当前位置:首页>文档>专题03椭圆中的最值问题(解析版)_02高考数学_2024年新高考资料_3.2024专项复习_2024年新高考数学之圆锥曲线专项重难点突破练(新高考专用)

专题03椭圆中的最值问题(解析版)_02高考数学_2024年新高考资料_3.2024专项复习_2024年新高考数学之圆锥曲线专项重难点突破练(新高考专用)

  • 2026-04-07 17:25:43 2026-04-07 17:12:04

文档预览

专题03椭圆中的最值问题(解析版)_02高考数学_2024年新高考资料_3.2024专项复习_2024年新高考数学之圆锥曲线专项重难点突破练(新高考专用)
专题03椭圆中的最值问题(解析版)_02高考数学_2024年新高考资料_3.2024专项复习_2024年新高考数学之圆锥曲线专项重难点突破练(新高考专用)
专题03椭圆中的最值问题(解析版)_02高考数学_2024年新高考资料_3.2024专项复习_2024年新高考数学之圆锥曲线专项重难点突破练(新高考专用)
专题03椭圆中的最值问题(解析版)_02高考数学_2024年新高考资料_3.2024专项复习_2024年新高考数学之圆锥曲线专项重难点突破练(新高考专用)
专题03椭圆中的最值问题(解析版)_02高考数学_2024年新高考资料_3.2024专项复习_2024年新高考数学之圆锥曲线专项重难点突破练(新高考专用)
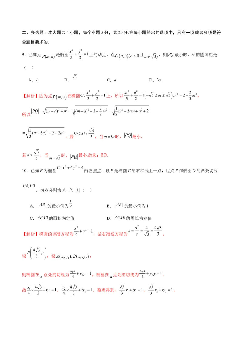
专题03椭圆中的最值问题(解析版)_02高考数学_2024年新高考资料_3.2024专项复习_2024年新高考数学之圆锥曲线专项重难点突破练(新高考专用)
专题03椭圆中的最值问题(解析版)_02高考数学_2024年新高考资料_3.2024专项复习_2024年新高考数学之圆锥曲线专项重难点突破练(新高考专用)
专题03椭圆中的最值问题(解析版)_02高考数学_2024年新高考资料_3.2024专项复习_2024年新高考数学之圆锥曲线专项重难点突破练(新高考专用)
专题03椭圆中的最值问题(解析版)_02高考数学_2024年新高考资料_3.2024专项复习_2024年新高考数学之圆锥曲线专项重难点突破练(新高考专用)
专题03椭圆中的最值问题(解析版)_02高考数学_2024年新高考资料_3.2024专项复习_2024年新高考数学之圆锥曲线专项重难点突破练(新高考专用)
