当前位置:首页>文档>专题17.9勾股定理的逆定理(分层练习)(提升练)-(人教版)_初中数学_八年级数学下册(人教版)_专题突破练习-V4

专题17.9勾股定理的逆定理(分层练习)(提升练)-(人教版)_初中数学_八年级数学下册(人教版)_专题突破练习-V4

  • 2026-04-06 07:13:58 2026-04-06 07:12:26

文档预览

专题17.9勾股定理的逆定理(分层练习)(提升练)-(人教版)_初中数学_八年级数学下册(人教版)_专题突破练习-V4
专题17.9勾股定理的逆定理(分层练习)(提升练)-(人教版)_初中数学_八年级数学下册(人教版)_专题突破练习-V4
专题17.9勾股定理的逆定理(分层练习)(提升练)-(人教版)_初中数学_八年级数学下册(人教版)_专题突破练习-V4
专题17.9勾股定理的逆定理(分层练习)(提升练)-(人教版)_初中数学_八年级数学下册(人教版)_专题突破练习-V4
专题17.9勾股定理的逆定理(分层练习)(提升练)-(人教版)_初中数学_八年级数学下册(人教版)_专题突破练习-V4
专题17.9勾股定理的逆定理(分层练习)(提升练)-(人教版)_初中数学_八年级数学下册(人教版)_专题突破练习-V4
专题17.9勾股定理的逆定理(分层练习)(提升练)-(人教版)_初中数学_八年级数学下册(人教版)_专题突破练习-V4
专题17.9勾股定理的逆定理(分层练习)(提升练)-(人教版)_初中数学_八年级数学下册(人教版)_专题突破练习-V4
专题17.9勾股定理的逆定理(分层练习)(提升练)-(人教版)_初中数学_八年级数学下册(人教版)_专题突破练习-V4
专题17.9勾股定理的逆定理(分层练习)(提升练)-(人教版)_初中数学_八年级数学下册(人教版)_专题突破练习-V4
专题17.9勾股定理的逆定理(分层练习)(提升练)-(人教版)_初中数学_八年级数学下册(人教版)_专题突破练习-V4
专题17.9勾股定理的逆定理(分层练习)(提升练)-(人教版)_初中数学_八年级数学下册(人教版)_专题突破练习-V4
专题17.9勾股定理的逆定理(分层练习)(提升练)-(人教版)_初中数学_八年级数学下册(人教版)_专题突破练习-V4
专题17.9勾股定理的逆定理(分层练习)(提升练)-(人教版)_初中数学_八年级数学下册(人教版)_专题突破练习-V4
专题17.9勾股定理的逆定理(分层练习)(提升练)-(人教版)_初中数学_八年级数学下册(人教版)_专题突破练习-V4
专题17.9勾股定理的逆定理(分层练习)(提升练)-(人教版)_初中数学_八年级数学下册(人教版)_专题突破练习-V4
专题17.9勾股定理的逆定理(分层练习)(提升练)-(人教版)_初中数学_八年级数学下册(人教版)_专题突破练习-V4
专题17.9勾股定理的逆定理(分层练习)(提升练)-(人教版)_初中数学_八年级数学下册(人教版)_专题突破练习-V4
专题17.9勾股定理的逆定理(分层练习)(提升练)-(人教版)_初中数学_八年级数学下册(人教版)_专题突破练习-V4
专题17.9勾股定理的逆定理(分层练习)(提升练)-(人教版)_初中数学_八年级数学下册(人教版)_专题突破练习-V4
专题17.9勾股定理的逆定理(分层练习)(提升练)-(人教版)_初中数学_八年级数学下册(人教版)_专题突破练习-V4
专题17.9勾股定理的逆定理(分层练习)(提升练)-(人教版)_初中数学_八年级数学下册(人教版)_专题突破练习-V4
专题17.9勾股定理的逆定理(分层练习)(提升练)-(人教版)_初中数学_八年级数学下册(人教版)_专题突破练习-V4
