当前位置:首页>文档>专题02圆锥曲线中的中点弦问题(点差法+联立法)(典型题型归类训练)(解析版)_02高考数学_2025年新高考资料_二轮复习

专题02圆锥曲线中的中点弦问题(点差法+联立法)(典型题型归类训练)(解析版)_02高考数学_2025年新高考资料_二轮复习

  • 2026-04-07 11:34:13 2026-04-07 11:34:13

文档预览

专题02圆锥曲线中的中点弦问题(点差法+联立法)(典型题型归类训练)(解析版)_02高考数学_2025年新高考资料_二轮复习
专题02圆锥曲线中的中点弦问题(点差法+联立法)(典型题型归类训练)(解析版)_02高考数学_2025年新高考资料_二轮复习
专题02圆锥曲线中的中点弦问题(点差法+联立法)(典型题型归类训练)(解析版)_02高考数学_2025年新高考资料_二轮复习
专题02圆锥曲线中的中点弦问题(点差法+联立法)(典型题型归类训练)(解析版)_02高考数学_2025年新高考资料_二轮复习
专题02圆锥曲线中的中点弦问题(点差法+联立法)(典型题型归类训练)(解析版)_02高考数学_2025年新高考资料_二轮复习
专题02圆锥曲线中的中点弦问题(点差法+联立法)(典型题型归类训练)(解析版)_02高考数学_2025年新高考资料_二轮复习
专题02圆锥曲线中的中点弦问题(点差法+联立法)(典型题型归类训练)(解析版)_02高考数学_2025年新高考资料_二轮复习
专题02圆锥曲线中的中点弦问题(点差法+联立法)(典型题型归类训练)(解析版)_02高考数学_2025年新高考资料_二轮复习
专题02圆锥曲线中的中点弦问题(点差法+联立法)(典型题型归类训练)(解析版)_02高考数学_2025年新高考资料_二轮复习
专题02圆锥曲线中的中点弦问题(点差法+联立法)(典型题型归类训练)(解析版)_02高考数学_2025年新高考资料_二轮复习
专题02圆锥曲线中的中点弦问题(点差法+联立法)(典型题型归类训练)(解析版)_02高考数学_2025年新高考资料_二轮复习
专题02圆锥曲线中的中点弦问题(点差法+联立法)(典型题型归类训练)(解析版)_02高考数学_2025年新高考资料_二轮复习
专题02圆锥曲线中的中点弦问题(点差法+联立法)(典型题型归类训练)(解析版)_02高考数学_2025年新高考资料_二轮复习
专题02圆锥曲线中的中点弦问题(点差法+联立法)(典型题型归类训练)(解析版)_02高考数学_2025年新高考资料_二轮复习
专题02圆锥曲线中的中点弦问题(点差法+联立法)(典型题型归类训练)(解析版)_02高考数学_2025年新高考资料_二轮复习
专题02圆锥曲线中的中点弦问题(点差法+联立法)(典型题型归类训练)(解析版)_02高考数学_2025年新高考资料_二轮复习
专题02圆锥曲线中的中点弦问题(点差法+联立法)(典型题型归类训练)(解析版)_02高考数学_2025年新高考资料_二轮复习
专题02圆锥曲线中的中点弦问题(点差法+联立法)(典型题型归类训练)(解析版)_02高考数学_2025年新高考资料_二轮复习
专题02圆锥曲线中的中点弦问题(点差法+联立法)(典型题型归类训练)(解析版)_02高考数学_2025年新高考资料_二轮复习
专题02圆锥曲线中的中点弦问题(点差法+联立法)(典型题型归类训练)(解析版)_02高考数学_2025年新高考资料_二轮复习
专题02圆锥曲线中的中点弦问题(点差法+联立法)(典型题型归类训练)(解析版)_02高考数学_2025年新高考资料_二轮复习
专题02圆锥曲线中的中点弦问题(点差法+联立法)(典型题型归类训练)(解析版)_02高考数学_2025年新高考资料_二轮复习
专题02圆锥曲线中的中点弦问题(点差法+联立法)(典型题型归类训练)(解析版)_02高考数学_2025年新高考资料_二轮复习
专题02圆锥曲线中的中点弦问题(点差法+联立法)(典型题型归类训练)(解析版)_02高考数学_2025年新高考资料_二轮复习
专题02圆锥曲线中的中点弦问题(点差法+联立法)(典型题型归类训练)(解析版)_02高考数学_2025年新高考资料_二轮复习
专题02圆锥曲线中的中点弦问题(点差法+联立法)(典型题型归类训练)(解析版)_02高考数学_2025年新高考资料_二轮复习
专题02圆锥曲线中的中点弦问题(点差法+联立法)(典型题型归类训练)(解析版)_02高考数学_2025年新高考资料_二轮复习
专题02圆锥曲线中的中点弦问题(点差法+联立法)(典型题型归类训练)(解析版)_02高考数学_2025年新高考资料_二轮复习
专题02圆锥曲线中的中点弦问题(点差法+联立法)(典型题型归类训练)(解析版)_02高考数学_2025年新高考资料_二轮复习
专题02圆锥曲线中的中点弦问题(点差法+联立法)(典型题型归类训练)(解析版)_02高考数学_2025年新高考资料_二轮复习
专题02圆锥曲线中的中点弦问题(点差法+联立法)(典型题型归类训练)(解析版)_02高考数学_2025年新高考资料_二轮复习
专题02圆锥曲线中的中点弦问题(点差法+联立法)(典型题型归类训练)(解析版)_02高考数学_2025年新高考资料_二轮复习
专题02圆锥曲线中的中点弦问题(点差法+联立法)(典型题型归类训练)(解析版)_02高考数学_2025年新高考资料_二轮复习
专题02圆锥曲线中的中点弦问题(点差法+联立法)(典型题型归类训练)(解析版)_02高考数学_2025年新高考资料_二轮复习
专题02圆锥曲线中的中点弦问题(点差法+联立法)(典型题型归类训练)(解析版)_02高考数学_2025年新高考资料_二轮复习
专题02圆锥曲线中的中点弦问题(点差法+联立法)(典型题型归类训练)(解析版)_02高考数学_2025年新高考资料_二轮复习
专题02圆锥曲线中的中点弦问题(点差法+联立法)(典型题型归类训练)(解析版)_02高考数学_2025年新高考资料_二轮复习
专题02圆锥曲线中的中点弦问题(点差法+联立法)(典型题型归类训练)(解析版)_02高考数学_2025年新高考资料_二轮复习
专题02圆锥曲线中的中点弦问题(点差法+联立法)(典型题型归类训练)(解析版)_02高考数学_2025年新高考资料_二轮复习
