当前位置:首页>文档>热点专题3-2切线问题综合11类题型(解析版)-2025年高考数学热点题型追踪与重难点专题突破(新高考专用)_02高考数学_2025年新高考资料_二轮复习

热点专题3-2切线问题综合11类题型(解析版)-2025年高考数学热点题型追踪与重难点专题突破(新高考专用)_02高考数学_2025年新高考资料_二轮复习

  • 2026-04-16 04:58:21 2026-04-16 04:37:32

文档预览

热点专题3-2切线问题综合11类题型(解析版)-2025年高考数学热点题型追踪与重难点专题突破(新高考专用)_02高考数学_2025年新高考资料_二轮复习
热点专题3-2切线问题综合11类题型(解析版)-2025年高考数学热点题型追踪与重难点专题突破(新高考专用)_02高考数学_2025年新高考资料_二轮复习
热点专题3-2切线问题综合11类题型(解析版)-2025年高考数学热点题型追踪与重难点专题突破(新高考专用)_02高考数学_2025年新高考资料_二轮复习
热点专题3-2切线问题综合11类题型(解析版)-2025年高考数学热点题型追踪与重难点专题突破(新高考专用)_02高考数学_2025年新高考资料_二轮复习
热点专题3-2切线问题综合11类题型(解析版)-2025年高考数学热点题型追踪与重难点专题突破(新高考专用)_02高考数学_2025年新高考资料_二轮复习
热点专题3-2切线问题综合11类题型(解析版)-2025年高考数学热点题型追踪与重难点专题突破(新高考专用)_02高考数学_2025年新高考资料_二轮复习
热点专题3-2切线问题综合11类题型(解析版)-2025年高考数学热点题型追踪与重难点专题突破(新高考专用)_02高考数学_2025年新高考资料_二轮复习
热点专题3-2切线问题综合11类题型(解析版)-2025年高考数学热点题型追踪与重难点专题突破(新高考专用)_02高考数学_2025年新高考资料_二轮复习
热点专题3-2切线问题综合11类题型(解析版)-2025年高考数学热点题型追踪与重难点专题突破(新高考专用)_02高考数学_2025年新高考资料_二轮复习
热点专题3-2切线问题综合11类题型(解析版)-2025年高考数学热点题型追踪与重难点专题突破(新高考专用)_02高考数学_2025年新高考资料_二轮复习
热点专题3-2切线问题综合11类题型(解析版)-2025年高考数学热点题型追踪与重难点专题突破(新高考专用)_02高考数学_2025年新高考资料_二轮复习
热点专题3-2切线问题综合11类题型(解析版)-2025年高考数学热点题型追踪与重难点专题突破(新高考专用)_02高考数学_2025年新高考资料_二轮复习
热点专题3-2切线问题综合11类题型(解析版)-2025年高考数学热点题型追踪与重难点专题突破(新高考专用)_02高考数学_2025年新高考资料_二轮复习
热点专题3-2切线问题综合11类题型(解析版)-2025年高考数学热点题型追踪与重难点专题突破(新高考专用)_02高考数学_2025年新高考资料_二轮复习
热点专题3-2切线问题综合11类题型(解析版)-2025年高考数学热点题型追踪与重难点专题突破(新高考专用)_02高考数学_2025年新高考资料_二轮复习
热点专题3-2切线问题综合11类题型(解析版)-2025年高考数学热点题型追踪与重难点专题突破(新高考专用)_02高考数学_2025年新高考资料_二轮复习
热点专题3-2切线问题综合11类题型(解析版)-2025年高考数学热点题型追踪与重难点专题突破(新高考专用)_02高考数学_2025年新高考资料_二轮复习
热点专题3-2切线问题综合11类题型(解析版)-2025年高考数学热点题型追踪与重难点专题突破(新高考专用)_02高考数学_2025年新高考资料_二轮复习
热点专题3-2切线问题综合11类题型(解析版)-2025年高考数学热点题型追踪与重难点专题突破(新高考专用)_02高考数学_2025年新高考资料_二轮复习
热点专题3-2切线问题综合11类题型(解析版)-2025年高考数学热点题型追踪与重难点专题突破(新高考专用)_02高考数学_2025年新高考资料_二轮复习
热点专题3-2切线问题综合11类题型(解析版)-2025年高考数学热点题型追踪与重难点专题突破(新高考专用)_02高考数学_2025年新高考资料_二轮复习
热点专题3-2切线问题综合11类题型(解析版)-2025年高考数学热点题型追踪与重难点专题突破(新高考专用)_02高考数学_2025年新高考资料_二轮复习
热点专题3-2切线问题综合11类题型(解析版)-2025年高考数学热点题型追踪与重难点专题突破(新高考专用)_02高考数学_2025年新高考资料_二轮复习
热点专题3-2切线问题综合11类题型(解析版)-2025年高考数学热点题型追踪与重难点专题突破(新高考专用)_02高考数学_2025年新高考资料_二轮复习
热点专题3-2切线问题综合11类题型(解析版)-2025年高考数学热点题型追踪与重难点专题突破(新高考专用)_02高考数学_2025年新高考资料_二轮复习
热点专题3-2切线问题综合11类题型(解析版)-2025年高考数学热点题型追踪与重难点专题突破(新高考专用)_02高考数学_2025年新高考资料_二轮复习
热点专题3-2切线问题综合11类题型(解析版)-2025年高考数学热点题型追踪与重难点专题突破(新高考专用)_02高考数学_2025年新高考资料_二轮复习
热点专题3-2切线问题综合11类题型(解析版)-2025年高考数学热点题型追踪与重难点专题突破(新高考专用)_02高考数学_2025年新高考资料_二轮复习
热点专题3-2切线问题综合11类题型(解析版)-2025年高考数学热点题型追踪与重难点专题突破(新高考专用)_02高考数学_2025年新高考资料_二轮复习
热点专题3-2切线问题综合11类题型(解析版)-2025年高考数学热点题型追踪与重难点专题突破(新高考专用)_02高考数学_2025年新高考资料_二轮复习
