当前位置:首页>文档>精品解析:2025年安徽省合肥市卓越中学中考第三次模拟数学试卷(原卷版)_2025年安徽省中考模拟试卷数学_2025年安徽数学三模卷68份

精品解析:2025年安徽省合肥市卓越中学中考第三次模拟数学试卷(原卷版)_2025年安徽省中考模拟试卷数学_2025年安徽数学三模卷68份

  • 2026-04-05 20:35:10 2026-04-05 20:13:41

文档预览

精品解析:2025年安徽省合肥市卓越中学中考第三次模拟数学试卷(原卷版)_2025年安徽省中考模拟试卷数学_2025年安徽数学三模卷68份
精品解析:2025年安徽省合肥市卓越中学中考第三次模拟数学试卷(原卷版)_2025年安徽省中考模拟试卷数学_2025年安徽数学三模卷68份
精品解析:2025年安徽省合肥市卓越中学中考第三次模拟数学试卷(原卷版)_2025年安徽省中考模拟试卷数学_2025年安徽数学三模卷68份
精品解析:2025年安徽省合肥市卓越中学中考第三次模拟数学试卷(原卷版)_2025年安徽省中考模拟试卷数学_2025年安徽数学三模卷68份
精品解析:2025年安徽省合肥市卓越中学中考第三次模拟数学试卷(原卷版)_2025年安徽省中考模拟试卷数学_2025年安徽数学三模卷68份
精品解析:2025年安徽省合肥市卓越中学中考第三次模拟数学试卷(原卷版)_2025年安徽省中考模拟试卷数学_2025年安徽数学三模卷68份
精品解析:2025年安徽省合肥市卓越中学中考第三次模拟数学试卷(原卷版)_2025年安徽省中考模拟试卷数学_2025年安徽数学三模卷68份
精品解析:2025年安徽省合肥市卓越中学中考第三次模拟数学试卷(原卷版)_2025年安徽省中考模拟试卷数学_2025年安徽数学三模卷68份
精品解析:2025年安徽省合肥市卓越中学中考第三次模拟数学试卷(原卷版)_2025年安徽省中考模拟试卷数学_2025年安徽数学三模卷68份
精品解析:2025年安徽省合肥市卓越中学中考第三次模拟数学试卷(原卷版)_2025年安徽省中考模拟试卷数学_2025年安徽数学三模卷68份
精品解析:2025年安徽省合肥市卓越中学中考第三次模拟数学试卷(原卷版)_2025年安徽省中考模拟试卷数学_2025年安徽数学三模卷68份
精品解析:2025年安徽省合肥市卓越中学中考第三次模拟数学试卷(原卷版)_2025年安徽省中考模拟试卷数学_2025年安徽数学三模卷68份
精品解析:2025年安徽省合肥市卓越中学中考第三次模拟数学试卷(原卷版)_2025年安徽省中考模拟试卷数学_2025年安徽数学三模卷68份