专题02圆锥曲线中的中点弦问题(点差法+联立法)(典型题型归类训练)(解析版)_02高考数学_2025年新高考资料_二轮复习
专题02圆锥曲线中的中点弦问题(点差法+联立法)(典型题型归类训练)(解析版)_02高考数学_2025年新高考资料_二轮复习
专题02圆锥曲线中的中点弦问题(点差法+联立法)(典型题型归类训练)(解析版)_02高考数学_2025年新高考资料_二轮复习
专题02圆锥曲线中的中点弦问题(点差法+联立法)(典型题型归类训练)(解析版)_02高考数学_2025年新高考资料_二轮复习
专题02圆锥曲线中的中点弦问题(点差法+联立法)(典型题型归类训练)(解析版)_02高考数学_2025年新高考资料_二轮复习
专题02圆锥曲线中的中点弦问题(点差法+联立法)(典型题型归类训练)(解析版)_02高考数学_2025年新高考资料_二轮复习
专题02圆锥曲线中的中点弦问题(点差法+联立法)(典型题型归类训练)(解析版)_02高考数学_2025年新高考资料_二轮复习
专题02圆锥曲线中的中点弦问题(点差法+联立法)(典型题型归类训练)(解析版)_02高考数学_2025年新高考资料_二轮复习
专题02圆锥曲线中的中点弦问题(点差法+联立法)(典型题型归类训练)(解析版)_02高考数学_2025年新高考资料_二轮复习
专题02圆锥曲线中的中点弦问题(点差法+联立法)(典型题型归类训练)(解析版)_02高考数学_2025年新高考资料_二轮复习
专题02圆锥曲线中的中点弦问题(点差法+联立法)(典型题型归类训练)(解析版)_02高考数学_2025年新高考资料_二轮复习
专题02圆锥曲线中的中点弦问题(点差法+联立法)(典型题型归类训练)(解析版)_02高考数学_2025年新高考资料_二轮复习

文档信息

文档格式
docx
文档大小
2.535 MB
文档页数
47 页
上传时间
2026-04-07 11:34:13

文档内容

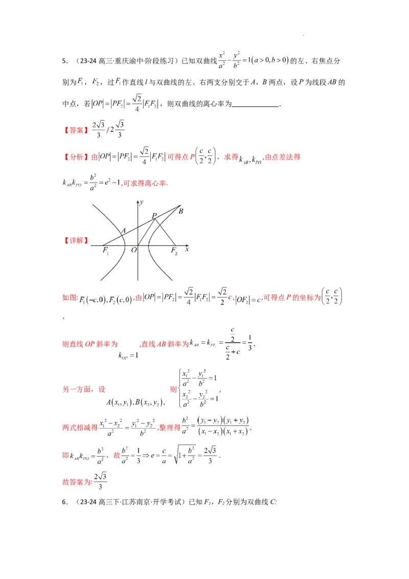
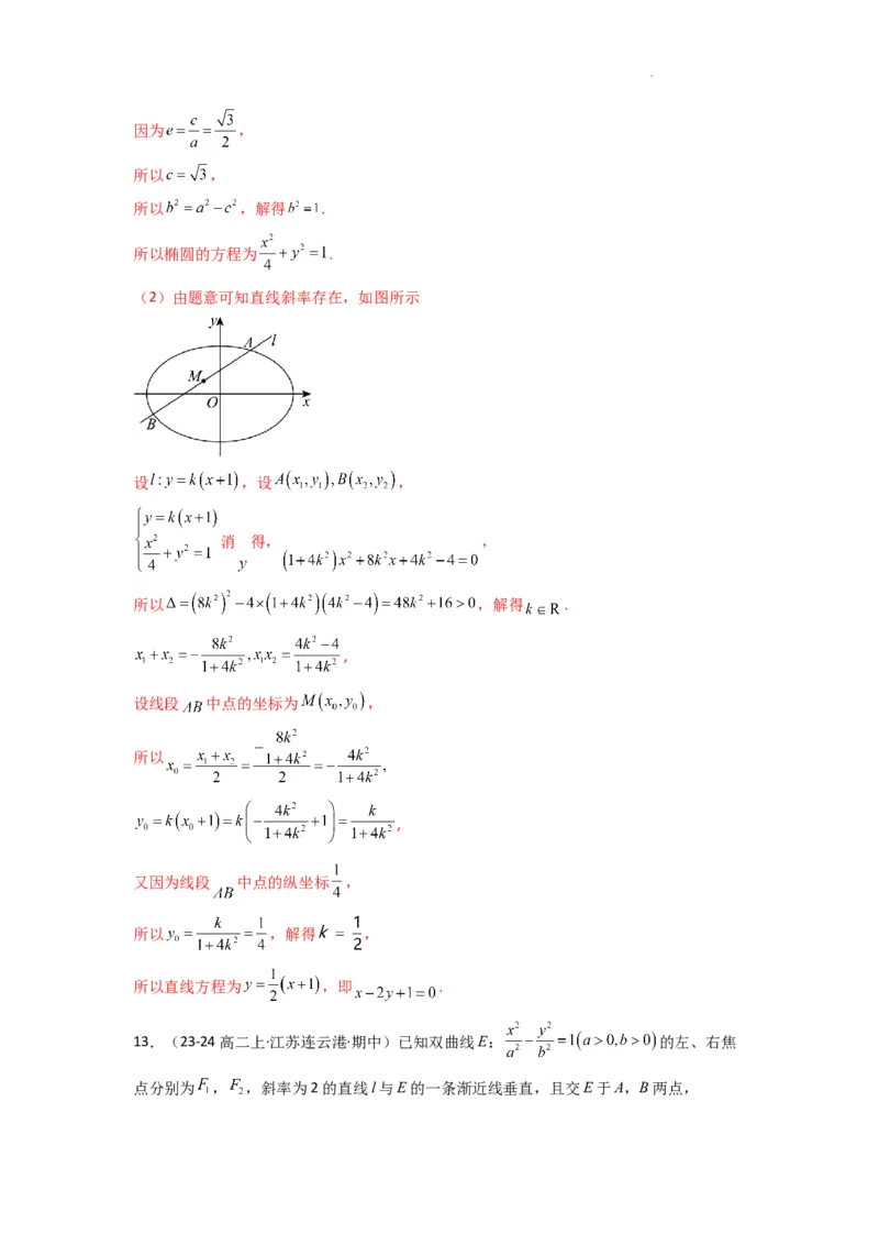
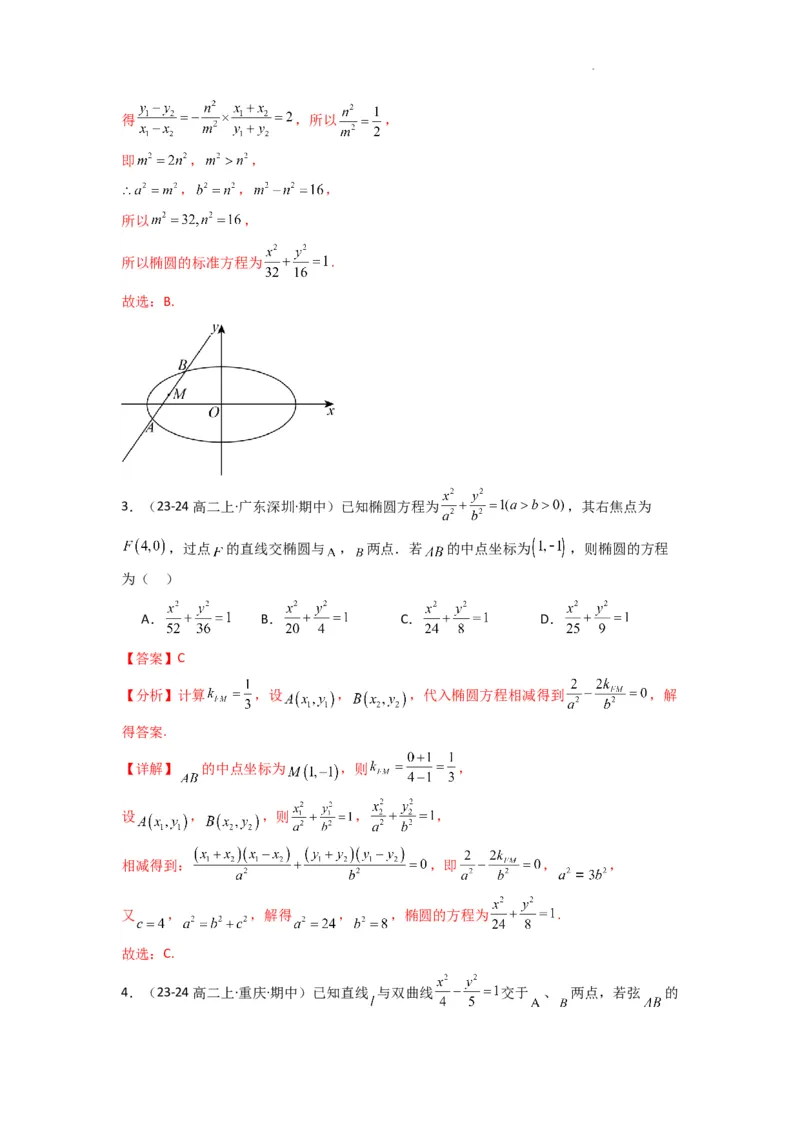
专题 02 圆锥曲线中的中点弦问题(点差法+联立法) 目录 一、必备秘籍.......................................................................................1 二、典型题型.......................................................................................2 题型一:求直线方程......................................................................2 题型二:求离心率..........................................................................6 题型三:求弦中点的轨迹方程.....................................................11 题型四:求曲线方程....................................................................17 题型五:处理存在性问题.............................................................21 题型六:确定参数的取值范围.....................................................25 题型七:定值问题........................................................................31 三、专项训练.....................................................................................35 一、必备秘籍 1、相交弦中点(点差法) 直线与曲线相交,涉及到交线中点的题型,多数用点差法。按下面方法整理出式子,然后 根据实际情况处理该式子。 主要有以下几种问题: (1)求中点坐标;(2)求中点轨迹方程;(3)求直线方程;(4)求曲线; x +x y +y 中点M(x ,y ) , x 0 = 1 2 2 , y 0 = 1 2 2 0 0 2、点差法 x y 2 2 设直线和曲线的两个交点 , ,代入椭圆方程,得 1 + 1 =1; A(x 1 ,y 1 ) B(x 2 ,y 2 ) a2 b2 学科网(北京)股份有限公司x y 2 2 2 + 2 =1; a2 b2 x 2 −x 2 y 2 −y 2 (x +x )(x −x ) (y +y )(y −y ) 将两式相减,可得 1 2 + 1 2 =0; 1 2 1 2 =− 1 2 1 2 ; a2 b2 a2 b2 a2 (y +y )(y −y ) a2 y 最后整理得:1=− 1 2 1 2 1=−k⋅ ⋅ 0 b2 (x +x )(x −x ) b2 x 1 2 1 2 ⇒ 0 a2 (y +y )(y −y ) a2 y 同理,双曲线用点差法,式子可以整理成:1= 1 2 1 2 1=k⋅ ⋅ 0 b2 (x +x )(x −x ) b2 x 1 2 1 2 ⇒ 0 设直线和曲线的两个交点A(x 1 ,y 1 ),B(x 2 ,y 2 ),代入抛物线方程,得 y 1 2 =2px 1; y =2px 2 2; 2 y −y 2p 1 2 将两式相减,可得 ;整理得: = (y −y )(y +y )=2p(x −x ) x −x y +y 1 2 1 2 1 2 1 2 1 2 二、典型题型 题型一:求直线方程 1.(2024·全国·模拟预测)已知斜率为 的直线 与椭圆 交于 , 两 点, 为坐标原点,以 , 为邻边作平行四边形 ,点 恰好在 上.