热点专题3-2切线问题综合11类题型(解析版)-2025年高考数学热点题型追踪与重难点专题突破(新高考专用)_02高考数学_2025年新高考资料_二轮复习
热点专题3-2切线问题综合11类题型(解析版)-2025年高考数学热点题型追踪与重难点专题突破(新高考专用)_02高考数学_2025年新高考资料_二轮复习
热点专题3-2切线问题综合11类题型(解析版)-2025年高考数学热点题型追踪与重难点专题突破(新高考专用)_02高考数学_2025年新高考资料_二轮复习
热点专题3-2切线问题综合11类题型(解析版)-2025年高考数学热点题型追踪与重难点专题突破(新高考专用)_02高考数学_2025年新高考资料_二轮复习
热点专题3-2切线问题综合11类题型(解析版)-2025年高考数学热点题型追踪与重难点专题突破(新高考专用)_02高考数学_2025年新高考资料_二轮复习
热点专题3-2切线问题综合11类题型(解析版)-2025年高考数学热点题型追踪与重难点专题突破(新高考专用)_02高考数学_2025年新高考资料_二轮复习
热点专题3-2切线问题综合11类题型(解析版)-2025年高考数学热点题型追踪与重难点专题突破(新高考专用)_02高考数学_2025年新高考资料_二轮复习
热点专题3-2切线问题综合11类题型(解析版)-2025年高考数学热点题型追踪与重难点专题突破(新高考专用)_02高考数学_2025年新高考资料_二轮复习
热点专题3-2切线问题综合11类题型(解析版)-2025年高考数学热点题型追踪与重难点专题突破(新高考专用)_02高考数学_2025年新高考资料_二轮复习
热点专题3-2切线问题综合11类题型(解析版)-2025年高考数学热点题型追踪与重难点专题突破(新高考专用)_02高考数学_2025年新高考资料_二轮复习
热点专题3-2切线问题综合11类题型(解析版)-2025年高考数学热点题型追踪与重难点专题突破(新高考专用)_02高考数学_2025年新高考资料_二轮复习
热点专题3-2切线问题综合11类题型(解析版)-2025年高考数学热点题型追踪与重难点专题突破(新高考专用)_02高考数学_2025年新高考资料_二轮复习
热点专题3-2切线问题综合11类题型(解析版)-2025年高考数学热点题型追踪与重难点专题突破(新高考专用)_02高考数学_2025年新高考资料_二轮复习
热点专题3-2切线问题综合11类题型(解析版)-2025年高考数学热点题型追踪与重难点专题突破(新高考专用)_02高考数学_2025年新高考资料_二轮复习
热点专题3-2切线问题综合11类题型(解析版)-2025年高考数学热点题型追踪与重难点专题突破(新高考专用)_02高考数学_2025年新高考资料_二轮复习
热点专题3-2切线问题综合11类题型(解析版)-2025年高考数学热点题型追踪与重难点专题突破(新高考专用)_02高考数学_2025年新高考资料_二轮复习

文档信息

文档格式
docx
文档大小
2.759 MB
文档页数
42 页
上传时间
2026-04-16 04:37:32

文档内容

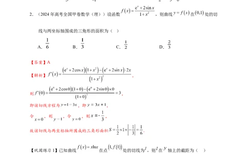
热点专题 3-2 切线问题综合 近5年考情(2020-2024) 考题统计 考点分析 考点要求 2024年甲卷第6题,5分 2024年新高考I卷第13题,5 分 (1)求在某处的切线 (2)设切点求过某点的 2023年甲卷第8题,5分 考察导数的几何意义,切线的 切线以及公切线 相关计算求值求参 2022年I卷第15题,5分 (3)利用切线的条数求 参数范围 2021年甲卷第13题,5分 2021年I卷第7题,5分 模块一 热点题型解读(目录) 总览 【题型1】求在曲线上一点的切线 【题型2】求过某点的切线 【题型3】已知切线斜率求参数 【题型4】通过切线求曲线上的点到直线距离最小值 【题型5】奇偶函数的切线斜率问题 【题型6】切线斜率取值范围问题 【题型7】公切线问题 【题型8】由切线条数求参数范围 【题型9】两条切线平行、垂直、重合问题 【题型10】与切线有关的参数范围或最值问题 【题型11】牛顿迭代法 模块二 核心题型·举一反三 【题型1】求在曲线上一点的切线 函数 在点 处的切线方程为 ,抓住关键1.(2024年高考全国甲卷数学(文))曲线 在 处的切线与坐标轴围成的面 积为( ) A. B. C. D. 【答案】A 【解析】 ,所以 ,故切线方程为 , 故切线的横截距为 ,纵截距为 ,故切线与坐标轴围成的面积为 2.(2024年高考全国甲卷数学(理))设函数 ,则曲线 在 处的切 线与两坐标轴围成的三角形的面积为( ) A. B. C. D. 【答案】A 【解析】 , 则 , 即该切线方程为 ,即 , 令 ,则 ,令 ,则 , 故该切线与两坐标轴所围成的三角形面积 . 【巩固练习1】已知曲线 在点 处的切线为 ,则 在 轴上的截距为( ) A. B. C.1 D.2 【答案】B 【解析】由 得 ,所以直线 的斜率 , 又 ,所以直线 的方程为 ,令 ,得 ,即 在 轴上的截距为 . 【巩固练习2】(23-24高三·福建宁德·期末)已知函数 在点 处的切线方程为 ,则 ( ) A. B. C. D. 【答案】C 【分析】由切线的几何意义得 ,将 代入切线方程得 ,从而得解. 【详解】由切线方程 ,得 , 将 代入切线方程 ,得 ,所以 , 则 . 【题型2】求过某点的切线 【方法技巧】 设切点为 ,则斜率 ,过切点的切线方程为: , 又因为切线方程过点 ,所以 然后解出 的值. 3.(2024·全国·模拟预测)过坐标原点作曲线 的切线,则切线共有( ) A.1条 B.2条 C.3条 D.4条 【答案】A 【分析】利用导数求出斜率,结合斜率公式列方程求出切点坐标即可得解. 【详解】设切点为 , 由 可得 , 则过坐标原点的切线的斜率 , 故 ,即 , 解得 ,故过坐标原点的切线共有1条. 4.