当前位置:首页>文档>专题15+调整与竞争——二战后国际政治经济秩序的演变-知识大盘点+专题特训2024年高考历史三轮冲刺_07高考历史_2024年新高考资料_52024三轮冲刺

专题15+调整与竞争——二战后国际政治经济秩序的演变-知识大盘点+专题特训2024年高考历史三轮冲刺_07高考历史_2024年新高考资料_52024三轮冲刺

  • 2026-04-12 04:01:56 2026-04-12 04:00:45

文档预览

专题15+调整与竞争——二战后国际政治经济秩序的演变-知识大盘点+专题特训2024年高考历史三轮冲刺_07高考历史_2024年新高考资料_52024三轮冲刺
专题15+调整与竞争——二战后国际政治经济秩序的演变-知识大盘点+专题特训2024年高考历史三轮冲刺_07高考历史_2024年新高考资料_52024三轮冲刺
专题15+调整与竞争——二战后国际政治经济秩序的演变-知识大盘点+专题特训2024年高考历史三轮冲刺_07高考历史_2024年新高考资料_52024三轮冲刺
专题15+调整与竞争——二战后国际政治经济秩序的演变-知识大盘点+专题特训2024年高考历史三轮冲刺_07高考历史_2024年新高考资料_52024三轮冲刺
专题15+调整与竞争——二战后国际政治经济秩序的演变-知识大盘点+专题特训2024年高考历史三轮冲刺_07高考历史_2024年新高考资料_52024三轮冲刺
专题15+调整与竞争——二战后国际政治经济秩序的演变-知识大盘点+专题特训2024年高考历史三轮冲刺_07高考历史_2024年新高考资料_52024三轮冲刺
专题15+调整与竞争——二战后国际政治经济秩序的演变-知识大盘点+专题特训2024年高考历史三轮冲刺_07高考历史_2024年新高考资料_52024三轮冲刺
专题15+调整与竞争——二战后国际政治经济秩序的演变-知识大盘点+专题特训2024年高考历史三轮冲刺_07高考历史_2024年新高考资料_52024三轮冲刺
专题15+调整与竞争——二战后国际政治经济秩序的演变-知识大盘点+专题特训2024年高考历史三轮冲刺_07高考历史_2024年新高考资料_52024三轮冲刺
专题15+调整与竞争——二战后国际政治经济秩序的演变-知识大盘点+专题特训2024年高考历史三轮冲刺_07高考历史_2024年新高考资料_52024三轮冲刺
专题15+调整与竞争——二战后国际政治经济秩序的演变-知识大盘点+专题特训2024年高考历史三轮冲刺_07高考历史_2024年新高考资料_52024三轮冲刺
专题15+调整与竞争——二战后国际政治经济秩序的演变-知识大盘点+专题特训2024年高考历史三轮冲刺_07高考历史_2024年新高考资料_52024三轮冲刺
专题15+调整与竞争——二战后国际政治经济秩序的演变-知识大盘点+专题特训2024年高考历史三轮冲刺_07高考历史_2024年新高考资料_52024三轮冲刺
专题15+调整与竞争——二战后国际政治经济秩序的演变-知识大盘点+专题特训2024年高考历史三轮冲刺_07高考历史_2024年新高考资料_52024三轮冲刺
专题15+调整与竞争——二战后国际政治经济秩序的演变-知识大盘点+专题特训2024年高考历史三轮冲刺_07高考历史_2024年新高考资料_52024三轮冲刺
专题15+调整与竞争——二战后国际政治经济秩序的演变-知识大盘点+专题特训2024年高考历史三轮冲刺_07高考历史_2024年新高考资料_52024三轮冲刺
专题15+调整与竞争——二战后国际政治经济秩序的演变-知识大盘点+专题特训2024年高考历史三轮冲刺_07高考历史_2024年新高考资料_52024三轮冲刺
专题15+调整与竞争——二战后国际政治经济秩序的演变-知识大盘点+专题特训2024年高考历史三轮冲刺_07高考历史_2024年新高考资料_52024三轮冲刺
专题15+调整与竞争——二战后国际政治经济秩序的演变-知识大盘点+专题特训2024年高考历史三轮冲刺_07高考历史_2024年新高考资料_52024三轮冲刺

文档信息

文档格式
docx
文档大小
0.422 MB
文档页数
19 页
上传时间
2026-04-12 04:00:45

文档内容

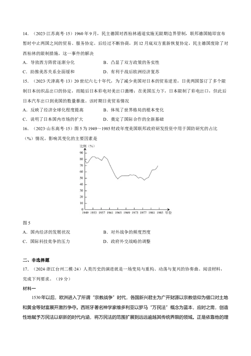
专题十五 调整与竞争 ——二战后国际政治经济秩序的演变 内容导航 01 阶段特征 02 知识整合 03 易错概念 04 重难深化 05 专题训练 1945年至今,是多种文明和多个力量共同发展和相互竞争的时期,也是世界联系进一步加强的时期。 世界政治经济格局发生了剧烈的变化,推动着整体世界的发展。 从两极对峙向多极化趋势发展。 (1)二战后,美苏全面冷战成为二战后近半个世纪国际关系的主旋律,两极格局形成。 政治 (2)20世纪六七十年代,世界多极化力量开始出现,极大地冲击了以美苏为首的两极格局。 (3)20世纪90年代,东欧剧变,苏联解体,两极格局结束,多极化趋势持续发展 (1)形成了以美国为中心的战后资本主义世界经济体系,各国纷纷进行经济体制调整。 (2)凯恩斯主义盛行,国家加强对经济的干预,实行社会福利政策等,实现了对资本主义生产关 系的调整。 经济 (3)苏联对高度集中的政治经济体制进行了改革,但成效不大。 (4)20世纪八九十年代以来,经济区域集团化和经济全球化成为世界经济两大发展趋势。 (5)中国经过改革开放,走出了一条中国特色社会主义道路,中国式现代化为全球提供了一种全 新模式 思想 世界经济生活和文化变得丰富多彩,社会信息化和文化多样化更加深入发展,多种文明在相互交 文化 流和碰撞中共同推动社会进步(一)政治方面 一、两极格局(美苏冷战) 1.