当前位置:首页>文档>专题06解三角形(周长(边长)问题(含定值,最值,范围问题))(典型题型归类训练)(解析版)_02高考数学_2025年新高考资料_专项复习_三角函数、平面向量及解三角形

专题06解三角形(周长(边长)问题(含定值,最值,范围问题))(典型题型归类训练)(解析版)_02高考数学_2025年新高考资料_专项复习_三角函数、平面向量及解三角形

  • 2026-04-08 08:51:39 2026-04-08 08:28:33

文档预览

专题06解三角形(周长(边长)问题(含定值,最值,范围问题))(典型题型归类训练)(解析版)_02高考数学_2025年新高考资料_专项复习_三角函数、平面向量及解三角形
专题06解三角形(周长(边长)问题(含定值,最值,范围问题))(典型题型归类训练)(解析版)_02高考数学_2025年新高考资料_专项复习_三角函数、平面向量及解三角形
专题06解三角形(周长(边长)问题(含定值,最值,范围问题))(典型题型归类训练)(解析版)_02高考数学_2025年新高考资料_专项复习_三角函数、平面向量及解三角形
专题06解三角形(周长(边长)问题(含定值,最值,范围问题))(典型题型归类训练)(解析版)_02高考数学_2025年新高考资料_专项复习_三角函数、平面向量及解三角形
专题06解三角形(周长(边长)问题(含定值,最值,范围问题))(典型题型归类训练)(解析版)_02高考数学_2025年新高考资料_专项复习_三角函数、平面向量及解三角形
专题06解三角形(周长(边长)问题(含定值,最值,范围问题))(典型题型归类训练)(解析版)_02高考数学_2025年新高考资料_专项复习_三角函数、平面向量及解三角形
专题06解三角形(周长(边长)问题(含定值,最值,范围问题))(典型题型归类训练)(解析版)_02高考数学_2025年新高考资料_专项复习_三角函数、平面向量及解三角形
专题06解三角形(周长(边长)问题(含定值,最值,范围问题))(典型题型归类训练)(解析版)_02高考数学_2025年新高考资料_专项复习_三角函数、平面向量及解三角形
专题06解三角形(周长(边长)问题(含定值,最值,范围问题))(典型题型归类训练)(解析版)_02高考数学_2025年新高考资料_专项复习_三角函数、平面向量及解三角形
专题06解三角形(周长(边长)问题(含定值,最值,范围问题))(典型题型归类训练)(解析版)_02高考数学_2025年新高考资料_专项复习_三角函数、平面向量及解三角形
专题06解三角形(周长(边长)问题(含定值,最值,范围问题))(典型题型归类训练)(解析版)_02高考数学_2025年新高考资料_专项复习_三角函数、平面向量及解三角形
专题06解三角形(周长(边长)问题(含定值,最值,范围问题))(典型题型归类训练)(解析版)_02高考数学_2025年新高考资料_专项复习_三角函数、平面向量及解三角形
专题06解三角形(周长(边长)问题(含定值,最值,范围问题))(典型题型归类训练)(解析版)_02高考数学_2025年新高考资料_专项复习_三角函数、平面向量及解三角形
专题06解三角形(周长(边长)问题(含定值,最值,范围问题))(典型题型归类训练)(解析版)_02高考数学_2025年新高考资料_专项复习_三角函数、平面向量及解三角形
专题06解三角形(周长(边长)问题(含定值,最值,范围问题))(典型题型归类训练)(解析版)_02高考数学_2025年新高考资料_专项复习_三角函数、平面向量及解三角形
专题06解三角形(周长(边长)问题(含定值,最值,范围问题))(典型题型归类训练)(解析版)_02高考数学_2025年新高考资料_专项复习_三角函数、平面向量及解三角形
专题06解三角形(周长(边长)问题(含定值,最值,范围问题))(典型题型归类训练)(解析版)_02高考数学_2025年新高考资料_专项复习_三角函数、平面向量及解三角形
专题06解三角形(周长(边长)问题(含定值,最值,范围问题))(典型题型归类训练)(解析版)_02高考数学_2025年新高考资料_专项复习_三角函数、平面向量及解三角形
专题06解三角形(周长(边长)问题(含定值,最值,范围问题))(典型题型归类训练)(解析版)_02高考数学_2025年新高考资料_专项复习_三角函数、平面向量及解三角形
专题06解三角形(周长(边长)问题(含定值,最值,范围问题))(典型题型归类训练)(解析版)_02高考数学_2025年新高考资料_专项复习_三角函数、平面向量及解三角形
专题06解三角形(周长(边长)问题(含定值,最值,范围问题))(典型题型归类训练)(解析版)_02高考数学_2025年新高考资料_专项复习_三角函数、平面向量及解三角形
专题06解三角形(周长(边长)问题(含定值,最值,范围问题))(典型题型归类训练)(解析版)_02高考数学_2025年新高考资料_专项复习_三角函数、平面向量及解三角形
专题06解三角形(周长(边长)问题(含定值,最值,范围问题))(典型题型归类训练)(解析版)_02高考数学_2025年新高考资料_专项复习_三角函数、平面向量及解三角形
专题06解三角形(周长(边长)问题(含定值,最值,范围问题))(典型题型归类训练)(解析版)_02高考数学_2025年新高考资料_专项复习_三角函数、平面向量及解三角形
专题06解三角形(周长(边长)问题(含定值,最值,范围问题))(典型题型归类训练)(解析版)_02高考数学_2025年新高考资料_专项复习_三角函数、平面向量及解三角形
专题06解三角形(周长(边长)问题(含定值,最值,范围问题))(典型题型归类训练)(解析版)_02高考数学_2025年新高考资料_专项复习_三角函数、平面向量及解三角形
专题06解三角形(周长(边长)问题(含定值,最值,范围问题))(典型题型归类训练)(解析版)_02高考数学_2025年新高考资料_专项复习_三角函数、平面向量及解三角形
专题06解三角形(周长(边长)问题(含定值,最值,范围问题))(典型题型归类训练)(解析版)_02高考数学_2025年新高考资料_专项复习_三角函数、平面向量及解三角形