专题17.9勾股定理的逆定理(分层练习)(提升练)-(人教版)_初中数学_八年级数学下册(人教版)_专题突破练习-V4
专题17.9勾股定理的逆定理(分层练习)(提升练)-(人教版)_初中数学_八年级数学下册(人教版)_专题突破练习-V4
专题17.9勾股定理的逆定理(分层练习)(提升练)-(人教版)_初中数学_八年级数学下册(人教版)_专题突破练习-V4
专题17.9勾股定理的逆定理(分层练习)(提升练)-(人教版)_初中数学_八年级数学下册(人教版)_专题突破练习-V4
专题17.9勾股定理的逆定理(分层练习)(提升练)-(人教版)_初中数学_八年级数学下册(人教版)_专题突破练习-V4
专题17.9勾股定理的逆定理(分层练习)(提升练)-(人教版)_初中数学_八年级数学下册(人教版)_专题突破练习-V4
专题17.9勾股定理的逆定理(分层练习)(提升练)-(人教版)_初中数学_八年级数学下册(人教版)_专题突破练习-V4
专题17.9勾股定理的逆定理(分层练习)(提升练)-(人教版)_初中数学_八年级数学下册(人教版)_专题突破练习-V4
专题17.9勾股定理的逆定理(分层练习)(提升练)-(人教版)_初中数学_八年级数学下册(人教版)_专题突破练习-V4
专题17.9勾股定理的逆定理(分层练习)(提升练)-(人教版)_初中数学_八年级数学下册(人教版)_专题突破练习-V4
专题17.9勾股定理的逆定理(分层练习)(提升练)-(人教版)_初中数学_八年级数学下册(人教版)_专题突破练习-V4
专题17.9勾股定理的逆定理(分层练习)(提升练)-(人教版)_初中数学_八年级数学下册(人教版)_专题突破练习-V4

文档信息

文档格式
docx
文档大小
3.113 MB
文档页数
31 页
上传时间
2026-04-06 07:12:26

文档内容

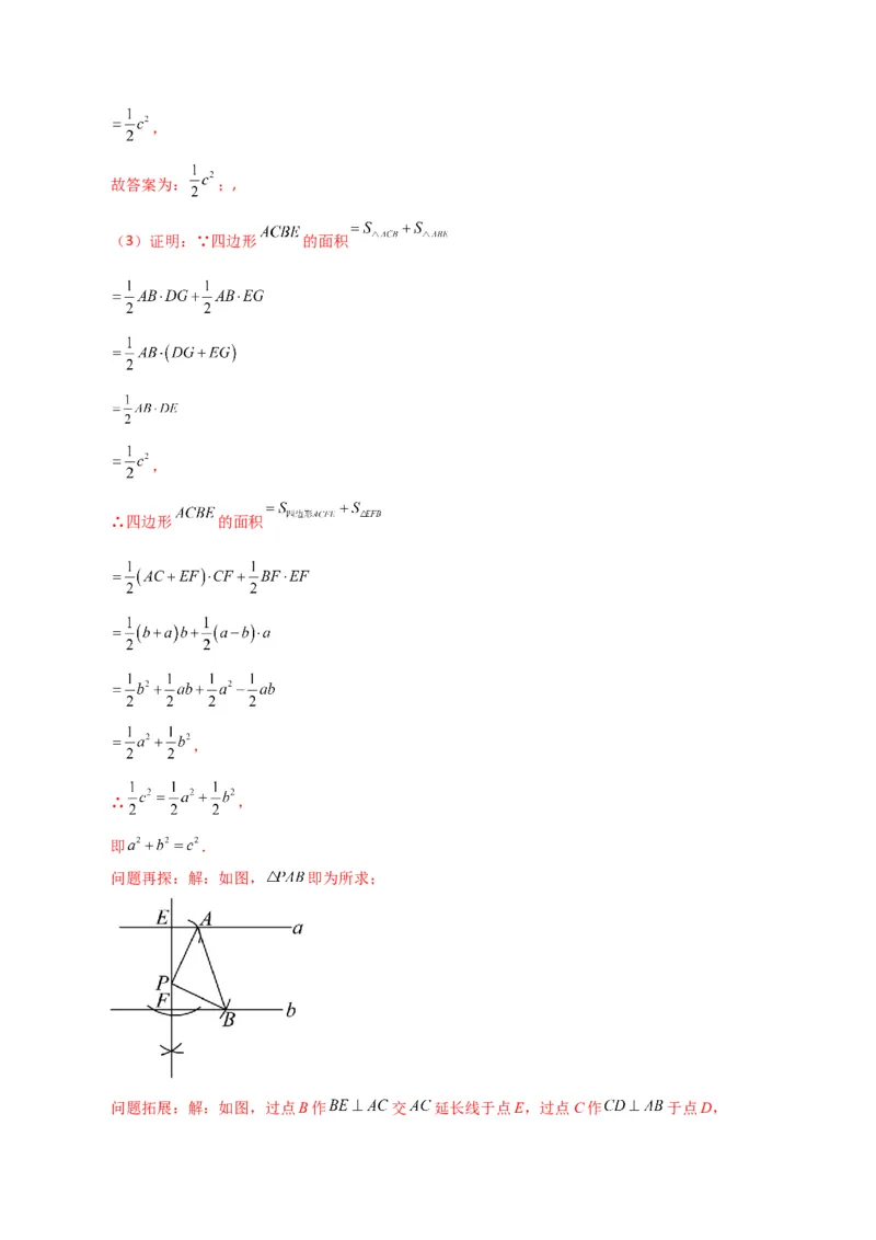
专题17.9 勾股定理的逆定理(分层练习)(提升练) 一、单选题(本大题共10小题,每小题3分,共30分) 1.(2021下·黑龙江绥化·六年级期末)有3cm,4cm,5cm和9cm的小棒各一根,从中选出三根恰好 可以围成一个直角三角形,这个直角三角形的面积是( ) A.6 B.10 C.7.5 D.13.5 2.(2019下·八年级单元测试)在平面直角坐标系中,点A的坐标为(1,1),点B的坐标为(11, 1),点C到直线AB的距离为5,且△ABC是直角三角形,则满足条件的C点有( ) A.4个 B.5个 C.6个 D.8个 3.(2023上·贵州贵阳·八年级校考阶段练习)如图是由6个边长相等的正方形组成的网格,则 ( ) A. B. C. D. 4.(2022上·广东佛山·八年级佛山市华英学校校考期中)如图,在以下四个正方形网格中,各有一个 三角形,不是直角三角形的是( ) A. B. C. D. 5.(2023上·上海徐汇·八年级校联考阶段练习)如图,在四边形 中, , , , ,且 ,下列结论中:① ;② ;③ ;④ .其中正确的结论是( )A.② B.①② C.①④ D.①③④ 6.(2023上·浙江嘉兴·九年级校考开学考试)已知 中,角A,B,C的对边分别为a,b,c,且 满足 ,则 的面积为( ) A. B. C. D. 7.(2023下·河北衡水·九年级校考期中)如图,点 在 内部,点 与点 关于 对称,点 与点 关于 对称.甲、乙两位同学各给出了自己的说法:甲:若 ,则 是等边三角形; 乙:若 ,则 .