当前位置:首页>文档>02卷第五章 平面向量、复数《真题模拟卷》-2022年高考一轮数学单元复习(新高考专用)(解析版)_02高考数学_新高考复习资料_2022年新高考资料_第05章 平面向量、复数

02卷第五章 平面向量、复数《真题模拟卷》-2022年高考一轮数学单元复习(新高考专用)(解析版)_02高考数学_新高考复习资料_2022年新高考资料_第05章 平面向量、复数

  • 2026-04-06 00:19:13 2026-04-06 00:03:32

文档预览

02卷第五章 平面向量、复数《真题模拟卷》-2022年高考一轮数学单元复习(新高考专用)(解析版)_02高考数学_新高考复习资料_2022年新高考资料_第05章 平面向量、复数
02卷第五章 平面向量、复数《真题模拟卷》-2022年高考一轮数学单元复习(新高考专用)(解析版)_02高考数学_新高考复习资料_2022年新高考资料_第05章 平面向量、复数
02卷第五章 平面向量、复数《真题模拟卷》-2022年高考一轮数学单元复习(新高考专用)(解析版)_02高考数学_新高考复习资料_2022年新高考资料_第05章 平面向量、复数
02卷第五章 平面向量、复数《真题模拟卷》-2022年高考一轮数学单元复习(新高考专用)(解析版)_02高考数学_新高考复习资料_2022年新高考资料_第05章 平面向量、复数
02卷第五章 平面向量、复数《真题模拟卷》-2022年高考一轮数学单元复习(新高考专用)(解析版)_02高考数学_新高考复习资料_2022年新高考资料_第05章 平面向量、复数
02卷第五章 平面向量、复数《真题模拟卷》-2022年高考一轮数学单元复习(新高考专用)(解析版)_02高考数学_新高考复习资料_2022年新高考资料_第05章 平面向量、复数
02卷第五章 平面向量、复数《真题模拟卷》-2022年高考一轮数学单元复习(新高考专用)(解析版)_02高考数学_新高考复习资料_2022年新高考资料_第05章 平面向量、复数
02卷第五章 平面向量、复数《真题模拟卷》-2022年高考一轮数学单元复习(新高考专用)(解析版)_02高考数学_新高考复习资料_2022年新高考资料_第05章 平面向量、复数
02卷第五章 平面向量、复数《真题模拟卷》-2022年高考一轮数学单元复习(新高考专用)(解析版)_02高考数学_新高考复习资料_2022年新高考资料_第05章 平面向量、复数
02卷第五章 平面向量、复数《真题模拟卷》-2022年高考一轮数学单元复习(新高考专用)(解析版)_02高考数学_新高考复习资料_2022年新高考资料_第05章 平面向量、复数
02卷第五章 平面向量、复数《真题模拟卷》-2022年高考一轮数学单元复习(新高考专用)(解析版)_02高考数学_新高考复习资料_2022年新高考资料_第05章 平面向量、复数
02卷第五章 平面向量、复数《真题模拟卷》-2022年高考一轮数学单元复习(新高考专用)(解析版)_02高考数学_新高考复习资料_2022年新高考资料_第05章 平面向量、复数
02卷第五章 平面向量、复数《真题模拟卷》-2022年高考一轮数学单元复习(新高考专用)(解析版)_02高考数学_新高考复习资料_2022年新高考资料_第05章 平面向量、复数
02卷第五章 平面向量、复数《真题模拟卷》-2022年高考一轮数学单元复习(新高考专用)(解析版)_02高考数学_新高考复习资料_2022年新高考资料_第05章 平面向量、复数
02卷第五章 平面向量、复数《真题模拟卷》-2022年高考一轮数学单元复习(新高考专用)(解析版)_02高考数学_新高考复习资料_2022年新高考资料_第05章 平面向量、复数
02卷第五章 平面向量、复数《真题模拟卷》-2022年高考一轮数学单元复习(新高考专用)(解析版)_02高考数学_新高考复习资料_2022年新高考资料_第05章 平面向量、复数
02卷第五章 平面向量、复数《真题模拟卷》-2022年高考一轮数学单元复习(新高考专用)(解析版)_02高考数学_新高考复习资料_2022年新高考资料_第05章 平面向量、复数
02卷第五章 平面向量、复数《真题模拟卷》-2022年高考一轮数学单元复习(新高考专用)(解析版)_02高考数学_新高考复习资料_2022年新高考资料_第05章 平面向量、复数
02卷第五章 平面向量、复数《真题模拟卷》-2022年高考一轮数学单元复习(新高考专用)(解析版)_02高考数学_新高考复习资料_2022年新高考资料_第05章 平面向量、复数
02卷第五章 平面向量、复数《真题模拟卷》-2022年高考一轮数学单元复习(新高考专用)(解析版)_02高考数学_新高考复习资料_2022年新高考资料_第05章 平面向量、复数
02卷第五章 平面向量、复数《真题模拟卷》-2022年高考一轮数学单元复习(新高考专用)(解析版)_02高考数学_新高考复习资料_2022年新高考资料_第05章 平面向量、复数
02卷第五章 平面向量、复数《真题模拟卷》-2022年高考一轮数学单元复习(新高考专用)(解析版)_02高考数学_新高考复习资料_2022年新高考资料_第05章 平面向量、复数
02卷第五章 平面向量、复数《真题模拟卷》-2022年高考一轮数学单元复习(新高考专用)(解析版)_02高考数学_新高考复习资料_2022年新高考资料_第05章 平面向量、复数
02卷第五章 平面向量、复数《真题模拟卷》-2022年高考一轮数学单元复习(新高考专用)(解析版)_02高考数学_新高考复习资料_2022年新高考资料_第05章 平面向量、复数
02卷第五章 平面向量、复数《真题模拟卷》-2022年高考一轮数学单元复习(新高考专用)(解析版)_02高考数学_新高考复习资料_2022年新高考资料_第05章 平面向量、复数
02卷第五章 平面向量、复数《真题模拟卷》-2022年高考一轮数学单元复习(新高考专用)(解析版)_02高考数学_新高考复习资料_2022年新高考资料_第05章 平面向量、复数
02卷第五章 平面向量、复数《真题模拟卷》-2022年高考一轮数学单元复习(新高考专用)(解析版)_02高考数学_新高考复习资料_2022年新高考资料_第05章 平面向量、复数
02卷第五章 平面向量、复数《真题模拟卷》-2022年高考一轮数学单元复习(新高考专用)(解析版)_02高考数学_新高考复习资料_2022年新高考资料_第05章 平面向量、复数
