当前位置:首页>文档>第18章平行四边形(单元测试·培优卷)-(人教版)_初中数学_八年级数学下册(人教版)_专题突破练习-V4

第18章平行四边形(单元测试·培优卷)-(人教版)_初中数学_八年级数学下册(人教版)_专题突破练习-V4

  • 2026-04-02 03:06:28 2026-03-28 03:17:43

文档预览

第18章平行四边形(单元测试·培优卷)-(人教版)_初中数学_八年级数学下册(人教版)_专题突破练习-V4
第18章平行四边形(单元测试·培优卷)-(人教版)_初中数学_八年级数学下册(人教版)_专题突破练习-V4
第18章平行四边形(单元测试·培优卷)-(人教版)_初中数学_八年级数学下册(人教版)_专题突破练习-V4
第18章平行四边形(单元测试·培优卷)-(人教版)_初中数学_八年级数学下册(人教版)_专题突破练习-V4
第18章平行四边形(单元测试·培优卷)-(人教版)_初中数学_八年级数学下册(人教版)_专题突破练习-V4
第18章平行四边形(单元测试·培优卷)-(人教版)_初中数学_八年级数学下册(人教版)_专题突破练习-V4
第18章平行四边形(单元测试·培优卷)-(人教版)_初中数学_八年级数学下册(人教版)_专题突破练习-V4
第18章平行四边形(单元测试·培优卷)-(人教版)_初中数学_八年级数学下册(人教版)_专题突破练习-V4
第18章平行四边形(单元测试·培优卷)-(人教版)_初中数学_八年级数学下册(人教版)_专题突破练习-V4
第18章平行四边形(单元测试·培优卷)-(人教版)_初中数学_八年级数学下册(人教版)_专题突破练习-V4
第18章平行四边形(单元测试·培优卷)-(人教版)_初中数学_八年级数学下册(人教版)_专题突破练习-V4
第18章平行四边形(单元测试·培优卷)-(人教版)_初中数学_八年级数学下册(人教版)_专题突破练习-V4
第18章平行四边形(单元测试·培优卷)-(人教版)_初中数学_八年级数学下册(人教版)_专题突破练习-V4
第18章平行四边形(单元测试·培优卷)-(人教版)_初中数学_八年级数学下册(人教版)_专题突破练习-V4
第18章平行四边形(单元测试·培优卷)-(人教版)_初中数学_八年级数学下册(人教版)_专题突破练习-V4
第18章平行四边形(单元测试·培优卷)-(人教版)_初中数学_八年级数学下册(人教版)_专题突破练习-V4
第18章平行四边形(单元测试·培优卷)-(人教版)_初中数学_八年级数学下册(人教版)_专题突破练习-V4
第18章平行四边形(单元测试·培优卷)-(人教版)_初中数学_八年级数学下册(人教版)_专题突破练习-V4
第18章平行四边形(单元测试·培优卷)-(人教版)_初中数学_八年级数学下册(人教版)_专题突破练习-V4
第18章平行四边形(单元测试·培优卷)-(人教版)_初中数学_八年级数学下册(人教版)_专题突破练习-V4
第18章平行四边形(单元测试·培优卷)-(人教版)_初中数学_八年级数学下册(人教版)_专题突破练习-V4
第18章平行四边形(单元测试·培优卷)-(人教版)_初中数学_八年级数学下册(人教版)_专题突破练习-V4