开始的标志:1947年3月,杜鲁门主义的出台。 2.主要表现:以美国为首的资本主义阵营与以苏联为首的社会主义阵营之间的政治、经 济、军事斗争,如三次柏林危机、古巴导弹危机。 3.结束:东欧剧变,苏联解体,两极格局瓦解。 二、多极化趋势 表现:西方阵营逐渐分化;欧洲走向联合;日本的崛起;中国的发展;第三世界的兴起。 三、世界殖民体系的瓦解与新兴国家的发展 1.世界殖民体系的崩溃:1945—1991年,全世界有90多个国家摆脱了殖民统治获得独 国际关 立,以惊人的速度摧毁了世界殖民体系,是人类历史的巨大进步。 系与国 2.发展中国家取得的成就与面临的挑战 际格局 (1)成就:独立的新兴民族国家,努力探索适合本国国情的发展道路,掀起了现代化建 设浪潮,成就显著。 (2)面临的挑战:面临的发展问题多种多样,发展中国家要真正克服障碍获得发展,仍 然任重道远。 四、在和平与发展的时代主题下完善全球治理体系 1.和平与发展的时代主题:和平是发展的前提,发展是和平的保障,两者相辅相成。 2.人类发展面临的问题:发展问题以及和平与安全问题。 3.全球治理体系的不断完善 (1)传统的全球治理体系仍然发挥着全球治理的作用。 (2)全球治理的新现象不断出现 (1)农业和工业的就业人口所占比重逐渐下降,从事服务业的人口所占比重增加。 社会结构 (2)“中间阶层”的人数增加:不拥有生产资料,但有较高的收入,有可观的生活资产 (二)经济与社会方面 1.资本主义国家 (1)国内:国家的宏观调控 (2)国际:建立国际经济组织 经济新变化 2.社会主义国家 (1)苏联的三次改革 (2)东欧国家以及中国的经济建设第三次科技革命 生产力新变化 20世纪四五十年代兴起的以原子能、电子计算机和空间技术的广泛应用为主要标志, 涉及信息技术、新能源技术、新材料技术、生物技术、空间技术和海洋技术等诸多领 域的一场信息控制技术的革命。 区域集团化与经济全球化,60年代以来,出现欧共体、东盟、亚太经合组织等区域集 世界贸易 团,经济全球化趋势加强。 社会生活 社会信息化、文化多样性 1.宏观调控 由经济学家约翰·梅纳德·凯恩斯所提出,是政府运用政策、法规、计划等手段对经济运行状态和经济 关系进行调节和干预以保证国民经济的持续、快速、协调、健康发展;是保证社会再生产协调发展的必要条 件,是国家管理经济的重要职能。 宏观调控(简称宏调)在市场经济中,商品和服务的供应及需求是受价格规律及自由市场机制所影响。 市场经济带来经济增长,但会引发通货膨胀,而高潮后所跟随的衰退却使经济停滞甚至倒退,这种周期波 动对社会资源及生产力都构成严重影响。所以宏观调控是着重以整体社会的经济运作,透过人为调节供应 与需求;保持国民经济的适度增长率;合理调整产业结构;保持物价总水平的基本稳定;实现劳动力的充分就业; 公平的收入分配;国际收支平衡。 2.世界多极化 “极”:综合国力强,对国际事务影响大的国家或国家集团 “化”:发展趋势 世界多极化固然指的是政治格局,但不能改称政治多极化。多极化的涵义离开了经济、政治、军事、文化 等要素,也就形不成“极”的概念。 当今世界格局:一超多强,趋于平衡,多极化趋势持续发展 3.单边主义 所谓单边主义是指举足轻重的特定大国,不考虑大多数国家和民众的愿望,单独或带头退出或挑战已 制订或商议好了的维护国际性、地区性、集体性和平、发展、进步的规则和制度,并对全局或局部的和平、 发展、进步有破坏性的影响和后果的行为与倾向。有时特指美国作为世界上唯一一个超级大国在国际关系中所表现的一种行为方式。它在处理国际事务中:仅仅是从自己的判断和自身国家利益出发,从来都不同 其他国家进行磋商,这是美国追求世界霸权的一种表现。 4. 经济全球化 经济全球化是指商品、劳务、技术、资金、信息、人员等生产要素在全球范围内流动和配置,从而使 各国经济相互依赖程度日益加深的趋势。 经济全球化的表现:生产全球化、贸易全球化、资本全球化、科技全球化 时间 表现 15世纪末16世纪 初 新航路的开辟和资本主义在西欧的兴起 新航路开辟后 18-19世纪 工业革命后,世界市场更加扩大,国际贸易和国际投资迅速发展 工业革命后 国际货币基金组织、世界银行和关税与贸易总协定的建立,进一步促进了经济 第二次世界大战后 全球化进程 20世纪70年代以 以信息技术为代表的新的科技的发展,成为经济全球化的主要推动力量 来 跨国公司迅猛发展,使各国的生产活动密切联系,相互依赖,渗透,连成一 20世纪90年代 体。 1995年 世界贸易组织的诞生,把贸易、投资和服务的国际化提高到新的水平 以互联网、人工智能等为代表的新一轮科技的发展,经济全球化成为强劲的时 进入21世纪 代潮流 5. 区域经济集团化 在一定的区域范围内,地理位置相邻的国家或地区建立经贸合作组织,通过契约或协定,促使资本、 技术、劳动、信息、劳务和商品的自由流动和有效配置,维护共同的经济利益,从而形成相对固定的、制 度化的一体化经济区。 区域经济集团 特点或性质 欧洲联盟 经济一体化程度最高的区域组织 北美自由贸易区 是由发达国家和发展中国家组织的区域性经济集团 东南亚国家联盟 以经济合作为基础的政治、经济、安全一体化合作组织 亚太经合组织 亚太地区层级最高、领域最广、最具影响力的经济合作机制1. 罗斯福新政 (1)含义:罗斯福加强国家对经济生活的干预,缓解了经济危机造成的严重破坏。 (2)特点:以市场经济为基础、以强化国家干预为核心,谋求资本主义的生存空间。 (3)措施: ① 加大公共事业开支,增加就业,刺激消费 ② 制定经济发展计划,促进经济协调发展 ③利用信贷、利率、税收等经济杠杆宏观调控; ④ 实行国有化,建立国营企业 (4)影响:取得一定成效,经济增长一度较快 2. 宏观调控的评价 (1)积极: ①一定程度上避免了私人资本生产的盲目性 ②保证了生产的社会性;促进了资本主义经济发展 (2)消极 ①资本主义生产关系没有改变,垄断资本占支配地位②经济周期性波动依然存在 ③资本主义社会依然是富裕与贫困并存的两极社会 (3)实质:国家的宏观调控实质是资本主义生产关系的局部调整 3.近代以来资本主义经济政策的调整 4.苏联社会主义改革项目 赫鲁晓夫改革 勃列日涅夫改革 戈尔巴乔夫改革 不时间 1953-1964 1964-1982 1985-1991 同 侧重点 农业 工业(重工业) 前期是经济领域,后期是政治领 域 结果 取得一定的成就,最后失败 失败 失败原因 未改变原有体制;对斯大林模式进行修修 进行了根本性改革;但背离了社 补补 会主义方向 相同 ①目的:解决斯大林模式的弊端; ②内容:在农业、工业方面进行调整; ③结果:成效都不显著,可以说是失败的改革。 5. 苏联经济体制改革的反思 经验 (1)改革是自我调整和自我完善,是社会主义发展的必由之路(从实际出发,实事求是,走适合本国国 情发展道路) (2)改革具有复杂性、曲折性和艰巨性; 教训 ①经济政策的制定要符合生产力水平,遵循客观经济规律 ②改革要从国情出发,国民经济比例必须协调发展,实现国民经济的可持续发展。 ③重视民生 ④处理好经济体制改革和政治体制改革的关系,必须推进民主和法制建设,不断加强执政党的自身建设。 ⑤社会主义建设没有固定模式,尤其是落后的国家建设社会主义,不能超越社会发展阶段,需要立足实际, 遵循客观经济规律,在改革中不断完善社会主义。 ⑥建设社会主义要从自身国情出发。 6. 两极格局的特点 以美国为首的资本主义阵营和以苏联为首的社会主义阵营互相争夺和对抗,阵线比较分明 阵线分明 和稳定 主导力量 美苏两个超级大国作为对立双方的盟主,在国际事务中起着主导作用 冷战是斗争的主要方式,表现为政治上的对抗、军事上的对峙、意识形态上的对立和经济 斗争方式 上的割据 两种社会制度之间(意识形态)的矛盾是主要矛盾,虽然每个阵营内部也有分歧和矛盾, 主要矛盾 但最终仍要服从美苏战略利益的大局 欧洲是美苏双方最重要的争夺地区;亚洲是美苏各自势力范围的交界地区,特别是处于美国 对峙地区 对苏联进行全球性遏制的包围圈上的地区是双方争夺的重点地区;美洲则直接触及美国的国家利益与国家安全 美苏两国为了达到称霸世界的目的,长期对抗,造成世界局势动荡不安,损害了世界各国 对峙影响 人民的利益,严重影响了世界的和平与发展,也人为地把世界分裂成两个部分,与世界整 体发展的历史趋势背道而驰 7. 战后资本主义新变化的表现 生产力 第三次科技革命的开展,使社会生产力有了较大发展,形成了以知识经济为基础、以信息 发展 技术为主导的“新经济”模式 生产关系 国家垄断资本主义发展,建立“福利国家”,国家干预深入分配领域,国家运用社会保障 调整 政策和加大社会服务开支,保障低收入阶层利益,促进经济的发展 加强国际 资本主义国家通过建立国际经济组织,加强在金融、投资和贸易等领域的国际协调,维护 协调 经济秩序 产业结 第三产业迅速发展起来,拓展了经济活动领域,扩大了市场,改善了资源配置 构调整 阶级关系 工人阶级的内部结构也发生了较大变化,工人阶级中的脑力劳动者“白领工人”迅速增加; 变化 中间阶层的发展趋于稳定 由于造成不平等和贫困的资本主义生产资料私有制的存在,资本主义国家中各种类型的社 社会运动 会运动此起彼伏 8. 当代世界经济全球化的特点和表现及经济全球化下中国的对策 世界贸易体量巨大、增长乏力;服务贸易额增长速度快于货物贸易额增长速度;“规则之争”更加 特点 显著 从生产国际化走向生产要素配置的全球化 从流通国家化走向贸易自由化和区域集团化 表现 全球金融市场联网和各国货币国际化形成金融市场一体化 世界经济增长中心走向多元化 中国将继续深入参与经济全球化进程,支持多边贸易 中国将加快同有关国家商讨签订自由贸易协定和投资协定,推进国内高标准自由贸易试验区建 中国 设 的对 策 在有序开展人民币汇率市场化改革、逐步开放国内资本市场的同时,中国将继续推动人民币走 出去,提高金融业国际化水平 9. 全面认识世界文化多样性1.原因 (1)经济全球化是世界文化多样性的现实物质基础。 (2)自然环境的多样化促进了世界文化多样性发展。 (3)人类实践活动的多样性决定了世界文化多样性。 (4)多语制和不同文化间的交往丰富了世界文化多样性。 2.问题:全球化加剧了不同文化系统之间的紧张局面,强势文化可能会产生“文化霸权”,对弱势文化 进行“文化殖民”,试图将自己的文化价值观强加于对方,导致不同文化之间发生冲突。 3.态度:既要认同本民族文化,又要尊重其他民族文化,相互借鉴,求同存异,尊重世界文化多样性, 共同促进人类文明繁荣进步。 一、选择题(本大题共16小题,每小题3分,共48分) 1.(2024·湖南怀化二模·16)近年来,一些西方国家对一些关键技术的封锁越来越严格,如:面对华为在 5G通信领域的世界领先地位,美国高通、韩国三星、欧洲爱立信等西方科技巨头们封锁华为通向6G技术 的前进道路。这反映了 A.科技全球化道路的艰难曲折 B.全球市场秩序遭到毁灭性破坏 C.美国全球战略面临严重挑战 D.科技创新的国际环境荡然无存 2.(2024·湖南怀化二模·15)表2为20世纪不同年代美国等西方发达国家向巴西出口各类产品占比演变 统计表, 表2 时间 农产品 工业品 文艺产品 电脑软件 60年代 52.8% 45.6% 0.7% 0.9% 80年代 42.7% 32.5% 12.7% 12.1% 90年代 37.6% 30.8% 14.8% 16.8% 这实质上 A.