当前位置:首页>文档>2005数学三解析公众号,西米研考_27考研真题_考研数学一、二、三历年真题+考研数学资料(1994-2026)_考研数学真题(1987-2026)_考研数学历年真题(1987-2024)_考研数学三真题1987-2024

2005数学三解析公众号,西米研考_27考研真题_考研数学一、二、三历年真题+考研数学资料(1994-2026)_考研数学真题(1987-2026)_考研数学历年真题(1987-2024)_考研数学三真题1987-2024

  • 2026-04-16 17:49:45 2026-04-16 10:00:51

文档预览

2005数学三解析公众号,西米研考_27考研真题_考研数学一、二、三历年真题+考研数学资料(1994-2026)_考研数学真题(1987-2026)_考研数学历年真题(1987-2024)_考研数学三真题1987-2024
2005数学三解析公众号,西米研考_27考研真题_考研数学一、二、三历年真题+考研数学资料(1994-2026)_考研数学真题(1987-2026)_考研数学历年真题(1987-2024)_考研数学三真题1987-2024
2005数学三解析公众号,西米研考_27考研真题_考研数学一、二、三历年真题+考研数学资料(1994-2026)_考研数学真题(1987-2026)_考研数学历年真题(1987-2024)_考研数学三真题1987-2024
2005数学三解析公众号,西米研考_27考研真题_考研数学一、二、三历年真题+考研数学资料(1994-2026)_考研数学真题(1987-2026)_考研数学历年真题(1987-2024)_考研数学三真题1987-2024
2005数学三解析公众号,西米研考_27考研真题_考研数学一、二、三历年真题+考研数学资料(1994-2026)_考研数学真题(1987-2026)_考研数学历年真题(1987-2024)_考研数学三真题1987-2024
2005数学三解析公众号,西米研考_27考研真题_考研数学一、二、三历年真题+考研数学资料(1994-2026)_考研数学真题(1987-2026)_考研数学历年真题(1987-2024)_考研数学三真题1987-2024
2005数学三解析公众号,西米研考_27考研真题_考研数学一、二、三历年真题+考研数学资料(1994-2026)_考研数学真题(1987-2026)_考研数学历年真题(1987-2024)_考研数学三真题1987-2024
2005数学三解析公众号,西米研考_27考研真题_考研数学一、二、三历年真题+考研数学资料(1994-2026)_考研数学真题(1987-2026)_考研数学历年真题(1987-2024)_考研数学三真题1987-2024
2005数学三解析公众号,西米研考_27考研真题_考研数学一、二、三历年真题+考研数学资料(1994-2026)_考研数学真题(1987-2026)_考研数学历年真题(1987-2024)_考研数学三真题1987-2024
2005数学三解析公众号,西米研考_27考研真题_考研数学一、二、三历年真题+考研数学资料(1994-2026)_考研数学真题(1987-2026)_考研数学历年真题(1987-2024)_考研数学三真题1987-2024
2005数学三解析公众号,西米研考_27考研真题_考研数学一、二、三历年真题+考研数学资料(1994-2026)_考研数学真题(1987-2026)_考研数学历年真题(1987-2024)_考研数学三真题1987-2024
2005数学三解析公众号,西米研考_27考研真题_考研数学一、二、三历年真题+考研数学资料(1994-2026)_考研数学真题(1987-2026)_考研数学历年真题(1987-2024)_考研数学三真题1987-2024
2005数学三解析公众号,西米研考_27考研真题_考研数学一、二、三历年真题+考研数学资料(1994-2026)_考研数学真题(1987-2026)_考研数学历年真题(1987-2024)_考研数学三真题1987-2024

