当前位置:首页>文档>冲刺2024年高考—专题四立体几何多选题专练六十题(解析版)_02高考数学_2024年新高考资料_3.2024专项复习_满分冲刺2024年高考数学多选题分类必刷题(新高考专用)

冲刺2024年高考—专题四立体几何多选题专练六十题(解析版)_02高考数学_2024年新高考资料_3.2024专项复习_满分冲刺2024年高考数学多选题分类必刷题(新高考专用)

  • 2026-04-15 01:56:09 2026-04-15 01:45:27

文档预览

冲刺2024年高考—专题四立体几何多选题专练六十题(解析版)_02高考数学_2024年新高考资料_3.2024专项复习_满分冲刺2024年高考数学多选题分类必刷题(新高考专用)
冲刺2024年高考—专题四立体几何多选题专练六十题(解析版)_02高考数学_2024年新高考资料_3.2024专项复习_满分冲刺2024年高考数学多选题分类必刷题(新高考专用)
冲刺2024年高考—专题四立体几何多选题专练六十题(解析版)_02高考数学_2024年新高考资料_3.2024专项复习_满分冲刺2024年高考数学多选题分类必刷题(新高考专用)
冲刺2024年高考—专题四立体几何多选题专练六十题(解析版)_02高考数学_2024年新高考资料_3.2024专项复习_满分冲刺2024年高考数学多选题分类必刷题(新高考专用)
冲刺2024年高考—专题四立体几何多选题专练六十题(解析版)_02高考数学_2024年新高考资料_3.2024专项复习_满分冲刺2024年高考数学多选题分类必刷题(新高考专用)
冲刺2024年高考—专题四立体几何多选题专练六十题(解析版)_02高考数学_2024年新高考资料_3.2024专项复习_满分冲刺2024年高考数学多选题分类必刷题(新高考专用)
冲刺2024年高考—专题四立体几何多选题专练六十题(解析版)_02高考数学_2024年新高考资料_3.2024专项复习_满分冲刺2024年高考数学多选题分类必刷题(新高考专用)
冲刺2024年高考—专题四立体几何多选题专练六十题(解析版)_02高考数学_2024年新高考资料_3.2024专项复习_满分冲刺2024年高考数学多选题分类必刷题(新高考专用)
冲刺2024年高考—专题四立体几何多选题专练六十题(解析版)_02高考数学_2024年新高考资料_3.2024专项复习_满分冲刺2024年高考数学多选题分类必刷题(新高考专用)
冲刺2024年高考—专题四立体几何多选题专练六十题(解析版)_02高考数学_2024年新高考资料_3.2024专项复习_满分冲刺2024年高考数学多选题分类必刷题(新高考专用)
冲刺2024年高考—专题四立体几何多选题专练六十题(解析版)_02高考数学_2024年新高考资料_3.2024专项复习_满分冲刺2024年高考数学多选题分类必刷题(新高考专用)
冲刺2024年高考—专题四立体几何多选题专练六十题(解析版)_02高考数学_2024年新高考资料_3.2024专项复习_满分冲刺2024年高考数学多选题分类必刷题(新高考专用)
冲刺2024年高考—专题四立体几何多选题专练六十题(解析版)_02高考数学_2024年新高考资料_3.2024专项复习_满分冲刺2024年高考数学多选题分类必刷题(新高考专用)
冲刺2024年高考—专题四立体几何多选题专练六十题(解析版)_02高考数学_2024年新高考资料_3.2024专项复习_满分冲刺2024年高考数学多选题分类必刷题(新高考专用)
冲刺2024年高考—专题四立体几何多选题专练六十题(解析版)_02高考数学_2024年新高考资料_3.2024专项复习_满分冲刺2024年高考数学多选题分类必刷题(新高考专用)
冲刺2024年高考—专题四立体几何多选题专练六十题(解析版)_02高考数学_2024年新高考资料_3.2024专项复习_满分冲刺2024年高考数学多选题分类必刷题(新高考专用)
冲刺2024年高考—专题四立体几何多选题专练六十题(解析版)_02高考数学_2024年新高考资料_3.2024专项复习_满分冲刺2024年高考数学多选题分类必刷题(新高考专用)
冲刺2024年高考—专题四立体几何多选题专练六十题(解析版)_02高考数学_2024年新高考资料_3.2024专项复习_满分冲刺2024年高考数学多选题分类必刷题(新高考专用)
冲刺2024年高考—专题四立体几何多选题专练六十题(解析版)_02高考数学_2024年新高考资料_3.2024专项复习_满分冲刺2024年高考数学多选题分类必刷题(新高考专用)
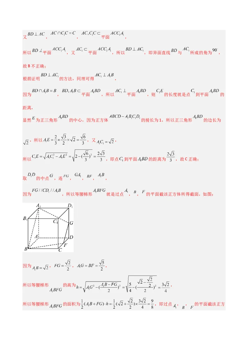
冲刺2024年高考—专题四立体几何多选题专练六十题(解析版)_02高考数学_2024年新高考资料_3.2024专项复习_满分冲刺2024年高考数学多选题分类必刷题(新高考专用)
冲刺2024年高考—专题四立体几何多选题专练六十题(解析版)_02高考数学_2024年新高考资料_3.2024专项复习_满分冲刺2024年高考数学多选题分类必刷题(新高考专用)
冲刺2024年高考—专题四立体几何多选题专练六十题(解析版)_02高考数学_2024年新高考资料_3.2024专项复习_满分冲刺2024年高考数学多选题分类必刷题(新高考专用)
冲刺2024年高考—专题四立体几何多选题专练六十题(解析版)_02高考数学_2024年新高考资料_3.2024专项复习_满分冲刺2024年高考数学多选题分类必刷题(新高考专用)
冲刺2024年高考—专题四立体几何多选题专练六十题(解析版)_02高考数学_2024年新高考资料_3.2024专项复习_满分冲刺2024年高考数学多选题分类必刷题(新高考专用)
冲刺2024年高考—专题四立体几何多选题专练六十题(解析版)_02高考数学_2024年新高考资料_3.2024专项复习_满分冲刺2024年高考数学多选题分类必刷题(新高考专用)
冲刺2024年高考—专题四立体几何多选题专练六十题(解析版)_02高考数学_2024年新高考资料_3.2024专项复习_满分冲刺2024年高考数学多选题分类必刷题(新高考专用)
冲刺2024年高考—专题四立体几何多选题专练六十题(解析版)_02高考数学_2024年新高考资料_3.2024专项复习_满分冲刺2024年高考数学多选题分类必刷题(新高考专用)
冲刺2024年高考—专题四立体几何多选题专练六十题(解析版)_02高考数学_2024年新高考资料_3.2024专项复习_满分冲刺2024年高考数学多选题分类必刷题(新高考专用)
冲刺2024年高考—专题四立体几何多选题专练六十题(解析版)_02高考数学_2024年新高考资料_3.2024专项复习_满分冲刺2024年高考数学多选题分类必刷题(新高考专用)
冲刺2024年高考—专题四立体几何多选题专练六十题(解析版)_02高考数学_2024年新高考资料_3.2024专项复习_满分冲刺2024年高考数学多选题分类必刷题(新高考专用)
冲刺2024年高考—专题四立体几何多选题专练六十题(解析版)_02高考数学_2024年新高考资料_3.2024专项复习_满分冲刺2024年高考数学多选题分类必刷题(新高考专用)
冲刺2024年高考—专题四立体几何多选题专练六十题(解析版)_02高考数学_2024年新高考资料_3.2024专项复习_满分冲刺2024年高考数学多选题分类必刷题(新高考专用)
冲刺2024年高考—专题四立体几何多选题专练六十题(解析版)_02高考数学_2024年新高考资料_3.2024专项复习_满分冲刺2024年高考数学多选题分类必刷题(新高考专用)
冲刺2024年高考—专题四立体几何多选题专练六十题(解析版)_02高考数学_2024年新高考资料_3.2024专项复习_满分冲刺2024年高考数学多选题分类必刷题(新高考专用)
冲刺2024年高考—专题四立体几何多选题专练六十题(解析版)_02高考数学_2024年新高考资料_3.2024专项复习_满分冲刺2024年高考数学多选题分类必刷题(新高考专用)
冲刺2024年高考—专题四立体几何多选题专练六十题(解析版)_02高考数学_2024年新高考资料_3.2024专项复习_满分冲刺2024年高考数学多选题分类必刷题(新高考专用)
冲刺2024年高考—专题四立体几何多选题专练六十题(解析版)_02高考数学_2024年新高考资料_3.2024专项复习_满分冲刺2024年高考数学多选题分类必刷题(新高考专用)
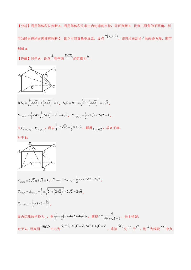
冲刺2024年高考—专题四立体几何多选题专练六十题(解析版)_02高考数学_2024年新高考资料_3.2024专项复习_满分冲刺2024年高考数学多选题分类必刷题(新高考专用)
冲刺2024年高考—专题四立体几何多选题专练六十题(解析版)_02高考数学_2024年新高考资料_3.2024专项复习_满分冲刺2024年高考数学多选题分类必刷题(新高考专用)
冲刺2024年高考—专题四立体几何多选题专练六十题(解析版)_02高考数学_2024年新高考资料_3.2024专项复习_满分冲刺2024年高考数学多选题分类必刷题(新高考专用)
冲刺2024年高考—专题四立体几何多选题专练六十题(解析版)_02高考数学_2024年新高考资料_3.2024专项复习_满分冲刺2024年高考数学多选题分类必刷题(新高考专用)
冲刺2024年高考—专题四立体几何多选题专练六十题(解析版)_02高考数学_2024年新高考资料_3.2024专项复习_满分冲刺2024年高考数学多选题分类必刷题(新高考专用)
冲刺2024年高考—专题四立体几何多选题专练六十题(解析版)_02高考数学_2024年新高考资料_3.2024专项复习_满分冲刺2024年高考数学多选题分类必刷题(新高考专用)
冲刺2024年高考—专题四立体几何多选题专练六十题(解析版)_02高考数学_2024年新高考资料_3.2024专项复习_满分冲刺2024年高考数学多选题分类必刷题(新高考专用)
冲刺2024年高考—专题四立体几何多选题专练六十题(解析版)_02高考数学_2024年新高考资料_3.2024专项复习_满分冲刺2024年高考数学多选题分类必刷题(新高考专用)
冲刺2024年高考—专题四立体几何多选题专练六十题(解析版)_02高考数学_2024年新高考资料_3.2024专项复习_满分冲刺2024年高考数学多选题分类必刷题(新高考专用)
冲刺2024年高考—专题四立体几何多选题专练六十题(解析版)_02高考数学_2024年新高考资料_3.2024专项复习_满分冲刺2024年高考数学多选题分类必刷题(新高考专用)
冲刺2024年高考—专题四立体几何多选题专练六十题(解析版)_02高考数学_2024年新高考资料_3.2024专项复习_满分冲刺2024年高考数学多选题分类必刷题(新高考专用)
冲刺2024年高考—专题四立体几何多选题专练六十题(解析版)_02高考数学_2024年新高考资料_3.2024专项复习_满分冲刺2024年高考数学多选题分类必刷题(新高考专用)
冲刺2024年高考—专题四立体几何多选题专练六十题(解析版)_02高考数学_2024年新高考资料_3.2024专项复习_满分冲刺2024年高考数学多选题分类必刷题(新高考专用)
冲刺2024年高考—专题四立体几何多选题专练六十题(解析版)_02高考数学_2024年新高考资料_3.2024专项复习_满分冲刺2024年高考数学多选题分类必刷题(新高考专用)
冲刺2024年高考—专题四立体几何多选题专练六十题(解析版)_02高考数学_2024年新高考资料_3.2024专项复习_满分冲刺2024年高考数学多选题分类必刷题(新高考专用)
冲刺2024年高考—专题四立体几何多选题专练六十题(解析版)_02高考数学_2024年新高考资料_3.2024专项复习_满分冲刺2024年高考数学多选题分类必刷题(新高考专用)
冲刺2024年高考—专题四立体几何多选题专练六十题(解析版)_02高考数学_2024年新高考资料_3.2024专项复习_满分冲刺2024年高考数学多选题分类必刷题(新高考专用)
冲刺2024年高考—专题四立体几何多选题专练六十题(解析版)_02高考数学_2024年新高考资料_3.2024专项复习_满分冲刺2024年高考数学多选题分类必刷题(新高考专用)
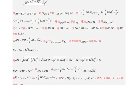
冲刺2024年高考—专题四立体几何多选题专练六十题(解析版)_02高考数学_2024年新高考资料_3.2024专项复习_满分冲刺2024年高考数学多选题分类必刷题(新高考专用)
冲刺2024年高考—专题四立体几何多选题专练六十题(解析版)_02高考数学_2024年新高考资料_3.2024专项复习_满分冲刺2024年高考数学多选题分类必刷题(新高考专用)
冲刺2024年高考—专题四立体几何多选题专练六十题(解析版)_02高考数学_2024年新高考资料_3.2024专项复习_满分冲刺2024年高考数学多选题分类必刷题(新高考专用)
冲刺2024年高考—专题四立体几何多选题专练六十题(解析版)_02高考数学_2024年新高考资料_3.2024专项复习_满分冲刺2024年高考数学多选题分类必刷题(新高考专用)
冲刺2024年高考—专题四立体几何多选题专练六十题(解析版)_02高考数学_2024年新高考资料_3.2024专项复习_满分冲刺2024年高考数学多选题分类必刷题(新高考专用)
冲刺2024年高考—专题四立体几何多选题专练六十题(解析版)_02高考数学_2024年新高考资料_3.2024专项复习_满分冲刺2024年高考数学多选题分类必刷题(新高考专用)