否定了美国冷战时代外交路线 B.体现了第三次科技革命成就 C.认可了美国在拉美地区的霸权 D.彰显了西方大国软文化入侵 3.(2024·北京朝阳区一模·14)1964年的中法建交,被西方媒体称为“外交核爆炸”,震惊世界。以下材 料选自与中法建交相关的解密档案。这些档案揭示出 档案标题 档案时间 档案内容(节选) 戴高乐致汝拉省参议员埃德 您务必与中国主要领导人多加接触,若确定人民中国的 加·富尔的信 1963年 确希望与法国建立官方关系,请务必告知中方,法国也有同样的意愿。 9月26日 美国驻法国大使馆致国务院 我问戴高乐,法国正考虑与中共建立外交关系,这还需 电 1963年 要多久会成为现实。戴高乐说,既然这是有关将来的问 题,他无法回答。 12月16日 德国方面关于德法协商会谈 法国政府也许意识到美国将反对此事。但它希望能从美 记录摘要 国听到理智的声音。法国十分希望,此举将有助于推动 1964年 美国的政策从一种更加现实主义的立场出发来对待中国 1月21日 问题。 毛泽东同法国议员代表团的 我们做个好朋友。在我们之间有两个根本的共同点:第 1964年 谈话 一,反对大国欺侮我们。第二,使两国间在商业上、在 文化上互相往来。 1月30日 A.中国同西方大国关系突破的全过程 B.冷战的演进与多极力量成长 C.法国极力促进美国对华政策的调整 D.多方力量博弈改变国际格局 4.(2024·北京朝阳区一模·15)从下表可推断出的历史信息是 二战后美国、联邦德国、日本就业人口分布变化表 经济部 年份 美国(%) 联邦德国(%) 日本(%) 门 1950 12.2 23.2 50.7 农业 1990 2.8 5.1 7.2 1950 34.7 42.2 22.2 工业 1990 25.8 40.5 33.6 1950 48.9 32.4 26.6 服务业 1990 71.4 54.4 59.2 A.以美国为代表的发达国家农业趋于衰落 B.发达国家中间阶层的发展已经趋于稳定 C.联邦德国的工业发展程度处于最高水平 D.资本主义国家的社会结构出现了新变化 5.(2024·浙江绍兴二模·20)第二次世界大战后,调整经济部门结构成为欧美主要国家谋求生存发展的重 要举措。战后至50年代,主要是推动发展港口、铁路、公路、煤炭和钢铁等部门;60年代,重点在加强 专业化调整,扩大公司规模,提高产品竞争能力;70年代中期以后,主要是推动传统工业结构向新科技产 业结构方面转移和发展。材料表明,战后欧美主要国家 A.加大政府对公共事业的开支 B.坚持以市场经济为基础 C.强化政府对经济的宏观调控 D.普遍实施计划经济体制6.(2024·重庆二模(康德卷)·15)20世纪80年代以来,随着以“序贯生产”为主要特征的全球产业链 发展,国际贸易的重心从最终品贸易转移到中间品贸易。据统计,2008年中间商品和服务贸易已超过全球 贸易总量的一半,全球价值链已成为世界经济大循环的一个显著特征。全球价值链的形成和发展,表明 A.贸易自由成为共识 B.国际分工走向深化 C.全球经济风险增大 D.南北差距日渐缩小 7.(2024·浙江绍兴二模·15)有学者提到:“由于此次世界格局的转换不像以往那样发生在大规模战争之 后,所以新体制的确立缺少硬性的仲裁力量。……当旧格局最终被打破后,多种基于民族主义的国家力量 和地区性力量亦趋势蜂起,竞相角逐,谋求在新格局中的位置和利益。”该学者提到的“新格局”指的是 A.维也纳体系 B.凡尔赛体系 C.雅尔塔体系 D.多极化趋势 8.(2024·陕西二模·35)1970年9月,第三次不结盟国家和政府首脑会议通过了《卢萨卡宣言》,宣称 “超级大国之间的恐怖均势没有给世界其他地区带来和平与安全”,并指责两个超级大国粗暴干涉别国内 政,甚至采取武力颠覆别国政府等手段。据此可知,不结盟运动 A.有利于建立国际政治新秩序 B.成为世界最重要一极 C.完成了反对霸权主义的任务 D.导致了两极格局解体 9.(2024·广东湛江二模·16)20世纪80年代,在联合国海洋法会议中,美国里根政府拒签《联合国海洋 法公约》,同时还推出一系列破坏公约的政策,但均未能阻止国际社会签署该公约。这反映出 A.美国主导的国际秩序走向破产 B.美国的世界霸主地位日益巩固 C.海洋开始成为各国争夺的焦点 D.霸权主义行为被国际社会抵制 10.(2024·陕西商洛四模·35)对下图中的经济现象解释最准确的是 A.世界政治格局的多极化趋势加强 B.西欧、日本力图摆脱美国控制 C.资本主义阵营发生了结构性调整 D.越南战争对美国经济影响巨大11.(2024·北京东城区一模·15)冷战期间出现了两次美苏对话高潮。20世纪60年代到70年代中期,美 苏首脑多次互访,签署了《限制地下试验核武器条约》等文件。到80年代,双方首脑、外长、军方定期会 晤,签署《关于消除两国中程和中短程导弹条约》,商定北约和华约削减在欧洲的常规武器,苏联撤出阿 富汗。相较于前者,第二次对话高潮的成果是 ①美苏双方形成均势地位 ②裁军方面取得了重要进展 ③形成了多层次对话机制 ④两国关系整体上走向缓和 A.①②③ B.①②④ C.①③④ D.②③④ 12.(2024.1·浙江高考·18)广交会见证了中国外贸结构与质量的巨变。1957年4月27日,《人民日 报》刊登消息《出国口商品交易会在广州举行》,记录下新中国第一次举全国之力办起的外贸活动——广 交会。1999年的第86届广交会上,机电产品首次跃升为第一大类出口产品。