对于两位同学的说法,下列判定正确的是( ) A.甲正确 B.乙正确 C.甲、乙都正确 D.甲、乙都错误 8.(2022下·辽宁营口·八年级统考期中)甲、乙两艘客轮同时离开港口,航行的速度都是 , 甲客轮沿着北偏东 的方向航行, 后到达小岛 ,乙客轮 到达小岛 .若 , 两岛的直线距离为 ,则乙客轮离开港口时航行的方向是( ) A.北偏西 B.南偏西 C.南偏东 或北偏西 D.南偏东 或北偏西 9.(2018上·重庆沙坪坝·八年级重庆八中校考期中)如图,在四边形ABCD中,AB=BC=2,CD=1,AD=3,∠ABC=90°,则四边形ABCD的面积为( ) A. B.4 C.1 D.2 10.(2019上·河南洛阳·八年级偃师市实验中学校考阶段练习)下列说法正确的是( ) A.在直角三角形中,已知两边长为3和4,则第三边长为5 B.三角形为直角三角形,三角形的三边长为a,b,c,则满足a2-b2=c2 C.以任意三个连续自然数为三边长都能构成直角三角形 D.在△ABC中,若∠A∶∠B∶∠C=1∶5∶6,则△ABC为直角三角形 二、填空题(本大题共8小题,每小题4分,共32分) 11.(2023上·四川达州·八年级校考期末)在 中, , , ,则 . 12.(2023上·江苏无锡·八年级无锡市江南中学校考期中)若a、b、c是 的三边,且 ,则 最大边上的高是 . 13.(2023上·江苏淮安·八年级统考期中)如图,在 的网格中, . 14.(2023上·江苏连云港·八年级校考期中)如图, 中, , , .将 沿射线 折叠,使点 与 边上的点 重合, 为射线 上一个动点,当 周长最小时, 的 长为 .15.(2023下·浙江宁波·八年级校考期末)如图,正方形 的面积是169平方厘米,正方形 面积是144平方厘米,正方形 的面积是25平方厘米,则阴影四边形 的面积是 平方厘米. 16.(2023下·黑龙江大庆·八年级校考期末)笔直的河流一侧有一旅游地C,河边有两个漂流点A, B.其中 ,由于某种原因,由C到A的路现在已经不通,为方便游客决定在河边新建一个漂流点 H(A,H,B在同一直线上),并新修一条路 ,测得 千米, 千米, 千米.则原路 线 千米. 17.(2022上·山东青岛·七年级统考期中)海面上有两个疑似漂浮目标.A舰艇以12海里/时的速度离 开港口O,向北偏西 方向航行;同时,B舰艇在同地以16海里/时的速度向北偏东一定角度的航向行 驶,如图所示,离开港口5小时后两船相距100海里,则B舰艇的航行方向是 . 18.(2019下·安徽合肥·八年级合肥市第四十五中学校考期中)如图,点C为直线l上的一个动点, 于D点, 于E点, , ,当 长为 为直角三角形.三、解答题(本大题共6小题,共58分) 19.(8分)(2024上·湖南长沙·八年级校联考期末)如图,在 中,已知 ,D是 边 上的一点, , , . (1)求证: 是直角三角形; (2)求 的面积. 20.(8分)(2023上·浙江宁波·八年级校联考期中)如图,已知点 是等边 内一点,连结 , , ,D为 外一点,且 ,连接 , , . (1)求证: . (2)若 , , ,求 的度数. 21.(10分)(2024上·重庆万州·八年级统考期末)如图,在一条笔直的东西方向的公路上有A、B两地,相距500米,且离公路不远处有一块山地C需要开发,已知C与A地的距离为300米,与B地的距 离为400米,在施工过程中需要实施爆破,为了安全起见,爆破点C周围半径260米范围内不得进入. (1)山地C距离公路的垂直距离为多少米? (2)在进行爆破时, A、B两地之间的公路是否有危险需要暂时封锁?