当前位置:首页>文档>2021年陕西省中考物理真题(副卷)(空白卷)_陕西_4.陕西中考物理(2008-2025)

2021年陕西省中考物理真题(副卷)(空白卷)_陕西_4.陕西中考物理(2008-2025)

  • 2026-04-08 02:46:03 2026-04-07 20:11:01

文档预览

2021年陕西省中考物理真题(副卷)(空白卷)_陕西_4.陕西中考物理(2008-2025)
2021年陕西省中考物理真题(副卷)(空白卷)_陕西_4.陕西中考物理(2008-2025)
2021年陕西省中考物理真题(副卷)(空白卷)_陕西_4.陕西中考物理(2008-2025)
2021年陕西省中考物理真题(副卷)(空白卷)_陕西_4.陕西中考物理(2008-2025)
2021年陕西省中考物理真题(副卷)(空白卷)_陕西_4.陕西中考物理(2008-2025)
2021年陕西省中考物理真题(副卷)(空白卷)_陕西_4.陕西中考物理(2008-2025)
2021年陕西省中考物理真题(副卷)(空白卷)_陕西_4.陕西中考物理(2008-2025)
2021年陕西省中考物理真题(副卷)(空白卷)_陕西_4.陕西中考物理(2008-2025)
2021年陕西省中考物理真题(副卷)(空白卷)_陕西_4.陕西中考物理(2008-2025)
2021年陕西省中考物理真题(副卷)(空白卷)_陕西_4.陕西中考物理(2008-2025)
2021年陕西省中考物理真题(副卷)(空白卷)_陕西_4.陕西中考物理(2008-2025)
2021年陕西省中考物理真题(副卷)(空白卷)_陕西_4.陕西中考物理(2008-2025)
2021年陕西省中考物理真题(副卷)(空白卷)_陕西_4.陕西中考物理(2008-2025)

