当前位置:首页>文档>第一单元中华人民共和国的成立和巩固(考点梳理卷)(学生版)_新八下历史_00、更新资料3月23日_第二套(4)_单元知识复习专项-U89_2025版

第一单元中华人民共和国的成立和巩固(考点梳理卷)(学生版)_新八下历史_00、更新资料3月23日_第二套(4)_单元知识复习专项-U89_2025版

  • 2026-04-11 11:28:57 2026-03-30 18:40:58

文档预览

第一单元中华人民共和国的成立和巩固(考点梳理卷)(学生版)_新八下历史_00、更新资料3月23日_第二套(4)_单元知识复习专项-U89_2025版
第一单元中华人民共和国的成立和巩固(考点梳理卷)(学生版)_新八下历史_00、更新资料3月23日_第二套(4)_单元知识复习专项-U89_2025版
第一单元中华人民共和国的成立和巩固(考点梳理卷)(学生版)_新八下历史_00、更新资料3月23日_第二套(4)_单元知识复习专项-U89_2025版
第一单元中华人民共和国的成立和巩固(考点梳理卷)(学生版)_新八下历史_00、更新资料3月23日_第二套(4)_单元知识复习专项-U89_2025版
第一单元中华人民共和国的成立和巩固(考点梳理卷)(学生版)_新八下历史_00、更新资料3月23日_第二套(4)_单元知识复习专项-U89_2025版
第一单元中华人民共和国的成立和巩固(考点梳理卷)(学生版)_新八下历史_00、更新资料3月23日_第二套(4)_单元知识复习专项-U89_2025版
第一单元中华人民共和国的成立和巩固(考点梳理卷)(学生版)_新八下历史_00、更新资料3月23日_第二套(4)_单元知识复习专项-U89_2025版
第一单元中华人民共和国的成立和巩固(考点梳理卷)(学生版)_新八下历史_00、更新资料3月23日_第二套(4)_单元知识复习专项-U89_2025版
第一单元中华人民共和国的成立和巩固(考点梳理卷)(学生版)_新八下历史_00、更新资料3月23日_第二套(4)_单元知识复习专项-U89_2025版
第一单元中华人民共和国的成立和巩固(考点梳理卷)(学生版)_新八下历史_00、更新资料3月23日_第二套(4)_单元知识复习专项-U89_2025版
第一单元中华人民共和国的成立和巩固(考点梳理卷)(学生版)_新八下历史_00、更新资料3月23日_第二套(4)_单元知识复习专项-U89_2025版
第一单元中华人民共和国的成立和巩固(考点梳理卷)(学生版)_新八下历史_00、更新资料3月23日_第二套(4)_单元知识复习专项-U89_2025版
第一单元中华人民共和国的成立和巩固(考点梳理卷)(学生版)_新八下历史_00、更新资料3月23日_第二套(4)_单元知识复习专项-U89_2025版
第一单元中华人民共和国的成立和巩固(考点梳理卷)(学生版)_新八下历史_00、更新资料3月23日_第二套(4)_单元知识复习专项-U89_2025版
第一单元中华人民共和国的成立和巩固(考点梳理卷)(学生版)_新八下历史_00、更新资料3月23日_第二套(4)_单元知识复习专项-U89_2025版
第一单元中华人民共和国的成立和巩固(考点梳理卷)(学生版)_新八下历史_00、更新资料3月23日_第二套(4)_单元知识复习专项-U89_2025版
第一单元中华人民共和国的成立和巩固(考点梳理卷)(学生版)_新八下历史_00、更新资料3月23日_第二套(4)_单元知识复习专项-U89_2025版
第一单元中华人民共和国的成立和巩固(考点梳理卷)(学生版)_新八下历史_00、更新资料3月23日_第二套(4)_单元知识复习专项-U89_2025版

文档信息

文档格式
docx
文档大小
