当前位置:首页>文档>2012数学二解析公众号,西米研考_27考研真题_考研数学一、二、三历年真题+考研数学资料(1994-2026)_考研数学真题(1987-2026)_考研数学历年真题(1987-2024)_考研数学二真题1987-2024

2012数学二解析公众号,西米研考_27考研真题_考研数学一、二、三历年真题+考研数学资料(1994-2026)_考研数学真题(1987-2026)_考研数学历年真题(1987-2024)_考研数学二真题1987-2024

  • 2026-04-16 12:49:49 2026-04-16 11:44:01

文档预览

2012数学二解析公众号,西米研考_27考研真题_考研数学一、二、三历年真题+考研数学资料(1994-2026)_考研数学真题(1987-2026)_考研数学历年真题(1987-2024)_考研数学二真题1987-2024
2012数学二解析公众号,西米研考_27考研真题_考研数学一、二、三历年真题+考研数学资料(1994-2026)_考研数学真题(1987-2026)_考研数学历年真题(1987-2024)_考研数学二真题1987-2024
2012数学二解析公众号,西米研考_27考研真题_考研数学一、二、三历年真题+考研数学资料(1994-2026)_考研数学真题(1987-2026)_考研数学历年真题(1987-2024)_考研数学二真题1987-2024
2012数学二解析公众号,西米研考_27考研真题_考研数学一、二、三历年真题+考研数学资料(1994-2026)_考研数学真题(1987-2026)_考研数学历年真题(1987-2024)_考研数学二真题1987-2024
2012数学二解析公众号,西米研考_27考研真题_考研数学一、二、三历年真题+考研数学资料(1994-2026)_考研数学真题(1987-2026)_考研数学历年真题(1987-2024)_考研数学二真题1987-2024
2012数学二解析公众号,西米研考_27考研真题_考研数学一、二、三历年真题+考研数学资料(1994-2026)_考研数学真题(1987-2026)_考研数学历年真题(1987-2024)_考研数学二真题1987-2024
2012数学二解析公众号,西米研考_27考研真题_考研数学一、二、三历年真题+考研数学资料(1994-2026)_考研数学真题(1987-2026)_考研数学历年真题(1987-2024)_考研数学二真题1987-2024
2012数学二解析公众号,西米研考_27考研真题_考研数学一、二、三历年真题+考研数学资料(1994-2026)_考研数学真题(1987-2026)_考研数学历年真题(1987-2024)_考研数学二真题1987-2024
2012数学二解析公众号,西米研考_27考研真题_考研数学一、二、三历年真题+考研数学资料(1994-2026)_考研数学真题(1987-2026)_考研数学历年真题(1987-2024)_考研数学二真题1987-2024
2012数学二解析公众号,西米研考_27考研真题_考研数学一、二、三历年真题+考研数学资料(1994-2026)_考研数学真题(1987-2026)_考研数学历年真题(1987-2024)_考研数学二真题1987-2024
2012数学二解析公众号,西米研考_27考研真题_考研数学一、二、三历年真题+考研数学资料(1994-2026)_考研数学真题(1987-2026)_考研数学历年真题(1987-2024)_考研数学二真题1987-2024
2012数学二解析公众号,西米研考_27考研真题_考研数学一、二、三历年真题+考研数学资料(1994-2026)_考研数学真题(1987-2026)_考研数学历年真题(1987-2024)_考研数学二真题1987-2024