02卷第五章 平面向量、复数《真题模拟卷》-2022年高考一轮数学单元复习(新高考专用)(解析版)_02高考数学_新高考复习资料_2022年新高考资料_第05章 平面向量、复数
02卷第五章 平面向量、复数《真题模拟卷》-2022年高考一轮数学单元复习(新高考专用)(解析版)_02高考数学_新高考复习资料_2022年新高考资料_第05章 平面向量、复数
02卷第五章 平面向量、复数《真题模拟卷》-2022年高考一轮数学单元复习(新高考专用)(解析版)_02高考数学_新高考复习资料_2022年新高考资料_第05章 平面向量、复数
02卷第五章 平面向量、复数《真题模拟卷》-2022年高考一轮数学单元复习(新高考专用)(解析版)_02高考数学_新高考复习资料_2022年新高考资料_第05章 平面向量、复数
02卷第五章 平面向量、复数《真题模拟卷》-2022年高考一轮数学单元复习(新高考专用)(解析版)_02高考数学_新高考复习资料_2022年新高考资料_第05章 平面向量、复数
02卷第五章 平面向量、复数《真题模拟卷》-2022年高考一轮数学单元复习(新高考专用)(解析版)_02高考数学_新高考复习资料_2022年新高考资料_第05章 平面向量、复数
02卷第五章 平面向量、复数《真题模拟卷》-2022年高考一轮数学单元复习(新高考专用)(解析版)_02高考数学_新高考复习资料_2022年新高考资料_第05章 平面向量、复数
02卷第五章 平面向量、复数《真题模拟卷》-2022年高考一轮数学单元复习(新高考专用)(解析版)_02高考数学_新高考复习资料_2022年新高考资料_第05章 平面向量、复数
02卷第五章 平面向量、复数《真题模拟卷》-2022年高考一轮数学单元复习(新高考专用)(解析版)_02高考数学_新高考复习资料_2022年新高考资料_第05章 平面向量、复数
02卷第五章 平面向量、复数《真题模拟卷》-2022年高考一轮数学单元复习(新高考专用)(解析版)_02高考数学_新高考复习资料_2022年新高考资料_第05章 平面向量、复数
02卷第五章 平面向量、复数《真题模拟卷》-2022年高考一轮数学单元复习(新高考专用)(解析版)_02高考数学_新高考复习资料_2022年新高考资料_第05章 平面向量、复数
02卷第五章 平面向量、复数《真题模拟卷》-2022年高考一轮数学单元复习(新高考专用)(解析版)_02高考数学_新高考复习资料_2022年新高考资料_第05章 平面向量、复数
02卷第五章 平面向量、复数《真题模拟卷》-2022年高考一轮数学单元复习(新高考专用)(解析版)_02高考数学_新高考复习资料_2022年新高考资料_第05章 平面向量、复数
02卷第五章 平面向量、复数《真题模拟卷》-2022年高考一轮数学单元复习(新高考专用)(解析版)_02高考数学_新高考复习资料_2022年新高考资料_第05章 平面向量、复数
02卷第五章 平面向量、复数《真题模拟卷》-2022年高考一轮数学单元复习(新高考专用)(解析版)_02高考数学_新高考复习资料_2022年新高考资料_第05章 平面向量、复数
02卷第五章 平面向量、复数《真题模拟卷》-2022年高考一轮数学单元复习(新高考专用)(解析版)_02高考数学_新高考复习资料_2022年新高考资料_第05章 平面向量、复数
02卷第五章 平面向量、复数《真题模拟卷》-2022年高考一轮数学单元复习(新高考专用)(解析版)_02高考数学_新高考复习资料_2022年新高考资料_第05章 平面向量、复数
02卷第五章 平面向量、复数《真题模拟卷》-2022年高考一轮数学单元复习(新高考专用)(解析版)_02高考数学_新高考复习资料_2022年新高考资料_第05章 平面向量、复数
02卷第五章 平面向量、复数《真题模拟卷》-2022年高考一轮数学单元复习(新高考专用)(解析版)_02高考数学_新高考复习资料_2022年新高考资料_第05章 平面向量、复数
02卷第五章 平面向量、复数《真题模拟卷》-2022年高考一轮数学单元复习(新高考专用)(解析版)_02高考数学_新高考复习资料_2022年新高考资料_第05章 平面向量、复数
02卷第五章 平面向量、复数《真题模拟卷》-2022年高考一轮数学单元复习(新高考专用)(解析版)_02高考数学_新高考复习资料_2022年新高考资料_第05章 平面向量、复数
02卷第五章 平面向量、复数《真题模拟卷》-2022年高考一轮数学单元复习(新高考专用)(解析版)_02高考数学_新高考复习资料_2022年新高考资料_第05章 平面向量、复数
02卷第五章 平面向量、复数《真题模拟卷》-2022年高考一轮数学单元复习(新高考专用)(解析版)_02高考数学_新高考复习资料_2022年新高考资料_第05章 平面向量、复数
02卷第五章 平面向量、复数《真题模拟卷》-2022年高考一轮数学单元复习(新高考专用)(解析版)_02高考数学_新高考复习资料_2022年新高考资料_第05章 平面向量、复数
02卷第五章 平面向量、复数《真题模拟卷》-2022年高考一轮数学单元复习(新高考专用)(解析版)_02高考数学_新高考复习资料_2022年新高考资料_第05章 平面向量、复数
02卷第五章 平面向量、复数《真题模拟卷》-2022年高考一轮数学单元复习(新高考专用)(解析版)_02高考数学_新高考复习资料_2022年新高考资料_第05章 平面向量、复数
02卷第五章 平面向量、复数《真题模拟卷》-2022年高考一轮数学单元复习(新高考专用)(解析版)_02高考数学_新高考复习资料_2022年新高考资料_第05章 平面向量、复数
02卷第五章 平面向量、复数《真题模拟卷》-2022年高考一轮数学单元复习(新高考专用)(解析版)_02高考数学_新高考复习资料_2022年新高考资料_第05章 平面向量、复数
02卷第五章 平面向量、复数《真题模拟卷》-2022年高考一轮数学单元复习(新高考专用)(解析版)_02高考数学_新高考复习资料_2022年新高考资料_第05章 平面向量、复数
02卷第五章 平面向量、复数《真题模拟卷》-2022年高考一轮数学单元复习(新高考专用)(解析版)_02高考数学_新高考复习资料_2022年新高考资料_第05章 平面向量、复数
02卷第五章 平面向量、复数《真题模拟卷》-2022年高考一轮数学单元复习(新高考专用)(解析版)_02高考数学_新高考复习资料_2022年新高考资料_第05章 平面向量、复数
