当前位置:首页>文档>专题03三角形中的倒角模型-“8”字模型、“A”字模型与三角板模型(解析版)_02中考总复习(2026版更新中)_02-数学-中考总复习_2024年中考复习资料_专项复习资料_答案解析版

专题03三角形中的倒角模型-“8”字模型、“A”字模型与三角板模型(解析版)_02中考总复习(2026版更新中)_02-数学-中考总复习_2024年中考复习资料_专项复习资料_答案解析版

  • 2026-04-04 06:25:33 2026-04-04 06:25:33

文档预览

专题03三角形中的倒角模型-“8”字模型、“A”字模型与三角板模型(解析版)_02中考总复习(2026版更新中)_02-数学-中考总复习_2024年中考复习资料_专项复习资料_答案解析版
专题03三角形中的倒角模型-“8”字模型、“A”字模型与三角板模型(解析版)_02中考总复习(2026版更新中)_02-数学-中考总复习_2024年中考复习资料_专项复习资料_答案解析版
专题03三角形中的倒角模型-“8”字模型、“A”字模型与三角板模型(解析版)_02中考总复习(2026版更新中)_02-数学-中考总复习_2024年中考复习资料_专项复习资料_答案解析版
专题03三角形中的倒角模型-“8”字模型、“A”字模型与三角板模型(解析版)_02中考总复习(2026版更新中)_02-数学-中考总复习_2024年中考复习资料_专项复习资料_答案解析版
专题03三角形中的倒角模型-“8”字模型、“A”字模型与三角板模型(解析版)_02中考总复习(2026版更新中)_02-数学-中考总复习_2024年中考复习资料_专项复习资料_答案解析版
专题03三角形中的倒角模型-“8”字模型、“A”字模型与三角板模型(解析版)_02中考总复习(2026版更新中)_02-数学-中考总复习_2024年中考复习资料_专项复习资料_答案解析版
专题03三角形中的倒角模型-“8”字模型、“A”字模型与三角板模型(解析版)_02中考总复习(2026版更新中)_02-数学-中考总复习_2024年中考复习资料_专项复习资料_答案解析版
专题03三角形中的倒角模型-“8”字模型、“A”字模型与三角板模型(解析版)_02中考总复习(2026版更新中)_02-数学-中考总复习_2024年中考复习资料_专项复习资料_答案解析版
专题03三角形中的倒角模型-“8”字模型、“A”字模型与三角板模型(解析版)_02中考总复习(2026版更新中)_02-数学-中考总复习_2024年中考复习资料_专项复习资料_答案解析版
专题03三角形中的倒角模型-“8”字模型、“A”字模型与三角板模型(解析版)_02中考总复习(2026版更新中)_02-数学-中考总复习_2024年中考复习资料_专项复习资料_答案解析版
专题03三角形中的倒角模型-“8”字模型、“A”字模型与三角板模型(解析版)_02中考总复习(2026版更新中)_02-数学-中考总复习_2024年中考复习资料_专项复习资料_答案解析版
专题03三角形中的倒角模型-“8”字模型、“A”字模型与三角板模型(解析版)_02中考总复习(2026版更新中)_02-数学-中考总复习_2024年中考复习资料_专项复习资料_答案解析版
专题03三角形中的倒角模型-“8”字模型、“A”字模型与三角板模型(解析版)_02中考总复习(2026版更新中)_02-数学-中考总复习_2024年中考复习资料_专项复习资料_答案解析版
专题03三角形中的倒角模型-“8”字模型、“A”字模型与三角板模型(解析版)_02中考总复习(2026版更新中)_02-数学-中考总复习_2024年中考复习资料_专项复习资料_答案解析版
专题03三角形中的倒角模型-“8”字模型、“A”字模型与三角板模型(解析版)_02中考总复习(2026版更新中)_02-数学-中考总复习_2024年中考复习资料_专项复习资料_答案解析版
专题03三角形中的倒角模型-“8”字模型、“A”字模型与三角板模型(解析版)_02中考总复习(2026版更新中)_02-数学-中考总复习_2024年中考复习资料_专项复习资料_答案解析版
专题03三角形中的倒角模型-“8”字模型、“A”字模型与三角板模型(解析版)_02中考总复习(2026版更新中)_02-数学-中考总复习_2024年中考复习资料_专项复习资料_答案解析版
专题03三角形中的倒角模型-“8”字模型、“A”字模型与三角板模型(解析版)_02中考总复习(2026版更新中)_02-数学-中考总复习_2024年中考复习资料_专项复习资料_答案解析版
专题03三角形中的倒角模型-“8”字模型、“A”字模型与三角板模型(解析版)_02中考总复习(2026版更新中)_02-数学-中考总复习_2024年中考复习资料_专项复习资料_答案解析版
专题03三角形中的倒角模型-“8”字模型、“A”字模型与三角板模型(解析版)_02中考总复习(2026版更新中)_02-数学-中考总复习_2024年中考复习资料_专项复习资料_答案解析版
专题03三角形中的倒角模型-“8”字模型、“A”字模型与三角板模型(解析版)_02中考总复习(2026版更新中)_02-数学-中考总复习_2024年中考复习资料_专项复习资料_答案解析版
专题03三角形中的倒角模型-“8”字模型、“A”字模型与三角板模型(解析版)_02中考总复习(2026版更新中)_02-数学-中考总复习_2024年中考复习资料_专项复习资料_答案解析版
专题03三角形中的倒角模型-“8”字模型、“A”字模型与三角板模型(解析版)_02中考总复习(2026版更新中)_02-数学-中考总复习_2024年中考复习资料_专项复习资料_答案解析版
专题03三角形中的倒角模型-“8”字模型、“A”字模型与三角板模型(解析版)_02中考总复习(2026版更新中)_02-数学-中考总复习_2024年中考复习资料_专项复习资料_答案解析版
专题03三角形中的倒角模型-“8”字模型、“A”字模型与三角板模型(解析版)_02中考总复习(2026版更新中)_02-数学-中考总复习_2024年中考复习资料_专项复习资料_答案解析版
专题03三角形中的倒角模型-“8”字模型、“A”字模型与三角板模型(解析版)_02中考总复习(2026版更新中)_02-数学-中考总复习_2024年中考复习资料_专项复习资料_答案解析版
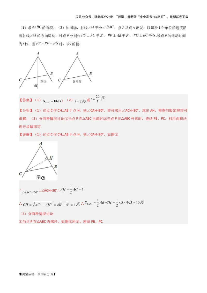
专题03三角形中的倒角模型-“8”字模型、“A”字模型与三角板模型(解析版)_02中考总复习(2026版更新中)_02-数学-中考总复习_2024年中考复习资料_专项复习资料_答案解析版
