当前位置:首页>文档>专题11坐标系与参数方程-2021年高考真题和模拟题数学(文)分项汇编(全国通用)(解析版)_02高考数学_新高考复习资料_2023年新高考资料_一轮复习_2023新高考大一轮复习讲义+课件

专题11坐标系与参数方程-2021年高考真题和模拟题数学(文)分项汇编(全国通用)(解析版)_02高考数学_新高考复习资料_2023年新高考资料_一轮复习_2023新高考大一轮复习讲义+课件

  • 2026-04-10 09:32:56 2026-04-10 09:32:56

文档预览

专题11坐标系与参数方程-2021年高考真题和模拟题数学(文)分项汇编(全国通用)(解析版)_02高考数学_新高考复习资料_2023年新高考资料_一轮复习_2023新高考大一轮复习讲义+课件
专题11坐标系与参数方程-2021年高考真题和模拟题数学(文)分项汇编(全国通用)(解析版)_02高考数学_新高考复习资料_2023年新高考资料_一轮复习_2023新高考大一轮复习讲义+课件
专题11坐标系与参数方程-2021年高考真题和模拟题数学(文)分项汇编(全国通用)(解析版)_02高考数学_新高考复习资料_2023年新高考资料_一轮复习_2023新高考大一轮复习讲义+课件
专题11坐标系与参数方程-2021年高考真题和模拟题数学(文)分项汇编(全国通用)(解析版)_02高考数学_新高考复习资料_2023年新高考资料_一轮复习_2023新高考大一轮复习讲义+课件
专题11坐标系与参数方程-2021年高考真题和模拟题数学(文)分项汇编(全国通用)(解析版)_02高考数学_新高考复习资料_2023年新高考资料_一轮复习_2023新高考大一轮复习讲义+课件
专题11坐标系与参数方程-2021年高考真题和模拟题数学(文)分项汇编(全国通用)(解析版)_02高考数学_新高考复习资料_2023年新高考资料_一轮复习_2023新高考大一轮复习讲义+课件
专题11坐标系与参数方程-2021年高考真题和模拟题数学(文)分项汇编(全国通用)(解析版)_02高考数学_新高考复习资料_2023年新高考资料_一轮复习_2023新高考大一轮复习讲义+课件
专题11坐标系与参数方程-2021年高考真题和模拟题数学(文)分项汇编(全国通用)(解析版)_02高考数学_新高考复习资料_2023年新高考资料_一轮复习_2023新高考大一轮复习讲义+课件
专题11坐标系与参数方程-2021年高考真题和模拟题数学(文)分项汇编(全国通用)(解析版)_02高考数学_新高考复习资料_2023年新高考资料_一轮复习_2023新高考大一轮复习讲义+课件
专题11坐标系与参数方程-2021年高考真题和模拟题数学(文)分项汇编(全国通用)(解析版)_02高考数学_新高考复习资料_2023年新高考资料_一轮复习_2023新高考大一轮复习讲义+课件
专题11坐标系与参数方程-2021年高考真题和模拟题数学(文)分项汇编(全国通用)(解析版)_02高考数学_新高考复习资料_2023年新高考资料_一轮复习_2023新高考大一轮复习讲义+课件
专题11坐标系与参数方程-2021年高考真题和模拟题数学(文)分项汇编(全国通用)(解析版)_02高考数学_新高考复习资料_2023年新高考资料_一轮复习_2023新高考大一轮复习讲义+课件
专题11坐标系与参数方程-2021年高考真题和模拟题数学(文)分项汇编(全国通用)(解析版)_02高考数学_新高考复习资料_2023年新高考资料_一轮复习_2023新高考大一轮复习讲义+课件