冲刺2024年高考—专题四立体几何多选题专练六十题(解析版)_02高考数学_2024年新高考资料_3.2024专项复习_满分冲刺2024年高考数学多选题分类必刷题(新高考专用)
冲刺2024年高考—专题四立体几何多选题专练六十题(解析版)_02高考数学_2024年新高考资料_3.2024专项复习_满分冲刺2024年高考数学多选题分类必刷题(新高考专用)
冲刺2024年高考—专题四立体几何多选题专练六十题(解析版)_02高考数学_2024年新高考资料_3.2024专项复习_满分冲刺2024年高考数学多选题分类必刷题(新高考专用)
冲刺2024年高考—专题四立体几何多选题专练六十题(解析版)_02高考数学_2024年新高考资料_3.2024专项复习_满分冲刺2024年高考数学多选题分类必刷题(新高考专用)
冲刺2024年高考—专题四立体几何多选题专练六十题(解析版)_02高考数学_2024年新高考资料_3.2024专项复习_满分冲刺2024年高考数学多选题分类必刷题(新高考专用)
冲刺2024年高考—专题四立体几何多选题专练六十题(解析版)_02高考数学_2024年新高考资料_3.2024专项复习_满分冲刺2024年高考数学多选题分类必刷题(新高考专用)
冲刺2024年高考—专题四立体几何多选题专练六十题(解析版)_02高考数学_2024年新高考资料_3.2024专项复习_满分冲刺2024年高考数学多选题分类必刷题(新高考专用)
冲刺2024年高考—专题四立体几何多选题专练六十题(解析版)_02高考数学_2024年新高考资料_3.2024专项复习_满分冲刺2024年高考数学多选题分类必刷题(新高考专用)
冲刺2024年高考—专题四立体几何多选题专练六十题(解析版)_02高考数学_2024年新高考资料_3.2024专项复习_满分冲刺2024年高考数学多选题分类必刷题(新高考专用)
冲刺2024年高考—专题四立体几何多选题专练六十题(解析版)_02高考数学_2024年新高考资料_3.2024专项复习_满分冲刺2024年高考数学多选题分类必刷题(新高考专用)
冲刺2024年高考—专题四立体几何多选题专练六十题(解析版)_02高考数学_2024年新高考资料_3.2024专项复习_满分冲刺2024年高考数学多选题分类必刷题(新高考专用)
冲刺2024年高考—专题四立体几何多选题专练六十题(解析版)_02高考数学_2024年新高考资料_3.2024专项复习_满分冲刺2024年高考数学多选题分类必刷题(新高考专用)
冲刺2024年高考—专题四立体几何多选题专练六十题(解析版)_02高考数学_2024年新高考资料_3.2024专项复习_满分冲刺2024年高考数学多选题分类必刷题(新高考专用)
冲刺2024年高考—专题四立体几何多选题专练六十题(解析版)_02高考数学_2024年新高考资料_3.2024专项复习_满分冲刺2024年高考数学多选题分类必刷题(新高考专用)
冲刺2024年高考—专题四立体几何多选题专练六十题(解析版)_02高考数学_2024年新高考资料_3.2024专项复习_满分冲刺2024年高考数学多选题分类必刷题(新高考专用)
冲刺2024年高考—专题四立体几何多选题专练六十题(解析版)_02高考数学_2024年新高考资料_3.2024专项复习_满分冲刺2024年高考数学多选题分类必刷题(新高考专用)
冲刺2024年高考—专题四立体几何多选题专练六十题(解析版)_02高考数学_2024年新高考资料_3.2024专项复习_满分冲刺2024年高考数学多选题分类必刷题(新高考专用)
冲刺2024年高考—专题四立体几何多选题专练六十题(解析版)_02高考数学_2024年新高考资料_3.2024专项复习_满分冲刺2024年高考数学多选题分类必刷题(新高考专用)
冲刺2024年高考—专题四立体几何多选题专练六十题(解析版)_02高考数学_2024年新高考资料_3.2024专项复习_满分冲刺2024年高考数学多选题分类必刷题(新高考专用)
冲刺2024年高考—专题四立体几何多选题专练六十题(解析版)_02高考数学_2024年新高考资料_3.2024专项复习_满分冲刺2024年高考数学多选题分类必刷题(新高考专用)
冲刺2024年高考—专题四立体几何多选题专练六十题(解析版)_02高考数学_2024年新高考资料_3.2024专项复习_满分冲刺2024年高考数学多选题分类必刷题(新高考专用)
冲刺2024年高考—专题四立体几何多选题专练六十题(解析版)_02高考数学_2024年新高考资料_3.2024专项复习_满分冲刺2024年高考数学多选题分类必刷题(新高考专用)
冲刺2024年高考—专题四立体几何多选题专练六十题(解析版)_02高考数学_2024年新高考资料_3.2024专项复习_满分冲刺2024年高考数学多选题分类必刷题(新高考专用)
冲刺2024年高考—专题四立体几何多选题专练六十题(解析版)_02高考数学_2024年新高考资料_3.2024专项复习_满分冲刺2024年高考数学多选题分类必刷题(新高考专用)
冲刺2024年高考—专题四立体几何多选题专练六十题(解析版)_02高考数学_2024年新高考资料_3.2024专项复习_满分冲刺2024年高考数学多选题分类必刷题(新高考专用)
冲刺2024年高考—专题四立体几何多选题专练六十题(解析版)_02高考数学_2024年新高考资料_3.2024专项复习_满分冲刺2024年高考数学多选题分类必刷题(新高考专用)
冲刺2024年高考—专题四立体几何多选题专练六十题(解析版)_02高考数学_2024年新高考资料_3.2024专项复习_满分冲刺2024年高考数学多选题分类必刷题(新高考专用)
冲刺2024年高考—专题四立体几何多选题专练六十题(解析版)_02高考数学_2024年新高考资料_3.2024专项复习_满分冲刺2024年高考数学多选题分类必刷题(新高考专用)
冲刺2024年高考—专题四立体几何多选题专练六十题(解析版)_02高考数学_2024年新高考资料_3.2024专项复习_满分冲刺2024年高考数学多选题分类必刷题(新高考专用)
冲刺2024年高考—专题四立体几何多选题专练六十题(解析版)_02高考数学_2024年新高考资料_3.2024专项复习_满分冲刺2024年高考数学多选题分类必刷题(新高考专用)
冲刺2024年高考—专题四立体几何多选题专练六十题(解析版)_02高考数学_2024年新高考资料_3.2024专项复习_满分冲刺2024年高考数学多选题分类必刷题(新高考专用)
冲刺2024年高考—专题四立体几何多选题专练六十题(解析版)_02高考数学_2024年新高考资料_3.2024专项复习_满分冲刺2024年高考数学多选题分类必刷题(新高考专用)
冲刺2024年高考—专题四立体几何多选题专练六十题(解析版)_02高考数学_2024年新高考资料_3.2024专项复习_满分冲刺2024年高考数学多选题分类必刷题(新高考专用)
冲刺2024年高考—专题四立体几何多选题专练六十题(解析版)_02高考数学_2024年新高考资料_3.2024专项复习_满分冲刺2024年高考数学多选题分类必刷题(新高考专用)
冲刺2024年高考—专题四立体几何多选题专练六十题(解析版)_02高考数学_2024年新高考资料_3.2024专项复习_满分冲刺2024年高考数学多选题分类必刷题(新高考专用)
冲刺2024年高考—专题四立体几何多选题专练六十题(解析版)_02高考数学_2024年新高考资料_3.2024专项复习_满分冲刺2024年高考数学多选题分类必刷题(新高考专用)
冲刺2024年高考—专题四立体几何多选题专练六十题(解析版)_02高考数学_2024年新高考资料_3.2024专项复习_满分冲刺2024年高考数学多选题分类必刷题(新高考专用)
冲刺2024年高考—专题四立体几何多选题专练六十题(解析版)_02高考数学_2024年新高考资料_3.2024专项复习_满分冲刺2024年高考数学多选题分类必刷题(新高考专用)
冲刺2024年高考—专题四立体几何多选题专练六十题(解析版)_02高考数学_2024年新高考资料_3.2024专项复习_满分冲刺2024年高考数学多选题分类必刷题(新高考专用)
冲刺2024年高考—专题四立体几何多选题专练六十题(解析版)_02高考数学_2024年新高考资料_3.2024专项复习_满分冲刺2024年高考数学多选题分类必刷题(新高考专用)
冲刺2024年高考—专题四立体几何多选题专练六十题(解析版)_02高考数学_2024年新高考资料_3.2024专项复习_满分冲刺2024年高考数学多选题分类必刷题(新高考专用)
冲刺2024年高考—专题四立体几何多选题专练六十题(解析版)_02高考数学_2024年新高考资料_3.2024专项复习_满分冲刺2024年高考数学多选题分类必刷题(新高考专用)
冲刺2024年高考—专题四立体几何多选题专练六十题(解析版)_02高考数学_2024年新高考资料_3.2024专项复习_满分冲刺2024年高考数学多选题分类必刷题(新高考专用)
冲刺2024年高考—专题四立体几何多选题专练六十题(解析版)_02高考数学_2024年新高考资料_3.2024专项复习_满分冲刺2024年高考数学多选题分类必刷题(新高考专用)
冲刺2024年高考—专题四立体几何多选题专练六十题(解析版)_02高考数学_2024年新高考资料_3.2024专项复习_满分冲刺2024年高考数学多选题分类必刷题(新高考专用)
冲刺2024年高考—专题四立体几何多选题专练六十题(解析版)_02高考数学_2024年新高考资料_3.2024专项复习_满分冲刺2024年高考数学多选题分类必刷题(新高考专用)
冲刺2024年高考—专题四立体几何多选题专练六十题(解析版)_02高考数学_2024年新高考资料_3.2024专项复习_满分冲刺2024年高考数学多选题分类必刷题(新高考专用)
冲刺2024年高考—专题四立体几何多选题专练六十题(解析版)_02高考数学_2024年新高考资料_3.2024专项复习_满分冲刺2024年高考数学多选题分类必刷题(新高考专用)
冲刺2024年高考—专题四立体几何多选题专练六十题(解析版)_02高考数学_2024年新高考资料_3.2024专项复习_满分冲刺2024年高考数学多选题分类必刷题(新高考专用)
冲刺2024年高考—专题四立体几何多选题专练六十题(解析版)_02高考数学_2024年新高考资料_3.2024专项复习_满分冲刺2024年高考数学多选题分类必刷题(新高考专用)
冲刺2024年高考—专题四立体几何多选题专练六十题(解析版)_02高考数学_2024年新高考资料_3.2024专项复习_满分冲刺2024年高考数学多选题分类必刷题(新高考专用)
冲刺2024年高考—专题四立体几何多选题专练六十题(解析版)_02高考数学_2024年新高考资料_3.2024专项复习_满分冲刺2024年高考数学多选题分类必刷题(新高考专用)
冲刺2024年高考—专题四立体几何多选题专练六十题(解析版)_02高考数学_2024年新高考资料_3.2024专项复习_满分冲刺2024年高考数学多选题分类必刷题(新高考专用)
冲刺2024年高考—专题四立体几何多选题专练六十题(解析版)_02高考数学_2024年新高考资料_3.2024专项复习_满分冲刺2024年高考数学多选题分类必刷题(新高考专用)
冲刺2024年高考—专题四立体几何多选题专练六十题(解析版)_02高考数学_2024年新高考资料_3.2024专项复习_满分冲刺2024年高考数学多选题分类必刷题(新高考专用)
冲刺2024年高考—专题四立体几何多选题专练六十题(解析版)_02高考数学_2024年新高考资料_3.2024专项复习_满分冲刺2024年高考数学多选题分类必刷题(新高考专用)
冲刺2024年高考—专题四立体几何多选题专练六十题(解析版)_02高考数学_2024年新高考资料_3.2024专项复习_满分冲刺2024年高考数学多选题分类必刷题(新高考专用)
冲刺2024年高考—专题四立体几何多选题专练六十题(解析版)_02高考数学_2024年新高考资料_3.2024专项复习_满分冲刺2024年高考数学多选题分类必刷题(新高考专用)
冲刺2024年高考—专题四立体几何多选题专练六十题(解析版)_02高考数学_2024年新高考资料_3.2024专项复习_满分冲刺2024年高考数学多选题分类必刷题(新高考专用)
冲刺2024年高考—专题四立体几何多选题专练六十题(解析版)_02高考数学_2024年新高考资料_3.2024专项复习_满分冲刺2024年高考数学多选题分类必刷题(新高考专用)
冲刺2024年高考—专题四立体几何多选题专练六十题(解析版)_02高考数学_2024年新高考资料_3.2024专项复习_满分冲刺2024年高考数学多选题分类必刷题(新高考专用)
冲刺2024年高考—专题四立体几何多选题专练六十题(解析版)_02高考数学_2024年新高考资料_3.2024专项复习_满分冲刺2024年高考数学多选题分类必刷题(新高考专用)
冲刺2024年高考—专题四立体几何多选题专练六十题(解析版)_02高考数学_2024年新高考资料_3.2024专项复习_满分冲刺2024年高考数学多选题分类必刷题(新高考专用)
冲刺2024年高考—专题四立体几何多选题专练六十题(解析版)_02高考数学_2024年新高考资料_3.2024专项复习_满分冲刺2024年高考数学多选题分类必刷题(新高考专用)

文档信息

文档格式
docx
文档大小
8.388 MB
文档页数
121 页
上传时间
2026-04-15 01:45:27

文档内容