文档信息

文档格式
docx
文档大小
0.236 MB
文档页数
9 页
上传时间
2026-04-07 20:11:01

文档内容

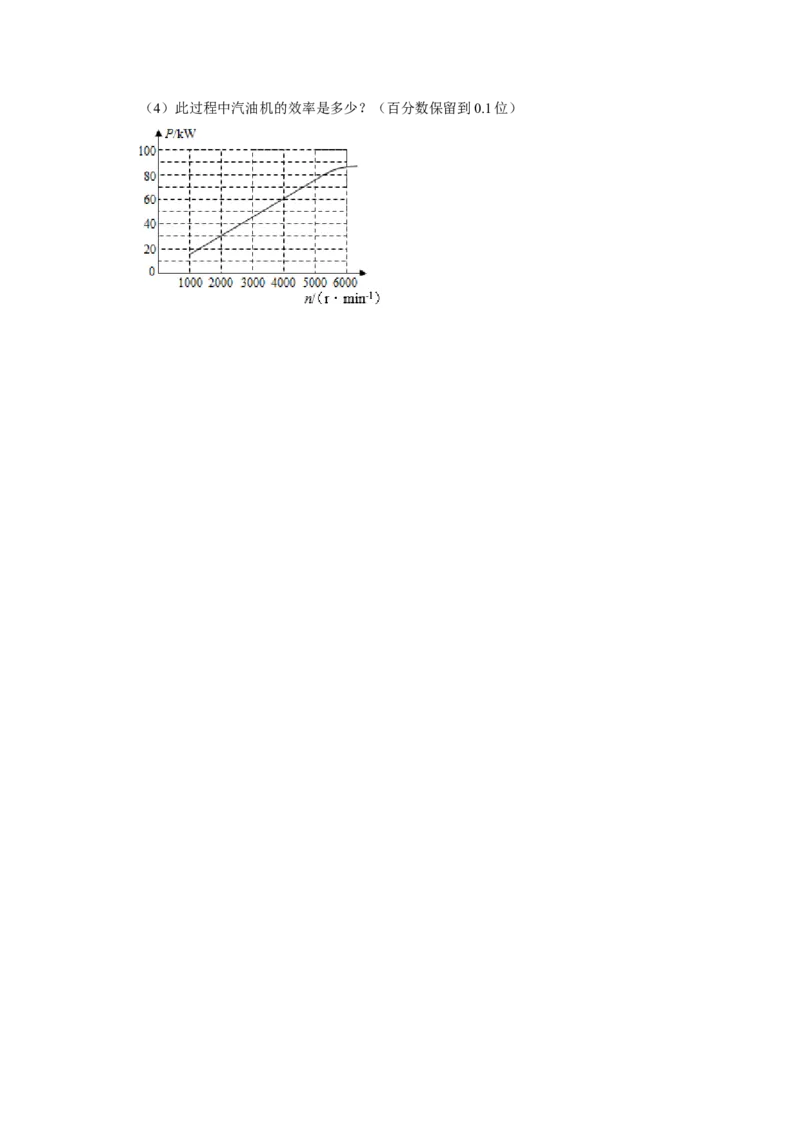
2021年陕西省中考物理试卷(副卷) 一、选择题(共10小题,每小题2分,计20分.每小题只有一个选项是符合题意的) 1.(2分)下列物质中通常情况下属于导体的是( ) A.橡胶 B.木材 C.铜 D.塑料 2.(2分)有一种随身携带的“声波盒”,它利用47000Hz超声波使液体高频振动产生无 数微小的气泡,再立即使其破裂,这个短暂的过程,会产生强烈冲击力,将物体表面的 污渍、油脂撞击、剥离下来,达到高效清洁的目的。下列说法正确的是( ) A.超声波不是由物体振动产生的 B.超声波只能在水中传播 C.利用超声波清洗物品说明声波具有能量 D.超声波和人耳可听到的声波在同种情况下传播的速度不同 3.(2分)下列光现象与水中筷子“弯折”现象的原理相同的是( ) A. 日食的形成 B. 水中倒影 C. 小孔成像 D. 用放大镜观察物体 4.(2分)下列说法不正确的是( ) A.电子带负电 B.固体和液体很难被压缩,说明分子之间存在斥力 C.原子由原子核和质子组成 D.酒精和水混合后总体积小于二者体积之和,说明分子间有间隙 5.(2分)有关体育运动项目中涉及到的物理知识,说法正确的是( ) A.游泳时使人前进的力是手向后划水的力 B.抛出去的实心球能在空中向前运动,是因为受到了向前的作用力 C.排球碰到墙壁后被反弹回来,说明力可以改变物体的运动状态 D.跑步时所穿运动鞋的鞋底有花纹,是为了增大对地面的压力 6.(2分)将少量干冰放入适量的热水中,会看到杯口产生大量“白气”。下列说法正确 的是( )A.“白气”是气态的水 B.“白气”是干冰升华后形成的气态物质 C.干冰升华过程中放热 D.“白气”是水蒸气液化后形成的 7.(2分)“天问一号”火星探测器和火星车都使用了一种新型材料——纳米气凝胶,能 在“极热”和“极寒”两种严酷环境下,保证工作平台正常工作,不受环境温度影响. 1 同时这种材料具有超轻特性,它的质量大约只有同体积水的质量的 ,极大地减小了 66 火星车的负担,让它运动更灵活( 水 =1.0×103kg/m3)。下列说法正确的是( ) A.纳米气凝胶具有耐高温的性能ρ B.纳米气凝胶的质量小所以具有超轻特性 C.纳米气凝胶具有良好的导热性 D.纳米气凝胶密度约为1.5g/cm3 8.(2分)将一个质量为275g的土豆放入容器内的水中,土豆下沉后静止在容器底部, 如图1。小明设法在土豆上插入几个轻质的粗吸管后做成了一个“吸管土豆”,再次放 回水中后“吸管土豆”浮了起来,最终漂浮在水面上,如图 2(忽略吸管重力,取g= 10N/kg)。下列说法正确的是( ) A.图1中静止的土豆所受浮力等于2.75N B.土豆上插入吸管后增大了排开水的体积从而增大了所受的浮力 C.图2中土豆浮起后其下表面所受水的压力比在图1中时大 D.“吸管土豆”漂浮时所受浮力大于重力 9.(2分)河北丰宁抽水蓄能电站是2022年中国冬奥会的电力保障项目之一.该电站可 以利用风能和光能资源充足时发电获得的部分电能,将水抽到高处变为水的势能储存起 来,需要时再利用水的势能发电,从而弥补了风能、光能不稳定且转化的电能难储存的 不足,实现风、光与水电的互补,堪称电力系统的巨型“充电宝”。下列说法正确的是 ( ) A.风能和光能是不可再生能源B.该电站抽水蓄能时可将电能转化为机械能,发电时可将机械能转化为电能 C.该电站可将抽水时所消耗的电能全部转化为水的势能 D.发电机的工作原理是电流周围存在磁场 10.(2分)如图1所示电路中,电源电压恒定不变,电流表所选量程为0~0.6A,电压表 所选量程为0~15V,小灯泡L标有“6V 3.6W”,滑动变阻器R标有“50 1.5A”。闭 合开关S,调节滑动变阻器使其阻值在某一范围内变化时,电压表与电流表Ω示数的变化 情况如图2所示。下列说法正确的是( ) A.电压表测量的是灯泡L两端的电压 B.滑片P向右移动时,电压表示数变小 C.电源电压为8.5V D.