2001年后,广交会“一位难 求”,被视为“中小企业孵化器”。自第101届起,广交会全称改为“中国进出口商品交易会”。1957— 2020年,中国外贸进出口总额增长了3000多倍,已跃居世界第一贸易大国。材料主要反映了 A.广交会是中国外贸第一展 B.中国以开放姿态进行社会主义现代化建设 C.广交会是对外开放的窗口和经济体制改革的试验田 D.中国“引进来”和“走出去”相结合开放战略的实施 13.(2024.1·浙江高考·15)阅读下表,据此可知 世界各地区饥饿人口数量及饥饿发生率变化情况表(单位:百万、%) 1990—1992年 1995—1997年 2005—2007年 地区 数量 发生率 数量 发生率 数量 发生率 世界 843.4 16 787.5 14 847.5 13 发展中国家 826.7 20 768.1 17 835.2 16 亚洲和太平洋地区 587.9 20 498.1 16 554.5 16 拉美和加勒比地区 54.3 12 53.3 11 47.1 8 近东和北非 19.6 6 29.5 8 32.4 7 撒哈拉以南的非洲 164.9 34 187.2 33 201.2 28 发达国家 16.7 <5 19.4 <5 12.3 <5 A.发展中国家的饥饿人口数量与饥饿发生率同向变化 B.粮食杂交育种新技术为世界消除饥饿作出突出贡献 C.发展中国家不同区域的饥饿人口数量均持续下降 D.保障粮食安全仍应是世界各国政府的重要职责14.(2023·江苏高考·15)1960年9月,民主德国对西柏林通道实施无限期边界管制,联邦德国随即宣布 暂时中止两国之间的贸易、服务协定。后经过不断协商,到12月底双方重新恢复协定,民主德国废除了对 西柏林的限制措施。这一事件的解决 A.导致西方阵营逐渐分化 B.凸显了双方政策的务实性 C.助推美苏关系全面缓和 D.有利于战后欧洲经济复苏 15.(2023·天津高考·13)20世纪六七十年代,为了减少美国对日本的贸易逆差,日美两国签订了多个限 制日本纺织品出口的协定,而随后日本彩电对美出口激增;在美国压力下,日本限制了彩电出口,但此后 日本汽车出口到美国的数量暴涨。该时期日美贸易情况 A.反映了经济全球化程度提高 B.体现了世界格局的根本变化 C.说明了日本国内市场的扩大 D.奠定了国际合作的全新基础 16.(2023·山东高考·15)图5为1949~1985财政年度美国联邦政府研发投资中用于国防研究的占比 (%)情况。影响其变化的主要因素是 图5 A.国内经济的发展状况 B.对外战争的频度烈度 C.国际科技竞争的压力 D.政府外交战略的调整 二、非选择题 17.(2024·浙江台州二模·24)人类历史的演进就是一场变局与重构、动荡与复兴的协奏曲。阅读材料, 完成下列要求。(19分) 材料一 1530年以后,欧洲进入了所谓“宗教战争”时代,各国新兴君主为广开财源以宗教信仰为借口对土地 和黄金等财富展开激烈争夺。西班牙著名神学家维多利亚以罗马“万民法”概念为蓝本,应时之需,创造 性地赋予万民法以崭新的时代内涵,将万民法的范围扩展到远远逾越其传统界限的领域。正是依靠他的理论,所谓“国际法之父”雨果·格劳秀斯才建构起“富有灵感的体制”。因此,与格劳秀斯相比,维多利亚 更有资格被视为近代国际法的“奠基者”。 ——摘编自陶永新《从万民法到国际法—近代国际法概念演进考》 材料二 受制于自然条件,黄金产量无法满足经济增长对货币的需求。币值的长期稳定,实际上等同于物价的 下降。一旦一国黄金大量外流,就会造成通货紧缩,加剧生产过剩。而各国政府在货币政策受限的情况下, 只能靠提高关税或殖民扩张来缓解压力。在一战和大萧条的冲突下,金本位制的弊端被进一步放大。与此 同时,日渐削弱的英国也无力维系英镑的国际地位。20世纪30年代金本位制完全瓦解。1944年,美元正 式取代英镑成为新的世界货币。 ——摘编自李晓耕《权力之巅:国际货币体系的政治起源》 材料三 当今世界充满动荡不安,人类面临多重挑战。保护主义、泛安全化冲击世界经济,单边主义、集团政 治重创国际体系。乌克兰危机延宕加剧,中东冲突硝烟再起。人工智能、气候变化、太空极地等新的挑战 接踵而来。但不论国际风云如何变幻,中国作为负责任大国,将始终保持大政方针的连续性和稳定性,坚 定做动荡世界中的稳定力量。一是做推动大国合作的稳定力量。二是做应对热点问题的稳定力量。三是做 加强全球治理的稳定力量。四是做促进全球增长的稳定力量。 ——摘编自王毅《坚定做动荡世界中的稳定力量》 (1)根据材料一,结合所学,指出维多利亚万民法与古罗马万民法相比“范围扩展远远逾越传统界 限”的表现,简析维多利亚法学新思想产生的历史背景。(5分) (2)根据材料二,结合所学,写出1944年确立的新的世界货币体系的名称及内容,分析影响“美元 正式取代英镑成为新的世界货币”的因素。(8分) (3)根据材料三,结合所学,概括当今世界发展的特点。列举中国作为“加强全球治理的稳定力 量”之努力。(6分) 18.(2023·海南高考·18)阅读材料,完成下列要求。(13分) 材料 海上格局指国家力量在海上的对比态势。16—17世纪,葡萄牙、西班牙、荷兰先后成为海上霸主。17世纪中后期,在与英国海战失利后,荷兰霸主地位被取代。18世纪至19世纪初,英国多次击败法国,维 持了海上霸权。两次世界大战之间,美国海权崛起,英、美、法、日等海权国家并立。二战结束后,美国 海军成为独一无二的海上力量。21世纪以来,“海上多极”趋势明显。 海上格局转换的焦点集中在两大方面:一是关于力量对比的竞争;二是关于海洋规则的博弈。西方国 家强调“基于规则的国际秩序”,但在对海洋规则的理解上,各海洋强国存在严重的认识分歧。