若需要封锁,请求出需要封锁 的公路长. 22.(10分)(2020上·全国·八年级专题练习)如图,在平面直角坐标系中,直线AB分别交x轴、y 轴于点A(a,0)点,B(0,b),且a、b满足a2﹣4a+4+|2a﹣b|=0,点P在直线AB的左侧,且∠APB= 45°. (1)求a、b的值; (2)若点P在x轴上,求点P的坐标; (3)若 为直角三角形,求点P的坐标. 23.(10分)(2023上·广东广州·九年级统考期末)如图1,在 中, , ,点 为 内任意一动点, (1)当 时,求 的度数; (2)当点 满足 时, ①求 的度数; ②如图2,取 的中点 ,连接 ,试求 , , 之间的数量关系并说明理由. 24.(12分)(2023上·江苏镇江·八年级丹阳市第八中学校考期中)【问题初探】勾股定理神奇而美 妙,它的证法多种多样,在学习了教材中介绍的拼图证法以后,小华突发灵感,给出了如图①的拼图:两 个全等的直角三角板 和直角三角板 ,顶点F在 边上,顶点C、D重合,连接 .设 交于点G. , , , .请你回答 以下问题: (1) 与 的位置关系为______. (2)填空: ______(用含c的代数式表示).(3)请尝试利用此图形证明勾股定理. 【问题再探】平移直角三角板 ,使得顶点B、D重合,这就是大家熟悉的“K型图”,如图②, 此时三角形 是一个等腰直角三角形. 请你利用以上信息解决以下问题: 已知直线 及点P,作等腰直角 ,使得点A、B分别在直线a、b上且 .(尺规作 图,保留作图痕迹) 【问题拓展】请你利用以上信息解决以下问题: 已知 中, , , ,则 的面积 ______. 参考答案: 1.A 【分析】根据三角形的三边关系,得到3cm,4cm,5cm三根小棒可以组成三角形,再根据勾股定理 逆定理可知该三角形为直角三角形,即可求得答案; 解:∵9=4+5 ∴9cm的小棒不能组成三角形 ∵ ∴此三角形为直角三角形,两直角边分别为3cm和4cm ∴ 故选A 【点拨】本题考查了三角形的性质,涉及了勾股定理的逆定理,掌握相关知识并熟练使用,同时注意解题中需注意的事项是本题的解题关键. 2.C 【分析】当∠A=90°时,满足条件的C点2个;当∠B=90°时,满足条件的C点2个;当∠C=90°时,满 足条件的C点2个.所以共有6个. 解:∵点A,B的纵坐标相等, ∴AB∥x轴, ∵点C到AB距离为5,AB=10, ∴点C在平行于AB的两条直线上, ∴过点A的垂线与那两条直线有2个交点,过点B的垂线与那两条直线有2个交点,以AB为直径的圆 与那两条直线有只有2个交点(这两个两点在线段AB的垂直平分线上), ∴满足条件的C点共,6个. 故选C. 【点拨】用到的知识点为:到一条直线距离为某个定值的直线有两条. ABC是直角三角形,它的任 意一个顶点都有可能为直角顶点. △ 3.C 【分析】设小正方形的边长为1,根据勾股定理逆定理得到 ,再由三角形内角和定理进行计 算即可. 解:如图,设小正方形的边长为1, 则 , , , , , , , 故选:C.【点拨】本题考查了勾股定理的逆定理、三角形内角和定理,熟练掌握以上知识点是解题的关键. 4.A 【分析】根据勾股定理的逆定理对各选项进行逐一判断即可. 解:A、三边长分别为 ,∵ , ∴ 不是直角三角形,故本选项符合题意; B、三边长分别为 , , ∴ 是直角三角形,故本选项不符合题意; C、三边长分别为 ,∵ , ∴ 是直角三角形,故本选项不符合题意; D、三边长分别为 ,∵ , ∴ 是直角三角形,故本选项不符合题意. 故选A. 