专题06解三角形(周长(边长)问题(含定值,最值,范围问题))(典型题型归类训练)(解析版)_02高考数学_2025年新高考资料_专项复习_三角函数、平面向量及解三角形
专题06解三角形(周长(边长)问题(含定值,最值,范围问题))(典型题型归类训练)(解析版)_02高考数学_2025年新高考资料_专项复习_三角函数、平面向量及解三角形
专题06解三角形(周长(边长)问题(含定值,最值,范围问题))(典型题型归类训练)(解析版)_02高考数学_2025年新高考资料_专项复习_三角函数、平面向量及解三角形
专题06解三角形(周长(边长)问题(含定值,最值,范围问题))(典型题型归类训练)(解析版)_02高考数学_2025年新高考资料_专项复习_三角函数、平面向量及解三角形
专题06解三角形(周长(边长)问题(含定值,最值,范围问题))(典型题型归类训练)(解析版)_02高考数学_2025年新高考资料_专项复习_三角函数、平面向量及解三角形
专题06解三角形(周长(边长)问题(含定值,最值,范围问题))(典型题型归类训练)(解析版)_02高考数学_2025年新高考资料_专项复习_三角函数、平面向量及解三角形
专题06解三角形(周长(边长)问题(含定值,最值,范围问题))(典型题型归类训练)(解析版)_02高考数学_2025年新高考资料_专项复习_三角函数、平面向量及解三角形
专题06解三角形(周长(边长)问题(含定值,最值,范围问题))(典型题型归类训练)(解析版)_02高考数学_2025年新高考资料_专项复习_三角函数、平面向量及解三角形
专题06解三角形(周长(边长)问题(含定值,最值,范围问题))(典型题型归类训练)(解析版)_02高考数学_2025年新高考资料_专项复习_三角函数、平面向量及解三角形
专题06解三角形(周长(边长)问题(含定值,最值,范围问题))(典型题型归类训练)(解析版)_02高考数学_2025年新高考资料_专项复习_三角函数、平面向量及解三角形
专题06解三角形(周长(边长)问题(含定值,最值,范围问题))(典型题型归类训练)(解析版)_02高考数学_2025年新高考资料_专项复习_三角函数、平面向量及解三角形
专题06解三角形(周长(边长)问题(含定值,最值,范围问题))(典型题型归类训练)(解析版)_02高考数学_2025年新高考资料_专项复习_三角函数、平面向量及解三角形
专题06解三角形(周长(边长)问题(含定值,最值,范围问题))(典型题型归类训练)(解析版)_02高考数学_2025年新高考资料_专项复习_三角函数、平面向量及解三角形
专题06解三角形(周长(边长)问题(含定值,最值,范围问题))(典型题型归类训练)(解析版)_02高考数学_2025年新高考资料_专项复习_三角函数、平面向量及解三角形
专题06解三角形(周长(边长)问题(含定值,最值,范围问题))(典型题型归类训练)(解析版)_02高考数学_2025年新高考资料_专项复习_三角函数、平面向量及解三角形
专题06解三角形(周长(边长)问题(含定值,最值,范围问题))(典型题型归类训练)(解析版)_02高考数学_2025年新高考资料_专项复习_三角函数、平面向量及解三角形
专题06解三角形(周长(边长)问题(含定值,最值,范围问题))(典型题型归类训练)(解析版)_02高考数学_2025年新高考资料_专项复习_三角函数、平面向量及解三角形
专题06解三角形(周长(边长)问题(含定值,最值,范围问题))(典型题型归类训练)(解析版)_02高考数学_2025年新高考资料_专项复习_三角函数、平面向量及解三角形
专题06解三角形(周长(边长)问题(含定值,最值,范围问题))(典型题型归类训练)(解析版)_02高考数学_2025年新高考资料_专项复习_三角函数、平面向量及解三角形
专题06解三角形(周长(边长)问题(含定值,最值,范围问题))(典型题型归类训练)(解析版)_02高考数学_2025年新高考资料_专项复习_三角函数、平面向量及解三角形
专题06解三角形(周长(边长)问题(含定值,最值,范围问题))(典型题型归类训练)(解析版)_02高考数学_2025年新高考资料_专项复习_三角函数、平面向量及解三角形
专题06解三角形(周长(边长)问题(含定值,最值,范围问题))(典型题型归类训练)(解析版)_02高考数学_2025年新高考资料_专项复习_三角函数、平面向量及解三角形
专题06解三角形(周长(边长)问题(含定值,最值,范围问题))(典型题型归类训练)(解析版)_02高考数学_2025年新高考资料_专项复习_三角函数、平面向量及解三角形
专题06解三角形(周长(边长)问题(含定值,最值,范围问题))(典型题型归类训练)(解析版)_02高考数学_2025年新高考资料_专项复习_三角函数、平面向量及解三角形
专题06解三角形(周长(边长)问题(含定值,最值,范围问题))(典型题型归类训练)(解析版)_02高考数学_2025年新高考资料_专项复习_三角函数、平面向量及解三角形
专题06解三角形(周长(边长)问题(含定值,最值,范围问题))(典型题型归类训练)(解析版)_02高考数学_2025年新高考资料_专项复习_三角函数、平面向量及解三角形
专题06解三角形(周长(边长)问题(含定值,最值,范围问题))(典型题型归类训练)(解析版)_02高考数学_2025年新高考资料_专项复习_三角函数、平面向量及解三角形
专题06解三角形(周长(边长)问题(含定值,最值,范围问题))(典型题型归类训练)(解析版)_02高考数学_2025年新高考资料_专项复习_三角函数、平面向量及解三角形

文档信息

文档格式
docx
文档大小
2.482 MB
文档页数
52 页
上传时间
2026-04-08 08:28:33

文档内容

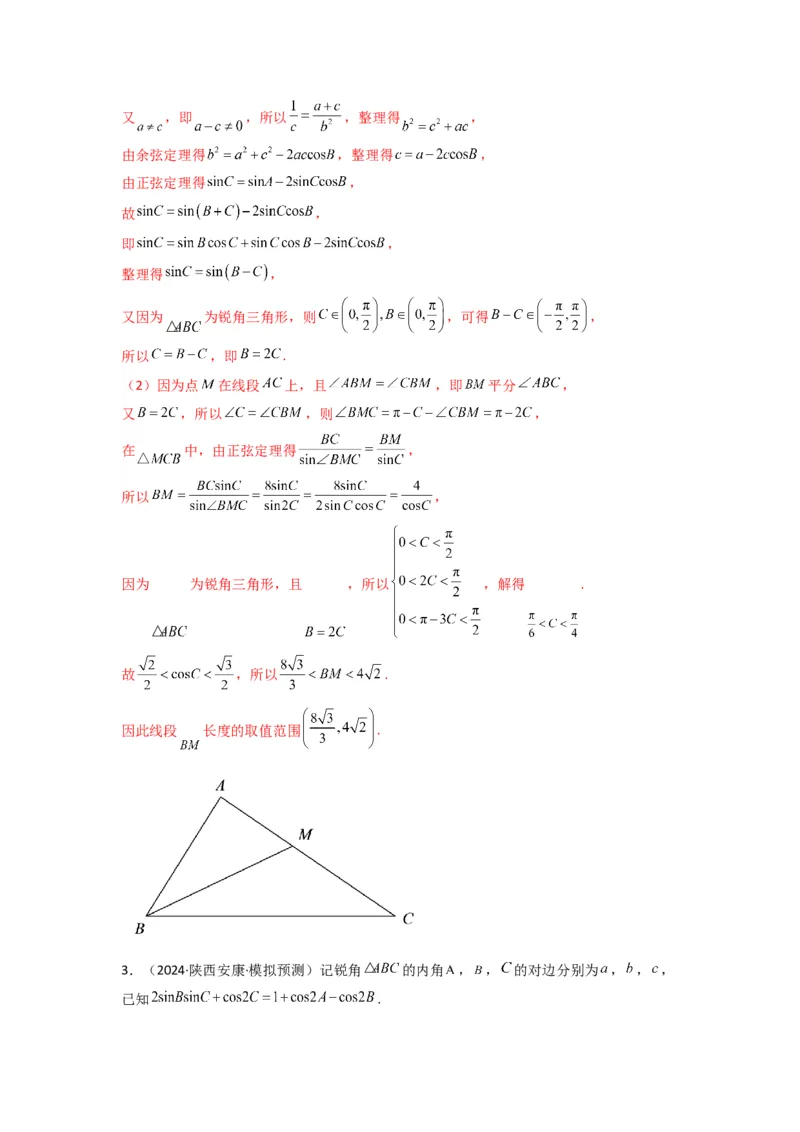