专题03三角形中的倒角模型-“8”字模型、“A”字模型与三角板模型(解析版)_02中考总复习(2026版更新中)_02-数学-中考总复习_2024年中考复习资料_专项复习资料_答案解析版
专题03三角形中的倒角模型-“8”字模型、“A”字模型与三角板模型(解析版)_02中考总复习(2026版更新中)_02-数学-中考总复习_2024年中考复习资料_专项复习资料_答案解析版
专题03三角形中的倒角模型-“8”字模型、“A”字模型与三角板模型(解析版)_02中考总复习(2026版更新中)_02-数学-中考总复习_2024年中考复习资料_专项复习资料_答案解析版
专题03三角形中的倒角模型-“8”字模型、“A”字模型与三角板模型(解析版)_02中考总复习(2026版更新中)_02-数学-中考总复习_2024年中考复习资料_专项复习资料_答案解析版
专题03三角形中的倒角模型-“8”字模型、“A”字模型与三角板模型(解析版)_02中考总复习(2026版更新中)_02-数学-中考总复习_2024年中考复习资料_专项复习资料_答案解析版
专题03三角形中的倒角模型-“8”字模型、“A”字模型与三角板模型(解析版)_02中考总复习(2026版更新中)_02-数学-中考总复习_2024年中考复习资料_专项复习资料_答案解析版
专题03三角形中的倒角模型-“8”字模型、“A”字模型与三角板模型(解析版)_02中考总复习(2026版更新中)_02-数学-中考总复习_2024年中考复习资料_专项复习资料_答案解析版
专题03三角形中的倒角模型-“8”字模型、“A”字模型与三角板模型(解析版)_02中考总复习(2026版更新中)_02-数学-中考总复习_2024年中考复习资料_专项复习资料_答案解析版
专题03三角形中的倒角模型-“8”字模型、“A”字模型与三角板模型(解析版)_02中考总复习(2026版更新中)_02-数学-中考总复习_2024年中考复习资料_专项复习资料_答案解析版
专题03三角形中的倒角模型-“8”字模型、“A”字模型与三角板模型(解析版)_02中考总复习(2026版更新中)_02-数学-中考总复习_2024年中考复习资料_专项复习资料_答案解析版
专题03三角形中的倒角模型-“8”字模型、“A”字模型与三角板模型(解析版)_02中考总复习(2026版更新中)_02-数学-中考总复习_2024年中考复习资料_专项复习资料_答案解析版
专题03三角形中的倒角模型-“8”字模型、“A”字模型与三角板模型(解析版)_02中考总复习(2026版更新中)_02-数学-中考总复习_2024年中考复习资料_专项复习资料_答案解析版
专题03三角形中的倒角模型-“8”字模型、“A”字模型与三角板模型(解析版)_02中考总复习(2026版更新中)_02-数学-中考总复习_2024年中考复习资料_专项复习资料_答案解析版
专题03三角形中的倒角模型-“8”字模型、“A”字模型与三角板模型(解析版)_02中考总复习(2026版更新中)_02-数学-中考总复习_2024年中考复习资料_专项复习资料_答案解析版
专题03三角形中的倒角模型-“8”字模型、“A”字模型与三角板模型(解析版)_02中考总复习(2026版更新中)_02-数学-中考总复习_2024年中考复习资料_专项复习资料_答案解析版
专题03三角形中的倒角模型-“8”字模型、“A”字模型与三角板模型(解析版)_02中考总复习(2026版更新中)_02-数学-中考总复习_2024年中考复习资料_专项复习资料_答案解析版
专题03三角形中的倒角模型-“8”字模型、“A”字模型与三角板模型(解析版)_02中考总复习(2026版更新中)_02-数学-中考总复习_2024年中考复习资料_专项复习资料_答案解析版
专题03三角形中的倒角模型-“8”字模型、“A”字模型与三角板模型(解析版)_02中考总复习(2026版更新中)_02-数学-中考总复习_2024年中考复习资料_专项复习资料_答案解析版

文档信息

文档格式
docx
文档大小
3.020 MB
文档页数
41 页
上传时间
2026-04-04 06:25:33

文档内容

关注公众号:陆陆高分冲刺 ~领取:最新版“小中高考-总复习”、最新试卷下载 专题03 三角形中的倒角模型-“8”字模型、“A”字模型与三角板模型 近年来各地中考中常出现一些几何倒角模型,该模型主要涉及高线、角平分线及角度的计算(内角和 定理、外角定理等)。熟悉这些模型可以快速得到角的关系,求出所需的角。本专题“8”字模型、“A” 字模型与三角板模型进行梳理及对应试题分析,方便掌握。 模型1、“8”字模型 图1 图2 8字模型(基础型) 条件:如图1,AD、BC相交于点O,连接AB、CD;结论:① ;② 。 8字模型(加角平分线) 条件:如图2,线段AP平分∠BAD,线段CP平分∠BCD;结论:2∠P=∠B+∠D 例1.(2021·河北·统考中考真题)下图是可调躺椅示意图(数据如图), 与 的交点为 ,且 , , 保持不变.为了舒适,需调整 的大小,使 ,则图中 应 (填 “增加”或“减少”) 度. 【答案】 减少 10 【1 淘宝店铺:向阳百分百】关注公众号:陆陆高分冲刺 ~领取:最新版“小中高考-总复习”、最新试卷下载 【分析】先通过作辅助线利用三角形外角的性质得到∠EDF与∠D、∠E、∠DCE之间的关系,进行计算即 可判断. 【详解】解:∵∠A+∠B=50°+60°=110°,∴∠ACB=180°-110°=70°,∴∠DCE=70°, 如图,连接CF并延长,∴∠DFM=∠D+∠DCF=20°+∠DCF,∠EFM=∠E+∠ECF=30°+∠ECF, ∴∠EFD=∠DFM+∠EFM=20°+∠DCF+30°+∠ECF=50°+∠DCE=50°+70°=120°, 要使∠EFD=110°,则∠EFD减少了10°,若只调整∠D的大小,由 ∠EFD=∠DFM+∠EFM=∠D+∠DCF+∠E+∠ECF=∠D+∠E+∠ECD=∠D+30°+70°=∠ D+100°, 因此应将∠D减少10度;故答案为:①减少;②10. 【点睛】本题考查了三角形外角的性质,同时涉及到了三角形的内角和与对顶角相等的知识;解决本题的 关键是理解题意,读懂图形,找出图形中各角之间的关系以及牢记公式建立等式求出所需的角,本题蕴含 了数形结合的思想方法. 例2.(2023·浙江·八年级假期作业)如图,求∠A+∠B+∠C+∠D+∠E+∠F+∠G+∠H+∠K的度数. 【答案】540° 【分析】如图所示,由三角形外角的性质可知:∠A+∠B=∠IJL,∠C+∠D=∠MLJ,∠H+∠K= ∠GIJ,∠E+∠F=∠GML,然后由多边形的内角和公式可求得答案. 