冲刺 2024 年高考—多选题专练六十题 专题四 立体几何(解析版) 第一部——高考真题练 1.(2023·全国·统考高考真题)下列物体中,能够被整体放入棱长为1(单位:m)的正方体容器(容器 壁厚度忽略不计)内的有( ) A.直径为 的球体 B.所有棱长均为 的四面体 C.底面直径为 ,高为 的圆柱体 D.底面直径为 ,高为 的圆柱体 【答案】ABD 【分析】根据题意结合正方体的性质逐项分析判断. 【详解】对于选项A:因为 ,即球体的直径小于正方体的棱长, 所以能够被整体放入正方体内,故A正确; 对于选项B:因为正方体的面对角线长为 ,且 , 所以能够被整体放入正方体内,故B正确; 对于选项C:因为正方体的体对角线长为 ,且 , 所以不能够被整体放入正方体内,故C不正确; 对于选项D:因为 ,可知底面正方形不能包含圆柱的底面圆, 如图,过 的中点 作 ,设 , 可知 ,则 , 即 ,解得 , 且 ,即 ,故以 为轴可能对称放置底面直径为 圆柱, 若底面直径为 的圆柱与正方体的上下底面均相切,设圆柱的底面圆心 ,与正方体的下底面的切点 为 , 可知: ,则 , 即 ,解得 , 根据对称性可知圆柱的高为 , 所以能够被整体放入正方体内,故D正确; 故选:ABD. 2.(2023·全国·统考高考真题)已知圆锥的顶点为P,底面圆心为O,AB为底面直径, , ,点C在底面圆周上,且二面角 为45°,则( ). A.该圆锥的体积为 B.该圆锥的侧面积为 C. D. 的面积为 【答案】AC 【分析】根据圆锥的体积、侧面积判断A、B选项的正确性,利用二面角的知识判断C、D选项的正确性. 【详解】依题意, , ,所以 , A选项,圆锥的体积为 ,A选项正确; B选项,圆锥的侧面积为 ,B选项错误;C选项,设 是 的中点,连接 , 则 ,所以 是二面角 的平面角, 则 ,所以 , 故 ,则 ,C选项正确; D选项, ,所以 ,D选项错误. 故选:AC. 3.(2022·全国·统考高考真题)如图,四边形 为正方形, 平面 , ,记三棱锥 , , 的体积分别为 ,则( ) A. B. C. D. 【答案】CD【分析】直接由体积公式计算 ,连接 交 于点 ,连接 ,由 计算出 ,依次判断选项即可. 【详解】 设 ,因为 平面 , ,则 , ,连接 交 于点 ,连接 ,易得 , 又 平面 , 平面 ,则 ,又 , 平面 ,则 平面 , 又 ,过 作 于 ,易得四边形 为矩形,则 , 则 , , ,则 , , , 则 ,则 , , ,故A、B错误;C、D正确. 故选:CD. 4.(2022·全国·统考高考真题)已知正方体 ,则( ) A.直线 与 所成的角为 B.直线 与 所成的角为 C.直线 与平面 所成的角为 D.直线 与平面ABCD所成的角为【答案】ABD 【分析】数形结合,依次对所给选项进行判断即可. 【详解】如图,连接 、 ,因为 ,所以直线 与 所成的角即为直线 与 所成 的角, 因为四边形 为正方形,则 ,故直线 与 所成的角为 ,A正确; 连接 ,因为 平面 , 平面 ,则 , 因为 , ,所以 平面 , 又 平面 ,所以 ,故B正确; 连接 ,设 ,连接 , 因为 平面 , 平面 ,则 , 因为 , ,所以 平面 , 所以 为直线 与平面 所成的角, 设正方体棱长为 ,则 , , , 所以,直线 与平面 所成的角为 ,故C错误; 因为 平面 ,所以 为直线 与平面 所成的角,易得 ,故D正确. 故选:ABD5.(2017·全国·高考真题)如图,在下列四个正方体中,A,B为正方体的两个顶点,M,N,Q为所在棱 的中点,则在这四个正方体中,直线 与平面 平行的是( ) A. B. C. D. 【答案】BCD 【分析】利用线面平行判定定理逐项判断可得答案. 【详解】对于选项A,OQ∥AB,OQ与平面MNQ是相交的位置关系,故AB和平面MNQ不平行,故A错 误; 对于选项B,由于AB∥CD∥MQ,结合线面平行判定定理可知AB∥平面MNQ,故B正确;对于选项C,由于AB∥CD∥MQ,结合线面平行判定定理可知AB∥平面MNQ:故C正确; 对于选项D,由于AB∥CD∥NQ,结合线面平行判定定理可知AB∥平面MNQ:故D正确; 故选:BCD 6.(2021·全国·统考高考真题)如图,在正方体中,O为底面的中心,P为所在棱的中点,M,N为正方 体的顶点.则满足 的是( )A. B. C. D. 【答案】BC 【分析】根据线面垂直的判定定理可得BC的正误,平移直线 构造所考虑的线线角后可判断AD的正误. 【详解】设正方体的棱长为 , 对于A,如图(1)所示,连接 ,则 , 故 (或其补角)为异面直线 所成的角, 在直角三角形 , , ,故 , 故 不成立,故A错误. 对于B,如图(2)所示,取 的中点为 ,连接 , ,则 , ,由正方体 可得 平面 ,而 平面 , 故 ,而 ,故 平面 , 又 平面 , ,而 , 所以 平面 ,而 平面 ,故 ,故B正确. 对于C,如图(3),连接 ,则 ,由B的判断可得 , 故 ,故C正确. 对于D,如图(4),取 的中点 , 的中点 ,连接 , 则 , 因为 ,故 ,故 , 所以 或其补角为异面直线 所成的角,因为正方体的棱长为2,故 , , , ,故 不是直角, 故 不垂直,故D错误. 故选:BC. 7.(2021·全国·统考高考真题)在正三棱柱 中, ,点 满足 , 其中 , ,则( ) A.当 时, 的周长为定值 B.当 时,三棱锥 的体积为定值 C.当 时,有且仅有一个点 ,使得 D.当 时,有且仅有一个点 ,使得 平面 【答案】BD 【分析】对于A,由于等价向量关系,联系到一个三角形内,进而确定点的坐标; 对于B,将 点的运动轨迹考虑到一个三角形内,确定路线,进而考虑体积是否为定值; 对于C,考虑借助向量的平移将 点轨迹确定,进而考虑建立合适的直角坐标系来求解 点的个数; 对于D,考虑借助向量的平移将 点轨迹确定,进而考虑建立合适的直角坐标系来求解 点的个数.【详解】 易知,点 在矩形 内部(含边界). 对于A,当 时, ,即此时 线段 , 周长不是定值,故A错误; 对于B,当 时, ,故此时 点轨迹为线段 ,而 , 平面 ,则有 到平面 的距离为定值,所以其体积为定值,故B正确. 对于C,当 时, ,取 , 中点分别为 , ,则 ,所以 点 轨迹为线段 ,不妨建系解决,建立空间直角坐标系如图, , , ,则 , , ,所以 或 .故 均满足,故C 错误; 对于D,当 时, ,取 , 中点为 . ,所以 点轨迹为 线段 .设 ,因为 ,所以 , ,所以 ,此时 与 重合,故D正确. 故选:BD.【点睛】本题主要考查向量的等价替换,关键之处在于所求点的坐标放在三角形内. 第二部——基础模拟题 8.(2023·广东深圳·统考二模)《九章算术》中将四个面均为直角三角形的四面体称为鳖臑.已知四面体 是一个鳖臑,其中 平面 ,且 .若该鳖臑的体积为 ,则( ) A. 为四面体 中最长的棱 B. 平面 C.平面 平面 D.四面体 外接球的表面积的最小值为 【答案】ABD 【分析】将四面体 补全为长方体,即可判断A;根据线面垂直的性质及线面垂直的判定定理即可判 断B;说明 为二面角 的平面角,即可判断C;设 根据四面体的体积求出 的关系,再结合基本不等式求得外接球半径的最小值即可判断D. 【详解】如图,将四面体 补全为长方体, 则 为四面体 外接球的直径,是最长的棱,故A正确; 因为 平面 , 平面 ,所以 , 又 平面 , 所以 平面 ,故B正确; 因为 平面 ,所以 , 又因为平面 平面 , 平面 , , 平面 , 则 即为二面角 的平面角, 因为 为锐角, 即二面角 为锐二面角,故C不正确; 设 ,得 , 设四面体 外接球的半径为 ,则 ,当且仅当 时等号成立, 所以 ,即四面体 外接球的表面积的最小值为 ,故D正确.故选:ABD. 9.(2024·江西·校联考模拟预测)如图,在直三棱柱 中, , ,则 ( ) A. 平面 B.平面 平面 C.异面直线 与 所成的角的余弦值为 D.点 , , , 均在半径为 的球面上 【答案】ABC 【分析】根据线面平行的判定定理得出A选项,根据空间向量法判断面面垂直及异面直线所成角判断B,C 选项,根据外接球直径判断D选项. 【详解】 平面 , 平面 , 平面 ,所以A选项正确;取AB的中点O,连接CO,则 ,以O为坐标原点,OC,OB所在直线分别为x,y轴,过点O且平 行于 的直线为z轴建立空间直角坐标系. , 则 , 则 , , , , 所以 , , , 设平面 的法向量为 ,则 ,令 ,则 , 设平面 的法向量为 ,则 ,令 ,则 , ,所以平面 平面 ,所以B选项正确;则 ,故异面直线 与 所成角的余弦值为 ,所以C选项正 确; 在直三棱柱 中, , , , ,三棱柱可以放入边长为 1的正方体中, 正方体的外接球是三棱柱的外接球 ,点 , , , 均在半径为 的球面 上, 所以D选项错误. 故选:ABC. 10.(2023·海南海口·海南华侨中学校考一模)如图,在棱长为1的正方体 中, 是棱 上的动点,则下列说法正确的是( ) A.不存在点 ,使得 B.存在点 ,使得 C.对于任意点 , 到 的距离的取值范围为 D.对于任意点 , 都是钝角三角形 【答案】ABC 【分析】建立空间直角坐标系,利用空间向量法一一计算可得.【详解】由题知,在正方体 中, 是棱 上的动点,建立以 为原点, 分别以 , , 的方向为 轴、 轴、 轴的正方向的空间直角坐标系 . 所以 , , ,设 ,其中 , 所以 , , 当 时,即 ,所以 ,显然方程组无解, 所以不存在 使得 ,即不存在点 ,使得 ,故A项正确; 当 时,解得 ,故B项正确; 因为 ,其中 ,所以点Q到 的距离为 , 故C项正确; 因为 , ,其中 , 所以 , 所以三角形为 直角三角形或钝角三角形,故D项错误.故选:ABC 11.(2023·江苏南京·南京市第一中学校考模拟预测)在直三棱柱 中, , ,点M,N分别是 , 的中点,则下列说法正确的是( ) A. 平面 B.异面直线 与 所成的角为45° C.若点P是 的中点,则平面BNP截直三棱柱所得截面的周长为 D.点Q是底面三角形ABC内一动点(含边界),若二面角 的余弦值为 ,则动点Q的 轨迹长度为 【答案】ACD 【分析】利用直线和平面垂直的性质定理证明 平面 ,利用交线法找出截面,利用平行关系找出 异面直线 与 所成的角,选项D可以先在 上找一点 满足题意,再找到平面 与直三棱柱 的截面,即可找到点 在底面的轨迹. 【详解】选项A,由已知得△ 为等腰直角三角形, 是 的中点,则 ,∵ 为直三棱柱,∴ 平面 ,∵ 平面 ∴ , ∵ 平面 , ,∴ 平面 ,∴ , 设 与 交于点 ,其中 , , ∵△ ∽△ , , , ∵ ,∴ , ∵ 平面 , ,∴ 平面 ,故选项A正确; 选项B,过点 作 的平行线 ,则角 为异面直线 与 所成的角, 因为 平面 ,且 ∥ ,所以 平面 ,所以 , 所以 ,因为异面直线所成的角 , 所以 ,故异面直线 与 所成的角为 ,故选项B不正确;选项C ,延长 交 和 的延长线于点 ,连接 交 于点 ,连接 ,则四边形 为平面BNP截直三棱柱所得的截面, 由已知得 , 由△ ∽△ ,则 ,即 , 由△ ∽△ ,则 ,即 , 由余弦定理可知 ,解得 , 其周长为 , 故选项C正确; 选项 D, 若 上存在一点 使二面角 的余弦值为 ,连接 和 ,因为 平面 ,∴ , , ∴二面角 的平面角为 ,即 , 设 ,则 , , 在△ 中由余弦定理得 , 在△ 中由余弦定理得 , ,解得 , 过 作 的垂线 ,连接 ,过 作 的平行线交 于点 ,则 ∥ , 所以截面 为直三棱柱 的截面,所以符合题意的 的轨迹长度为线段 的长,所以 ,故选项D正确; 故选:ACD. 12.(2023·河北衡水·衡水市第二中学校考三模)已知正方体 ,则( ) A.异面直线 与 所成的角为B.异面直线 与 所成角的正切值为 C.直线 与平面 所成的角为 D.直线 与平面 所成角的正切值为 【答案】ACD 【分析】根据异面直线所成角判断A,B选项,根据线面角判断C,D选项即可. 【详解】如图,连接 , , , . 因为 ,所以 为直线 与 所成的角,故A正确. 显然, 为直线 与 所成的角. 因为在正方体 中, 平面 ,所以 . 在Rt 中, ,故B错误. 连接 ,设 .因为 平面 , 平面 ,所以 . 因为在正方形 中, , ,所以 平面 . 所以 为直线 与平面 所成的角,故 正确. 因为 平面 ,所以 为直线 与平面 所成的角. 在Rt 中, ,故D正确.故选:ACD. 13.(2023·福建福州·福建省福州第一中学校考三模)如图,在直三棱柱 中, , ,点 是 上的动点,点 是 上的动点,则( ) A. //平面 B. 与 不垂直 C.存在点 、 ,使得 D. 的最小值是 【答案】CD 【分析】根据 平面 , ,即可判断A;假设 与 垂直,因为 ,所以 可得 ,而已知不明确,即可判断B;过点 作 ,证出 平面 ,存在点 、 使得 ,即可判断C;将 和 放置于同一平面内,利用长度关系得证 , 求解 的长,即可判断D. 【详解】对于A,在直三棱柱 中,,因为 平面 , 所以 与平面 相交,A错; 因为 平面 , 平面 , 所以 , 若 与 也垂直, 又 , 平面 , 则 平面 ,又 平面 , 则 ,而已知不确定,故B错; 如图,过点 作 , 又 平面 , 平面 , 所以 , 又 , 平面 , 所以 平面 , 又 平面 ,则 , 又 是 上的动点,点 是 上的动点, 所以存在点 、 使得 , 即存在点 、 ,使得 ,C正确;对于D,将 和 放置于同一平面内,如图, 则 , 因为 , 所以 , 在直角三角形 中, , 所以 为等边三角形,所以 , , 所以 ,D正确. 故选:CD 14.