(2022年新高考全国I卷T15)曲线 过坐标原点的两条切线的方程为 , . 【答案】 【分析】分 和 两种情况,当 时设切点为 ,求出函数的导函数,即可求出切 线的斜率,从而表示出切线方程,再根据切线过坐标原点求出 ,即可求出切线方程,当 时 同理可得; 【详解】[方法一]:化为分段函数,分段求 分 和 两种情况,当 时设切点为 ,求出函数 导函数,即可求出切线的斜率, 从而表示出切线方程,再根据切线过坐标原点求出 ,即可求出切线方程,当 时同理可得;解: 因为 , 当 时 , 设 切 点 为 , 由 , 所 以 , 所 以 切 线 方 程 为 , 又切线过坐标原点,所以 ,解得 ,所以切线方程为 ,即 ; 当 时 ,设切点为 ,由 ,所以 ,所以切线方程为 , 又切线过坐标原点,所以 ,解得 ,所以切线方程为 ,即 ;故答案为: ; [方法二]:根据函数的对称性,数形结合 当 时 , 设 切 点 为 , 由 , 所 以 , 所 以 切 线 方 程 为 , 又切线过坐标原点,所以 ,解得 ,所以切线方程为 ,即 ; 因为 是偶函数,图象为: 所以当 时的切线,只需找到 关于y轴的对称直线 即可. 【巩固练习1】已知直线 是曲线 的切线,则切点坐标为( )A. B. C. D. 【答案】A 【分析】设切点坐标为 ,利用导数的几何意义求出切线方程,对比系数即可求出切点坐标. 【详解】设切点坐标为 ,因为 ,所以在点 处切线的斜率为 , 所以曲线 在点 处的切线方程为 , 即 ,所以 ,解得 , 所以切点为 . 【巩固练习2】(2024·山西吕梁·二模)若曲线 在点 处的切线过原点 , 则 . 【答案】 【分析】求导,根据点斜式求解直线方程,即可代入 求解. 【详解】因为 ,所以 , 所以 在点 处的切线方程为 . 又切线过原点 ,则 ,所以 . 【巩固练习3】(2019·江苏卷)在平面直角坐标系 中,点A在曲线y=lnx上,且该曲线在点A处的 切线经过点(-e,-1)(e为自然对数的底数),则点A的坐标是 . 【答案】 . 【分析】设出切点坐标,得到切线方程,然后求解方程得到横坐标的值可得切点坐标. 【详解】设点 ,则 .又 , 当 时, , 点A在曲线 上的切线为 , 即 , 代入点 ,得 ,即 , 考查函数 ,当 时, ,当 时, , 且 ,当 时, 单调递增, 注意到 ,故 存在唯一的实数根 ,此时 , 故点 的坐标为 . 【巩固练习4】(23-24高三·广东·期中)过点 作曲线 的两条切线 , .设 , 的夹角为 ,则 ( ) A. B. C. D. 【答案】C 【分析】求出两条切线的斜率,由两直线的夹角公式求得夹角的正切值. 【详解】两条切线 , 的倾斜角分别为 , , 根据题意, , 若点 是切点时,切线斜率为 , 若点 是切点(点 不重合),则 , 由 ,解得 ( 舍去), 所以直线 斜率为 , 则 . 【题型3】已知切线斜率求参数 已知切线或切点求参数问题,核心是根据曲线、切线、切点的三个关系列出参数的方程:①切点 处的导数是切线的斜率;②切点在曲线上;③切点在切线上. 5.(2024·湖北武汉·模拟预测)已知曲线 在点 处的切线的倾斜角为 ,则 的值为 . 【答案】【分析】对原函数进行求导, 代入得出切线斜率.曲线 在 处的切线倾斜角为 可得出 斜率.构造关于 的方程,解方程即可. 【详解】曲线 的导数 , ∵曲线 在 处的切线的倾斜角为 , ∴ ,∴ ,∴ 6.(2024·贵州六盘水·三模)已知曲线 的一条切线方程为 ,则实数 ( ) A. B. C.1 D.2 【答案】D 【分析】根据切线的斜率的几何意义可知 ,求出切点,代入切线即可求出 . 【详解】设切点为 因为切线 , 所以 , 解得 (舍去) 代入曲线 得 , 所以切点为 代入切线方程可得 ,解得 . 7.(2024·全国·高考真题)若曲线 在点 处的切线也是曲线 的切线,则 . 【答案】 【分析】先求出曲线 在 的切线方程,再设曲线 的切点为 ,求出 ,利用公切线斜率相等求出 ,表示出切线方程,结合两切线方程相同 即可求解. 【详解】由 得 , , 故曲线 在 处的切线方程为 ; 由 得 , 设切线与曲线 相切的切点为 ,由两曲线有公切线得 ,解得 ,则切点为 , 切线方程为 , 根据两切线重合,所以 ,解得 . 【巩固练习1】(23-24高三·山西晋城·期末)过原点O作曲线 的切线,其斜率为2, 则实数 ( ) A.e B.2 C. D. 【答案】D 【分析】设出切点,求导,得切点处的切线方程,即可代入原点 求解. 【详解】设切点 ,则 , 故切点处的切线方程为 ,故 , 将 代入得 ,故 ,解得 或 , 若 ,则 ,此时无解,故 不符合题意, 若 ,则 ,故 ,此时满足题意 【巩固练习2】(2024·四川·模拟预测)已知 ,直线 与曲线 相切,则 . 【答案】2 【解析】设切点坐标为 ,对函数 求导得 , 则切线斜率 ,得 , 所以 ,且 , 则 ,即 . 【巩固练习3】(23-24高三·安徽合肥·期末)若函数 与 在 处有相同 的切线,则 ( ) A. B.0 C.1 D.2 【答案】D 【分析】对 , 求导,根据题意得到 ,再解方程组即可得到答案.【详解】因为 , ,则 , , 可得 , , , , 因为 , 在 处有相同的切线,即切点为 ,切线斜率 , 所以 ,解得 ,所以 . 【巩固练习4】(2024·河北沧州·模拟预测)已知直线 是曲线 和 的 公切线,则实数a= . 【答案】3 【分析】先设在 上的切点,然后求出切点和切线,然后再设在 上的切点,即可求 出a的值. 【详解】设直线l与曲线 相切于点 , 由 ,得 ,因为l与曲线 相切, 所以 消去 ,得 ,解得 . 设l与曲线 相切于点 ,由 ,得 ,即 , 因为 是l与曲线 的公共点, 所以 消去 ,得 ,即 ,解得 . 【题型4】通过切线求曲线上的点到直线距离最小值 利用导数的几何意义求最值问题,利用数形结合的思想方法解决,常用方法平移切线法. 