专题11坐标系与参数方程-2021年高考真题和模拟题数学(文)分项汇编(全国通用)(解析版)_02高考数学_新高考复习资料_2023年新高考资料_一轮复习_2023新高考大一轮复习讲义+课件
专题11坐标系与参数方程-2021年高考真题和模拟题数学(文)分项汇编(全国通用)(解析版)_02高考数学_新高考复习资料_2023年新高考资料_一轮复习_2023新高考大一轮复习讲义+课件
专题11坐标系与参数方程-2021年高考真题和模拟题数学(文)分项汇编(全国通用)(解析版)_02高考数学_新高考复习资料_2023年新高考资料_一轮复习_2023新高考大一轮复习讲义+课件
专题11坐标系与参数方程-2021年高考真题和模拟题数学(文)分项汇编(全国通用)(解析版)_02高考数学_新高考复习资料_2023年新高考资料_一轮复习_2023新高考大一轮复习讲义+课件
专题11坐标系与参数方程-2021年高考真题和模拟题数学(文)分项汇编(全国通用)(解析版)_02高考数学_新高考复习资料_2023年新高考资料_一轮复习_2023新高考大一轮复习讲义+课件
专题11坐标系与参数方程-2021年高考真题和模拟题数学(文)分项汇编(全国通用)(解析版)_02高考数学_新高考复习资料_2023年新高考资料_一轮复习_2023新高考大一轮复习讲义+课件
专题11坐标系与参数方程-2021年高考真题和模拟题数学(文)分项汇编(全国通用)(解析版)_02高考数学_新高考复习资料_2023年新高考资料_一轮复习_2023新高考大一轮复习讲义+课件
专题11坐标系与参数方程-2021年高考真题和模拟题数学(文)分项汇编(全国通用)(解析版)_02高考数学_新高考复习资料_2023年新高考资料_一轮复习_2023新高考大一轮复习讲义+课件
专题11坐标系与参数方程-2021年高考真题和模拟题数学(文)分项汇编(全国通用)(解析版)_02高考数学_新高考复习资料_2023年新高考资料_一轮复习_2023新高考大一轮复习讲义+课件
专题11坐标系与参数方程-2021年高考真题和模拟题数学(文)分项汇编(全国通用)(解析版)_02高考数学_新高考复习资料_2023年新高考资料_一轮复习_2023新高考大一轮复习讲义+课件
专题11坐标系与参数方程-2021年高考真题和模拟题数学(文)分项汇编(全国通用)(解析版)_02高考数学_新高考复习资料_2023年新高考资料_一轮复习_2023新高考大一轮复习讲义+课件
专题11坐标系与参数方程-2021年高考真题和模拟题数学(文)分项汇编(全国通用)(解析版)_02高考数学_新高考复习资料_2023年新高考资料_一轮复习_2023新高考大一轮复习讲义+课件
专题11坐标系与参数方程-2021年高考真题和模拟题数学(文)分项汇编(全国通用)(解析版)_02高考数学_新高考复习资料_2023年新高考资料_一轮复习_2023新高考大一轮复习讲义+课件
专题11坐标系与参数方程-2021年高考真题和模拟题数学(文)分项汇编(全国通用)(解析版)_02高考数学_新高考复习资料_2023年新高考资料_一轮复习_2023新高考大一轮复习讲义+课件
专题11坐标系与参数方程-2021年高考真题和模拟题数学(文)分项汇编(全国通用)(解析版)_02高考数学_新高考复习资料_2023年新高考资料_一轮复习_2023新高考大一轮复习讲义+课件
专题11坐标系与参数方程-2021年高考真题和模拟题数学(文)分项汇编(全国通用)(解析版)_02高考数学_新高考复习资料_2023年新高考资料_一轮复习_2023新高考大一轮复习讲义+课件