尤其在主 权和安全理念方面,奉行霸权主义的美国与后发海洋国家中国、俄罗斯和印度等存在着较为尖锐的矛盾。 国际秩序的建立或塑造离不开实力的支撑。 随着全球社会的发展,各海洋强国既需要在经济方面相互依存,又需要在全球治理上协调一致。由于 海洋环境恶化、自然或人为灾害等全球性问题进一步发酵,人类正在迈入全方位认知、利用和保护海洋的 新时代。 ——摘编自胡波《从霸权更替到“多极制衡”》 (1)根据材料,概括近代以来海上格局演变的特征。(6分) (2)根据材料并结合所学知识,简析影响海上格局变化的主要因素。(7分)边国家关系的根本区别。 (6分)参考答案 1.A【解析】依据题干“对一些关键技术的封锁越来越严格”,“封锁华为通向5G技术的前进道路”等 关键词可知,美国等西方国家为了保护自身利益,采取了技术封锁的措施,这无疑给科技全球化道路带来 了困难和挑战,故选A项;“毁灭性破坏”表述过于绝对,排除B项;全球战略是指大国调动和运用政治、 经济、军事、外交等多种手段,参与国际斗争,维护和增强本国利益,实现国家根本政治目的的方略,而 材料中反映的是美国等西方国家对中国的技术封锁,选项与材料主旨不符,排除C项;“荡然无存”说法 绝对,排除D项。 2.D【解析】据所学知识可知,20世纪60年代至90年代初属于美苏两极对峙时期,为争取中间地带,美 苏都加强在中间地带的影响力,据表格信息可知,20世纪60年代至90年代,美国等西方国家向巴西出口 的各类产品中,农产品、工业品所占的比例下降,文艺产品、电脑软件等软文化相关的产品所占的比例增 加较为明显,反映了西方大国试图通过软文化入侵的形式增强在中间地带的影响力,故选D项;美国冷战 时代外交路线以遏制以苏联为首的社会主义阵营为宗旨,没有发生改变,排除A项;20世纪60年代至90 年代美国等西方国家向巴西出口的文艺产品所占的比例增加较为明显,但文艺产品不属于第三次科技革命 成就,B项不能全面概括材料,排除B项;材料体现的是美国等西方发达国家向巴西出口各类产品的情况, 仅据材料不能得知美国和其他西方发达国家在向巴西出口的产品中各自所占的比例,所以不能体现美国与 其他西方发达国家相比,是否在拉美地区存在霸权,排除C项。 3.B【解析】据材料信息结合所学可知,20世纪60年代,随着西欧走向联合,法国经济实力增强,开始 摆脱美国的控制,谋求独立自主的大国地位,同时,受中苏关系恶化的影响,中国也迫切需要改善同西方 国家的关系,因此这一时期,中法建交,故选B项;材料仅体现的是中法关系改善,排除A项;材料体现 的是法国外交的独立自主,非法国极力促进美国对华政策的调整,排除C项;20世纪60年代,仍然是美 苏两极格局,排除D项。 4.D【解析】据材料信息可知,1990年与1950年的美国、联邦德国、日本相比,农业的比重都在下降, 服务业的比重在上升,工业也是下降趋势,产业结构的变化带来资本主义国家的社会结构的新变化,故选 D项;20世纪四五十年代,第三次科技革命,促进了社会经济结构和社会生活结构的重大变化,随着科技 的发展,农业大量使用机械化经营,农业比重降低,是因为第三产业的大幅度提高,而非农业衰落,排除 A项;材料体现的是产业结构的优化,是第三次科技革命影响下三大产业的变化,是经济比重的变化,不 涉及中间阶层,排除B项;联邦德国的工业占比最高,说明其第三产业(服务业)发展不充分,工业的科 技含量仍待提高,“最高水平”说法错误,排除C项。 5.C【解析】据材料信息结合所学可知,第二次世界大战后,资本主义国家继续强化国家对经济的干预, 国家垄断资本主义进一步发展,材料所述政府推动调整经济部门结构,属于对经济的宏观调控,故选C项; 加大公共事业的开支指的是扩大邮电﹑交通﹑医疗等方面的投入,增加就业机会,刺激消费需求,与调整 经济部门结构不符,排除A项;材料所述体现强化国家干预,而非坚持市场经济,排除B项;二战后资本 主义国家在坚持市场经济的基础上,强化国家干预,而非实施计划经济体制,排除D项。 6.B【解析】以“序贯生产”为主要特征的全球产业链发展,意味着生产过程被分解为多个环节,这些环 节在不同国家或地区进行,以利用各地的比较优势。全球价值链的形成是全球经济一体化的重要表现,它 反映了各国经济相互依存程度的加深和国际分工走向深化,故选B项;现在有些国家仍然奉行贸易保护主义政策,“成为共识”表述不符合史实,排除A项;全球产业链的发展表明各国经济相互依存度加深,材 料中并没有关于经济风险的描述,不能说明全球经济风险增大,排除C项;据所学可知,当今世界,南北 差距和贫富分化日益严重,排除D项。 7.D【解析】该学者提到的“新格局”指的是冷战结束后国际政治力量的重新分布和调整。在冷战时期, 世界格局主要由美国和苏联这两个超级大国所主导,形成了两极格局。这一“新格局”中,出现了多个基 于民族主义的国家力量和地区性力量,世界格局呈现多极化趋势,故选D项;拿破仑战争后形成维也纳体 制,一战后形成凡尔赛体制,二战后形成雅尔塔体制,均与“不像以往那样发生在大规模战争之后”不符, 排除A、B、C三项。 8.A【解析】据材料“通过了《卢萨卡宣言》......指责两个超级大国”可知,第三次不结盟国家 和政府首脑会议对美苏两个超级大国主导世界的国际秩序提出了质疑和批评,因此,不结盟运动有利于推 动和引领国际政治新秩序的建立,故选A项;国家的综合国力决定国际地位,不结盟运动国家均属于发展 中国家,20世纪70年代,发展中国家的总体实力与欧共体和美苏仍有差距,因此,不结盟运动还未成为 世界最重要一极,排除B项;虽然不结盟运动批评了超级大国的霸权行为,但霸权主义和强权政治仍然存 在,所以它并未完成反对霸权主义的任务,排除C项;两极格局的解体是冷战结束和苏联解体的结果,不 结盟运动提出并坚持独立自主,但并非是导致两极格局解体的原因,排除D项。 