专题03椭圆中的最值问题(解析版)_02高考数学_2024年新高考资料_3.2024专项复习_2024年新高考数学之圆锥曲线专项重难点突破练(新高考专用)
专题03椭圆中的最值问题(解析版)_02高考数学_2024年新高考资料_3.2024专项复习_2024年新高考数学之圆锥曲线专项重难点突破练(新高考专用)
专题03椭圆中的最值问题(解析版)_02高考数学_2024年新高考资料_3.2024专项复习_2024年新高考数学之圆锥曲线专项重难点突破练(新高考专用)
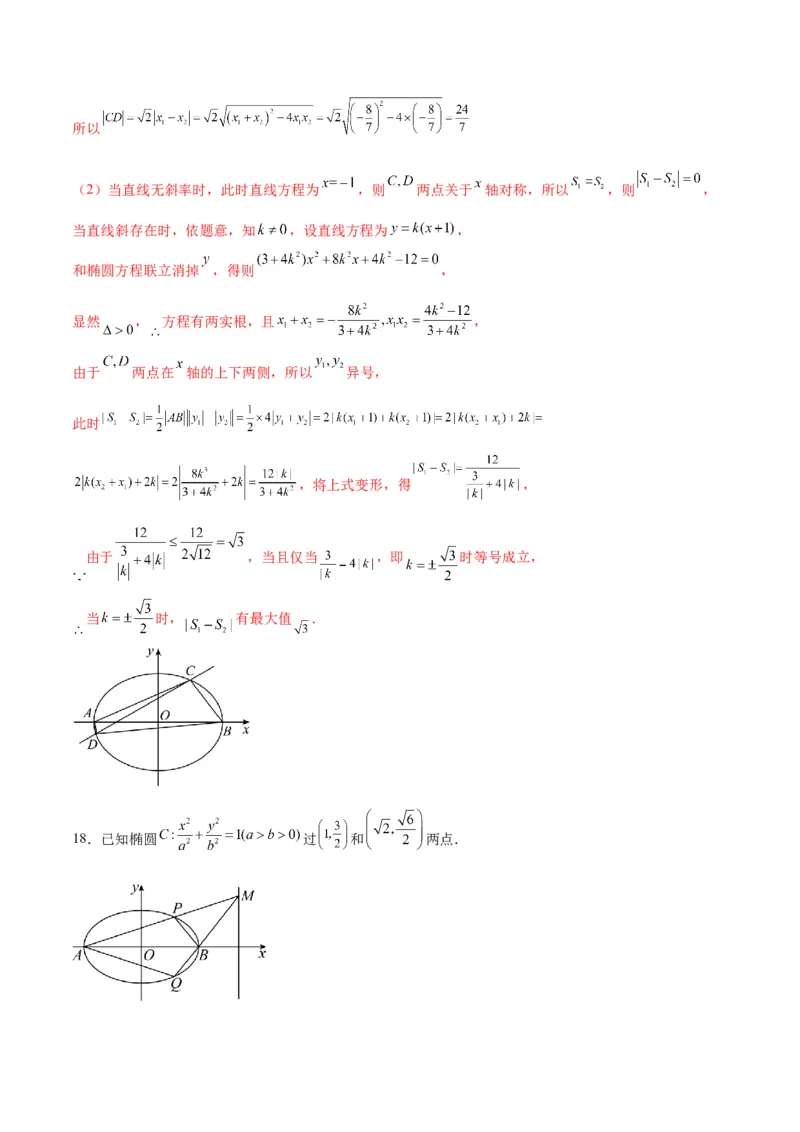
专题03椭圆中的最值问题(解析版)_02高考数学_2024年新高考资料_3.2024专项复习_2024年新高考数学之圆锥曲线专项重难点突破练(新高考专用)
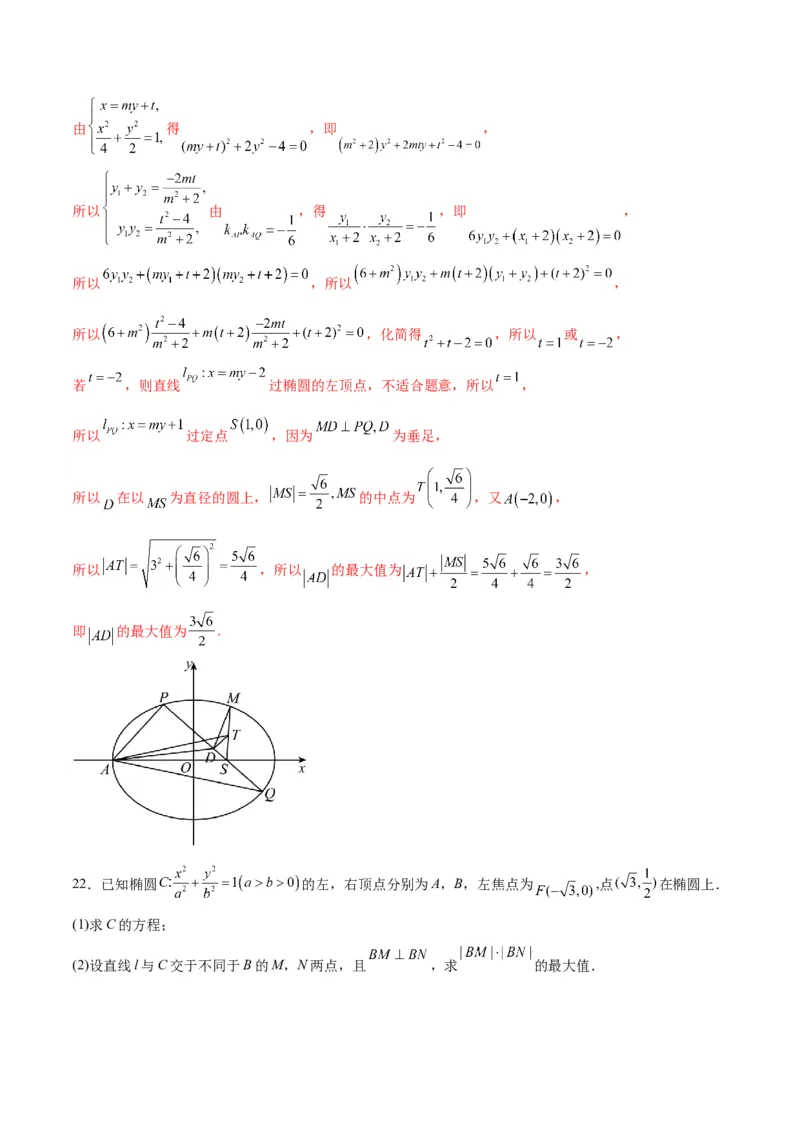
专题03椭圆中的最值问题(解析版)_02高考数学_2024年新高考资料_3.2024专项复习_2024年新高考数学之圆锥曲线专项重难点突破练(新高考专用)
专题03椭圆中的最值问题(解析版)_02高考数学_2024年新高考资料_3.2024专项复习_2024年新高考数学之圆锥曲线专项重难点突破练(新高考专用)
专题03椭圆中的最值问题(解析版)_02高考数学_2024年新高考资料_3.2024专项复习_2024年新高考数学之圆锥曲线专项重难点突破练(新高考专用)
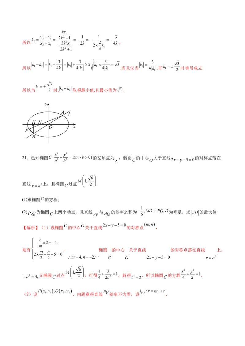
专题03椭圆中的最值问题(解析版)_02高考数学_2024年新高考资料_3.2024专项复习_2024年新高考数学之圆锥曲线专项重难点突破练(新高考专用)
专题03椭圆中的最值问题(解析版)_02高考数学_2024年新高考资料_3.2024专项复习_2024年新高考数学之圆锥曲线专项重难点突破练(新高考专用)
专题03椭圆中的最值问题(解析版)_02高考数学_2024年新高考资料_3.2024专项复习_2024年新高考数学之圆锥曲线专项重难点突破练(新高考专用)
专题03椭圆中的最值问题(解析版)_02高考数学_2024年新高考资料_3.2024专项复习_2024年新高考数学之圆锥曲线专项重难点突破练(新高考专用)
专题03椭圆中的最值问题(解析版)_02高考数学_2024年新高考资料_3.2024专项复习_2024年新高考数学之圆锥曲线专项重难点突破练(新高考专用)