第18章平行四边形(单元测试·培优卷)-(人教版)_初中数学_八年级数学下册(人教版)_专题突破练习-V4
第18章平行四边形(单元测试·培优卷)-(人教版)_初中数学_八年级数学下册(人教版)_专题突破练习-V4
第18章平行四边形(单元测试·培优卷)-(人教版)_初中数学_八年级数学下册(人教版)_专题突破练习-V4
第18章平行四边形(单元测试·培优卷)-(人教版)_初中数学_八年级数学下册(人教版)_专题突破练习-V4
第18章平行四边形(单元测试·培优卷)-(人教版)_初中数学_八年级数学下册(人教版)_专题突破练习-V4
第18章平行四边形(单元测试·培优卷)-(人教版)_初中数学_八年级数学下册(人教版)_专题突破练习-V4
第18章平行四边形(单元测试·培优卷)-(人教版)_初中数学_八年级数学下册(人教版)_专题突破练习-V4
第18章平行四边形(单元测试·培优卷)-(人教版)_初中数学_八年级数学下册(人教版)_专题突破练习-V4

文档信息

文档格式
docx
文档大小
3.349 MB
文档页数
26 页
上传时间
2026-03-28 03:17:43

文档内容

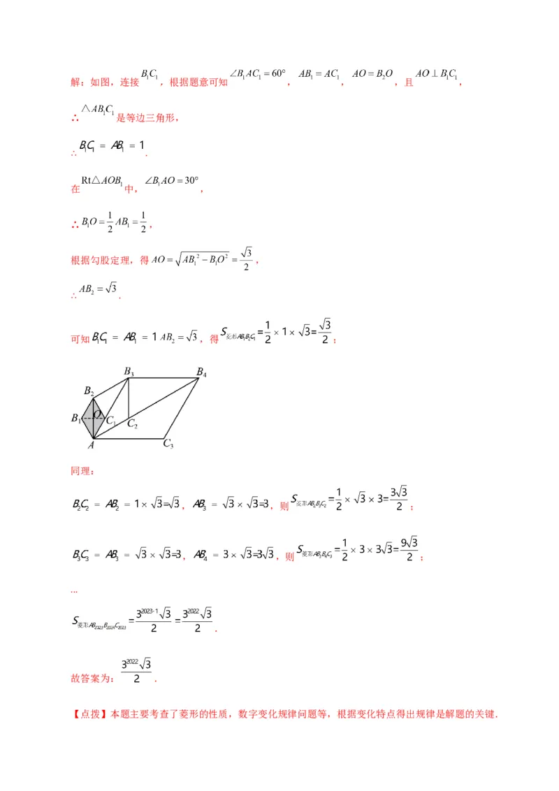
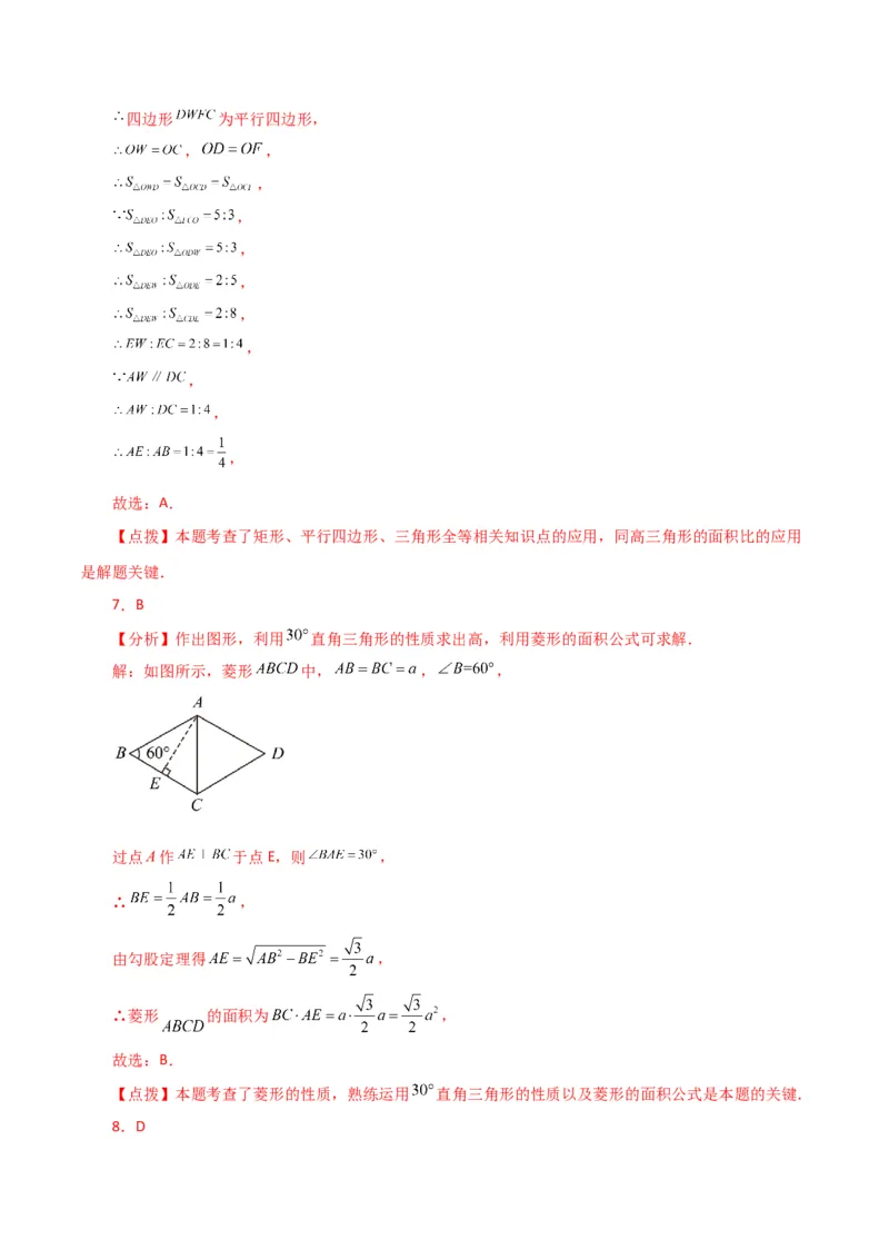
第18 章 平行四边形(单元测试·培优卷) 一、单选题(本大题共10小题,每小题3分,共30分) 1.如图,直线 ,点Q是直线 上的动点,点C和点D是直线 上的定点,当点Q从左向右运动 时, 的面积将( ). A.不变 B.变大 C.变小 D.无法确定 2.平行四边形相邻两角中,其中一个角的度数 与另一个角的度数 之间的关系是( ) A. B. C. D. 3.如图,点 在 的边 上,连接 ,作 交 于点 ,点 是 的中点,且 ,若 ,则 的长为( ) A.10 B.9 C. D.8 4.如果四边形有一组对边相等,那么还需要添加( )条件,就能使它成为平行四边形. A.另一组对边相等 B.一组对角相等 C.另一组对边平行 D.以上都成立 5.在四边形 中, , 分别平分 ,点F为 的中点,连接 , 则下列结论中,一定成立的是( )A. B. C. D. 6.如图,在矩形 的外部有四个全等的直角三角形,分别为 , , , , 连接 , 交于点O,若 ,则 的值为( ) A. B. C. D. 7.小雨在参观故宫博物馆时,被太和殿窗棂的三交六椀菱花图案所吸引,他从中提取出一个含 角 的菱形 (如图1所示).若 的长度为 ,则菱形 的面积为( ) A. B. C. D. 8.一节数学课上,老师展示了如下问题:如图,两个完全相同的直角三角尺 和 ,其中 , 都在直线l上.固定三角尺 ,将三角尺 从图示位置开 始沿射线 移动.甲、乙、丙、丁四位同学分别给出了关于四边形 的说法: 甲:一定是平行四边形;乙:不可能是矩形; 丙:可能是菱形; 丁:可能是正方形. 则说法不正确的是( ) A.甲和丙 B.乙和丙 C.只有丁 D.乙和丁 9.如图,点P是线段AB上任意一点,在AB同侧作正方形ACDP、正方形PEFB,连接DF、PF,已 知AB=10,当△PDF的面积为8时,AP的长为( ) A.2 B.8 C.2或8 D.4 10.