2012数学二解析公众号,西米研考_27考研真题_考研数学一、二、三历年真题+考研数学资料(1994-2026)_考研数学真题(1987-2026)_考研数学历年真题(1987-2024)_考研数学二真题1987-2024
2012数学二解析公众号,西米研考_27考研真题_考研数学一、二、三历年真题+考研数学资料(1994-2026)_考研数学真题(1987-2026)_考研数学历年真题(1987-2024)_考研数学二真题1987-2024

文档信息

文档格式
pdf
文档大小
4.346 MB
文档页数
10 页
上传时间
2026-04-16 11:44:01

文档内容

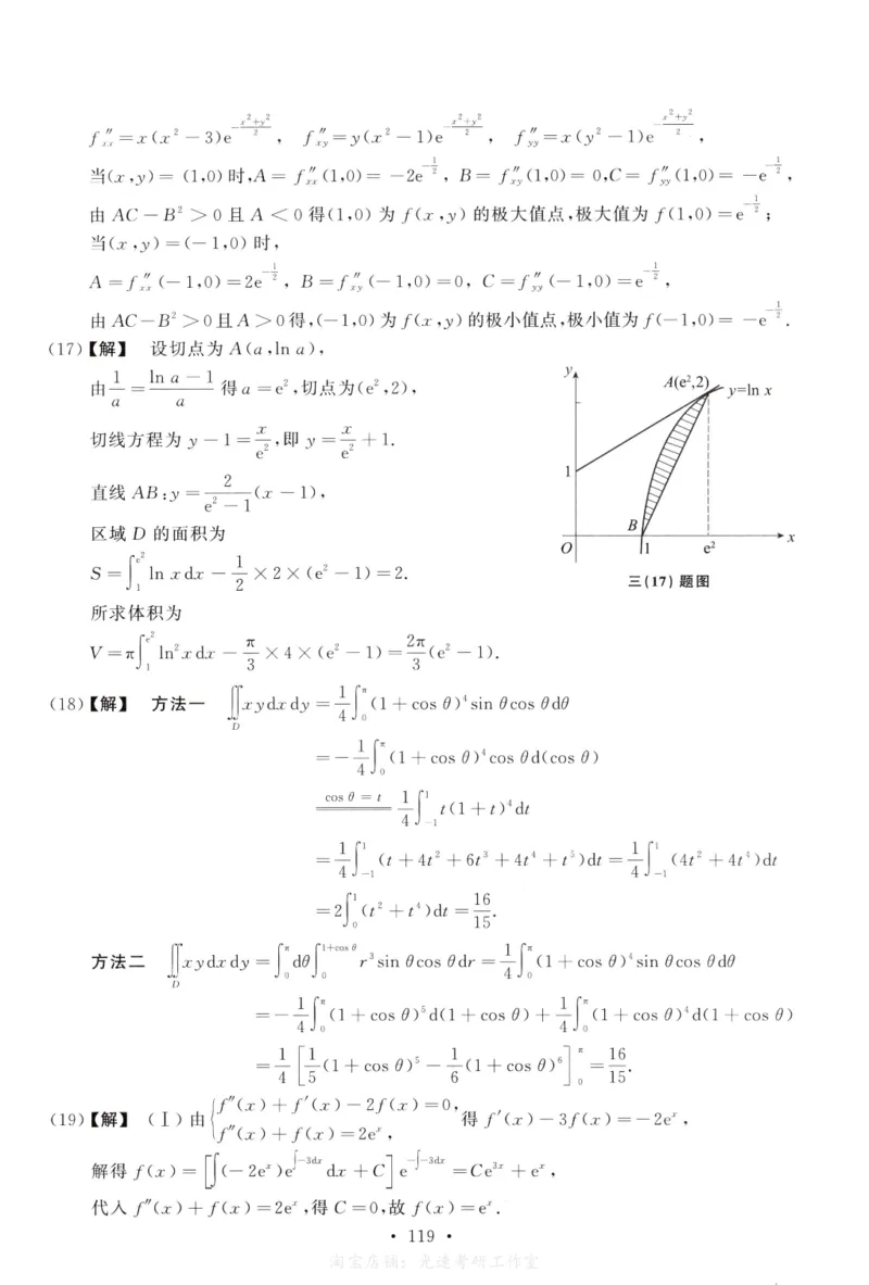
2012年数学(二)真题解析 一、选择题 (1) 【答案】(C). 【解】 由limy =1,得》=1为曲线夕=务匚半的水平渐近线; X — 1 oo 2 I 由limy = °°9得乂 = 1为曲线丿= 的铅直渐近线; 工-* 一 1 1 x 1 2 | 2 I 由lim岂-- —=lim ―^―-=万,得z = — 1不是曲线y = —----吕的铅直渐近线, — 1 乞一 工 一 1 2 x 1 1 且曲线没有斜渐近线,故曲线y =务匸寸有两条渐近线,应选(C). x 一 1 方法点评:渐近线是频繁考点,曲线的渐近线共有三种,即水平渐近线、铅直渐近线 和斜渐近线. 若lim/( ) — A ,称;y=A为曲线y = f (.x)的水平渐近线; X*°°- 若)=oo,称工=q为曲线》=/(%)的铅直渐近线; 若 lim =a (H 0 900) 9 ) — ax~\—b 称为曲线 y = f {x )的斜 渐近线. (2) 【答案】(A). [解] 方法一 由/''(■Z) = e" (e"—2)…(e“ 一/?) +2(eT 一 l)e2r (e3j 一3)…(e'"―”)十…+ n(ex —1)(孑一2)…(e("T“ -n + l)e", 得厂(0) = (― I)"" — 1)!,应选(A). 方法二 由导数的定义得 /z (0) = lim )-- 八°)= lim --------(e2j — 2)…(e*" — n ) = (— 1)" 1 (n — 1) !, X x x->0 LO 应选(A). (3) 【答案】(B). 【解】 由a” > 05 =1,2,…)得数列{S”}单调增加,若数列{S”}有上界,由极限存在准 则得limS”存在. 8 令 limS” =S,则 lima” = limS„ — = S — S = 0,于是{a”}收敛; fl ——► OO fl ——► OO JJ —> OO fl —► oo 反之,若{a”}收敛,则{Sn}不一定有上界,如取a” = 2, lima” = 2 ,但limS„ = + 00 ,即 fl ——►- OO fj ——►- OO {S”}没有上界,故{S”}有上界是{a”}收敛的充分非必要条件,应选(B). (4) 【答案】(D). f2x 2 【解】由I2 — h = sin z d_z V 0,得八> /?; J TC 「3兀2 由 13 — 12 = \ e" sin x dx〉0,得 12 <1 13 ; J 2n • 113 • 淘宝店铺:光速考研工作室‘3兀 2 '2tt 2 ■3k 2 13 — 11 = er sin x dr = e° sin jc djr + e" sin x dx 9 n * 2x 3k 2 X 一 7t f2x 2 '2tt ? 而 er sin jc djr ” — = eG+x) sin(z + 7t)d^ e (工+兀) si• n x d」j? 9 2n "[e,—e«4]sin_zdz > 0 得八 V 人,于是 I22 =一 jj dj? dy 一『djc dy D] D2 D dy n (1 一 sin 工)dr = 一 兀, _7 应选(D). 