专题11坐标系与参数方程-2021年高考真题和模拟题数学(文)分项汇编(全国通用)(解析版)_02高考数学_新高考复习资料_2023年新高考资料_一轮复习_2023新高考大一轮复习讲义+课件

文档信息

文档格式
doc
文档大小
2.271 MB
文档页数
26 页
上传时间
2026-04-10 09:32:56

文档内容

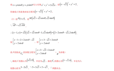
专题 11 坐标系与参数方程 1.(2021·江苏高考真题)以抛物线 的焦点为圆心,且与直线 ( 为参数)相切的圆的 标准方程是____________. 【答案】 【分析】将抛物线方程化为标准方程,直线参数方程化为普通方程,结合点到直线的距离公式求得圆的半径, 进而得答案. 【详解】解:将抛物线方程化为标准方程得 ,所以焦点坐标为 , 将直线的参数方程化为普通方程得 , 所以点 到直线 的距离为 , 所以所求圆的方程为 . 故答案为: 2.(2021·全国高考真题(文))在直角坐标系 中,以坐标原点为极点,x轴正半轴为极轴建立极坐 标系,曲线C的极坐标方程为 . (1)将C的极坐标方程化为直角坐标方程; (2)设点A的直角坐标为 ,M为C上的动点,点P满足 ,写出Р的轨迹 的参数方 程,并判断C与 是否有公共点. 【答案】(1) ;(2)P的轨迹 的参数方程为 ( 为参数),C与 没有公共点. 【分析】(1)将曲线C的极坐标方程化为 ,将 代入可得; (2)设 ,设 ,根据向量关系即可求得P的轨迹 的参数方程,求 出两圆圆心距,和半径之差比较可得. 【详解】(1)由曲线C的极坐标方程 可得 , 将 代入可得 ,即 , 即曲线C的直角坐标方程为 ; (2)设 ,设 , , 则 ,即 , 故P的轨迹 的参数方程为 ( 为参数) 曲线C的圆心为 ,半径为 ,曲线 的圆心为 ,半径为2, 则圆心距为 , , 两圆内含, 故曲线C与 没有公共点. 【点睛】关键点睛:本题考查参数方程的求解,解题的关键是设出 的参数坐标,利用向量关系求解.1.(2021·上海普陀区·高三其他模拟)已知直线l的参数方程是 ( , 为参数), 则直线l的倾斜角的大小为___________. 【答案】110° 【分析】把直线的参数方程转换成标准式即可直接得出结果. 【详解】解:直线l的参数方程是 ( , 为参数), 转换为标准式为 (t为参数), 所以直线的倾斜角为110°, 故答案为:110°. 2.(2021·贵州黔东南苗族侗族自治州·凯里一中高三三模(文))在平面直角坐标系 中,直线 的参 数方程为 ( 为参数, 为直线的倾斜角),以坐标原点为极点, 轴的正半轴为极轴,建 立极坐标系,曲线 的极坐标方程 . (1)求曲线 的直角坐标方程; (2)已知点 ,直线 与曲线 交于 、 两点,与 轴交于 点,若 ,求直 线 的普通方程. 【答案】(1) ;(2) 或 . 【分析】(1)化简 ,然后根据 代入化简即可.(2)分别假设点 所对应的参数,然后直线参数代入(1)中的直角坐标方程,结合韦达定理,然 后计算即可. 【详解】(1)由 可得 , ,由 , 曲线 的直角坐标方程是 . (2)设 、 两点对应的参数分别为 、 , 联立直线 的参数方程与曲线 的普通方程,整理得 , , 设点 对应的参数为 ,由 ,可得 , 由 得 , 即 , , ,即 , 直线 的斜率 ,故直线 的方程为 或 . 3.