专题03椭圆中的最值问题(解析版)_02高考数学_2024年新高考资料_3.2024专项复习_2024年新高考数学之圆锥曲线专项重难点突破练(新高考专用)

文档信息

文档格式
docx
文档大小
1.267 MB
文档页数
19 页
上传时间
2026-04-07 17:12:04

文档内容

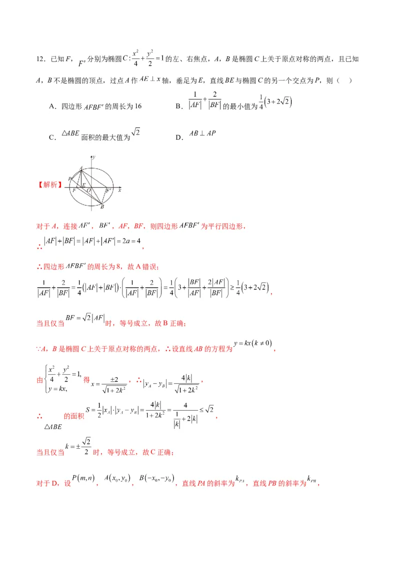
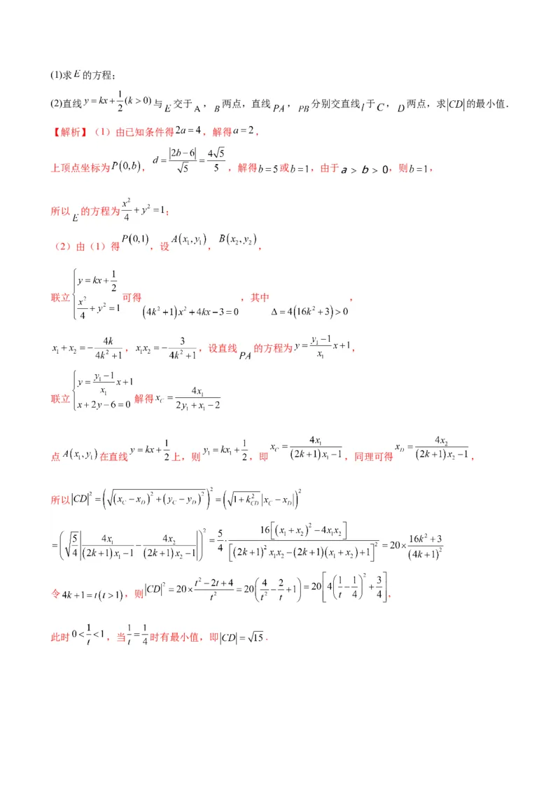
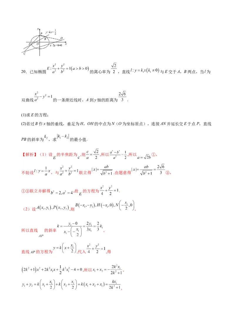
专题03 椭圆中的最值问题 限时:120分钟 满分:150分 一、单选题:本大题共8小题,每个小题5分,共40分.在每小题给出的选项中,只有一项是符合题目要 求的. 1.已知点P为椭圆 上任意一点,点M、N分别为 和 上的点,则 的最大值为( ) A.4 B.5 C.6 D.7 【解析】设圆 和圆 的圆心分别为 ,半径分别为 . 则椭圆 的焦点为 .又 , , , 故 ,当且仅当 分别在 的延长线上时取等号. 此时 最大值为 .故选:C. 2.点 为椭圆 上任意一点, 分别为左、右焦点,则 的最大值为( ) A.2 B.3 C.4 D.不存在 【解析】 设 , 所以 , 所以当 时,取到最大值,最大值为3.故选:B. 3.已知椭圆C: 的左、右焦点分别为 , ,圆 : ,点P和点B分 别为椭圆C和圆A上的动点,当 取最小值3时, 的面积为( )A. B. C.2 D. 【解析】由题知 ,所以 . 所以 , 因为 ,所以 , 所以 .当P,B两点在 的延长线上时,等号成立. 所以 ,所以 , . 所以直线 的方程为 ,即 ,与方程 联立, 可得 ,解得 (负值已舍去,其中 为点P的纵坐标). 所以 的面积为 .故选:A. 4.设 、 是椭圆 的左、右焦点,点P是直线 上一点,则 的最大值是 ( ) A. B. C. D. 【解析】由题意得: ,则 ,所以 . 因为点P是直线 上一点, 不妨设 , 设直线 的倾斜角为 ,直线 的倾斜角为 , 则 , , 于是 , 当且仅当 时等号成立,因为 在 上单调递增,所以 的最大值是 .故选:A. 5.已知椭圆 .过点 作圆 的切线 交椭圆 于 两点.