(2023·山东菏泽·山东省鄄城县第一中学校考三模)已知在四棱雉 中,底面 为梯形, 且 的交点为 ,在 上取一点 ,使得 平面 ,四棱雉 的体积为 ,三棱锥 的体积为 ,则下面结论正确的为( ) A. B.C. D. 【答案】ABD 【分析】根据三角形相似得 ,根据线面平行的性质定理得 , ,得A正确;B 正确;根据棱锥的体积公式得 ,C不正确; ,D正确. 【详解】因为 ,所以 与 相似,所以 , 因为 平面 , 平面 ,平面 平面 , 所以 ,所以 ,故A正确;B正确; 因为 , ,所以 , 所以 ,故C不正确; 因为 ,所以 ,因为 ,所以 , 所以 ,故D正确. 故选:ABD 15.(2023·广东广州·广州市从化区从化中学校考模拟预测)如图,在棱长为2的正方体 中,点 , 分别在线段 和 上.给出下列四个结论:其中所有正确结论的序号是( )A. 的最小值为2 B.四面体 的体积为 C.有且仅有一条直线 与 垂直 D.存在点 ,使 为等边三角形 【答案】ABD 【分析】由公垂线的性质判断A;由线面平行的性质判断B;举反例判断C;设 , ,由等边三角形三边相等,判断D. 【详解】对于A: 因为 是正方体, 所以 平面 , 平面 , 又因为 平面 , 平面 , 所以 , ,即 是 与 的公垂线段, 因为公垂线段是异面直线上两点间的最短距离, 所以当 分别与 重合时, 最短为2,故A正确; 对于B: 因为 是正方体,所以平面 平面 ,且 平面 , 所以 平面 , 可知,当点 在 上运动时,点 到平面 的距离不变,距离 , 由 可知,当点 在 上运动时, 到 的距离不变, 所以 的面积不变, 所以 ,所以B正确; 对于C: 当 分别与 重合时, ; 当 为 中点, 与 重合时, ,所以 错误; 对于D:如图以点 为原点,以 所在直线为 轴建立空间直角坐标系, 设 , , 则 , , , , , , , 因为 为等边三角形, 由 , 得 ,得 ,即 , 由 ,得 ,则 ,即 ,解得 或 , 即 或 ,故D正确; 故选:ABD. 16.(2023·福建福州·福建省福州第一中学校考模拟预测)如图,在各棱长均为2的正三棱柱 中, 分别是 的中点,设 , ,则( ) A.当 时, B. ,使得 平面 C. ,使得 平面D.当 时, 与平面 所成角为 【答案】AC 【分析】取 中点为 ,连接 ,以点 为坐标原点,建立空间直角坐标系,写出各点的坐标,表示 出向量的坐标以及平面 的法向量,然后根据向量法求解,即可得出答案. 【详解】 取 中点为 ,连接 ,以点 为坐标原点,分别以 为 轴,以过点 且与 平行的直线为 轴,建立空间直角坐标系, 则 , , , , , , , 所以, , 由 可得, , 所以 , . 对于A项,当 时,有 ,所以 . 又 ,所以 , 所以, ,所以 ,故A项正确; 对于B项,因为 , , 设 是平面 的一个法向量,则有 ,即 , 取 ,则 是平面 的一个法向量. 若 平面 ,则 . 因为 ,显然 不共线,故B错误; 对于C项,因为 , 是平面 的一个法向量. 要使 平面 ,则应有 , 所以 ,解得 , 所以, ,使得 平面 ,故C项正确; 对于D项,当 时,点 ,则 . 又 是平面 的一个法向量, 设 与平面 所成角为 , 所以, ,故D项错误. 故选:AC. 17.(2023·福建福州·福建省福州第一中学校考二模)如图,在三棱柱 中, 平面 , 是棱 上的一个动点,则( )A.直线 与直线 是异面直线 B. 周长的最小值为 C.存在点 使得平面 平面 D.点 到平面 的最大距离为 【答案】ACD 【分析】根据空间中点线面的位置关系相关知识即可判断. 【详解】选项A:不管 点移动到 上的哪个位置, 直线 与直线 均不相交,也不平行,所以A正确; 选项B: 周长的为 ,要使周长最小, 即 最小,即为面 和面 的展开图中 的长, 所以 , 所以 ,所以B错误; 选项C:由图易知,二面角 为锐二面角,二面角 为钝二面角, 在 点从 到 移动的过程中,二面角 由锐角变成了钝角, 所以,在棱 上必然存在 点使得平面 平面 ,C正确; 选项D:要使点 到平面 的距离最大,即当二面角 为 时, 此时 到 的距离即为所求距离的最大值,过 作 的垂线 , 因为面 面 , 面 ,面 面 , 面 , 所以 面 ,即 为点 到平面 的距离,也是 到 的距离, 又因为 , , , 所以点 到平面 的距离为 ,所以D正确. 故选:ACD 18.(2023·山东潍坊·三模)如图所示的几何体,是将棱长为3的正四面体沿棱的三等分点,作平行于底 面的截面所得,且其所有棱长均为1,则( )A.直线 与直线 所成角为 B.直线 与平面 所成角为 C.该几何体的体积为 D.该几何体中,二面角 的余弦值为 【答案】AC 【分析】将该几何体还原为原正四面体 ,对A:直线 与直线 所成角即为MQ与QN所成角; 对B:直线 与平面 所成角为QN与底面MNS所成的角;对C:该几何体的体积为大正四面体的 体积减去4个棱长为1的小正四面体的体积;对D:二面角 的大小与 的大小互补. 【详解】 将该几何体还原为原正四面体 ,棱长为 ,设 中心为O,连接OQ,ON,则 , 对A:因为 ,所以直线 与直线 所成角即为MQ与QN所成角为 ,故A正确; 对B:直线 与平面 所成角为QN与底面MNS所成的角, 即为所求角, , ,故B错误; 对C:该几何体的体积为大正四面体的体积减去4个棱长为1的小正四面体的体积, ,故C正确;对D:二面角 的大小与 的大小互补,显然 的大小为锐角,所以二面角 的大小一定为钝角,故D错误. 故选:AC 19.(2020·山东青岛·山东省青岛第五十八中学校考一模)已知正方体 的棱长为2, , , 分别为 , , 的中点,则下列结论中正确的是( ) A.直线 与直线 垂直 B.直线 与平面 平行 C.点 与点 到平面 的距离相等 D.平面 截正方体所得的截面面积为 【答案】BD 【分析】确定直线 与直线 所成的角判断A;连接 ,由线面平行的判定判断B;由平面 是否过 的中点判断C;作出截面,再计算面积判断D作答. 【详解】对于A,在正方体 中, ,则 为直线 与直线 所成的角或 其补角, 连接AC,由 平面ABCD,得 ,即在 中, , 则 不可能是直角,直线 与直线 不垂直,A错误;对于B,连接 ,由 , 分别为 , 的中点,得 , 又 ,则四边形 是平行四边形,于是 , 而四边形 是正方体 的对角面,点 为 中点,有 , 即 平面 , 平面 , 平面 ,所以 平面 ,B正确; 对于C,连接 交 于 ,显然 不是 的中点,则平面 不过 的中点, 即点C与点G到平面 的距离不相等,C错误; 对于D,由选项B知, , ,即等腰梯形 为平面 截正方体所得的截面, ,等腰梯形 的高 , 所以等腰梯形 面积为 ,D正确. 故选:BD 20.(2023·安徽·合肥一中校联考模拟预测)已知半径为R的球与圆台的上下底面和侧面都相切.若圆台上 下底面半径分别为r 和r,母线长为l,球的表面积与体积分别为S 和V ,圆台的表面积与体积分别为S 1 2 1 1 2 和V .则下列说法正确的是( ) 2 A. B. C. D. 的最大值为 【答案】ABC【分析】根据题意结合圆台与球的表面积、体积公式逐项分析判断. 【详解】由切线长定理易得 ,A正确; 由勾股定理知 ,解得 ,B正确; 因为 , , 所以 正确; 因为 ,当且仅当 时,等号成立, 这与圆台的定义矛盾,故D错误. 故选:ABC. 21.(2023·福建漳州·统考模拟预测)在棱长为1的正方体 中,点 为 的中点,点 , 分别为线段 , 上的动点,则( ) A. B.平面 可能经过顶点 C. 的最小值为 D. 的最大值为 【答案】ACD 【分析】根据题意,建立空间直角坐标系,利用坐标表示向量,用向量表示空间中的垂直关系,求点到平 面的距离,以及空间角的计算,即可结合选项逐一求解. 【详解】建立空间直角坐标系,如图所示: 则 ,0, , ,0, , ,1, , ,1, , ,1, , ,0, , ,0, , ,1, , ,1, ,设 , , ,则 , , , , ; 设 ,0, ,则 ,0, , , , 所以 ,1, , , , , ,所以 ,即 , A正确; 因为 ,1, , , , , 设平面 的一个法向量为 , , ,则 , 即 ,令 ,则 , ,所以 , , , 又因为 ,1, ,所以点 到平面 的距离为 , 所以点 到平面 的距离不能为0,即平面 不过点 ,B错误; 因为 ,当且仅当 时取“ ”, 所以 的最小值为 ,C正确; 因为 , , , , , , , 设 , , , , ,所以 , ,所以 , ,所以 , ,所以 , ,所以 , , 所以 , ,当 时 最大,此时 ,选项D正确. 故选:ACD. 22.(2023·广东深圳·深圳市高级中学校考模拟预测)在四棱锥 中,底面 为矩形, , , , .下列说法正确的是( ) A.设平面 平面 ,则 B.平面 平面 C.设点 ,点 ,则 的最小值为 D.在四棱锥 的内部,存在与各个侧面和底面均相切的球 【答案】AB 【分析】根据线面平行的性质判断A,根据面面垂直的判定定理证明B,结合B判断C,取 、 的中 点 , ,求出 的内切圆半径与 的内切圆半径,即可判断D. 【详解】该四棱锥如图. 对于A:设平面 平面 ,因为 为矩形, , 平面 , 平面 ,所以 平面 , 又平面 平面 , 平面 ,所以 ,所以A对;对于B:∵ , , ,即 ,所以 , 又底面 为矩形,所以 , , 因为 , ,即 ,所以 , 而 , 平面 ,所以 平面 , 平面 , 所以平面 平面 ,故B对; 对于C:由B选项可知 的最短距离就是 ,所以C错; 对于D:取 、 的中点 , ,连接 、 、 , 则与平面 、平面 、平面 都相切的球的半径即为 的内切圆半径, 因为 , , , 所以 ,则 , 设 的内切圆半径为 ,则 ,解得 , 同理与平面 、平面 、平面 都相切的球的半径即为 的内切圆半径, 设 的内切圆半径为 , 因为 , ,所以 ,解得 , 所以 ,所以D错. 故选:AB 23.(2023·河北·统考模拟预测)如图,已知正方体 的棱长为1, 为底面 的中心, 交平面 于点 ,点 为棱 的中点,则( )A. , , 三点共线 B.异面直线 与 所成的角为 C.点 到平面 的距离为 D.过点 , , 的平面截该正方体所得截面的面积为 【答案】ACD 【分析】通过证明 , , 三点都是平面 与平面 的公共点,可知A正确;利用线面垂直的 判定与性质可证异面直线 与 所成的角为 ,可知B不正确;通过证明 平面 ,得 的 长度就是点 到平面 的距离,计算 的长度可知C正确;取 的中点 ,可得等腰梯形 就是过点 , , 的平面截该正方体所得截面,计算等腰梯形 的面积可知,D正确. 【详解】因为 为底面 的中心,所以 为 和 的中点,则 , , 因为 平面 , 平面 ,所以 平面 , 平面 ,所以点 是平面 与平面 的公共点; 显然 是平面 与平面 的公共点; 因为 交平面 于点 , 平面 ,所以 也是平面 与平面 的公共点, 所以 , , 三点都在平面 与平面 的交线上,即 , , 三点共线,故A正确; 因为 平面 , 平面 ,所以 ,又 , , 平面 , 所以 平面 ,又 平面 ,所以 ,即异面直线 与 所成的角为 , 故B不正确; 根据证明 的方法,同理可得 , 因为 , 平面 ,所以 平面 ,则 的长度就是点 到平面 的 距离, 显然 为正三角形 的中心,因为正方体 的棱长为1,所以正三角形 的边长为 ,所以 ,又 , 所以 ,即点 到平面 的距离为 ,故C正确; 取 的中点 ,连 , , , , 因为 ,所以等腰梯形 就是过点 , , 的平面截该正方体所得截面,如图: 因为 , , , 所以等腰梯形 的高为 , 所以等腰梯形 的面积为 ,即过点 , , 的平面截该正方体所得截面的面积为 ,故D正确. 故选:ACD 24.(2023·山西阳泉·阳泉市第一中学校校考模拟预测)已知三棱柱 的六个顶点都在球O的 球面上, .若点O到三棱柱 的所有面的距离都相等,则( ) A. 平面 B. C.平面 截球O所得截面圆的周长为 D.球O的表面积为 【答案】AC 【分析】根据球的性质可判断 为直棱柱,即可判断A,由内切球的性质,结合三棱柱的特征 即可判断B,由勾股定理以及等边三角形的性质可判断CD. 【详解】选项A,三棱柱 的六个顶点都在球O的球面上,根据球的对称性可知三棱柱 为直棱柱,所以 平面 ,因此A正确. 选项B:因为 ,所以 .因为点O到三棱柱 的所有面的距离都相 等,所以三棱柱 的内切球与外接球的球心重合.设该三棱柱的内切球的半径为r,与底面以及 侧面相切于 ,则 ,由于 为矩形 的对角线交点,所以 ,而三角形 为等边三角形,所以 ,所以 ,所以 ,因此B错误.选项C:由 ,可知 ,解得 (负值已舍去),则 . 易得 的外接圆的半径 ,所以平面 截球O所得截面圆的周长为 ,因此C正确. 选项D:三棱柱 外接球的半径 ,所以球O的表面积 , 因此D错误. 故选:AC 25.(2023·江苏扬州·扬州中学校考模拟预测)如图,已知二面角 的棱l上有A,B两点, , , , ,且 ,则下列说法正确的是( ). A.当 时,直线 与平面 所成角的正弦值为 B.当二面角 的大小为 时,直线 与 所成角为C.若 ,则二面角 的余弦值为 D.若 ,则四面体 的外接球的体积为 【答案】ABD 【分析】由面面垂直的性质得线面垂直,即可求直线 与平面 所成角的正弦值即可判断A;根据二面 角判断B,C即可;由四面体外接球的几何性质确定外接球半径,即可判断D. 