【点拨】本题考查勾股定理的逆定理,熟知如果三角形的三边长 满足 ,那么这个 三角形就是直角三角形是解题关键. 5.B 【分析】本题主要考查了勾股定理,勾股定理的逆定理,四边形内角和定理,先根据勾股定理得到 ,进而证明 ,推出 是直角三角形,且 ,由四边形 内角和定理得到 ,再由 得到 ,据此可判断①②④;根据现有条件无法得到 ,即可判断③. 解:如图所示,连接 , ∵在 中, , , , ∴ , ∵ , , ∴ , ∴ , ∴ 是直角三角形,且 ,故①正确;∴ ,故②正确; ,故④错误; 根据现有条件无法得到 ,故③错误; 故选B. 6.B 【分析】根据平方的非负性,算术平方根的非负性,绝对值的非负性,即可求出 ,从而可得出 ,即证明 为直角三角形,且a,b为直角边,最后根 据三角形面积公式求解即可. 解:∵ , ∴ , ∴ , 解得: . ∵ , ∴ , ∴ 为直角三角形,且a,b为直角边, ∴ 的面积为 .故选B. 【点拨】本题考查非负数的性质,勾股定理逆定理.熟练掌握非负数的性质和勾股定理逆定理是解题 关键. 7.C 【分析】连接 ,根据对称的性质以及垂直平分线的判定和性质可得 , , , ,推得 , ,根据等腰三角形的性质和三 角形内角和定理可求得 ;若 ,求得 ,根据等边三角形的判定 即可证明甲同学的说法正确;若 ,根据勾股定理的逆定理可推得 ,即可证明乙同 学的说法正确. 解:连接 ,如图: ∵点 与点 关于 对称,点 与点 关于 对称, 即 是 的垂直平分线, 是 的垂直平分线, ∴ , , , , ∴ , 又∵ , ∴ , 在等腰三角形 中, ,在等腰三角形 中, , 则 ; 若 ,则 , 又∵ , ∴ 为等边三角形,故甲同学的说法正确; 若 , ∵ , 即 , 则 , , 满足 , ∴ 为直角三角形, ∴ , 则 ,故乙同学的说法正确; 故选:C. 【点拨】本题考查了对称的性质,垂直平分线的判定和性质,等腰三角形的性质,三角形内角和定理, 等边三角形的判定,勾股定理的逆定理,熟练掌握以上判定和性质是解题的关键. 8.C 【分析】根据题意可得OA=30海里,OB= 40海里,再利用勾股定理的逆定理证明△AOB是直角三角 形,从而求出∠AOB=90°,然后分两种情况,画出图形,进行计算即可解答. 解:由题意得, 海里, 海里, OA2+ OB2=302 + 402=2500, AB2=502=2500, OA2+OB2=AB2, ∠AOB=90°,分两种情况: 如图1, = 180°- 30° -90° =60°, 乙客轮离开港口时航行的方向是:南偏东60°, 如图2, ∠BON=∠AOB-∠AON=90°-30° =60°, 乙客轮离开港口时航行的方向是:北偏西60° , 综上所述:乙客轮离开港口时航行的方向是:南偏东60或北偏西60°, 故选:C. 【点拨】本题考查了勾股定理的逆定理,方向角,根据题目的已知条件画出图形进行分析是解题的关 键. 9.D 【分析】根据勾股定理求出AC,根据勾股定理的逆定理求出∠ACD=90°,根据三角形的面积公式分别 求出 ABC和 ACD的面积,即可得出答案. △ △解:在Rt ABC中,由勾股定理得:AC= , △ ∵CD=1,AD=3,AC=2 , ∴AC2+CD2=AD2, ∴∠ACD=90°, ∴四边形ABCD的面积: S=S +S ABC ACD △ △ = AB•BC+ AC•CD = ×2×2+ ×1×2 =2+ , 故选D. 【点拨】本题考查了勾股定理,勾股定理的逆定理的应用,能求出 ACD是直角三角形是解此题的关 键. △ 10.D 【分析】根据直角三角形的判定进行分析,从而得到答案. 