方法二 转化为定积分计算 y C W 守,sin 工 贝"[["工夕"—1) djr dj/ = (j:y5 — l)d_y D jr (1 一 sin6 j?) —1 + sin 工 djr 才"djc = 一 tv , 6 应选(D). 方法点评:二重积分对称性是比较重要的考点,计算二重积分时需要特别注意对称性 的使用,二重积分对称性如下: (1) 若D关于y轴对称,且位T》轴右侧区域为Di,有 若 /(—x,夕)――f(.x ,》),则『/"(久,y)dxdy = 0; D 若 /(— x ,y) — f(.x ),则JJjf(工dy = 2[J.f (h ,j?)drdj?. d (2) 若D关于工轴对称,且位于工轴上侧区域为D】,有 ・114・ 淘宝店铺:光速考研工作室若 fix , — y) — — f(x ,y),则 JJ/Xh ,y)dxdy =0; D 若 f(x , ~ y) = f © ,y),则 ,夕)dr dy = 2” fix , y) dr dy. Dj D (3)若区域 D 关于 y —x 对称,则 j|/(H , 3/) dx d3/ =jJ/(^ , x ) da? . D D (7)【答案】(C). 【解】 方法一 。3+5= 0 ,因为a 3 + a 4与a】成比例,所以ax,a3+a {线性 C3 + C4 相关,故,a3 .a4线性相关,应选(C). 方法二 因为a1,a3,a1为3个三维向量,所以线性相关的充分必要条件是 0 1 —1 而 | |= 0 1 1 =0,所以线性相关,应选(C). Cl C3 (8)【答案】(B). 0 I1 °\ 【解】由Q = (a, +a2 cl 2 9 a 3) P11 1 0,得 '0 J 0 I1 0 °\ T I1 0 0 Q-lAQ = \l 1 P_1AP 1 1 0 '0 J '0 0 0 1 应选(E). 二、填空题 (9)【答案】1. 【解】 将工=0代入工$ — J* + 1 = e3. 中,得y =0. x2 — y + 1=0两边对工求导数,得22—字=卍•字■,于是学I =0; O.X O.X Q.X I X = o 2工一警=e『•譽两边对鼻求导数,得2 —扌€ =e『・倍)+ ey • #4, 将X =0,y = 0及学| =0代入得= 1. dz I dz I ^=0 x=o 方法点评:求隐函数的导数或高阶导数(或在某一点的导数或高阶导数)是重要的基本 考点,本题先将z的值代入等式求出对应的y的值,等式两边对工求导,将已知点代入可得 一阶导数,然后再对Z求导数,代入已知条件可得二阶导数,其他导数可以继续对J7求导. ・115・ 淘宝店铺:光速考研工作室(10)【答案】夕 击+十1+…十 ] 【解】 limzz 兀f 8 722 + 722 1= =arctan x 方法点评:利用定积分的定义求极限是基本而重要的考点. 用定积分定义求极限,即利用等式lim丄 /(J7 )djr ・ 〃一Aoo 要注意两个特征: (1) 每项的分子各项次数一致、分母的各项次数一致; (2) 分母次数高于分子一次. ― / ---1------ ---------1-------1--------1—\ 【例1】计算 n l -*- i c m o FW1' 后壬 2; :: V?丿• 【解】 本题分子次数齐且为零次,分母次数齐且为1次,故采用定积分的定义计算, /_____I_____1_____…_______\ _ 丄 f 1 lim + I 2 J/ + 2 ° 丿宛 2 + 72 2 / n Z = 1 ~2 1 + n ______ 1 =「—丄一 dr = ln(z + 丿1 + d ) —ln(l Jo丿1+工2 o 定积分定义求极限有时和夹逼定理求极限的方法容易混淆,一定要注意定积分定义求 极限的两个特征,若出现分子的项或分母的项不齐,一般使用夹逼定理. 