将 表示为 的函数, 则 的最大值是( ) A.1 B.2 C.3 D.4 【解析】由题意知, , 当 时,切线 的方程为 ,点 , 的坐标分别为 , ,此时 ; 当 时,同理可得 ;当 时,设切线方程为 , 由 得 , 设 , 两点两点坐标分别为 , ,则 , , 又由 于圆 相切,得 ,即 , ∴ , 由于当 时, ,∴ , , ∵ ,当且仅当 时, ,∴ 的最大值为2.故选:B. 6.过椭圆C: 上的点 , 分别作C的切线,若两切线的交点恰好在直线 : 上,则 的最小值为( )A. B. C.-9 D. 【解析】先证椭圆的切线方程:对于 上一点 ,过 点的切线方程为 , 证明:当该切线存在斜率时,不妨设其方程为 ,与椭圆方程联立可得: , 则 , 代入切线方程得 ,于是 ,从而切线方程为 , 整理得: 由椭圆方程 ,知 , ,所以 . 设两切线交点 ,易得切线PA的方程为 , 切线PB的方程为 .由于点P在切线PA、PB上, 则 ,故直线AB的方程为 , 联立方程 ,消去 得 ,显然 , 由韦达定理得 .即 的最小值为 .故选:B. 7.已知O为坐标原点,椭圆 上两点A,B满足 .若椭圆C上一点M满足 ,则 的最大值为( ) A.1 B. C. D.2【解析】设 ,则 ,由 ,得 , , 由 ,得 ,即 ,又 ,因此 , 而 ,于是 ,当且仅当 时取“=”, 所以 的最大值为 .故选:B 8.已知 , 是椭圆 : 的两个焦点, 为 上一点,则 的最小值为( ) A. B.8 C. D. 【解析】由题意得:椭圆 : 的两个焦点在y轴上,且 ,故 , 则 ,故 ,由椭圆定义可知: , 设 ,则由椭圆性质可知: ,故 , , 其中 , 令 ,则 ,则 , 由对勾函数的性质可知: 在 上单调递增, 故当 时, 取得最小值,最小值为 , 故 ,等且仅当 时,等号成立.故选:D二、多选题:本大题共4小题,每个小题5分,共20分.在每小题给出的选项中,只有一项或者多项是符 合题目要求的. 9.已知点 是椭圆 上的动点,点 且 ,则|PQ|最小时,m的值可能是 ( ) A.-1 B. C.a D.3a 【解析】因为点 在椭圆 上,所以 , 所以 ,若 ,当 时, 最小, 若 ,当 时, 最小.故选:BD. 10.已知F为椭圆 的左焦点.设P是椭圆C的右准线上一点,过点P作椭圆O的两条切线 ,切点分别为A,B,则( ) A. 的最小值为 B. 的最小值为1 C. 的面积为定值 D. 的周长为定值 【解析】椭圆的标准方程为 ,故右准线方程为 , 设 ,设 , 则椭圆在 点处的切线为 ,椭圆在 点处的切线为 , 故 , ,整理得到: , ,故 ,故 过定点 即 过右焦点 . 