解:A、应为“直角三角形中,已知两直角边的边长为3和4,则斜边的边长为5”,故不符合题意; B、应为“三角形是直角三角形,三角形的直角边分别为b,c,斜边为a,则满足a2=b2+c2,即a2- b2=c2”,故不符合题意; C、比如:边长分别为3,4,5,有32+42=25=52,能构成直角三角形,故不符合题意; D、根据三角形内角和定理可求出三个角分别为15°,75°,90°,因而是直角三角形,故符合题意. 故选:D. 【点拨】本题考查了直角三角形的性质和判定,注意在叙述命题时要叙述准确. 11. 【分析】本题考查勾股定理的逆定理的应用、三角形的面积公式.解决问题的关键在于判断三角形是 否为直角三角形,已知三角形三边的长,只要利用勾股定理的逆定理加以判断即可. 解:∵ , , ∴ , 又∵ ,∴ , ∴ 是直角三角形, ∴ . 故答案为: . 12. 【分析】本题考查了勾股定理的逆定理,等面积法求三角形的高.熟练掌握勾股定理的逆定理判断三 角形的形状是解题的关键.由勾股定理的逆定理可求 是直角三角形, ,设 最大边上 的高为 ,依题意得, ,即 ,计算求解即可. 解:∵ , ∴ , ∴ 是直角三角形, , 设 最大边上的高为 , 依题意得, ,即 , 解得, , 故答案为: . 13.45 【分析】连接 ,根据网格判定 为等腰直角三角形,得出 ,根据平行线 的性质得出 , ,根据 即可求出结果. 解:连接 ,如图所示:∵ , , , ∴ , , ∴ 为等腰直角三角形, ∴ , ∵ , , ∴ , , ∴ . 故答案为:45. 【点拨】本题主要考查了网格与勾股定理,直角三角形的判定,等腰三角形的性质,平行线的性质, 解题的关键是作出辅助线,证明 为等腰直角三角形. 14. 【分析】本题考查了翻折变换,勾股定理的逆定理,轴对称的性质,掌握相关性质是解答本题的关键. 根据翻折的性质和勾股定理的逆定理,得到 为直角三角形,设 ,则 ,再利用勾股定理得到答案. 解:由题意得: , 两点关于射线 对称, , 为定值,要使 周长最小, 即 最小, 如图,当点 为 与射线 的交点时, 周长最小, , , , , , , 为直角三角形, ,, , 设 ,则 , 在 中, , 即 , 解得: , , 故答案为: . 15. 【分析】根据正方形 的面积、正方形 面积、正方形 的面积可以计算 , , ,进而判定 为直角三角形,即可求证 、 、 三点共线,且阴影部分的面积为 , 即可解题. 解:根据正方形 的面积、正方形 面积、正方形 的面积可得 厘米, 厘米, 厘米,且满足 , 为直角三角形, , 、 、 三点共线, 、 、 三点共线, 为直角三角形, (厘米), (厘米), ∴ (平方厘米) (平方厘米) ∴ (平方厘米). ∵ (平方厘米) ∴阴影四边形 的面积 (平方厘米). 故答案为 . 【点拨】本题考查了勾股定理在直角三角形中的运用,勾股定理的逆定理判定直角三角形,正方形各 边长相等、各内角为直角的性质,三角形面积的计算,本题中求阴影部分的面积为 是解题的关 键.16. / 【分析】先根据勾股定理的逆定理说明 是直角三角形且 ,设 千米,则 千米,最后在 运用勾股定理即可解答. 解: ∵在 中, , ∴ , ∴ 是直角三角形且 ; 设 千米,则 千米, 在 中,由已知得 , 由勾股定理得: , ∴ ,解得x= . 故答案为 . 【点拨】本题主要考查勾股定理、勾股定理逆定理等知识点,掌握勾股定理的逆定理和定理是解决本 题的关键. 17.北偏东 【分析】根据勾股定理的逆定理判断 是直角三角形,求出 的度数即可. 