如图,正方形ABCD的四个顶点均在坐标轴上.已知点A(﹣2,0)、E(﹣3,0),点P是正 方形ABCD边上的一个动点,在正方形ABCD外作等腰直角 PEF,若点P从点A出发,以每秒 个单位 长度沿A→D→C→B→A方向运动,则第2020秒时,点F的坐标为( ) A.(﹣4,4) B.(5,﹣3) C.(﹣3,5) D.(﹣4,2) 二、填空题(本大题共8小题,每小题4分,共32分) 11.小宁不小心将一块平行四边形教具打碎成两部分,通过测量,已经知道三个角的度数如图所示,则 的度数为 . 12.如图是小明和小颖玩跷跷板时的示意图,点 是跷跷板 的中点,支柱 与地面垂直,且 的长度为 ,若小明到水平线 的距离 为 时小颖到地面的距离为 . 13.如图,将 先沿 折叠,再沿 折叠后,A点落在线段 上的 处,C点落在E处,连 接 , .若恰有 ,则 . 14.如图,在 中, ,动点 在 边上从点A开始向终点 运动,则线段 的中点 从开始到停止所经过的路线长为 cm. 15.如图,用长为 米的铝合金制成如图窗框,已知矩形 ,矩形 ,矩形 的面积均 相等,设 的长为 米,则 的长是 米.(用含 , 的代数式表示)16.如图所示,将矩形 分别沿 , , 翻折,翻折后点 ,点 ,点 都落在点 上. 若 ,则 . 17.将正方形纸片 对折,展开得到折痕 ,再次折叠,使顶点D与点M重合,折痕交 于 点E, 交折痕于点H,已知正方形的边长为4,则 的长度为 . 18.如图,已知第1个菱形 中, , ,以对角线 为边作第2个菱形 ,使点 在菱形 的内部,且 ,再以对角线 为边作第3个菱形 , 使点 在菱形 的内部,且 ,顺次这样作下去……,则第2023个菱形 的面积为 .三、解答题(本大题共6小题,共58分) 19.(8分)如图,已知 , 、 相交于点O,延长 到点E,使 ,连接 . (1)求证:四边形 是平行四边形: (2)连接 ,交 于点F,连接 ,判断 与 的数量关系,并说明理由. 20.(8分)如图, 中, 为 上一点, , 的角平分线 交 于点 . (1)求证: ; (2) 为 上一点,当 平分 ,求证: . (3)在(2)的基础上,连结 ,求证: . 21.(10分)如图, 中, 是高, 是中线,点G是 的中点, ,点G为垂足. (1)求证: ; (2)若 ,求 的度数.22.(10分)如图, 中,对角线 、 交于点 ,在 上截取 . (1)求证:四边形 是矩形; (2)若 ,求证: 平分 . 23.(10分)如图①,在正方形 中,点 分别在 上且 . (1)试探索线段 的大小关系,写出你的结论并说明理由; (2)连接 ,分别取 的中点 ,顺次连接,得到四边形 : ①请在图②中补全图形; ②四边形 是什么特殊平行四边形?请说明理由.24.(12分)【课本再现】(1)如图1,E是正方形 中 边上任意一点,以点A为中心,把 顺时针旋转 ,请你按课本的解答:“设点E的对应点为 ,在 的延长线上取点 ,使 ,连接 ,则 为旋转后的图形”,画出旋转后的 ,易知线段 与 的关系 为______________________; 【深入探究】(2)如图2,在正方形 中,E,F分别是边 上的点,且 ,请你 探究图中线段 之间的数量关系并说明理由; 【拓展延伸】(3)在(2)图2的条件下,若正方形 的边长为6,且F为 边的中点时, 的长为____. 