当前位置:首页>文档>信息必刷卷04(新高考八省专用)参考答案_02高考数学_2025年新高考资料_2025考前信息卷_2025年高考数学考前信息必刷卷(新高考八省专用)3430956

信息必刷卷04(新高考八省专用)参考答案_02高考数学_2025年新高考资料_2025考前信息卷_2025年高考数学考前信息必刷卷(新高考八省专用)3430956

  • 2026-04-15 01:14:19 2026-04-15 01:13:31

文档预览

信息必刷卷04(新高考八省专用)参考答案_02高考数学_2025年新高考资料_2025考前信息卷_2025年高考数学考前信息必刷卷(新高考八省专用)3430956
信息必刷卷04(新高考八省专用)参考答案_02高考数学_2025年新高考资料_2025考前信息卷_2025年高考数学考前信息必刷卷(新高考八省专用)3430956
信息必刷卷04(新高考八省专用)参考答案_02高考数学_2025年新高考资料_2025考前信息卷_2025年高考数学考前信息必刷卷(新高考八省专用)3430956
信息必刷卷04(新高考八省专用)参考答案_02高考数学_2025年新高考资料_2025考前信息卷_2025年高考数学考前信息必刷卷(新高考八省专用)3430956
信息必刷卷04(新高考八省专用)参考答案_02高考数学_2025年新高考资料_2025考前信息卷_2025年高考数学考前信息必刷卷(新高考八省专用)3430956
信息必刷卷04(新高考八省专用)参考答案_02高考数学_2025年新高考资料_2025考前信息卷_2025年高考数学考前信息必刷卷(新高考八省专用)3430956
信息必刷卷04(新高考八省专用)参考答案_02高考数学_2025年新高考资料_2025考前信息卷_2025年高考数学考前信息必刷卷(新高考八省专用)3430956
信息必刷卷04(新高考八省专用)参考答案_02高考数学_2025年新高考资料_2025考前信息卷_2025年高考数学考前信息必刷卷(新高考八省专用)3430956
信息必刷卷04(新高考八省专用)参考答案_02高考数学_2025年新高考资料_2025考前信息卷_2025年高考数学考前信息必刷卷(新高考八省专用)3430956
信息必刷卷04(新高考八省专用)参考答案_02高考数学_2025年新高考资料_2025考前信息卷_2025年高考数学考前信息必刷卷(新高考八省专用)3430956
信息必刷卷04(新高考八省专用)参考答案_02高考数学_2025年新高考资料_2025考前信息卷_2025年高考数学考前信息必刷卷(新高考八省专用)3430956