解:由题意得, (海里), (海里), 又∵ 海里, ∵ , 即∴ , ∵ , ∴ , 则B舰艇的航行方向是北偏东 , 故答案为:北偏东 . 【点拨】本题考查的是勾股定理的逆定理的应用和方位角的知识,根据题意判断出 是直角三角 形是解决问题的关键. 18.3或2或 . 【分析】作BF⊥AD于F,根据矩形的性质得到BF=DE=4,DF=BE=1,根据勾股定理用CD表示出AC、 BC,根据勾股定理的逆定理列式计算,得到答案. 解:作BF⊥AD于F, 则四边形DEBF为矩形, ∴BF=DE=4,DF=BE=1, ∴AF=AD-DF=3, 由勾股定理得, 当△ABC为直角三角形时, 即 解得,CD=3, 如图2,作BH⊥AD于H,仿照上述作法,当∠ACB=90°时, 由勾股定理得, 由 得: 解得: 同理可得:当∠ABC=90°时, 综上: 的长为:3或2或 . 故答案为:3或2或 . 【点拨】本题考查的是勾股定理及其逆定理,如果直角三角形的两条直角边长分别是a,b,斜边长为 c,那么 19.(1)见分析;(2) 【分析】本题主要考查了勾股定理和其逆定理以及等腰三角形的性质,解题关键是利用勾股定理构造 方程求出腰长. (1)根据勾股定理的逆定理证明即可; (2)设 ,则 ,利用勾股定理列方程求得 ,从而求得 ,再利用三角形 的面积公式求解即可. 解:(1)证明:∵ , , , ∴在 中, ,即 ,∴ 是直角三角形; (2)解:设 ,则 , 在 中, , 解得: , ∴ , ∴ . 20.(1)见分析;(2) 【分析】本题考查了全等三角形的判定和性质,等边三角形的判定和性质,勾股定理的逆定理. (1)根据等边三角形的性质得到 ,根据全等三角形的判定定理即可得到结论; (2)根据全等三角形的性质得到 , ,推出 是等边三角形,得到 , ,根据勾股定理的逆定理得到 ,于是得到结论. 解:(1)证明:∵ 是等边三角形, ∴ , , ∵ , , ∴ 是等边三角形, ∴ , ∴ , 在 与 中 , ∴ (SAS); (2)解:∵ , ∴ , , ∵ , ∵ , ∴ 是等边三角形, ∴ , , ∵ , ∴ , ∴ ,∴ . 21.(1) ;(2)需要, 【分析】本题考查了勾股定理及其逆定理的应用; (1)过 作 ,因为 ,由勾股定理的逆定理得 是直角三角形,通过三 角形的面积转化,即可求解; (2)以点 为圆心, 为半径画弧,交 于点E、F,连接 , ,由等腰三 ,比 较 与 的大小即可判断,由勾股定理得 ,即可求解.掌握勾股定理及其逆定理,能 作出适当的辅助线,将实际问题转化为勾股定理及其逆定理是解题的关键. (1)解:由题意得 , , , 如图,过 作 , , , 是直角三角形,且 , , , 解得: , 答:山地C距离公路的垂直距离为 ; (2)解:公路 有危险需要暂时封锁,理由如下: 如图,以点 为圆心, 为半径画弧,交 于点E、F,连接 , , 则 ,, , 由(1)可知, , , 有危险需要暂时封锁, 在 中, , , 即需要封锁的公路长为 . 22.(1)a=2,b=4;(2)P(﹣4,0);(3)P(﹣4,2)或(﹣2,﹣2) 【分析】(1)a2﹣4a+4+|2a﹣b|=0整理得(a﹣2)2+|2a+b|=0,再根据非负数的性质求得a,b的 值即可; (2)点 P 在直线 AB 的左侧,且在 x 轴上,∠APB=45°,得到OP=OB=4,即可得到P点坐标; (3)由题意可知△ABP 是直角三角形,且∠APB=45°,则分∠ABP=90°或∠BAP=90°两种情况进行 讨论即可. 