(2021·陕西高三其他模拟(文))在极坐标系中,曲线 的方程为 ,以极点为 直角坐标系的原点,极轴为 轴正半轴建立直角坐标系 (1)求曲线 的直角坐标方程,并说明 是什么曲线; (2)直线 的参数方程为 为参数, ,点 的直角坐标为 ,直线 与曲 线 交于 两点,求 的最大值. 【答案】(1) ;曲线 是以 为圆心,半径为2的圆;(2)2. 【分析】(1)化简极坐标方程,将极坐标与直角坐标方程的转化公式 ,代入求得直角坐标 方程,并描述曲线; (2)联立直线的参数方程与圆的直角坐标方程,根据参数方程的几何意义,求出问题的表达式,从而求 得最大值. 【详解】(1) 由 知, ,即 曲线 是以 为圆心,半径为2的圆; (2)联立 ,化简得则由韦达定理知 , 则由直线的参数方程几何意义知,设 , , 则 , 由 ,当且仅当 时,取得最大值2. 4.(2021·山西太原市·太原五中高三二模(文))平面直角坐标系 中,曲线 的参数方程为 ( 为参数),以坐标原点 为极点,以 轴正半轴为极轴建立极坐标系,直线 的极坐标 方程为 . (1)写出曲线 的普通方程和直线 的直角坐标方程; (2)若直线 与曲线 交于 , 两点,点 ,求 的值. 【答案】(1) 的普通方程 , 的直角坐标方程为 ;(2) . 【详解】解:(1)曲线 的参数方程为 , 消去参数 得曲线 的普通方程 . ∵ , ∴ . 又 ,∴直线 的直角坐标方程为 . (2)法一:设直线 的参数方程为 ( 为参数,将其代入曲线 的直角坐标方程化简得 , ∴ , . ∴ . 法二:由 , 化简得 , 则 , . 从而 , . ∴ . (1)直接利用转换关系,在参数方程、极坐标方程和直角坐标方程之间进行转换; (2)(法一)利用一元二次方程根和系数关系式的应用求出结果. (法二)利用方程组的解法和两点间的距离公式的应用求出结果. 本题考查的知识要点:参数方程、极坐标方程和直角坐标方程之间的转换,一元二次方程根和系数关系式 的应用,极径的应用,主要考查学生的运算能力和数学思维能力,属于基础题. 5.(2021·四川眉山市·仁寿一中高三其他模拟(文))在同一直角坐标系 中,经过伸缩变换后,曲线 变成曲线 . (1)求曲线 的参数方程; (2)设 ,点 是 上的动点,求 面积的最大值,及此时 的坐标. 【答案】(1) 为参数 ;(2)面积的最大值为2,此时 的坐标为 或 . 【分析】(1)用 分别表示 ,代入曲线 ,可得到曲线 的方程,从而写出其参 数方程; (2)设 ,并求出直线 的方程,根据距离公式分别求出点 到直线 的距离的最大值, 的长度,即可得到 面积的最大值,及此时 的坐标. 【详解】(1)由伸缩变换 得到 ① 将①代入 得到 ② 所以 的参数方程为 (2)设 ,直线 所以 到直线 的距离为所以 当 时, 的面积的最大值为2 此时 的坐标为 或 . 6.(2021·黑龙江哈尔滨市第六中学校高三三模(文))在平面直角坐标系 中,曲线 的参数方程 为 ,以坐标原点为极点, 轴正半轴为极轴建立极坐标系,曲线 的极坐标方程为 . (1)当 为参数, 时,曲线 与 只有一个公共点,求 ; (2)当 为参数, 时,曲线 与 相交于 ,且 ,求 的值. 【答案】(1) 或 ;(2) . 【分析】(1)利用极坐标与直角坐标的互化,参数方程消去参数,分别化为普通方程;根据两个圆的位 置关系,内切与外切,求解即可. (2)当 为参数时,曲线 为过点 的直线,通过弦长 ,说明直线 过圆 的圆心 ,由 此求解斜率,然后求解 的值. 