当前位置:首页>文档>2017年陕西省中考物理真题(空白卷)_陕西_4.陕西中考物理(2008-2025)

2017年陕西省中考物理真题(空白卷)_陕西_4.陕西中考物理(2008-2025)

  • 2026-04-07 19:48:53 2026-04-07 19:48:53

文档预览

2017年陕西省中考物理真题(空白卷)_陕西_4.陕西中考物理(2008-2025)
2017年陕西省中考物理真题(空白卷)_陕西_4.陕西中考物理(2008-2025)
2017年陕西省中考物理真题(空白卷)_陕西_4.陕西中考物理(2008-2025)
2017年陕西省中考物理真题(空白卷)_陕西_4.陕西中考物理(2008-2025)
2017年陕西省中考物理真题(空白卷)_陕西_4.陕西中考物理(2008-2025)
2017年陕西省中考物理真题(空白卷)_陕西_4.陕西中考物理(2008-2025)
2017年陕西省中考物理真题(空白卷)_陕西_4.陕西中考物理(2008-2025)
2017年陕西省中考物理真题(空白卷)_陕西_4.陕西中考物理(2008-2025)
2017年陕西省中考物理真题(空白卷)_陕西_4.陕西中考物理(2008-2025)
2017年陕西省中考物理真题(空白卷)_陕西_4.陕西中考物理(2008-2025)
2017年陕西省中考物理真题(空白卷)_陕西_4.陕西中考物理(2008-2025)