【详解】解:如图所示: 【2 淘宝店铺:向阳百分百】关注公众号:陆陆高分冲刺 ~领取:最新版“小中高考-总复习”、最新试卷下载 由三角形的外角的性质可知:∠A+∠B=∠IJL,∠C+∠D=∠MLJ,∠H+∠K=∠GIJ,∠E+∠F= ∠GML, ∴∠A+∠B+∠C+∠D+∠E+∠F+∠G+∠H+∠K=∠IJL+∠MLJ+∠GML+∠G+∠GIJ=(5-2) ×180°=3×180°=540°. 【点睛】本题主要考查的是三角形外角的性质和多边形的内角和公式的应用,利用三角形外角和的性质将 所求各角的和转化为五边形的内角和是解题的关键 例3.(2023·山东德州·八年级校考阶段练习)如图1,已知线段 相交于点O,连接 ,则我 们把形如这样的图形称为“8字型”. (1)求证: ; (2)如图2,若 和 的平分线 和 相交于点P,且与 分别相交于点 . ①若 ,求 的度数; ②若角平分线中角的关系改为“ ”,试探究 与 之间的数量 关系. 【答案】(1)见解析(2)① ;② 【分析】(1)利用三角形内角和定理和对顶角相等即可证明; (2)①根据角平分线的定义得到 , ,再根据“8字形”得到 【3 淘宝店铺:向阳百分百】关注公众号:陆陆高分冲刺 ~领取:最新版“小中高考-总复习”、最新试卷下载 ,两等式相减得到 ,即 ,即可求解.②根据 ,可得 , ,再由三角形内角和定理和对顶角相等,可得 ,即可求解. 【详解】(1)证明:在 中, , 在 中, , ∵ ,∴ ; (2)解:①∵ 和 的平分线 和 相交于点P,∴ , ∵ ①, ②, 由 ,得: ,即 , ∵ ,∴ ; ②∵ ,∴ , , ∵ , , ∴ , , ∴ ,∴ ),故答案为: . 【点睛】本题考查了三角形内角和、有关角平分线的计算,解题的关键是灵活运用“8字形”求解. 例4.(2023春·广东深圳·七年级统考期末)定理:三角形任意两边之和大于第三边. (1)如图1,线段 , 交于点 ,连接 , ,判断 与 的大小关系,并说明理由; (2)如图2, 平分 , 为 上任意一点,在 , 上截取 ,连接 , .求证: ; (3)如图3,在 中, , 为角平分线 上异于端点的一动点,求证: . 【4 淘宝店铺:向阳百分百】关注公众号:陆陆高分冲刺 ~领取:最新版“小中高考-总复习”、最新试卷下载 【答案】(1) ;理由见详解(2)证明见详解(3)证明见详解 【分析】(1)根据三角形任意两边之和大于第三边知, , ,两式相加即可得出 结论;(2)根据 证 即可得出结论; (3)在 上取一点 ,使 ,连接 交 于点 ,证 ,即 ,同理证 ,然后同理(1)得 ,变形不等式即可得出结论. 【详解】(1)解: ,理由如下: , , ,即 ; (2)证明: 平分 , , 在 和 中, , , ; (3)证明:在 上取一点 ,使 ,连接 交 于点 , 是 的角平分线, , 在 和 中, , , ,同理可证 , , , ,即 , , . 【点睛】本题主要考查三角形的综合题,熟练掌握三角形的三边关系和全等三角形的判定和性质等知识是 解题的关键. 例5.(2023春·江苏苏州·七年级校联考期中)阅读:基本图形通常是指能够反映一个或几个定理,或者能 够反映图形基本规律的几何图形.这些图形以基本概念、基本事实、定理、常用的数学结论和基本规律为 基础,图形简单又具有代表性.在几何问题中,熟练把握和灵活构造基本图形,能更好地帮助我们解决问 【5 淘宝店铺:向阳百分百】关注公众号:陆陆高分冲刺 ~领取:最新版“小中高考-总复习”、最新试卷下载 题.我们将图1①所示的图形称为“8字形”.在这个“8字形”中,存在结论 . 我们将图1②所示的凹四边形称为“飞镖形”.在这个“飞镖形”中,存在结论 . (1)直接利用上述基本图形中的任意一种,解决问题: 如图2, 、 分别平分 、 ,说明: . (2)将图2看作基本图形,直接利用(1)中的结论解决下列问题: ①如图3,直线 平分 的外角 , 平分 的外角 ,若 , ,求 的度数.②在图4中, 平分 的外角 , 平分 的外角 ,猜想 与 、 的关系(直接写出结果,无需说明理由).③在图5中, 平分 , 平分 的外角 ,猜想 与 、 的关系(直接写出结果,无需说明理由). 【答案】(1)见解析(2)① ;② ;③ 【6 淘宝店铺:向阳百分百】关注公众号:陆陆高分冲刺 ~领取:最新版“小中高考-总复习”、最新试卷下载 【分析】(1)根据角平分线的定义可得 ,再根据题干的结论列出 ,相加得到 ,继 而得到 ,即可证明结论; (2)①如图所示,分作 的角平分线交于H,根据(1)的结论得到 , 再由角平分线的定义和平角的定义证明 , ,再根据题干的结论可推出 ;②如图所示,分作 的角平分线交于H,由(1)的结论可知 ,,同理可得 , ,则由四边形内角和定理可得 ;③由题干的结论可得 ,由角平分线的定义得到 ,再求出 ,由题干的结论可知 ,由此可得 . 【详解】(1)解:∵ 分别平分 , ∴ ,∴ , 由题干的结论得: ,∠ , ∴ ,∴ , ∴ ,即 ; (2)解:①如图所示,分作 的角平分线交于H, 由(1)的结论可知 , ∵ 分别平分 ,∴ , ∵ ∴ , ∴ ,同理可得 ,由题干的结论可得 , ∴ ; 【7 淘宝店铺:向阳百分百】关注公众号:陆陆高分冲刺 ~领取:最新版“小中高考-总复习”、最新试卷下载 ②如图所示,分作 的角平分线交于H, 由(1)的结论可知 ,,同理可得 , , ∴ ; ③由题干的结论可得 , ∵ 平分 , 平分 的外角 , ∴ , ∵ ,∴ , 由题干的结论可知 ,∴ , ∴ . 【点睛】本题考查了三角形的内角和定理,角平分线的定义,多边形内角和定理,准确识图并运用好“8” 字形的结论,然后列出两个等式是解题的关键,用阿拉伯数字加弧线表示角更形象直观. 模型2、“A”字模型 【8 淘宝店铺:向阳百分百】关注公众号:陆陆高分冲刺 ~领取:最新版“小中高考-总复习”、最新试卷下载 结论:①∠3+∠4=∠D+∠E ;②∠1+∠2=∠A+180° 。 例1.(2023·浙江·八年级假期作业)如图是某建筑工地上的人字架,若 ,那么 的度数为 . 【答案】 【分析】根据平角的定义求出 ,再利用三角形的外角的性质即可解决问题. 【详解】解:如图 , , , , ,故答案为: . 【点睛】本题考查三角形外角的性质、平角的性质等知识,解题的关键是熟练掌握基本知识,属于中考基 例2.(2023·绵阳市·八年级假期作业)如图, 中, ,直线 交 于点D,交 于点 E,则 ( ). A. B. C.235 D.245 【答案】D 【9 淘宝店铺:向阳百分百】关注公众号:陆陆高分冲刺 ~领取:最新版“小中高考-总复习”、最新试卷下载 【分析】根据三角形内角和定理求出ADEAED,根据平角的概念计算即可. 