【详解】对于A,当 时,因为 ,,所以 直线 与平面 所成角为 , 则 ,故A正确; 对于B,如图,过A作 ,且 ,连接 , , 则 为正方形, 即为直线 与 所成角, 为二面角 的平面角, 当 时,易得 , 又 , ,故 面 ,即 面 ,故 ,故B正确; 对于C,如图,作 ,则二面角 的平面角为 , 又 ,在 中,易得 , 在 .中,由余弦定理得 , ,过C点作 交线段 的延长线于点O,则 平面 , 过O点作 ,交线段 的延长线于点H,连接 , 则 为二面角 的平面角, 易得 , , , 所以 ,故C错误; 对于D,同选项C可知 , 如图,分别取线段 , 的中点G,M,连接 ,过G点作平面 的垂线, 则球心O必在该垂线上,设球的半径为R,则 , 又 的外接圆半径 ,则 , 所以四面体 的外接球的体积为 ,故D正确. 故选:ABD. 26.(2023·福建宁德·校考模拟预测)在正方体 中, 分别为 的中点,则( )A.直线 与直线 垂直 B.点 与点 到平面 的距离相等 C.直线 与平面 平行 D. 与 的夹角为 【答案】AB 【分析】以 为原点, 所在直线为 轴建立空间直角坐标系,利用空间向量的坐标运算逐 项判断即可得答案. 【详解】如图,以 为原点, 所在直线为 轴建立空间直角坐标系, 设正方体的棱长为 ,则 且 , 对于A, ,所以 ,所以直线 与直线 垂直,故A正确; 对于B,设平面 的法向量为 ,又 , 所以 ,令 得 , 又 ,所以点 到平面 的距离为 ,点 到平面 的距离为 ,故B正确; 对于C,因为 所以 ,即 , 设平面 的法向量为 ,则 , 又 ,则 , 所以 平面 ,故C错误; 对于D,因为 ,所以 ,所以 与 的夹角余弦值为 ,夹角大小不为 ,故D错误. 故选:AB. 27.(2023·江苏镇江·江苏省镇江中学校考三模)已知正方体 的棱长为 分别为 的中点, 为正方体的内切球 上任意一点,则( ) A.球 被 截得的弦长为 B.球 被四面体 表面截得的截面面积为C. 的范围为 D.设 为球 上任意一点,则 与 所成角的范围是 【答案】BC 【分析】利用对称性以及球心到端点 的距离结合余弦定理可计算得弦长为 ,A错误;求得球心到 正四面体 表面的距离为 ,可得四个相同截面圆的半径为 ,即可得截面面积为 ,B正确; 利用向量运算可得 ,即可求得其范围为 ,C正确;截取截面 可知,当 与球 相切时, 与 所成的最大角 满足 ,可得 ,即D错误. 【详解】如图所示: 对于A,易知内切球 的半径为1,且球心在正方体的中心,易得 ; 设球 被 截得的弦为 ,在 中 ,如下图所示: 由对称性可知, ,且 利用余弦定理可知 ,在 中, , 解得 或 (舍),则弦长 ,即A错误; 对于B,易知四面体 为正四面体,所以四个截面面积相同, 由对称性可知,球心 即为正四面体的外接球(也是内切球)球心,如下图所示: 设 为 的中点, 为球心在平面 内的摄影, 易知正四面体的棱长为 , , 易得 , ,由勾股定理可得 ; 所以球心 到截面距离 , 不妨设截面圆半径为 ,则 , 所以截面面积为 ,故B正确; 对于C,不妨设 的中点为 , 则 由选项A可知, ,当 同向时, ; 当 反向时, ; 即 的范围为 ,即C正确; 对于D,易知当 三点共线时, 与 所成的角最小为 , 取截面 如下图所示: 易知当 与球 相切时, 与 所成的角最大,设最大角为 , 则 ,即 ,所以 ; 即 与 所成角的范围是 说法错误,故D错误; 故选:BC 28.(2023·江苏镇江·江苏省镇江中学校考模拟预测)如图,在棱长为2的正方体 中,点 分别是 的中点,则( )A.四点 共面 B.直线 与平面 平行 C.异面直线 与 所成角的余弦值为 D.过 三点的平面截正方体所得图形面积为 【答案】AC 【分析】对A,利用中位线定理与平行线的传递性证得 ,从而得以判断;对B,利用线面平行的 性质即可判断;对C,由向量法求线线角即可判断;对D,过点M作 ,证所求截面为矩形 , 即可求得面积,从而得以判断. 【详解】对A,连接 ,如图, 因为侧面 是正方形, 分别是 的中点,所以 是 的中点, 又点 分别是 的中点,所以 , 又 ,所以 ,所以 四点共面, 又 面 ,所以 四点共面,故A正确;对B,连接 ,如图, 易得 , ,所以四边形 是平行四边形,则 , 假设直线 与平面 平行,又平面 平面 , 平面 , 所以 ,则 ,显然矛盾,假设不成立,故B错误; 对C,分别以 所在的直线为x轴,y轴,z轴,建立如图所示空间直角坐标系, 则 , 则 , 设异面直线 与面 所成角为 ,则 , 所以异面直线 与面 所成角的余弦值为 ,C正确; 对D,过点M作 ,因为 ,所以 且 ,所以四边形 为平行四边形,则 五点共面,即过 三点的平面截正方体所得图形为 平行四边形 , 由题意可知 , 因为 为正方体,所以 平面 , 又 平面 ,所以 , 所以平行四边形 为矩形,则 ,故D错误. 故选:AC. . 29.(2023·浙江温州·乐清市知临中学校考二模)正三角形 的边长为 ,如图, 为其水平 放置的直观图,则( ) A. 为锐角三角形 B. 的面积为 C. 的周长为 D. 的面积为 【答案】CD 【分析】根据斜二测法可求出 , ,再利用余弦定理可求出 ,再逐一对各个选项分析判断即可求出结果. 【详解】如图,因为正三角形 的边长为 ,故 ,所以 , , 在 中, ,由余弦定理得, , 在 中, ,由余弦定理得, , 选项A,在 中,因为 , 由余弦定理知 ,故选项A错误; 选项B和D, ,故选项B错误,选项D正确; 选项C, 的周长为 ,故选项C正确. 故选:CD. 30.(2023·安徽滁州·安徽省定远中学校考模拟预测)如图,正方体 的棱长为 ,点 为的中点,下列说法正确的是 ( ) A. B. 平面 C.点 到平面 的距离为 D. 与平面 所成角的正弦值为 【答案】ACD 【分析】连接 、 ,证明 平面 ,再根据线面垂直的性质即可判断A;根据 , 与平面 相交与点 即可判断B;连接 、 交于 ,证明 平面 ,从而可得点 到平面 的距离即为点 到平面 的距离,即可判断C;取 中点 ,连接 、 ,证明 平面 ,从而可得 与平面 所成角即为 ,从而可判断D. 【详解】对于A选项,连接 、 , 在正方体 中, 平面 , 平面 ,所以 , 因为四边形 是正方形,所以 , 因为 , 、 平面 , 所以 平面 ,又 平面 ,所以 ,故A正确; 对于B选项,在正方体 中,有 ,且 与平面 相交与点 , 故FG与平面 不平行,故B错误; 对于C选项,连接 、 交于 , 在正方体 中, 平面 ,又 平面 ,所以 , 因为四边形 是正方形,所以 , 因为 , 、 平面 ,所以 平面 , 因为 , 平面 , 平面 ,所以 平面 ,所以点 到平面 的距离即为点 到平面 的距离,即为 , 又正方体 棱长为 ,则 ,则点 到平面 的距离为 ,故C正确; 对于D选项,取 中点 ,连接 、 , 因为四边形 是正方形,点 为 的中点,所以 , 因为 平面 ,所以 平面 , 又 平面 ,所以 , 所以 与平面 所成角即为 , 则 , 则 与平面 所成角的正弦值为 ,故D正确. 故选:ACD. 31.(2023·广东珠海·珠海市斗门区第一中学校考三模)已知 是两条不相同的直线, 是两个不重 合的平面,则下列命题为真命题的是( ) A.若 是异面直线, ,则 . B.若 ,则 C.若 ,则 D.若 ,则 【答案】ACD 【分析】根据立体几何相关定理逐项分析.【详解】对于A, ,则 平面内必然存在一条直线 ,使得 ,并且 , 同理,在 平面内必然存在一条直线 ,使得 ,并且 ,由于 是异面直线, 与 是相交的, n与 也是相交的, 即 平面内存在两条相交的直线,分别与平面 平行, ,正确; 设 ,并且 ,则有 ,显然 是相交的,错误; 对于B,若 ,则 不成立,错误; 对于C,若 ,则 平面上必然存在一条直线l与n平行, ,即 ,正确; 对于D,若 ,必然存在一个平面 ,使得 ,并且 , ,又 ,正 确; 故选:ACD. 32.(2023·安徽黄山·屯溪一中校考模拟预测)如图,正三棱锥 和正三棱锥 的侧棱长均 为 , .若将正三棱锥 绕 旋转,使得点E,P分别旋转至点A, 处,且A,B,C,D 四点共面,点A,C分别位于BD两侧,则( ) A. B. C.多面体 的外接球的表面积为 D.点P与点E旋转运动的轨迹长之比为 【答案】AD 【分析】由线面垂直的判定定理和性质定理结合正三棱锥的性质可判断A,B;由已知可得,正三棱锥侧棱 两两互相垂直,放到正方体中,借助正方体研究线面位置关系和外接球表面积可判断C;由题意 转动的半径长为 , 转动的半径长为 可判断D. 【详解】取 的中点为 ,连接 , 由 ,所以 , 又 , 平面 ,所以 平面 , 将正三棱锥 绕 旋转,使得点E,P分别旋转至点A, 处, 所以 平面 ,所以 ,故A正确; 因为 平面 ,所以 ,故B不正确; 因为A,B,C,D四点共面, , 可得: , , 所以 平面 , 所以 平面 ,同理 平面 ,由已知 为正方形, 所以可将多面体 放入边长为 的正方体,则多面体 的外接球即棱长为 的正方体的外接球,外接球的半径为 , 表面积为 ,选项C不正确; 由题意 转动的半径长为 , 转动的半径长为 , 所以点P与点E旋转运动的轨迹长之比为 ,故D正确. 故选:AD. 33.(2023·湖北武汉·武汉二中校联考模拟预测)我国古代《九章算术》里记载了一个“羡除”的例子, 羡除,隧道也,其所穿地,上平下邪,如图是一个“羡除”模型,该“羡除”是以 为顶点 的五面体,四边形 为正方形, 平面 ,则 ( ) A.该几何体的表面积为 B.该几何体的体积为 C.该几何体的外接球的表面积为 D. 与平面 所成角的正弦值为 【答案】ABD 【分析】过E作EK⊥AB于K,作EM⊥DC于M,过F作FG⊥AB于G,作FH⊥DC于H,将该几何体分为 一个棱柱与两个棱锥,取AD,BC的中点P,Q,则EP⊥AD,FQ⊥BC,然后求出表面积可判断A;连接 PQ,交GH于T,则T为GH的中点,可证得FT⊥面ABCD,求出一个棱柱与两个棱锥的体积,可得该几何体的体积,从而判断B;连接AC,BD交于点O,可求得O为该几何体的外接球的球心,半径R= ,求出表面积即可判断C;取AB的中点N,得AE∥FN,则 与平面 所成角等于FN与平面 所 成角,设N到面FBC的距离为h,利用等体积法,由 求得 ,进而可得 与平面 所成 角的正弦值,可判断D. 【详解】∵EF∥平面ABCD,EF在平面ABFE内,平面ABFE∩平面ABCD=AB,∴EF∥AB, ∵AB∥DC,∴EF∥DC, ∵ ∴ABFE,DCFE均为等腰梯形, 过E作EK⊥AB于K,作EM⊥DC于M,连接KM, 过F作FG⊥AB于G,作FH⊥DC于H,连接GH, ∴EF∥KG∥MH, EF=KG=MH=2,AK=GB=DM=HC=1, ∵AB∥DC , FH⊥DC,∴AB⊥FH, 又AB⊥GF,GF,FH在平面FGH内,GF∩FH=F, ∴AB⊥面FGH,同理,AB⊥面EKM,∴面FGH∥面EKM, ∴该几何体被分为一个棱柱与两个棱锥. 分别取AD,BC的中点P,Q,连接FQ,EP, ∵ ,∴EP⊥AD,FQ⊥BC, ∴FQ= , ∴ ,FG= , ,又 , ∴该几何体的表面积为 , 故A正确; 连接PQ,交GH于T,则T为GH的中点,连接FT, ∵AB⊥面FGH,FT在面FGH内,∴FT⊥AB, ∵GF=FH=EK=EM,∴FT⊥GH, 又AB,GH在面ABCD内,AB∩GH=G,∴FT⊥面ABCD, ∴FT= , ∴ , ∵ , ∴ , ∴该几何体的体积为 ,故B正确; 连接AC,BD交于点O,则O也在PQ上,连接OE,OF,∵EF∥OQ,EF=OQ,∴EFQO为平行四边形, ∴EO=FQ= ,同理,FO=EP= , ∴OA=OB=OC=OD=OE=OF= , ∴O为该几何体的外接球的球心,半径R= , ∴该几何体的外接球的表面积为 ,故C错误; 取AB的中点N,连接FN,NC, ∵EF∥AN,EF=AN,∴EFNA为平行四边形,∴AE∥FN, ∴ 与平面 所成角等于FN与平面 所成角,设为 , 设N到面FBC的距离为h, ∵ ,∴ , ∴ ,∴ ,∴ , 即 与平面 所成角的正弦值为 ,故D正确. 故选:ABD. 34.(2023·吉林·长春吉大附中实验学校校考模拟预测)已知圆台的轴截面如图所示,其上、下底面半径 分别为 ,母线 长为2,点 为 的中点,则( ) A.圆台的体积为 B.圆台的侧面积为 C.圆台母线 与底面所成角为 D.在圆台的侧面上,从点 到点 的最短路径长为5 【答案】ACD 【分析】根据已知求体积;过 作 交底面于F,判断出 即为母线 与底面所成角;作出圆 台的侧面展开图,直接求出面积;圆台的侧面上,判断出从 到 的最短路径的长度为CE,等逐个判断即 可求解. 【详解】对于A:圆台的高为 ,则圆台的体积 ,A正确; 对于B:由题意,圆台的侧面展开图为半圆环,其面积为 .故B错误; 对于C:过 作 交底面于 ,则 底面,所以 即为母线 与底面所成角. 在等腰梯形 中, ,所以 . 因为 为锐角,所以 .故C正确; 对于D:如图示,在圆台的侧面上,从 到 的最短路径的长度为 .由题意可得: .由 为 中点,所以 ,所以 .故D正确. 故选:ACD. 35.(2023·江苏南通·统考模拟预测)如图,在三棱柱 中, 是边长为2的正三角形, , ,P,Q分别为棱 ,BC的中点,则( )A. 平面 B.平面 平面 C.三棱柱 的侧面积为 D.三棱锥 的体积为 【答案】BD 【分析】记AC中点为D,连接 ,记 交点为E,连接EQ,判断 是否平行即可判断 A;证明 平面 可判断B;直接求出侧面积可判断C;通过转化 ,然后可求得三棱锥 的体积,可判断D. 