02卷第五章 平面向量、复数《真题模拟卷》-2022年高考一轮数学单元复习(新高考专用)(解析版)_02高考数学_新高考复习资料_2022年新高考资料_第05章 平面向量、复数
02卷第五章 平面向量、复数《真题模拟卷》-2022年高考一轮数学单元复习(新高考专用)(解析版)_02高考数学_新高考复习资料_2022年新高考资料_第05章 平面向量、复数
02卷第五章 平面向量、复数《真题模拟卷》-2022年高考一轮数学单元复习(新高考专用)(解析版)_02高考数学_新高考复习资料_2022年新高考资料_第05章 平面向量、复数
02卷第五章 平面向量、复数《真题模拟卷》-2022年高考一轮数学单元复习(新高考专用)(解析版)_02高考数学_新高考复习资料_2022年新高考资料_第05章 平面向量、复数
02卷第五章 平面向量、复数《真题模拟卷》-2022年高考一轮数学单元复习(新高考专用)(解析版)_02高考数学_新高考复习资料_2022年新高考资料_第05章 平面向量、复数
02卷第五章 平面向量、复数《真题模拟卷》-2022年高考一轮数学单元复习(新高考专用)(解析版)_02高考数学_新高考复习资料_2022年新高考资料_第05章 平面向量、复数
02卷第五章 平面向量、复数《真题模拟卷》-2022年高考一轮数学单元复习(新高考专用)(解析版)_02高考数学_新高考复习资料_2022年新高考资料_第05章 平面向量、复数
02卷第五章 平面向量、复数《真题模拟卷》-2022年高考一轮数学单元复习(新高考专用)(解析版)_02高考数学_新高考复习资料_2022年新高考资料_第05章 平面向量、复数
02卷第五章 平面向量、复数《真题模拟卷》-2022年高考一轮数学单元复习(新高考专用)(解析版)_02高考数学_新高考复习资料_2022年新高考资料_第05章 平面向量、复数
02卷第五章 平面向量、复数《真题模拟卷》-2022年高考一轮数学单元复习(新高考专用)(解析版)_02高考数学_新高考复习资料_2022年新高考资料_第05章 平面向量、复数
02卷第五章 平面向量、复数《真题模拟卷》-2022年高考一轮数学单元复习(新高考专用)(解析版)_02高考数学_新高考复习资料_2022年新高考资料_第05章 平面向量、复数
02卷第五章 平面向量、复数《真题模拟卷》-2022年高考一轮数学单元复习(新高考专用)(解析版)_02高考数学_新高考复习资料_2022年新高考资料_第05章 平面向量、复数

文档信息

文档格式
doc
文档大小
5.599 MB
文档页数
67 页
上传时间
2026-04-06 00:03:32

文档内容

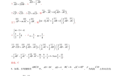
02卷第五章 平面向量、复数《真题模拟卷》 -2022 年高考一轮数学单元复习(新高考专用) 第I卷(选择题) 一、单选题 1.已知 中, , .若 ,则 的值为( ) A. B. C. D. 【答案】D 【分析】 以 为基底,表示出 ,再借助平面向量基本定理即可得解. 【详解】 中,以 基底,因 ,则 , 又 ,则 , ,而 , , 从而得 , 于是得 且 ,解得 , 所以 的值为1. 故选:D 2.已知非零向量 , 满足 , ,则向量 , 的夹角为( ). A.30° B.45° C.60° D.90° 【答案】C【分析】 根据题意,结合向量数量积的运算公式,即可求解. 【详解】 设向量 , 的夹角为 , 由 ,得 , 因 ,所以 ,即 , 又因 ,所以 . 故选:C. 3.如图,在 中, , , 为 上一点,且满足 ,若 , ,则 的值为( ) A. B. C. D. 【答案】C 【分析】 由 ∥ 可得 ,而 ,所以可得,从而有 ,求出 的值,从而可得 ,化简可得答案 【详解】 ∵ ,∴ , ∵ ∥ ,∴ ,即 , 又∵ ,则 , ∴ ,∴ , , . 故选:C 4.如图,在等腰梯形 中, , , , , 为线段 上的动点(包 括端点),则 的最小值为( ) A.8 B.12 C.20 D.30 【答案】C 【分析】设 ,利用 ,结合向量的数量积的运算,即可求解. 【详解】 如图所示,过点 作 ,垂足为 , 因为在等腰梯形 中, , 可得 , 设 , 可得 , 由二次函数的图象与性质,可得当 时, 取得最小值,最小值为 . 故选:C. 5.已知向量 ,满足 , , ,则向量 与 的夹角为( ) A. B. C. D. 【答案】C 【分析】 根据 ,得到 ,再利用向量的夹角公式求解. 【详解】 因为 , 所以 则 ,设向量 与 的夹角为 则 因为 所以 , 故选:C. 6.已知非零向量 满足 ,向量 的夹角为 ,且 ,则向量 与 的夹 角为( ) A. B. C. D. 【答案】B 【分析】 由 ,可得 ,利用数量积的运算性质分析可得 由向量垂直的性质即可得出 答案. 【详解】 因为 , 所以 ,所以 与 的夹角为 . 故选:B. 7.如图,在正六边形 中,向量 在向量 上的投影向量是 ,则 ( )A.1 B. C. D. 【答案】D 【分析】 正六边形的内角为 ,根据向量投影的概念求解即可. 【详解】 解:设正六边形的边长为 , ∵正六边形的内角为 , ∴向量 在向量 上的投影为 , 又向量 在向量 上的投影向量是 , ∴ , 故选:D. 8.已知 是 所在平面内一点, 为 边中点﹐且 ,那么( ) A. B. C. D. 【答案】B 【分析】 根据平面向量运算,结合点 是 的中点,化简运算. 【详解】 为 边中点, ∴ , ∵ , ∴ ,即 . 故选:B 9.若 ,则向量 与 的夹角为( ) A. B. C. D. 【答案】A 【分析】 根据已知条件先分析出 ,然后根据向量夹角的公式结合向量数量积以及模长关系求解出向量 与 的夹角的余弦值,则夹角可求. 【详解】 由 ,得 ,所以 , 整理得 .设 与 的夹角为 , 则 , 由已知 ,所以 , . 故选:A. 10.已知向量 , ,若 ,则实数 的值是( ) A. B. C.1 D.2 【答案】C 【分析】 ,由数量积的坐标运算列出方程即可.【详解】 , ,即 ,解得 . 故选:C. 11.若复数 满足 ,其中 为虚数单位,则 的虚部为( ) A. B. C. D. 【答案】A 【分析】 利用给定等式结合复数除法求出 即可得解. 【详解】 因 ,则 , 所以 的虚部为-2. 故选:A 12.若复数 满足 ( 为虚数单位),则 ( ) A. B. C. D. 