【详解】解:∵A65,ADEAED18065115, BDECED360115245,故选:D. 【点睛】本题考查的是三角形内角和定理的应用,掌握三角形内角和等于180是解题的关键. 例3.(2022·福建泉州·九年级校考期中)如图, ,若 ,那么 ( ) A. B. C. D. 【答案】A 【分析】根据相似三角形的性质求出∠D,再根据三角形内角和定理计算即可. 【详解】解:∵ ,∴∠ABC=∠D=45°, ∵∠A=60°,∴∠E=180°-∠A-∠D=180°-60°-45°=75°. 故选:A. 【点睛】本题主要考查了相似三角形的性质,熟知相似三角形的对应角相等是解题的关键. 例4.(2023秋·广西·八年级专题练习)如图所示, 的两边上各有一点 ,连接 ,求证 . 【答案】见解析 【分析】根据三角形的外角等于与它不相邻的两个内角的和证明即可. 【详解】解: 和 是 的外角, . 又 , . 【点睛】本题考查三角形外角的性质,熟知三角形的外角等于与它不相邻的两个内角的和是解题的关键. 例5.(2023·广东八年级课时练习)如图,已知在 中, ,现将一块直角三角板放在 【10淘宝店铺:向阳百分百】关注公众号:陆陆高分冲刺 ~领取:最新版“小中高考-总复习”、最新试卷下载 上,使三角板的两条直角边分别经过点 ,直角顶点D落在 的内部,则 ( ). A. B. C. D. 【答案】C 【分析】由三角形内角和定理可得∠ABC+∠ACB+∠A=180°,即∠ABC+∠ACB=180-∠A=140°,再说明 ∠DBC+∠DCB=90°,进而完成解答. 【详解】解:∵在△ABC中,∠A=40°∴∠ABC+∠ACB=180-∠A=140° ∵在△DBC中,∠BDC=90°∴∠DBC+∠DCB=180°-90°=90° ∴ 40°-90°=50° 故选C. 【点睛】本题主要考查三角形内角和定理,灵活运用三角形内角和定理成为解答本题的关键. 例6.(2023秋·河南信阳·八年级校联考期末)(1)如图1, 为直角三角形, ,若沿图中 虚线剪去 ,则 __________; (2)如图2,在 中, ,剪去 后成为四边形,则 __________; (3)如图2,根据(1)和(2)的求解过程,请归纳 与 的关系是______________; (4)若没有剪去 ,而是将 折成如图3的形状,试探究 与 的关系,并说明理由. 【答案】(1) ;(2) ;(3) ;(4) ,理由见解析 【分析】(1)根据三角形的内角和为 ,三角形的外角和定理,则 , , ,即可; (2)根据三角形的内角和为 ,三角形的外角和定理,则 , , ,即可; (3)根据(1)和(2)可知, ,根据 ,即可; 【11淘宝店铺:向阳百分百】关注公众号:陆陆高分冲刺 ~领取:最新版“小中高考-总复习”、最新试卷下载 (4)根据折叠的性质,则 ,根据全等三角形的性质,三角形内角和,平角的性质,则 , , ,再根据等量代换,即可. 【详解】(1) 为直角三角形, ,∴ , ∵ , ,∴ , ∴ ,故答案为: . (2)∵ ,∴ , ∵ , ,∴ , ∴ ,故答案为: . (3)由(1)和(2)得, , ∵ ,∴ ,∴ . (4) ,理由见下:由题意得, ,∴ , , ∴ , ,∴ , ∵ ,∴ , ∴ ,∴ ,∴ . 【点睛】本题考查三角形的知识,解题的关键是掌握全等三角形的性质,三角形的内角和和三角形的外角 和定理. 例7.(2022秋·河北邯郸·八年级统考期中)利用“模型”解决几何综合问题往往会取得事半功倍的效果. 几何模型:如图(1),我们称它为“A”型图案,易证明:∠EDF = ∠A + ∠B + ∠C; 应用上面模型解决问题: 【12淘宝店铺:向阳百分百】关注公众号:陆陆高分冲刺 ~领取:最新版“小中高考-总复习”、最新试卷下载 (1)如图(2),“五角星”形,求 ? 分析: 图中 是“A”型图,于是 ,所以 = ; (2)如图(3),“七角星”形,求 ; (3)如图(4),“八角星”形,可以求得 = ; 【答案】(1)180°(2)180°(3)360° 【分析】(1)根据三角形外角的性质把5个角转化到一个三角形中可得答案; (2)根据三角形外角的性质把7个角转化到一个三角形中可得答案. (3)根据三角形外角的性质把8个角转化到一个四边形中可得答案. 【详解】(1)解:如图, 【13淘宝店铺:向阳百分百】关注公众号:陆陆高分冲刺 ~领取:最新版“小中高考-总复习”、最新试卷下载 由三角形外角的性质可得, ,∵ ,∴ , ∵ ,∴ ,故答案为:180°; (2)如图,由(1)得, ∵ ,∴ . (3)如图,由三角形外角的性质可得, , , , 故答案为:360°. 【点睛】本题考查多边形的内角和与三角形外角的性质,能够根据三角形外角的性质进行转化是解题关键. 模型3、三角板模型 【14淘宝店铺:向阳百分百】关注公众号:陆陆高分冲刺 ~领取:最新版“小中高考-总复习”、最新试卷下载 【模型解读】由一副三角板拼凑出的几个图形我们称他们为三角板模型。 图①中:∠A=30°,∠C=60°,图②中:∠A=∠C=45°, 例1.(2023·山西吕梁·联考模拟预测)如图: 和 是两块直角三角尺,两直角三角尺的 斜边AB、DE在同一直线上,其中 , , ,则 的度数为 ( ) A. B. C. D. 【答案】B 【分析】根据三角形外角的性质求解即可. 【详解】解:∵由题意得 , , ∴ ,故选:B 【点睛】本题考查了三角形的外角的性质,解决本题的关键是熟练掌握三角形外角的性质,即三角形的一 个外角等于与它不相邻的两个内角和. 例2.(2023春·安徽·九年级专题练习)将两块直角三角尺按如图摆放,其中 , , ,若 相交于点E,则 的大小为( ) A. B. C. D. 【答案】B 【15淘宝店铺:向阳百分百】关注公众号:陆陆高分冲刺 ~领取:最新版“小中高考-总复习”、最新试卷下载 【分析】在 中,利用三角形内角和定理,可求出 的度数,再结合对顶角相等,即可得出 的度数. 【详解】解:在 中, , , ∴ ,∴ .故选:B. 【点睛】本题考查三角形内角和定理以及对顶角,牢记“三角形内角和是 ”及“对顶角相等”是解题 的关键. 例3.(2023·陕西咸阳·校考一模)如图,将一副三角尺按图中所示位置摆放,点C在 的延长线上,点 C、F分别为直角顶点,且 , ,若 ,则 的度数是( ) A.15° B.20° C.25° D.30° 【答案】A 【分析】由 ,利用“两直线平行,内错角相等”可求出 ,再利用三角形的外角性质, 即可求出 的度数. 【详解】解:∵ ,∴ . ∵ 是 的外角,∴ .故选:A. 