若线段 的中点 在直线 上,则直线 的方程为( ) A. B. C. D. 【答案】B 【分析】由题意,利用点差法得到 ,根据平行四边形的性质及点 在椭圆上得到 ,求出k和点M的坐标,结合直线的点斜式方程即可求解. 【详解】设 , , , 则 ,两式相减,得 , 学科网(北京)股份有限公司故 ,即 ①. 又四边形 为平行四边形, 为线段 的中点,所以 为线段 的中点, 所以 ,又P在椭圆 上, 所以 ,即 ②. 由①②,得 ,故直线 的方程为 , 即 . 故选:B. 2.(23-24高二上·山东·期中)已知中心在原点,半焦距为4的椭圆 ( , , )被直线方程 截得的弦的中点横坐标为 ,则椭圆的标准方程 为( ) A. B. C. 或 D. 或 【答案】B 【分析】由点差法可得弦的中点坐标与弦所在直线的斜率关系,运算可得解. 【详解】设直线 与椭圆相交于 两点,弦 的中点坐标是 ,则 , 直线 的斜率 . 由 ,得 , 学科网(北京)股份有限公司得 ,所以 , 即 , , , , , 所以 , 所以椭圆的标准方程为 . 故选:B. 3.(23-24高二上·广东深圳·期中)已知椭圆方程为 ,其右焦点为 ,过点 的直线交椭圆与 , 两点.若 的中点坐标为 ,则椭圆的方程 为( ) A. B. C. D. 【答案】C 【分析】计算 ,设 , ,代入椭圆方程相减得到 ,解 得答案. 【详解】 的中点坐标为 ,则 , 设 , ,则 , , 相减得到: ,即 , , 又 , ,解得 , ,椭圆的方程为 . 故选:C. 4.(23-24高二上·重庆·期中)已知直线 与双曲线 交于 、 两点,若弦 的 学科网(北京)股份有限公司中点为 ,则直线 的方程为 . 【答案】 【分析】 利用点差法可求出直线 的斜率,利用点斜式可得出直线 的方程. 【详解】若直线 轴,则 的中点在 轴上,不合乎题意, 设点 、 ,因为若弦 的中点为 ,则 , 因为 ,可得 ,即 , 所以, , 因此,直线 的方程为 ,即 . 联立 可得 , , 所以,直线 与双曲线 有两个交点,合乎题意, 因此,直线 的方程为 , 故答案为: . 5.(2024高三·全国·专题练习)以 为中点的双曲线 的弦所在直线的方程 为 . 【答案】 【分析】利用点差法先求得弦所在直线的斜率,再利用点斜式即可求得直线的方程,再验 算一下与双曲线是否有两个交点可保万无一失. 【详解】设 是双曲线 的弦 的中点,且 , 则 , 因为 在双曲线上,所以 , 两式相减,得 ,故 , 所以 ,故以 中点的双曲线的弦所在的直线方程为 ,即 , 学科网(北京)股份有限公司联立 ,消去 ,得 , 因为 , 所以以 为中点的双曲线的弦所在的直线方程为 . 故答案为: . 6.(23-24高二上·江苏连云港·阶段练习)已知抛物线 ,过点 的直线交抛 物线 于 两点,若 为 的中点,则直线 的方程为 . 【答案】 【分析】设出 , 的坐标,代入抛物线方程,利用作差法,结合中点坐标公式代入先求 出直线的斜率,再利用点斜式方程即可得到结论. 【详解】设 , ,由题意 , 因为 , 在抛物线上,所以 , ,两式相减得, ,整理得, , 即直线 的斜率 , 直线 的中点为 , , , 所以直线 的方程为 ,化简得 . 故答案为: . 学科网(北京)股份有限公司题型二:求离心率 1.(2023高三·全国·专题练习)设 是椭圆 上不关于坐标轴对称 的两点, 是线段 的中点, 是坐标原点,若直线 与直线 的斜率之积为 , 则椭圆 的离心率为 . 【答案】 / 【分析】 利用点差法即可得到 ,最后利用离心率公式即可. 【详解】设点 ,则 , 把 , 的坐标代入椭圆方程可得: , 两式作差可得: , 即 , 所以 ,即 , 所以椭圆的离心率为 , 故答案为: . 2.(23-24高二上·云南昭通·期末)斜率为 的直线与椭圆 交于A,B 两点, 为线段 的中点,则椭圆的离心率为 . 【答案】 / 【分析】令 ,应用点差法及直线斜率、中点坐标得 ,即可求离心 率. 学科网(北京)股份有限公司【详解】令 ,则 ,可得 , 所以 ,又 为线段 的中点,且直线 斜率为 , 所以 ,则 . 故答案为: 3.(23-24高二上·黑龙江哈尔滨·期中)已知直线 与椭圆 相 交于 两点,且线段 的中点在直线 上,则此椭圆的离心率为 . 【答案】 / 【分析】 联立 ,得到线段 的中点为 ,设 与 的交 点分别为 , ,利用点差法能求出椭圆的离心率. 【详解】联立 得: , 所以直线 与直线 的交点坐标为 , 所以线段 的中点为 , 设 与 的交点分别为 , , 所以 , , 则 , , 分别把 , 代入到椭圆 得: 学科网(北京)股份有限公司,两式相减得: , 因为直线 为: ,所以 , 且 ,所以 , 所以 ,即 ,所以 , 所以 ,所以 ,所以 . 故答案为: 4.(2024·福建厦门·二模)不与x轴重合的直线l过点N( ,0)(xN≠0),双曲线C: (a>0,b>0)上存在两点A、B关于l对称,AB中点M的横坐标为 .若 ,则C的离心率为 . 【答案】2 【分析】由点差法得 ,结合 得 ,代入斜率公式化简 并利用 可求得离心率. 【详解】设 , 则 ,两式相减得 , 即 , 即 , 所以 , 因为 是AB垂直平分线,有 ,所以 , 即 ,化简得 ,故 . 故答案为:2 学科网(北京)股份有限公司5.(23-24高三·重庆渝中·阶段练习)已知双曲线 的左、右焦点分 别为 , ,过 作直线l与双曲线的左、右两支分别交于A,B两点,设P为线段AB的 中点,若 ,则双曲线的离心率为 . 【答案】 / 【分析】由 可得点P ,求得 ,由点差法得 ,可求得离心率. 【详解】 如图: ,由 , ,可得点P的坐标为 , 则直线OP斜率为 ,直线AB斜率为 , 另一方面,设 则 , 两式相减得 ,整理得 , 即 ,故 . 故答案为: 6.(23-24高三下·江苏南京·开学考试)已知F,F 分别为双曲线C: 1 2 学科网(北京)股份有限公司的左右焦点,过点F 且斜率存在的直线L与双曲线C的渐近线相交 1 于AB两点,且点AB在x轴的上方,AB两个点到x轴的距离之和为 ,若 , 则双曲线的离心率 【答案】 【分析】根据 得 为直角三角形,进而根据点差法得中点弦的性质即可求 解. 