【详解】记AC中点为D,连接 ,记 交点为E,连接EQ, 则 , 四点共面, 因为P,D分别为 的中点,所以E为 的重心,即E为PC的三等分点, 又Q为BC中点,所以 不平行, 因为 平面PBC,平面 平面 , 所以由线面平行性质定理可知 与平面 不平行,A错误; 连接 ,因为 所以因为Q为BC中点,所以 , 又 平面 ,所以 平面 , 又 平面 ,所以平面 平面 ,B正确; 因为 平面 , 平面 ,所以 , 又 ,所以 ,所以四边形 为矩形,面积为 , 又因为 , 所以三棱柱 的侧面积为 ,C错误; 记 的中点为H,连接 , 因为 , 平面 , 平面 , 所以 平面 ,所以点P,A到平面 的距离相等, 四点共面, 又 ,Q为BC中点, 所以 因为 平面 , 平面 ,所以BQ三棱锥 的高,且 因为 ,所以 所以 ,所以 所以 ,故D正确. 故选:BD 36.(2023·湖北襄阳·襄阳四中校考三模)下列命题中,正确的是( ) A.夹在两个平行平面间的平行线段相等 B.三个两两垂直的平面的交线也两两垂直 C.如果直线 平面 , ,那么过点 且平行于直线 的直线有无数条,且一定在 内 D.已知 , 为异面直线, 平面 , 平面 ,若直线 满足 , , , , 则 与 相交,且交线平行于 【答案】ABD 【分析】利用平面平行的性质,平面垂直,线面平行的相关性质逐项进行分析即可求解. 【详解】如图, ,且 ,求证: . 因为 ,所以过 可作平面 ,且平面 与平面 和 分别相交于 和 . 因为 ,所以 ,因此四边形 是平行四边形,所以 ,故选项A正确; 如图所示,平面 , , , , , , 在平面 内作异于 的直线 ,因为 , ,所以 ,因为 ,所以 , , ,所以 ,则 , 又因为 , ,所以 ,则 , 同理可得: ,所以 ,故选项B正确; 若直线 平面 , ,在平面 内过点 且平行于直线 的直线有且只有一条,故选项C错误; 因为 , 为异面直线, 平面 , 平面 ,则 与 相交,但未必垂直,且交线垂直于直线 , , 又直线 满足 , ,则交线平行于 ,故选项D正确, 故选:ABD. 37.(2023·黑龙江哈尔滨·哈师大附中校考模拟预测)如图,矩形 中, 、 分别为 、 的中 点,且 ,现将 沿 问上翻折,使 点移到 点,则在翻折过程中,下列结论正确的是 ( ) A.存在点 ,使得 B.存在点 ,使得 C.三棱锥 的体积最大值为 D.当三棱锥 的体积达到最大值时,三棱锥 外接球表面积为 【答案】BCD 【分析】由立体几何的线线平行,线面垂直判定定理,外接球的表面积公式逐项判断即可. 【详解】对于A, , ,因此 不平行, 即不存在点 ,使得 .故A错误; 对于B,如图:取 的中点 ,连接 , , , ,当 时, 因为 ,即 .则 , 而 , , 平面 , 又 分别为 , 的中点, 即 ,于是 平面 ,而 平面 , 则 ,故B正确; 对于C,在翻折过程中,令 与平面 所成角为 , 则点 到平面 的距离 , 又 的面积为 , 因此三棱锥 的体积为: , 当且仅当 时,即 平面 时取等号, 所以三棱锥 的体积最大值为 ,故C正确; 对于D,当三棱锥 的体积达到最大值时, 三棱锥 外接球的球心为 , 故球的半径为1,则球的表面积为 .故D正确. 故选:BCD. 38.(2023·辽宁锦州·统考模拟预测)如图,正方体 的棱长为3,点 、 、 分别在棱 、 、 上,满足 , ,记平面 与平面 的交线为 ,则( ) A.存在 使得平面 截正方体所得截面图形为四边形 B.当 时,三棱锥 的外接球表面积为 C.当 时,三棱锥 体积为 D.当 时; 与平面 所成的角的正弦值为 【答案】CD 【分析】对于A,对 分情况讨论,图形展示即可; 对于B,当 时,三棱锥 的外接球心在过线段 的中点,且垂直于平面 的直线上, 可求出 ,得表面积; 对于C, 当 时, ,得出 平面 ,利用等体积可求体积; 对于D,求出 的方向向量与平面 法向量,利用向量公式可得答案. 【详解】设正方体的棱长为3 ,以 为原点,以 、 、 所在的直线分别为 轴, 轴, 轴,建 立空间直角坐标系,如图所示: 对于A选项, 时, 在 点, ,由 可知 ,所以截面 即为四边形 ;由图形知,截面 为五边形或六边形.故A错误. 对于B选项,当 时, 且 平面 , 所以根据球的性质容易判断,三棱锥 的外接球的球心在过线段 的中点, 且垂直于平面 的直线上, , ,所以 的中点 , 可记球心 , ,外接球的半径 ,解得 , , 所以三棱锥 的外接球表表面积为 ,故B错误. 对于C选项,当 时, ,所以 , 所以 平面 , , 又 平面 ,所以 , 三棱锥 体积为 ,故C正确.对于D选项,当 时, , , , , , 所以 , , , 设平面 的一个法向量为 ,则 ,令 , 则 , ,所以可取 , 由 平面 知,平面 的法向量为 , 记平面 与平面 的交线 的一个方向向量为 , 则 , 令 ,则 , ,所以可取 , 又平面 的法向量为 ,则 , , , 设 与平面 所成的角为 ,则 ,故D正确. 故选: CD. 39.(2023·湖北荆门·荆门市龙泉中学校考模拟预测)已知 , 是两个不同的平面,则下列命题正确的 是( )A.若 , 且 ,则 B.若A,B,C是平面 内不共线三点, , ,则 C.若 且 ,则直线 D.若直线 ,直线 ,则a与b为异面直线 【答案】ABC 【分析】根据基本事实3(公理2)可判断A;根据基本事实1(公理3)可判断B;根据基本事实2(公理 1)可判断C;根据异面直线的定义可判断D. 【详解】对于A,由根据 且 ,则 是平面 和平面 的公共点, 又 ,由基本事实3(公理2)可得 ,故A正确; 对于B,由基本事实1(公理3):过不在一条直线上的三个点,有且只有一个平面, 又 ,且 ,则 ,故B正确; 对于C,由基本事实2(公理1):如果一条直线上的两个点在一个平面内,那么这条直线在这个平面内, 故C正确; 对于D,由于平面 和平面 位置不确定,则直线 与直线 位置亦不确定,可能异面、相交、平行、重 合,故D错误. 故选:ABC. 40.(2023·江苏无锡·江苏省天一中学校考模拟预测)已知平面 的一个法向量为 ,平面 的一个法向量为 ,直线 的方向向量为 ,直线 的方向向量为 ,则 ( ) A. B. C. 与 为相交直线或异面直线D. 在 向量上的投影向量为 【答案】BC 【分析】根据空间向量之间的关系逐项判断线线、线面、面面关系即可. 【详解】因为平面 的一个法向量为 ,直线 的方向向量为 ,则 , 即 ,则 或 ,故A不正确; 又平面 的一个法向量为 ,所以 ,即 ,所以 ,故B正确; 由直线 的方向向量为 ,所以不存在实数 使得 ,故 与 为相交直线或异面直线,故 C正确; 在 向量上的投影向量为 ,故D不正确. 故选:BC. 第三部分 能力提升模拟题 41.(2023·湖北武汉·华中师大一附中校考模拟预测)正四棱柱 ,底面边长为 ,侧棱 长为2,则下列结论正确的( ) A.点 到平面 的距离是 . B.四棱锥 内切球的表面积为 . C.平面 与平面 垂直. D.点 为线段 上的两点,且 ,点 为面 内的点,若 , 则点 的轨迹长为 . 【答案】AC【分析】利用等体积法判断A,利用等体积法求出内切球的半径,即可判断B,找到二面角的平面角,利 用勾股定理逆定理即可判断C,建立空间直角坐标系,设点 ,即可求出动点 的轨迹方程,即可 判断D. 【详解】对于A:设点 到平面 的距离为 , , , , , 又 ,所以 ,解得 ,故A正确; 对于B: , , , , 设内切球的半径为 ,则 ,解得 ,故B错误; 对于C:设底面 中心为 ,连接 交 于 ,则 为线段 中点,则 , ,所以 为面 与面 所成角的平面角, 在 中, , ,∴ , 所以平面 与平面 垂直,故C正确; 对于D,设底面 中心为 ,底面 中心为 ,分别以直线 分别为 轴建立空 间直角坐标系, 设点 ,又 , 由 得, ,整理得 , 所以 点轨迹为圆 在面 内的部分(如下图 ), 因为 , , ,显然 ,所以 , 即 ,所以 的弧长不为 ,即点 的轨迹长不为 ,故D错误. 故选:AC 【点睛】关键点睛:涉及点到面的距离一般利用等体积法或空间向量法,D选项关键是建立空间直角坐标 系,定量计算出动点 的轨迹. 42.(2023·江苏扬州·统考模拟预测)圆柱 高为1,下底面圆 的直径 长为2, 是圆柱 的一 条母线,点 分别在上、下底面内(包含边界),下列说法正确的有( ). A.若 ,则 点的轨迹为圆 B.若直线 与直线 成 ,则 的轨迹是抛物线的一部分 C.存在唯一的一组点 ,使得 D. 的取值范围是 【答案】BC 【分析】建立空间直角坐标系,利用两点间距离公式以及向量夹角公式列式计算可得点 的轨迹方程判断 选项A和选项B,假设 ,根据勾股定理列式结合均值不等式计算最值,即可判断选项C,计算 的最大值 判断选项D. 【详解】对B,如图,不妨以 为原点,以 的垂直平分线,分别为 轴建立空间直角坐标系,则 , ,设 ,则 , 由题意, ,化简得, , 由于 点在上底面内,所以 的轨迹是抛物线的一部分,故B正确; 对A, ,化简得 ,即 点的轨迹为椭圆,故A 错误; 对C,设点 在下平面的投影为 ,若 , 则 ,则 , 当 在线段 上时, 可取最小值, 由均值不等式, , 当且仅当 时等号成立, 所以 ,即 , 而点 只有在与点 重合时, 才能取到 , 此时点 与点 重合,点 与点 重合,故C正确; 对D,当点 与点 ,点 与点 重合,的值为 ,故D错误. 故选:BC 【点睛】判断本题选项B时,利用定义法计算线线所成的角不好计算时,可通过建立空间直角坐标系,利 用向量夹角的计算公式列式计算. 43.(2023·重庆巴南·统考一模)如图,平行六面体 中, , , 与 交于点O,则下列说法正确的有( ) A.平面 平面 B.若 ,则平行六面体的体积 C. D.若 ,则 【答案】ABD 【分析】对于A,由题意可得四边形 为菱形,则可得 ,再计算 ,可得 , 从而得 平面 ,再利用面面垂直的判定定理可得结论;对于B, 连接 ,可得 , 从而可证得 平面 ,进而可求出体积,对于C,利用空间向量的加法分析判断,对于C,设 ,则可得 ,然后利用向量的夹角公式计算判断.【详解】对于A,因为在平行四边形 中, ,所以四边形 为菱形,所以 , 因为 , , 所以 ,所以 , 因为 , 所以 , 所以 ,所以 , 因为 , 平面 ,所以 平面 , 因为 平面 ,所以平面 平面 ,所以A正确, 对于B,连接 ,因为 , ,所以 , 所以 为直角三角形,即 ,因为 ∥ ,所以 , 因为由选项A知 平面 , 平面 ,所以 , 因为 , 平面 ,所以 平面 , 所以平行六面体的体积 ,所以 B正确, 对于C,因为四边形 为平行四边形,所以 为 的中点, 所以 ,所以 ,所以C错误, 对于D,设 ,因为在菱形 中, ,所以 , 所以 ,所以D正确, 故选:ABD【点睛】关键点点睛:此题考查面面垂直的判断,考查平行六面体体积的求法,考查空间向量的运算,解 题的关键是正确利用平行六面体的性质结合题意分析求解,考查空间想能力和计算能力,属于较难题. 44.(2023·广东佛山·统考模拟预测)已知正方形 的边长为2, 是平面 外一点,设直线 与平面 所成角为 ,三棱锥 的体积为 ,则下列命题中正确的是( ) A.若平面 平面 ,则 B.若平面 平面 ,则 C.若 ,则 的最大值是 D.若 ,则 的最大值是 【答案】AC 【分析】根据面面垂直的性质得到 平面 ,即可得到 ,即可判断A,由于无法得知 与 是否垂直,故无法证明 与平面 是否垂直,即可判断B,根据椭圆的定义和旋转体的概念可 知当 时点 的轨迹是一个椭球,即可判断C、D. 【详解】对于AB:因为平面 平面 ,平面 平面 , , 平面 , 所以 平面 , 平面 ,所以 , 又 ,若 ,则 , 平面 ,所以 平面 , 由 平面 ,则可得 , 由于无法得知 与 是否垂直,故无法证明 与平面 是否垂直,故A正确,B错误; 对于CD:由题意知,点 为动点, 、 为定点, ,由椭圆的定义知,点 的轨迹是以 为焦距,长轴为 的椭圆, 将此椭圆绕 旋转一周,得到一个椭球,即点 的轨迹是一个椭球, 而椭球面为一个椭圆,由 , 即 ,得 , 当点 运动到椭球的上、下顶点时, 取到最大值, 此时 ; 设点 在平面ABCD上的射影为 ,则 , 又 ,且 , 所以当且仅当 时 最大,即 取到最大值 ,故C正确,D错误; 故选:AC 45.(2023·广东·校联考模拟预测)如图,在棱长为1的正方体 中, , 分别是 的中点, 为线段 上的动点,则下列结论正确的是( ) A.存在点 ,使得 与 异面B.不存在点 ,使得 C.直线 与平面 所成角的正切值的最小值为 D.过 三点的平面截正方体所得截面面积的最大值为 【答案】CD 【分析】对于A, 四点共面, , 平面 即可判断;对于B,利用线面垂直证明线 线垂直即可判断;对于C,利用直线与平面所成角的求法即可判断;对于D,先做出截面,再求其面积即 可. 【详解】对于A,连接 ,由正方体的性质知, , 所以 四点共面, , 平面 ,故A不正确; 对于B,设 中点为 ,连接 , 若 为 中点,则 平面ABCD,MN在面ABCD内,所以 , 在 中, , , 所以 ,故 , , 平面 , 所以 平面 , 平面 ,所以 ,故B不正确;对于C,过点 作 平面 ,连接 , 所以直线 与平面 所成角为 , 所以 , 当 在 时, ,所以 ,故C正确; 对于D,由正方体中心对称(类比为球体,MN看作弦),故过 的截面经过对称中心O所得截面最大, 此时截面交棱 于中点, 也为中点, 所以 为 的中点时,过 、 、 三点的平面截正方体所得截面最大, 取 的中点 , 的中点 , 的中点 ,连接 、 、 、 、 ,所以过 、 、 三点的平面截正方体所得截面最大值为正六边形, 面积为 ,故D正确. 