1 丄—丄 I 1 \ 【例2] 求 lira 7 7^+2 产= Vn2+n)' 【分析】 虽然本题仍为n项求和,但分母各项次数不齐,故使用夹逼定理. 【解】 由 ;……1-p W -;-------W ; ......(z = 1,2,…,得 •J n1 4-/2 丿”? + , 丿” 2 + ] n w___1_____]-____ _____|____|-------------- w _n___ 2 + n Vn 2 + 1 J/ 十 2 丿” 2 + 九 + 1 ;丄 一 + …+ ]「 由夹逼定理得lim =1. *6o 2 + 1 n2 + 2 y/n " -\-n a/ 定积分定义求极限有时会和夹逼定理混合使用,即极限不满足定积分定义求极限的两 个特征,先使用夹逼定理,再使用定积分的定义求极限. 1 2 >/ \ 【例3】求lim 7? + 1 2 n • 116 • 淘宝店铺:光速考研工作室2. ■1 亘 i w i e7 ____---_]-----| — W — £ e ” , 【解】 72 + 1 〃--]_ 72 + JL n ?=] 2 n 1 « £ 因为 lim ― > e" == lim n ■ —〉: e" = lim — £ e ” = | dx = e — 1, n + 1 ” = ] “foo /?十丄 7? — n ;;==]i Jo / 1 L ± \ I Pn en en I 所以由夹逼定理得lim —— H---------r~ + … H----------- = e — 1. \、 x 十 1 1 1 / zz + — n-----/ 2 n (11)【答案】0. 孑=丄川1心+丄) 3z 【解】 =0. dx x ' y ' 3y (12)【答案】vr. 【解】 方法一 由_y dr + (工一 3夕2 )djy = 0,得学+三=3夕,解得 ay y 工=(]3』嚅+©少=^^, 由y I x=i =1得C=0,于是夕$ =攵,故特解为y =丘. 方法二 由 ydjr+( x — 3 y2)dy = 0 得 (y cLr + jc dj/) 一 3j/2 dj/ = 0,或 d(xy — y3) = 0, 贝!j xy — y3 —C , 由 y I ^ = i =1 得 C = 0,即 xy — j/3 =0; 再由,芒o且如—=i >o得微分方程满足初始条件j/L=1 =1的解为》=丘. 方法点评:一阶微分方程是基本考查点,基本考查方式是给定特定类型的微分方程,按 照特定类型方程的解法或通解公式求解. 但也有一种情况,就是一阶微分方程不属于任何特定类型,此时需要作适当的变形或变 换转化为特定类型一阶微分方程,再求解. 【例1】 求匸= 的通解. dz x 十 Ly 【解】方法—由『程吩7 =幻,通解为 x — I j 2ye dj/ + CJ e = [―2(夕 + 1)八+C]e,= —2夕一2 + Ce,(C 为任意常数). 方法二 令7 +2歹=“,则岁=£(等一1),于是有器=色土上, (±r 2 'dr f dx u 变量分离得(1-----y—r )dz/=dr,两边积分得“ 一21n | %+ 2 \ — jc + C ?通解为 \ w + 2 / x + 2y — 21n | x +2y+2 | = jr + C(C 为任意常数). 【例2】 求字=的通解. ax Q十夕)' • 117 • 淘宝店铺:光速考研工作室【解】 令x + y —U ■,则岁=半•一 1,于是有%= 上土 Ax Ax Ax u 分离变量得(1------7―7 =dr,两边积分得u — arctan “ =広+ C , ' 1 + u2 / 故通解为y — arctan(工+ y)=C(C为任意常数). (13)【答案】(一1,0). 