【详解】设 , ,设 的中点为 , 由于 ,故 ,因此 为直角三角形,故 , 由于 ,所以 ,进而可得 ,故 或 , 由 在双曲线渐近线上,所以 , 进而 , 当 时, , ,所以 , 当 时, , ,所以 不符合题意,舍去, 综上:故离心率为 , 故答案为: 学科网(北京)股份有限公司题型三:求弦中点的轨迹方程 1.(2024高三下·全国·专题练习)求证:椭圆 中斜率为 的平行弦的中点轨迹必 过椭圆中心. 【答案】证明见解析. 【分析】根据点差法可求出平行弦的中点的轨迹方程为 ,显然 直线经过椭圆中心原点. 【详解】设斜率为1的直线与椭圆交于点 两点, . 中点坐标为 ,所以 , , 所以 , , 作差得, , 即有 ,即 , 因为弦的中点在椭圆内部,所以 , 即 ,解得 , 故平行弦的中点的轨迹方程为 , ,过原点, 学科网(北京)股份有限公司所以椭圆 中斜率为1的平行弦的中点轨迹过椭圆中心. 2.(2024高三·全国·专题练习)设椭圆方程为 ,过点 的直线 交椭圆于 点A、B,O是坐标原点,点P满足 ,当l绕点M旋转时,求动点P的轨 迹方程. 【答案】 【分析】 设出直线 的方程,A,B的坐标,联立直线与椭圆的方程,利用韦达定理表示出 ,利用直线方程表示出 ,然后利用 ,求得 的坐标,设出 P的坐标 ,然后联立方程消去参数k,求得x和y的关系式,即为P点轨迹方程. 【详解】 直线 过点 ,设其斜率为k,则 的方程为 记 、 ,化简得, , 所以 , , 于是 设点P的坐标为 则 ,消去参数k得 ③ 当k不存在时,A、B中点为坐标原点 ,也满足方程③, 所以点P的轨迹方程为 3.(2024高三·全国·专题练习)已知曲线 上一动点 到两定点 , 的距离 之和为 ,过点 的直线 与曲线 相交于点 , . (1)求曲线 的方程; (2)动弦 满足: ,求点 的轨迹方程; 学科网(北京)股份有限公司【答案】(1) (2) ; 【分析】(1)根据椭圆的定义,可以直接写出动点P的轨迹方程 ; (2)由条件可知M是线段AB的中点,按照圆锥曲线中点弦的思路,运用点差法即可求解. 【详解】(1)因为动点 到两定点 , 的距离之和为 , 所以曲线 是以 , 为焦点的椭圆, , , 所以 , ,所以曲线 的方程为 ; (2)因为 ,所以 为 中点,设 , 当 的斜率存在且不为0时,将 , 代入椭圆方程中得: 两式相减得 ,即 ,所以 , 即 , ,整理得 ; 当 的斜率不存在或为0时,有 或 ,也满足 ; 所以点 的轨迹方程是 ; 综上,曲线 的方程为 ,点 的轨迹方程是 . 4.(23-24高二·全国·课后作业)已知椭圆 . (1)过椭圆的左焦点 引椭圆的割线,求截得的弦的中点 的轨迹方程; (2)求斜率为2的平行弦的中点 的轨迹方程; 【答案】(1) (在椭圆内部分) (2) (在椭圆内部分) 【分析】(1)设弦与椭圆两交点坐标分别为 、 ,设 ,进而分 和 ,结合点差法求解即可; (2)结合(1)中(*)式,代入 , , 整理即可; 【详解】(1)解:设弦与椭圆两交点坐标分别为 、 , 学科网(北京)股份有限公司设 ,当 时, . 当 时, , 两式相减得 ,即 (*), 因为 , , , 所以,代入上式并化简得 ,显然 满足方程. 所以点P的轨迹方程为 (在椭圆内部分). (2)解:设 ,在(1)中式子 里, 将 , , 代入上式并化简得点Q的轨迹方程为 (在椭圆内部分). 所以,点 的轨迹方程 (在椭圆内部分). 5.(23-24高三上·上海宝山·开学考试)已知曲线 上一动点 到两定点 , 的距离之和为 ,过点 的直线 与曲线 相交于点 , . (1)求曲线 的方程; (2)动弦 满足: ,求点 的轨迹方程; 【答案】(1) (2) 【分析】(1)根据椭圆的定义即可求解, (2)根据点差法和中点弦即可根据斜率关系进行求解, 【详解】(1)因为动点 到两定点 , 的距离之和为 , 所以曲线 是以 , 为焦点的椭圆, , , 所以 , ,所以曲线 的方程为 ; (2)因为 ,所以 为 中点,设 , 当 的斜率存在且不为0时,将 , 代入椭圆方程中得: 学科网(北京)股份有限公司两式相减得 ,故 故得 , 所以 ,所以 ,整理得 ; 当 的斜率不存在或为0时, 或 ,出满足 ; 所以点 的轨迹方程是 ; 6.(2024高三下·全国·专题练习)已知 为抛物线 的焦点,点 在该抛物线上且 位于 轴的两侧, (其中 为坐标原点).直线 在绕着定点转动的过程中, 求弦 中点 的轨迹方程. 【答案】 【分析】求出直线 过的定点,设出 三点的坐标,利用点差法求得三个坐标之间 的关系将定点坐标代入化简可得中点 的轨迹方程. 【详解】设直线 为 ,设 , 由 ,得 , 因为点 在抛物线上, 所以 , 所以 ,解得 或 (舍去), 由 ,得 , 由 ,得 , 则 ,得 , 所以直线 恒过定点 , 设 ,则 , 因为点 在抛物线上, 所以 , 两式相减得 , 当 时, ,即 , 因为直线 恒过定点 ,所以 , 学科网(北京)股份有限公司所以 ,所以 , 当 , 亦满足上式 所以所求为 . 7.(23-24高二上·全国·课前预习)已知抛物线 ,过点 作一条直线交抛物线 于 , 两点,试求弦 的中点轨迹方程. 【答案】 . 【分析】方法1:利用点差法,设点作差,要考虑斜率不存在的情况;方法2:可设出直线 的方程,将其与抛物线方程联立,可得一元二次方程,利用根与系数的关系及中点坐标公 式,消参即可得轨迹方程,同时要考虑斜率不存在的情况. 【详解】方法1:设 , ,弦 的中点为 ,则 , 当直线 的斜率存在时, . 因为 两式相减,得 . 所以 ,即 , 即 . 当直线 斜率不存在,即 轴时, 的中点为 ,适合上式, 故所求轨迹方程为 . 方法2:当直线 的斜率存在时,设直线 的方程为 ( ),由 得 . 所以 学科网(北京)股份有限公司所以 . 设 , , 的中点为 , 则 , . 所以 . 所以 消去参数 ,得 . 当直线 的斜率不存在时,即 轴时, 的中点为 ,适合上式, 故所求轨迹方程为 . 