专题 06 解三角形(周长(边长)问题 (含定值,最值,范围问题))(典型题型归类训练) 目录 一、必备秘籍.......................................................................................1 二、典型题型.......................................................................................1 题型一:定值问题(周长)...........................................................1 题型二:定值问题(边长代数和)...............................................3 题型三:最值问题(周长)...........................................................6 题型四:最值问题(边长代数和)...............................................9 题型五:范围问题(周长).........................................................12 题型六:范围问题(边长代数和).............................................18 题型七:范围问题(锐角三角形问题)......................................25 三、专项训练.....................................................................................31 一、必备秘籍 核心技巧1:基本不等式(无约束条件的三角形) 利用基本不等式 ,在结合余弦定理求周长取值范围; 核心技巧2:利用正弦定理化角(受约束的三角形,如:锐角三角形) 利用正弦定理 , ,代入周长(边长)公式,化角,再结合辅助 角公式,根据角的取值范围,求周长(边长)的取值范围.二、典型题型 题型一:定值问题(周长) 1.(23-24高一下·河北石家庄·阶段练习)已知a,b,c分别为 三个内角A,B,C的 对边,且 . (1)求A﹔ (2)若 的面积为 ,求 的周长. 【答案】(1) (2) 【分析】(1)根据给定条件,利用正弦定理边化角,再借助和角的正弦公式求解作答. (2)由(1)的结论,利用三角形面积公式、余弦定理求出 即可作答. 【详解】(1)在 中, , 由正弦定理得: , 而 , 于是 , 又C为三角形内角,有 ,解得 ,所以 , (2)依题意, , 由余弦定理得, , 即 , 所以 的周长 2.(23-24高一下·河北沧州·期中) 的内角 , , 的对边分别为 , , , . (1)求角 的大小; (2)若 , 的面积为 ,求 的周长. 【答案】(1) ;(2) . 【分析】(1)利用同角公式切化弦,正弦定理边化角求解即得. (2)利用三角形面积公式求出 ,再余弦定理列方程求解即得. 【详解】(1)依题意, , 在 中,由正弦定理得 , 因此 ,而 ,则 ,又 , 所以 . (2)由 的面积为 ,得 ,解得 , 由余弦定理得 , 而 ,则 ,解得 , , 所以 的周长为 . 3.(2024·全国·模拟预测)在 中,内角A,B,C的对边分别为a,b,c, , . (1)若 ,求a; (2)若 的面积为 ,求 的周长. 【答案】(1) ; (2) . 【分析】(1)利用正弦定理边化角,即可求得B,然后由余弦定理即可求解; (2)利用面积公式和余弦定理列方程组可解得 ,然后可得周长. 【详解】(1)由 , , 可得 . 由正弦定理可得 , 又 ,故 , 由 可得 . 由余弦定理可得 ,即 ,得 . (2)由 的面积为 可得 ,故 , 由余弦定理可得 , 即 ,故 , 所以 的周长为 题型二:定值问题(边长代数和) 1.(23-24高一下·福建厦门·阶段练习) 的内角A,B,C所对的边分别为a,b,c, 且 (1)求B的值; (2)若 , ,BD为 的平分线,BE为中线,求 的值. 【答案】(1) (2) 【分析】(1)利用两角和差的正弦公式化简已知等式,可得 ,即可求 得 ,可得答案; (2)利用三角形面积公式求出c的值,再结合 ,即可求得 ,利 用 ,结合模的计算求出 ,即可求得答案. 【详解】(1)由题意知 中, , 即 即 ,即 ,而 ,故 ; (2)由于 , ,故 , 又BD为 的平分线,且 , 即 , 又BE为中线,故 , 故 , 故 . 2.(2024·四川成都·模拟预测)在 中,内角A,B,C的对边分别为a,b,c,已知 的面积 . (1)求 ; (2)若 , ,求 . 【答案】(1) ; (2)20. 【分析】(1)由三角形的面积公式和正弦定理求解即可. (2)由同角三角函数的基本关系求出 ,再由正弦定理求出 ,最后由余 弦定理求解即可. 【详解】(1)由题意可知, , 由 ,得 , 由正弦定理可知, , 由 ,得 ,即 (或 由正弦定理可知: ,因为 ,所以 .) (2)由 ,可知角 为锐角, 所以 ,得 , , 因为 , 由正弦定理得 ,所以 , 由余弦定理 , 得 3.(23-24高三下·重庆·阶段练习)在 中,角 , , 所对的边分别为 , , , 的面积为 ,且 . (1)求角 的大小; (2)若 外接圆的半径为1,边 上的高为 ,求 的值. 【答案】(1) (2)3 【分析】(1)利用三角形面积公式与余弦定理的边角变换即可得解; (2)利用正弦定理求得 ,再利用三角形面积公式求得 ,从而利用整体法,结合余弦定 理即可得解. 【详解】(1) , 即 ,即 , 所以 ,又 ,则 . (2)由 外接圆的半径为1,得 , , 边 上的高为 ,所以 , 则 ,所以 , , ,即 ,故 . 题型三:最值问题(周长) 1.(23-24高一下·江苏南京·期中)在以下三个条件中任选一个补充到下面的横线上,并给 出解答.(注:如果选择多个条件分别进行解答,则按第一个解答计分) ① ;② ;③向量 , , . 在 中,内角 , , 的对边分别为 , , ,且___________. (1)求 ; (2)若 ,求 周长的最大值. 