【答案】C 【分析】 利用复数的除法运算化简 ,再结合共轭复数的定义即可求解. 【详解】 由题意得: , 所以 .故选:C. 13.复数 ( 为虚数单位)的虚部为( ) A. B. C. D. 【答案】C 【分析】 复数的分子、分母同乘分母的共轭复数,化简复数为 的形式,可得虚部. 【详解】 所以复数的虚部为: . 故选:C. 14.己知复数 ( 为虚数单位)为纯虚数,则实数 ( ) A.2 B. C. 或2 D. 【答案】A 【分析】 由于复数 为纯虚数,所以 ,从而可求出 的值 【详解】 解:因为复数 ( 为虚数单位)为纯虚数, 所以 , 由 ,得 或 , 由 ,得 且 ,所以 , 故选:A 15.若 ,则 ( ) A.6 B.8 C.10 D.12 【答案】C 【分析】 先化简复数z,再利用复数的模公式求解. 【详解】 因为 , 所以 . 故选:C 16.已知复数 , 为 的共轭复数,复数 ,则下列结论正确的是( ) A. 对应的点在复平面的第二象限 B. C. 的实部为1 D. 的虚部为 【答案】D 【分析】 先求出 ,再由复数的运算法则及几何意义直接求解判断即可. 【详解】 , ,所以 对应的点的坐标为 ,在复平面的第三象限, 且 , 的实部为 ,虚部为 , 故选:D. 17.已知复数 , ,则下列结论:①若 ,则 ;②若 ,则 ;③ ;④ ;⑤ 正确的个数为( ) A.1 B.2 C.3 D.4 【答案】A 【分析】 对于①②,举反例判断即可;对于③,等式左边是模一定非负,而右边是复数的积,不一定是实数;对于 ④,由复数的运算性质判断;对于⑤,等式左边是模一定非负,而右边是复数的积与和,不一定是实数 【详解】 ①错误,例如 , 满足 ,但 , ; ②错误,例如 , ,满足条件,但二者是虚数,不能比较大小; ③错误,等号左边结果一定是非负实数,等号右边未必是实数; ④正确,设 ,则 ,而 ,所以 , ⑤错误,类似于③,即等号左边结果一定是非负实数,等号右边未必是实数. 故选:A. 二、多选题 18.在菱形 中, , , , 分别为 , 的中点,则( )A. B. C. 在 方向上的投影向量的模为2 D. 【答案】ACD 【分析】 利用向量的线性运算可判断AB的正误,根据投影向量的定义计算后可判断C的正误,以 为基底 向量计算后可判断D的正误. 【详解】 对于A, ,故 ,故A正确. 对于B, ,故 ,故B错误. 对于C, 在 方向上的投影向量的模为 , 故C正确. 对于D, , 故D正确. 故选:ACD. 19.已知 的重心为 ,过 点的直线与边 , 的交点分别为 , ,若 ,且 与 的面积之比为 ,则 的可能取值为( ) A. B. C. D.3 【答案】BD 【分析】 设 ,利用重心的性质,把 用 、 表示,再由 , , 三点共线得关于 , 的 方程,再由三角形面积比得关于 , 的另一方程,联立即可求得实数 的值. 【详解】 解:如图, , ,即 ,设 , 则 , 三点共线, , , 所以 , 与 的面积之比为 , , 即 ,化简得 , 解得 或3. 故选:BD20.对于任意两个向量 和 ,下列命题中正确的是( ) A.若 , 满足| |>| |,且 与 反向,则 < B. C. D. 【答案】BD 【分析】 A. 根据平面向量不能比较大小判断.B. 根据平面向量的三角形法则判断.C.根据 平面向量的数量积定义判断. D. 根据平面向量的三角形法则判断. 【详解】 A选项.向量不能比较大小,选项A错误. B选项. 根据向量加法运算公式可知,当向量 和 不共线时,两边之和大于第三边,即 , 当 和 反向时, ,当 和 同向时, , 所以 成立,故B正确; C选项, ,选项C错误. D选项.当向量 和 不共线时,根据向量减法法则可知,两边之差小于第三边,即 当 和 反向时, , 当 和 同向且 时, ,当 和 同向且 时, ,所以选项D正确. 故选:BD 21.如图,B是AC的中点, ,P是平行四边形BCDE内(含边界)的一点,且 ,则下列结论正确的是( ) A.当P在C点时, , B.当 时, C.若 为定值1,则在平面直角坐标系中,点P的轨迹是一条线段 D.当P是线段CE的中点时, , 【答案】ACD 【分析】 利用三角形法则以及三点共线的性质和平面向量基本定理对应各个选项逐个求解即可. 【详解】 选项 :因为 为 的中点,则 , 所以 ,则 ,所以 , ,故 正确; 选项 :当 时,点 在线段 上,故 ,故 错误; 选项 :当 为定值1时, , , 三点共线,又 是平行四边形 内(含边界)的一点,故的轨迹是一条线段,故 正确; 选项 :当 是线段 的中点时, , 所以 ,故 正确, 故选: . 22.下列命题中正确的是( ) A.若 , 不共线, , ,则向量 , 可以作为一组基底 B. 中, ,则 使直角三角形 C.若 的内角A,B,C的对边分别为a,b,c,且 ,则 使等腰三角形 D.对于任意向量 , ,都有 【答案】BCD 【分析】 利用向量共线定理与平面向量的基底即可判断选项 ;由向量的线性运算及数量积运算即可判断选项 ; 由正弦定理及三角恒等变换即可判断选项 ;由向量的数量积运算即可判断选项 . 【详解】 对于 ,由 , ,可知 ,向量 与 共线, 故向量 , 不可以作为一组基底,故 错误; 对于 , 中, ,即 , 所以 ,即 ,故 是直角三角形,故 正确; 对于 ,因为 ,由正弦定理可得 ,又 , 所以 , 即 ,即 , 所以 ,即 ,所以 是等腰三角形,故 正确; 对于 ,对任意向量 , , , ,故 正确. 故选: . 23.下列说法错误的是( ) A.若点G为 的重心,则 B.若 ,则存在唯一实数 使得 C.已知 ,且 与 的夹角为锐角,则实数 的取值范围是 D.若非零向量 ,且 ,则 为等边三角形 【答案】BC 【分析】 A项,根据G为重心,得到 , , 求解判断; B 项,取 判断;C项,根据 与 的夹角为锐角,由 ,且不共线求解判断; D 项,根据 为与 同向的单位向量, 为与 同向的单位向量,由 , ,利用数量积判断.【详解】 A项,已知G为重心,则 , , , .故正确; B项,若 ,则实数 不唯一,故错误; C项,已知 ,且 与 的夹角为锐角, 可得 ,即 ,可得 ,解得 , 当 与 的夹角为0时, ,所以 , 所以 与 的夹角为锐角时, 且 ,故错误; D项,因为 为与 同向的单位向量, 为与 同向的单位向量,所以 表示 向量 , 角平分线所在的向量,根据 ,知向量 , 角平分线所在的 向量垂直于 ,所以为等腰三角形.