题型四:求曲线方程 1.(23-24高二上·云南玉溪·期末)已知椭圆C的中心为坐标原点,一个焦点为 , 过F的直线l与椭圆C交于A,B两点.若 的中点为 ,则椭圆C的方程为 ( ) A. B. C. D. 【答案】A 【分析】由题意涉及到中点弦,采用点差法求解即可. 【详解】不妨设椭圆方程为 ,由题意得: , 两式作差得: ,整理得: , 学科网(北京)股份有限公司因为AB的中点为 , , 所以 , 所以 ,所以 , 又因为 ,所以 . 故选:A. 2.(23-24高三上·天津西青·阶段练习)已知双曲线 的中心为原点, 是 的焦 点,过 的直线 与 相交于 , 两点,且 的中点为 ,则 的方程为 ( ) A. B. C. D. 【答案】C 【分析】求出直线 的方程,并设出双曲线 的方程,再联立并借助中点坐标即可计算作 答. 【详解】直线 的方程为: ,即 , 设双曲线 的方程为: ,由 消去y并整理得: , ,因弦 的中点为 , 于是得 ,即 ,而 ,解得 ,满足 , 所以双曲线 的方程为 ,即 . 故选:C 3.(23-24高二下·河北沧州·阶段练习)已知双曲线的中心在原点且一个焦点为 , 直线 与其相交于M,N两点,若MN中点的横坐标为 ,则此双曲线的方程是 ( ) 学科网(北京)股份有限公司A. B. C. D. 【答案】A 【分析】设双曲线的方程为 , , , , ,运用点差法,以及中点 坐标公式和直线的斜率公式,可得 , 的方程,结合 , , 的关系,解方程可得 , ,进而得到所求双曲线的方程. 【详解】解:设双曲线的方程为 , 由题意可得 ,① 设 , , , , 可得 , , 两式相减可得 , 由题意可得 的中点坐标为 ,直线 的斜率为 , 则 ,② 由①②解得 , , 所以双曲线的方程为 . 故选:A. 4.(2024 高三下·江苏·专题练习)已知 O 为坐标原点,点 在椭圆 C: 上,直线l: 与C交于A,B两点,且线段AB的中点为M,直 线OM的斜率为 ,则C的方程为 . 【答案】 【分析】 根据点差法,结合斜率公式可得 ,进而根据椭圆经过点 ,即可求解. 【详解】 设 ,则 学科网(北京)股份有限公司∵ 在椭圆上,则 两式相减得 ,整理得 ∴ ,即 ,则 又∵点 在椭圆C: 上,则 联立解得 ∴椭圆C的方程为 故答案为: 5.(2024·内蒙古呼和浩特·一模)已知椭圆 与直线 交于 两 点,且线段 的中点为 ,则椭圆 的方程为 . 【答案】 【分析】 代入直线 ,求得直线斜率,然后利用点差法化简计算即可 得出结果. 【详解】 代入直线 ,可得: , , 所以直线方程为: . 设 ,代入椭圆方程得 , 学科网(北京)股份有限公司两式相减得: , 即 ,又 , 所以 , 又因为直线的斜率为 ,所以 ,解得: . 所以椭圆 的方程为 . 故答案为: . 6.(2024·上海杨浦·一模)已知抛物线 的焦点为 ,第一象限的 、 两 点在抛物线上,且满足 , .若线段 中点的纵坐标为4,则抛物线 的方程为 . 【答案】 【分析】先根据焦半径公式得到 的关系,然后根据弦长公式求解出 ,结合两点间 斜率公式以及点在抛物线上求解出 的值,则抛物线方程可求. 【详解】设 , 因为 , 所以 ,所以 , 又因为 ,所以 , 因为 都在第一象限,所以 , 学科网(北京)股份有限公司又因为 且 , 所以 ,所以 ,所以抛物线方程为 , 故答案为: . 题型五:处理存在性问题 1.(2024·湖北武汉·模拟预测)已知 ,直线 不过原点 且不平行 于坐标轴, 与 有两个交点 ,线段 中点为 . (1)若 ,点 在椭圆 上, 分别为椭圆的两个焦点,求 的取值范 围; (2)若 过点 ,射线 与椭圆 交于点 ,四边形 能否为平行四边形?若 能,求出此时直线 的斜率;若不能,请说明理由. 【答案】(1) ;(2)能, . 【分析】(1)求得焦点坐标,设 ,运用向量数量积的坐标表示,结合椭圆的范 围,可得所求范围; (2)设A,B的坐标分别为 运用中点坐标公式和点差法,直线的斜率 公式,结合平行四边形的性质,即可得到所求斜率. 【详解】(1)当 时,椭圆 ,椭圆的两个焦点 . 设 ,则 ,即 , 所以 , 所以 因为 ,所以 所以 的范围是 . (2)设A,B的坐标分别为 可得 .则 , 学科网(北京)股份有限公司两式相减可得 ,即 . 又设 ,直线 , 即直线的方程为 , 从而 代入椭圆方程可得, . 由 与 联立得 . 若四边形OAPB为平行四边形,那么M也是OP的中点,所以 ,即 ,整理可得 ,解得 . 经检验满足题意,所以当 时,四边形OAPB为平行四边形. 2.(23-24高二下·安徽宿州·期末)已知椭圆 : 的左、右焦点为 , ,点 在椭圆 上,且 面积的最大值为 ,周长为6. (1)求椭圆 的方程,并求椭圆 的离心率; (2)已知直线 : 与椭圆 交于不同的两点 ,若在 轴上存在点 ,使得 与 中点的连线与直线 垂直,求实数 的取值范围 【答案】(1) ,椭圆的离心率 (2) 【分析】(1)利用基本量法,列方程 ,求解即可. (2)联立方程组,利用根与系数的关系求出 的中点 的坐标,根据 与 中点的连 线与直线 垂直得出 点横坐标 的表达式,利用基本不等式得出 的取值范围. 【详解】(1)由题意得 ,解之得 , , , 所以椭圆 的方程为 , 椭圆的离心率 ; 学科网(北京)股份有限公司(2)由 得 , 设 , ,则 , , 所以线段 中点的坐标为 , 则 ,整理得 , 因为 ,所以 ,当且仅当 ,即 时上式取得等号, 此时 取得最小值 , 因为 ,所以 , 所以实数 的取值范围是 . 【点睛】本题考查了椭圆的性质,直线与椭圆的位置关系,属于中档题. 3.(23-24高二下·上海浦东新·期中)已知双曲线 . (1)若离心率为 ,求b的值, 的顶点坐标、渐近线方程; (2)若 ,是否存在被点 平分的弦?如果存在,求弦所在的直线方程;如不存 在,请说明理由. 【答案】(1) ,顶点坐标 ,渐近线 ; (2)不存在,理由见解析. 