文档信息

文档格式
docx
文档大小
2.727 MB
文档页数
9 页
上传时间
2026-04-05 20:13:41

文档内容

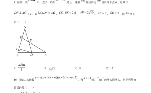
2025 年中考第三次模拟数学试卷 注意事项: 1.你拿到的试卷满分为150分,考试时间为120分钟. 2.试卷包括“试题卷”和“答题卷”两部分,请务必在“答题卷”上答题,在“试题卷”上 答题是无效的. 3.考试结束后,请将"试题卷"和"答题卷”一并交回. 一、选择题(本大题共10小题,每小题4分,满分40分,每小题都给出A、B、C、D四个 选项,其中只有一个是符合题目要求的) 1. 的相反数是( ) A. B. C. D. 2. 2025年1~3月,安徽省汽车产量为 万辆,首次反超广东,登顶中国第一汽车产量大省.数据“ 万”用科学记数法表示为( ) A. B. C. D. 3. 如图,是由一个长方体和一个圆柱组成的几何体,则该几何体的俯视图是( ) A. B. C. D. 4. 下列计算正确的是( )A. B. C. D. 5. 解分式方程 时,去分母变形正确的是( ) A. B. C. D. 6. 将一把直尺和一块含 角的三角板 按如图所示的位置放置,如果 ,那么 的 度数为( ) A. B. C. D. 7. 如图是九(1)班的同学每周课外阅读时间的频数直方图(每组含前一个边界值,不含后一个边界值). 由图可知,每周课外阅读时间不少于6小时的概率是( ) A. B. C. D. 8. 如图,矩形 的边 与y轴平行,顶点B的坐标为 ,D的坐标为 ,反比例函数 的图像与矩形ABCD有公共点,则k的取值范围为( )A. B. C. D. 9. 如图,在 中,点D、E在 边上,连接 并延长交 延长线于点G.过D作 于F.若 , , , , ,则 的长 为( ) A. B. C. 9 D. 12 10. 已知二次函数 ,当 时, 随 的增大而增大,则下列结论 错误的是( ) A. 当 时, 随 的增大而减小; B. 若图象经过点 ,则 ; C. 若 , 是函数图象上 的两点,则 ;D. 若图象上两点 , 对一切正数 ,总有 ,则 . 二、填空题(本大题共4小题,每小题5分,满分 20分) 11. 计算: ________. 12. 分解因式 ______. 的 13. 我国南宋时期数学家秦九韶曾提出利用三角形 三边求面积的公式,即三角形的三边长分别为a, b,c,记 ,那么其面积 .如果某个三角形的三边长分别为 2,3,3,其面积S介于整数 和n之间,那么n的值是___________. 14. 如图,矩形 中, , ,点E在边 上,且 ,动点P从点A出 发,沿 运动到点B停止,过点E作 交射线 于点F,连接 ,点Q是线段 的中点, 连接 ,则 (1)当 时, _______; (2)连接 ,则在点P运动的整个过程中,线段 长的最小值为_______. 三、(本大题共2小题,每小题8分,满分16分) 15. 解不等式: . 16. 如图,在由边长为1个单位长度的小正方形组成的网格中建立平面直角坐标系,格点(网格线的交点)A,B,C的坐标分别为 , , . (1)将线段 先向左平移1个单位长度,再向下平移3个单位长度,得到线段 ,画出线段 ; (2)将线段 绕B顺时针旋转 ,得到线段 ,画出线段 ; (3)在所给网格图中确定一个格点D,描出线段 ,使得 ,写出点D的坐标. 四、(本大题共2小题,每小题8分,满分16分) 17. 2023年,某包田大户种植两种水稻,分别是粳稻和杂交水稻,种植粳稻投资 万元,种植杂交水稻投 资 万元,年底分别挣得 和 的利润. (1)2023年,该包田大户总利润是______万元;(用含 的代数式表示) (2)2024年,该包田大户预投资60万元用于种植这两种水稻,已知两种水稻利润之和是 ,若2024 年与2023年两种水稻利润率相同,求2024年该包田大户对种植粳稻和杂交水稻分别投资的金额. 18. 如图,第1个图案中“◎” 的个数为 ,“●”的个数为 ; 第2个图案中“◎”的个数为 ,“●”的个数为 ; 第3个图案中“◎”的个数为 ,“●”时的个数为 ; ……(1)在第 个图案中,“◎”的个数为_____,“●”的个数为_______.(用含 的式子表示) (2)根据图案中“●”和“◎”的排列方式及上述规律,求正整数 ,使得第 个图案中“●”的个数 是“◎”的个数的 . 五、(本大题共2小题,每小题10分,满分20分) 19. 为弘扬革命传统精神,某校组织学生前往渡江战役纪念馆缅怀革命先烈.初到纪念馆,数学兴趣小组 的同学们就发现广场上有一座雄伟壮观的胜利塔(如图 1),想知道胜利塔的高度 (塔顶到水平地面 的距离),于是他们进行了测量.如图2,他们在地面上的点A处用测角仪测得塔顶 的仰角为 ,在 点 处测得塔顶 的仰角为 .已知 ,测角仪的高度是 (点 在同一条直线 上).根据以上测量数据求胜利塔的高度 .(结果保留整数, ) 20. 如图, 是 的直径,C,D分别为直径 两侧 上的点,且 ,过点D作 的切 线交 延长线于点E,连接 交 于点F,连接(1)求证: ; (2)若 , ,求直径 的长度. 六、(本题满分12分) 21. 某校为了解学生平均每天阅读时长情况,随机抽取了部分学生进行抽样调查,将调查结果整理后绘制 了如下不完整的统计图表. 学生平均每天阅读时长情况统计表 平均每天阅读时长 人数 20 25 15 10 学生平均每天阅读时长情况扇形统计图 根据以上提供的信息,解答下列问题: (1)本次调查共抽取了 名学生,统计表中 ; (2)该校某同学从《朝花夕拾》、《红岩》、《骆驼祥子》、《西游记》四本书中选择两本进行阅读, 这四本书分别用相同的卡片 标记,先随机抽取一张卡片后不放回,再随机抽取一张卡片, 请用列表法或画树状图法,求该同学恰好抽到《朝花夕拾》和《西游记》两本书的概率.七、(本题满分12分) 22. 在四边形 中,点 为 的中点,分别连接 . (1)如图1,若 . ①求证: ; ②若 平分 ,求证: ; (2)如图2,若 ,求 的长. 八、(本题满分14分) 23. 如图1,抛物线 (a,b是常数,且 )与x轴交于点 和点B,与y轴交于 点C,已知 . (1)求a,b的值; (2)若点P 是第一象限抛物线上一点. 的 (ⅰ)如图2,连接 , , ,若 面积为3,求点P的坐标; (ⅱ)如图3, 是抛物线的对称轴,点D是顶点,点E是对称轴与x轴的交点,直线 与直线交于点G, 的面积为 , 的面积为 ,判断 是否为定值?若是,请求出该定值;若 不是,请说明理由.