12.069 MB
文档页数
14 页
上传时间
2026-03-30 18:40:58

文档内容

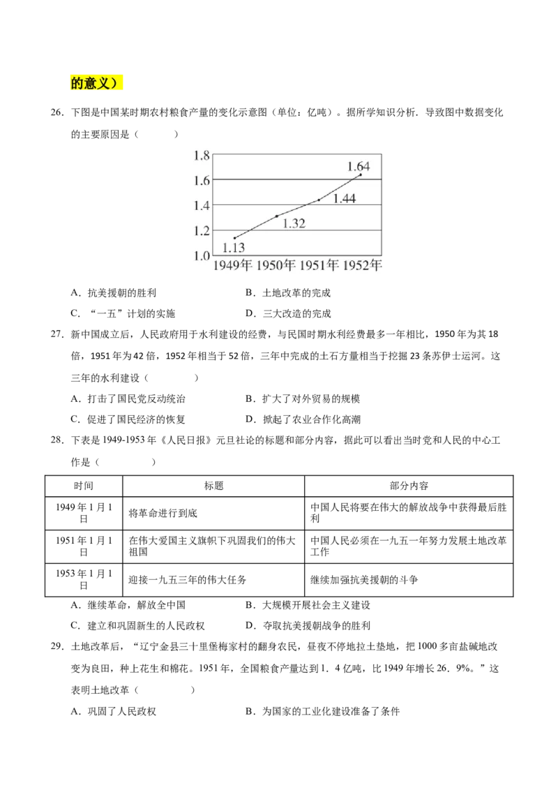
第一单元 中华人民共和国的成立和巩固 【考点梳理卷】 考点预览 考点1:第一届政治协商会议 考点2:中华人民共和国成立 考点3:西藏和平解放 考点4: 抗美援朝,保家卫国 考点5:战斗英雄黄继光和邱少云 考点6:《中华人民共和国土地改革法》的颁布 考点7:土地改革的意义 考点1—3: 中华人民共和国成立(第一届政治协商会议、中华人民共和国 成立、西藏和平解放) 1.下列这组油画中蕴含着丰富的历史信息。其反映的主题是( ) A.新民主主义革命走向胜利 B.开辟井冈山革命道路 C.武装反抗国民党反动统治 D.开启中国历史新纪元 2.天安门广场原本是皇家专用的一块禁地,不准百姓通行。1949年9月,政府下令整修天安门广场场地, 以供群众集会使用。10月1日,首都30万军民齐集天安门广场,庆祝新中国成立。天安门广场用途的 变化反映了( ) A.人民的地位得到提高 B.中国已经彻底消灭剥削阶级 C.各族人民实现大团结 D.中国进入社会主义初级阶段 3.她在中国历史上具有伟大的里程碑意义,开辟了中国历史的新纪元,中国真正成为独立自主的国家,中国人民从此站立起来了,壮大了世界和平民主和社会主义的力量。她指的是( ) A.中国共产党诞生 B.中华人民共和国成立 C.抗美援朝的胜利 D.三大改造的基本完成 4.胶济铁路曾先后被德国和日本攫取,直到1949年才真正回到中国人民的怀抱。其命运表明( ) A.民族独立是维护主权的前提 B.民族民主革命进程艰难曲折 C.只有社会主义才能发展中国 D.资本输出是列强侵华的手段 5.在下图(来源:2022年版义务教育教科书《中国历史》八年级下册第3页)所示的会议开幕式上,毛 泽东说:“诸位代表先生们,我们有一个共同的感觉,这就是我们的工作将写在人类的历史上,它将 表明:占人类总数四分之一的中国人从此站立起来了。”这里的“站立起来了”是指( ) 中国人民政治协商会议第一届全体会议会场 A.中国建立了一个新的国家政权 B.中国真正成为独立自主的国家 C.中国进入了社会主义初级阶段 D.中国进入了改革开放的新时期 6.天安门是中国古典建筑的瑰宝,见证了中国历史的重要时刻。下图是1949年10月1日毛泽东在天安门 城楼讲话的场景,与之相关的历史事件是( ) A.长征胜利会师 B.解放战争胜利 C.新中国的成立 D.土地改革完成 7.标志着中国真正成为独立自主的国家,开辟了中国历史新纪元的事件是( ) A.中华人民共和国的成立 B.土地改革的完成C.抗美援朝战争的胜利 D.第一个五年计划的完成 8.1949年是充满希望的一年,中国人民从此站立起来了,人民的自信心、自尊心和自豪感极大地增强了, 这反映的历史事件是( ) A.中共七大召开 B.新中国的成立 C.土地改革完成 D.“双百”方针提出 9.下图是李可染以1950年全国工农兵劳动模范代表畅游北海公园为素材创作的画。该画作弘扬了( ) A.尊重劳动的风尚 B.严谨治学的态度 C.开天辟地的精神 D.敢闯敢试的勇气 10.1949年10月,《人民日报》报道:“中国人民从此有了屹立于世界和平民主阵营的祖国,有了真能 保护自己、代表自己的政府。”该报道( ) A.宣告祖国大陆获得统一 B.表达了人民群众的民族自豪感 C.宣布世界和平得以实现 D.表明了土地改革已经全部完成 11.百年党史是一部伟大的奋斗史,其中包括许多具有特殊意义的事件。下图②处的事件为( ) A.中国共产党的诞生 B.中华人民共和国成立 C.抗美援朝战争胜利 D.第一个五年计划完成 12.下面漫画寓意近代中国人民受“三座大山”的压迫。