【点睛】本题考查了平行线的性质以及三角形的外角性质,牢记“三角形的一个外角等于和它不相邻的两 个内角的和”及“两直线平行,内错角相等”是解题的关键. 例3.(2023·江苏盐城·统考二模)一副三角板如图所示摆放,其中含 角的直角三角板的直角顶点在另 一个三角板的斜边上,若 ,则 的度数是( ) 【16淘宝店铺:向阳百分百】关注公众号:陆陆高分冲刺 ~领取:最新版“小中高考-总复习”、最新试卷下载 A. B. C. D. 【答案】D 【分析】利用三角形的外角性质进行求解即可. 【详解】解:如图,由题意得: , , , , .故选:D. 【点睛】本题考查三角形的外角性质,解答的关键是明确三角形的外角等于与其不相邻的两个内角之和. 例4.(2023春·陕西渭南·七年级统考期中)如图, ,一副直角三角板 和 如图摆放, , ,若 ,则下列结论:① ;② ;③ ; ④ 平分 ,正确的有 .(填序号) 【答案】①②④ 【分析】如图,由题意得: ,根据平行线的性质求出 ,进而可求出 ,即可判断③④;根据三角形的内角和定理、 平行线的性质和角的和差求出 ,即可判断①;求出 ,进而可判断②. 【详解】解:如图,由题意得: ,∵ ,∴ , 【17淘宝店铺:向阳百分百】关注公众号:陆陆高分冲刺 ~领取:最新版“小中高考-总复习”、最新试卷下载 ∵ , ∴ , ∴ , ,故结论③错误; ∵ ,∴ ,∴ 平分 ,故结论④正确; ∵ ,∴ ,∴ ,故结论①正确; ∵ ,∴ ,∴ ,故结论②正确;故答案为:①②④. 【点睛】本题考查了平行线的判定和性质、三角形的内角和定理以及三角形的外角性质等知识,熟练掌握 三角形的相关知识和平行线的判定和性质是解题的关键. 例5.(2023春·湖南衡阳·七年级统考期末)一副三角板如图1摆放, , , ,点 在 上,点 在 上,且 平分 ,现将三角板 绕点 以每秒 的速度顺 时针旋转(当点 落在射线 上时停止旋转),设旋转时间为 秒. (1)当 ______秒时, ;当 ______秒时, ; (2)在旋转过程中, 与 的交点记为 ,如图2,若 有两个内角相等,求 的值; (3)当边 与边 、 分别交于点 、 时,如图3,连接 ,设 , , ,试问 是否为定值?若是,请求出定值;若不是,请说明理由. 【答案】(1) ; (2)当 为6或15或24时, 有两个内角相等 (3)是定值, ,理由见解析 【分析】(1)由平行和垂直求出旋转角,结合旋转速度求出旋转时间; (2)画出图形,分类讨论,① ;② ;③ ,求出旋转角,再求出 【18淘宝店铺:向阳百分百】关注公众号:陆陆高分冲刺 ~领取:最新版“小中高考-总复习”、最新试卷下载 值;(3)找出与 , , ,有关的数量关系,再把无关的角消去,得出结论. 【详解】(1)如图,当 时, 平分 , , , 又 为 的一个外角, , ; 如图,当 时, , , , , .故答案为:3; 21. (2)①如图,当 时, , , ; ②如图,当 时, , , , ; ③如图,当 时, , , 综上所述:当 为6或15或24时, 有两个内角相等. (3) 是为定值105,理由如下: 是 的一个外角, 是 的一个外角, , , 【19淘宝店铺:向阳百分百】关注公众号:陆陆高分冲刺 ~领取:最新版“小中高考-总复习”、最新试卷下载 又 , , , , . 【点睛】本题以求三角形旋转时间为背景,考查了学生对图形的旋转变换、平行的性质、垂直的性质和求 等腰三角形内角的掌握情况,第(2)问分情况讨论是解决问题的关键,第(3)问找到三个角之间的关系 是关键. 课后专项训练 1.(2023·广东江门·八年级校考期中)如下图, 的度数为( ) A.540° B.500° C.460° D.420° 【答案】D 【分析】根据三角形内角和定理可得 ,根据平角的定义和四边形内角和可得 ,同理可得 ,据此即可求解. 【详解】解:如图所示, 【20淘宝店铺:向阳百分百】关注公众号:陆陆高分冲刺 ~领取:最新版“小中高考-总复习”、最新试卷下载 ∵ ,∴ , ∵ , ,∴ ∵ ∴ , 同理可得: ,∴ ,故选:D. 【点睛】本题考查了三角形内角和定理,四边形内角和定理,熟知四边形内角和等于 是解题的关键. 2.(2023春·江苏·七年级专题练习)如图,已知四边形 中, ,若沿图中虚线剪去 ,则 等于( ) A. B. C. D. 【答案】C 【分析】运用内外角之间的关系可得 . 【详解】解:∵三角形的内角和等于 ,∴可得 和 的邻补角之和等于 , ∴ ,故选:C. 【点睛】本题考查了三角形的内外角之间的关系,三角形的内角和等于 ,解题的关键是理解题意,掌握 这些知识点. 3.(2023·福建福州·七年级统考期中)如图,将一块直角三角板DEF放置在锐角△ABC上,使得该三角 板的两条直角边DE、DF恰好分别经过点B、C,若∠ABC+∠ACB=120°,则∠ABD+∠ACD的值为( ) A.60° B.50° C.40° D.30° 【答案】D 【分析】根据三角形内角和定理可得∠ABC+∠ACB=120°,∠DBC+∠DCB=90°,进而可求出∠ABD+ ∠ACD的度数. 【21淘宝店铺:向阳百分百】关注公众号:陆陆高分冲刺 ~领取:最新版“小中高考-总复习”、最新试卷下载 【详解】解:在 ABC中,∠ABC+∠ACB=120°, 在 DBC中,∠△BDC=90°,∴∠DBC+∠DCB=180°﹣90°=90°, ∴∠△ABD+∠ACD=120°﹣90°=30°.故选:D. 【点睛】本题考查了三角形的内角和定理,解题的关键是熟练掌握三角形的内角和为180°,此题难度不大. 4.(2023·河北邯郸·统考一模)如图,已知在 中, ,若沿图中虚线剪去 ,则 的度数是( ). A. B. C. D. 【答案】A 【分析】利用四边形内角和为 和直角三角形的性质求解即可. 【详解】解:∵在 中, ,∴ , ∵ ,∴ 故选:A. 【点睛】此题考查了直角三角形的性质和四边形的内角和,解题关键在于根据四边形内角和为 和直角 三角形的性质求解. 5.(2022秋·河南商丘·八年级统考阶段练习)如图所示,五条线段首尾相连形成的图形中 , , 则 等于( ) A. B. C. D. 【答案】B 【分析】利用三角形的一个外角等于和它不相邻的两个外角之和求出 , , 由 ,求出 ,再由外角和是 即可求出答案. 【22淘宝店铺:向阳百分百】关注公众号:陆陆高分冲刺 ~领取:最新版“小中高考-总复习”、最新试卷下载 【详解】解:如图, , , , , , , , , . 【点睛】本题考查了三角形外角的性质定理、多边形外角和定理,熟练掌握相关知识是解题关键. 6.(2023秋·湖北武汉·八年级校联考期中)如图,在由线段 组成的平面图形中, ,则 的度数为( ). A. B. C. D. 