【详解】解:(1)曲线 的直角坐标方程为: , 当 为参数时,曲线 的直角坐标方程为 , 又曲线 与 只有一个公共点,故曲线 与 的位置关系是外切或内切,(ⅰ)当 与 外切时, ,解得: ; (ⅱ)当 与 内切时, ,解得: , 故 或 . (2)当 为参数时,曲线 为过点 的直线, 又曲线 是直径为 的圆,且 ,所以直线 过圆 的圆心 , 则直线 的斜率 ,因为 ,所以 . 7.(2021·黑龙江哈尔滨市·哈尔滨三中高三其他模拟(文))在直角坐标系 中,曲线 的方程为 ( 为参数),以坐标原点 为极点, 轴的正半轴为极轴建立极坐标系. (1)点 为 上任意一点,若 的中点 的轨迹为曲线 ,求 的极坐标方程; (2)若点 , 分别是曲线 和 上的点,且 ,证明: 为定值. 【答案】(1) ;(2)证明见解析. 【分析】(1)先求得 的极坐标方程,然后根据 是 的中点求得 的极坐标方程. (2)设出 的坐标,结合 以及同角三角函数的基本关系式证得 为定值. 【详解】(1)由 得 ,即 , 所以 极坐标方程: , 设 , ,则 ,的轨迹方程: . (2)设 , , , , , . 8.(2021·银川市第六中学高三其他模拟(文))在直角坐标系中 ,直线 的参数方程为 ( 是参数).在以坐标原点为极点, 轴非负半轴为极轴的极坐标系中,曲线 的极坐标方程为 . (1)将曲线 的极坐标方程化为直角坐标方程,并判断曲线 所表示的曲线; (2)若 为曲线 上的一个动点,求点 到直线 的距离的最大值和最小值. 【答案】(1) ,曲线 所表示的曲线为圆心为 ,半径 的圆; (2)最大值为 ,最小值为 . 【分析】(1)由曲线 可得 ,利用互化公式可得直角坐标方程:配方可得曲线所 表示的曲线为圆. (2)直线 的参数方程为 ( 是参数)消去参数 化为普通方程: .求出圆心 到直线的距离 ,可得点 到直线 的距离的最大值为 ,最小值为 . 【详解】(1)由 可得 , 化为直角坐标方程: ;配方可得: , 曲线 表示的曲线是圆心为 ,半径 的圆; (2)直线 可化为普通方程: . 圆心 到直线 的距离 , 点 到直线 的距离的最大值为 ,最小值为 . 9.(2021·四川德阳市·高三二模(文))在直角坐标系 中,直线 的参数方程为 ( 为参数),在以原点 为极点, 轴非负半轴为极轴建立的极坐标系中,曲线 的极坐标方程为 . (1)求 的直角坐标方程和 的普通方程; (2)若直线 截曲线 所得线段的中点坐标为 ,求 的斜率. 【答案】(1)答案见解析;(2) . 【分析】(1)极坐标与普通方程的互化,直线的参数方程转化为普通方程; (2)结合直线参数方程的几何意义与韦达定理定理来求解即可. 【详解】解:(1)因为 ,所以 ,故 的直角坐标方程为 . 当 时, 的普通方程为 ; 当 时, 的普通方程为 . (2)设 截曲线 所得线段的两端点对应参数为 , , 将 代入 , 得 的两根即为 , , 所以 , 直线 截曲线 所得线段的中点坐标为 ,即所对应参数 , 故 , 所以 ,故 的斜率为 . 10.(2021·黑龙江佳木斯市·佳木斯一中高三三模(文))已知曲线 : ( 为参数), : ( 为参数且 ),在以原点 为极点, 轴非负半轴为极轴的极坐标系中,直线 : . (1)求曲线 , 的普通方程. (2)若 上的点 对应的参数 , 为 上的点,求 的中点 到直线 距离 的最小值.【答案】(1) 的普通方程为 , 的普通方程为: ;(2)最小值为 . 【分析】(1)由曲线 的参数方程消去参数 ,可得其普通方程;由曲线 的参数方程消去参数 ,可 得其普通方程 (2)由题意可得 ,设 ,从而得出点 的坐标,将直线 的方程化为直角坐 标方程得 ,得出点 到直线 距离 ,从而得到答案. 