , , 是 的一个外角, , 是 的一个外角, , , 在 和 中, ,, 同理,可得 , , , , , ,解得 , 故选:B. 【点拨】本题考查求三角形面积,涉及等边三角形的性质,中点性质,全等三角形的判定与性质,三 角形外角性质,正确作出辅助线,得出 是解题的关键. 9.A 【分析】作 交 的延长线于 ,作 交 于 , ,可得 ,设 ,则 , ,即 ,解得 ,设 ,则 , , ,在 中, , ,解方程可得 ,从而可得 , ,设点H到 的距离为h,利用等面积法求出答案即可. 解:如图所示,作 交 的延长线于 ,作 交 于 ,由翻折的性质可得: , 为等边三角形, , , , , 设 ,则 , 在 中, , , 解得: , , , , 设 ,则 , , , 在 中, , , 解得: , , , ∴ ,, , 设点H到 的距离为h, ∵ , ∴ , 故选A. 【点拨】本题主要考查了折叠的性质、等边三角形的性质、勾股定理,熟练掌握折叠的性质、等边三 角形的性质,添加适当的辅助线,是解题的关键. 10.C 【分析】以 为斜边向下作等腰直角三角形 ,得出 ,进而将 ,用三角形的三边关系得出 最小值为线段 的 长,进而即可得到答案. 解:如图所示,以 为斜边向下作等腰直角三角形 ,连 , 由勾股定理得 , ∵ , ∴ , ∴ , ∵ , ∴当 最小即 取最小值时,E必在线段 上,即最小值为线段 的长,此时, ∵ , ∴ , ∴在 中, , ∴ , ∴ , ∴ 的最小值为 , 故选:C. 【点拨】本题考查了勾股定理,直角三角形的性质,三角形的三边关系等知识点,作出辅助线是解决 此题的关键. 11.2 【分析】过点A作 于点 ,过点 作 交于点 ,先证明 和 均为等腰 直角三角形,得到 ,然后证明 ,得到 ,再利用直角三角形的性质 及勾股定理,求出 ,进而得到 ,由此即得答案. 解:如图,过点A作 于点 ,过点 作 交于点 , , , , , , 和 均为等腰直角三角形, , , , ,, , , , , , 在 中, , , , , . 故答案为:2. 【点拨】本题考查了全等三角形的判定与性质,二次根式的计算,直角三角形的性质,勾股定理,构 造全等三角形是解答本题的关键. 12. 【分析】本题考查了三角形全等的判定与性质、等腰三角形的判定、勾股定理等知识,通过作辅助线, 构造全等三角形是解题关键.过点 作 ,交 延长线于点 ,先证出 ,根据全等 三角形的性质可得 ,再根据等腰三角形的判定可得 ,从而可得 , 利用勾股定理可得 ,最后根据线段和差求解即可得. 解:如图,过点 作 ,交 延长线于点 ,∵ , , , , , , , , 在 和 中, , , , 在 中, , , , , , , 故答案为: . 13.1或 【分析】本题是等腰三角形的折叠问题,考查了折叠的性质,等腰三角形三线合一性质,勾股定理,三角形面积等知识.分两种情况:当 时,根据 及将 折叠, 使点B与点A重合,可得 ,可得到 的面积;当 时,过A作 于H,设 ,则 ,可得 , ,又 , 可得 ,再利用勾股定理可得 ,可得到 的面积. 解:当 时,如图: ∵ , ∴ , ∵将 折叠,使点B与点A重合, ∴ , ∴ 的面积是: ; 当 时, 如图,过A作 于H,设 , ∵ , ∴ , ∴ , ∵将 折叠,使点B与点A重合, ∴ , 在 中, , 在 中, , 在 中, , ∴ ,解得: , ∴ ,∴ , ∴ 的面积是: .. 故答案为:1或 . 14. 【分析】本题考查了等腰直角三角形的性质,勾股定理,过点 作 于 ,利用勾股定理先 求出 ,再求出 ,即可求出 ,进而求出 ,根据 即可求解,掌握等腰直角三角形的性质及勾股定理是解题的关键. 解:过点 作 于 ,则 , ∵ , , ∴ , ∵ 和 都是等腰直角三角形, ∴ , , , , ∴ , ∵ , ∴ , 解得 ,∵ , ∴ , ∵ , ∴ , 解得 , ∴ , ∴ , ∴ , 故答案为: . 15. 【分析】将杯子侧面展开,作A点关于 的对称点 ,连接 ,根据“两点之间线段最短”可知 的长即为蚂蚁到达蜂蜜的最短距离,根据勾股定理即可求出 的值. 本题考查了求圆柱体表面上两点之间的最短距离.将几何体展开成平面图形,利用轴对称的性质和勾 股定理进行计算是解题的关键. 