文档信息

文档格式
docx
文档大小
0.393 MB
文档页数
7 页
上传时间
2026-04-15 01:13:31

文档内容

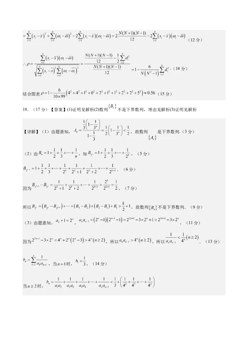
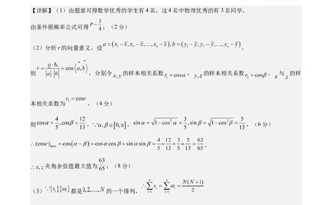
2025 年高考考前信息必刷卷 04(新高考八省专用) 数 学·参考答案 一、单项选择题:本题共8小题,每小题5分,共40分.在每小题给出的四个选项中,只有一项是符合题 目要求的. 1 2 3 4 5 6 7 8 B D C C B A D D 二、多项选择题:本题共3小题,每小题6分,共18分.在每小题给出的选项中,有多项符合题目要求, 全部选对的得6分,部分选对的得部分分,有选错的得0分. 9 10 11 ABD ACD ACD 第二部分(非选择题 共92分) 三、填空题:本题共3小题,每小题5分,共15分. 12. 13. 14. 四、解答题:本题共5小题,共77分.解答应写出文字说明、证明过程或演算步骤. 15.(13分)【答案】(1) (2) 【详解】(1) , , ,(2分) ,(4分)当且仅当 即 时, ,所以函数 的值域是 .(6分) (2)由(1)得 ,所以 ,(7分) , , , ,(9分) 由正弦定理得 , 又 ,故 ,(11分) 由余弦定理 得, , .(13分) 16.(15分)【答案】(1)证明见解析(2) . 【详解】(1)因为 ,所以 ,(1分) 在 中,由正弦定理,得 , 所以 ,所以 ,(2分) 则由勾股定理,得 ,(3分) 在 中,由余弦定理,得 , 所以 ,所以 ,即 ,(5分)又 平面 ,所以 平面 , 又 平面 ,所以平面 平面 .(7分) (2)由(1)知四棱台 的下底面面积 ,(8分) 因为 ,所以上底面面积 ,设四棱台 的高为 , 则四棱台 的体积为 ,所以 ,(9分) 因为平面 平面 ,平面 平面 , 所以 平面 ,所以 两两垂直.(10分) 以 为坐标原点, 所在直线分别为 轴, 轴, 轴, 建立如图所示的空间直角坐标系,则 所以 ,设平面 的法向量为⃗n=(x,y,z),(11分) 则 ,即 ,令 ,得 , 所以平面 的一个法向量为 ,(13分) 由题可知平面 的一个法向量为 ,(14分)设平面 与平面 的夹角为 ,则 , 所以平面 与平面 夹角的余弦值为 .(15分) 17.(15分)【答案】(1) (2) (3)证明见解析, 【详解】(1)由题意可得数学优秀的学生有4名,这4名中物理优秀的有3名同学, 由条件根概率公式可得 ;(2分) (2)分析r的向量意义,设 , 则 ,分别令 的样本相关系数 , 的样本相关系数 , 与 的样 本相关系数为 ,(4分) 则 , , ,(6分) , 夹角余弦值最大值为 ;(8分) (3) 都是 的一个排列, (9分) (10分) 同理(12分) .(14分) 结合图表 (15分) 18.(17分)【答案】(1)证明见解析(2)数列 不是下界数列,理由见解析(3)证明见解析 【详解】(1)由题意知, ,故数列 是下界数列.(3分) (2)由 ,知 ,(5分) .(6分) 因为 ,(7分) 所以 ,故数列 不是下界数列.(9分) (3)由题意知, , ,(11分) 因为 ,所以 ,所以 .(13分) ,当 时, ,(14分) 当 时,,所以 .(17分) 19.(17分)【答案】(1) (2)证明见解析(3) 【详解】(1)建立如图所示的空间直角坐标系,则球心 , ,(1分) 设 为所形成曲线上的任意一点,由题意可知 ,则 , (2分) 又 , ,(3分) , (4分) ,化简得 ,(5分) 当 时,可得所求曲线的方程为 .(6分) (2)对 ,利用隐函数求导法则,得 , (7分)过点 的曲线的切线方程为 , (8分) 即 , 又 , ①,证毕.(10分) (3)对于(1)中所得曲线,类似于圆的平移,将此曲线的中心平移到坐标原点 ,此时对应的方程为 ,该曲线为椭圆. 在题图2中,设点 的坐标为 ,点 , , 的坐标分别为(x ,y ),(x ,y ), , 1 1 2 2 将该曲线方程记为 ,则 , ,由(2)知:两条切线 , 的方程分别为 , , (12分) 又点 在这两条切线上, 且 ,由此可知点 , 都在直线 上,可得直线 的方程为 ②. 由题意可知直线 的方程为 ③, (13分) 联立②③可得点 坐标为 , 可得直线 的方程为 ④, (15分) 由①知,直线 的方程为 ⑤,(16分) 联立④⑤并由 可得点 的横坐标 , 将 , , , , , 代入上式,得 .(17分)