8.(23-24高三·安徽·阶段练习)已知 是函数 图象上的任意一点,则点 到直线 的距离的最小值是( ) A. B.5 C.6 D. 【答案】D 【分析】结合导数的几何意义转化为点到直线距离求解即可. 【详解】设直线 与直线 平行,且与函数 的图象相切, 设切点为 ,因为 是单调递增函数,直线 的斜率为1,所以 ,解得 , 即切点为 , 所以点 到直线 的距离的最小值是点 到直线 的距离, 即为 . 9.(23-24高三·广东惠州·阶段练习)已知点 在函数 的图象上,则 到直线 的距离的最小值为 . 【答案】 【分析】求导,设 的坐标,根据平行关系得到切线斜率,进而得到 ,利用点到直线距离 公式求出答案. 【详解】由 ,可得 , 又点 在曲线 上,设 , 则过点 和 平行的切线的斜率为3, 令 ,则 , ,点 与直线 的最小距离为 . 【巩固练习1】(23-24高三·河南南阳·阶段练习)点P是曲线 上一个动点,则点P到直 线 的距离的最小值是( ) A. B. C. D. 【答案】A 【分析】根据题意分析可知 ,则点P到直线 的距离的最小值即为点 到 直线 的距离,运算求解即可. 【详解】因为 的定义域为 ,且 , 令 ,解得 , 则 ,可得点 , 且点 到直线 的距离 , 所以点P到直线 的距离的最小值是 .【巩固练习2】(23-24高三·河北石家庄·阶段练习)曲线 上的点到直线 的最短距离是( ) A. B. C. D.1 【答案】B 【分析】令 求得 ,由导数的几何意义知 在点 的切线斜率为3,然后 利用点到线距离公式求出最小距离. 【详解】直线 的斜率为 , 所以 ,令 得, , 将 代入 可得 ,则 在点 的切线斜率为 , 所以切点 到直线 的距离为: . 【巩固练习3】(23-24高三·河南·阶段练习)最优化原理是要求在目前存在的多种可能的方案中, 选出最合理的,达到事先规定的最优目标的方案,这类问题称之为最优化问题.为了解决实际生活 中的最优化问题,我们常常需要在数学模型中求最大值或者最小值.下面是一个有关曲线与直线上 点的距离的最值问题,请你利用所学知识来解答:若点 是曲线 上任意一点,则 到 直线 的距离的最小值为 . 【答案】 【分析】将函数 求导,然后令导数为 ,即可求得点 的坐标,再由点到直线的距离 公式代入计算,即可得到结果. 【详解】对函数 求导可得 , 其中直线 的斜率为2, 则令 ,即 ,解得 或 (舍), 当 时, , 则曲线上一点 到直线 的距离最小, 由点到直线的距离公式可得最小值为 .【巩固练习4】(2024·山西朔州·模拟预测)已知A,B分别为曲线 和直线 上的 点,则 的最小值为 . 【答案】 / 【分析】利用数形结合思想可知切点到直线的距离是最小值,从而利用导数来求出切点,再用点到 直线的距离公式求出最小值即可. 【详解】 由题意 的最小值为曲线上点A到直线 距离的最小值, 而点A就是曲线与直线 相切的切点,因为曲线上其它点到直线 的距离都大于 , 对 求导有 ,由 可得 ,即 , 故 .【题型5】奇偶函数的切线斜率问题 奇函数的导数是偶函数,偶函数的导数是奇函数. 10.已知 为奇函数,且当 时, ,其中 为自然对数的底数,则曲线 在 点 处的切线方程为 . 【答案】 【解析】由题设,当 时, ,故 时, , 所以 ,而 , 故切线方程为 ,即 . 故答案为: 11.(2024·福建福州·模拟预测)已知函数 是偶函数,当 时, ,则曲线 在 处的切线方程为( ) A. B. C. D. 【答案】A 【分析】利用偶函数的性质求出当 时函数 的解析式,然后求导,利用导数的几何意义进 行求解即可. 【详解】当 时, ,函数 是偶函数, 当 时, , , 当 时, , ,即曲线 在 处切线的斜率为-5. 而 ,所以曲线 在 处的切线方程为: . 所求即为 . 12.(2024·湖北·一模)已知函数 为偶函数,其图像在点 处的切线方程为 ,记 的导函数为 ,则 ( )A. B. C. D.2 【答案】A 【分析】先推导出偶函数的导数为奇函数,再根据条件得到 ,再利用奇函数的的性质求 . 【详解】因为 为偶函数,所以 ,两边求导,可得 . 又 在 处的切线方程为: , 所以 . 所以 . 【巩固练习1】已知 是奇函数,当 时, ,则函数 的图象在 处的切 线方程为( ) A. B. C. D. 【答案】C 【分析】 先求出当 时的解析式,然后利用导数求出 处的切线斜率,以及切点坐标,从而求出切线方 程. 【详解】当 时, , , 是奇函数, , , , ,切点为 , 切线方程为 . 切线方程为 . 【巩固练习2】(23-24高三·河南洛阳·期末)已知函数 为奇函数,其图象在点 处的切 线方程为 ,记 的导函数为 ,则 ( ) A.2 B. C. D.【答案】A 【分析】由奇函数的导数为偶函数可知 为偶函数,结合导数的几何意义即可求解. 【详解】因为 在点 处的切线方程为 , . 又 两边求导得: ,即 为偶函数, 【巩固练习3】(2024·山东济宁·三模)已知函数 为偶函数,当 时, , 则曲线 在点 处的切线方程是( ) A. B. C. D. 【答案】A 【分析】利用偶函数的性质求出 的解析式,再利用导数的几何意义求出切线方程. 【详解】函数 为偶函数,当 时, , 则当 时, ,求导得 ,则 ,而 , 所以曲线 在点 处的切线方程是 ,即 . 【巩固练习4】(2024·海南海口·二模)已知函数 的定义域为 , 是偶函数,当 时, ,则曲线 在点 处的切线斜率为( ) A. B. C.2 D. 【答案】C 【分析】根据函数对称性求出 时的 解析式,利用导数的几何意义求解. 【详解】因为 是偶函数,所以函数 的图象关于 对称,则 , 当 时, , , ,则 , ,即曲线 在点 处切线的斜率为2. 【巩固练习5】(23-24高三·广东深圳·期中)已知函数 与偶函数 在交点处的切线相同,则函数 在 处的切线方程为( ) A. B. C. D. 