故选:CD. 46.(2023·河北·校联考三模)在棱长为1的正方体 的侧面 内(包含边界)有一点 ,则下列说法正确的是( ) A.若点 到直线 与到直线 距离之比为 ,则点 的轨迹为双曲线的一部分 B.若点 到直线 与到直线 距离之比为 ,则点 的轨迹为抛物线的一部分 C.过点 三点作正方体 的截面,则截面图形是平行四边形 D.三棱锥 体积的最大值为 【答案】BCD 【分析】对A:如图,以 为坐标原点,建立空间直角坐标系,设点 ,由点 到直线 与到直 线 距离之比为 求得点 的轨迹;对B:根据抛物线的定义得点 的轨迹;对C:过点 作 分别交 于 ,则过点 三点的截面为平行四边形 ;对D:当点 在 上时,三 棱锥 体积最大. 【详解】如图,以 为坐标原点,以 分别为 建立空间直角坐标系,则 ,设侧面 内(包含边界)点 , 对于A:点 到直线 的距离为 , 由正方体知 面 ,又 面 ,所以 , 所以点 到直线 距离为 ,故 ,整理得 , 所以点 的轨迹为椭圆的一部分,故A错误; 对于B:点 到直线 与到直线 距离之比为 ,即 到直线 与到定点 的距离相等, 根据抛物线定义知点 的轨迹为抛物线的一部分,故B正确; 对于C:过点 作 分别交 于 ,连接 , 则 且 ,所以四边形 是平行四边形, 则平行四边形 为过点 三点的截面,故C正确; 对于D:当点 在 上时,点 到面 的距离最大为1,此时三棱锥 体积 ,故D正确; 故选:BCD 47.(2023·河北沧州·校考模拟预测)如图所示,该几何体由一个直三棱柱 和一个四棱锥 组成, ,则下列说法正确的是( ) A.若 ,则 B.若平面 与平面 的交线为 ,则AC//l C.三棱柱 的外接球的表面积为 D.当该几何体有外接球时,点 到平面 的最大距离为 【答案】BD 【分析】根据空间线面关系,结合题中空间几何体,逐项分析判断即可得解. 【详解】对于选项A,若 ,又因为 平面 , 但是 不一定在平面 上,所以A不正确; 对于选项B,因为 ,所以 平面 , 平面 平面 ,所以 ,所以B正确; 对于选项C,取 的中心 , 的中心 ,的中点为该三棱柱外接球的球心,所以外接球的半径 , 所以外接球的表面积为 ,所以C不正确; 对于选项D,该几何体的外接球即为三棱柱 的外接球, 的中点为该外接球的球心,该球心到平面 的距离为 , 点 到平面 的最大距离为 ,所以D正确. 故选:BD 48.(2023·江苏盐城·盐城中学校考三模)已知正方体 的棱长为1, 为棱 (包含端 点)上的动点,下列命题正确的是( ) A. B.二面角 的大小为 C.点 到平面 距离的取值范围是 D.若 平面 ,则直线 与平面 所成角的正弦值的取值范围为 【答案】ACD 【分析】根据几何体为正方体可建立如图所示的空间直角坐标系,求出 的坐标后利用数量积可判 断A的正误,求出平面 的法向量和平面 的法向量可利用数量积计算夹角的余弦值后可判断B的 正误,利用点到平面的距离的公式计算后可判断C的正误,最后利用直线 和平面 的法向量计算线面 角的正弦值后可判断D的正误.【详解】 由正方体可建立如图所示的空间直角坐标系, 则 , 设 ,其中 , 对于A: ,故 即 , 故A正确. 对于B: , , 设平面 的法向量为 , 则 ,即 ,取 ,则 , 故 . 设平面 的法向量为 , 则 ,即 ,取 ,则 , 故 . 故 ,而二面角 为锐二面角, 故其余弦值为 ,不为 ,故二面角 的平面角不是 ,故B错误.对于C: , , 设平面 的法向量为 , 则 ,即 ,取 ,则 , 故 . 而 , 故 到平面 的距离为 , 故C正确. 对于D:设直线 与平面 所成的角为 . 因为 平面 ,故 为平面 的法向量, 而 ,故 , 而 ,故D正确. 故选:ACD. 【点睛】思路点睛:空间中位置关系的判断、角的计算或范围的判断,可结合几何体的规则性建立合适空 间直角坐标系,通过向量的共线、向量的数量积等来判断位置关系,通过平面的法向量、直线的法向量等 来处理相关角的计算或范围问题. 49.(2024·安徽黄山·屯溪一中校考模拟预测)如图,在棱长为1的正方体 中, , 分 别为棱 , 的中点, 为线段 上一个动点,则( )A.存在点 ,使直线 平面 B.平面 截正方体所得截面的最大面积为 C.三棱锥 的体积为定值 D.存在点 ,使平面 平面 【答案】AC 【分析】对于A项,可以通过取 的中点H、I,连接HI交 于G点,判定即可; 对于B项,讨论截面的形状并计算各交线长来判定即可; 对于C项,通过等体积法转化即可判定; 对于D项,通过反证,利用面 与面 和面 的交线PG、DH是否能平行来判定. 【详解】对于A项,如图所示, 取 的中点H、I,连接HI交 于G点,此时 , 由正方体的性质知: 面 ,又 ,则 面 , 面 ,可得 ,在正方形 中,易知 , , 面 , 所以 平面 ,故A正确; 对于B项,若G点靠C远,如图一示,过G作 ,即截面为四边形EFQR, 显然该截面在G为侧面CB 的中心时取得最大,最大值为 , 1 若G靠C近时,如图二示,G作KJ EF,延长EF交 、DA延长线于M、H, 连接MK、HJ交 、AB于L、I,则截面为六边形EFIJKL, 若K,J为中点时六边形面积为 , ,即B错误; 对于C项,随着G移动但G到面 的距离始终不变即 , 故 是定值,即C正确;对于D项,如图所示,连接 ,H为侧面 的中心,则面 与面 和面 分别交 于线PG、DH, 若存在G点使平面 平面 ,则PG DH,又AD CB , 1 1 则四边形PGHD为平行四边形,即PD=GH,而PD> , 此时G应在 延长线上,故D错误; 故选:AC 50.(2023·浙江·校联考模拟预测)在三棱锥 中,对棱 所成角为 ,平面 和平面 的夹角为 ,直线 与平面 所成角为 ,点 为平面 和平面 外一定点,则下列结 论正确的是( ) A.过点 且与直线 所成角都是 的直线有2条 B.过点 且与平面 和平面 所成角都是 的直线有3条 C.过点 且与平面 和平面 所成角都是 的直线有3条 D.过点 与平面 所成角为 ,且与直线 成 的直线有2条 【答案】ABD 【分析】作直线 、 ,使得 , ,直线 、 上分别取点 、 , 的角平分线所在 直线 与直线 、 所成角为 或 ,在利用图形,可知A有 条;根据 , ,可知B有 条;根据 , 可知C有2条;做以 为顶点,且与圆锥中轴线夹角为 ,可知该直线条数,判断D即可. 【详解】对于A选项,因为对棱 所成角为 , 在空间中的点 作直线 、 ,使得 , , 设直线 、 确定平面 ,如下图所示: 因为对棱 所成角为 ,则直线 、 所成角为 或 , 在直线 、 上分别取点 、 ,使得 或 , 则在平面 内 的角平分线所在直线 与直线 、 所成角为 或 , 根据最小角定理,对于35度情况,过点 在平面 外能作两条直线 、 使得这两条直线与直线 、 所 成角均为 , 综上所述,过点 且与直线 所成角都是 的直线有2条,A正确; 对于B选项,因为平面 和平面 的夹角为 , 则过点 与平面 和平面 所成角都是 和 的直线各有一条 、 , 若过点 与平面 和平面 都是 ,则在 的两侧各有一条,加上直线m, 所以共 条,故B正确, 对于C选项,若过点 与平面 和平面 所成角都是 ,则仅在 的两侧各有一条,所以共 条, 故C不正确; 对于D选项,过点 作与平面 成 角的直线, 形成以 为顶点,与圆锥中轴线夹角为 ,且底面在 上的圆锥的母线,设平面 所在平面为 ,则所求直线与 的交点为 , 不妨假设 在 上,设直线 与 的交点为 , 且与AB平行, 设点 在底面的射影点为点 ,直线 交圆锥底面圆于 、 两点, 易知 ,又因为 ,则 为等边三角形, 所以, , 因为 ,则直线 与平面 所成角为 , 则 , 故 , 当点 位于点 时, 取得最小值 , 当点 位于点 时, 取得最大值 , 所以 ,故能作出两条满足条件的直线,故D正确. 故选:ABD. 【点睛】方法点睛:该题考查立体几何综合应用,属于难题,关于角度的方法有: (1)异面直线所成角:平移异面直线至有交点,则异面直线所成角即为平移后相交直线所成角; (2)线面角:过线上一点做面的垂线,连接垂足及线与面的交点形成线段,则线与该线段所成角即为线 面角; (3)面面角:过面面交线上一点在两个面中分别做交线的垂线,则两垂线的夹角即为面面角. 51.(2023·湖北襄阳·襄阳四中校考三模)如图, 是圆 的直径,点 是圆 上异于 , 的点,直线 平面 , , 分别是 , 的中点,记平面 与平面 的交线为 ,直线 与圆 的另一个交点为 ,且点 满足 .记直线 与平面 所成的角为 ,异面直线 与 所成的角 为 ,二面角 的大小为 ,则下列说法不一定正确的是( ) A. B. C. D. 【答案】BCD 【分析】通过空间直线、平面的位置关系作出相应角,结合解直角三角形得出对应三个角的正余弦值一一 判定即可. 【详解】 如图所示,连接EF、BE、BF,过B作BD∥AC,交圆于D点, ∵E、F分别为PA、PC的中点,∴EF∥AC∥BD,BD即面EFB与面ABC的交线l, 由题意易知:BC⊥BD,PC⊥BD, 面PBC,则BD⊥面PBC,而 面PBC,则 BD⊥BF,即二面角 的大小 , ∴ ;由Q满足 ,过D作DQ∥PC,使DQ=CF即可,则DQ⊥面ABC, 结合题意此时四边形CDQF为矩形,则直线 与平面 所成的角 , 即 ; 过Q作QG∥BD,且QG=BD,连接BG、FG、PG,显然EF∥QG,此时四边形BFPG为平行四边形, PG=FB, 则异面直线 与 所成的角 ,结合上面说明得QG⊥面PBC, 而 面PBC,则QG⊥PG,即 . ∴ ,即A正确; 及 ,即B、C错误; 即D错误; 故选:BCD 52.(2023·山东济宁·统考二模)已知正方体 的棱长为 为空间中任一点,则下列结论 中正确的是( ) A.若 为线段 上任一点,则 与 所成角的范围为 B.若 为正方形 的中心,则三棱锥 外接球的体积为 C.若 在正方形 内部,且 ,则点 轨迹的长度为 D.若三棱锥 的体积为 恒成立,点 轨迹的为椭圆的一部分 【答案】ACD【分析】对于A:根据异面直线夹角分析判断;对于B:根据题意分析可得 与 的交点 即为三棱锥 的外接球的球心,结合锥体的体积公式分析运算;对于C:分析可得 ,结合圆的周长分 析运算;对于D:根据题意结合圆锥的截面分析判断. 【详解】对于A:过点 作 // 交 于点 ,连接 . 则 即为 与 所成角的平面角,且 . 当点 由点A向点 移动的过程中,点 由点D向点 移动, 线段 逐渐变长, 逐渐变短, 所以 逐渐变大. 又当点 在点A处时, ;当点 在点 处时, .故A正确. 对于B:由题意可知: 平面 , 平面 , 则 , 又因为 , , 平面 , 所以 平面 , 平面 ,则 , 故 和 均为直角三角形.所以 与 的交点 即为三棱锥 的外接球的球心,半径 , 此外接球的体积 .故B不正确. 对于 :由题意可知: 平面 , 平面 , 则 , 点 在侧面 内,满足 , 故点 的轨迹是以点 为圆心,半径为 的四分之一圆弧, 所以点 的轨迹的长度为 ,C正确. 对于D:设三棱锥 的高为 , 由三棱锥 的体积为 ,解得 , 即点 到平面 的距离为 . 对于三棱锥 ,设高为 , 由体积可得 ,解得 , 即点 到平面 的距离为 , 可得:点 到平面 的距离为 ,平面 与平面 的距离为 , 故点 在平面 或为点 ,若 ,空间点 的轨迹为以 为轴的圆锥表侧面, 显然点 不满足题意, 设 与平面 所成的角为 ,则 , 故平面 与圆锥侧面相交,且平面 与 不垂直,故平面 与圆锥的截面为椭圆, 显然点 不合题意,所以点 的轨迹为椭圆的一部分,故D正确. 故选:ACD. 【点睛】方法定睛:在立体几何中,某些点、线、面按照一定的规则运动,构成各式各样的轨迹,探求空 间轨迹与探求平面轨迹类似,应注意几何条件,善于基本轨迹转化.对于较为复杂的轨迹,常常要分段考 虑,注意特定情况下的动点的位置,然后对任意情形加以分析判定,也可转化为平面问题.对每一道轨迹 命题必须特别注意轨迹的纯粹性与完备性. 53.(2023·安徽·合肥一中校联考模拟预测)在三棱锥P-ABC中, , , ,O为 的外心,则( ) A.当 时,PA⊥BC B.当AC=1时,平面PAB⊥平面ABC C.PA与平面ABC所成角的正弦值为 D.三棱锥A-PBC的高的最大值为 【答案】ABC 【分析】由条件得几何体的结构特征,分析位置关系及数量关系.【详解】对于A项,因为 ,且 ,所以 为等边三角形, 又 ,所以三棱锥P-ABC为正三棱锥, 正三棱锥的侧棱与底面相对的边互相垂直,所以PA⊥BC,A正确; 对于B项,因为O为 的外心,且 . 所以点P在平面ABC的射影为点O,所以PO⊥平面ABC. 又 , , ,所以 为直角三角形, . 所以点O为AB的中点,又 平面PAB,所以平面PAB⊥平面ABC,B正确; 对于C项,由B项可知PO⊥平面ABC, 又 平面ABC,所以PO⊥OA,所以∠PAO即为直线PA与平面ABC所成的角. 设 外接圆半径为r,则由正弦定理可得 , 所以 ,所以 ,故 ,C正确; 对于D项,在 中, , , 由余弦定理可得 ,故 , 所以 , 所以 , 在 中,由余弦定理可得, , 所以 ,当且仅当 时等号成立. 所以 . 设三棱锥A-PBC的高为h,因为 ,即 , 所以 . 故三棱锥A-PBC的高的最大值为 ,D错误. 故选:ABC 【点睛】三棱锥A-PBC的高不易直接求解,故通过等体积法间接求解,外接圆半径问题可以与正弦定理相 结合,三角形中最值问题可以与余弦定理及基本不等式知识相结合. 