文档信息

文档格式
doc
文档大小
0.120 MB
文档页数
7 页
上传时间
2026-04-07 19:48:53

文档内容

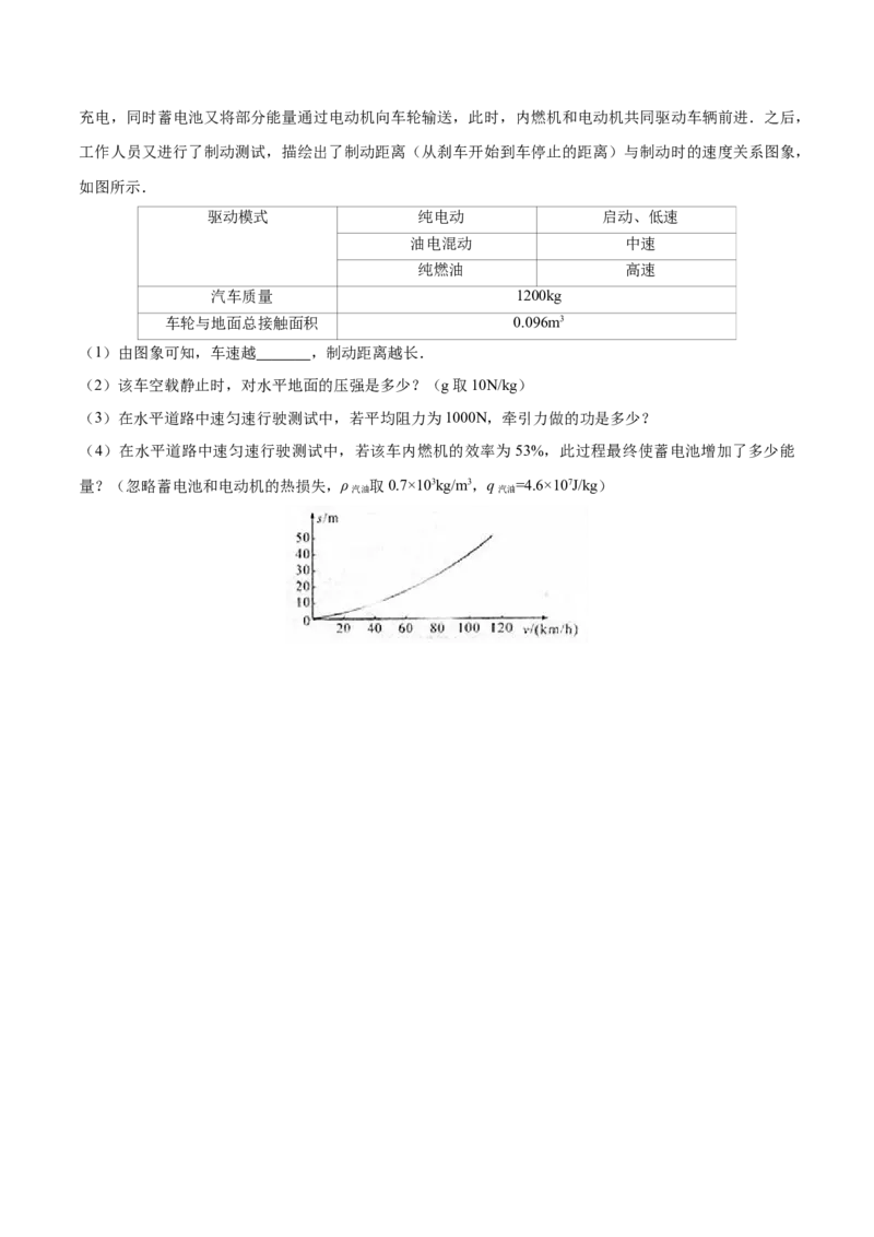
2017年陕西省中考物理试卷 一、选择题(共8小题,每小题3分,满分24分) 1.物理老师自制了“探究真空是否可以传声”的简易装置如图所示,实验时将正在发声的音乐卡芯固定 在拔罐器内,用抽气枪逐步抽出罐内空气,关于该实验下列说法正确的是( ) A.音乐卡芯发出的声音不是由振动产生的 B.音乐卡芯发出的声音尖锐刺耳,说明其声音响度大 C.抽气时听到的声音越来越小是由于音调变低的缘故 D.由实验可推理出声音不能在真空中传播 2.地铁极大方便了人们的出行,下列说法正确的是( ) A.地铁列车运行时相对于站台是静止的 B.若从地面入口到地下站台共100个步行台阶,则站台到地面的竖直高度约50m C.地铁列车启动时速度越来越快是因为受到非平衡力的作用 D.地铁列车刹车后不能立即停止是因为受到惯性的作用 3.有一款自行车,座椅后连接的微型投影仪可以将转弯、停止等提示信号投射到骑行者的后背上,因其 独特的安全设计和GPS导航功能备受人们的青睐.关于这款自行车,下列说法正确的是( ) A.骑行者后背上所成的像是虚像 B.投影仪的镜头到骑行者后背的距离大于镜头焦距的二倍 C.从骑行者背后不同方向都能看见所成的像是因为光发生了镜面反射 D.GPS导航所用的电磁波不能在真空中传播 4.关于粒子和宇宙的相关知识,下列说法正确的是( ) A.电子的发现证明原子可以再分B.气体中的分子是运动的,固体中的分子是不运动的 C.分子间只存在引力不存在斥力 D.银河系、地球、质子、原子核、分子是按照尺度由大到小的顺序排列的 5.关于图中所示的通电螺线管,下列说法正确的是( ) A.通电螺线管的右端是S极 B.只对调电源正负极,通电螺线管的磁场方向不发生改变 C.通电螺线管的外部磁感线是从S极发出回到N极的 D.当滑动变阻器的滑片向右移动时,通电螺线管的磁性增强 6.如图所示,某工地用滑轮组将重为5000N的货物匀速提升6m,所用时间为20s,在绳的末端所用拉力 为2200N,下列说法错误的是( ) A.M处滑轮的作用是改变力的方向 B.提升货物过程中的有用功是3×104J C.拉力的功率为660W D.若只增加货物所受的重力,滑轮组的机械效率将增大 7.“智能纤维”是一种新型材料,能对外界环境和内部状态的变化做出响应.其中,相变纤维能够通过 吸热、放热来实现对温度的调节;凝胶纤维能够对温度做出反应;电子纤维能够导电以及消除静电;记忆 纤维能够在特定环境下恢复原状.下列说法正确的是( ) A.相变纤维制成的衣服可以调节体温是通过做功来实现的 B.用凝胶纤维有可能制成显示体温的衣服 C.电子纤维是一种绝缘体 D.记忆纤维发生形变后无法恢复原状 8.如图1所示,电源电压恒为6V,R为热敏电阻,其阻值随温度变化如图2所示,R 是阻值为10Ω的定 0 值电阻,闭合开关S,通过分析,下列说法错误的是( )A.图1中的R 有保护电路的作用 0 B.温度升高时,电压表的示数会变小 C.温度为40℃时,电流表的示数为0.2A D.温度降低时,电压表与电流表示数的比值变小 二、填空题(共7小题,每空1分,每图2分,计19分) 9.