文档信息

文档格式
pdf
文档大小
6.260 MB
文档页数
9 页
上传时间
2026-04-16 10:00:51

文档内容

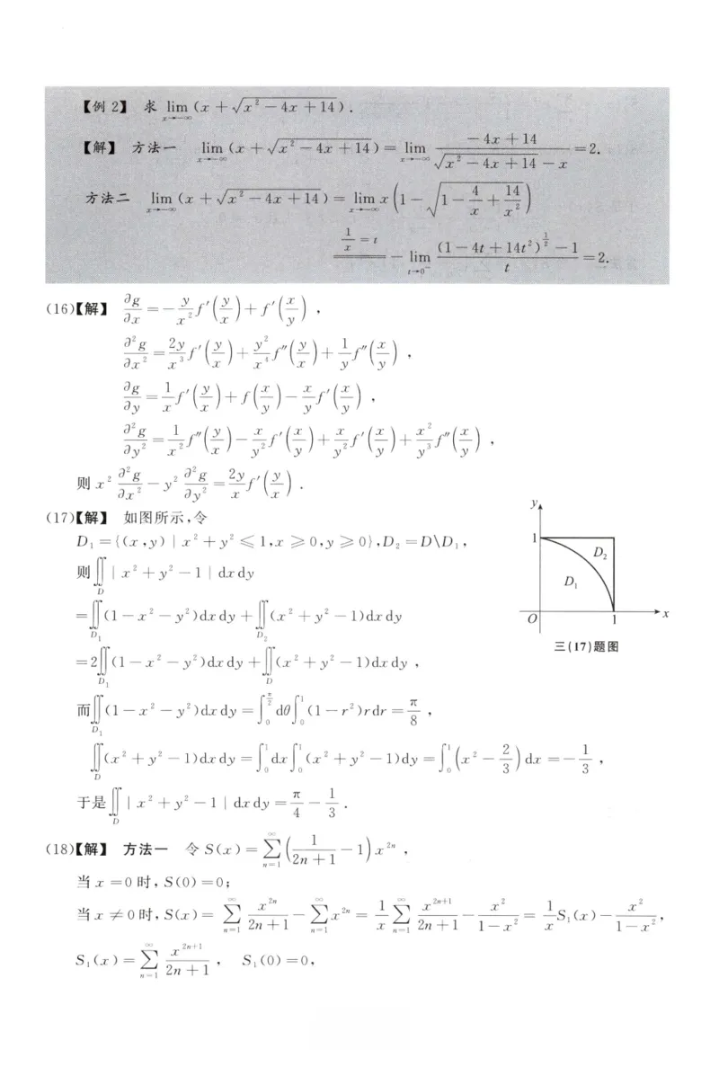
2005年数学(三)真题解析 一、填空题 (1)【答案】2. 2工 - 2工 【解】方法一 limg sin --------= lim --------- 工-*°° jc + 1 工〜°° 1 +工 1+工2 方法二 limjc sin --------= lim j: • —-------= 2. LX jc + 1 工*^ - 工 +1 【解】 方法一 由xy' + 3/ =0,得字+丄夕=0, QX JC 解得 X 2 由夕(1)=2,得C = 2,故夕=—. x 方法二 由jcy' + 3/ =0 ,得(工夕)'=0,于是xy =C . 2 再由夕(1)=2,得C = 2 ,于是y ——. x (3)【答案】2edrc + (e + 2)dj/ . 【解】 方法一 z —jcel+y + (x +l)In(l+y)两边对鼻求偏导,得 = (z + 1) ef + ln( 1 + jy ), dx z = jc e+y + (z + l)ln(l +夕)两边对y求偏导,得 于是 dz |(i,o)= 2edr + (e + 2)dy . 方法二 z =工艺+『+ (工+l)ln(l + y)两边求微分得 dz — d(j; e^+y ) +d[(_z + 1) ln( 1 + y)] = (e"y +He"y)clz +arex+3,dj/ + ln(l + y)ck + 三菩dy , 夕+1 则 dz | (lt0)= 2eda: + edy + 2dy = 2edz + (e + 2)dj/ ・ (4)【答案】 j. 【解】因为(2,1,1,1), (2,1,a,a), (3,2,1,a), (4,3,2,1)为4个四维向量,所以该向 3 4 2 3 量组线性相关的充分必要条件是 22 2 3 4 112 3 由 i q i 2 1)=0 且心 1,得 a I 1 a a 1 方法点评:本题考查向量组线性相关性的基本性质.当向量的个数与向量的维数相等 时,考查向量组的线性相关性有如下定理: 若佝.a?,…,a”为n个"维向量组,则ai ‘a?,…,a”线性相关的充分必要条件是 lai ,叫,…,a” | =0. ]3 ⑸【答案】亦 【解】 令 A, ={X =门(7 =1,2,3,4) , B ={Y = 2},则 PCA,) = =1,2,3,4), P (B | Ai) =0 , P (B | A2) = -^- , PCB | A3) = -|- , P (B | A4) = -^ , 4 1/1 1 1\ 19 由全概率公式得 P{Y = 2} =P(B) = Sf(A,)P(B I A,)=-[- +j + &) =呢. 方法点评:本题考查全概率公式. 若发生某事件共经过两步,求第二步事件发生的概率时,一般使用全概率公式,其中第 一步构造完备事件组. (6) 【答案】0. 4, 0. 1. 【解】 由分布律关系得0. 4+a+b十0. 1=1,即a+b=0. 5. P{X =0} =0. 4+a , P{X +Y = 1} =a+b , P{X =0,X+Y = 1} =P{X =0,Y = l} =a , 因为{X =0}与{X+Y = l}独立,所以(0. 4 + a)(a + b) =a , 解得 a=0.4, b =0. 1. 二、选择题 (7) 【答案】(E). 【解】 令 /z (j: ) = 2 — 18工 +12=0,得 j; = 1 及攵=2, 当工V 1时,/'(工)〉0 ;当1 V鼻< 2时,/■'(工)< 0, 则工=1为y(z)的极大值点,极大值为/(D =5 — a . 