【答案】(1) (2) 【分析】(1)选①:用正弦定理化简求解即可;选②:用两角和与差的正弦公式化简求 解;选③:用向量垂直的坐标表示和余弦定理求解即可; (2)先利用余弦定理求得 ,然后利用基本不等式求解最值即可. 【详解】(1)若选①: , 由正弦定理得 ,又 , 所以 ,又 ,所以 ,即 , 又 ,所以 ; 若选②:因为 ,所以 , 所以 ,所以 ,因为 , 所以 ,所以 ,所以 ; 若选③:因为向量 , , , 所以 ,化简得 , 所以 ,又 ,所以 ; (2)由余弦定理得 ,所以 , 所以 ,所以 ,当且仅当 时等号成立, 所以 ,即 周长的最大值为 . 2.(23-24高一下·江苏南通·期中)已知在 中, 所对的边分别为a,b, c, ,且 . (1)求角C的大小; (2)D为AB中点,若 的面积等于 ,求 的周长的最小值. 【答案】(1) (2)6 【分析】(1)先利用向量平行的坐标公式列式,然后利用正弦定理和余弦定理求解; (2)先根据面积关系求出 ,然后利用基本不等式求出 的最小值,再利用余弦 定理求出 的最小值,则 的周长的最小值可求. 【详解】(1) , , 由正弦定理 得 , , , ; (2)依题意 ,即 , 所以 ,当且仅当 时取等号, 又由余弦定理得 , ,当且仅当 时取等号, 所以 的周长最小值为6. 3.(2024高三下·全国·专题练习)在 中,内角A,B,C的对边分别为a,b,c, . (1)求A; (2)设 ,求 周长的最大值.【答案】(1) ; (2) . 【分析】(1)将原等式转化为角的正弦的齐次式,再利用正、余弦定理求出角A的余弦值 即得. (2)利用(1)的信息,结合基本不等式求解即得. 【详解】(1)在 中,由 , 得 ,即 , 由正弦定理得 ,由余弦定理得 ,又 , 所以 . (2)由(1)知, , ,又 , 则 , 于是 ,当且仅当 时取等号, 所以 周长的最大值为 . 4.(23-24高一下·贵州贵阳·阶段练习)在 中,内角 所对的边分别是 , 已知 , (1)求角 ; (2)若 ,求 周长的最大值. 【答案】(1) (2) 【分析】(1)根据正弦定理与余弦定理即可求得结果; (2)根据余弦定理与基本不等式即可求得结果. 【详解】(1)在 中,由正弦定理可知 可化为 , 化简得, , 在 中,由余弦定理得, ,又因为 ,所以 . (2)由余弦定理 , 即有 , , 所以 ,当且仅当 时取等号; 又 ,所以周长的最大值为 . 题型四:最值问题(边长代数和) 1.(23-24高一下·湖南长沙·阶段练习)记 的内角 的对边分别为 , , , 已知 . (1)若 ,求 ; (2)求 的最小值. 【答案】(1) (2) 【分析】(1)根据题意利用三角恒等变换整理可得 ,即可得结果; (2)由(1)可知 ,分析可得 , ,根据正弦定理边化 角,利用三角恒等变换结合基本不等式分析求解. 【详解】(1)因为 , 可得 , 且 ,所以 . (2)由(1)可知, ,则 , , 因为 ,且 ,可得 ,则 , 所以 . 当且仅当 时取等号,所以 的最小值为 . 2.(23-24高三上·安徽·阶段练习)记 的角 的对边分别为 ,且 . (1)求 ; (2)若 ,求 的最小值. 【答案】(1) (2)3 【分析】(1)利用正弦定理化角为边,再根据余弦定理即可得解; (2)先利用正弦定理求出 ,再根据二倍角公式和商数关系结合基本不等式即可得出答 案. 【详解】(1)因为 ,由正弦定理得: , 即 , 由余弦定理得: , 因为 ,所以 ; (2)由正弦定理: , , 则 ,又因为 代入得: , 当且仅当 ,即 时取等号, 所以 的最小值为3. 3.(2023·全国·模拟预测)在 中,内角 所对的边分别为 ,且 . (1)求角 的大小; (2)若 的中线 ,求 的最大值. 【答案】(1) (2)4 【分析】(1) . . (2) 为中线 结果. 【详解】(1)由题可得, ,结合正弦定理可得 , 因为 ,所以 ,得 , 因为 ,所以 .(2)易知 ,(技巧:向量的平行四边形法则) 两边同时平方得 ,得 . 法一: 可化为 , 因为 ,所以 , 所以 ,得 , 当且仅当 时取等号.(点拨:运用基本不等式求最值时,注意等号是否可以取 到) 所以 的最大值是4. 法二: , 令 则 , 所以 , 当且仅当 ,即 时等号成立.(点拨:三角函数的有界性) 所以 的最大值为4. 题型五:范围问题(周长) 1.(2024·陕西汉中·二模)在 中,角A,B,C所对的边分别为a,b,c,请从下列 条件中选择一个条件作答:(注:如果选择条件①和条件②分别作答,按第一个解答计 分.) ①记 的面积为S,且 ;②已知 . (1)求角A的大小; (2)若 为锐角三角形,且 ,求 周长的取值范围. 【答案】(1) ; (2) . 【分析】(1)选①,利用数量积的定义及三角形面积公式求解;选②,利用正弦定理边化角,再利用差角的余弦化简即得. (2)利用正弦定理化 为角B的函数,再利用三角恒等变换及正弦函数性质求出范围. 【详解】(1)选条件①,由 ,得 ,整理得 ,而 , 所以 . 选条件②,由 及正弦定理,得 , 而 ,则 ,整理得 ,而 , 所以 . (2)由(1)知 ,由正弦定理得 , 因此 由 为锐角三角形,得 ,解得 ,因此 , 则 ,于是 , , 所以 周长的取值范围是 . 2.(2024·宁夏银川·二模)已知平面四边形 中, . (1)若 ,求 ; (2)若 的面积为 ,求四边形 周长的取值范围. 【答案】(1) (2) 【分析】(1)分别在 和 中利用余弦定理求出 ,再利用 列方程求解; (2)先利用面积公式和余弦定理求出 ,然后在 中利用余弦定理及基本不等式可得 的范围,进而可得四边形 周长的取值范围. 【详解】(1)在 中,由余弦定理得 , 在 中,由余弦定理得 , 因为 , 所以 , 即 , 解得 . (2)由已知 ,得 , 在 中, ,由余弦定理得 ,则 , 设 ,在 中,由余弦定理得 , 则 ,得 , 所以 ,当且仅当 时取等号, 又 , 所以四边形 周长的取值范围为 . 