小丽将一瓶矿泉水放入冰箱冷冻室里,结冰后取出发现瓶子底部凸出,如图所示,这是因为冰的密度 水的密度的缘故.水结冰属于 (填物态变化名称)现象,在此过程中水的内能 . 10.小明参加校运动会百米赛跑,站在起跑线上静止时所受重力与 是一对平衡力;鞋底上有许多花 纹是为了 摩擦;起跑时用力蹬地是利用了力的作用是 ;跑完全程用时13.5s,他的平均速度是 m/s(结果保留一位小数). 11.2017年5月,我国在南海成功开采出了可燃冰.可燃冰是一种高效、清洁、储量巨大的新能源,可以 像固体酒精一样被点燃,开采点位于水深1266m海底下一定深度的海床中,海水对海底的压强是 Pa,可燃冰属于 (选填“可再生”或“不可再生”)能源.(ρ 取1.0×103kg/m3,g取10N/kg) 海水 12.小亮自制了如图所示的装置,在有机玻璃管上绕着带有绝缘层的导线,线圈两端连接着小功率灯泡, 管内放入条形磁铁,用橡皮塞堵住管口两端,当沿图中箭头方向来回摇动时,小灯泡就会发光.该装置发 电的原理是 ,线圈中电流的方向是 (选填“变化”或“不变”)的,在此过程中将 能转 化成电能. 13.小明自制了一个简易实用的“救生圈”,用一个三通塑料管将3个大号空塑料瓶固定,如图所示.已知每个空塑料瓶的体积是2L,则此“救生圈”全部浸没在水中时所受浮力为 N(忽略三通管和绳子 的体积,g取10N/kg),扔到水中救人时,人和“救生圈”漂浮在水面上所受的总浮力 (选填“大 于”“等于”或“小于”)总重力.若在该“救生圈”上固定更多的空塑料瓶,使用时可 (选填 “增大”或“减小”)浮力. 14.在探究杠杆平衡条件时,使轻质弯曲杠杆在如图所示的位置平衡,请画出阻力F 和阻力臂L. 2 2 15.某教室天花板上有多组“220V 15W”的节能灯,均符合安全用电要求,且一个开关同时控制两盏灯, 每盏灯都能正常发光,请将图中的灯泡和开关连入电路. 三、实验与探究题(共3小题,满分19分) 16.请按要求完成填空. (1)如图1所示,量筒中液体的体积为 mL. (2)如图2所示,弹簧测力计的示数为 N. (3)如图3所示,液体温度计是利用测温液体 的性质制成. (4)如图4所示,在利用该装置探究光的反射规律的过程中,多次改变入射角可以探究 大小的关系.17.小华观察家中手电筒,发现里面只有一个LED灯,其额定电压为1.5V.他想测出该LED灯的额定功 率. (1)请在图1中用笔画线代替导线完成实物电路的连接. (2)连接电路时,开关应处于 (选填“断开”或“闭合”)状态,滑动变阻器的滑片应处于最 (选填“左”或“右”)端. (3)连好电路后闭合开关,发现LED灯不发光,电流表示数几乎为0,电压表示数约为3V,则该电路的 故障可能是LED灯 (选填“短路”或“断路”). (4)排除故障后,经过多次测量得到实验数据如表: 实验序号 电压U/V 电流I/A 电功率P/W 1 1.0 0.30 0.30 2 1.2 0.42 0.50 3 1.5 第3次实验时,电流表示数如图2所示,读数为 A,则该LED灯的额定功率为 W,当灯的两 端的实际电压小于额定电压时,实际功率 额定功率. (5)进一步分析发现,当LED灯两端的电压增大时,其电阻将 . 18.