参考答案: 1.A 【分析】根据平行线间的距离处处相等,可知 的高不变,再结合点C和点D是直线 上的定点, 易知底边CD的长也是不变的,由三角形面积公式判断 的面积不变. 解:∵ ,根据平行线间的距离处处相等, ∴点Q到 的距离不变,即 的高不变, ∵点C和点D是直线 上的定点, ∴ 的底边CD的长也是不变的, ∴ 的面积不变.故选:A. 【点拨】本题主要考查了平行线的性质以及三角形面积公式,熟练掌握平行线间的距离处处相等是解 题关键. 2.C 【分析】根据平行四边形邻角互补解答. 解:由题意可得 x+y=180° 即 故选:C. 【点拨】本题考查平行四边形的性质,是基础考点,掌握相关知识是解题关键. 3.B 【分析】延长 交 于点 ,可推出四边形 是平行四边形,得 ;根据“点 是 的中点”可得 、 ,设 ,根据 即可求解. 解:延长 交 于点 ,如图: ∵ , , , , ∴四边形 是平行四边形, , ∵点 是 的中点且 , , ∵点 是 的中点且 , , , 设 , , 解得: , ∴ ,故选:B. 【点拨】本题考查了平行四边形的判定与性质、中位线定理、等腰三角形的性质等,熟记相关知识点 是解题关键. 4.A 【分析】根据平行四边形的判定进行解答,得到答案. 解:两组对边分别相等的四边形是平行四边形,故选项A符合题意; 四边形有一组对边相等,一组对角相等不能证明另一组对边也相等或平行,不能构成平行四边形,故 选项B不符合题意; 四边形有一组对边相等,另一组对边平行不一定构成平形四边形,也可能构成等腰梯形,故选项C、D 均不符合题意. 故选:A. 【点拨】本题考查平行四边形的判定,掌握平行四边形的判定是解题的关键. 5.D 【分析】本题考查了直角三角形斜边中线,两直线平行,同旁内角互补,全等三角形的判定与性质等 知识点,熟练掌握以上知识点是解题的关键,根据题意,作辅助线,在 上截取 ,连接 ,由题意可得出 ,故 ,根据题意判定 与 ,进一步推论出 即可. 解:在 上截取 ,连接 . ∵ , 分别平分 , ∴ , ∴ , ∵点F为 的中点, ∴ , 由题意可知, , ∴ , ∵ , ∴ , 同理可得: ,∴ , ∴ . 故选:D. 6.A 【分析】设 、 交于点 ,连接 ,证明出四边形 为平行四边形,得到 , ,推导出 与 的比,即得出 与 的比,即可解答 与 的比. 解:如图,设 、 交于点 ,连接 , , , , 由 ,得 为等腰直角三角形, , , 为等腰直角三角形, , , , , ,四边形 为平行四边形, , , , , , , , , , , , 故选:A. 【点拨】本题考查了矩形、平行四边形、三角形全等相关知识点的应用,同高三角形的面积比的应用 是解题关键. 7.B 【分析】作出图形,利用 直角三角形的性质求出高,利用菱形的面积公式可求解. 解:如图所示,菱形 中, , , 过点A作 于点E,则 , ∴ , 由勾股定理得 , ∴菱形 的面积为 , 故选:B. 