3.(23-24高一下·陕西西安·阶段练习)在 中,内角A,B,C所对的边分别为a, b,c.已知 . (1)求A; (2)若 ,求 周长的取值范围. 【答案】(1)(2) 【分析】(1)由已知结合正弦定理角化边,整理根据余弦定理即可得出 ,然后根 据A的范围,即可得出答案; (2)根据正弦定理得出 , .设周长为 ,表示出周长.然后根据诱 导公式以及辅助角公式化简可得出 .然后根据 的范围,即可得出答案. 【详解】(1)在 中,由已知结合正弦定理角化边可得 , 整理可得 ,所以 . 又 ,所以 . (2)由(1)知 , 所以 , , 记 的周长为 ,则 , 由 , ,得 , 所以 . 又 ,所以 ,则 ,故 4.(23-24高一下·广东东莞·阶段练习)已知 的内角 所对的边分别是 , . (1)求角 ; (2)若 外接圆的周长为 ,求 周长的取值范围. 【答案】(1) ; (2) . 【分析】(1)由正弦定理化简已知等式可得 ,利用余弦定理可得 , 结合范围 ,可求 的值.(2)法一:由正弦定理可得 ,由余弦定理,基本不等式可求 的范围,进而可求 的周长的最大值;法二:利用正弦定理,将周长化为角A的函数求出范围即可. 【详解】(1)由正弦定理可得 ,即 . 由余弦定理得 . 又 ,所以 . (2)方法一:因为△ 外接圆的周长为 ,所以△ 外接圆的直径为 . 由正弦定理得 ,则 . 由余弦定理得 . 因为 ,所以 ,即 , 由三角形性质知 , 当且仅当 时,等号成立. 所以 ,故△ 周长的取值范围为 . 方法二:因为△ 外接圆的周长为 ,所以△ 外接圆的直径为 .  由正弦定理得 ,则 . ∵ ∴ ,∴ 故△ 周长的取值范围为 . 5.(2024·全国·模拟预测)已知函数 .(1)求 的最小正周期与图象的对称中心; (2)在 中, ,求 周长的取值范围. 【答案】(1) ; (2) 【分析】(1)易得 ,再利用正弦函数的性质求解; (2)由 结合正弦定理得到外接圆的半径,从而有周长 ,再利用正弦函数的性 质求解. 【详解】(1)解:由题意得 , , 所以 的最小正周期 ; 令 ,则 , 故 图象的对称中心为 . (2)由 ,得 , 又 ,所以 , 所以 ,则 ,则 . 设 的内角 所对的边分别为 , 由正弦定理得 , , , 则周长 ,, 因为 ,所以 , 故 ,因此 . 题型六:范围问题(边长代数和) 1.(23-24高一下·安徽·期中)已知锐角 分别为角 的对边,若 . (1)求证: ; (2)求 的取值范围. 【答案】(1)证明见解析; (2) . 【分析】(1)根据题干,利用余弦定理化简可得 ,再由正弦定理可得 即 ,再根据 是锐角三角形,所以 即可得解; (2)由 是锐角三角形,所以 ,由正弦定理可得 结合角 的范围即可得解. 【详解】(1) 根据正弦定理 ,由 , 即 . 是锐角三角形, , , 因此有(2) 是锐角三角形, ,而 , 由正弦定理 ,得 , 则 , 而 所以 , 因此 的取值范围为 . 2.(23-24高一下·浙江丽水·阶段练习)在锐角 中,已知角A,B,C所对的边分别 为a,b,c,且 . (1)求角C的大小; (2)求 的取值范围. 【答案】(1) (2) 【分析】(1)应用正弦定理和余弦定理边角互化,进而求出角C. (2)应用余弦定理,化简 ,利用正弦定理结合 三角函数求出范围. 【详解】(1)由余弦定理 ,及正弦定理 得. 所以 ,又 , 所以 所以 (2) 因为 , 在锐角 中, ,解得 , 所以 ,所以 , 由对勾函数的性质可得 ,所以 . 3.(2024·河北衡水·一模)在 中,内角 所对的边分别是 ,三角形面积为 ,若 为 边上一点,满足 ,且 . (1)求角 ; (2)求 的取值范围. 【答案】(1) (2) 【分析】(1)结合面积公式、正弦定理及两角和的正弦公式化简可得 ,进而 求解即可; (2)在 中由正弦定理可得 ,在 中,可得 ,进而得到 ,结合三角恒等变化公式化简可得 ,进而 结合正弦函数的图象及性质求解即可. 【详解】(1) , ,即 , 由正弦定理得, , , , , , 由 ,得 . (2)由(1)知, , 因为 ,所以 , , 在 中,由正弦定理得 , 即 , 在 中, , , , , , , , ,所以 的取值范围为 . 4.(23-24高一下·浙江宁波·阶段练习)在锐角 中,已知 . (1)求 ; (2)求 的取值范围. 【答案】(1) (2) 【分析】 (1)利用正弦定理边化角,再借助三角函数和差角公式化简可解; (2)利用正弦定理边化角,再借助辅助角公式化简求范围. 【详解】(1)由题意, 根据正弦定理可得, 则 ,展开可得 , . (2)由正弦定理 , 则 ,其中 , 是锐角三角形, , . , , 显然 ,当 时, , . 5.(23-24高三下·河北·阶段练习)记△ 的内角 的对边分别为 ,已知 .(1)求 ; (2)若 ,求 的范围. 【答案】(1) (2) 【分析】(1)利用正弦定理以及三角恒等变形求 ; (2)利用正弦定理将 的范围转化为三角函数的值域求解. 【详解】(1)由正弦定理得, , 因为 ,所以 ,所以 ,则 , 因为 ,所以 , 所以 ,所以 . (2)因为 ,则 , 因为 , 所以 . 所以 . 因为 .所以 .所以 , 所以 . 6.(2023·浙江·模拟预测)已知 中,内角 所对的边分别为 ,且满足 . (1)若 ,求 ; (2)求 的取值范围. 【答案】(1)(2) 【分析】(1)解法一:根据题意,由正弦定理得到 ,再由余弦定理得到 ,联立方程组得到 ,再由余弦定理求得 ,即可求解; 解法二:根据题意,由正弦定理化简得到 ,进而得到 ,即可求解; (2)由(1)得到 ,求得 ,结合三角形的边的关系,得到 ,设 ,得出函数 ,结合函数的性质,即可求解. 【详解】(1)解法一:因为 ,由正弦定理得 , 可得 ,即 , 又因为 ,由余弦定理得 ,即 , 联立方程组 ,可得 ,即 ,所以 , 由余弦定理定理得 , 因为 ,所以 . 