【详解】解:(1)曲线 : ( 为参数), 消去参数 ,得曲线 的普通方程为 . 曲线 : ( 为参数), 消去参数 ,得: . 由 ,则 所以曲线 的普通方程为: (2)∵ 上的点 对应的参数 ,∴ , ∵ 为 上的点,∴ ,∴ 的中点 , ∵直线 : ,∴直线 的直角坐标方程为 . ∴ 的中点 到直线 距离 , ∴当 时, 的中点 到直线 距离 的最小值为 . 【点睛】关键点睛:本题考查将参数方程化为普通方程,求点到直线的距离在最值问题,解答本题的关键 是由 的参数方程设 ,得到 ,从而点 到直线 距离 ,属于中档题. 11.(2021·四川自贡市·高三三模(文))在平面直角坐标系xOy中,直线l的参数方程为 (t为参数,0≤α<π),以原点为极点,以x轴正半轴为极轴建立极坐标系,曲线C的极 坐标方程为ρ2= ,直线l与曲线C的交点为A,B. (1)求曲线C的直角坐标方程及α= 时|AB|的值; (2)设点P(﹣1,1),求 的最大值. 【答案】(1) ;|AB|=3;(2)2.【分析】(1)结合 即可得出曲线 的直角方程,将当α= 代入直线l的参数方程得出 的直 角方程为x=﹣1,联立曲线方程解出 的值即可. (2)把直线的参数方程代入曲线的直角方程得出关于 的一元二次方程,结合韦达定理和 的几何意义即可 求出结果. 【详解】解:(1)曲线C的极坐标方程为ρ2= , 根据 ,转换为直角坐标方程为 , 当α= 时,直线l的参数方程为 (t为参数,0≤α<π), 转换为直角坐标方程为x=﹣1. 所以,由 ,解得 , 所以|AB|=3. (2)把直线的参数方程 ,代入 , 得到(3+sin2α)t2+(8sinα﹣6cosα)t﹣5=0, 设点 对应的参数为 ,点 对应的参数为 , 故 , ,故t、t 的符号相反, 1 2 由此时的几何意义可得:||PA|﹣|PB||=||t|﹣|t||=|t+t|, 1 2 1 2 = 2|sin(α﹣φ)|的最大值为2,(其中 ). 【点睛】(1)极坐标方程与直角坐标方程的互化方法: ①直角坐标方程化为极坐标方程:将公式x=ρcos θ及y=ρsin θ直接代入直角坐标方程并化简即可. ②极坐标方程化为直角坐标方程:通过变形,构造出形如ρcos θ,ρsin θ,ρ2的形式,再应用公式进行代换. 其中方程的两边同乘以(或同除以)ρ及方程两边平方是常用的变形技巧. (2)圆和圆锥曲线参数方程的应用要注意两点: ①在使用直线参数方程的几何意义时,要注意参数前面的系数应该是该直线倾斜角的正、余弦值,否则参 数不具备该几何含义. ②有关圆或圆锥曲线上的动点距离的最大值、最小值以及取值范围的问题,通常利用它们的参数方程转化 为三角函数的最大值、最小值求解. 12.(2021·郑州市·河南省实验中学高三其他模拟(文))已知曲线 的参数方程为 ( 为参 数). (1)求曲线 的普通方程; (2)过点 的直线 与曲线 交于 , 两点,求|PA|•|PB|的取值范围. 【答案】(1) ;(2) . 【分析】(1)消去参数即可获得曲线的普通方程,注意挖去不满足题意的点;(2)根据直线的参数方程 中t的几何意义表示|PA|•|PB|,最后根据三角函数的最值进行解题即可. 【详解】解:(1)曲线 的参数方程为 ,消去参数 , 可得 .(2)直线 代入曲线 得: . 设两根为 , , 故 . 【点睛】本题主要考查参数方程与普通方程的互化以及直线的参数方程中t的几何意义,属于中档题目, 在处理过程中主要把握参数t的正负取值,与线段长之间的对应关系,是解题的关键. 13.