【答案】C 【分析】如图标记 ,然后利用三角形的外角性质得 , ,再 利用 互为邻补角,即可得答案. 【详解】解:如下图标记 , , , ,又 , , , ,故选C. 【23淘宝店铺:向阳百分百】关注公众号:陆陆高分冲刺 ~领取:最新版“小中高考-总复习”、最新试卷下载 【点睛】此题考查了三角形的外角性质与邻补角的意义,熟练掌握并灵活运用三角形的外角性质与邻补角 的意义是解答此题的关键. 7.(2022秋·湖北孝感·八年级统考期中)一副三角板如图所示放置,则 的度数为( ) A. B. C. D. 【答案】A 【分析】由外角定理知, ,将已知角代入求解即可. 【详解】解:如图, , ,∵ ,∴ ,故选:A. 【点睛】本题考查三角形外角定理,观察图形,由角的位置关系导出角之间数量关系是解题的关键. 8.(2023秋·海南海口·九年级校考期末)将一个直角三角板 与一个直尺按如图所示的方式摆放,若 , , ,则 的度数为( ) 【24淘宝店铺:向阳百分百】关注公众号:陆陆高分冲刺 ~领取:最新版“小中高考-总复习”、最新试卷下载 A. B. C. D. 【答案】D 【分析】根据 ,得到 ,结合 得到 得度数. 【详解】∵ , ,∴ , ∵ ,∴ ,故选:D. 【点睛】本题考查了平行线的性质,三角形内角和定理,补角,熟练掌握性质是解题的关键. 9(2022春·广东揭阳·八年级校考期末)探索归纳: (1)如图1,已知 ABC为直角三角形,∠A=90°,若沿图中虚线剪去∠A,则∠1+∠2= °. (2)如图2,已知△ABC中,∠A=40°,剪去∠A后成四边形,则∠1+∠2= °. (3)如图2,根据△(1)与(2)的求解过程,请你归纳猜想∠1+∠2与∠A的关系是 . 【答案】 270°/270度 220°/220度 180°+∠A 【分析】(1)利用了四边形内角和为360°和直角三角形的性质求解; (2)根据三角形的外角等于与它不相邻的两个内角和求解; (3)根据(1)(2)可以直接写出结果. 【详解】解:(1)∵四边形的内角和为360°,直角三角形中两个锐角和为90°, ∴∠1+∠2=360°-(∠B+∠C)=360°-90°=270°,∴∠1+∠2等于270°,故答案为:270°; (2)∠1+∠2=360°-(∠B+∠C)=360°-(180°-∠A)=180°+∠A =180°+40°=220°,故答案是:220°; (3)∠1+∠2与∠A的关系是:∠1+∠2=180°+∠A; 证明:∠1+∠2=360°-(∠B+∠C)=360°-(180°-∠A)=180°+∠A;故答案为:180°+∠A. 【点睛】主要考查了三角形的内角和定理,四边形内角和定理.熟练掌握三角形的内角和定理、四边形内 角和定理是解题的关键. 10.(2022·安徽·八年级校考期中)如图,若 ,则 . 【25淘宝店铺:向阳百分百】关注公众号:陆陆高分冲刺 ~领取:最新版“小中高考-总复习”、最新试卷下载 【答案】 /250度 【分析】按图先进行标注,根据外角性质分别表示出 , , , ,再根据 ,进行求解即可得出 最后结果. 【详解】解:如图,进行标注, 是 的一个外角, , 是 的一个外角, ,即 , 是 的一个外角, , , 是 的一个外角, , ,故答案为: . 【点睛】本题考查了三角形外角性质,圆周角及邻补角的应用,熟练掌握外角性质是解答本题的关键. 11.(2022秋·四川绵阳·八年级统考期中)如图,已知 , . 【26淘宝店铺:向阳百分百】关注公众号:陆陆高分冲刺 ~领取:最新版“小中高考-总复习”、最新试卷下载 【答案】 /240度 【分析】由三角形的外角性质和三角形内角和定理即可得出结果. 【详解】连接 , , ∴ 又 ,∴ .故答案为: . 【点睛】本题考查了三角形的外角性质、对顶角相等以及三角形内角和定理;熟练掌握三角形的外角性质 以及三角形内角和定理是解决问题的关键. 12.(2023春·重庆黔江·七年级统考期末)如图 ,将三角板 与三角板 摆放在一起;如图 ,其 中 , , .固定三角板 ,将三角板 绕点 按顺时针方 向旋转,记旋转角 . (1)在旋转过程中,当 为 度时, ;当 为 度时, . (2)当 时,连接 ,利用图 探究 值的大小变化情况,并说明理由. 【答案】(1) , (2)不变,理由见解析 【分析】(1)如图 ,记 与 的交点为点 , 与 的交点为点 ,由 ,可得 ,再利用角的和差关系可得答案;如图 ,记 与 的交点为 ,求解 ,由角的和差关系可得答案; (2)如图3,设 分别交 、 于点 、 ,在 中,可得 , 【27淘宝店铺:向阳百分百】关注公众号:陆陆高分冲刺 ~领取:最新版“小中高考-总复习”、最新试卷下载 结合 , ,从而可得答案. 【详解】(1)解:如图 ,记 与 的交点为点 , 与 的交点为点 , , , , ,即 , 如图 ,记 与 的交点为 , , , , ,即 , (2)当 , ,保持不变,理由如下: 如图3,设 分别交 、 于点 、 ,在 中, , , , , , . 【点睛】本题考查的是旋转的性质,平行线的性质,垂直的定义,三角形的外角的性质的应用,熟练的利 用旋转的性质与三角形的外角的性质解题是关键. 13.(2023春·安徽宿州·八年级校联考期中)小明善于用数学的眼光观察生活,从中找到数学研究的乐趣. 他用一副三角板拼成了如下两幅图.(1)图1中, 的度数是______.(2)①求图1中 的度数;② 图2中, ,求 的度数. 【28淘宝店铺:向阳百分百】关注公众号:陆陆高分冲刺 ~领取:最新版“小中高考-总复习”、最新试卷下载 【答案】(1) (2)① ;② 【分析】(1)由三角板可知 , ,然后利用三角形外角的性质求解即可; (2)①由三角板可知 , ,然后利用三角形外角的性质求解即可; ②由三角板可知 ,然后根据平行线的性质得出 的度数,再利用三角形外角的性质求解即 可. 【详解】(1)解:∵ , , ∴ ,故答案为: ; (2)解:①∵ , ,∴ ; ②∵ , ,∴ , 又∵ ,∴ . 【点睛】本题考查了三角形外角的性质,平行线的性质,熟知三角形的一个外角等于与它不相邻的两个内 角的和是解题的关键. 14.(2022秋·湖北省直辖县级单位·八年级校联考期中)如图所示,有一块直角三角板 足够大 ,其中, 把直角三角板放置在锐角 上,三角板 的两边 、 恰好分别经过 、 . (1)若 ,则 ______ , ______ , ______ (2)若 ,则 ______ .(写出求解过程) (3)请你猜想一下 与 所满足的数量关系,并说明理由. 【答案】(1)140,90,50;(2)35,过程见解析;(3) ,理由见解析. 