根据 ,知 , 的夹角为 ,所以是等边 三角形.故正确; 故选:BC. 24. 中, , , ,在下列命题中,是真命题的有( ) A.若 且 ,则 为锐角三角形 B.若 ,则 为钝角三角形C.若 ,则 为等边三角形 D.若 ,则 为直角三角形 【答案】BD 【分析】 利用平面向量数量积与向量夹角的关系可判断AB选项的正误;利用平面向量数量积可得出 , 可判断C选项的正误;利用平面向量数量积的运算可得出 ,可判断D选项的正误. 【详解】 对于A选项, ,则 ,则角 为锐角, 同理,由 可知角 为锐角,但角 不一定是锐角,所以,A选项错误; 对于B选项, ,则 ,则角 为钝角,所以,B选项正确; 对于C选项, ,可得 ,即 , 即 ,故 ,故 为等腰三角形,C选项错误; 对于D选项, ,即 , 即 ,即 ,化简可得 ,故 , 即 为直角三角形,即D正确. 故选:BD. 25.已知点 在 所在平面内,下列说法正确的有( ) A.若 ,则 是 的外心 B.若 ,则 是 的重心C.若 ,则 是 的垂心 D.若 ,则 是 的内心 【答案】ABC 【分析】 A.由 ,得到 判断; B.设AB的中点为D,得到 ,再 根据 ,利用共线向量定理判断; C. 根据 ,利用向量的 数量积运算判断; D. 由 ,转化为 化简判断. 【详解】 A. 因为 ,所以 ,所以 是 的外心,故正确; B. 如图所示: 设AB的中点为D,所以 ,因为 , 所以 ,所以 是 的重心,故正确; C. 因为 ,所以 ,则 ,同理 ,所以 是 的垂心,故正确; D. ,所以 即,则 ,得不出 是 的内心,故错误; 故选:ABC 26.窗花是贴在窗纸或窗户玻璃上的剪纸,是中国古老的传统民间艺术之一.每年新春佳节,我国许多地 区的人们都有贴窗花的习俗,以此达到装点环境、渲染气氛的目的,并寄托着辞旧迎新、接福纳祥的愿望. 图一是一张由卷曲纹和回纹构成的正六边形剪纸窗花,已知图二中正六边形 的边长为4,圆O 的圆心为正六边形的中心,半径为2,若点P在正六边形的边上运动, 为圆O的直径,则 的取值可能是( ) A.4 B.6 C.8 D.12 【答案】CD 【分析】 根据 ,由 求解. 【详解】 , , , , 因为 ,所以 的取值范围是 . 故选:CD 27.复数 ,则下列结论正确的是( ) A. 的虚部为 B. 在复平面内对应的点位于第一象限 C. D.若 ,则 【答案】BD 【分析】 根据复数的除法运算化简复数 ,再由复数的概念逐一判断可得选项. 【详解】 由题意得 , 对于A: 的实部为3,虚部为1,故A不正确; 对于B: 所对应的点为 ,在第一象限,故B正确; 对于C: ,故C不正确; 对于D:若 ,由几何意义得复数 所对应的点到 点处的距离为 ,所以复数z的 轨迹是以 为圆心, 为半径的圆,并且该圆过原点, 设 ,即 ,则 ,故D正确, 故选:BD. 28.已知复数 满足 ,则下列关于复数 的结论正确的是( ) A. B.复数 的共轭复数为C.复平面内表示复数 的点位于第四象限 D.复数 是方程 的一个根 【答案】AD 【分析】 利用复数代数形式的乘除运算化简 ,然后逐一分析四个选项得答案. 【详解】 解:因为 ,所以 所以 , 复平面内表示复数 的点的坐标为 ,位于第二象限; , 复数 是方程 的一个根. 故选:AD. 29.若复数 满足 ,则( ) A. B. C. D. 【答案】BC 【分析】 根据复数的模和复数的乘除运算求出复数 ,然后再逐一判断各个选项即可. 【详解】 解:因为 , 所以 ,故A错误; ,故B正确; ,故C正确; ,故D错误. 故选:BC.30.已知复数 ,则下列命题正确的是( ) A. 的虚部为 B. C. D. 在复平面内对应的点位于第三象限 【答案】AC 【分析】 把 化简为 即可判断. 【详解】 , , , , 故选:AC. 31.已知复数 在复平面内对应的点为P,则( ) A.P在第二象限 B.P在第四象限 C. D.z的虚部为 【答案】AC 【分析】 根据复数的运算,求得 ,结合复数的几何意义和共轭复数的概念,以及复数的基本概念,逐项 判定,即可求解. 【详解】 由题意,复数 , 所以其对应的点 位于第二象限,所以A正确,B错误; 由复数 的虚部为 ,所以D错误; 又由共轭复数的概念,可得 ,所以C正确. 故选:AC第II卷(非选择题) 三、填空题 32.已知正六边形 ,若 , ,则 用 , 表示为________. 【答案】 【分析】 根据向量加法的三角形法则,即可求解 【详解】 如图, , 故答案为: 33.已知向量 满足 若对任意实数x都有 ,则 的最 小值为_________. 【答案】 【分析】 将对任意实数x都有 成立,转化为对任意实数x都有 成立,利用判别式法求得 ,再由 ,利用二次函数法求解. 【详解】 因为对任意实数x都有 成立, 所以对任意实数x都有 成立, 因为 , 即对任意实数x都有 成立, 所以 , 即 , 解得 , 所以 , , , 当 时,取得最小值 . 故答案为: 34.已知向量 、 的夹角为 , ,且对于任意的 ,都有 ,则 ___________. 【答案】 【分析】 将 两边同时平方整理为关于 的一元二次不等式,结合数量积的定义由 即可求解. 【详解】由 可得 ,即 , 由数量积的定义整理可得: , 即 即 对于任意的 恒成立, 所以 , 即 , ,解得 , 故答案为: . 35.在等腰梯形 中, , , 是腰 上的动点,则 的最小值为______________. 【答案】 【分析】 以 为原点,射线 为 轴正半轴建立直角坐标系,用坐标表示出 ,即可求出. 【详解】 解:以 为原点,射线 为 轴正半轴建立直角坐标系,如图所示,因为 ,过点 作 交 于点 ,所以 , 所以 ,即 , 所以 , ,设 ,其中 , , , , , 当 时, 取最小值 . 故答案为: . 36.若向量 , 满足 , , ,则 与 的夹角为_________.【答案】 【分析】 由向量夹角公式直接求解即可. 【详解】 , 夹角为 , 故答案为: . 37.已知向量 , 满足 , ,且 ,则 的值为______. 【答案】2 【分析】 由已知得 ,即 ,两边取模可得 ,然后利用坐标运算求得 ,结合 得解. 【详解】 ∵ ,∴ , ∴ ,∴ , ∵ ,∴ . 又∵ ,∴ . 故答案为:2. 38.已知向量 , , ,若 ,则实数 ______. 