于是 的最小值为通径长 ,故A错误. 的周长为定值 ,故B正确.. 考虑到当点P的纵坐标趋于无穷大时, 趋于椭圆的长轴, 因此 的面积必然不为定值,故C错误. 故选:BD. 11.已知 , 为椭圆 的左、右焦点, 为椭圆上的动点,则下面四个结论正确的是( ) A.椭圆的离心率为 B. 的最大值为4 C. 的最大值为3 D. 的最大值为 【解析】由椭圆方程得 , , ,因此 , , 选项A中, , ,故 ,A错误; 选项B中, ,当且仅当 时取等号,B正确; 选项C中,令 ,则 ,故C正确; 选项D中,当点 为短轴的端点时, 取得最大值,此时 , 则 , , 的最大值为 ,D正确. 故选:BCD.12.已知F, 分别为椭圆 的左、右焦点,A,B是椭圆C上关于原点对称的两点,且已知 A,B不是椭圆的顶点,过点A作 轴,垂足为E,直线BE与椭圆C的另一个交点为P,则( ) A.四边形 的周长为16 B. 的最小值为 C. 面积的最大值为 D. 【解析】 对于A,连接 , ,AF,BF,则四边形 为平行四边形, ∴ , ∴四边形 的周长为8,故A错误; , 当且仅当 时,等号成立,故B正确; ∵A,B是椭圆C上关于原点对称的两点,∴设直线AB的方程为 , 由 得 ,∴ , ∴ 的面积 , 当且仅当 时,等号成立,故C正确; 对于D,设 , , ,直线PA的斜率为 ,直线PB的斜率为 ,则 , 又点P和点A在椭圆C上, ①, ②,① ②得 , 因为 ,则 ,得 , ∴ ,∴ ,故D正确. 故选:BCD. 三、填空题:本大题共4小题,每小题5分,共20分.把答案填在答题卡中的横线上. 13.已知椭圆 内有一点 为椭圆的右焦点,椭圆上有一点 ,则 的最大值为 . 【解析】由题意可知 ,所以 ,即 . 当 三点不共线时, ; 当 在 的延长线上时, ; 当 在 的延长线上时,如图, ; 综上所述: ,所以 的最大值是 . 14.已知 为椭圆 上一动点,点R满足 且 ,则 的最大值是 . 【解析】由 知, 在以 为圆心, 为半径的圆上,如图,∵ ,∴ , , 结合图形知,当P点为椭圆的左顶点时, 取最大值, 因为椭圆 的左顶点坐标为 ,圆心 , 所以 的最大值为 ,∴ 最大值是 . 15.已知椭圆 ( 且为常数)的左、右焦点分别为 , ,点 是椭圆 上的一点,若 的最大值为25,则椭圆 的离心率为 . 