解:(1)∵a2﹣4a+4+|2a+b|=0, ∴(a﹣2)2+|2a+b|=0, ∴a=2,b=4. (2)由(1)知,b=4, ∴B(0,4), ∴OB=4, ∵点 P 在直线 AB 的左侧,且在 x 轴上,∠APB=45°, ∴OP=OB=4, ∴P(﹣4,0); (3)由(1)知 a=﹣2,b=4, ∴A(2,0),B(0,4), ∴OA=2,OB=4, ∵△ABP 是直角三角形,且∠APB=45°,∴只有∠ABP=90°或∠BAP=90°,如图, ①当∠ABP=90°时, ∵∠BAP=45°, ∴∠APB=∠BAP=45°, ∴AB=PB, 过点 P 作 PC⊥OB 于 C, ∴∠BPC+∠CBP=90°, ∵∠CBP+∠ABO=90°, ∴∠ABO=∠BPC, 在△AOB和△BCP中, ∠AOB=∠BCP=90°,∠ABO=∠BPC,AB=PB, ∴△AOB≌△BCP(AAS), ∴PC=OB=4,BC=OA=2, ∴OC=OB﹣BC=2, ∴P(﹣4,2); ②当∠BAP=90°时,过点P'作P'D⊥OA 于 D, 同①的方法得,△ADP'≌△BOA(AAS), ∴DP'=OA=2,AD=OB=4, ∴OD=AD﹣OA=2, ∴P'(﹣2,2); 综上,满足条件的点 P(﹣4,2)或(﹣2,﹣2). 【点拨】本题主要考查全等三角形的判定与性质,等腰直角三角形判定与性质,非负数的性质等,解 此题的关键在于熟练掌握其知识点. 23.(1) ;(2)① ② ,理由见分析【分析】(1)利用等腰直角三角形的性质得到 ,然后求出 和 的度 数,利用三角形的内角和定理解题即可; (2)①作 且使 ,连接 、 ,则有 ,然后推导出 ,然后得到 ,进而计算解题;②延长 至 ,使 ,连接 ,得 到 ,然后得到 , ,再证明 ,根据①中的 即可得到结论. (1)解:∵ , , ∴ , ∵ , ∴ , , ∴ ; (2)解:①作 且使 ,连接 、 , ∴ , , , ∴ ,即 , ∵ , , ∴ , ∴ , , ∵ , ∴ , ∴ , ∴ , ∴ ; ② ,理由为: 由①知 , ∴ ,∴ 在一条直线上, 延长 至 ,使 ,连接 , ∵ , , , ∴ , ∴ , , ∵ , ∴ , ∵ , ∴ , ∴ , ∵ , ∴ , ∴ , ∵ , ∴ , ∴ , ∵ , , ∴ , ∴ . 【点拨】本题考查勾股定理的逆定理,全等三角形的判定和性质,等腰直角三角形的性质,三角形的 内角和定理,作辅助线构造全等三角形是解题的关键. 24.问题初探:(1) ;(2) ;(3)见分析;问题再探:见分析;问题拓展:9【分析】本题是四边形的综合题,考查了勾股定理的证明,三角形的面积的计算,全等三角形的性质. 问题初探:(1)根据全等三角形的性质得到 ,求得 ,得到 ,根据垂直的定义得到 ; (2)根据三角形的面积公式即可得到结论; (3)根据三角形的面积和梯形的面积公式用两种方法求得四边形 的面积,于是得到结论. 问题再探:如图,过点P作 直线 于点F交直线a于点E,截取 , ,连接 即可; 问题拓展:过点B作 交 延长线于点E,过点C作 于点D,证明 ,得 ,根据勾股定理得 ,然后代入三角形面积公式即可解决问题. 解:问题初探:(1) ; 证明: , , , , , , , 故答案为: ;, (2)∵ ,, 故答案为: ;, (3)证明:∵四边形 的面积 , ∴四边形 的面积 , ∴ , 即 . 问题再探:解:如图, 即为所求; 问题拓展:解:如图,过点B作 交 延长线于点E,过点C作 于点D,, 是等腰直角三角形, , , , , , , 是等腰直角三角形, , , 在 和 中, , , , , , , , ,的面积 . 故答案为:9.