【答案】D 【分析】求得 ,得到 且 ,根据题意,得到 与 相切于 ,且 ,再由 为偶函数,求得 ,且 ,进而求得切线方 程. 【详解】由函数 ,可得 ,所以 且 , 因为函数 与偶函数 在交点 处的切线相同, 所以函数 与 相切于 ,且 , 又因为 为偶函数,所以 ,且 , 所以函数 在 处的切线方程为 ,即 . 【题型6】切线斜率取值范围问题 利用导数的几何意义,求出导函数的值域,从而求出切线斜率的取值范围问题. 一般地,直线的斜率与倾斜角的关系是:直线都有倾斜角,但不一定都有斜率 13.点P在曲线 上移动,设点P处切线的倾斜角为 ,则角 的范围是( ) A. B. C. D. 【答案】D 【解析】由 ,则 ,则 , 又 ,所以 14.(2021·河南洛阳·二模)已知点 在曲线 上移动,设点 处切线的倾斜角为 ,则角 的取值范围是 . 【答案】 【分析】求出导函数的值域后可得切线的斜率的范围,根据斜率与倾斜角的关系可求 的取值范围. 【详解】∵ ,∴ ,∴ ,∵ ,∴过 点的切线的倾斜角的取值范围是 , 故答案为: . 【巩固练习1】过函数 图像上一个动点作函数的切线,则切线倾斜角范围为( ) A. B. C. D. 【答案】B 【解析】由题意,函数 ,可得 , 因为 ,所以 ,即切线的斜率 , 设切线的倾斜角为 ,则 又因为 ,所以 或 , 即切线的倾斜角的范围为 . 【巩固练习2】(22-23高三·江苏镇江·阶段练习)点 在曲线 上移动,设点 处 切线的倾斜角为 ,则角 的范围是( ) A. B. C. D. 【答案】C 【分析】求导,求出导函数的值域,再根据导数的几何意义即可得解. 【详解】 ,所以点 处切线的斜率的取值范围为 ,即 ,又 ,所以角 的范围是 .【题型7】公切线问题 公切线问题应根据两个函数在切点处的斜率相等,并且切点不但在切线上而且在曲线上,罗列出有 关切点横坐标的方程组,通过解方程组进行求解. 公切线问题主要有以下3类题型 (1)求2个函数的公切线 解题方法:设2个切点坐标,利用切线斜率相同得到3个相等的式子,联立求解 (2)2个函数存在公切线,求参数范围 解题方法:设2个切点坐标,列出斜率方程,再转化为方程有解问题 (3)已知两个函数之间公切线条数,求参数范围 解题方法:设2个切点坐标,列出斜率方程,再转化为方程解的个数问题 15.(浙江绍兴二模T15)与曲线 和 都相切的直线方程为__________. 【答案】 【详解】设直线与曲线 相切于点 , 因为 ,所以该直线的方程为 ,即 , 设直线与曲线 相切于点 , 因为 ,所以该直线的方程为 ,即 , 所以 ,解得 ,所以该直线的方程为 16.(2024·广东茂名·一模)曲线 与曲线 有公切线,则实数 的取值范围是 ( ) A. B. C. D. 【答案】B 【分析】分别求出两曲线的切线方程,再构造函数 ,利用导数求得单调性和最值, 即可求得 的取值范围.【详解】两个函数求导分别为 , 设 , 图象上的切点分别为 , , 则过这两点处的切线方程分别为 , , 则 , ,所以 , 设 , , , 令 ,所以 , 所以 在 上单调递增,且 , 则 在 上单调递减,在 上单调递增, 所以 , . 17.(2024·福建泉州·模拟预测)若曲线 与 恰有两条公切线,则 的取值范围为 ( ) A. B. C. D. 【答案】A 【分析】设曲线 切点为 , 的切点为 ,求出切线方程,根据有两条 公切线转化为方程具有两个解,构造函数利用导数求解取值范围,判断选项. 【详解】设曲线 切点为 , 的切点为 , 则曲线 在点 处的切线方程为 ,即 , 同理, 在点 处的切线方程为 , 根据 与 有两条公切线, 则 ,所以 ,化简可得 具有两个交点, 转化为 有两个解,构造函数 ,则 , 当 , , 单调递增;当 , , 单调递减, 故 在 时有极大值即为最大值,故 , 当 时, ,当 时, , 故 的取值范围为【巩固练习1】(23-24高三·江西吉安·期末)函数 与函数 公切线的斜率为 ( ) A. B. C. 或 D. 或 【答案】C 【分析】先设切点分别为 ,并通过点斜式方程写出两条切线方程,根据公切线 方程得 ,最后计算 值即可. 【详解】设切点分别为 , 且导数为 , 所以切斜方程为既为 , 也为 ,所以 ,且 , 所以 ,所以 或 , 所以公切线的斜率为 或 . 【巩固练习2】已知直线 是曲线 与曲线 的公切线,则 的值为 . 【答案】2 【分析】由 求得切线方程,结合该切线也是 的切线列方程,求得切点坐标以及斜率,进 而求得直线 ,从而求得正确答案. 【详解】设 是 图像上的一点, , 所以 在点 处的切线方程为 , ①, 令 ,解得 , ,所以 , ,所以 或 (此时①为 , ,不符合题意,舍去), 所以 ,此时①可化为 , 所以 .【巩固练习3】已知直线 与曲线 和 均相切,则该直线与两坐标轴围成的三角 形的面积为___________. 【答案】2 【分析】由基本初等函数的导数及其的几何意义解得直线 的解析式即可求得结果. 【详解】由已知得 的导函数分别为: ,设 上的切点分别为 ,则有: , 解之得: ,故 : , 与坐标轴交点分别为 ,围成的三角形面积为: . 【巩固练习4】已知函数 ,若曲线 与曲线 存在公切 线,则实数 的最大值为__________. 【答案】 【分析】根据导数的几何意义,利用斜率等于切点处的导数,和切线相同即可判断. 【详解】 , 假设两曲线在同一点 处相切, 则 ,可得 ,即 , 因为函数 单调递增,且 时 , 所以 ,则 ,此时两曲线在 处相切, 根据曲线的变化趋势,若 继续增大,则两曲线相交于两点,不存在公切线, 所以 的最大值为 . 【巩固练习5】(2024·湖南长沙·三模)斜率为1的直线 与曲线 和圆 都相切, 则实数 的值为( ) A.0或2 B. 或2 C. 或0 D.0或1 【答案】A 【分析】设直线 的方程为 ,先根据直线和圆相切算出 ,再由导数的几何意义算出 . 