又当工> 2时,/■'(工)> 0,则工=2为/(工)的极小值点,极小值为/(2) =4-a , 又 lim /(j? ) = — oo , lim /(j? ) = +°° , x —►—oo x —>• | °° 故当产(1) =0,/(2) < 0或/(I) > 0,/(2) =0时,/'(工)恰有两个零点, 因此a =4,应选(B). (8) 【答案】(A). 【解】 当(2,夕)€ D 时,0^(j:2 + y2)2 j:2 + y2 Jr2 + y2 W 1 V 守, 因为 cos/在 0, 上为单调减函数,所以 cos(j?2 + y2Y cos(j;2 + y2) cosa/j:2 + y2 , 于是I3> 12>几,应选(A).(9) 【答案】(D). 【解】 方法一 因为另(一 1)"TQ” =5 — a2 + a3 ~~ a4 +…收敛, n = 1 所以(<2 1—<22)+ (<2 3—04)+ "・=工(<2 2”一1 一^ 2”)收敛,应选(D). 71 = 1 - oo OO OO OO 方法二 取a”=—,显然工a”发散,Y(— 收敛,但^a2„_i与工乞”都发散, m = 1 n = 1 n = 1 n = 1 因为 a2”_i + a2n — -- ----- +-------且 丫 —发散,所以 丫(<22„_i + a?”)发散,即(A), 2/? — 1 2n n n = 1 n ” =】 (B),(C)都不对,应选(D). (10) 【答案】(B). 【解】 /(j? ) =x sin x + cos jc , ) = jc cos x , 7T 显然z = 0,攵=—为/(j:)的驻点, ) = cos jc 一 jc sin jc , 因为/z,(o)= 1 > 0 , (守)=_守V 0,所以_/(0)为极小值,f (守)为极大值, 应选(E). (11) 【答案】(C). 【解】 方法一取\ , /(J7)= —~,显然/"'(攵)在(0,1)内连续,{0 )在(0,1) 工 X. 内无界,(A)不对; 取一丄,显然/■&)在(0,1)内连续,但无界,(E)不对; X 取/(J?)=丘,f O =—在(0,1)内无界,(D)不对,应选(C). 2 VT 方法二 设y'Q)在(0,1)内有界,即存在M>0,使得|十(工)I , 由拉格朗日中值定理得+ -j), 于是 /(I)+ M 工一* w /(y) I + M , 即若f'S 在(0,1)内有界,则/(^)在(0,1)内有界,应选(C). (12) 【答案】(A). 【解】 由 A * =A1,得 =A,7 ( i ,j =1,2,3). 令 an =52 =53 =a , 贝 U I ~ = ££11 = 3<22 工 0 , a 12-^ 12 a \2,A.3 a 12 a 13 由 A*A = \A\E 及 AAt= |A |E,得 |A I ・ |*A | = |A | • | AT | , BP | A |3 = | A |2, 于是| A | =1,故51=丁,应选(A).方法点评:行列式问题中,若出现或A "时,一般使用如下两个性质: (Da,!A,i +a:2A:? + …+ ainAin = | A \ (z = 1,2,••• ); (*2)|A \ = \A |”t. (13)【答案】(D). 【解】 因为矩阵的不同特征值对应的特征向量线性无关,所以5 ,a2线性无关. Si ,A(ai+a2)) = (ai’a?)( —,则,A (ct] +a2)线性无关的充分必要条件是矩 '0 入 2 / /i am 1入1 可逆,即 H 0,故入2 H 0,应选(D). \o 入 2 / 0入2 (14)【答案】(C). 【解】 因为川未知,所以取统计量丁=刍上〜"“一1), 显然 P{—£。. 6 — 1)< T<^0.05(^-l)} =0.9 , 05 则〃的置信度为0. 9的置信区间为 (20 — i0.os (15),20 + 亍o.o5(15)) 1,应选(C). 