【答案】﹣8 【分析】结合向量共线的坐标表示即可. 【详解】 因为 , , 所以 , 解得 . 故答案为:-8 39.已知非零向量 满足 ,且 ,则向量 的夹角是_______. 【答案】 【分析】 由向量垂直得到 ,即可得到 ,再根据 及 计算可得; 【详解】 解:因为 ,所以 ,即 ,所以 . 因为 ,所以 ,因为 ,所以 . 故答案为: 40.已知非零向量 满足 ,且 ,则 与 的夹角的余弦值为_______. 【答案】 【分析】 根据向量垂直,数量积为0,再由向量夹角公式,以及题中条件,即可得出结果. 【详解】 设 的夹角为 ,故答案为: 41.已知 为单位向量,平面向量 , 满足 ,则 的最小值为________. 【答案】 【分析】 取单位向量 ,以点 为圆心,1为半径作圆,在圆周上任取两点 、 ,令 , , 由此表示单位向量, ,计算 的取值范围. 【详解】 解:取单位向量 ,以点 为圆心,1为半径作圆,在圆周上任取两点 、 , 令 , ,如图所示;设 ,则 , ; 作圆 的垂直于 的切线分别交直线 于 、 两点, 易得 , , ; 所以 ,当且仅当 时等号成立; , 当且仅当 时等号成立,即 ;综上知, 的取值范围是 , . 故答案为: . 42.若向量 , , ,则 _______. 【答案】 【分析】 由向量垂直关系的坐标表示可构造方程求得 ,进而求得 ,由向量模长运算可求得结果. 【详解】 , , , 解得: , , , . 故答案为: . 43.在边长为2的正 中,点D在边 上,点E是 中点,若 ,则 ______. 【答案】 【分析】 设 , , ,把 用 表示,计算数量积可得 . 【详解】设 , , ,则 , ,则 故 ,即 . 故答案为: . 44.己知复数 , 满足 , ,若 ( 为虚数单位),则 ______. 【答案】 【分析】 设 , 所对应的向量为 , ,依题意可得 ,再根据平面向 量数量积的运算律得到 ,最后根据 计算可得; 【详解】 解:设 , 所对应的向量为 , , , , , 因为 , , , , , ,所以 ,所以 所以故答案为: 45.已知 个两两互不相等的复数 、 、 、 、 、 ,满足 ,且 (其中 、2; 、1、2、 、 ),则 的最大值为_______ 【答案】5 【分析】 设 , ( ),从而可得 ,即 、 对应平面内 距离为 的点,从而利用数形结合求解. 【详解】 设 , ( ), , , 即 ,即 , 故 、 对应平面内距离为 的点,如图 、 , , 与 、 对应的点的距离为 或 ,构成了点 、 、 、 、 共 个点, 故 的最大值为 , 故答案为: . 46.已知 为虚数单位,若复数 , 为 的共轭复数,则 等于___________. 【答案】 【分析】 根据共轭复数求出 ,再根据复数的运算性质即可得出答案. 【详解】 解: , . 故答案为: . 47.已知复数 , ,则 ___________. 【答案】1 【分析】 根据复数模的计算公式,直接计算,即可得出结果. 【详解】 ∵ , ,∴ . 故答案为:1. 48.已知实数 满足 (i是虚数单位), ,则实数 的值为_______. 【答案】 【分析】 利用复数的乘法与复数相等可得出关于 、 的方程组,即可解得实数 的值. 【详解】由 ,故有 ,所以, ,故 . 故答案为: . 四、双空题 49.已知点 是边长为4的正方形 内部(包括边界)的一动点,点 是边 的中点,则 的最大值是______; 的最小值是______. 【答案】 【分析】 由 ,取 中点 ,连接 ,取 的中点为 ,连接 , 根据 ,即可求解. 【详解】 由 ,当点 与点 重合时等号成立; 如图所示,取 中点 ,连接 ,取 的中点为 ,连接 , 则 , 又因为点 为正方形 内部(包括边界)一动点, 所以 ,当点 与点 重合时,取得最小值 . 故答案为: ; . 50.如图,在平面直角坐标系 中,矩形 的顶点A,B分别在x轴非负半轴和y轴的非负半轴上 滑动,顶点C在第一象限内, ,设 .若 ,则点C的坐标为________; 若 ,则 的最大值为__________ 【答案】 【分析】 分别过点 作 、 轴的垂线,垂足点分别为 、 ,过点 分别作 、 轴的垂线,垂足点分别为 、 ,设点 、 ,根据锐角三角函数的定义可得出点 、 的坐标,然后利用平面向量数量积的坐标运算和二倍角的正弦公式可求出 的取值范围. 【详解】 分别过点 作 、 轴的垂线,垂足点分别为 、 ,过点 分别作 、 轴的垂线,垂足点分别为 、 ,如下图所示: 则 ,设点 、 , 则 , , , . 当 时, , ,则点 ; 由上可知, , , 则 , 因此, 的取值范围是 . 故答案为: ; . 51.在边长为1的等边三角形ABC中,D为线段BC上的动点, 且交AB于点E. 且交AC于点F,则 的值为____________; 的最小值为____________.【答案】1 【分析】 设 ,由 可求出;将 化为关于 的关系式 即可求出最值. 【详解】 设 , , 为边长为1的等边三角形, , , , 为边长为 的等边三角形, , , , , 所以当 时, 的最小值为 . 故答案为:1; .52.已知单位向量 与 ,满足 ,则 与 的夹角为__________;若向量 满足 ,则 的取值范围是__________. 【答案】 ; [1,2]. 【分析】 依题意求得 ,进而可得 ,从而可得 与 的夹角;将 平方可得 ,结合 可得 的取值范围. 【详解】 依题意知 ,由 得 ,解得 ,则 , 又 ,所以 ; 将 平方,得 ,因为 ,所以 . 故答案为:① ;② . 53.已知四边形 , , , ,且 ,(i) ___________;(ii)若 ,动点 在线段 上,则 的最大值为___________.【答案】 【分析】 利用向量的数量积可得 ,过点 作 的垂线,垂足为 ,可得 ,进而可得 ,求出 ;以 为坐标原点, 为 建立平面直角坐标系,首先求出点 坐标,设 ,利用向量共线求出 ,再由向量数量积的坐标运算即可求解. 【详解】 由 ,则 , 因为 ,所以 , 过点 作 的垂线,垂足为 ,可得 , 因为 ,所以 , 由 ,所以 . 以 为坐标原点, 为 建立平面直角坐标系,如图:则 , ,设 由 ,即 , 解得 ,即 , 设 , , , 则 , , 因为 三点共线, 所以 ,即 , , , 所以 , 当 时, 取得最大值为 . 故答案为: ; 54.已知 , 夹角为120°, , . 