【详解】依题意得,设直线 的方程为 ,即 ,由直线和圆 相切可得, ,解得 , 当 时, 和 相切, ,设切点为 ,根据导数的几何意义, , 又切点同时在直线和曲线上,即 ,解得 . 即 时, ; 当 时, 和 相切, ,设切点为 ,根据导数的几何意义, , 又切点同时在直线和曲线上,即 ,解得 . 即 时, . 综上所述, 或 . 【巩固练习6】(长沙雅礼中学月考(六))已知函数 , ,若直 线 与函数 , 的图象均相切,则 的值为________;若总存在直线与函数 , 图象均相切,则 的取值范围是________ 【答案】 【解析】设直线 与函数 的切点为 , 由 ,所以 ,解得 ,所以切点为 , 所以 ,解得 ,即切线方程为 , 设直线 与函数 的切点为 , 则 ,解得 ,即 , 设切线方程 为 , 且 与 的切点为 , 与 的切点为 则 , ,整理可得 , ,所以 ,整理可得 , 设 ,则 , 设 ,则 ,所以 在 为增函数, 又因为 ,所以在 上 ,即 ,所以 单调递减; 在 上 ,即 ,所以 单调递增,所以 , 即 ,解得 . 【题型8】由切线条数求参数范围 设切点为 ,则斜率 ,过切点的切线方程为: , 又因为切线方程过点 ,所以 然后解出 的值,有多少个解对应有多 少条切线. 18.(2022年新高考全国I卷数学真题)若曲线 有两条过坐标原点的切线,则a的取 值范围是 . 【答案】 【解析】∵ ,∴ , 设切点为 ,则 ,切线斜率 , 切线方程为: , ∵切线过原点,∴ , 整理得: , ∵切线有两条,∴ ,解得 或 , ∴ 的取值范围是19.(2024·河南信阳·模拟预测)若过点 仅可作曲线 的两条切线,则 的取值范围是 . 【答案】 【 分 析 】 设 切 点 为 : , 根 据 切 线 过 点 , 得 到 , 令 ,再根据过点 仅可作曲线 的两条切线,由 与 的图 象有两个交点求解. 【详解】设切点为: , , 所以切线方程为 , 又因为切线过点 , 所以 , 即 , 令 , 则 , 令 ,得 或 , 当 或 时, ,当 时, , , 当 时,则 ,且 ; 当 时,则 , 所以 的图象如图所示: 因为过点 仅可作曲线 的两条切线, 所以 与 的图象有两个交点, 则 或 . 20.(2024届广东省六校高三第一次联考T8)已知函数 ,若过点 可作曲线 的三条切线,则 的取值范围是________ 【答案】 【解析】首先设过点 的切线方程 ,切点 ,利用导数的几何意义列式,转 化为 有三个解,通过设函数 ,问题转化为 与 有三个交点,求 的取值范围. 【详解】设过点 的直线为 , ,设切点为 , 则 ,得 有三个解, 令 , , 当 ,得 或 , ,得 , 所以 在 , 单调递增, 单调递减, 又 , , 有三个解, 得 ,即 . 【巩固练习1】(23-24高三·湖北武汉·阶段练习)已知过点 可以作曲线 的两条 切线,则实数 的取值范围是( ) A. B. C. D. 【答案】D 【分析】设切点为 ,表示出切线方程,根据题意可得方程 有两 个不同的根,由此可得a的范围. 【详解】设切点为 , ∴切线的斜率 , ∴切线方程是 , ∵切线过点A(a,0), ∴ ,即 , ∵过点A(a,0)可以作两条切线, ∴方程 有两个不同的根,∴ =(a+1)2﹣4>0,解得a>1或a<﹣3. 【巩固练习2】(2024届·广州中山大学附属中学校考)过点 作曲线 的两条切线,切点 分别为 , ,则 ( ) A. B. C. D.3 【答案】D 【分析】求出函数的导函数,设切点坐标为 ,即可得到切线方程,依题意关于 的方程 有两个不同的解 、 ,利用韦达定理计算可得. 【详解】因为 ,所以 ,设切点坐标为 , 所以 ,所以切线方程为 , 所以 ,即 , 依题意关于 的方程 有两个不同的解 、 , 即关于 的方程 有两个不同的解 、 【巩固练习2】(2024·宁夏银川·二模)已知点 不在函数 的图象上,且过点 仅有一条直线与 的图象相切,则实数 的取值范围为( ) A. B. C. D. 【答案】B 【分析】根据直线和曲线相切得到 ,结合导数及函数零点的个数可得答案. 【详解】点 不在函数 的图象上, 则 ,即 , 设过点 的直线与 的图象相切于 , 则切线的斜率 ,整理可得 , 则问题可转化为 只有一个零点,且 , 令 ,可得 或 , 当 时, ,则 单调递增, 当 时, ,则 单调递减, 当 时, ,则 单调递增, 即当 时, 有极大值,当 时, 有极小值,要使 仅有一个零点, 或 【巩固练习3】(2024·内蒙古·三模)若过点 可以作曲线 的两条切线,则 的取值范围为 ( ) A. B. C. D. 【答案】C 【分析】设出切点,求导,利用导数几何意义求出切线方程,代入 ,得到 ,构造 ,求导,得到函数单调性,从而得到 ,结合当 时, ,当 时, ,从而得到答案. 【详解】在曲线 上任取一点 ,对函数 求导,得 , 所以曲线 在点 处的切线方程为 . 由题意可知,点 在直线 上,可得 . 令 ,则 . 当 时, 单调递减, 当 时, 单调递增, 所以 ,且当 时, ,当 时, , 又直线 与曲线 的图象有两个交点, 所以 的取值范围为 . 【巩固练习4】已知点 在直线 上运动,若过点 恰有三条不同的直线与曲线 相切, 则点 的轨迹长度为( ) A.2 B.4 C.6 D.8 【答案】D 【分析】求出曲线 的导函数,得到 的表达式,构造新函数 ,得出 单调性,即可求出点 的轨迹长度. 【详解】由题意, 设点 ,过点 的直线 与曲线 相切于点 , ∴ , 的方程为 , ∴ ,化简得 ,设 , ∴ 在区间 上单调递减,在区间 上单调递增, ∵若过点 恰有三条不同的直线与曲线 相切, , ∴满足条件的 恰有三个, ∴ ,即 , ∴点 的轨迹长度为8. 【巩固练习5】若曲线 有三条过点 的切线,则实数 的取值范围为( ) A. B. C. D. 