【分析】(1)在 中,由 和三角形内角和定理求得 ,在 中,由 【29淘宝店铺:向阳百分百】关注公众号:陆陆高分冲刺 ~领取:最新版“小中高考-总复习”、最新试卷下载 及三角形内角和定理求得 ,即可求得 ; (2)按照(1)的过程即可得到答案; (3)在 中, .在 中, ,利用 ,即可得到答案. 【详解】(1)在 中, , , 在 中, , , ;故答案为:140,90,50. (2)在 中, , , 在 中, , , ,故答案为:35; (3) 与 之间的数量关系为: . 理由如下:在 中, .在 中, . , . 【点睛】此题主要考查三角形内角和定理,熟练掌握三角形内角和定理是解决本题的关键. 15.(2023·福建南平·八年级统考期末)结论:直角三角形中, 的锐角所对的直角边等于斜边的一半. 如图①,我们用几何语言表示如下: ∵在 中, , ,∴ . 你可以利用以上这一结论解决以下问题: 如图②,在 中, , , , , 【30淘宝店铺:向阳百分百】关注公众号:陆陆高分冲刺 ~领取:最新版“小中高考-总复习”、最新试卷下载 (1)求 的面积;(2)如图③,射线 平分 ,点 从点 出发,以每秒1个单位的速度沿 着射线 的方向运动,过点 分别作 于 , 于 , 于 .设点 的运动时间 为 秒,当 时,求 的值. 【答案】(1) ;(2) 或 【分析】(1)过点C作CH⊥AB于点H,则∠CAH=90°,即可求出∠ACH=30°,求出AH,根据勾股定理即可 求解;(2)分两种情况讨论①当点P在 ABC内部时②当点P在 ABC外部时,连结PB、PC,利用面积法 进行求解即可. △ △ 【详解】(1)过点C作CH⊥AB于点H,则∠CAH=90°,如图② ∵ ∴∠ACH=30°∴ ∴ ∴ (2)分两种情况讨论 ①当点P在 ABC内部时,如图③所示,连结PB、PC. △ 【31淘宝店铺:向阳百分百】关注公众号:陆陆高分冲刺 ~领取:最新版“小中高考-总复习”、最新试卷下载 设PE=PF=PG=x∵ ∴ ∴ ∵AM平分∠BAC,∴ ,∴ , ∴ ∴ ②当点P在 ABC外部时,如图④所示,连结PB、PC. △ 设PE=PF=PG=x,∵ ∴ ,解得 由①知, , 又 ,∴ ,∴ ∴ ∴当PE=PF=PG时, 或 【点睛】本题考查的是含30°角的直角三角形的性质,掌握勾股定理及三角形的面积法是关键. 16.(2022·广东云浮·九年级校考期中)把一副三角板按如图甲放置,其中 , , ,斜边 , .把三角板 绕点 顺时针旋转 得到 (如 【32淘宝店铺:向阳百分百】关注公众号:陆陆高分冲刺 ~领取:最新版“小中高考-总复习”、最新试卷下载 图乙).这时 与 相交于点 、与 相交于点 . (1)写出 度;(2)线段 的长为 ;(3)若把 绕着点 顺时针旋转 得 , 这时点 在 的内部、外部、还是边上?说明理由. 【答案】(1) (2) (3)内部,理由见详解 【分析】(1)根据旋转角度,可算出 ,在 中,可算出 ,根据 是 的外角,由此即可求解;(2)根据(1)可知 垂直平分 , , ,可算出 , 的长度,在 中,由勾股定理即可求解;(3) 绕着点 顺时针旋转 得 , 设直线 与 相交于 ,在 中求出 的长,在 中算出 的长,进行比较即可求 解. 【详解】(1)解:∵旋转角为 ,∴ , ∴ ,∴ , 在 中, . (2)解:由(1)可知, ,且 , ∴ 平分 , ,∴ , 在 中,由勾股定理得, . 【33淘宝店铺:向阳百分百】关注公众号:陆陆高分冲刺 ~领取:最新版“小中高考-总复习”、最新试卷下载 (3)解:如图所示,点 在 的内部. 理由如下:如图所示, 设直线 与 相交于 ,∵ 绕着点 顺时针旋转 ,∴ ,且 , ∴ 是等腰直角三角形,且 , ,∴ , , ∵ ,∴ ,即 ,∴点 在 的内部. 【点睛】本题主要考查特殊角的直角三角形的性质,勾股定理,旋转的性质,掌握旋转的性质,特殊角的 直角三角形的性质是解题的关键. 17.(2022·湖北武汉·八年级校考阶段练习)如图所示,AB、CD相交于点O,∠A=48°,∠D=46°. (1) 若BE平分∠ABD交CD于F,CE平分∠ACD交AB于G,求∠BEC的度数; (2) 若直线BM平分∠ABD交CD于F,CM平分∠DCH交直线BF于M,求∠BMC的度数. 【答案】(1)47°;(2)43° 【分析】(1)根据三角形内角和定理以及对顶角相等可得出 ,由平分线的定义可得出 、 ,再结合三角形内角和定理即可得出 ,代入 度数 即可得出结论;(2)由邻补角互补结合角平分线可得出 ,根据三角形外角性质结合 【34淘宝店铺:向阳百分百】关注公众号:陆陆高分冲刺 ~领取:最新版“小中高考-总复习”、最新试卷下载 (1)中 即可得出 ,再根据三角形内角和定理即可得出 ,代入 度数即可得出结论. 【详解】解:(1) , , , , , , . 平分 交 于 , 平分 交 于 , , . , , , . (2) , 平分 交直线 于 , , , , . 【点睛】本题考查了三角形内角和定义、角平分线、三角形的外角性质、对顶角以及邻补角,解题的关键 是:(1)根据三角形内角和定理找出 ;(2)根据三角形内角和定理找出 . 本题属于中档题,难度不大,但重复用到三角形内角和定义稍显繁琐. 18.(2023·广东湛江·八年级统考期中)问题情景:如图①,有一块直角三角板 放置在 上( 点在 内),三角板 的两条直角边 、 恰好分别经过点 和点 .探究 与 是 否存在某种确定的数量关系. 【35淘宝店铺:向阳百分百】关注公众号:陆陆高分冲刺 ~领取:最新版“小中高考-总复习”、最新试卷下载 (1)特殊探究:若 ,则 ____度, ____度, ____度; (2)类比探索:请探究 与 的关系; (3)类比延伸:如图②,改变直角三角板 的位置,使 点在 外,三角板 的两条直角边 、 仍然分别经过点 和点 ,(2)中的结论是否仍然成立?若不成立,请直接写出你的结论,并说明理 由. 【答案】(1) ; ; (2) (3)不成立, ,理由见解析 【分析】(1)已知 ,根据三角形内角和定理易求 的度数,已知 ,根据三 角形内角和定理易求 的度数,进而得到 的度数; (2)由(1)中 的度数, 的度数,相减即可得到 与 的关系; (3)由于在 中, ,在 中, ,相减即可得到结 论. 【详解】(1)解:∵ ,∴ , ∵ ,∴ , ∴ .故答案为: ; ; . (2) 与 的关系为: , 理由如下:由(1)得: , ∵ ,∴ , ∴ . ∴ . (3)不成立,存在 , 理由如下:在 中, , 在 中,∵ ,∴ , ∴ , 【36淘宝店铺:向阳百分百】关注公众号:陆陆高分冲刺 ~领取:最新版“小中高考-总复习”、最新试卷下载 ∴ , ∴ .