与 夹角为150°,如图所示位置 ,若 , ___________, ___________.【答案】 2 【分析】 以 所在的直线为 轴建立平面直角坐标系,然后根据已知条件求出向量 , , 的坐标,代入解方程 求出 和 . 【详解】 如图所示,以 所在的直线为 轴建立平面直角坐标系, 设 , , 的终点坐标为 , , , 则 ,所以 , 因为 ,且 与 的夹角为120°,则 与 轴的夹角为30°, 所以 ,所以 ,又 ,且 与 的夹角为150°,则 与 轴的夹角为60°, 所以 ,所以 , 所以由 可得: , 所以 ,解得 , , 故答案为: ,2. 【点睛】 向量的基本运算处理的常用方法: (1)向量几何化:画出合适的图形,利用向量的运算法则处理; (2)向量坐标化:建立适当的坐标系,利用向量的坐标运算处理. 55.为了解决“一元二次方程 中 无实根”的问题,瑞 士数学家欧拉于 年引入了一个新数“ ”,使“ ”,于是在 时也有求根公式:“ ”,从而解决了 世纪意大利数学家卡丹在其著作《大术》中提出的问题:“将 分成 两个数,使它们的乘积等于 ”,则这两个数分别为:_________,__________. 【答案】 【分析】 设这两个数分别为 、 ,可得出这两个数为方程 的两根,解此方程即可得解. 【详解】 设这两个数分别为 、 ,由题意可得 , , 所以, 、 为关于 的方程 ,即 ,即方程的两根,其中 , 由求根公式可得 ,可取 , . 故答案为: ; . 56.设复数 满足 ( 是虚数单位),则 ______, 的虚部为______. 【答案】 【分析】 直接利用复数代数形式的乘除运算化简,即可求出 ,然后利用复数虚部的概念得答案. 【详解】 解:因为 , 所以 , 所以 , 的虚部为 . 故答案为: ; . 57.若 ( 为虚数单位),则 ___________, 的虚部为___________. 【答案】 1 【分析】 由 ,利用复数代数形式的乘除运算化简复数 得 ,则 的模及共轭复数的虚部可求. 【详解】由 , 得 , 则 则 的虚部为: . 故答案为: ,1. 五、解答题 58.设向量 , , . (1)若向量 ,求 . (2)若向量 与向量 的夹角为 ,求 . 【答案】(1) ;(2) 或 . 【分析】 (1)利用向量共线的坐标形式可求 的值. (2)求出 的坐标,利用夹角公式可求 的值. 【详解】 (1) , 因为 ,故 ,解得 . (2)由(1)可得 , 因为 与向量 的夹角为 ,故 ,解得 或 . 59.已知向量 , 满足 , , . (1)求 与 夹角 的余弦值; (2)若 与 的夹角为锐角,求实数 的取值范围. 【答案】(1) ;(2) . 【分析】 (1)利用平面向量数量积运算法则结合已知求出 即可得解; (2)先求出 ,然后由此数量积大于0及 与 不共线即可作答. 【详解】 (1)因 , ,则 ,即有 , 所以 ; (2)由(1)知 , 因 与 的夹角为锐角,于是得 且 与 不共线, 从而得 ,即 , 当 与 共线时, ,即 ,而 与 不共线,则 , 于是有 且 ,所以实数 的取值范围是 . 60.如图所示,在 中,已知 , , , 为 边上的高. (1)求 ; (2)设 ,其中 , ,求 的值. 【答案】(1) ;(2) . 【分析】 (1) ,根据平面向量数量积的运算法则求解即可; (2)根据平面向量基本定理,由于 三点共线,所以 ,再结合 , ,得出 的关系式,从而求得 的值,即可求出 的值. 【详解】 解:(1)因为 , , , , 所以 ; (2)因为 ,所以 ,即 , 所以 , , 所以 ,即 , 因为 三点共线,所以 , 所以 所以: . 61.在 中, ,设 ( 、 为实数). (1)求 , 的值; (2)若 , ,求 . 【答案】(1) , ;(2)6. 【分析】 (1)利用向量的减法法则可得 ,化简即可求得结果; (2)由(1)求得 , ,利用数量积公式计算即可. 【详解】 (1) , ∴ ,则 , , . (2)由(1)得 , ,. 62.如图,在 中,点P为线段AB上的一个动点(不包含端点),且满足 . (1)若 ,用向量 , 表示 ; (2)若 ,且 ,求 的取值范围. 【答案】(1) ;(2) . 【分析】 (1)根据向量的线性运算法则即可求出. (2)根据向量的加减的几何意义,得到 ,即可求出范围. 【详解】 (1)若 ,则 , , , 则 .(2) , , , , ,且 , . , , 的取值范围为 . 63.已知向量 , ,若 与 的夹角为 . (1)求 ; (2)向量 与 互相垂直,求实数 的值. 【答案】(1) ;(2) . 【分析】(1)首先求出 ,再根据 计算可得; (2)依题意可得 ,根据平面向量数量积的运算律计算可得; 【详解】 (1)因为 , , 与 的夹角为 . 所以 所以 (2)因为向量 与 互相垂直, 所以 , 所以 所以 , 64.已知点O,A,B,C的坐标分别为 . (1)若 ,求实数t的值; (2)是否存在实数t,使得 成立?解释你所得结论的几何意义. 【答案】(1) ;(2)不存在,向量 与 不平行. 【分析】 (1)求出 和 的坐标,根据 向量垂直的坐标运算可得答案; (2)设存在实数t,由 的坐标运算可得答案. 【详解】(1)因为 , = , , 所以 ,所以 . (2)设存在实数t,使得 ,则 , 所以 , 从而 ,此方程组无解, 故不存在这样的实数t,使 ,即 成立, 说明向量 与 不平行. 65.如图,在 中,已知 ,且 , , . (1)求 ; (2)设 与 交于点 ,求 的余弦值大小. 【答案】(1)16;(2) . 【分析】 (1)结合平面向量的数量积的运算律以及线性运算可以求出 ,进而,即可求出结果; (2)结合平面向量的线性运算以及数量积的运算律可得 ,然后带入平面向量的夹角公式 即可求出结果. 【详解】 解:(1)因为 , 所以 所以 因为 ,所以 所以 ; (2)因为 ,所以 ,而 , 所以 , 所以 . 66.如图,在 中, , , , 分别为 , 的中点, 为 与 的交点, 且 .(1)试用 , 表示 ; (2)若 , , ,求 . 【答案】(1) ;(2) . 【分析】 (1)依题意首先表示出 ,再根据重心的性质得到 ,即可得解; (2)首先根据平面向量数量积的定义求出 ,再表示出 ,最后根据向量数量积的运算律计算可得; 【详解】 解:(1)因为 . 因为点 为 的重心,所以 . (2)因为 , , ,所以 . 