方法点评:本题考查正态总体均值的区间估计.正态总体参数的区间估计在数学三新大 纲考查范围之外. 三、解答题 / 1 + ‘ 1 \ _ ]曲 0 + 工 $ — ] + e_工 1. jc jc — 1 + e (15)【解】方法一 lim — =lim-------------:----------- x*o- \ 1 — e 工) 工―o jc (1 — e ”) 工―o x 1 + — e 1 - e_x _ 3 ='lim =1 + lim •zf 0 2 j? 工*一 0 2x /1+z 1 \ x2 ~\~ x — 1 + .. x1 x 一 1 + e r 方法二 忸(?—7 _曰巳吧亍)=忸---- 亍 2 2 由 e’ = 1 + 工 + -- o (工 2)得 e~^ =1 — jc + -----------o (工 $), 于是川+° — 1+ ~-3 .2,故!腆/ (1 厂—才jc 一 7 oo 方法点评:求不定型x — x的极限时,一般先转化为 ”型或“一”型,再计算极限. OO 1 1 【例1】求lim 工~*0\鼻? tan"% 1 1 \ tan2^r — x2 ,ta2n x ——x 2 【解】lim ~2 I hm 2 2 hm--------j------ ^*o- \«z tan2 x / 戈o x tan x x*0~ x tan :r + z tan x — x tan x ——x =lim ..... 石------=21im x*0~ x X x*0- X sec 2 x — ii =Zlim--------z---- lo 3x 3【例 2】求 lim Q + 2 — 4工 + 14 ) • —4无 +14 o 【解】 方法一 lim (x + Jx2 — 4^:+ 14") 「!二: .. . =Z. 工 f _co v jr2 — 4jc + 14 — x 4 14 方法二 lim (x + \fx2 一 4x + 14 )= 1 | 丄 丄 I 2 2 X 2 (l-4? + 14z2)7 -1 门 =2. 3^. (16)【解】 dx + 3x2 強=丄厂/y dy 丿 32g _ 1 亏一 x Mg °_g_ 则X 2 亍_ $ 2 3jc 2 丿 dy2 (17)【解】 如图所示,令 D] = {{((DD))| x2 + y2 W 1,工 $0,夕 0} ,D2 = D\DX , 则 t2 y2 一 1 | djc dy D =jj (1 — x2 一 jy2)(lzcl;y+JJ(j;2 + y1 一 1) dj? Di d2 =2f(1- x 2 一 y2)dx dy +JJ 2 y2 — 1)dx dj/ , D D1 而 JJ(1-: 一 y2 )dx dy = f2 d(9 f (1 一 r2 )rdr = J o Jo 8 D1 1 1 丄 + y2 一 1)djr dj/ = | djr | (jc 2 y2 一 1 )dj/ = X 2 dx = I D 0 0 于是JJ |工 山dy =手- * 2 +$2 _ ] | D 勺oo 缶H 7 (18)【解】方法一令SQ) JC2n 当= 0 时,SCO) = 0 2n 8 严 2 i x2 X 当工HO时,S(_z) =艺 —S/x) 2n + 1 1 — x2 X \1 一 X2 ”=] 卄 S1(")= |2Xn 2+ 1 1 Si(0)=0,X 2 n 11 S\ (工)=工 jc" =—1 ------ 1 X 2--------------丄--------X---2 -1 n = 1 1 — SO = Si(O)+| S'i(z)cLz=— 一扣 X — 1 ----- 1 - I 1 n - 1 - -- 一 -- - x - J H + 1 =—X 2 1+工 0 0, •z = 0, 于是S (工)= 1 , 1 + H ] 27lnT^7 —1 1 — X2 工 o ]--―-----工------?