解法二:因为 ,由正弦定理得 , 整理得 , 又因为 ,可得 ,所以 , 即 ,可得 ,即 , 因为 ,所以 ,所以 ,所以 . (2)由(1)知 ,可得 ,且 , 所以 , 由三角形三边关系,可得 ,可得 ,令 ,可得 ,其中 , 所以函数 , 所以 ,所以 的取值范围是 . 题型七:范围问题(锐角三角形问题) 1.(2024·全国·模拟预测)记锐角三角形 的内角 的对边分别为 ,已知 . (1)求 的大小. (2)若 的面积为 ,求 的取值范围. 【答案】(1) (2) 【分析】(1)切化弦后角化边可得 ,结合余弦定理 可得 ,可求得 ; (2)由面积可得 ,结合A的范围以及三角恒等变换可得 的取值范 围. 【详解】(1)由已知条件可知 , 则由正弦定理,得 . 整理,得 .由余弦定理知 , 则 ,所以 . 又 ,所以 . (2)由(1)可知, ,则 .因为 为锐角三角形,所以 解得 . 由正弦定理,得 ,所以 . 因为 的面积为 ,所以 , 所以 .易知 . 又 ,所以 ,则 , 所以 , 所以 .因为 ,所以 , 故 的取值范围为 . 2.(2024·陕西安康·模拟预测)已知锐角 中,角 , , 所对的边分别为 , , ,其中 , ,且 . (1)求证: ; (2)已知点 在线段 上,且 ,求 的取值范围. 【答案】(1)证明见解析 (2) 【分析】(1)由正弦定理得 ,又由余弦定理得 ,结合整 理可得角的关系; (2)由正弦定理得 ,又因为 为锐角三角形且 ,结合三角函 数值域可求得线段 长度的取值范围. 【详解】(1)因为 , 即 ,由正弦定理可得 ,又 ,即 ,所以 ,整理得 , 由余弦定理得 ,整理得 , 由正弦定理得 , 故 , 即 , 整理得 , 又因为 为锐角三角形,则 ,可得 , 所以 ,即 . (2)因为点 在线段 上,且 ,即 平分 , 又 ,所以 ,则 , 在 中,由正弦定理得 , 所以 , 因为 为锐角三角形,且 ,所以 ,解得 . 故 ,所以 . 因此线段 长度的取值范围 . 3.(2024·陕西安康·模拟预测)记锐角 的内角 , , 的对边分别为 , , , 已知 .(1)证明: ; (2)求 的取值范围. 【答案】(1)证明见解析 (2) 【分析】(1)借助二倍角公式、正弦定理、余弦定理及三角形内角和的关系计算即可得; (2)借助正弦定理将边化为角后,借助三角函数的值域计算即可得. 【详解】(1)证明:由 , 得 , 即 , 由正弦定理可得 ,即 , 由余弦定理可得 ,故 , 又 ,故 ,由 , 故 ; (2)由正弦定理可得: , 又锐角 中,有 , ,解得 , 即 ,即 , 故 . 4.(23-24高一下·河南洛阳·阶段练习)在 中,角 的对边分别为 ,且 . (1)求角 的大小; (2)若 为锐角三角形,且 ,求 周长的取值范围. 【答案】(1) (2)【分析】(1)利用正弦定理进行角化边,然后根据余弦定理求解出 的值,即可求出 角 ; (2)法一:根据正弦定理可得 ,根据三角恒等变换化简可得 ,再根据 的范围求解即可;法二:过点 作 ,垂足为 , 根据直角三角形性质结合图形分析求解. 【详解】(1)由正弦定理得 , 整理得 ,所以 , 又 ,所以 . (2)法一:由(1)知 ,即 . 因为 为锐角三角形,所以 解得 . 由正弦定理 ,得 , 则 , 当 时, ,则 . 又 , 所以 ,所以 , 所以 ,即 ,所以 周长的取值范围是 . 法二:(数形结合)过点 作 ,垂足为 , 在直线 上取一点 ,使 ,则 与 均为直角三角形. 为锐角三角形, 点 在线段 上(不含端点). 在 中, ,易得 , ,周长为 ; 在 中, ,易得 ,周长为 , 所以 周长的范围是 . 5.(23-24高三下·黑龙江·阶段练习)已知在锐角三角形 中,边 , , 对应角 ,向量 , ,且 与 垂直, . (1)求角 ; (2)求 的取值范围. 【答案】(1) (2) 【分析】(1)通过 ,利用三角恒等变形公式计算即可; (2)利用正弦定理,将 用角 表示出来,然后利用 的范围求 的取值范围. 【详解】(1)因为 与 垂直, 所以 ,即 , 即 , 即 , 即 ,又 ,所以 , 所以 ,即 ; (2)由正弦定理 得 , 根据三角形 是锐角三角形得 , 解得 ,则 ,所以 , 所以 ,则 , 则 的取值范围为 . 三、专项训练 1.(23-24高一下·山东·阶段练习) 的内角 的对边分别为 , ,则 ;若 ,则 的取值范围是 .【答案】 【分析】根据正弦定理将条件 转化为边的关系,利用余弦 定理求角 ,结合正弦定理,内角和定理将 表示为 的函数,结合正弦函数的性质 求其范围. 【详解】因为 , 所以 ; 由正弦定理得 , 所以 ,又 , 所以 , , 由正弦定理可得 ,( 为 的外接圆的半径), 由正弦定理得 , 所以 , 由已知 ,所以 ,则 , 所以 , 故答案为: ; . 2.(23-24高一下·福建莆田·阶段练习)已知 的外接圆 的半径为 , 的长为 周长的最大值为 . 【答案】21 【分析】根据给定条件,利用正弦定理求出角 ,再利用余弦定理结合基本不等式求解即 得.【详解】由 的外接圆 的半径为 且 ,得 , 而 ,则 或 ,由余弦定理得 , 当 时, ,当且仅当 时取等号, 因此当 时, , 的周长最大值为21; 当 时, ,当且仅当 时取等号, 因此当 时, , 的周长最大值为 , 而 ,所以 的周长最大值为21. 故答案为:21 3.(2024·四川绵阳·一模) 中,角 、 、 的对边分别为a、b、c,若 ,则 的周长为 . 【答案】 【分析】先利用两角差的正弦公式、正弦定理和余弦定理对题目条件进行化简得出: ;再结合 和余弦定理得出 的值即可求解. 【详解】因为 , 所以 , 即 ., 由正弦定理可得: , 由余弦定理可得: ,整理得: . 因为 , 所以 ,整理得: ,则 , 所以 , 故答案为: . 4.(23-24高一下·湖南衡阳·阶段练习)设函数 ,在 中, ,则 周长的最大值为 . 【答案】 【分析】 由 ,化简得到 ,再利用正弦定理 和辅助角公式,得到 ,即可求解. 