【答案】B 【分析】根据导数的几何意义求出过点 的切线方程为 ,利用方程的解个数与函数图象交 点个数的关系将问题转化为 图象与直线 在R上有3个交点,结合导数求出函数 的极值,根据数形结合的思想即可求解. 【详解】设该切线的切点为 ,则切线的斜率为 , 所以切线方程为 , 又切线过点 ,则 ,整理得 . 要使过点 的切线有3条,需方程 有3个不同的解, 即函数 图象与直线 在R上有3个交点, 设 ,则 , 令 ,令 或 , 所以函数 在 上单调递增,在 和 上单调递减, 且极小值、极大值分别为 ,如图,由图可知,当 时,函数 图象与直线 在R上有3个交点, 即过点 的切线有3条. 【巩固练习6】若过点 可以作曲线 的两条切线,则( ) A. B. C. D. 【答案】C 【解析】设切点坐标为 , , 切线斜率 , 在点 处的切线方程为: ; 切线过点 , , 过点 可以作曲线 的两条切线, 令 ,则 与 有两个不同交点, , 当 时, , 在 上单调递增,不合题意; 当 时,若 ,则 ;若 ,则 ; 在 上单调递减,在 上单调递增, , ,即 , 又 , . 【巩固练习7】(2024高三·辽宁本溪·期中)若过点 可以作曲线 的两条切线,则 ( ) A. B. C. D. 【答案】B 【分析】设切点点 ,写出切线方程,将点 代入切线方程得 ,此 方程有两个不同的解,利用导数求b的范围. 【详解】在曲线 上任取一点 , , 所以曲线 在点 处的切线方程为 .由题意可知,点 在直线 上,可得 , 令函数 , 则 . 当 时, ,此时 单调递减, 当 时, ,此时 单调递增, 所以 . 设 , 所以 , 所以当 时, , 在 上单调递增, 当 时, , 在 上单调递减, 所以 , 所以 , 所以 , 当 时, ,所以 , 当 时, ,所以 , 的图象如图: 由题意可知,直线 与 的图象有两个交点,则 . 【题型9】两条切线平行、垂直、重合问题 利用导数的几何意义进行转化,再利用两直线平行或重合则斜率相等,两直线垂直则斜率之积为-1. 21.(2024·河北邢台·二模)已知函数 的图像在 , 两个不 同点处的切线相互平行,则下面等式可能成立的是( ) A. B. C. D. 【答案】B 【分析】函数在两点处的切线平行,转化为函数在两点处的导数相等,得到 的关系,在结合 不等式求 的取值范围即可. 【详解】因为 , . 所以 , . 由因为 在 , 两个不同点处的切线相互平行, 所以 ,又 ,所以 ,故CD错误; 因为 且 ,所以 ,故A不成立; 当 时, .故B成立. 22.已知函数 若对任意 ,曲线 在点 和 处的切线互相平行或重合,则实数 ( ) A.0 B.1 C.2 D.3 【答案】C 【分析】求得 ,根据题意转化为 为偶函数,即可求解. 【详解】由函数 , 可得 , 因为曲线 在点 和 处的切线互相平行或重合, 可得 为偶函数,所以 ,解得 . 23.(2024·辽宁·二模)已知函数 的图象与函数 且 的图象在公共点处有相 同的切线,则 ,切线方程为 . 【答案】【分析】设公共点为 ,即可得到 ,再由导数的几何意义得到 , 从而求出 ,即可求出切点坐标,从而求出 ,再求出切线方程. 【详解】设公共点为 ,则 ,即 ,所以 , 所以 , 由 , ,所以 , , 又在公共点处有相同的切线,所以 ,即 ,所以 ,则 , , 则 , 则 ,所以切线方程为 ,即 . 故答案为: ; 【巩固练习1】(2024·全国·模拟预测)已知函数 的图象上存在不同的两点 ,使得曲线 在点 处的切线都与直线 垂直,则实数 的取值范围是 ( ) A. B. C. D. 【答案】A 【分析】根据题意知 有两个不相等的正实数根,结合一元二次方程根的分布即可求得参数 的范围. 【详解】由题意知 ,因为切线与直线 垂直, 所以曲线 在点 处的切线斜率都是 , 即关于 的方程 有两个不相等的正实数根, 化简得, 有两个不相等的正实数根, 则 ,解得 .【巩固练习2】(23-24高三·辽宁·阶段练习)已知函数 ,曲线 上存在不 同的两点,使得曲线在这两点处的切线都与直线 平行,则实数 的取值范围是( ) A. B. C. D. 【答案】A 【分析】求导 ,问题转化为 有两个不同的根,利用导数研究函 数的单调性,结合单调性和最值可得结果. 【详解】因为 ,则 , 令 ,整理得 , 设 ,则 , 时, ; 时, ; 可知 在 上单调递减,在 上单调递增, 则 , 当 趋近于 时, 趋近于0,当 趋近于 时, 趋近于 , 由题意可知: 有两个不同的解, 即 与 的图像有两个不同的交点, 则 ,解得 , 令 ,则 , 可知 , 即切点坐标为 ,则切线方程为 , 代入点 可得: ,解得 , 且 ,所以实数 的取值范围是 . 【巩固练习3】(2024·河南·三模)已知函数 点 , 在曲线 上(在第一象限),过 , 的切线相互平行,且分别交 轴于 , 两点,则 的最小值为 . 【答案】 【分析】利用给定条件得到 ,再把目标式化为一元函数,求导研究最值即可. 【详解】易知 ,设 ,则 , 设切线斜率为 ,则 ,所以 , 设 ,则 , 当 时, 单调递减, 当 时, 单调递增, 所以 的最小值为 ,所以 的最小值为 . 【巩固练习4】(2024·北京朝阳·一模)已知函数 .若曲线 在点 处的切线与其在点 处的切线相互垂直,则 的一个取值为 . 【答案】 (答案不唯一) 【分析】利用导数的几何意义,结合条件可知, ,再根据函数的取值,即可求 解. 【详解】 ,由题意可知, , 即 ,所以 ,得 , , , 或 ,得 , , ,所以 , , ,所以 的一个取值为 . 【题型10】与切线有关的参数范围或最值问题 利用导数的几何意义以及利用导数研究函数单调性,从而求出相关式子的取值范围. 24.(2024·全国·模拟预测)若直线 与曲线 相切,则 的最小值为 ( ) A. B.-2 C.-1 D.0 【答案】C 【解析】设切点坐标为 .由已知,得 ,则 , 解得 . 