这种现象基本改变的标志是( )A.抗日战争的胜利 B.中华人民共和国的成立 C.抗美援朝战争的胜利 D.三大改造的基本完成 13.在恩施州成立40周年之际,万名学子在州文化中心广场同唱《我和我的祖国》,抒发对祖国的热爱。 回望历史,近代中国屡遭侵略,人民被压迫、被奴役。中国实现独立自主、“中国人从此站立起来” 的标志是( ) A.抗日战争的胜利 B.新中国的成立 C.抗美援朝的胜利 D.三大改造完成 14.1950年8月,泰州人柳溥庆所在的北京人民印钞厂接到印制“国家名片”的紧急任务,在没有相应印 制设备的情况下,他带领工人改造印制机器,创新工艺流程,高质量地完成了任务。因此,他当年获 评新中国第一届全国劳模。这一事件折射出( ) A.新政权得到人民的衷心拥护 B.社会主义制度建立顺应民心 C.全面建设社会主义热情高涨 D.人民代表大会制度顺利实施 15.如表材料体现的主题是( ) 1871年 巴黎公社成立,建立世界上第一个无产阶级政权 1917年 十月革命的胜利,建立第一个无产阶级专政国家 1949年 中国新民主主义革命胜利,成立中华人民共和国 A.民族解放运动兴起 B.马克思主义的实践 C.资本主义制度没落 D.共产主义运动完成 考点4—5: 抗美援朝(抗美援朝,保家卫国、战斗英雄黄继光和邱少云) 16.在自贡市某校举办的“讲好家乡历史人物故事”征文比赛中,某同学搜集了如下材料,据此推断他的 征文题目为( )照 证 纪 片 书 念品 A.《北伐建奇功,秋收总指挥——卢德铭》 B.《烽火长征路,遵义洒热血——邓萍》 C.《走进千年盐都,寻找盐的味道——抗日献金》 D.《537.7高地!——听太公讲那抗美援朝的事》 17.在1954年政务院第205次会议上,周恩来提出:“健康的身体是建设和保卫祖国的一个重要条件。” 随后,全国范围内掀起了体育运动的高潮。下列内容不符合当时开展体育运动宗旨的是( ) A.增强人民体质B.加强国防力量 C.推动经济建设 D.支援抗美援朝 18.“我们虽然生活在和平环境里,但时刻不要忘记为祖国为人民做过贡献的老军人……他们永远是最可 爱的人!”“最可爱的人”留给我们的宝贵精神财富是( ) A.实事求是 敢闯新路 B.英勇顽强 舍生忘死 C.自立更生 艰苦奋斗 D.敢为人先 埋头苦干 19.以下展示的是《漫画》杂志第八期部分作品的名称。这反映的是( ) 《昨天多么狂妄,要打过鸭绿江。今天多么狼狈,已被逐出平壤》《骗子马歇尔》《华盛顿的伤病站》 《为了保卫祖国!为了保卫世界和平!》 A.重庆谈判 B.辽沈战役 C.渡江战役 D.抗美援朝 20.1950年秋,东北地区掀起“男女老少齐上阵、家家户户忙炒面”的热潮,仅20多天的时间,就有405 万斤炒面送到前线。出现这一现象的历史背景是( ) A.秋收起义 B.淞沪会战 C.淮海战役 D.抗美援朝 21.魏巍在《火线春节夜》中写道:“有人指着自己的一缸子白雪,几片肉,一块朝鲜打糕,还有早晨剩 下的米饭说‘你看,这还不是好几个菜吗!这年过得蛮不坏哩!’”这体现了志愿军的( ) A.严明纪律观念 B.武器装备精良 C.革命乐观主义 D.业余生活丰富 22.下图两位英雄人物的壮举体现的共同精神是( )黄继光 邱少云 A.开天辟地、立党为公 B.自力更生、丰衣足食 C.实事求是、开拓创新 D.保家卫国、不怕牺牲 23.2018年是抗美援朝战争胜利65周年。下列歌词产生于抗美援朝时期的是( ) A.“没有共产党就没有新中国” B.“学习雷锋好榜样” C.“大刀向鬼子们的头上砍去” D.“雄赳赳,气昂昂,跨过鸭绿江” 24.“它成功地遏制了美国势力在中国周边的扩张,给国家争取了一个相对安全的发展环境。