【点拨】本题考查了菱形的性质,熟练运用 直角三角形的性质以及菱形的面积公式是本题的关键. 8.D【分析】根据四边形及特殊四边形的判定定理即可求解. 解:画出三角尺 从图示位置开始沿射线 移动的某一时刻的图象: 由题意可知: 故四边形 一定是平行四边形,故甲说法正确; 当 时,四边形 是矩形,故乙说法错误; 当 时,四边形 是菱形,故丙说法正确; 与 不能同时满足,故四边形 不可能是正方形,故丁说法错误. 故选:D 【点拨】本题考查四边形及特殊四边形的判定定理,掌握相关定理是解决此题的关键. 9.C 【分析】设 ,则 ,根据正方形的性质可知 ,将 的面积用 表示为一 个等式,求出 值,即可求解. 解:设 ,则 , 四边形 和四边形 都是正方形, , , 即 ,解得 或 , 故选:C. 【点拨】本题主要考查了正方形的的性质以及方程的应用,熟练掌握数形结合思想是解决问题的关键. 10.C 【分析】由正方形的性质可求 ,可求点P第2020面时与点C重合,由等腰直角三角 形的性质可求解. 解:∵点 , ∴ ,∴点P从点A出发,一圈后回到A点所需的时间为 , ∴ , ∴第2020秒时,点P在点C处, ∴点 , ∴EP=5, ∵ ,EF=EP=5, ∴点 . 故选:C. 【点拨】此题考查了正方形的性质,,等腰直角三角形的性质,解题的关键是找到点P的运动规律. 11. 【分析】先根据平行四边形对角相等,邻角互补求出 , 的度数,再求出 的度数即可 利用五边形内角和定理求出答案. 解:∵四边形 是平行四边形, , ∴ , ∴ , 又∵ , ∴ , 故答案为: . 【点拨】本题主要考查了平行四边形的性质,多边形内角和定理,正确求出 , , 的 度数是解题的关键. 12. /90厘米 【分析】本题主要考查了三角形全等的判定和性质,平行线的判定,平行四边形的判定和性质,解题 的关键是熟练掌握三角形全等的性质证明 . 解:∵在 和 中 ,∴ , ∴ , ∵ 为水平线, ∴ , ∵ , , ∴ , ∴ 为平行四边形, ∴ , ∴ . 故答案为: . 13. /126度 【分析】由平行四边形的性质得 , ,由折叠得 , , ,则 ,所以 ,则 ,于是得 ,则 , ,即可求得 ,于是得到问题的答案. 解:∵四边形 是平行四边形, ∴ , , 由折叠得 , , , ∴ , ∵ , ∴ , ∴ , ∴ , ∵ , ∴ , ∴ , ∴ , ∴ , 故答案为: . 【点拨】此题重点考查平行四边形的性质、平行线的性质、轴对称的性质、三角形内角和定理等知识, 证明 是解题的关键.14.5 【分析】取 中点M, 中点N,连接 .再根据点 从开始到停止所经过的路线长为 的中 点到 的中点,即为 的长,结合三角形中位线定理即可求解. 解:如图,取 中点M, 中点N,连接 . 当动点 和A点重合时,则点Q与点M重合, 当动点 和B点重合时,则点Q与点N重合, 由三角形中位线定理可知 . 由题意可知线段 的中点 从开始到停止所经过的路径即为线段 , ∴线段 的中点 从开始到停止所经过的路线长为 . 故答案为:5. 【点拨】本题考查三角形中位线定理.