-dr 1 _ 3C 2 —丄 ] X 2 1 1 + 工 1 cLr r = ~ in ~ ■- 7 9 JC 3C 2 _ 1 1 — jc 2 工 1 — x 1 — x 2=0, 故S (夂)= < 1 1 + 工 1 Lin----------------, -1 <^ < 1 且工工0. [2工 1—jc 1— x f' (x )g(j: )dj; + [ /"(工)g‘(攵)dz — f (a )g (1), (19)【证明】 令F(a) = o J 0 F‘(a) =_/'(a)g(a) — f7 (a)g (1) = (a ) [g (a ) — g ⑴], 因为g'Q)$O,所以g(a)Wg(l),又因为十(攵)$0,所以F'(a) £0,从而FQ)单 调不增,于是 =[/'‘(•z )g(z )dr + f f(x )gZ(j: )dj? — /(l)g(l) F(a)上 F(l) J Jo 0 0 =[— /a)g(i)— /(i)g(i)=o, 0 0 即[ff (j; )g)dj? + f /(z )g‘(无)dz 2 /(a )g (1)・ J o Jo 0 I1 2 3 /I b c (20)【解】 令人=2 3 5 ,因为方程组①与方程组②同解,所以 '1 \2 b2 c + 1 1 a r(A)=r(B),又因为 r(B)<3,所以 r(A)<3,即⑷=0,解得 a = 2. 2 3 1 2 3 \ I1 2 3\ I1 0 卜0 J 由A= 2 3 5 0 -1 -1 1 1 -» 0 1 '1 1 2 0 _ 1 -1 'o 0 o' 'o 0 o' 得①的通解为x= lj ( C为任意常数).0 = 1 9 因为①与②同解,所以将 代入②得 c = 2. 而当『时,方程组②化为孙+「=o,因为两个方程组系数矩阵的秩不等,所以两 = 1 个方程组不同解,故a=2,b=l,c=2. (21)【解】(I )显然为实对称矩阵,卩丁 = / Em O ■A C 'Em —A _1C \-CTA~l En L B O E 'A C \ /Em o b—6 9八 o (U )方法一 显然B —CtA *C 为实对称矩阵. 因为D正定,所以PrDP也正定,于是P7DP的特征值全大于零,又因为B-CTA !C和 A的特征值为ptdp的特征值,所以b-cta C的特征值全大于零,故b-cta C为 正定矩阵. 方法二 对任意的X# 0,XtPtDPX= (PX)「D(PX),因为P可逆,所以PXH0, 又因为 D 正定,所以 X (PX)tD(PX)>0. 对任意的 0,取 X=(°),则 XtPtDPX>0,而 XTPTDPX=yT(B-CTA C)¥>0, 所以b-cta C为正定矩阵. 方法点评:本题考查分块矩阵的乘法及矩阵正定判别. 设A为实对称矩阵,若对任意X #0,总有XtAX>0,称A为正定矩阵,判断矩阵正定 的方法通常有: (1) 定义法,即只要证明对任意的X工0,有X'rAX > 0. (2) 特征值法,即A正定的充要条件是A的特征值都大于零. (3) 顺序主子式法,即A正定的充要条件是A的顺序主子式都大于零. (A \ 正定的充分必要条件是A ,B都 是正定矩阵. 当乂三0或z 时,f x(攵)=0 ; 2x ? 0 V 工 V 1 9 于是/x(Z)= 0, 其他;当;y£0或夕》2时,/ v(y)=0; 当 0 Vj/<2 时,几(3/)=二吐=1—专, ]1_兰 0 < 3/ < 2, 于是/V(夕)=] k 其他. (n ) Fz(z) =P{Z w z} =P{2X — Y w z} = JJ /"(z )dzd), 2x— 当 zVO 时,Fz(z)=0; 2 / 2 当 0 £zV2 时,Fz(z) = f2 djr f2xdy + J±dx 2x dy =令 + z(l _守 N J 00 J (0 2x—z 4 ' Z 当 z时,Fz(z) =1, 0 9 n V o, 2 [1 —— O < z < 2, 即Fz(z)=・z—0