解:如图, 将杯子侧面展开,作A点关于 的对称点 ,连接 ,则 的长即为蚂蚁到达蜂蜜的最短距离, 延长 ,过点 作 于D点, 则 , , , 由题意得 , ,由勾股定理得 . 故答案为: . 16. 或 【分析】存在两种情况,一是点 在 边上,连接 交 于点 ,作 于点 ,则四边 形 是矩形,所以 ,由折叠得点 与点 关于直线 对称,则 垂直平分 ,所 以 ,可证明 ,则 ,由勾股定理得 ,求得 , 则 ;二是点 在 边的延长线上,连接 交 的延长线于点 ,作 于点 ,则四边形 为矩形,所以 ,可证明 ,则 ,由勾股定 理得 ,求得 ,则 ,于是得到问题的答案. 解:如图1,点 在 边上,连接 交 于点 ,作 于点 ,则 , 四边形 是边长为 的正方形, , , 四边形 是长方形, , 由折叠得点 与点 关于直线 对称, 垂直平分 , , , ,, , ,且 , , 解得: , ; 如图 ,点 在 边的延长线上,连接 交 的延长线于点 ,作 于点 , , 四边形 为矩形, , 垂直平分 , , , , , , , , ,且 , , 解得:, 综上所述,线段 的长度为 或 . 故答案为: 或 . 【点拨】此题考查了折叠问题、勾股定理、全等三角形的判定与性质、数形结合与分类讨论数学思想 的运用等知识与方法,正确地作出所需要的辅助线是解题的关键. 17. 【分析】过点 作 于点 ,由等腰三角形的性质和平行线的性质得出 , ,由折叠的性质得: , ,得出 ,证出 ,得出 又由勾股 定理得 利用面积法构造一元一次方程,即可得出结果. 解:过点 作 于点 , ∵ , , ∴ , ∴ ∵ , ∴ , , 由折叠的性质得: , , , ∴ ∴ ∴∴ 设点 到 的距离为 ,则 即 解得: ; 故答案为 . 【点拨】本题考查了翻折变换的性质、三角形的外角性质、等腰三角形的判定与性质,勾股定理,熟 练掌握翻折变换和等腰三角形的性质是解题的关键. 18. 或 【分析】本题考查了勾股定理,平行四边形的判定和性质,折叠的性质,全等三角形的判定和性质, 分 和 两种情况进行求解即可得到答案,根据题意,正确画出图形是解题的关键. 解:如图,当 时,延长 交 于点 , 与 相交于点 , ∵ , ∴ , ∴ , 由折叠得, , , , ∴ , ∴ , 即 , ∵ , , , ∴ ,∵ , ∴ , 解得 , ∴ , ∵ , ∴ , ∴ , , ∴ , 设 ,则 , 在 中, , ∴ , 解得 , ∴ , ∴ ; 当 时,如图,设 与 相交于点 , 由折叠可得, , , , , ∵ , , ∴ , ∴ ,∴ , ∴ , ∴ , ∴ ; 综上, 的长是 或 , 故答案为: 或 . 19.(1)证明见分析;;(2) ,理由见分析. 【分析】( )由等边三角形的性质得出 , , ,再利用 证 明 ,再通过性质证明 , ,最后利用 即可求证; ( )过 作 于点 ,利用含 角直角三角形的性质和求面积的法即可求解; 此题考查了全等三角形的判定与性质,等边三角形的性质和含 角直角三角形的性质,解题的关键 是熟练掌握以上知识点的应用. 解:(1)∵ , , 是等边三角形, ∴ , , , ∴ , ∴ , ∴ , , ∴ , , 又∵ , ∴ ; (2) ,理由, 过 作 于点 ,∵ , ∴ , ∴ , 由勾股定理得: , ∴ , ∵ , ∴ , ∵ , , , ∴ , ∴ . 20.(1) ;(2)见分析;(3) ,证明见分析 【分析】(1)根据题意利用角平分线性质可得 ,再利用三角形内角和定理即可得出 ,继而得到本题答案; (2)根据题意在 上取一点 ,使得 ,连接 ,证明 ,再利用全等性质 及其他条件证明 ,再利用角度关系即可得到本题答案; (3)由(2)知, ,连接 ,因为角平分线性质可得 ,在 中应用勾股定理即可得到本题答案. (1)解:∵ , , ∴ , ∵ ,且 平分 , ∴ , , ∴ , , ∴ ; (2)解:在 上取一点 ,使得 ,连接 , , ∵ 平分 , ∴ , 在 和 中, , ∴ (SAS), ∴ , ∴ 为等腰三角形, ∴ , ∵由(1)知 , ∴ , ∴ , ∴ , ∴ 是等腰三角形, ∴ ,在 和 中, , ∴ (SAS), ∴ , ∵ , ∴ ; (3)解:连接 , , 由(2)知: , ∵ 平分 , , ∴ , , ∴在 中: , ∴ . 