【解析】设椭圆的焦距为 , , ,则由椭圆的定义得: , 所以 ,令 , , 可知 的对称轴为 ,当 时, ,解得 , 由 ,所以 ,此时离心率 , 当 时, , 所以 ,所以 ,又 , 联立解得 ,不满足题意舍去,所以椭圆的离心率为: , 故答案为: . 16.椭圆 上三点A,B,C,其中A位于第一象限,且A,B关于原点对称,C为椭圆右顶点.过A作x轴的垂线,交直线 于D.当A在椭圆上运动时,总有 ,则该椭圆离心 率e的最大值为 . 【解析】依题意可得 ,设 , , , , 所以 , 则 , 又 , ①, ②, 由 得 ③, 将①②代入③式,消去 , 得 , 因为 , ,则要求 ,即 , 所以 ,即e的最大值为 . 四、解答题:本大题共6小题,共70分.解答应写出必要的文字说明、证明过程或演算步骤. 17.已知椭圆M: 的一个焦点为 ,左、右顶点分别为A,B,经过点F的直线 与 椭圆M交于C,D两点. (1)当直线 的斜率为1时,求线段CD的长; (2)记 与 的面积分别为 和 ,求 的最大值. 【解析】(1) 为椭圆 的焦点, ,又 , , 椭圆 的方程为 ;设直线方程为 , 和椭圆方程联立消掉 ,得 ,计算知 , 方程有两实根,且 ,所以 (2)当直线无斜率时,此时直线方程为 ,则 两点关于 轴对称,所以 ,则 , 当直线斜存在时,依题意,知 ,设直线方程为 , 和椭圆方程联立消掉 ,得则 , 显然 , 方程有两实根,且 , 由于 两点在 轴的上下两侧,所以 异号, 此时 ,将上式变形,得 , 由于 ,当且仅当 ,即 时等号成立, 当 时, 有最大值 . 18.已知椭圆 过 和 两点.(1)求椭圆C的方程; (2)如图所示,记椭圆的左,右顶点分别为A,B,当动点M在定直线 上运动时,直线AM,BM分别交 椭圆于两点P和Q,求四边形 面积的最大值. 【解析】(1)由题,将 和 代入 中, , 所以椭圆 . (2)由椭圆的对称性,不妨设 ,因为 ,所以 , 可得直线 ,直线 , 将直线 代入椭圆 中可得: 由 可得 则 , 再将直线 代入椭圆 中可得: 由 可得 则 , 则四边形 的面积 , 设 ,则 ,当且仅当 时取到等号; 在 单调递增,故 ,所以 , 所以当点 时,四边形 面积的最大,此时面积为6. 19.已知椭圆 的长轴长为4,上顶点 到直线 的距离为 .(1)求 的方程; (2)直线 与 交于 , 两点,直线 , 分别交直线 于 , 两点,求 的最小值. 