54.(2023·安徽黄山·统考二模)如图,圆柱 的底面半径和母线长均为 是底面直径,点 在圆 上且 ,点 在母线 ,点 是上底面的一个动点,则( ) A.存在唯一的点 ,使得 B.若 ,则点 的轨迹长为4 C.若 ,则四面体 的外接球的表面积为 D.若 ,则点 的轨迹长为 【答案】ACD 【分析】对选项A:作E关于D点的对称点为 ,利用对称性与三点共线距离最短求解;对选项BD:建 立空间直角坐标系,根据F满足的条件判断其轨迹,求其长度;对选项C:证明AE中点Q为四面体 的外接球的球心即可.【详解】 设E关于D点的对称点为 , 则 , 所以 当且仅当 三点共线时取等号, 故存在唯一的点 ,使得 ,故A正确; 由题意知 ,以O为坐标原点,以 为 正方向建立空间直角 坐标系, 则 设 , 则 , 对选项B: 当 时, , 所以点 的轨迹长为上底面圆 的一条弦MN, 到MN的距离为1, 所以 ,故点 的轨迹长为 ,所以B错误; 对选项D: 当 时, , 所以点 的轨迹是以 为圆心, 为半径的圆,其轨迹长为 ,故D正确; 对选项C:在 中, , 为直角三角形,其外心为 与 的交点 ,且 ,而 所以 ,所以Q为四面体 的外接球的球心,球半径为 ,所以球的表面积为 ,故C正确. 故选:ACD 【点睛】方法点睛:对立体几何中动点的轨迹问题采用几何法分析难度时可以用坐标法去研究,根据动点 的坐标满足的方程可以方便的判断出轨迹的形状,将几何问题转化为代数问题解决. 55.(2023·福建泉州·校联考模拟预测)如图圆柱内有一个内切球,这个球的直径恰好与圆柱的高相等, , 为圆柱上下底面的圆心,O为球心,EF为底面圆 的一条直径,若球的半径 ,则( ) A.球与圆柱的体积之比为 B.四面体CDEF的体积的取值范围为 C.平面DEF截得球的截面面积最小值为 D.若P为球面和圆柱侧面的交线上一点,则 的取值范围为 【答案】AD 【分析】根据给定的条件,利用球、圆柱的体积公式计算判断A;利用 建立函数关系判断 B;求出球心O到平面DEF距离的最大值判断C;令点P在圆柱下底面圆所在平面上的投影点为Q,设 ,利用勾股定理建立函数关系,求出值域作答.【详解】对于A,球的体积为 ,圆柱的体积 ,则球与圆柱的体积之比为 ,A正确; 对于B,设 为点 到平面 的距离, ,而平面 经过线段 的中点 , 四面体CDEF的体积 ,B错误; 对于C,过 作 于 ,如图,而 ,则 , 又 ,于是 ,设截面圆的半径为 ,球心 到平面 的距离为 ,则 , 又 ,则平面DEF截球的截面圆面积 ,C错误; 对于D,令经过点P的圆柱的母线与下底面圆的公共点为Q,连接 , 当 与 都不重合时,设 ,则 ,当 与 之一重合时,上式也成立, 因此 , , 则 , 令 ,则 ,而 ,即 ,因此 ,解得 ,所以 的取值范围为 ,D正确. 故选:AD 【点睛】思路点睛:与球有关的组合体问题,一种是内切,一种是外接.解题时要认真分析图形,明确切 点和接点的位置,确定有关元素间的数量关系,并作出合适的截面图. 56.(2023·全国·模拟预测)如图,半圆面 平面 ,四边形 是矩形,且 , , 分别是 ,线段 上的动点(不含端点),且 ,则下列说法正确的有( ) A.平面 平面 B.存在 使得 C. 的轨迹长度为 D.直线 与平面 所成角的最大值的正弦值为 【答案】AB 【分析】由面面垂直和线面垂直性质可得 ,结合 ,由线面垂直和面面垂直的判定可知 A正确;令 ,过 作 于点 ,若 ,则 平面 ,可 利用 表示出 ,利用勾股定理可构造方程求得 ,知B正确;取BC的中点E,取半圆弧的中 点F,以O为原点,分别以 为 轴建立空间直角坐标系,利用空间距离 ,求解N点 坐标活动范围,得出结果,从而知C错误;根据 ,结合C中结论可求得 ,知D 错误.【详解】对于A, 为直径, ; 半圆面 平面 ,半圆面 平面 , , 平面 , 半圆面 ,又 半圆面 , , 又 , 平面 , 平面 , 平面 , 平面 平面 ,A正确; 对于B,如图, 令 ,过 作 于点 ,连接 , 若 ,则 平面 ,则 ,此时 , , 由 得: , , , ,解得: , 存在 使得 ,B正确; 对于C,如下图,取BC的中点E,取半圆弧的中点F,以O为原点,分别以 为 轴建立如 图所示的空间直角坐标系.,设 ,则 ,设 , 则 , ,又 , 所以 ,则 . 因为 . 令 , , 则 , 所以 ,又 , 所以N点在AC上的轨迹为 ,故C错误. 对于D,设直线 与平面 所成角为 ,则 , 由C选项得: , ,D错误. 故选:AB. 【点睛】关键点点睛:本题考查立体几何中的动点问题的求解,解决存在点满足某条件、动点轨迹长度和线面角最值的关键是能够将问题转化为关于变量 的取值范围的讨论问题,借助临界值来 确定 的范围,进而确定所求解结果. 57.(2023·广东江门·统考一模)勒洛Franz Reuleaux(1829~1905),德国机械工程专家,机构运动学的 创始人.他所著的《理论运动学》对机械元件的运动过程进行了系统的分析,成为机械工程方面的名著.勒 洛四面体是一个非常神奇的“四面体”,它能在两个平行平面间自由转动,并且始终保持与两平面都接触, 因此它能像球一样来回滚动.勒洛四面体是以正四面体的四个顶点为球心,以正四面体的棱长为半径的四个 球的相交部分围成的几何体.如图所示,设正四面体 的棱长为2,则下列说法正确的是( ) A.勒洛四面体能够容纳的最大球的半径为 B.勒洛四面体被平面 截得的截面面积是 C.勒洛四面体表面上交线 的长度为 D.勒洛四面体表面上任意两点间的距离可能大于2 【答案】ABD 【分析】A选项:求出正四面体 的外接球半径,进而得到勒洛四面体的内切球半径,得到答案;B 选项,作出截面图形,求出截面面积;C选项,根据对称性得到交线 所在圆的圆心和半径,求出长度; D选项,作出正四面体对棱中点连线,在C选项的基础上求出长度. 【详解】A选项,先求解出正四面体 的外接球,如图所示: 取 的中点 ,连接 ,过点 作 于点 ,则 为等边 的中心, 外接球球心为 ,连接 ,则 为外接球半径,设 ,由正四面体的棱长为2,则 , , , , , 由勾股定理得: ,即 , 解得: , 此时我们再次完整的抽取部分勒洛四面体,如图所示: 图中取正四面体 中心为 ,连接 交平面 于点 ,交 于点 ,其中 与 共面, 其中 即为正四面体外接球半径 , 设勒洛四面体内切球半径为 ,则 ,故A正确; B选项,勒洛四面体截面面积的最大值为经过正四面体某三个顶点的截面,如图所示:面积为 ,B正确; C选项,由对称性可知:勒洛四面体表面上交线 所在圆的圆心为 的中点 , 故 ,又 , 由余弦定理得: , 故 ,且半径为 ,故交线 的长度等于 ,C错误; D选项,将正四面体对棱所在的弧中点连接,此时连线长度最大,如图所示: 连接 ,交 于中点 ,交 于中点 ,连接 ,则 , 则由C选项的分析知: , 所以 , 故勒洛四面体表面上两点间的距离可能大于2,D正确. 故选:ABD 【点睛】勒洛四面体考试中经常考查,下面是一些它的性质:①勒洛四面体上两点间的最大距离比四面体的棱长大,是对棱弧中点连线,最大长度为 , ②表面6个弧长之和不是6个圆心角为60°的扇形弧长之和,其圆心角为 ,半径为 . 58.(2023·广东揭阳·校考二模)如图,已知正方体 棱长为2,点M为 的中点,点P 为底面 上的动点,则( ) A.满足 平面 的点P的轨迹长度为 B.满足 的点P的轨迹长度为 C.存在点P满足 D.以点B为球心, 为半径的球面与面 的交线长为 【答案】AD 【分析】对选项A,利用面面平行的性质证明线面平面,进而求出轨迹长度; 对选项B,建立空间直角坐标系,利用向量垂直求出点P轨迹,进而求出轨迹长度; 对选项C,建立空间直角坐标系,利用距离公式求出点P轨迹满足的方程,再结合二次方程的判别式,进 而判断不存在这样的点P; 对选项D,利用等体积法求出球心点B到面 的距离,进而求出交线长度;【详解】 分别取 的中点为 ,连接 . 可得: , . 又有: . 可得:平面 平面 . 故满足 平面 的点P的轨迹长度为 ,故答案A正确; 建立如图所示的空间直角坐标系 可得: , , , , . 设 ,可得: , , , . 由 ,可得: . 分别取 的中点为 ,点 满足 方程,说明点 在平面 内的轨迹为一条 线段 ,则满足 的点P的轨迹长度为 ,故答案B错误. 要使 ,只需: . 可得: ( ). 化简可得: ( ).则: ,即当 时, .显然该方程无解, 故不存在这样的点 ,故答案C错误. 为正三角形,设点 到平面 的距离为 ,点 平面 的距离为 . 由等体积法,可得: . 可得: ,即 故以点B为球心, 为半径的球面与面 的交线长为: 故答案D正确. 故选:AD 【点睛】(1)与球有关的组合体问题,一种是内切,一种是外接.解题时要认真分析图形,明确切点和 接点的位置,确定有关元素间的数量关系,并作出合适的截面图; (2)用向量方法解决立体几何问题,树立“基底”意识,利用基向量进行线性运算,要理解空间向量概 念、性质、运算,注意和平面向量类比; 59.(2023·辽宁沈阳·东北育才学校校考模拟预测)如图1,在 中, , , ,DE是 的中位线,沿DE将 进行翻折,连接AB,AC得到四棱锥 (如图 2),点F为AB的中点,在翻折过程中下列结论正确的是( ) A.当点A与点C重合时,三角形ADE翻折旋转所得的几何体的表面积为 B.四棱锥 的体积的最大值为C.若三角形ACE为正三角形,则点F到平面ACD的距离为 D.若异面直线AC与BD所成角的余弦值为 ,则A、C两点间的距离为 【答案】ABD 【分析】A项,分析点A与点C重合时三角形ADE翻折旋转所得的几何体类型,即可得到几何体的表面积; B项,通过 表达出 的体积,即可求出四棱锥 的体积的最大值;C项,通过三角 形的等面积法即可求出点F到平面ACD的距离;D项,通过C项的三角形ACE为正三角形时,由余弦定 理得到异面直线AC与BD所成角的余弦值为 ,即可求出异面直线AC与BD所成角的余弦值为 时, A、C两点间的距离. 【详解】由题意, 在 中, , , ,DE是 的中位线, ∴ , , , ∴ , , 对于A项, 当点A与点C重合时,三角形ADE翻折旋转所得的几何体为以2为半径高为1的半个圆锥, ∴三角形ADE翻折旋转所得的几何体的表面积为: , 故A正确; 对于B项, 设 ,则 , 设点 到 的距离为 , 则 ,∴四棱锥 的体积为: , 在 中, , ∴ , ∴四棱锥 的体积的最大值为 ,故B正确; 对于C,D项, 当三角形ACE为正三角形时, , , 过点 作 ,连接 , 取 的中点 ,连接 , , 在 中, ,点F为AB的中点, 由几何知识得, , 在 中, , ∴ , 为 的中点, 在 中, 为 的中点,,点F为AB的中点, ∴ , , , 在 中, 在四边形 中,由几何知识得, , ,∴四边形 是矩形, , 设点F到平面ACD的距离为 , 在 中, ,即 ,解得: ,故C错误, 由几何知识得, , , ∴ ,此时 即为异面直线AC与BD所成的角, 由余弦定理, , 代入数据,解得: , ∴异面直线AC与BD所成角的余弦值为 ,则A、C两点间的距离为 , 故D正确; 故选:ABD. 【点睛】本题考查几何体的表面积,体积,空间点到平面的距离,异面直线所成的角,余弦定理等,具有 极强的综合性。 60.已知三棱柱 的体积为 ,底面 满足 , , ,若 在底面 上的投影 恰好在直线 上,则下列说法中,正确的有( ) A.恒有 B. 与底面 所成角的最大值为 C.恒有 D.三棱锥 外接球表面积的最小值为 【答案】BC【分析】利用三棱柱体积 可求得 ,知A错误;过 作 且 , 由线面角定义可知所求角为 ,根据 可知当 最小值, 最大,可确定当 时满足题意,知B正确;根据 , 可证得 平面 ,由线面垂直性质可证 得C正确;作 ,取 中点 ,设球心为 , , ,以 为坐标原点 建立空间直角坐标系,利用 可得 之间关系,进而确定 的最小值,结合球的面积公式可求得 外接球表面积,知D错误. 【详解】对于A, , , , , , , 解得: ,A错误; 对于B,过 作 且 ,连接 ,作直线 ,如下图所示, 四边形 为平行四边形, , , 平面 , ;即为 与底面 所成角, , 直线 在平面 内的投影为直线 , 在平面 内的投影为 , 点 到直线 的距离即为点 到直线 的距离,即为点 到直线 的距离, 又点 到直线 的距离即为直线 与 间的距离, 点 到直线 的距离为点 到直线 距离的 倍; 点 到直线 距离 , , 则当 时, 取得最小值 ,此时 取得最大值 , ,即 与底面 所成角的最大值为 ,B正确; 对于C,又 , 得: ; 平面 , 平面 , , 又 , 平面 , 平面 , 平面 , ,C正确; 对于D,作 ,垂足为 ,则 , , 取 中点 ,设三棱锥 的外接球球心为 ,连接 , 是以 为斜边的直角三角形, 为 的外心, 平面 , 以 为坐标原点, 正方向为 轴,作 轴 ,可建立如图所示空间直角坐标系,则 , , , 设 , ,则 , , , ; 当 时, , ,整理可得: ; , , 外接球半径 ,此时外接球表面积 ; 当 时, , ,整理可得: ; 则当 时, , 外接球半径 ,此时外接球表面积 ; 综上所述:三棱锥 外接球表面积的最小值为 ,D错误. 故选:BC. 【点睛】关键点点睛:本题考查立体几何中的线线垂直关系、线面角以及外接球问题的求解;本题求解外 接球表面积的关键是能够将外接球半径表示为关于某一变量的函数的形式,进而根据函数最小值的求法求得外接球半径的最小值.