当时的西方 世界看到中国如此落后的一个国家,竟然敢出兵和世界头号军事强国相抗衡,并且成功地迫使强敌做 出了前所未有的妥协。对此,西方媒体惊呼:中国几乎在一夜之间变成了世界军事强国!西方国家在 此后的国际事务中不得不考虑中国的态度。”材料叙述的是抗美援朝战争的( ) A.影响 B.背景 C.原因 D.经过 25.下图是长津湖战役中“冰雕连”一位战士写下的绝命诗。据此可知,“冰雕连”肩负的神圣使命是( ) 我爱亲人和祖国 更爱我的荣誉 我是一名光荣的志愿者战士 冰雪啊,我决不屈服于你 哪怕是冻死 我也要高傲的耸立在我的阵地上 A.解放全中国 B.抗美援朝,保家卫国 C.向工业化进军 D.建设现代化钢铁长城 考点6—7: 土地改革(《中华人民共和国土地改革法》的颁布、土地改革的意义) 26.下图是中国某时期农村粮食产量的变化示意图(单位:亿吨)。据所学知识分析.导致图中数据变化 的主要原因是( ) A.抗美援朝的胜利 B.土地改革的完成 C.“一五”计划的实施 D.三大改造的完成 27.新中国成立后,人民政府用于水利建设的经费,与民国时期水利经费最多一年相比,1950年为其18 倍,1951年为42倍,1952年相当于52倍,三年中完成的土石方量相当于挖掘23条苏伊士运河。这 三年的水利建设( ) A.打击了国民党反动统治 B.扩大了对外贸易的规模 C.促进了国民经济的恢复 D.掀起了农业合作化高潮 28.下表是1949-1953年《人民日报》元旦社论的标题和部分内容,据此可以看出当时党和人民的中心工 作是( ) 时间 标题 部分内容 1949年1月1 中国人民将要在伟大的解放战争中获得最后胜 将革命进行到底 日 利 1951年1月1 在伟大爱国主义旗帜下巩固我们的伟大 中国人民必须在一九五一年努力发展土地改革 日 祖国 工作 1953年1月1 迎接一九五三年的伟大任务 继续加强抗美援朝的斗争 日 A.继续革命,解放全中国 B.大规模开展社会主义建设 C.建立和巩固新生的人民政权 D.夺取抗美援朝战争的胜利 29.土地改革后,“辽宁金县三十里堡梅家村的翻身农民,昼夜不停地拉土垫地,把1000多亩盐碱地改 变为良田,种上花生和棉花。1951年,全国粮食产量达到1.4亿吨,比1949年增长26.9%。”这 表明土地改革( ) A.巩固了人民政权 B.为国家的工业化建设准备了条件C.建立土地公有制 D.使农业生产获得迅速恢复和发展 30.中国共产党历来重视农民、农业和农村问题。图1、图2体现的历史事件的共同之处是( ) A.保障了解放战争的胜利 B.解放了农村生产力 C.实现了社会主义工业化 D.确立了土地公有制 31.下表反映了1947-1952年中国新、老解放区农村土地所有权情况。出现这一状况的主要原因是( ) 时间 地区 农民土地占有情况 冀中区、北岳区 90%以上的地区达到了土地大体平分 1948年 热河 80%的地区农民共分得土地240万亩 1952年 全国 农民所得到的土地占总面积的95% A.减租减息 B.土地改革 C.土地改造 D.改革开放 32.右图是新中国某个时期农村粮食产量的变化示意图(单位:亿吨),对图中数据变化原因解释正确的 是 A.进行土地改革 B.“大跃进”和人民公社化 C.完成三大改造 D.实行家庭联产承包责任制 33.毛泽东说土地改革“是中国人民民主革命继军事斗争以后的第二场决战”。这是因为它 A.开辟了中国历史的新纪元 B.确立了我国的根本政治制度C.建立了社会主义基本制度 D.彻底摧毁了我国的封建土地制度 34.下图是我国1949-1960年粮食产量变化示意图。对1952年粮食产量上升的主要原因分析正确的是 A.土地改革的完成 B.人民公社化运动的开展 C.家庭联产承包责任制的实行 D.三大改造的完成 35.