闭合开关后,滑动变阻器阻值可以调节的范围是5~50 二、填空与作图题(共9小题,计22分) Ω 11.(2分)正常情况下,当测电笔的笔尖接触 线时,氖管发光。用电器的金属外 壳应与 线相连。 12.(2分)行驶的列车内坐着的乘客相对于车厢是 (选填“运动”或“静止”) 的。高速列车进站时,旅客必须站在安全黄线以内,其原因是运动的车厢附近气流速度 变大,压强变 。 13.(3分)我国古代很多著作对物理现象都有所描述.如西晋张华撰写的《博物志》记 载到:“今人梳头、脱着衣时,有随梳、解结有光者,亦有咤声。”意思是说,人在梳 头、脱衣时通过摩擦使物体带了 .宋代沈括所著的《梦溪笔谈》中描写到: “以磁石磨针锋,则能指南,然常微偏东,不全南也。”意思是说小磁针在 作 用下一端指南略微偏东,文中指南的磁极为小磁针的 极. 14.(3分)“雪龙2号”是全球首条艏艉双向破冰的极地科考船,配备有各种智能化系统,它的满载排水量约为1.4万吨,则满载时排开水的体积为 m3。破冰时船首 下部凸起部分的破冰艏柱类似尖利的刀锋,通过 的方法来增大对冰面的压强, 同时利用船首重压对冰面进行破坏,电动机带动船尾的四叶螺旋桨使其高速旋转,对厚 冰层的底部进行削切,将冰脊掏空,使冰层塌陷,电动机工作时利用了 在磁场 中受到力的作用( 水 =1.0×103kg/m3)。 15.(3分)如图所示ρ是一种塔式起重机上的滑轮组,它既可以 ,又可以改变施力 的方向。现将重1.5×104N的物体沿竖直方向匀速向上吊起3m,滑轮组的机械效率为 75%,此过程提升重物的有用功为 J,绳端的拉力为 N。 16.(3分)如图1,将手机放在真空罩内,抽去罩内空气,手机仍能接收到信号,说明 可以在真空中传播。如图2,把硬纸片盖在装满水的杯子上,倒置后硬纸片未脱落,将 其放入真空罩内,抽去罩内空气的过程中,观察到硬纸片脱落,说明了硬纸片在开始时 未脱落是由于 的作用。如图3,O点为杠杆的支点,在杠杆右侧A点处悬挂一 圆柱形泡沫块,调节左侧平衡螺母,使杠杆在水平位置平衡后,将其放入真空罩内,抽 去罩内空气,杠杆顺时针转动,此过程中泡沫块所受 力变小。 17.(2分)如图,请画出平行于主光轴及过光心O点的两条入射光线经凸透镜后的折射光线. 18.(2分)如图(a)是西安半坡遗址出土的人面双鱼纹彩陶盆,图(b)是其示意图. 请在图(b)中画出它对水平桌面压力F的示意图,O点是压力的作用点。 19.(2分)如图,室内有两盏“220V,60W”的灯,开关闭合后两盏灯能同时正常发光, 请按照安全用电的要求将电路图补充完整. 三、实验与探究题(共4小题,计22分) 20.(4分)请完成与下列实验有关的填空。 (1)如图1,上面的瓶中装有空气,下面的瓶中装有密度比空气大的二氧化氮气体,抽 去中间的玻璃片后,空气与二氧化氮逐渐混合均匀,这属于 现象。 (2)如图2,在探究动能大小与物体速度大小关系的实验中,同一辆小车分别从不同高 度由静止下滑,撞击置于水平面上的木块,通过比较两种情况下 ,来反映小车 动能的大小。 (3)如图3,在探究感应电流产生条件的实验中,为了使实验现象明显,a、b两接线柱间应接入 (选填“大”或“小”)量程电流表。蹄形磁体放在水平面上,闭 合开关后,导体在磁场中沿竖直方向运动时,电流表指针 (选填“会”或“不 会”)发生偏转。 21.(4分)小明利用可绕固定轴转动的方格磁性板和茶色玻璃板,以及两个相同的铁棋 子A和B、量角器等器材,自制了如图1所示实验装置来探究平面镜成像特点。 (1)使用带方格的磁性板的优点是便于确定像和物的 关系。 (2)在玻璃板前放一个棋子A,将另一个相同的棋子B放到玻璃板后,发现它能与棋 子A在平面镜中所成的像重合,说明平面镜所成像的大小和物的大小 。 (3)不改变棋子A和B在磁性板上的位置,只将玻璃板转过一定角度,如图 2,若要 让棋子B与棋子A在平面镜中的像重新重合,应转动右侧磁性板使其与玻璃板的夹角 左侧磁性板与玻璃板的夹角。 (4)小汽车的前挡风玻璃一般都是倾斜的,其优点之一就是驾驶员在前挡风玻璃中所 成像的位置在驾驶员的 ,对驾驶员的干扰较小(前挡风玻璃可近似看作平板玻 璃)。 22.