【分析】(1)根据离心率和a、b、c的关系即可求出b,根据双曲线的性质可求其顶点坐标 和渐近线方程; (2)假设存在被M平分的弦,利用点差法求出弦的斜率和方程,将弦的方程代入双曲线方程 判断是否有两个解即可. 【详解】(1) , a=1,故双曲线顶点为 ,渐近线方程为 ; (2)当 时,双曲线为 , 学科网(北京)股份有限公司假设双曲线存在被点 平分的弦,设弦的两个端点为 , , 则 , , ∵A、B在双曲线上,∴ , ①-②得: , 则 , ∴弦AB所在直线方程为: , 代入双曲线方程得 , ∵ ,故AB与双曲线无交点,假设不成立. 故不存在被点 平分的弦. 4.(23-24高二上·河南洛阳·阶段练习)已知双曲线M与椭圆 有相同的焦 点,且M与圆 相切. (1)求M的虚轴长. (2)是否存在直线l,使得l与M交于A,B两点,且弦AB的中点为 ?若存在,求l 的斜率;若不存在,请说明理由. 【答案】(1) (2)存在,2 【分析】(1)根据题意得出双曲线方程后求解; (2)中点弦问题,可用点差法,化简后得到斜率,然后代回检验. 【详解】(1)因为椭圆 的焦点坐标为 所以可设M的方程为 . 因为M与圆 相切,所以 , 则 ,故M的虚轴长 . (2)由(1)知,M的方程为 . 学科网(北京)股份有限公司设A,B两点的坐标分别为 , ,则 两式相减得 , 假设存在直线l满足题意.则 所以 , 因此l的方程为 ,代入M的方程,整理得 , ,l与M相 交, 故存在直线l满足题意,且l的斜率为2. 题型六:确定参数的取值范围 1.(23-24高二上·安徽合肥·期末)设圆 与两圆 中的 一个内切,另一个外切. (1)求圆心 的轨迹 的方程; (2)已知直线 与轨迹 交于不同的两点 ,且线段 的中点在圆 上,求实数 的值. 【答案】(1) (2) 【分析】(1)根据圆与圆的位置关系结合双曲线的定义分析求解; (2)联立方程结合韦达定理运算求解. 【详解】(1)圆 的圆心为 ,半径为1,圆 的 圆心为 ,半径为1, 设圆 的半径为 , 若圆 与圆 内切,与圆 外切,则 , 可得 ; 若圆 与圆 内切,与圆 外切,则 , 可得 ; 综上所述: , 学科网(北京)股份有限公司可知:圆心 的轨迹 是以 、 为焦点的双曲线,且 , 可得 ,所以圆心 的轨迹 的方程 . (2)联立方程 ,消去y得 , 则 ,可知直线与双曲线相交, 设 ,线段 的中点为 , 可得 ,即 , 且 在圆 上,则 ,解得 , 所以实数 的值为 . 2.(23-24高二上·山东菏泽·期中)在平面直角坐标系xOy中,动圆P和圆 : 内切,且与圆 : 外切,记动圆P的圆心轨迹为 E. (1)求轨迹E的方程; (2)若直线l: 与E交于不同的两点M、N,线段MN的中点记为A,且线段 MN的垂直平分线过定点 ,求k的取值范围. 【答案】(1) ; (2) 或 . 【分析】(1)由圆的内切,外切位置关系可得 , ,即 学科网(北京)股份有限公司,由椭圆的定义,分析即得解; (2)联立直线与椭圆,结合韦达定理求解弦中点坐标,用斜率表示直线的垂直关系可得 ,代入 ,求解即可. 【详解】(1)由题意,圆 的标准方程为: ,圆心 , 圆 的标准方程为 ,圆心 , 不妨设动圆P的半径为 , 动圆P和圆 内切,故 ;动圆P和圆 外切,故 , 即 ,又 , 故动圆P的圆心轨迹是以 为焦点的椭圆, , 即轨迹E的方程是: . (2)由题意,联立直线与椭圆: ,可得 , 不妨设 ,则 , 即 , , 线段MN的中点横坐标 ,纵坐标 , 线段MN的垂直平分线过定点 ,故 , 即 ,代入 可得, ,即 即 ,解得 或 . 3.(23-24高二上·河南·阶段练习)已知椭圆 的离心率为 ,点 学科网(北京)股份有限公司在椭圆C上. (1)求椭圆C的标准方程; (2)已知直线 与椭圆C交于P,Q两点,点M是线段PQ的中点,直线 过点M,且与直线l垂直.记直线 与y轴的交点为N,求 的取值范围. 【答案】(1) (2) 【分析】(1)求出 后可得椭圆的方程. (2)联立直线 的方程和椭圆方程,消去 后利用韦达定理可用 表示 ,利用换元法 和二次函数的性质可求 的取值范围. 【详解】(1)由题意可得 ,解得 , . 故椭圆C的标准方程为 . (2)设 , , . 联立 ,整理得 , 则 ,解得 , 从而 , . 因为M是线段PQ的中点,所以 , 则 ,故 . 直线 的方程为 ,即 . 学科网(北京)股份有限公司令 ,得 ,则 , 所以 . 设 ,则 , 故 . 因为 ,所以 ,所以 . 4.(23-24高二上·广东·阶段练习)已知中心在原点的双曲线 的右焦点为 ,右顶点 为 . ( )求双曲线 的方程; ( )若直线 与双曲线 交于不同的两点 , ,且线段 的垂 直平分线过点 ,求实数 的取值范围. 【答案】(1) ;(2) . 【详解】试题分析:(1)由双曲线 的右焦点为 ,右顶点为 求出 和 ,进而 根据 求得 ,则双曲线方程可得;(2)把直线方程与双曲线方程联立,消去 , 利用判别式大于 求得 和 的不等式关系,设 的中点为 ,根据韦达定理表示出 和 ,根据 ,可知 的斜率为 ,进而求得 和 的关系,最后综合可求得 的范围. 试题解析:( )设双曲线方程为 . 由已知得 , , , ∴ . 故双曲线 的方程为 . ( )联立 , 学科网(北京)股份有限公司整理得 . ∵直线与双曲线有两个不同的交点, ∴ , 可得 .( ) 设 、 , 的中点为 . 则 , , . 由题意, ,∴ . 整理得 .( ) 将( )代入( ),得 , ∴ 或 . 又 ,即 . ∴ 的取值范围是 . 【方法点晴】本题主要考查待定系数求椭圆方程以及直线与椭圆的位置关系,属于难题. 用待定系数法求椭圆方程的一般步骤;①作判断:根据条件判断椭圆的焦点在 轴上,还 是在 轴上,还是两个坐标轴都有可能;②设方程:根据上述判断设方程 或 ;③找关系:根据已知条件,建立关于 、 、 的方程组;④得方程:解方程组,将解代入所设方程,即为所求. 题型七:定值问题 1.(23-24高二上·陕西西安·期末)已知椭圆 的一个顶点为 ,椭圆上任一点到两个焦点的距离之和 . (1)求椭圆C的方程; (2)是否存在实数m,使直线 与椭圆有两个不同的交点M、N,并使 ,若存在,求出m的值;若不存在,请说明理由. 