9.D【解析】据材料信息并结合所学可知,20世纪80年代,美国试图否定联合国主导的国际海洋规则, 但是最终美国的政策未得逞,国际社会最终还是签署了海洋法公约,这表明霸权主义行为被国际社会所抵 制,故选D项;仅凭美国否定联合国主导的国际海洋规则未得逞一事无法得出“美国主导的国际秩序走向 破产”,A项具有片面性,且不符合20世纪80年代史实,排除A项;美国的霸权行为受到了抵制,这表 明美国的霸主地位被动摇,排除B项;材料信息不能表明当时海洋“开始”成为各国争夺的焦点,C项与 材料信息无关,排除C项。 10.C【解析】据材料信息并结合所学可知,20世纪70年代以来,美国经济实力相对下滑,西欧和日本经 济有一定的发展,资本主义阵营逐渐形成三足鼎立之势,美国的绝对优势地位丧失,故选C项;世界格局 的多极化趋势加强出现在1991年美苏两极格局结束之后,排除A项;从材料只能看出西欧、日本经济实 力增强,推导不出其力图摆脱美国控制的结论,排除B项;越南战争是这一时期美国实力下降的原因之一, 但与材料主旨不符合,排除D项。 11.D【解析】20世纪80年代美苏第二次对话高潮时期,双方处于美攻苏守阶段,美苏双方并没有形成均 势地位,故①错误;第二次对话高潮中,美苏双方签署了《关于消除两国中程和中短程导弹条约》,并商 定北约和华约削减在欧洲的常规武器,这些举措都表明在裁军方面取得了重要进展,故②正确;据材料 “双方首脑、外长、军方定期会晤”可知,美苏双方形成了多层次的对话机制,故③正确;从签署裁军条 约和商定削减常规武器来看,双方都有意通过对话来解决分歧和减少紧张,这表明两国关系在整体上呈现 出缓和的趋势,故④正确;选择D项符合题意。 12.B【解析】据材料可知,从广交会的创办到“中国进出口商品交易会”,她见证了中国外贸发展、经 济建设和改革开放历程,证明了中国以开放姿态进行社会主义现代化建设,故选B项;“广交会是中国外 贸第一展”不合题意,与材料的主旨“广交会见证了中国外贸结构与质量的巨变”相悖,排除A项;“广 交会”概念混淆,应为“经济特区”,排除C项;2000年,中共十五届五中全会提出“走出去”战略,后 来发展为“引进来”和“走出去”相结合的开放战略,与题旨不符,排除D项。13.D【解析】据表格数据可知,1990—2007年世界饥饿发生率都维持在10%以上,饥饿人口数量超过 800万,这些饥饿人口主要在发展中国家,而发达国家也存在饥饿人口,因此饥饿问题依然是各国乃至整 个世界面临的问题,也反映了保障粮食安全仍应是世界各国政府的重要职责,故选D项;据表格数据可知, 发展中国家的饥饿人口数量在增长,而饥饿发生率却在降低,并非“同向变化”,排除A项;20世纪以来, 粮食杂交育种新技术为世界消除饥饿作出突出贡献,但材料表明饥饿问题依然严重,且并未体现杂交育种 技术对消除饥饿的作用,排除B项;据表格数据可知,亚太和拉美地区的饥饿人口数量总体呈现下降趋势, 但非洲饥饿人口数量呈上升趋势,“均持续下降”说法错误,排除C项。 14.B【解析】据材料“不断协商......12月重新恢复协定”可知,冷战时期,美苏争夺的焦点在 德国,这损害了德国的整体国家利益,为了尽量避免战争,同时出于本地区发展的需要,因此,对抗的双 方在处理冲突时有一定的克制机制,凸显了双方政策的务实性,故选B项;20世纪70年代,欧共体的成 立和发展、日本经济的起飞及其要成为政治大国的追求,表明西方阵营逐渐分化,这与材料信息不符,排 除 A项;据所学可知,20世纪50年代末开始,美苏对抗关系逐渐加剧,同时也加剧了两德之间的对抗, 助推美苏关系全面缓和的说法与史实不符,排除C项;材料涉及民主德国和联邦德国政策的调整及双方处 理关系的态度,且20世纪60年代欧洲经济已经复苏并发展,有利于战后欧洲经济复苏的说法与材料信息 不符,排除D项。 15.A【解析】据材料“而随后日本彩电对美出口激增”、“但此后日本汽车出口到美国的数量暴涨”可 知,20世纪六七十年代日美贸易情况反映了两国经济联系比较密切,人为的规定无法改变这一状况,一定 程度上说明当时经济全球化程度提高,故选A项;20世纪六七十年代的世界格局依旧是美苏两极对峙,并 未发生根本变化,排除B项;材料体现了日本对美国的贸易处于优势地位,未涉及日本国内市场情况,排 除C项;美国限制日本纺织品、彩电出口,不属于国际合作,排除D项。 16.D【解析】据题干曲线图可知,在20世纪50年代,其占比一直高居不下,结合所学可知,这与“冷 战”有密切关系,在20世纪六七十年代,其占比出现下降趋势,并且自1965年开始,其占比相对比较稳 定,结合所学可知,在该时期,由于在与苏联对抗中一直处于领先地位,其占比则相对比较稳定,自20世 纪70年代起,其占比又呈现上升趋势,结合所学可知,这是与苏联对抗的实际需要,基于以上分析可知, 影响其变化的主要因素是政府外交战略的调整,故选D项;据题干“用于国防研究”可知,其变化的主要 原因是政府外交政策的变化,与国内经济发展状况联系不大,排除A项;据所学可知,在20世纪六七十 年代,美国发动越南战争,但是其占比并没有出现明显变化,排除B项;据所学可知,自二战之后,美国 的科技水平一直处于世界领先地位,并没有出现大的波动,排除C项。 二、非选择题 17.17.(19分) (1)表现:古罗马万民法适用于罗马帝国境内的所有民族,维多利亚万民法适用于国与国之间(或欧洲 国际关系)。