又切点在切线 与曲线 上, 所以 ,所以 . 令 ,则 . 令 ,解得 .当 时, ,则 在 上单调递增; 当 时, ,则 在 上单调递减. 所以 ,即 ,所以 ,则 的最小值为-1. 【巩固练习1】(2024·重庆·模拟预测)已知直线 与曲线 相切于点 ,若 ,则 的取值范围为( ) A. B. C. D. 【答案】B 【解析】因为 ,所以 ,∴ . 又∵切点 在直线 上, ∴ ,解得 .∴ . 令 ,则 , , 令 ,解得: ;令 ,解得: ;可得 在 上单调递增,在 上单调递减, 时, , 时, , 当 趋近负无穷时, 趋近 , ; , 故 的取值范围为 . 【巩固练习2】(2024·广东广州·模拟预测)已知直线 恒在曲线 的上方,则 的取值范围是( ) A. B. C. D. 【答案】A 【分析】设直线 与曲线切于点 ,根据题意由 在直线 上方, 由 求解. 【详解】解:设直线 与曲线切于点 , 则 , 所以切线方程为 , 所以 , , 所以 , 设 , , 当 时, ,当 时, , 即 在 上单调递减,在 上单调递增, 所以 ,所以 . 【巩固练习3】已知直线 与函数 的图象相切,则 的最小值为 . 【答案】【解析】设切点为 , ,所以切线的斜率 , 则切线方程为 ,即 , 故 , 令 ,则 , 当 时, , 单调递减, 当 时, , 单调递增, 所以 ,即 的最小值为 . 【巩固练习3】对给定的实数 ,总存在两个实数 ,使直线 与曲线 相切,则 的取值范围为 . 【答案】 【解析】由 得 ,设切点坐标为 ,则 , 消去 可得 ,所以 , 令 ,则 ,当 1时, 单调递增; 当 时,令 ,则 , 所以 在区间 上单调递减,因为 , 所以当 时, ,即 单调递增. 因为当 趋近于0时, 趋近于负无穷大 ,当 从1左边趋近于1时, 趋近于正无穷 大, 当 从1右边趋近于1时, 趋近于负无穷大,当 趋近于正无穷大时, 趋近于0, 作出 的大致图象,所以若对给定的实数 ,总存在两个实数 ,使直线 与曲线 相切, 则 的取值范围为 . 【题型11】牛顿迭代法 数形结合处理 25.(23-24高三·河南郑州·期中)“以直代曲”是微积分中的重要思想方法,牛顿曾用这种思想方 法求高次方程的根.如图,r是函数 的零点,牛顿用“作切线”的方法找到了一串逐步逼 近r的实数 , , ,…, ,其中 是 在 处的切线与x轴交点的横坐标, 是 在 处的切线与x轴交点的横坐标,…,依次类推.当 足够小时,就可以把 的值作为方程 的近似解.若 , ,则方程 的近似解 .【答案】 【分析】由题意得出 在 的切线方程,令 即可求解. 【详解】由题可得 , ,则 , 所以 在 处的切线方程为: , 令 ,解得 ,即方程 的近似解 26.(2024·山东潍坊·三模)牛顿迭代法是求方程近似解的一种方法.如图,方程 的根就 是函数 的零点 ,取初始值 的图象在点 处的切线与 轴的交点的横坐 标为 的图象在点 处的切线与 轴的交点的横坐标为 ,一直继续下去,得 到 ,它们越来越接近 .设函数 , ,用牛顿迭代法得到 ,则实数 ( ) A.1 B. C. D. 【答案】D 【分析】求得 在 的切线方程,代入 求解即可. 【详解】 , , , 则 在 处的切线方程为 , 由题意得,切线过 代入得, ,解得【巩固练习1】牛顿迭代法是求方程近似解的另一种方法.如图,方程 的根就是函数 的零点 ,取初始值 , 的图象在横坐标为 的点处的切线与 轴的交点的横坐标为 , 的图象在横坐标为 的点处的切线与 轴的交点的横坐标为 ,一直继续下去,得到 , , …, ,它们越来越接近 .若 , ,则用牛顿法得到的 的近似值 约 为( ) A.1.438 B.1.417 C.1.416 D.1.375 【答案】B 【分析】求出函数 的导数,利用导数的几何意义按照牛顿迭代法依次计算作答. 【详解】由 ,求导得 ,而 ,则 ,又 , 于是函数 的图象在横坐标为 的点处的切线方程为 , 令 ,得 ,则 , , 因此函数 的图象在横坐标为 的点处的切线方程为 ,令 ,得 , 所以 约为1.417. 【巩固练习2】(2023·湖北咸宁·模拟预测)英国数学家牛顿在17世纪给出一种求方程近似根的方 法一Newton-Raphson method译为牛顿-拉夫森法.做法如下:设 是 的根,选取 作为 的 初始近似值,过点 作曲线 的切线 : ,则 与 轴交点的横坐标为 ,称 是 的一次近似值;重复以上过程,得 的近似值 序列,其中 ,称 是 的 次近似值.运用上述方法,并规定初始 近似值不得超过零点大小,则函数 的零点一次近似值为( )(精确到小数点后 3位,参考数据: ) A.2.207 B.2.208 C.2.205 D.2.204 【答案】C 【分析】依题意依次计算化简即可. 【详解】易知 在定义域上单调递增, ,即函数的 零点有且只有一个,且在区间 上. 不妨取 作为初始近似值, , 由题意知 . 【巩固练习3】(多选)牛顿在《流数法》一书中,给出了高次代数方程的一种数值解法——牛顿 法.具体做法如下:如图,设r是 的根,首先选取 作为r的初始近似值,在 处作 图象的切线,切线与x轴的交点横坐标记作 ,称 是r的一次近似值,然后用 替代 重 复上面的过程可得 ,称 是r的二次近似值;一直继续下去,可得到一系列的数 在一定精确度下,用四舍五入法取值,当 近似值相等时,该值即作 为函数 的一个零点r,若使用牛顿法求方程 的近似解,可构造函数 ,则下 列说法正确的是( )A.若初始近似值为1,则一次近似值为3 B. C.对任意 , D.任意 , 【答案】BD 【分析】根据牛顿法,即可求切线方程,进而得横坐标 ,结合选项即可求解BD. 【详解】设 , 的零点就是 的解. ,当 时, ,切线为 ,令 ,则 ,所以切线与x轴 交点横坐标为 ,A错误; 在 处的切线为 ,所以切线与 x 轴交点横坐标为 , 所以 , , , , ∴ ,B正确; 若 , ,由B得 ,C错误; ,D正确.