当前位置:首页>文档>预测卷01-大题精做冲刺2023年高考数学大题突破+限时集训(新高考专用)(解析版)_2.2025数学总复习_2023年新高考资料_专项复习_冲刺2023年高考数学大题突破(新高考专用)

预测卷01-大题精做冲刺2023年高考数学大题突破+限时集训(新高考专用)(解析版)_2.2025数学总复习_2023年新高考资料_专项复习_冲刺2023年高考数学大题突破(新高考专用)

  • 2026-04-02 03:04:07 2026-03-29 05:14:24

文档预览

预测卷01-大题精做冲刺2023年高考数学大题突破+限时集训(新高考专用)(解析版)_2.2025数学总复习_2023年新高考资料_专项复习_冲刺2023年高考数学大题突破(新高考专用)
预测卷01-大题精做冲刺2023年高考数学大题突破+限时集训(新高考专用)(解析版)_2.2025数学总复习_2023年新高考资料_专项复习_冲刺2023年高考数学大题突破(新高考专用)
预测卷01-大题精做冲刺2023年高考数学大题突破+限时集训(新高考专用)(解析版)_2.2025数学总复习_2023年新高考资料_专项复习_冲刺2023年高考数学大题突破(新高考专用)
预测卷01-大题精做冲刺2023年高考数学大题突破+限时集训(新高考专用)(解析版)_2.2025数学总复习_2023年新高考资料_专项复习_冲刺2023年高考数学大题突破(新高考专用)
预测卷01-大题精做冲刺2023年高考数学大题突破+限时集训(新高考专用)(解析版)_2.2025数学总复习_2023年新高考资料_专项复习_冲刺2023年高考数学大题突破(新高考专用)
预测卷01-大题精做冲刺2023年高考数学大题突破+限时集训(新高考专用)(解析版)_2.2025数学总复习_2023年新高考资料_专项复习_冲刺2023年高考数学大题突破(新高考专用)
预测卷01-大题精做冲刺2023年高考数学大题突破+限时集训(新高考专用)(解析版)_2.2025数学总复习_2023年新高考资料_专项复习_冲刺2023年高考数学大题突破(新高考专用)
预测卷01-大题精做冲刺2023年高考数学大题突破+限时集训(新高考专用)(解析版)_2.2025数学总复习_2023年新高考资料_专项复习_冲刺2023年高考数学大题突破(新高考专用)
预测卷01-大题精做冲刺2023年高考数学大题突破+限时集训(新高考专用)(解析版)_2.2025数学总复习_2023年新高考资料_专项复习_冲刺2023年高考数学大题突破(新高考专用)
预测卷01-大题精做冲刺2023年高考数学大题突破+限时集训(新高考专用)(解析版)_2.2025数学总复习_2023年新高考资料_专项复习_冲刺2023年高考数学大题突破(新高考专用)
预测卷01-大题精做冲刺2023年高考数学大题突破+限时集训(新高考专用)(解析版)_2.2025数学总复习_2023年新高考资料_专项复习_冲刺2023年高考数学大题突破(新高考专用)
预测卷01-大题精做冲刺2023年高考数学大题突破+限时集训(新高考专用)(解析版)_2.2025数学总复习_2023年新高考资料_专项复习_冲刺2023年高考数学大题突破(新高考专用)
预测卷01-大题精做冲刺2023年高考数学大题突破+限时集训(新高考专用)(解析版)_2.2025数学总复习_2023年新高考资料_专项复习_冲刺2023年高考数学大题突破(新高考专用)
预测卷01-大题精做冲刺2023年高考数学大题突破+限时集训(新高考专用)(解析版)_2.2025数学总复习_2023年新高考资料_专项复习_冲刺2023年高考数学大题突破(新高考专用)