【详解】 由函数 ,因为 , 可得 , 整理得 , 即 , 即 , 因为 ,可得 , 所以 ,且 , 由正弦定理,得 , 当且仅当 时取等,因此 周长的最大值为 . 故答案为: . 5.(23-24高一下·广东广州·阶段练习)在 中, 的平分线交AC于点D, ,则 周长的最小值为 . 【答案】 【分析】根据等面积法得 ,进而结合基本不等式得 , ,当且仅 当 时等号成立,再结合余弦定理得 ,当且仅当 时等号成立,进而得周长最小值.【详解】根据题意,设, , 因为 , , , , 所以 ,即 , 所以 , 因为根据基本不等式有 , 所以 , ,当且仅当 时等号成立, 由余弦定理得 ,当且仅当 时等号 成立, 所以 ,当且仅当 时等号成立. 所以 周长的最小值为 . 故答案为: . 【点睛】 方法点睛:解三角形中最值或范围问题,通常涉及与边长,周长有关的范围问题,与面积 有关的范围问题,或与角度有关的范围问题, 常用处理思路:①余弦定理结合基本不等式构造不等关系求出答案; ②采用正弦定理边化角,利用三角函数的范围求出最值或范围,如果三角形为锐角三角 形,或其他的限制,通常采用这种方法; ③巧妙利用三角换元,实现边化角,进而转化为正弦或余弦函数求出最值. 6.(2024高三·全国·专题练习)已知 的内角 、 、 的对边分别为 、 、 ,若 且 ,则 的周长的取值范围为 . 【答案】 【分析】由余弦定理结合基本不等式可得 ,再由三角形三边关系可得 ,可 得 ,进一步可得周长的取值范围. 【详解】因为 ,所以 , 由基本不等式可得 , 当且仅当 时,等号成立,此时 ,由三角形三边关系可得 ,所以 , 则 , 所以 的周长的取值范围为 . 故答案为: . 7.(22-23高一下·江苏连云港·期中)设锐角 的内角A,B,C的对边分别为a,b, c,若 ,则 的取值范围是 . 【答案】 【分析】根据已知条件,利用正弦定理边角互化结合三角恒等变换将目标式化为角 的函 数关系,再求 的取值范围,根据函数值域即可求得结果. 【详解】因为 ,则 , , 又 , 故由正弦定理可得: , 又 为锐角三角形,故可得 , 解得 ,则 , 由于 ,在 上单调递增, 当 当 , 故 , 即 . 故答案为: . 8.(2024高三·江苏·专题练习)已知 的内角A,B,C的对应边分别为a,b,c,且 ,若 为锐角三角形, ,则 周长的取值范围为 . 【答案】 【分析】利用正弦定理化边为角,由题设化简求出 ,再利用正弦定理,将边 用角 的三角函数表示,利用三角恒等变换将周长表达式整理成正弦型函数,借助于角的范围和三角函数的值域即可求得. 【详解】因 , 由正弦定理得 , 中, ,所以 ,得 ,即 , ∵ ,则 , ∴ ,∴ . 为锐角三角形, , , 由正弦定理得 , ∴ , , , 周长 , ∵ 为锐角三角形, ∴ , ∴ , ∴ , ∴ , ∴ ,即 周长的取值范围为 . 故答案为: . 9.(2024高三·全国·专题练习)已知 分别为 三个内角 的对边, ,且 ,则 周长的取值范围为 . 【答案】 【分析】根据余弦定理结合基本不等式求出 ,再结合三角形中两边之和大于第 三边得解. 【详解】因为 , , 由余弦定理得 ,当且仅当 时等号成立. ∴ ,∴ , 又因为 ,所以 , 即 周长取值范围为 . 故答案为: . 10.(23-24高三上·江苏淮安·阶段练习)在 中,角 的对边分别为 为 边中点,若 ,则 面积 的最大值为 . 【答案】 【分析】根据向量模长公式即可 ,结合基本不等式即可求解 ,进而根 据三角函数的单调性,结合面积公式即可求解. 【详解】由于 为 边中点,所以 ,平方 , 因此 , 由于 ,所以 ,当且仅当 时等号成立, 故 , 由于 在 单调递减,故当 时, 最小,且为钝角, , 由于 在 单调递增,故当 取最小值时,此时面积最大,故当 时,此时 最小,进而 最小,故面积最大, 由 可得 ,故面积的最大值为 , 故答案为: 11.(23-24高一下·湖北武汉·期中)在① ,② ,③ 这三个条件中任选一 个,补充在下面问题中,并作答.问题:在 中,内角 所对的边分别为 , 已知 ,且选择条件______. (1)求角 ;(2)若 为 的平分线,且与 交于点 ,求 的周长. 注:如果选择多个条件分别解答,按第一个解答计分. 【答案】(1) (2) 【分析】(1)若选①,结合正弦定理或者余弦定理进行边角转换,由三角形内角和为 及 和差公式化简等式,再根据角的范围及函数值,即可求得A;若选②,根据平方关系及诱 导公式得到 ,再利用正弦定理将角化边,最后由余弦定 理计算可得;若选③,利用正弦定理将角化边,再由余弦定理将边化角,即可得解; (2)利用三角形面积公式与余弦定理得到关于 的方程组,结合整体法即可得解. 【详解】(1)若选① , 则 , 又因为 ,所以 ,即 , 所以 ,又因为 ,所以 , 所以 ,解得 ; 若选② , 则 , 由正弦定理可得 , 故 , 又 ,故 . 若选择③ ; 由正弦定理可得 , 再由余弦定理得 ,即 , , . 综上所述,无论选①②③任何一个,都有 ;(2) , , , 因为 , 所以 , 又 平分 ,所以 , 所以 , 则 ,即 由余弦定理得 ,即 , 所以 ,解得 或 (负值舍 去), 故 的周长为 . 12.(23-24高一下·广东茂名·期中)设 内角 的对边分别为 ,已知 , . (1)求角 ; (2)若 ,求 的面积; (3)求 的周长的取值范围. 【答案】(1) (2) (3) 【分析】(1)利用正弦定理将边化角,再由诱导公式及两角和的正弦公式计算可得; (2)利用余弦定理求出 ,再由面积公式计算可得; (3)由正弦定理将边化角,再化简得 ,再由 求得 的 取值范围,即可得周长的取值范围. 【详解】(1)因为 ,由正弦定理可得 , 又 , 所以 , 即 , 所以 , 又 ,所以 ,则 , 又 ,所以 . (2)因为 , , , 由余弦定理得 , 即 , 解得 , 所以 的面积 . (3)因为 , , 由正弦定理得 , 因为 , 所以 , 因为 , 所以 , , 所以 , 即 , 所以 周长的取值范围为 . 