又因为 ,所以 . . 67.已知 , , .(1)若 ,求 的值; (2)设 ,若 ,求 , 的值. 【答案】(1) ;(2) , . 【分析】 (1)根据题意可得 , ,见模平方,即可求得 ,即可得答案. (2)根据题意,可得 , ,根据 ,代入化简,即可得 , 的值,根据 的范围,即可得答案. 【详解】 (1)∵ , , ∴ , ∵ ,∴ , ∴ , ∴ . (2)∵ , ∴ , , ∴ , ∴ , 解得 , ∴ ,∵ ,∴ , . 68.在平行四边形 中, . (1)用 表示 ; (2)若 ,求 ; (3)若 ,求 . 【答案】(1) , ;(2) ;(3) . 【分析】 (1)由题向量的线性运算法则,结合三角形法,即可求解; (2)由 , 列出方程组,即可求解; (3)由题意求得 ,又由 ,即可求解. 【详解】 (1)由题向量的线性运算法则,可得 , . (2)因为 ,且 可得 ,所以 ,解得 . (3)因为 ,所以 , 则 . 69.我们知道,对一个量用两种方法分别计算一次,由结果相同则可以构造等式解决问题,这种思维方法 称为“算两次”原理,又称“富比尼原理”,是一种重要的数学思想.例如:如图甲,在 中,D为 的中点,则 ,两式相加得 ,因为D为 的中点,所以 ,于是 .请用“算两次”的方法解决下列问题: (1)如图乙,在四边形 中,E,F分别为 的中点,证明: . (2)如图丙,在四边形 中,E,F分别在边 上,且 , , , , 与 的夹角为 ,求 . 【答案】(1)证明见解析;(2) . 【分析】(1)分别在在四边形 、四边形 中表示向量 ,两式相加再结合相反向量的和为 ,即可 求证; (2)利用已知条件中的“算两次”原理将 用 和 表示,再利用数量积的定义运算即可求解. 【详解】 (1)证明:在四边形 中, ,① 在四边形 中, ,② 由①+②,得 . 因为E,F分别为 的中点,所以 , 于是 . (2)解:在四边形 中, ①, 在四边形 中, ②, 由 , ,得 , 由 ,得 . 所以 . 70.已知 为虚数单位,复数 ,且 为纯虚数.(1)求 及 ; (2)若 ,求 的模. 【答案】(1) , ;(2) . 【分析】 (1)利用复数的乘法运算计算 ,再根据纯虚数的定义可得 的值,即可求解; (2)利用复数的除法运算化简 ,再利用模长公式即可求解. 【详解】 (1) , 因为 为纯虚数,所以 可得 , 所以 , , (2)由(1)知: , 所以 的模为 . 71.己知 , 、 是关于 的方程 的两根. (1)若 ,求 的值; (2)用 表示 . 【答案】(1) 或3;(2) . 【分析】(1)由 、 是关于 的方程 的两根.可得 , ,对 , 分为实数, 与一对共轭虚根即可得出. (2)不妨设 ,对 及其判别式分类讨论,利用根与系数的关系即可得出. 【详解】 解:(1) 、 是关于 的方程 的两根. , , 若 , 为实数,即 ,解得 时; 则 , 解得 . 若 , 为一对共轭复数,即 ,解得 时; 则 , 解得 . 综上可得: 或3. (2)因为 ,不妨设 . ,即 时,方程有两个实数根. , , 时, . 时, 与 必然一正一负,则 . ,即 时,方程有一对共轭虚根.综上可得: . 72.(1)计算: . (2)若复数z满足方程: ( 为虚数单位),求 和 . 【答案】(1) ;(2) 或 , . 【分析】 (1)由复数的运算法则逐步运算即可得解; (2)设 ,由复数的运算法则及相等的条件即可得解. 【详解】 (1) . (2)设 , 则 , , 即 ,或 , 故 或 ,所以 . 73.设复数 (其中 , ), , (其中 ).(1)设 ,若 ,求出实数 的值; (2)若复数 满足条件:存在实数 ,使得 与 是某个实系数一元二次方程的两个虚数根,求符合条 件的复数 的模的取值范围. 【答案】(1) ;(2) . 【分析】 (1)用k表示出复数 ,再根据给定条件列式计算即可; (2)利用实系数一元二次方程的两个虚根的关系列式分类讨论即可求解. 【详解】 (1) , , 因 ,则 ,即 ,解得 , 所以实数 的值为 ; (2) , , 因 与 是某个实系数一元二次方程的两个虚数根,则 , 互为共轭复数,即 , 若 时,则有 ,此时 , 为零,不合题意, 若 时,则 , ,整理得 ,由 ,得 而 ,即 , , 所以复数 的模的取值范围是 . 74.已知复数 满足 , 的实部大于0, 的虚部为2.(1)求复数 (2)设复数 , , 在复平面上对应的点分别为A,B,C,点 满足 和 共线,求 的 值. 【答案】(1) ;(2) . 【分析】 (1)由已知结合复数的模长公式及复数的概念即可求解; (2)结合复数的几何意义可求 的坐标,然后结合向量共线的坐标表示可求. 【详解】 (1)设 ,( 为实数), 由 得 , 因为 的实部 大于 , 的虚部 , 所以 ,所以 , 所以 ; (2) , , 所以 , 因为 和 共线, , 所以 ,所以 . 75.已知复数 , , . (1)若 为实数,求角 的值; (2)若复数 , 对应的向量分别是 , ,存在 使等式 成立,求实数 的取值范围. 【答案】(1) ;(2) 或 . 【分析】 (1)首先根据复数三角形式的乘法运算化简,再根据复数的类型得到方程,解得即可; (2)首先表示出 、 的坐标,即可得到 , ,再根据平面向量数量积的运算律得到 ,参变分类,根据正弦函数的性质得到 ,解得即可; 【详解】 解:(1) , 为实数 ∴ , 又 ,所以 ,∴ ,即 . (2)因为 , ,所以 , ,所以 , . 得 , 整理得 .因为 ,所以 .只要 即可, 解得 或 . 76.已知复数 ( 是虚数单位)是关于x的实系数方程 在复数范围内的一个根. (1)求p+q的值; (2)复数 满足 是实数,且 ,求复数 . 【答案】(1)0;(2) 或 . 【分析】 (1)结合复数范围内,实系数一元二次方程的两根互为共轭复数,再利用韦达定理即可求出 , 进而求出结果; (2)复数 (a,b R),根据题意得到方程组 ,解之即可求出结果. 【详解】 (1)因为在复数范围内,实系数方程 +px+q=0的两个根是互为共轭复数的, 所以实系数方程 +px+q=0在复数范围内的另一个根是 , 结合韦达定理得 , 解得 ,所以p+q=0; (2)设复数 (a,b R), 所以 , 因为 实数,所以 ,即 ,又因为 ,所以 , 联立 ,解得 或 , 因此复数 或 .