【解】 y =x2 + x 曲率为---------2-------,令-----------2------- =習 口+(2工 + I)2]7 口 + (2^ +D2]7 解得a =-l,故曲线上曲率为晋的点的坐标为(一1,0). (14)【答案】 一27. 【解】| = — |A | = —3,丨 A*=|A 严=|A I? 9, 贝I] |*BA |= |B | • \*A | = -27. 三、解答题 1 1 - x 一 sin x . (15)【解】(I )<2 = lim =lim hm------:---------1- 1 x->0 sin jc ■o \sm x x •r—o sin x j*0-- x sm x [. x 一 sin x . r 1一 cos x . “ lim----------------1 = lim-----------------1=1. 2 工~0 工•r f-> 00 l+«z 1 x x2 一 sm x 一 x sin x (II )f(x) — a -:-----------------1 =------- sin x x x sin x 方法一 麦克劳林公式法 3 4 由 sin x —x 春-- o (re3 ) 9得工 sin x = x2 一 右----o (jc4 ), J ! o ! 7 彳 f ( t ) — a 从而x x2 一 sin x 一 jc sin x 〜—-,于是 lim--------------=7-9 故于(工)一a 〜—x 6 工->0 jxc 6 6 方法二 待定次数法 /(j; ) 一 a jc + jr2 一 sin x 一 x sin x lim-------------= lim 工*一0 XX k X*O- d+2 i・ (jc+1)(h —sin x ) x 一sin x 坯---- 产---- =忸 二^~ xk+2 因为- sin 为三阶无穷小,所以k=l. 十曰- /(jc ) — a x 一 sin x cos JC 丄 于是hm lim Ylim -~ 2 x*0- xk 工*-0 X 3 O LO X 1 故 /(j? ) — a =(1 — 2 )e 2 =0,得H或 X = 一 1 9 (16)【解】令・ 2+/ y =0・ fy =-H)e 2 =。9 • 118 • 淘宝店铺:光速考研工作室4 ■r +,' ■r +0 f ?工=工 G21一 3)e 1 9 f ry = y — l)e 2 , f yy = x (y2 — l)e 2 ? _j_ __i_ 当Cz ,y) = (1,0)时,A ——f"x (1,0) = —2e 2 , B = f:$ (1,0) = 0,C = f"y (1,0) = —e 2 , __1_ 由AC-B2> 0且A VO得(1,0)为的极大值点,极大值为f(l,O) =e"T; 当(2,夕)=(一1,0)时, _丄 _丄 A = f : (—1,0) = 2e 2 , B = f打(―1,0) =0, C = f 爲(―1,0) = e 2 , 由AC-B2> 0且A>0得,(一1,0)为心,y)的极小值点,极小值为f(—l,O)= —e3 (17)[解】 设切点为A(a,lna), 由丄=* a _ 1得乂 =誉,切点为(e2,2), a a 切线方程为y — 1 = ¥,艮卩y = ~r + l・ e e 2 直线AB:y=-— Q —1), e 一 1 区域D的面积为 1 fe2 S= In jc djr----X 2 X (e2 一 1)=2. J i 2 所求体积为 jr 2 TT V = ti "\ 2 In2 dj:----X 4 X (e2 一 1) = (e2 一 1). J i 3 3 JJjrydr dy 斗 J:(l + cos0)4sin0cos0d0 (18)【解】方法一 D (1 + cos(9 )4 cos 0d(cos 9) cos 9 = t Z ( 1 + £ )° dz tLG+4? +6严+"七讪=扑£—4小& =2 