读懂题意,理解点 从开始到停止所经过的路线长为 的中 点到 的中点是解题关键. 15. 【分析】设 ,根据矩形 ,矩形 ,矩形 的面积均相等,得出 ,再根 据窗户框的总长为 米,得出 ,从而表示出 的长. 解:设 , 矩形 ,矩形 ,矩形 的面积均相等, , , , , , ,, . 故答案为: . 【点拨】本题考查了矩形的性质,列代数式,关键是根据矩形面积公式表示出 的长. 16. 【分析】依题意 , , , , ,在 中, ,得出 ,进而在 中, ,列出方程即可求解. 解:依题意 , , , , 设 , ∵ , , ∴ , 在 中, , ∴ ∴ 解得: , 同理 ,又 在 中, , ∴ 设 ∴ 解得:故答案为: . 【点拨】本题考查了矩形折叠问题,勾股定理,得出 是解题的关键. 17. 【分析】根据题意得 , 垂直平分 , , , ,则 ,即 ,根据 得 ,即 ,根据勾股定理得 , ,则 ,进行计算即可得. 解:∵正方形纸片 的边长为4, ∴ , ∵正方形纸片 对折,展开得到折痕 ,再次折叠,使顶点D与点M重合, ∴ 垂直平分 , , ∴ , , ∴ , ∴ , ∵ , ∴ , ∴ , ∵ , , ∴ , , , 故答案为: . 【点拨】本题考查了正方形的性质,折叠的性质,等角对等边,勾股定理,解题的关键是理解题意, 掌握这些知识点. 18. 【分析】先分别求出菱形的对角线长,再依次求出面积,然后得出规律,进而得出答案.解:如图,连接 ,根据题意可知 , , ,且 , ∴ 是等边三角形, ∴ . 在 中, , ∴ , 根据勾股定理,得 , ∴ . 可知 ,得 ; 同理: , ,则 ; , ,则 ; ··· . 故答案为: . 【点拨】本题主要考查了菱形的性质,数字变化规律问题等,根据变化特点得出规律是解题的关键.19.(1)证明见分析;(2) ,理由见分析. 【分析】本题考查平行四边形的判定和性质; (1)根据平行四边形的性质得到 ,再根据等量代换得到 ,即可得到结论; (2)根据平行四边形的性质得到 , ,然后根据三角形的中位线的性质解题即可. 解:(1)证明: 四边形 是平行四边形, , 又 , 四边形 是平行四边形; (2) . 四边形 是平行四边形, , 又 中, , 是 的中位线, , . 20.(1)证明过程见详解;(2)证明过程见详解;(3)证明过程见详解 【分析】(1)根据 是 的外角, 是 的外角,运用三角形的外角的性质, , 平分 ,即可求证; (2)由(1)可得 ,根据 平分 ,可得 ,根据内错角相等两直 线平行的判定方法即可求证; (3)根据题意,可证 ,可证四边形 是菱形,由此即可求解. 解:(1)证明:∵ 是 的外角, 是 的外角, ∴ , , ∵ , 平分 , ∴ , ∴ , ∴ . (2)证明:由(1)可知, ,∵ 平分 , ∴ , ∴ , ∴ (3)证明:如图所示,连接 , ∵ 平分 , ∴ , ∵ 平分 , ∴ , ∵ , , ∴ , ∴ , 在 中, , ∴ , ∴ , ∵ , ∴ , ∴ ,且 , ∴四边形 是平行线四边形, ∵ , ∴平行四边形 是菱形, ∴ ,即 . 【点拨】本题主要考查三角形的外角的性质,平行线的性质,全等三角形的判定和性质,菱形的判定和性质,掌握以上知识是解题的关键. 