∴(2)中的结论不成立. 【点睛】本题考查三角形内角和,直角三角形两锐角互余.三角形内角和定理:三角形三个内角的和等于 .注意运用整体法计算,解决问题的关键是求出 , 的度数. 19.(2023·安徽淮北·八年级统考期末)如图,在 中, ,直线 分别交 的边 、 和 的延长线于点D、E、F. (1)若 ,则 .(2) 、 、 有什么数量关系?请说明理由. 【答案】(1) (2) ,理由见解析 【分析】(1)在 中利用三角形内角和求出 ,再在 中利用三角形内角和即可得出答案; (2)在 中利用三角形内角和表示出 ,再在 中利用三角形内角和即可得出答案. 【详解】(1)∵ ,∴ , ∵ ,∴ , ∵ ,∴ .故答案为: ; (2) , 理由:∵ ,∴ ,∵ ∴ , ∵ ,∴ . 【点睛】本题考查了三角形的内角和定理,解题的关键是熟练掌握三角形三个内角的和等于 . 20.(2023·山东青岛·八年级校联考期末)阅读材料,回答下列问题: 【材料提出】“八字型”是数学几何的常用模型,通常由一组对顶角所在的两个三角形构成. 【探索研究】探索一:如图1,在八字形中,探索∠A、∠B、∠C、∠D之间的数量关系为 ; 探索二:如图2,若∠B=36°,∠D=14°,求∠P的度数为 ; 探索三:如图3,CP、AG分别平分∠BCE、∠FAD,AG反向延长线交CP于点P,则∠P、∠B、∠D之间 的数量关系为 . 【模型应用】应用一:如图4,在四边形MNCB中,设∠M=α,∠N=β,α+β>180°,四边形的内角 ∠MBC与外角∠NCD的角平分线BP,CP相交于点P.则∠A= (用含有α和β的代数式表示), 【37淘宝店铺:向阳百分百】关注公众号:陆陆高分冲刺 ~领取:最新版“小中高考-总复习”、最新试卷下载 ∠P= .(用含有α和β的代数式表示) 应用二:如图5,在四边形MNCB中,设∠M=α,∠N=β,α+β<180°,四边形的内角∠MBC与外角 ∠NCD的角平分线所在的直线相交于点P,∠P= .(用含有α和β的代数式表示) 【拓展延伸】拓展一:如图6,若设∠C=x,∠B=y,∠CAP= ∠CAB,∠CDP= ∠CDB,试问∠P与 ∠C、∠B之间的数量关系为 .(用x、y表示∠P) 拓展二:如图7,AP平分∠BAD,CP平分∠BCD的邻补角∠BCE,猜想∠P与∠B、∠D的关系,直接写 出结论 . 【答案】∠A+∠B=∠C+∠D; 25°;∠P= ;α+β﹣180°,∠P= ; ; ∠P= ;2∠P﹣∠B﹣∠D=180°. 【分析】探索一:根据三角形的内角和定理,结合对顶角的性质可求解; 探索二:根据角平分线的定义可得∠BAP=∠DAP,∠BCP=∠DCP,结合(1)的结论可得2∠P= ∠B+∠D,再代入计算可求解;探索三:运用探索一和探索二的结论即可求得答案; 应用一:如图4,延长BM、CN,交于点A,利用三角形内角和定理可得∠A=α+β﹣180°,再运用角平分 线定义及三角形外角性质即可求得答案; 应用二:如图5,延长MB、NC,交于点A,设T是CB的延长线上一点,R是BC延长线上一点,利用应 用一的结论即可求得答案; 【38淘宝店铺:向阳百分百】关注公众号:陆陆高分冲刺 ~领取:最新版“小中高考-总复习”、最新试卷下载 拓展一:运用探索一的结论可得:∠P+∠PAB=∠B+∠PDB,∠P+∠CDP=∠C+∠CAP,∠B+∠CDB= ∠C+∠CAB,再结合已知条件即可求得答案; 拓展二:运用探索一的结论及角平分线定义即可求得答案. 【详解】解:探索一:如图1, ∵∠AOB+∠A+∠B=∠COD+∠C+∠D=180°,∠AOB=∠COD, ∴∠A+∠B=∠C+∠D,故答案为∠A+∠B=∠C+∠D; 探索二:如图2,∵AP、CP分别平分∠BAD、∠BCD,∴∠1=∠2,∠3=∠4, 由(1)可得:∠1+∠B=∠3+∠P,∠2+∠P=∠4+∠D, ∴∠B﹣∠P=∠P﹣∠D,即2∠P=∠B+∠D, ∵∠B=36°,∠D=14°,∴∠P=25°,故答案为25°; 探索三:由①∠D+2∠1=∠B+2∠3,由②2∠B+2∠3=2∠P+2∠1, ①+②得:∠D+2∠B+2∠1+2∠3=∠B+2∠3+2∠P+2∠1 ∠D+2∠B=2∠P+∠B.∴∠P= .故答案为:∠P= . 应用一:如图4,延长BM、CN,交于点A, ∵∠M=α,∠N=β,α+β>180°,∴∠AMN=180°﹣α,∠ANM=180°﹣β, ∴∠A=180°﹣(∠AMN+∠ANM)=180°﹣(180°﹣α+180°﹣β)=α+β﹣180°; ∵BP、CP分别平分∠ABC、∠ACB,∴∠PBC= ∠ABC,∠PCD= ∠ACD, ∵∠PCD=∠P+∠PBC,∴∠P=∠PCD﹣∠PBC= (∠ACD﹣∠ABC)= ∠A= , 故答案为:α+β﹣180°, ; 应用二:如图5, 【39淘宝店铺:向阳百分百】关注公众号:陆陆高分冲刺 ~领取:最新版“小中高考-总复习”、最新试卷下载 延长MB、NC,交于点A,设T是CB的延长线上一点,R是BC延长线上一点, ∵∠M=α,∠N=β,α+β<180°,∴∠A=180°﹣α﹣β, ∵BP平分∠MBC,CP平分∠NCR,∴BP平分∠ABT,CP平分∠ACB, 由应用一得:∠P= ∠A= ,故答案为: ; 拓展一:如图6, 由探索一可得:∠P+∠PAB=∠B+∠PDB,∠P+∠CDP=∠C+∠CAP,∠B+∠CDB=∠C+∠CAB, ∵∠C=x,∠B=y,∠CAP= ∠CAB,∠CDP= ∠CDB, ∴∠CDB﹣∠CAB=∠C﹣∠B=x﹣y,∠PAB= ∠CAB,∠PDB= ∠CDB, ∴∠P+ ∠CAB=∠B+ ∠CDB,∠P+ ∠CDB=∠C+ ∠CAB, ∴2∠P=∠C+∠B+ (∠CDB﹣∠CAB)=x+y+ (x﹣y)= , ∴∠P= ,故答案为:∠P= ; 拓展二:如图7, ∵AP平分∠BAD,CP平分∠BCD的邻补角∠BCE,∴∠PAD= ∠BAD,∠PCD=90°+ ∠BCD, 由探索一得:①∠B+∠BAD=∠D+∠BCD,②∠P+∠PAD=∠D+∠PCD, 【40淘宝店铺:向阳百分百】关注公众号:陆陆高分冲刺 ~领取:最新版“小中高考-总复习”、最新试卷下载 ②×2,得:③2∠P+∠BAD=2∠D+180°+∠BCD, ③﹣①,得:2∠P﹣∠B=∠D+180°,∴2∠P﹣∠B﹣∠D=180°,故答案为:2∠P﹣∠B﹣∠D=180°. 【点睛】本题是探究性题目,考查了三角形的相关计算、三角形内角和定理、角平分线性质、三角形外角 的性质等,此类题目遵循题目顺序,结合相关性质和定理,逐步证明求解即可. 【41淘宝店铺:向阳百分百】