以下是1946年和1952年我国农村土地占有关系变化情况。据表中数据可知,到1952年中国广大农村 阶 占总人口比例(%) 1946年占有耕地(%) 1952年占有耕地(%) 级 地 4.75 64.38 4.3 主 农 73.37 7.21 73.02 民 A.社会主义改造胜利完成 B.废除了两千多年的土地私有制度 C.农民走上互助合作道路 D.基本生产资料与劳动力结合起来 考点1—7:综合考查——中华人民共和国的成立和巩固(中华人民共和国成 立、抗美援朝、土地改革) 36.中国人民经过一百多年前赴后继、英勇不屈的奋斗,终于在中国共产党的领导下,迎来了崭新的中华 人民共和国。某校开展了以“站在新时代,回望新中国”为主题的图片展,王老师据此设计了以下学 习任务单,请你参与完成。 任务一:【新中国建立————准备篇】图一 中国人民政治协商会议第一届全体会议会场 (1)图片中召开的会议在讨论成立新中国的问题,会上通过了哪一重要的纲领性文件?这一文件具有 怎样的地位? 任务二【新中国建立——建国篇】 (2)照片是历史瞬间的真实记录,图二反映的是哪一盛典?这一盛典发生的时间是哪年哪月哪日? 任务三【新中国建立——巩固篇】 (3)图五、图六反映的事件是什么战争? (4)中国人民志愿军被称作“最可爱的人”,请列举此次战争中的英雄人物1例及他们身上所体现 的精神。 37.新中国成立初期,面临着内要肃清反革命势力、巩固政权,外要反击外来侵略的重任。阅读下列材料, 回答问题。 材料一 一位巨人俯瞰着世界,洪亮的声音,全世界都听到了,中华人民共和国成立了!当第一面五星红旗冉冉升起,那胜利的旗帜,在朗朗的空中迎风飘扬,人民扬起了头颅,全世界都看到了,中 国人民从此站起来了! (1)根据材料一指出,材料反映的是哪一盛典?材料中的“一位巨人”指的是谁? (2)结合所学知识,概括新中国成立的国内意义。 材料二 雄赳赳,气昂昂,跨过鸭绿江!保和平,卫祖国,就是保家乡! (3)根据材料二并结合所学知识分析“雄赳赳,气昂昂,跨过鸭绿江”,他们“跨过鸭绿江”的目 的是什么?战场上涌现出许多英雄模范人物,请列举两个。 材料三 工作队深入发动群众,启发他们的阶级觉悟,让他们自觉地行动起来。广大农民与地主阶 级进行面对面的斗争,迫使地主阶级在群众威力面前屈服低头,树立了农民群众在农村中的政治优势。 ……没收地主阶级的土地以及耕畜、农具等,分给那些无地少地的农民,也分给地主一份,让他们自 己耕种。 ——摘编自金冲及《二十世纪中国史纲》 (4)据材料三农民群众“行动起来”的历史事件是什么?它是如何从两个方面去消灭地主阶级的? 材料四 1949年前后,西藏地方的分裂势力在英、美、印等国的支持下,积极策划“西藏独立”, 的分裂活动。在中央和平解放政策的感召下,越来越多的藏族僧侣支持和平解放,他们不希望久经帝 国主义蹂躏的家乡再次经历战火。1951年,中央人民政府与西藏地方政府经过谈判,在北京签署了 《中央人民政府和西藏地方政府关于和平解放西藏办法的协议》,西藏解放。 (5)根据材料四并结合所学知识指出,1951年西藏政府派出以谁为首席代表的代表团到达北京?西 藏和平解放的意义是什么? (6)综合以上三则材料,概括一个主题名称。 38.阅读材料,完成下列问题。 材料一:诸位代表先生们,全国人民所渴望的政治协商会议现在开幕了……中国人民在中国共产党的 领导之下……恢复了政治协商会议。 ——毛泽东《中国人民站起来了》(1949年9月21日) (1)材料一中会议通过的起临时宪法作用的是什么文件?这次会议的成功召开有什么历史意义? 材料二:到了中午,广场上人山人海,形成了欢乐的海洋……下午3时,毛主席等党和国家领导人登 上天安门城楼,广场上顿时安静下来。在鸦雀无声中,毛主席宣布“中华人民共和国,中央人民政府 成立了”。 ——谷宗藩 (2)材料二回忆的是什么历史事件?有人指出材料二中关于毛主席讲的那句话记述有误,如需进一 步验证这一材料的可靠程度,应当寻找什么类型的材料?材料三:正当中国人民为争取财政经济状况的全面好转而斗争的时候,1950年6月,朝鲜战争爆发。 美军不顾中国政府的多次警告,越过三八线,直逼中朝边境的鸭绿江和图们江。面对严重威胁,毛泽 东、中共中央以巨大的胆识和气魄,作出重大决策——抗美援朝。 1950年10月25日到1951年6月的七个多月里,志愿军同朝鲜人民军一起,实行战略反攻,以运动战 连续进行了五次战役,歼敌23万余人。志愿军根据毛泽东提出的“持久作战,积极防御”的战略方 针,以大规模的阵地战顽强坚守,粉碎了美军和南朝鲜军的进攻。并于1953年发动强大的夏季反击 战役,歼灭了美军和南朝鲜军12万余人。 ——摘编自李颖《细节的力量——新中国的伟大实践》 (3)根据材料三,概括指出抗美援朝战争的背景。 (4)请结合上述四则材料,写出它们共同的主题。 39.阅读下列材料,回答问题。 材料一 (1950年)9月15日侵略军直逼朝鲜北方,战火有烧到中国东北边境的趋势。9月30日, 政务院总理兼外交部部长周恩来严正警告说:“中国人民热爱和平,但是为了保卫和平,从不也永不 害怕反抗侵略战争。中国人民决不能容忍外国的侵略,也不能听任帝国主义者对自己的邻人肆行侵略 而置之不理。” ——摘编自《中国共产党的七十年》 材料二 1950年11月长津湖战役中,志愿军某部连长杨 1951年,豫剧演员常香玉通过义演为志愿军捐献一架 根恩抱起炸药包,跃入敌群,与阵地前的敌人同 战斗机。受其感染,全国越来越多的人加入到“捐献飞 归于尽 机大炮”的运动中。 材料三 抗美援朝战争期间,党中央统揽全局,实施有力的战争动员和正确的战争指导,采取边打、 边稳、边建的方针,开展了波澜壮阔的抗美援朝运动,全国各族人民举国同心支撑起这场事关国家和 民族前途命运的伟大抗争。 ——摘编自《中国共产党简史》 (1)根据材料一,指出周恩来的警告表达了中国人民怎样的决心,写出随后中国派兵参战的军队名 称及其总司令。(2)根据材料一、二、三,概括抗美援朝战争胜利的原因有哪些。 (3)请再结合两个具体英雄人物,谈谈你感受到了怎样的抗美援朝精神。 40.抗美援朝战争是新中国的立国之战,打出了国威、军威,我们国家从此今非昔比。阅读下列材料,回 答问题。 材料一:正当中国人民为争取财政经济状况的全面好转而斗争的时候,1950年6月,朝鲜战争爆发。 美军不顾中国政府的多次警告,越过三八线,直逼中朝边境的鸭绿江和图们江。面对严重威胁,毛泽 东、中共中央以巨大的胆识和气魄,作出重大决策——抗美援朝。 1950年10月25日到1951年6月的七个多月里,志愿军同朝鲜人民军一起,实行战略反攻,以运动战 连续进行了五次战役,歼敌23万余人。志愿军根据毛泽东提出的“持久作战,积极防御”的战略方 针以大规模的阵地战顽强坚守,粉碎了美军和韩军的进攻。并于1953年发动强大的夏季反击战役, 歼灭了美军和韩军12万余人。 ——摘编自李颖《细节的力量:新中国的伟大实践》 材料二:以下是抗美援朝战争的四种材料 材料三:在异常残酷的战争中,志愿军涌现出30多万英雄模范和功臣,他们可歌可泣的英雄事迹汇 成强大的民族凝聚力。包括美、苏在内的世界各国都感到必须重新估计中国在亚洲和国际事务中的分 量。通过这场战争,人民军队建设向国防现代化方向迈出了一大步。 ——《中国共产党的九十年》 (1)根据材料一,概括抗美援朝战争的背景。 (2)按照史料价值的不同,史料可以分为第一手史料和第二手史料。材料二中哪些属于第一手史料, 哪些属于第二手史料?(用序号表示) (3)根据材料三,概括这次战争胜利的伟大意义。