(2021·四川成都市·石室中学高三一模(文))在直角坐标系 中,曲线 的参数方程为 ,( , 中的一个为参数),以 为极点, 轴的正半轴为极轴建立极坐标系,直线 . (1)当 为参数, 时,判断曲线 与直线 的位置关系; (2)当 为参数, 时,直线 与曲线 交于不同的两点 , ,若 ,求 的值 【答案】(1)曲线 与直线 平行;(2) . 【分析】(1)首先将曲线 和直线 的方程化简为直角坐标方程,再判断位置关系;(2)首先得到曲线的普通方程,再得将直线 的参数方程,利用 的几何意义求 的值. 【详解】( )当 为参数, 时,曲线 表示直线: 由 ,得 , 将 代入方程得 因为斜率相等,所以曲线 与直线 平行; ( )当 为参数, 时,曲线 的参数方程 消去参数得曲线 的普通方程 , 易知直线过 , 故设直线 的参数方程为 联立直线 的参数方程与曲线 的普通方程,得 设 对应的参数为 ,则 故 . 【点睛】方法点睛:本题考查弦长公式,一般求弦长的方法包含以下几点: 1.直角坐标系下的弦长公式 或是 ; 2.利用直线参数方程 的几何意义可知 ;3.极坐标系下,过原点的直线与曲线相交的弦长 . 14.(2021·玉林市育才中学高三三模(文))在平面直角坐标系 中,曲线 的参数方程为 ( 为参数),曲线 的参数方程为 ( 为参数),以坐标原点 为极点,x轴的 正半轴为极轴建立极坐标系. (1)求曲线 的极坐标方程; (2)已知射线 分别交曲线 , 于 两点,若 是线段 的中点,求 的值. 【答案】(1) 的极坐标方程为 , 的极坐标方程为 ;(2) . 【分析】(1)先将曲线 化为普通方程,然后再化为极坐标方程,曲线 直接利用公式化为极坐标方程 即可; (2)根据极径的几何意义,建立极径之间的关系,再通过三角恒等变换求解即可. 【详解】(1)因为曲线 的普通方程为 , 所以曲线 的极坐标方程为 (写成 也给分). 因为曲线 的普通方程为 ,即 , 所以曲线 的极坐标方程为 ,即 .(2)设 , ,则 , , 因为 是线段 的中点,所以 , 即 ,整理得 ,所以 , 因为 ,所以 ,所以 ,所以 . 15.(2021·陕西高三其他模拟(文))在平面直角坐标系中,直线 的参数方程为 ( 为参 数).以坐标原点为极点, 轴非负半轴为极轴建立极坐标系,圆 的极坐标方程为 . (1)求圆 的标准方程,并说明直线 与圆 的位置关系. (2)直线 与圆的相交弦为 , 是弦 上动点,求 的取值范围. 【答案】(1) ;直线 与圆 相交且过圆心;(2) . 【分析】(1)根据极坐标与直角坐标互化原则可直接化简得到圆 的直角坐标方程,整理可得所求标准 方程;由 过圆心 可得所求位置关系; (2)由 满足 参数方程得 ,由直线参数方程中 的几何意义可得 的范围, 由此可求得所求范围.【详解】(1)由 得: , 化为直角坐标方程为: , 圆 的标准方程为 . 直线 过定点 ,即直线 过圆心 ,则直线 与圆 相交且过圆心. (2) , , 由(1)知:圆 的圆心为 ,半径 , 则由参数 的几何意义知: ,解得: , 的取值范围为 . 【点睛】结论点睛:若直线 参数方程为 ( 为参数),其中 为直线 的倾斜角,则 具 有几何意义:当参数 时, 表示直线 上的点 到点 的距离. 16.(2021·云南昆明市·昆明一中高三其他模拟(文))在直角坐标系xOy中,点M是曲线C: (α为参数,α∈[0,π])上的动点,O为坐标原点,△OMN是以MN为斜边的等腰直角三 角形,顶点O,M,N按顺时针方向排列,若以原点O为极点,x轴的正半轴为极轴建立极坐标系. (1)写出曲线C的极坐标方程; (2)已知点C(-2,0),求|CN|的最大值. 