文档信息

文档格式
docx
文档大小
0.657 MB
文档页数
10 页
上传时间
2026-03-29 05:14:24

文档内容

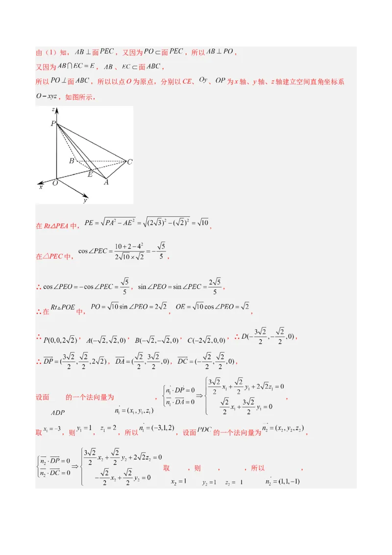
预测卷 01 (满分:70分 建议用时: 65 分钟) 一、解答题 17(10分).在 ABC中,内角A,B,C的对边分别为a,b,c.从下面①②③中选取两个作为条件,证明 另外一个成立. △ ① ;② ;③ . 注:若选择不同的组合分别解答,则按第一个解答计分. 【答案】答案见解析. 【分析】根据题意,分别选择其中两个作条件,另外一个做结论,利用正余弦定理化简证明即可. 【详解】选①②作条件,③做结论 由②,得: ,而sin B > 0, 所以 ,即 , 根据辅助角公式可得, ,0 < A < π, 所以, ,则 , 由①知, ,代入可得, ,所以 , 即: . 选①③作条件,②做结论 由③,得: , , 所以 ,则 , 所以 ,0 < A < π,所以 , 由③知, , 所以 ,所以 ,所以 ,所以, . 选②③作条件,①做结论 由②,得: ,而sin B > 0, 所以 ,即 , 根据辅助角公式可得, ,所以, , 由③, , 所以 ,得: ,所以 , 所以 , ,则 , , 即: . 18(12分).已知等差数列 的首项 ,记 的前n项和为 , . (1)求数列 的通项公式; (2)若数列 公差 ,令 ,求数列 的前n项和 . 【答案】(1) 或 (2) 【详解】(1)由题意可得: , 整理得 ,则 可得 或 , 故 或 . (2)∵ ,由(1)可得 ,则 , 故 所以 . 19(12分).如图,三棱锥 满足: , , , . (1)求证: ; (2)若D为 中点,求二面角 的平面角的正弦值. 【答案】(1)证明见解析(2) 【详解】(1)∵ , , , ∴ ,又∵ , , ∴ ,取AB中点E,连接PE、CE,如图所示, 则 , , 又∵ , 、 面 ,∴ 面 ,又∵ 面 ,∴ . (2)过点P作 交 延长线于点O,过O作 ,由(1)知, 面 ,又因为 面 ,所以 , 又因为 , 、 面 , 所以 面 ,所以以点O为原点,分别以CE、 、 为x轴、y轴、z轴建立空间直角坐标系 ,如图所示, 在Rt PEA中, , △ 在△PEC中, , ∴ , , ∴在 中, , , ∴ , , , ,∴ , ∴ , , , 设面 的一个法向量为 , , 取 ,则 , ,所以 ,设面 的一个法向量为 , 取 ,则 , ,所以 ,∴ ,∴ . 即二面角 的平面角的正弦值为 . 20(12分).2022年12月2日晚,神舟十四号、神舟十五号航天员乘组进行在轨交接仪式,两个乘组移 交了中国空间站的钥匙,6名航天员分别在确认书上签字,中国空间站正式开启长期有人驻留模式.为调查 大学生对中国航天事业的了解情况,某大学进行了一次抽样调查,若被调查的男女生人数均为 , 统计得到以下列联表,经计算,有97.5%的把握认为该校学生对中国航天事业的了解与性别有关,但没有 99%的把握认为该校学生对中国航天事业的了解与性别有关. 男生 女生 合计 了解 不了解 合计 (1)求n的值; (2)将频率视为概率,用样本估计总体,从全校男学生中随机抽取5人,记其中了解中国航天事业的人数为 X,求X的分布列及数学期望. 附表: 0.10 0.05 0.025 0.01 0.001 2.706 3.841 5.024 6.635 10.828 . 【答案】(1) (2)分布列见解析, 【详解】(1)由已知,完成列联表,男生 女生 合计 了解 不了解 合计 将数值代入公式可得 的观测值: , 根据条件,可得 ,解得 ,因为 ,所以 . (2)由(1)知,样本的男生中了解中国航天事业的频率为 , 用样本估计总体,从全校男生中随机抽取一人,了解中国航天事业的概率为 ,则 , , , , , , . 则X的分布列为 X 0 1 2 3 4 5 P . 21(12分).已知双曲线C: 过点 ,且渐近线方程为 .(1)求双曲线C的方程; (2)如图,过点 的直线l交双曲线C于点M、N.直线MA、NA分别交直线 于点P、Q,求 的 值. 【答案】(1) (2)1 【详解】(1)∵双曲线C的渐近线方程为 ,则可设双曲线C的方程为 , 代入点 ,即 ,故双曲线C的方程为 . (2)由双曲线C的方程为 的方程可得 , 由题意可得点 ,则有:当直线l与 轴垂直时,则 , 可得直线 ,令 ,则 ,即点 , 同理可得:点 ,故 ,即 ; 当直线l不与 轴垂直时,设直线 , 联立方程 ,消去x得 , 则 ,可得直线 , 令 ,则 ,即点 , 同理可得:点 , ∵ ,即点 关于x轴对称,故 ,即 ; 综上所述: 的值为1. 22(12分).已知函数 , . (1)证明: 存在唯一零点; (2)设 ,若存在 ,使得 ,证明: . 【答案】(1)证明见解析(2)证明见解析 【详解】(1)由题意可得 , 记 ,则 , 因为 时, 恒成立,所以 在 上单调递增, 因为 ,所以 在 上恒小于0,在 上恒大于0, 所以 在 上单调递减,在 上单调递增,因为 ,所以 有唯一零点0. (2)由 可得 , 若 是方程 的根,则 是方程 的根, 因为 , 都单调递增, 所以 , , 设 , , 所以 的解为 , 的解为 , 所以 在 上递减,在 上递增, 所以 的最小值为 ,即 的最小值为 . 故原不等式成立.