学科网(北京)股份有限公司【答案】(1) (2)不存在,理由见解析 【分析】(1)结合椭圆的定义,结合顶点坐标,即可求椭圆方程; (2)首先求线段 的中垂线方程,根据点 在中垂线上,求 ,并判断是否满足 . 【详解】(1)椭圆 的一个顶点为 得 椭圆上任一点到两个焦点的距离之和 得 即 所以椭圆的方程为 (2)设直线l与椭圆C两个不同的交点 ∵ 所以,点A在线段 的中垂线 ,下面求 的方程 联立方程 去y,可得 由 ,解得 设 的中点为 ,有 则 的方程为 即 由于点A在直线 的中垂线 上,解得 又∵ 所以不存在实数m满足题意. 2.(23-24高二上·辽宁盘锦·期中)已知椭圆 的焦距为4,且离心 率为 . (1)求椭圆C的方程; (2)若直线 与椭圆C交于不同的两点M,N,且线段MN的中点P在圆 上,求m的值. 【答案】(1) 学科网(北京)股份有限公司(2) 【分析】(1)由题列出关于a、b、c的方程组即可求椭圆方程; (2)联立直线方程和椭圆方程,根据根与系数的关系求得P的坐标,代入圆的方程即可求得 m. 【详解】(1)由题意,得 ,解得 ,所以椭圆C的方程为 . (2)设点M,N的坐标分别为 , ,线段MN的中点为 , 由 消y,得 , ,解得 . 所以 , ,所以 , , 因为点 在圆 上,所以 ,解得 ,满足 . ∴ . 3.(2024·云南·模拟预测)设圆 与两圆 中的一个内 切,另一个外切. (1)求圆心 的轨迹 的方程; (2)已知直线 与轨迹 交于不同的两点 ,且线段 的中点在圆 上,求实数 的值. 【答案】(1) ; (2)7. 【分析】 (1)根据给定信息,结合两圆内切、外切的定义列式求出轨迹 即可得解. (2)联立直线与轨迹 的方程,并求出线段 的中点坐标即可求解. 【详解】(1)圆 的圆心为 ,半径为1, 圆 的圆心为 ,半径为1, 学科网(北京)股份有限公司设圆 的半径为 , 若圆 与圆 内切,与圆 外切,则 ,得 ; 若圆 与圆 内切,与圆 外切,则 ,得 , 因此 ,则圆心 的轨迹 是以 为焦点的双曲线, 且实半轴长 ,半焦距 ,虚半轴长 , 所以圆心 的轨迹 的方程为 . (2)由 消去 得: , 显然 ,设 ,线段 的中点 , 于是 ,即 , 由 在圆 上,得 ,解得 ,又 , 所以实数 的值为7. 4.(2024高三·全国·专题练习)已知倾斜角为45°的直线l过点A(1,-2)和点B,B在第一象 限, . (1)求点B的坐标; (2)若直线 与双曲线 相交于E,F两点,且线段EF的中点坐标为 ,求a的值. 【答案】(1)(4,1).(2)2 【分析】(1)根据直线 的倾斜角、 点坐标以及 ,求得 点的坐标. (2)利用点差法列方程,解方程求得 的值. 【详解】(1)依题意 ,所以点B的坐标为(4,1). 学科网(北京)股份有限公司(2)设直线 与曲线 交于两点 , 的中点为 ,则有E、F既在直线上又在曲线上,则 ; ; (1)-(2)并化简得: ,即 ,代入点(4,1),得 ,因 为 ,可得a=2. 【点睛】本小题主要考查双曲线中的中点弦问题求解,属于基础题. 5.(2024·全国·模拟预测)已知长为 的线段 的中点为原点 ,圆 经过 两点 且与直线 相切,圆心 的轨迹为曲线 . (1)求曲线 的方程; (2)过点 且互相垂直的直线 分别与曲线 交于点 和点 ,且 ,四边形 的面积为 ,求实数 的值. 【答案】(1) (2) 【分析】(1)直接写出圆心 符合的等量关系式,进而得到曲线 的方程; (2)先用点差法求出 方程,再联立曲线 ,用弦长公式求 ,根据垂直,同理可求 ,再表示面积即可求出实数 的值. 【详解】(1)由题意知圆心 在线段 的垂直平分线上,则 ,设 ,圆 的半径为 , 则 , 又圆 与直线 相切,故 , 于是 ,化简得 , 所以曲线 的方程为 . (2)设 ,根据 可得 为 的中点, 则 ,得 , 学科网(北京)股份有限公司即 ,所以直线 . 联立方程,得 ,得 , 由 ,得 , 所以 , 所以 . 设 ,因为 互相垂直,易知直线 , 联立方程,得 , 得 , 由 ,得 , 所以 , 所以 . 则四边形 的面积为 . 令 , 化简得 , 解得 (舍)或 ,符合 ,所以 . 三、专项训练 一、单选题 1.(23-24高二上·安徽六安·期末)已知椭圆 的右焦点为 , 过点 的直线交椭圆 于 两点,若 的中点坐标为 ,则椭圆 的方程为 ( ) 学科网(北京)股份有限公司A. B. C. D. 【答案】C 【分析】点差法得到 ,从而得到 ,结合 , 求出 ,得到椭圆方程. 【详解】由题意,设 ,代入椭圆方程 , 可得 两式相减可 , 变形可得 , 又过点 的直线交椭圆 于 两点,且 的中点 为 , 所以 , 代入上式可得, ,又 , 解得 ,所以椭圆 的方程为 . 故选:C 2.(23-24高二上·河北石家庄·期末)已知椭圆 , 是椭圆 的一条弦 的中点,点 在直线 上,则椭圆的离心率为( ) A. B. C. D. 【答案】C 【分析】根据给定条件,求出直线 的方程,与椭圆 的方程联立结合韦达定理求出 的关系计算即得. 【详解】依题意,直线 的斜率 ,直线 的方程为 ,即 , 学科网(北京)股份有限公司由 消去 并整理得: , 则 ,即 , 设 ,则 ,而弦 的中点为 ,即 , 于是 ,解得 ,此时 所以椭圆 的离心率 . 故选:C 3.(23-24高二上·山西太原·期末)在椭圆 中,以点 为中点的弦所在的 直线方程为( ) A. B. C. D. 【答案】C 【分析】 先确定点 在椭圆内部,设交点为 ,代入椭圆方程做差,然后整理可得 直线斜率,利用点斜式可得直线方程. 【详解】因为 ,故点 在椭圆内部,过点 的直线恒与椭圆有 两个交点,设交点为 ,则 , 又 ,两式相减得 , 整理得 , 所以以点 为中点的弦所在的直线方程为 , 即 . 故选:C. 4.(23-24高二上·湖南衡阳·期末)已知斜率为2的直线 与椭圆 交 于 两点, 为线段 的中点, 为坐标原点,若 的斜率为 ,则 的离心率为 学科网(北京)股份有限公司( ) A. B. C. D. 【答案】D 【分析】利用点差法求解. 