【答案】(1)ρ2+4ρcosθ+3=0,(ρsinθ≥0);(2)最大值为 . 【分析】(1)消去参数,可得到普通方程,用 代入可得极坐标方程;(2)由条件可设N(ρ,θ),则 ,代入点 的轨迹方程,可求出点 的轨迹方程,由几何性质可求出距离 的最大值. 【详解】解:(1)由 (α为参数,α∈[0,π])消去参数得:(x+2)2+y2=1,(y≥0), 所以,曲线C的极坐标方程为ρ2+4ρcosθ+3=0,(ρsinθ≥0). (2)设N(ρ,θ),则 , 因为点 在曲线C上,所以 , 即ρ2-4ρsinθ+3=0,(ρcosθ≥0), 化为普通方程为:x2+(y-2)2=1,(x≥0), 所以,点N的轨迹是以Q(0,2)为圆心,1为半径的圆的右半部分, 从而 ,即|CN|的最大值为 . 【点睛】易错点睛:(1)由参数方程到普通方程消参的过程中,注意参数所控制的变量的范围;(2)求 定点到圆上点距离的最值只需求定点到圆心的距离,然后加减半径即为最大最小值. 17.(2021·四川攀枝花市·高三三模(文))平面直角坐标系 中,曲线 的参数方程为 ( 为参数, ),以坐标原点 为极点,以 轴正半轴为极轴建立极坐标系,曲线 的极坐标方程 为 . (1)若 ,求曲线 的极坐标方程及曲线 的直角坐标方程; (2)若曲线 与 交于不同的四点 , , , ,且四边形 的面积为 ,求 . 【答案】(1) ; ;(2) . 【分析】(1)先将曲线曲线 化为直角坐标方程,再化为极坐标方程,直接将曲线 化为极坐标即可;(2)曲线的对称性可知矩形 的面积 ,结合极坐标方程列出关于 的方程解出即可. 【详解】(1)当 时,曲线 的参数方程为 ( 为参数), 转化为直角坐标方程为 . 根据 ,得到曲线的极坐标方程为 ; 曲线 的极坐标方程为 , 根据 ,转换为直角坐标方程为: . (2)设 满足 , , 由曲线的对称性可知矩形 的面积 , ∴ , 将 ,代入得 ,解得 , 所以 ,解得 . 18.(2021·黑龙江大庆市·铁人中学高三一模(文))在平面直角坐标系 中,以坐标原点 为极点, 轴正半轴为极轴建立极坐标系(取相同的单位长度),曲线 的极坐标方程为 ,曲线 的参数方程为 ( 为参数),两条曲线相交于 、 两点. (1)求 、 两点的直角坐标; (2)根据变换公式 由曲线 变换得到曲线 ,设点 是曲线 上的一个动点,求 的 面积的最小值. 【答案】(1) 、 或 、 ;(2) . 【分析】(1)将曲线 的极坐标方程化为普通方程,将曲线 的参数方程化为普通方程,联立两曲线的 普通方程,即可得出点 、 的坐标; (2)求出曲线 的方程,设点 ,利用点到直线的距离公式结合三角恒等变换可求出点 到直线 的距离的最小值,进而可求得 的面积的最小值. 【详解】(1)由 ,得 , 又 , ,所以 . 由 ( 为参数),消去参数得 , 由 解得 或 . 所以 、 或 、 ; (2)由(1)知 ,根据变换公式 由曲线 变换得到曲线 , 则 , 即曲线 的方程为 ,设点 , 则点 到直线 的距离为 (其中 , ), 故当 时, 取得最小值,且 , 因此,当点 到直线 的距离最小时, 的面积也最小, 所以 的面积的最小值为 . 【点睛】方法点睛:解决与圆或椭圆有关的最大值和最小值以及取值范围的问题,常常设圆或椭圆的参数 方程,然后转化为求三角函数的最大值和最小值以及取值范围的问题,注意三角恒等式 (其中 ,其中 ,且角 的终边过点 ).