小柯在课外活动时,偶然将两个弹性球叠放在一起同时自由下落发现上面小球反弹的高度大于下落的 高度.于是,他想探究同一个上面小球反弹的高度与哪些因素有关,为此,他提出了三个猜想:①与两个 弹性球下落的高度有关;②与下面弹性球的质量有关;③与下面弹性球的材料有关. 为了验证猜想:小柯选取了质量为10g的A球作为上面的反弹小球,用体积相同的B、C、D三个球分 别作为下面的弹性球,如图所示,B、C两球质量相同但材料不同,C、D两球材料相同但质量不同,小柯 在同一水平地面上做了多次实验,实验数据如表: 实验序号 下面弹性球 质量/kg 下落高度/m A球反弹高 度/m 1 B 0.5 0.9 1.6 2 1.1 1.9 3 1.3 2.1 4 C 0.5 0.9 1.75 1.1 2.0 6 1.3 2.5 7 D 0.8 0.9 2.2 8 1.1 2.3 9 1.3 2.8 (1)小柯实验选取的测量工具有电子秤和 . (2)A球下落过程中,将重力势能转化为它的 能. (3)比较三次实验序号 ,可以初步得出的结论是:在下面弹性球的质量、材料等条件一定时, 下落高度越高,上面弹性球反弹的高度越高. (4)比较实验序号4、7(5、8或6、9),可以初步得出的结论是:在下面弹性球的材料、下落高度等条 件一定时, ,上面弹性球反弹的高度越高. (5)为了探究猜想③,除了选取A球作为上面的反弹小球外,还应在B、C、D三个弹性球中选择 两 球进行实验. (6)实验表明,每次所测A球反弹的高度总比下落高度要高,是因为在两球碰撞时下面弹性球队上面A 球做功,使A球机械能总量 (选填“增大”“减小”或“不变”),这一现象 (选填“违 背”或“不会违背”)能量守恒定律. 四、综合题(共2小题,满分16分) 19.如图1所示为某型号室内电加热器,有高温和低温两个挡位,额定电压为220V,高温挡和低温挡功率 分别为2200W和1000W,简化电路如图2所示. (1)使用电加热器时,要插入三孔插座,是为了将金属外壳与 相连,当开关S 闭合、S 断开时, 1 2 电加热器处于 温挡. (2)请计算电阻丝R 的阻值和通过电阻丝R 的电流(结果保留一位小数) 1 2 (3)在额定电压下,使用高温挡工作3小时,电加热器产生的热量是多少焦耳? 20.某款油电混合动力小汽车,具有省油、能量利用率高等特点,其相关信息如表.在某次水平道路测试 中,该车以中速匀速行驶170km,共消耗汽油10L.测试过程中,内燃机既向车轮提供能量,又向蓄电池充电,同时蓄电池又将部分能量通过电动机向车轮输送,此时,内燃机和电动机共同驱动车辆前进.之后, 工作人员又进行了制动测试,描绘出了制动距离(从刹车开始到车停止的距离)与制动时的速度关系图象, 如图所示. 驱动模式 纯电动 启动、低速 油电混动 中速 纯燃油 高速 汽车质量 1200kg 车轮与地面总接触面积 0.096m3 (1)由图象可知,车速越 ,制动距离越长. (2)该车空载静止时,对水平地面的压强是多少?(g取10N/kg) (3)在水平道路中速匀速行驶测试中,若平均阻力为1000N,牵引力做的功是多少? (4)在水平道路中速匀速行驶测试中,若该车内燃机的效率为53%,此过程最终使蓄电池增加了多少能 量?(忽略蓄电池和电动机的热损失,ρ 取0.7×103kg/m3,q =4.6×107J/kg) 汽油 汽油