(7分)如图1是“测量小灯泡电功率”的实验电路图,电源电压恒定不变,小灯泡 的额定电压为2.5V. (1)本实验中测量小灯泡电功率的实验原理是 。 (2)闭合开关前滑片P应移至 (选填“a”或“b”)端.如图2为根据电路图 所连接的实物电路,其中有一根导线连接不合理,请你在这根导线上画“×”并改正。 (3)连接好电路,闭合开关后,无论怎样移动滑片P,小灯泡都不发光,电流表指针几乎不偏转,电压表示数接近电源电压,出现这种现象的原因可能是小灯泡 。 排除故障后进行实验,并将实验数据记录在如表中。 实验序号 电压U/V 电流I/A 电功率P/W 1 1.5 0.28 2 2.5 3 3.0 0.38 (4)移动滑片P使电压表的示数为2.5V时,电流表的示数如图3所示为 A。 (5)分析实验数据,小灯泡的额定功率为 W。当电压表示数为1.5V时,小灯 泡的亮度比正常发光时 。 23.(7分)学校在科技节活动中举办了“纸桥大赛”,小明和同学们惊讶地发现,一张 纸虽然轻薄,却可承受很大的力,于是他们想探究一张纸能承受的压力和结构的关系. 同学们把普通的A4打印纸剪成大小相等的四部分(如图1),分别做成单层棱数不同 的正多棱柱进行以下探究。 (1)如图2,将纸张分别沿较长的边和较短的边折成正三棱柱、四棱柱、六棱柱和八棱 柱。 (2)如图3,将棱柱放在水平桌面上,把圆形小桶轻轻放在棱柱上,静止时小桶对棱柱 的压力大小 (选填“大于”、“等于”或“小于”)小桶受到的重力。 (3)为了使棱柱受力均匀,放置时应将小桶的中轴线与棱柱的中轴线 ,缓缓向 小桶中加水至棱柱变形,用电子秤测量出此时小桶和水的总质量M。 (4)换用不同的棱柱,重复步骤(3).实验数据记录如表。 实验序号 1 2 3 4 5 6 7 8 多棱柱的高度/cm 10.55 14.85 多棱柱的棱数 三 四 六 八 三 四 六 八 小桶和水的总质 514 924 1090 2174 665 984 1471 2715 量M/g (5)实验中通过比较 ,来判断棱柱能承受的最大压力。 (6)分析比较实验序号1和5、2和6、3和7、4和8四组数据,可以初步得到:用本实验所用的纸张折成多棱柱,棱数相同时,高度较高的能够承受的压力较 。 (7)分析比较实验序号 的数据,可得出结论:用相同的纸张折成高度相同的多 棱柱,棱数越多,能承受的压力越大.进一步推理分析可知 柱体所能承受的压 力最大,如南极泰山科考站主楼的外形就是这种形状。 (8)实验中未采用向小桶中加钩码而采用加水的方法改变压力,是因为水具有流动性 能使棱柱受力均匀,除此之外,从获取测量数据的角度分析,加水还具有的优点是 。 四、综合题(共2小题,计16分) 24.(8分)某医院用如图所示的压力蒸汽灭菌箱对常用器械进行消毒灭菌,使用时,将 需消毒的器械放入灭菌箱内胆中,电路中的电热丝把水箱中的水加热成高温水蒸气后充 入内胆,对器械进行消毒,灭菌箱的部分参数如下表[ 水 =1.0×103kg/m3,c 水 = 4.2×103J/(kg•℃),设电热丝的阻值不变]。 ρ 额定电压 220V 水箱容积 6L 频 率 50Hz 工作温度 120℃ 额定加热功率 3.5kW 额定压强 0.21MPa (1)灭菌箱中的水沸腾时温度能高达100℃以上,是因为工作状态下箱内气压比标准大 气压 。 (2)灭菌箱内电热丝的阻值是多大?(计算结果保留一位小数) (3)若在水箱中加入20℃、5L的水,则将它加热到工作温度需要吸收多少热量?灭菌 箱正常工作时加热这些水需要多长时间?(不考虑热损失) (4)若要缩短加热水的时间,在安全的条件下,可选用阻值更 的电热丝。 25.(8分)有一辆由汽油机提供动力的汽车,该车的输出功率与汽油机转速的关系如图 所示。这辆汽车在某次测试时以 90km/h的速度在水平公路上匀速行驶了10min,消耗 1.1kg的汽油,此过程中汽油机的转速为2000r/min(汽油的热值q汽油 =4.6×107J/kg)。 (1)汽油机是一种将燃料燃烧产生的高温、高压燃气的内能转化为 能的装置。 (2)该汽车在这段时间内行驶了多少路程? (3)1.1kg的汽油完全燃烧能产生多少热量?(4)此过程中汽油机的效率是多少?(百分数保留到0.1位)