【解析】(1)由已知条件得 ,解得 , 上顶点坐标为 , ,解得 或 ,由于 ,则 , 所以 的方程为 ; (2)由(1)得 ,设 , , 联立 可得 ,其中 , , ,设直线 的方程为 , 联立 解得 点 在直线 上,则 ,即 ,同理可得 , 所以 令 ,则 , 此时 ,当 时有最小值,即 .20.已知椭圆 的离心率为 ,直线 与E交于A,B两点,当 为 双曲线 的一条渐近线时,A到y轴的距离为 . (1)求E的方程; (2)若过B作x轴的垂线,垂足为H,OH的中点为N(O为坐标原点),连接AN并延长交E于点P,直线 PB的斜率为 ,求 的最小值. 【解析】(1)设 的半焦距为 ,则 ,所以 ,所以 ①, 不妨设 ,与 联立得 .由题意得 ②, ①②联立并解得 ,故 的方程为 . (2)设 ,则 , 所以直线 的斜率 , 直线 的方程为 ,代入 ,得 ,所以 , ,所以 , 所以 ,当且仅当 ,即 时等号成立, 所以当 时, 取得最小值,且最小值为 . 21.已知椭圆 的左顶点为 ,椭圆 的中心 关于直线 的对称点落在 直线 上,且椭圆 过点 . (1)求椭圆 的方程; (2) 为椭圆 上两个动点,且直线 与 的斜率之积为 为垂足,求 的最大值. 【解析】(1)设椭圆 的中心 关于直线 的对称点 , 则有 , 椭圆 的中心 关于直线 的对称点落在直线 上, 又椭圆 过点 ,可得 ,解得 ,所以椭圆 的方程 . (2)设 ,由题意得直线 斜率不为零,设 ,由 得 ,即 , 所以 由 ,得 ,即 , 所以 ,所以 , 所以 ,化简得 ,所以 或 , 若 ,则直线 过椭圆的左顶点,不适合题意,所以 , 所以 过定点 ,因为 为垂足, 所以 在以 为直径的圆上, 的中点为 ,又 , 所以 ,所以 的最大值为 , 即 的最大值为 . 22.已知椭圆 的左,右顶点分别为A,B,左焦点为 ,点 在椭圆上. (1)求C的方程; (2)设直线l与C交于不同于B的M,N两点,且 ,求 的最大值.【解析】(1)依题意得 ,解得 , ,所以C的方程为 . (2)由题意知,直线l的斜率不为0,则不妨设直线l的方程为 , 联立 ,消去 得 , ,化简整理得 , 设 , ,则 , ,因为 ,所以 , 因为 ,所以 , ,得 , 将 , 代入上式得 , 得 ,整理得 ,解得 或 (舍去). 所以直线l的方程为 ,则直线l恒过点 , 所以 ,设 ,则 , , 易知 在 上单调递增,所以 时, 取得最大值 , 又 ,所以 .