f (八 +/" )cU = £. J o 15 J xy^jc dj/ = J f x de J fl +cos 0 r3sin 6 cos 9 dr =- 1 7 f ' x j(1 + cos 0 )" sin 0cos 0d0 D =— f (1 + cos 0 )5 d( 1 + cos 0) + H (1 + cos (9 )4 d( 1 + cos 6) 4 J o 4 J o i r 1 ] "I " 16 =— —(1 + cos(9)5— (1 + cos(9 )6 =—. 4 |_5 6 J o 15 ) +/z (j: ) — 2/(x ) — 0, (19)【解】(I)由得 f (j: ) — 3/(jt ) = — 2eJ , 【_/■〃&) +心)=2e=, 解得 f ⑺=]](—2e「)e卜込 dr + c] =Ce3' + e", 代入 f"〈工)+ fCx ) =2e『,得 C =0,故 /(j;) =e". ・119・ 淘宝店铺:光速考研工作室(II)^ — f{x2) f /(— )d^ = eJ [ e_r ck , J 0 Jo yr =2x ex [ e_z ck + 19 3/〃 = 2( 1 + 22 )[ e_z dt + 2«r, J 0 Jo 当7 VO时,/VO;当工>0时,/〉0,因为夕(0)=0,所以(0,0)为曲线的拐点. ]T 乂 2 (20)【证明】 令于(e ) =2 In ----------F cos x---------1, 1 一 x L 1 + J7 2工 4 ~\-------------7 — sm x ——x ? fj) 一 1 一 cos X ・ 1 — X 1 — x (1-x2)2 当一1 VzV 1 时9 因为—° 2、2 $ 4」+ cos x W 2,所以 /"&)〉0. (1—2 ) 又因为八, 。)“,所以]八“工))V〉0。,, —1 V 工 V 0, 0 <工 V 1, 于是x = 0为/(x )在(—1,1)内的最小值点,而/(0) = 0, ]X. 工 2 故当一 IV# VI 时,/'(工)$0,即 _zln ----------F cos h $ 1 + — 1 一 x L 方法点评:证明函数不等式是重要考查点,一般采用单调性进行证明,根据导数或高阶 导数符号最终确定函数的单调性,根据函数在某一点的符号情况得到所证的不等式. (21)[证明】(I)令/'”(工)="+"T几(工)在1,!上连续, 因为几(£)几⑴ vo,所以由零点定理,存在工” e (* ,i),使得几)=o. 当 z € (* , 1)时,由 f'Cx ) =nxn~x H------- 2z + 1 > 0 得几(z )在(+ ,1)内单调增加, 故函数几(工)在(y,l)内有唯一的零点,故方程工"+工宀+…+工=1在(*,1) 内有 且仅有一个实根. (U)方法一 由z” W (* , 1 )(72 = 1,2 ,…),所以数列&”}有界, 又由 z : + 工「H + z ” =1 及 h 當 + 扇+i H----+ z ”+i = 1 得 工;+ z T H-------z ” =攵當 + z :+i H---------s+i, 于是(z:—工:+1)+ (^r1 一攵二;)---- + Q” 一工卄J > 0, 注意到工;一疋+i 一2阳,...,鼻” —2卄1同号,贝q* <工卄]V工” V 1(/2 = 1,2,…), 即{「}单调减少,由极限存在准则得数列&”}收敛,则linig存在. * —>OO x (1 — ”) 令limz” — A ,由 xnn + a:"-1 +…+ z” = 1 得-------- = 1, 8 1 — x „ • 120 • 淘宝店铺:光速考研工作室T ( 1 ——Tn\ A 1 因为工” < 1,所以 ----- =1两边取极限得宀r = i,于是Ims =4. 