【详解】设 ,则 ,两式作差可得 , 因为 ,又 , 所以 ,所以 的离心率为 . 故选:D 5.(2024·陕西宝鸡·模拟预测)已知直线 与双曲线 交 于 两点,点 是弦 的中点,则双曲线 的离心率为( ) A.2 B. C. D.3 【答案】A 【分析】利用点差法可求 的关系,从而可求双曲线的离心率. 【详解】设 ,则 ,且 , 所以 ,整理得到: , 因为 是弦 的中点, 所以 ,所以 即 所以 , 故选:A. 6.(23-24高三下·全国·阶段练习)设直线 与双曲线 分别交于 两点,若线段 的中点横坐标是 ,则该双曲线的离 心率是( ) 学科网(北京)股份有限公司A. B. C.2 D. 【答案】A 【分析】根据给定条件,联立直线与双曲线方程,借助中点横坐标列式求解即得. 【详解】由线段 的中点横坐标是 ,得线段 的中点纵坐标是 ,设 , 由 消去x得 , , 因此 ,整理得 ,显然 成立, 所以该双曲线的离心率 . 故选:A 7.(23-24高二上·天津和平·期末)直线l与双曲线 交于A,B两点,线段AB的 中点为点 ,则直线l的斜率为( ) A. B. C. D. 【答案】D 【分析】设 , ,代入双曲线方程,两式相减可得 ,由题 目条件经整理后可得答案. 【详解】设 , ,则直线l的斜率为 代入 ,得 ,两式相减得: . 又线段AB的中点为点 ,则 . 则 .经检验满足题意. 故选:D 二、填空题 学科网(北京)股份有限公司8.(23-24高二上·福建福州·期末)已知椭圆 的右焦点为 ,离心率 为 ,过点 的直线 交椭圆于 两点,若 的中点为 ,则直线 的斜率为 . 【答案】 【分析】根据中点坐标公式、椭圆离心率公式,结合点差法进行求解即可. 【详解】设 , ,则 的中点坐标为 , 由题意可得 , , 将 , 的坐标的代入椭圆的方程: , 作差可得 , 所以 , 又因为离心率 , ,所以 , 所以 ,即直线 的斜率为 , 故答案为: . 9.(23-24高二上·北京平谷·期末)已知圆 内有一点 ,经 过点 的直线 与圆 交于 两点,当弦 恰被点 平分时,直线 的方程为 . 【答案】 【分析】求得圆心坐标为 ,易知 ,利用斜率之间的关系可得 ,即 可求得直线 的方程. 【详解】易知 可表示为 , 可知圆 的圆心坐标为 ,半径为 ,如下图所示: 学科网(北京)股份有限公司根据题意由圆的性质可知 ,易知 ,所以 ; 由直线的点斜式方程可得直线 的方程为 ,即 . 故答案为: 10.(2024高二·全国) 与 的左支交于 两点,直线 过 及 中点,则 在 轴上截距范围为 . 【答案】 【分析】先联立两个方程,再由韦达定理表达直线 的方程,再求截距范围即可. 【详解】设 , 把 代入 整理得 因为直线与双曲线左支交于两点,故方程有两负根. 所以 ,所以 . 又因为 中点为 , 所以直线 方程为 ,令 ,截距 , 由 得 . 故答案为: 11.(23-24高二上·广西河池·阶段练习)过点 的直线l与双曲线 交于A、 B两点,若M恰好是线段AB的中点,则直线l的斜率为 . 【答案】6 【分析】设 ,根据题意利用点差法运算求解. 学科网(北京)股份有限公司【详解】设 ,则 , 由题意可知:直线l的斜率存在,则 , 因为A、B在双曲线 上,则 , 两式相减得 ,则 , 即 ,整理得 , 此时直线 ,即 , 联立方程 ,消去y得 , 则 ,即直线l与双曲线 有两个交点, 符合题意,所以直线l的斜率为6. 故答案为:6. 三、解答题 12.(23-24高二下·北京·开学考试)已知椭圆 的离心率 ,椭圆 上任意一点到椭圆的两个焦点的距离之和为4.若直线 过点 ,且与椭圆相交于不同的 两点 . (1)求椭圆的标准方程; (2)若线段 中点的纵坐标 ,求直线 的方程. 【答案】(1) (2) 【分析】 (1)根据已知条件及椭圆的简单几何性质即可求解; (2)根据已知条件设出直线 的方程,将直线的方程与椭圆的方程联立方程组,利用韦达 定理及中点坐标公式,结合线段 中点在直线 上即可求解. 【详解】(1)由题意可知 ,解得 , 学科网(北京)股份有限公司因为 , 所以 , 所以 ,解得 . 所以椭圆的方程为 . (2)由题意可知直线斜率存在,如图所示 设 ,设 , 消 得, , 所以 ,解得 . , 设线段 中点的坐标为 , 所以 , 又因为线段 中点的纵坐标 , 所以 ,解得 , 所以直线方程为 ,即 . 13.(23-24高二上·江苏连云港·期中)已知双曲线E: 的左、右焦 点分别为 , ,斜率为2的直线l与E的一条渐近线垂直,且交E于A,B两点, 学科网(北京)股份有限公司. (1)求E的方程; (2)设点P为线段AB的中点,求直线OP的方程. 【答案】(1) (2) 【分析】(1)根据双曲线中 ,求得 ,再由双曲线的渐近线方程及斜 率,求出 ,即可得到E的方程; (2)设 , ,可表示出直线AB和直线OP的斜率,再用点差法求出直线 OP的斜率,即可得到直线OP的方程. 【详解】(1)因为在双曲线E: 中, , 所以 ,即 . 双曲线E: 的渐近线方程为 , 因为斜率为2的直线l与E的一条渐近线垂直,所以 ,所以 所以E的方程为 . (2)设 , ,则 . 线段AB的中点P的坐标为 ,则 , 又点A,B在双曲线E上,所以 , ②-①得, , 两边同时除以 并整理,得 . 又 , , ,所以 . 所以直线OP的方程为: . 学科网(北京)股份有限公司14.(2023·陕西汉中·模拟预测)已知抛物线 的焦点为 ,点 在 抛物线 上,且 . (1)求抛物线 的方程; (2)已知直线 交抛物线 于 两点,且点 为线段 的中点,求直线 的方程. 【答案】(1) (2) 【分析】(1)利用抛物线定义可求得 ,即可求出抛物线 的方程; (2)由弦中点坐标为 并利用点差法即可求得直线 的斜率为 ,便可得直线方程. 【详解】(1)点 在抛物线 上, 由抛物线定义可得 ,解得 , 故抛物线 的标准方程为 . (2)设 ,如下图所示: 则 ,两式相减可得 , 即 , 又线段 的中点为 ,可得 ; 则 ,故直线 的斜率为4, 所以直线 的方程为 , 即直线 的方程为 . 学科网(北京)股份有限公司