【点拨】本题考查三角形内角和定理,角平分线性质,垂直的定义,等腰三角形性质,全等三角形性 质及判定. 21.(1)详见分析;(2) 的边长为 ;(3) 的值为 或 . 【分析】本题主要考查了等边三角形的性质,全等三角形的判定与性质,利用高相等的两个三角形面 积之比等于底之比是解题的关键,同时渗透了分类思想. (1)利用 证明 ,得 ;(2)由(1)知 ,则 ,作 于 ,利用含30度角的直角三 角形的性质以及勾股定理即可得出答案; (3)分 或 两种情形,利用高相同的两个三角形面积之比等于底之比即可得出答案. 解:(1)证明: 是等边三角形, , , , , , 在 与 中, , , ; (2)解:由(1)知, , , , 作 于 , , , , , , 的边长为 ;(3)解:如图,当 时, , , , , 此时 , ,则 , , , , 的值为 ; 由等边三角形的对称性知,当 ,时,仍然有 , 同理可得 的值为 , 综上所述: 的值为 或 .22.(1)证明见分析;(2) ,理由见分析. 【分析】( )根据勾股逆定理即可求证; ( )延长 ,使得 ,连接 ,证明 ,得到 , ,得到 ,根据平行线的性质得到 ,由勾股定理得到 ,进而 得到 ,由等腰三角形三线合一即可求证; 本题考查了勾股定理及其逆定理,全等三角形的判定和性质,平行线的性质,等腰三角形的性质,正 确作出辅助线,构造全等三角形和直角三角形是解题的关键. 解:(1)证明:∵ , , ∴ , ∴线段 能组成直角三角形; (2)解: . 理由:延长 ,使得 ,连接 , ∵ 是边 上的中点, ∴ , 又∵ , , ∴ , ∴ , , ∴ , ∴ , ∵ , ∴ ,∴在 中, , ∵ , ∴ , ∵ , ∴ , 即 . 23. 【分析】本题考查了等腰三角形的性质,全等三角形的判定和性质,平行线的性质,勾股定理,延长 到 ,使 ,连接 ,延长 交 于点 ,过点 作 于点 ,由等腰三角形的性 质得到 , ,再证明 ,得到 , ,由平行线的性质 得到 ,利用勾股定理即可求解,读懂题意,正确作出辅助线是解题的关键. 解:如图,延长 到 ,使 ,连接 ,延长 交 于点 ,过点 作 于点 , ∵ , , ∴ , ∵ , ∴ , ∵ , ∴ , ∵ 平分 , ∴ , , ∵ , , ∴ ,∴ , ∵ , ∴ , ∴ , , ∵ , , ∴ , , ∵ , , ∴ , ∴ , ∴ , ∴ , ∴ . 24.(1) ;(2) ;(3) , 或 , 【分析】(1)根据点C的坐标得出 的长度,再结合含 角的直角三角形, 角所对的边是斜 边的一半,得出各条边的长度,最后根据勾股定理即可得出结论; (2)根据平行线的性质可知 ,再结合含 角的直角三角形, 角所对的边是 斜边的一半即可得出关系式; (3)分两种情况进行讨论,当点H在x轴下方时和当点H在x轴上方时,画出辅助线,根据等边三角 形的性质构建全等三角形即可进行解答. (1)解:∵ 中, , , ∴ , ∴ , ∵ , ∴ , ∴ , 在 中,根据勾股定理可得: ,∴ , 在 中,根据勾股定理可得: , ∴ . (2)解:如图: ∵点P的速度每秒1个单位长度,运动时间为t秒, ∴ , ∴ , ∵ 轴, ∴ , ∴ , ∴ . (3)解:当点H在x轴下方时,如图:在x轴上截取 ,连接 ,如图所示: ∵ , , ∴ 为等边三角形,则 , ∵ 为等边三角形,∴ , ∴ ,即 , 在 和 中, , ∴ , ∴ , ∵ , , ∴ , 解得: , 当 时, , 根据勾股定理得: , ∴ , . 当点H在x轴上方时,如图:在x轴上截取 ,连接 , ∵ , , ∴ 为等边三角形,则 , ∵ 为等边三角形, ∴ ,∴ ,即 , 在 和 中, , ∴ , ∴ , ∵ , ,, ∴ , 解得: , 当 时, , 根据勾股定理得: , ∴ , . 综上: , 或 , . 【点拨】本题主要考查了三角形的综合问题,坐标与图形,三角形全等的判定和性质,含角的直角三 角形三边之间关系,勾股定理,等边三角形的判定和性质,解题的关键是熟练掌握相关的判定和性质,数 形结合,注意进行分类讨论.