13.(23-24高一下·黑龙江哈尔滨·阶段练习)在 中,角 的对边分别为 ,且 . (1)证明: 为直角三角形; (2)当 时,求 周长的最大值. 【答案】(1)证明见解析 (2) 【分析】(1)由降幂公式和余弦定理解三角形可得; (2)利用三角函数把边长表示成角,再用辅助角公式表示出周长,最后利用正弦函数的值 域求出最值. 【详解】(1)证明:因为 ,即 , 由余弦定理 可得 , 化简可得 , 所以 为直角三角形. (2)由(1)可得 为直角三角形的斜边, 所以两直角边长分别为 , 所以设周长为 ,则 , 因为 , 所以 ,即 时,周长取得最大值,最大值为 . 14.(23-24高一下·吉林白山·阶段练习)在 中,内角 所对的边分别为 , 且 . (1)求角 的大小; (2)若 为锐角三角形,点 为 的垂心, ,求 的取值范围. 【答案】(1) (2) 【分析】(1)先根据平方关系及正弦定理化角为边,再利用余弦定理即可得解; (2)延长 交 于 ,延长 交 于 ,则 ,设 ,且,分别求出 ,再根据三角恒等变换化一,结合正弦函数的性质即可得解. 【详解】(1)因为 , 所以 , 由正弦定理得 , 则 , 因为 ,所以 ; (2)延长 交 于 ,延长 交 于 , 根据题意可得 .因为 ,所以 , 设 ,且 , 则 , 同理可得 , 则 , 因为 ,所以 , 又 , 所以 , 所以 的取值范围是 .【点睛】方法点睛:解三角形的基本策略: (1)利用正弦定理实现“边化角”; (2)利用余弦定理实现“角化边”. 求三角形有关代数式的取值范围也是一种常见的类型,主要方法有两类: (1)找到边与边之间的关系,利用基本不等式来求解; (2)利用正弦定理,转化为关于某个角的三角函数,利用函数思想求解. 15.(23-24高一下·四川成都·阶段练习)已知 . (1)求函数 图象的对称轴方程; (2)设 的内角 所对的边分别为 ,若 且 ,求 周长的 取值范围. 【答案】(1) (2) 【分析】(1)根据向量数量积的坐标运算结合三角恒等变换,可得 的表达式,结合 正弦函数的性质,即可求得答案; (2)由 求出B,由正弦定理求出 的表达式,结合三角恒等变换化简可得 的表达式,利用三角函数性质求出其范围,即可得三角形周长的取值范围. 【详解】(1)由于 , 故 , 由 ,得 故函数 图象的对称轴方程为 ; (2)由 ,得 ,而 ,故 , 由于 ,则 , 则 , 则 , 而 , 则 ,即 , 故 周长的取值范围为 . 16.(23-24高一下·广东湛江·阶段练习)已知A,B,C为 的三内角,且其对边分别 为a,b,c.若 且 . (1)求角A的大小; (2)若 ,求 的周长的取值范围. 【答案】(1) (2) 【分析】(1)根据题意可得 ,再根据正弦定理可得 ,进而 即可求得角A的大小; (2)先根据题意及正弦定理得到 , ,从而得到 ,再结合(1)得到B的取值范围,进而即可求得 的 周长的取值范围. 【详解】(1)由 ,则 , 又由正弦定理得 , 又因为 ,则 , 所以 ,即 ,又因为 ,所以 . (2)由正弦定理有 , 则 , , 所以 , 又 ,则 ,则 ,则 , 所以 , 故 的周长的取值范围为 . 17.(23-24高一下·河南商丘·阶段练习)设锐角三角形 的内角 的对边分别为 , , ,已知 ,且 . (1)求 的值; (2)若 为 的延长线上一点,且 ,求三角形 周长的取值范围. 【答案】(1)1 (2) 【分析】(1)根据题意利用正弦定理结合三角恒等变换可得 ,即可得结果; (2)在 中,可得 , ,在 中,利用正弦定理结合三角函 数可得 ,进而可得结果. 【详解】(1)因为 , 由正弦定理可得 , 则 ,整理得 , 由正弦定理可得 ,即 ,且 ,所以 . (2)在 中,由题意可知: , , 可知 , 由余弦定理可得 ,即 , 在 中,由正弦定理 , 可得 , 因为 且 为锐角三角形,则 ,解得 , 则 ,可得 ,所以 , 且三角形 周长为 , 所以三角形 周长的取值范围为 . 18.(2011高一·全国·竞赛)在 中,角 所对的边分别为 ,且 . (1)判断 的形状,并加以证明; (2)当 时,求 周长的最大值. 【答案】(1) 为直角三角形,证明见解析 (2) 【分析】(1)根据余弦二倍角公式及余弦定理可得结果; (2)由(1)可得周长表达式,根据辅助角公式及正弦函数性质可得结果. 【详解】(1)因为 即 ,所以 ,即 ,即 , 由余弦定理得: , ,即 为直角三角形. (2)由(1)知 为直角三角形, 为斜边,当 时,另两直角边长分别为 , , 周长 , 因为 , 所以当 ,即 时, , 周长的最大值为 . 19.(22-23高二上·湖南岳阳·期末)在① ,② ,③ 三个条件中任选一个补充在下列问题中,并解决该问 题. 在 中,角 所对的边分别为 ,__________,且 .求: (1) ; (2) 周长的取值范围. 【答案】(1) (2) 【分析】(1)选①由三角恒等变换可得 求出角,选②由三角形面积公式及数量 积公式化简得出 即可求解,选③转化为正弦函数,利用正弦定理、余弦定理求出 得解; (2)由正弦定理及三角恒等变换可得 ,利用正弦函数的值域求范围即可 得解. 【详解】(1)若选① ,由正弦定理得: , , , ,, . 若选② , , , , . 若选③ , , 由正弦定理得: , 由余弦定理得: , , . (2) , , , , , , 即 ,所以△ABC周长的取值范围 . 20.(2023·四川成都·一模)已知函数 .在锐角 中,角 A,B,C的对边分别是a,b,c,且满足 . (1)求A的值; (2)若 ,求 的取值范围.【答案】(1) (2) 【分析】(1)由三角恒等变换公式计算可得; (2)首先由正弦定理和(1)求出 ,然后用锐角三角形和(1)求出B的 取值范围,最后结合正切函数公式计算出结果. 【详解】(1) . 由 ,即 . 为锐角三角形, , . . (2)由正弦定理, . , . ,. 是锐角三角形, ,且 . , , , .. . 综上, 的取值范围为 .