1 一 x n 1 一 A ”〜8 Z 方法二 由 /"”(*)< 0,/„+1 (攵”)=工丁 + 疋 + 疋T -I----+工” —1 =攵:+1 > 0 得 几(工)在(* ,s)内存在唯一零点工”+】,即* Vs+1 <工” < 1, 于是数列{工”}单调减少且有界,故{工”}收敛,即lim.”存在. 8 x (1 — ”) 令limz” = A 9 由 xnn + 工「" + ・・・ + 工“ =1 得------— = 19 8 1 一 jc n T (1 _ r w ) A 1 因为s < 1,所以 ----- =1两边取极限得7^4- = 1,于是lims =-. 1—x n 1—A ” f°° Z (22)【解】(I)由行列式按行(或列)展开的性质得 | A | = 1 X A + a • A a =Mn — «M41 = 1 —a". h (II)若AX=P有无数个解,则|A| = 0,即a =- 1或 a = 1. 1 -1 0 0 : 1 1 0 0 - 1 : 0 0 1 -1 o i -1 () 1 0 - 1 i - 1 当0= — 1时9(2< ]0) = ―A 0 0 1 -1 0 0 0 1 -1 0 -1 0 0 1 1 0 () 0 0 0^0. 因为r(A)=r(A)=3< 4,所以方程组AX =0有无数个解,通解为 1 0、 1 —1 X =C + (C为任意常数); 1 0 1 0 110 0 1 ‘110 0 1 0 110 -1 0 110 -1 当 a = 1 时,(A “) 0 0 11 0 0 0 11 0 ,10 0 1 0 0 0 0 0 -2 因为r(A ) # r(A ),所以方程组AX =0无解. 方法点评:行列式虽然不是考查的重点内容,但有几种特殊行列式需要熟练掌握其 计算方法: (1) 三对角行列式,如本题矩阵对应的行列式,这种行列式的计算一般采用行列式按行 (或列)的方法展开计算或找递推关系. (2) 对称矩阵对应的行列式,一般采用所有行加到第一行,提取公因子,再将行列式上 (下)三角化计算. 非齐次线性方程组解的讨论,首先运用方程组解的理论确定解的存在性,然后利用初等 行变换求方程组通解,这个方法一定要反复练习,熟能生巧. 1 0 1 1 0 1 0 1 1 0 1 1 (23)【解】 (I )A = —1 0 a 0 0 a + 1 0 a -1 0 0 — a — 1 • 121 • 淘宝店铺:光速考研工作室由 r(ATA) =2 及 r(ATA) =r(A)得 a -1. /2 0 2 (U)当 a= —1 时,AtA = 0 2 2 '2 2 4 A — 2 0 -2 由 |ae -ata | = 0 A — 2 -2 =A (A 一 2)(入 一 6)=0, -2 -2 A - 4 得A 1A的特征值为A ! = 0 ,A 2 = 2,入3 = 6. 当入i =0时,由(0E -AtA)X=0即AtAX= 0得入1 =0对应的特征向量为 当入2 = 2时,由(2E—"A)X= 0得入2 = 2对应的特征向量为罷= -1 ' 0 当入3 = 6时,由(6E — AL4)X =0得入3 =6对应的特征向量为S = [1 ]—lj 单位化得八专 , ,在正交变换X=QY下,二次型/'的标准形为 f =2》;+ 6 3/3- 方法点评:本题综合考查了矩阵的性质、特征值与特征向量理论、正交变换法化二次型 为标准形等重要知识点,综合性高、覆盖面广,且涉及的都是线性代数的重点内容,需要熟练 掌握所涉及知识理论体系的方法. 在解读条件r(ATA) =2时,一般做法是,先进行矩阵的乘法,再阶梯化,根据矩阵的秩 求出a,但这样做比较费时,如果想到性质r(A'rA) =r(A),则本题运算量会大幅下降,所以 熟练掌握线性代数有关方法对解题非常重要. • 122 • 淘宝店铺:光速考研工作室