21.(1)见分析;(2) 【分析】本题考查直角三角形斜边的中线的性质,线段垂直平分线的性质,三角形外角的性质以及等 腰三角形的性质.正确的连接辅助线是解题关键. (1)由 是 的中点, 得到 是 的垂直平分线,根据线段垂直平分线的性质得到 由 是 的斜边 上的中线,根据直角三角形斜边上的中线等于斜边的一半得到 ,即可得到 . (2)由 得到 ,由 得到 根据三角形外角性质得到 则 由此根据外角的性质来求 的度数. (1)解: ∵ 是 的中点, , ∴ 是 的垂直平分线, ∴ . ∵ 是高, 是中线, ∴ 是 的斜边 上的中线, ∴ . ∴ ; (2)解:∵ , , . 22.(1)证明见分析;(2)证明见分析 【分析】(1)先根据平行四边形的性质得到 ,进而证明 ,由此即可证明 四边形 是矩形; (2)先证明四边形 是正方形,得到 ,即可证明四边形 是菱形,则由菱形的性 质可得 平分 .解:(1)证明:∵四边形 是平行四边形, ∴ , ∵ , ∴ , ∴四边形 是平行四边形, ; ∴四边形 是矩形; (2)证明:∵四边形 是矩形, , ∴四边形 是正方形, ∴ , 又∵四边形 是平行四边形, ∴四边形 是菱形, ∴ 平分 . 【点拨】本题主要考查了正方形的性质与判定,矩形的判定,菱形的性质与判定,平行四边形的性质, 熟知特殊平行四边形的判定定理是解题的关键. 23.(1) ,说明理由见分析;(2)①请在图②中补全图形见分析; ②四边形 是正边形,说明理由见分析 【分析】(1)根据已知利用 判定 ,由全等三角形的判定方法可得到 ; (2)①根据题意补全图形即可; ②根据已知可得 都是中位线,由全等三角形的判定可得到四边形四边都相等且有一 个角是直角,从而来可得到该四边形是正方形. (1)解: . ∵ 是正方形, ∴ , ∵ , ∴ , ∴ ; (2)解:①补全图形如图,②四边形 是正方形. ∵H、I、J、K分别是 的中点, ∴ , ∵ , ∴ , ∴四边形 是菱形, ∵ , ∴ , ∵ , ∴ , ∴ , ∴ , ∴四边形 是正方形. 【点拨】此题主要考查正方形的判定的方法与性质和菱形的判定,及全等三角形的判定等知识点的综 合运用. 24.(1)画图见分析, ;(2) ,利用见分析;(3)2 【分析】(1)先根据题意画出图形,再利用 证明 ,即可得到 ; (2)如图所示,在 的延长线上取点 ,使 ,连接 ,同理可得 ,则 ,再证明 ,即可证明 ,得到 ,由 此可得 ; (3)设 ,则 , ,由勾股定理建立方程 ,解方程即可 得到答案. 解:(1)∵四边形 是正方形, ∴ ,又∵ , ∴ , ∴ ; (2) ,理由如下: 如图所示,在 的延长线上取点 ,使 ,连接 , 同理可证 , ∴ , ∵ , ∴ , ∵ , ∴ , 又∵ , ∴ , ∴ , ∵ , ∴ ; (3)设 ,则 , ∵正方形 的边长为6,点F为 的中点, ∴ ,∴ , ∵在正方形 中, , ∴ , ∴ , 解得 , ∴ , 故答案为:2. 【点拨】本题主要考查了正方形的性质,全等三角形的性质与判定,勾股定理,正确作出辅助线通过 证明得到对应线段之间的关系是解题的关键.