(2分) 背景:欧洲有大量古罗马时期的法律遗存(罗马法在欧洲的传播和影响亦可得分);伴随近代民族国家的 形成与发展,国家主权意识不断加强;国家间利益纷争加剧,需要建立一定的法律制度来处理关系。(3 分) (2)名称:布雷顿森林体系。(1分) 内容:美元与黄金挂钩,美元与黄金维持基本固定的汇率,各国货币与美元挂钩。(3分)因素:以英镑为中心的国际金本位制存在弊端;一战和经济危机的冲击加速金本位制崩溃;英国综合国力 日益削弱;美国空前强大,成为资本主义世界的霸主。(4分) (3)特点:当今世界和平与发展仍然是时代主题;世界面临的不稳定性、不确定性突出,人类面临许多 共同的挑战;世界多极化、经济全球化、社会信息化、文化多样化深入发展,全球治理体系和国际秩序变 革加速推进。(3分) 努力:推动建设相互尊重、公平正义、合作共赢的新型国际关系;推动构建人类命运共同体;推动气候变 化《巴黎协定》的生效;倡议和推动“一带一路”建设;主办主场外交,积极促进全球治理体系改革与完 善。(任3点3分,其他言之有理亦可得分 【解析】 (1)第一小问表现,据材料一“维多利亚更有资格被视为近代国际法的‘奠基者’”并结合所学罗马法 的相关知识得出古罗马万民法适用于罗马帝国境内的所有民族,维多利亚万民法适用于国与国之间(或欧 洲国际关系)。第二小问背景,据材料一“以罗马‘万民法’概念为蓝本”得出欧洲有大量古罗马时期的 法律遗存(罗马法在欧洲的传播和影响亦可得分);据材料一“1530年以后,欧洲进入了所谓‘宗教战 争’时代”并结合所学近代民族国家的相关知识得出伴随近代民族国家的形成与发展,国家主权意识不断 加强;据材料一“各国新兴君主为广开财源以宗教信仰为借口对土地和黄金等财富展开激烈争夺”得出国 家间利益纷争加剧,需要建立一定的法律制度来处理关系。 (2)第一小问名称,据材料二“1944年,美元正式取代英镑成为新的世界货币”并结合所学现代世界货 币体系的相关知识得出该体系为布雷顿森林体系。第二小问内容,结合所学布雷顿森林体系的相关知识得 出布雷顿森林体系的内容为美元与黄金挂钩,美元与黄金维持基本固定的汇率,各国货币与美元挂钩。第 三小问因素,据材料二“受制于自然条件……只能靠提高关税或殖民扩张来缓解压力”得出以英镑为中心 的国际金本位制存在弊端;据材料二“在一战和大萧条的冲突下,金本位制的弊端被进一步放大”得出一 战和经济危机的冲击加速金本位制崩溃;据材料二“日渐削弱的英国也无力维系英镑的国际地位”得出英 国综合国力日益削弱;据材料二“1944年,美元正式取代英镑成为新的世界货币”并结合所学二战的相关 知识得出美国空前强大,成为资本主义世界的霸主。 (3)第一小问特点,结合所学和平与发展的时代潮流的相关知识得出当今世界和平与发展仍然是时代主 题;据材料三“当今世界充满动荡不安……太空极地等新的挑战接踵而来”得出世界面临的不稳定性、不 确定性突出,人类面临许多共同的挑战;结合所学当代世界发展的特点与主要趋势的知识得出世界多极化、 经济全球化、社会信息化、文化多样化深入发展,全球治理体系和国际秩序变革加速推进。第二小问努力, 据材料三“一是做推动大国合作的稳定力量……稳定力量”并结合所学推动构建人类命运共同体的相关知 识得出中国积极推动建设相互尊重、公平正义、合作共赢的新型国际关系,推动构建人类命运共同体,推 动气候变化《巴黎协定》的生效,倡议和推动“一带一路”建设,主办主场外交,积极促进全球治理体系 改革与完善。 18.(1)特征:海上霸主不断发生转移;英国较长时间占据海上霸主地位;由一国独霸到多国并立;出 现“海上多极”趋势。(2)各国的经济和军事实力;对海洋规则的认识的差异;美国的霸权主义政策;经济全球化的发展;世 界多极化发展趋势的加强;海洋环境和自然灾害等全球性问题;海洋时代的发展需要。 【解析】 (1)据材料“16—17世纪,葡萄牙、西班牙、荷兰先后成为海上霸主”可知近代以来海上格局的霸权总 是在随着国家力量对比的变化不断调整,西葡、荷兰、英国和美国相继成为海上霸主;据材料“18世纪至 19世纪初,英国多次击败法国,维持了海上霸权”可知从18世纪到20世纪初,英国凭借强大的政治、经 济和军事优势,长期占据海上霸主的地位;据材料“两次世界大战之间,美国海权崛起,英、美、法、日 等海权国家并立”可知两次世界大战期间,美国和日本的实力逐渐上升,同时欧洲国家始终把持着传统的 优势地位,英国传统的海上霸权遭到了前所未有的挑战,使得当时的海上格局呈现出由一国独霸到多国并 立的趋势;据材料“21世纪以来,‘海上多极’趋势明显”可知21世纪以来,随着世界格局多极化趋势 的日益明显,世界海上格局也呈现出“多极”的趋势。 (2)据材料“一是关于力量对比的竞争;二是关于海洋规则的博弈”可知海上格局的变化是以国家实力 对比的变化为基础的,同时不同国家对海洋规则的认识的差异也成为影响海上格局变化的重要因素;据材 料“奉行霸权主义的美国与后发海洋国家中国、俄罗斯和印度等存在着较为尖锐的矛盾”可知美国对外长 期奉行霸权主义政策,使美国与其他海洋国家的矛盾存在尖锐矛盾,客观上影响了海上格局的变化;据材 料“随着全球社会的发展”可知全球化的发展使全球联系日益密切,国际分工更加细致,客观上要求世界 各国在全球治理中需要密切合作;据材料“由于海洋环境恶化、自然或人为灾害等全球性问题进一步发 酵”可知全球性的环境和自然灾害问题日益严重,日益引起各国的重视;据材料“人类正在迈入全方位认 知、利用和保护海洋的新时代”可知科学技术的进步和人类对海洋权益认知的变化客观上推动了海上格局 的调整,以适应海洋时代的发展需要;据材料“‘海上多极’趋势明显”可知新世纪多极化趋势的日益明 显加速了海上力量对比的变化,加速了海上格局的调整。